Формы общественной организации производства
Формы
общественной организации производства
Введение
Любая отрасль возникает и функционирует в
соответствии с законом разделения и обобществления труда. Сам закон разделения
и обобществления труда конкретно проявляется в сфере производства через формы
организации общественного производства - специализацию, концентрацию,
кооперацию и комбинирование производства. Каждая из них - самостоятельная форма
организации производства, хотя они тесно взаимосвязаны и взаимообусловлены.
Развитие таких форм общественной организации
производства, как концентрация, специализация, кооперирование и комбинирование
является важным условием повышения эффективности производства. Их
совершенствование обусловлено, с одной стороны, усиливающимися процессами
интеграции, а с другой - ускорением научно-технического развития.
Концентрация, специализация, кооперирование и
комбинирование производства являются прогрессивными формами общественной
организации производства, и об этом никогда не следует забывать, так как их
использование и развитие на практике всегда приносили выгоду для общества в
целом и предприятия в частности. Целью курсовой работы является углубленное
изучение общей характеристики форм организации производства и оценки их
эффективности. Задачами курсовой работы являются:
) Раскрыть сущность и формы концентрации,
комбинирования, кооперирования и специализации производства;
) Рассмотреть показатели измерения форм
общественной организации производства;
) Изучить факторы, влияющие на выбор формы
общественной организации производства
1. Формы общественной организации производства
фонд ресурс рентабельность
1.1 Сущность и формы концентрации и
комбинирования производства
Концентрация - это процесс, направленный на
увеличение выпуска продукции или оказания услуг на предприятии. Концентрация
производства может достигаться за счет следующих факторов: увеличения
количества машин, оборудования технологических линий на прежнем техническом
уровне; применение машин и оборудования с большей единичной мощностью;
одновременного увеличения машин, оборудования, как прежнего технического
уровня, так и более современного; развития комбинирования взаимосвязанных
производств. Концентрация производства развивается в следующих четырех ее
видах: агрегатной, технологической; заводской; организационно-хозяйственной.
Агрегатная концентрация - исходная форма
концентрации, непосредственно связанная с научно-технологическим развитием. Она
представляет собой рост единичной мощности оборудования (агрегатов,
технологических установок и т.д.).Технологическая концентрация выражается в
укрупнении цехов, переделов в составе предприятий, что может происходить как за
счет агрегатной концентрации, т.е. увеличения мощности единицы оборудования,
так и путем увеличения количества единиц оборудования.
Заводская концентрация характеризуется
увеличением размеров предприятий, которое может происходить за счет агрегатной,
технологической концентрации, а также путем объединения нескольких предприятий,
что приводит к организационно-хозяйственной концентрации.
Организационно-хозяйственная концентрация
проявляется в создании различных видов производственных объединений. Она может
проходить в чистом виде, т.е. без изменения техники, технологий и организации
производства, и переходить на качественно новый уровень, сопровождаясь
переходом на новые технологии, расширением производства, реконструкцией,
технологическим переоснащением, т.е. по сути своей являясь разновидностью
заводской концентрации.
Организационно-хозяйственная концентрация может
осуществляться, во-первых, на основе горизонтальной концентрации, т.е.
объединения предприятий, функционирующих в одной сфере деятельности, во-вторых,
на основе вертикальной интеграции, т.е. объединения предприятий, связанных
единой технологической цепочкой, в-третьих, комбинацией разноотраслевых
компаний, технологически не связанных между собой.
Комбинирование представляет собой процесс
соединения труда определенных органически связанных между собой
специализированных производств в единый хозяйственный комплекс. Оно возникает
на определенной стадии развития специализации.
В промышленности характерными признаками
комбинирования являются:
. наличие тесных
производственно-технических и экономических связей между производствами,
включенными в состав комбината;
. пропорциональность по производительности
и пропускной способности объединенных в рамках предприятия различных
технологически связанных производств;
. непрерывность перехода от одного
технологического процесса к другому;
. пространственное единство, то есть
расположение, как правило, на одной территории всех частей комбината, связанных
между собой общими коммуникациями;
. единство энергетической системы;
. общие вспомогательные производства и
службы, обслуживающие основные производства;
. единое управление.
Только при наличии всех этих признаков
появляется реальная возможность полностью использовать технико-экономические
преимущества комбинирования. В зависимости от характера связей между
производствами комбинирования делят на три вида:
. вертикальное - имеет место в том
случае, когда осуществляется последовательная переработка сырья в полуфабрикаты
или готовую продукцию;
. горизонтальное - предполагает
комплексную переработку сырья;
3. смешанное - когда из одного вида
сырья, последовательно перерабатывая его, получают основные полуфабрикаты или
готовые изделия, а из образовавшихся отходов - побочные полуфабрикаты или
готовые продукты.
Предпосылками развития комбинирования в
промышленности являются специализация производства, его концентрация и высокий
уровень развития науки и техники.
1.2 Показатели измерения концентрации и
комбинирования производства
Основными показателями уровня концентрации в
промышленности являются масштабы предприятий, определяемые:
* годовым выпуском продукции;
* среднегодовой численностью работающих;
* среднегодовой стоимостью основных фондов;
* потреблением электроэнергии в год;
* удельным весом крупных предприятий в выпуске
продукции всей отраслью;
* средними масштабами предприятия в отрасли.
Для характеристики уровня концентрации
производства в отраслях, изготавливающих один вид продукции, используются
натуральные показатели. Например, в электроэнергетике средняя установленная
мощность электростанции определяется в киловаттах; годовая выработка
электроэнергии - в расчете на одну электростанцию; удельный вес выработанной
крупными и крупнейшими электростанциями электроэнергии - в общем количестве
электроэнергии, выработанной всеми станциями за год.
В некоторых отраслях с многономенклатурной
продукцией уровень концентрации может определяться также в натуральных или
условно-натуральных измерителях, например сахар-песок - в тоннах, консервы - в
условных банках, минеральные удобрения - в условных единицах (в пересчете на
100% питательных веществ), тракторы - в штуках и по мощности двигателя в
лошадиных силах и т.п.В отраслях промышленности (машиностроении, химической,
легкой, пищевой и других), в которых изготавливается разнообразная продукция,
уровень концентрации производства определяется в стоимостных показателях,
например удельным весом крупных производств в общем выпуске продукции за год по
товарной (реализованной) продукции в неизменных ценах.
Показателями, характеризующими уровень
комбинирования, являются количество и стоимость продуктов, получаемых из
перерабатываемого на комбинате исходного сырья; удельный вес сырья и
полуфабрикатов, перерабатываемых в последующий продукт на месте их получения
(например, чугуна в сталь, стали в прокат); удельный вес побочной продукции в
общем объеме продукции комбината и др.
Уровень комбинирования можно оценить на основе
следующих показателей:
v удельный вес продукции, произведенной на
комбинатах, в общем выпуске продукции;
v соотношение стоимости продукции, выпущенной
комбинированным производством, и стоимости продукции, выпущенной
некомбинированными предприятиями;
v степень комплексного сырья.
В настоящее время нет единого показателя,
характеризующего уровень комбинирования, а поэтому вместе с перечисленными выше
показателями во всех отраслях промышленности применяются отраслевые показатели.
Например, в коксохимической промышленности таким срецифическим отраслевым
показателем является коэффициент, характеризующий долю выпуска кокса с
улавливанием побочных продуктов коксования в общем объеме производства кокса.
Любой из показателей уровня комбинирования имеет
достоинства и недостатки. При помощи показателей, основанных на натуральных
измерителях, можно более точно определить уровень комбинирования в определенной
отрасли, подотрасли промышленности, однако невозможно сопоставить уровень
комбинирования различных отраслях и промышленности в целом.
Значение комбинирования производства особенно
возрастает в условиях рыночной экономики, когда важнейшей целью предприятия
становится получение прибыли.
Кроме того, комбинирование представляет собой
один из способов диверсификации производства, что в условиях рыночных отношение
приводит к снижению риска банкротства предприятия.
Таким образом, развитие комбинирования на
предприятии является одним из действенных направлений для увеличения выпуска
продукции, улучшения использования всех ресурсов предприятия, снижения
себестоимости продукции.
.3 Сущность и формы специализации и
кооперирования
Специализация - это процесс сосредоточения
выпуска определенных видов продукции в отдельных отраслях промышленности, на
отдельных предприятиях и их подразделениях, т.е. это процесс производства
однородной продукции или выполнения отдельных технологических операций.
Специализация производства представляет собой
одну из форм разделения общественного труда и организации производства. В
промышленности частное разделение труда означает деление промышленности на
отрасли и дальнейшую их дифференциацию, с одной стороны, и специализацию
предприятий - с другой.
Единичное разделение труда представляет собой
специализацию внутри предприятия. Специализация предприятий и цехов происходит
в результате обособления производств однородных готовых изделий, а также
производства отдельных составных частей продукции и отдельных операций
технологического процесса по их изготовлению.
В промышленности различают следующие формы
специализации:
o предметная специализация. Ее
сущность заключается в том, что предприятия специализируются на выпуске готовой
продукции (тракторов, автомобилей, самолетов и т.п.);
o подетальная специализация. В этом
случае предприятие специализируется на производстве отдельных деталей, узлов и
агрегатов. Примером такой специализации может служить подшипниковый,
карбюраторный и другие подобные им заводы;
o стадийная, или технологическая,
специализация. При такой форме предприятия специализируются на выполнении лишь
отдельных стадий технологического процесса, например, прядильные фабрики,
изготавливающие пряжу для ткацких предприятий, литейные, кузнечно-прессовые и
сборочные производства в машиностроении;
o специализация вспомогательных
производств. К такой форме специализации можно отнести предприятия, которые
заняты выпуском тары и упаковки, инструмента и оснастки, а также выполняющие
ремонтные работы.
В зависимости от масштабности различают
внутриотраслевую, межотраслевую и межгосударственную специализацию.
Высшей ступенью является межгосударственная
специализация, т.е. специализация в рамках ближнего и дальнего зарубежья.
Особенно актуально для России развитие специализации в рамках дальнего
зарубежья, так как она слабо развита и на данном этапе более эффективна для
нашего государства.
Кооперирование - это длительные производственные
связи между предприятиями, выпускающими какую-то сложную продукцию.
Кооперирование между предприятиями разных стран
получило наибольшее развитие во второй половине XX в. Для ведущих промышленных
стран такая кооперация проявилась через создание транснациональных корпораций.
Эти корпорации осуществляют кооперацию между своими предприятиями по всему
миру. Развитие специализации объективно приводит к расширению обмена изделиями
и полуфабрикатами. От материально-технического снабжения кооперирование
отличается тем, что представляет собой постоянные связи по обмену
полуфабрикатами, деталями, узлами, агрегатами или другими конструктивными
элементами изделия, а материально-техническое снабжение включает поставки
сырья, материалов, топлива и т.д.
В соответствии с формами специализации в
промышленности различают три формы кооперирования:
) предметное, или агрегатное, кооперирование,
заключающееся в том, что ряд предприятий поставляет разные изделия (электромоторы,
генераторы, редукторы и др.) головным заводам, выпускающим машины и
оборудование;
) подетальное кооперирование, когда ряд
специализированных предприятий поставляет головному заводу узлы и
детали(подшипники, поршневые кольца и т.п.);
) технологическое, или стадийное,
кооперирование, выражающееся в поставках одними предприятиями полуфабрикатов
головным заводом (пряжи - ткацким фабрикам; поковок, отливки -
машиностроительным заводам).
По отраслевому признаку различают
внутриотраслевое и межотраслевое кооперирование. Внутриотраслевое
кооперирование представляет собой производственные связи между предприятиями
одной отрасли. Межотраслевое кооперирование - это длительных производственные
связи между предприятиями различных отраслей.По территориальному признаку
кооперирование может быть внутрирайонным и межрайонным. Внутрирайонное
кооперирование представляет собой длительные производственные связи между
предприятиями одного экономического района. Межрайонное кооперирование - это
длительные производственные связи между предприятиями, расположенными в
различных экономических районах.
.4 Показатели измерения специализации и
кооперирования
Для оценки и планирования развития специализации
производства пользуются следующей системой показателей:
) количество отраслей и отраслевая структура
промышленности;
) удельный вес специализированного производства
в общем выпуске данного вида продукции;
) удельный вес продукции, соответствующей
профилю данной отрасли или предприятия, в общем, объеме выпускаемой продукции;
) удельный вес продукции заводов и цехов,
специализированных подетально и технологически, в общем, объеме выпускаемой
продукции;
) количество групп, видов и типов технологически
однородных изделий, выпускаемых отдельными предприятиями, цехами.
Уровень специализации промышленных предприятий
характеризуется такими показателями, как:
) уровень оптимальности объема производства
однородной продукции (коэффициент оптимальности) на предприятии (в цехе);
) удельный вес массовой и крупносерийной
продукции в общем, объеме производства завода, цеха;
) удельный вес стандартных, нормализованных и
унифицированных частей в общем числе изготовляемых деталей и узлов;
) удельный вес специального и другого
высокопроизводительного оборудования в общем парке станков (оборудования),
завода, цеха;
) количество специализированных цехов,
производственных участков, поточных линий и т. д.;
) коэффициент серийности по основным
производственным подразделениям предприятия, объединения.
Уровень производственного кооперирования
характеризуется следующими показателями:
а) коэффициент кооперирования, или удельный вес
покупных изделий и полуфабрикатов в общем объеме продукции отрасли или
предприятия;
б) количество предприятий-смежников, участвующих
в производстве продукции головного предприятия;
в) соотношение, объемов внутрирайонных и
межрайонных, внутриотраслевых и межотраслевых кооперированных поставок;
г) доля предметного (агрегатного), подметального
и технологического (стадийного) кооперирования в общих кооперированных
поставках;
д) средний радиус кооперирования отдельного
предприятия и в целом по отрасли.
2. Факторы, влияющие на выбор формы общественной
организации производства
.1 Экономическая эффективность концентрации и
комбинирования производства и факторы на них влияющие
Экономическое значение концентрации
производства
Концентрация выражается в создании и
развитии крупных производств и предприятий, в сосредоточении большей части
продукции каждой отрасли на специализированных предприятиях. Концентрация
производства создает возможности для более эффективного использования
современной высокопроизводительной техники и неуклонного роста
производительности общественного труда.
Следует различать два
взаимосвязанных понятия: концентрация производства и централизация управления.
При рассмотрении проблем
концентрации производства в практике, как правило, используется понятие
«размеры предприятий».
Наиболее точно уровень концентрации
производства (на любом уровне) характеризуется абсолютными показателями объема
выпускаемой продукции.
При планировании и анализе процессов
концентрации в промышленности обычно используют группировки объединений и
предприятий по объему продукции (товарной, реализованной), численности рабочих
или работающих, стоимости основных фондов, потреблению электроэнергии. Эти
группировки можно использовать только при общем анализе концентрации
производства. Для более детального анализа используются группировки по данным
производства аналогичной продукции в натуральном или условно-натуральном
исчислении.
В каждой отрасли или подотрасли,
изготовляющей определенную продукцию, концентрация производства зависит от
конструктивно-технологических особенностей продукции. Например, в черной
металлургии, электроэнергетике и некоторых других отраслях концентрации
производства, а следовательно, и размеры предприятий зависят от размеров
основных агрегатов, а также их количества, обеспечивающего комплексное
использование всех факторов производства и управления; в машиностроении,
текстильной, обувной отраслях размеры производства и концентрации предприятий
определяются оптимальным сочетанием определенных комплексов машин и
оборудования, форм организации в соответствии с особенностями технологии
производства.
Основным критерием эффективности
концентрации в промышленности является максимальное использование факторов
производства.
Отраслевые особенности не позволяют
установить единые для всех отраслей оптимальные размеры производств и
предприятий.
• В отраслях добывающей
промышленности на величину оптимальных размеров производств существенное влияние
оказывают природные условия и объемы потребления полезных ископаемых. Исходя из
запасов полезного ископаемого в месторождении, сроков службы поверхностных и
подземных сооружений (карьеров, шахт и др.), объемов потребления определяются и
объемы добычи, а значит, и размеры предприятий. Так, если запасы угля или руды
в месторождении и сроки службы зданий и сооружений ограничены 30 годами, то
размеры шахт или карьеров должны быть рассчитаны на ежегодную добычу 3-3,5% от
общей величины извлекаемых достоверных запасов полезного ископаемого.
• В отраслях обрабатывающей
промышленности с непрерывным процессом производства (металлургия, химия,
электроэнергетика, цементная, сахарная промышленность и др.) величина
размерного ряда оптимальных мощностей определяется единичными мощностями
современных агрегатов - от самых мелких до крупных и крупнейших, сооружаемых,
как правило, в комплексе с другими агрегатами и обслуживающими хозяйствами.
Оптимальные мощности отдельных цехов определяются исходя из единичных мощностей
установленных агрегатов, а общая мощность предприятий - исходя из возможностей
выпуска готовой (для данных предприятий) продукции.
• В отраслях обрабатывающей
промышленности с дискретным (прерывным) производством (машиностроение,
деревообработка, обувная, текстильная промышленность) оптимальные размеры
производства определяются исходя из рационального набора различных станков и
оборудования, поточных и автоматических линий, обслуживающих хозяйств и других
подразделений, необходимых для обеспечения выпуска продукции при минимальных
затратах трудовых ресурсов.
• Концентрация промышленного
производства осуществляется в трех основных формах:
концентрация специализированного
производства;
концентрация комбинированных
производств;
увеличение размеров универсальных предприятий.
Наиболее эффективна первая форма,
обеспечивающая сосредоточение однородного производства на все более крупных
предприятиях, что позволяет применять высокопроизводительные специализированные
машины, автоматизированные и поточные линии, современные методы организации
производства.
Высокоэффективна также и вторая
форма концентрации, которая обеспечивает последовательность выполнения
технологических процессов, комплексную переработку сырья, использование
побочных продуктов и отходов.
Менее эффективна третья форма, при
которой осуществляется концентрация производств, не связанных между собой ни
однородностью и последовательностью технологических процессов, ни комплексной
переработкой сырья. Предприятия универсального типа объединяют разнородные автономные
и малосвязанные между собой производства. В объединениях и на предприятиях
третьей формы концентрации сочетаются сравнительно крупные производства в одних
цехах (основных) и мелкие - в других (вспомогательных). Недостаточный уровень
специализации, различные размеры сочетаемых производств и разнородность
продукции, а также усложнение управления не позволяют достигнуть высшей
эффективности производства.
Концентрация производства и ее
отдельные формы развиваются на основе совокупного влияния двух главных факторов:
роста потребности в определенных видах продукции и технического прогресса в
производстве. Поэтому на каждом этапе развития степень концентрации
производства должна соответствовать размеру производства и производительности
оборудования. Переконцентрация экономически так же нежелательна, как и
недостаточная концентрация.
Укрупнение размеров предприятий
осуществляется в промышленности повышением единичных мощностей машин и
оборудования, а также размеров сооружений, увеличением количества одинаковых машин
и оборудования, а также их сочетанием.
В электроэнергетике, черной и
цветной металлургии, цементной, некоторых производствах химической и других
отраслей промышленности увеличение единичных мощностей - основной фактор
концентрации производства и увеличения размеров предприятий на основе
увеличения единичных мощностей основных агрегатов и сооружений. Рост единичной
мощности ведет к снижению ее удельной стоимости и себестоимости выпускаемой с
ее помощью продукции.
В машиностроении, легкой, пищевой и
некоторых других отраслях технологические особенности исключают возможность
использования машин и агрегатов особо большой мощности. Крупное производство
объединений и предприятий в этих отраслях отличается не единичной мощностью
агрегатов, а количеством единиц машин, оборудования, рациональной организацией
производства и управления.
Создание высокопроизводительных
автоматических и роторных линий, гибких автоматизированных систем,
обрабатывающих центров (как и для машиностроения) является в сущности третьим
способом концентрации - совместным действием укрупнения агрегатов и увеличения
их количества на одном предприятии.
Имеющиеся в крупном производстве
условия для более целесообразного разделения труда внутри предприятия
способствуют внедрению высокопроизводительного оборудования, прогрессивной
технологии и организации производства.
Расходы по управлению на крупных
предприятиях относительно меньше, чем на более мелких, так как они
увеличиваются непропорционально росту масштабов производства.
В условиях крупного предприятия
экономически оправдывается создание конструкторских бюро, лабораторий, опытных
установок, необходимых для обеспечения технического прогресса, за счет которого
затраты на эти цели при крупных масштабах производства окупаются в короткие
сроки.
В каждой отрасли имеются свои
оптимальные размеры производств, обеспечивающие высокие технико-экономические
показатели.
• Например, в машиностроении самая
высокая выработка продукции на одного работающего и на единицу основных
производственных фондов на предприятиях с численностью работающих от 1001 до
5000. На более крупных предприятиях выработка на одного работающего остается
примерно такой же, а на единицу фондов оказывается даже ниже.
На ткацких фабриках, имеющих
1000-2000 ткацких станков, выработка на один станок и производительность одного
работающего выше, чем на фабриках с количеством станков, превышающим 5000.
Увеличение размеров предприятий
иногда вызывает дополнительные расходы, которые могут привести не к сокращению,
а к увеличению затрат на производство.
Рациональная организация крупных
предприятий облегчается, если какая-то часть работы перекладывается на другие
узкоспециализированные производства, в том числе и небольшие. С освобождением
крупных предприятий от несвойственных им функций (изготовления полуфабрикатов и
деталей массового применения, выполнения ремонтных работ) повышается уровень их
специализации и соответственно эффективность.
Экономическая эффективность комбинирования в
промышленности достигается, прежде всего, через концентрацию производства, так
как комбинированное предприятие характеризуется большим объемом выпуска
продукции. Комбинирование в промышленности способствует: экономии затрат на
орудия труда, экономии предметов труда и рабочей силы в основных производствах;
экономии денежных затрат, связанных с организацией производства; расширению
сырьевой базы промышленности; равномерному размещению промышленных предприятий
по территории страны; комплексному развитию хозяйства экономических районов;
экономии транспортных расходов, связанных с перевозкой сырья, полуфабрикатов и
готовой продукции. При комбинировании снижаются удельные капитальные вложения
на содержание общих обслуживающих устройств для объединяемых в комбинате частей
целого. К ним относятся: паро- и теплоснабжение, внутризаводской транспорт,
ремонтное хозяйство, складские помещения, понижающие подстанции, водоснабжение,
канализация. Наибольшей эффективностью характеризуется комбинирование, которое
базируется на комплексном использовании сырья. Здесь имеет место производство нескольких
продуктов на одном и том же оборудовании, при значительном сокращении затрат
живого и овеществленного труда. При этом, чем больше количество компонентов
извлекается из сырья, тем больше увеличивается товарная продукция комбинатов,
снижаются себестоимость продукции основного производства и удельные капитальные
затраты, растет производительность труда рабочих.
Экономическая эффективность комбинирования
определяется путем сравнения технико-экономических показателей комбината и
соответствующих показателей, обособленных в хозяйственном отношении. Основными
показателями эффективности комбинирования промышленности являются: общие и
удельные капитальные затраты; производительность труда; себестоимость
продукции; экономия сырья, материалов и энергии. Обобщающими показателями
экономической эффективности комбинирования промышленного производства являются
уменьшение суммы произведенных затрат и увеличение рентабельности. Расчеты
экономической эффективности комбинирования являются частным случаем определения
эффективности капитальных вложений.
Создание крупных комбинатов имеет свои
экономические границы в соответствии с законами концентрации. Концентрация
производства имеет свои преимущества и недостатки. Преимущества - это в
основном возможность концентрации средств для развития производства и
социальной сферы; недостатки - неспособность к быстрой перестройке производства
на выпуск новых изделий. В условиях перехода к рыночным отношениям концентрация
постепенно утрачивает свои преимущества. Основное значение в условиях рынка
приобретает возможность перестройки производства на другой вид продукции.
В условиях рыночной экономики российской
промышленности необходимы структурная перестройка, дифференциация крупных
предприятий, создание малых предприятий, способных быстро перестраиваться на
выпуск новых изделий. В современных условиях необходимо обратить внимание
предпринимателей на создание и развитие подетальной и технологической
специализации, изготовление унифицированного инструмента, технологической
оснастки. В целях повышения эффективности производства, качества и
конкурентоспособности выпускаемой продукции, снижения затрат живого и
овеществленного труда необходимо: расширять внутри- и межмашинную унификацию
семейства машин; развивать межотраслевые производства продукции, проводить их
сертификацию.
Для совершенствования внутрипроизводственного
управления следует проводить разукрупнение чрезмерно больших предприятий,
создавать дочерние фирмы, способствовать развитию малого бизнеса.
Комбинирование характерно для многих отраслей промышленности, но имеет свои
особенности в каждой из них. Экономическая эффективность комбинирования высока,
однако имеет определенные границы, поэтому необходимо рассчитывать
экономическую эффективность комбинирования.
2.2 Экономическая эффективность специализации и
кооперирования производства и факторы, на них влияющие
Специализация производства является
одной из форм организации производства.
Специализация производства - это
сосредоточение деятельности предприятия отрасли на выпуск ограниченной
номенклатуры изделии или технологически однородной продукции.
Развитие специализации также
беспредельно как беспредельно само развитие техники, отмечали ведущие
экономисты. И это верно. Со временем лишь усиливаются те или иные формы
специализации, видоизменяются их конкретные проявления.
В промышленности четко проявляются
отрасли, акцентирующиеся на специализации, а значит последующее кооперирование
(машиностроение, деревообработка и др.) и тяготеющие к комбинированию
производства (пищевая, химическая, металлургия и др.).
В современной промышленности четко
различаются три формы специализации, хотя конкретных видов множество, к формам
специализации относятся следующие.
. Предметная.
. Подетальная (поузловая).
. Технологическая (постадийная).
При предметной форме специализации
предприятия отрасли сосредоточивают свою деятельность на отдельных предметах,
годных к самостоятельному потреблению - хлеб, вино, масло, консервы, сахар и
др. На основе предметной формы специализации в основном сформировались отрасли
пищевой промышленности - сахарная, мясная, кондитерская, винодельческая и др.
При подетальной (поузловой) форме
специализации предприятия отрасли сосредоточивают свою деятельность на
производство отдельных деталей или узлов готового продукта, годного к самостоятельному
потреблению. Подетальная (поузловая) форма специализации применяется и довольно
развита в отраслях промышленности, производящих конструктивно сложную продукцию
- машиностроение, приборостроение, автомобильная, инструментальная промышленность.
Классическим видом подетальной формы
специализации является шарикоподшипниковая промышленность, производящая одну
деталь -подшипники.
Продукция пищевой промышленности
конструктивно несложна, поэтому подетальной формы специализации в этой отрасли
нет.
Технологическая (постадийная) форма
специализации предполагает сосредоточение деятельности предприятий на
производстве одной или нескольких фаз производства готового продукта, годного к
самостоятельному потреблению, эта форма специализации позволяет рациональнее
рассредоточить отрасли промышленности, приближая одних к источникам сырья,
других - к районам потребления. Классическим примером технологической
(постадийной) специализации может служить производство на отдельных
предприятиях отрасли руды (добыча и обогащение), чугуна из руды, стали из
чугуна, проката из стали, машин из проката. В пищевой промышленности
технологическая (постадийная) форма специализации весьма развита:
сахаро-песочные и сахарорафинадные предприятия соответствующих отраслей;
первичное, вторичное виноделие и предприятия по розливу готового вина;
производство зерна - хранение и обработка зерна на элеваторах - мука - хлеб,
макароны, кондитерские изделия и др.
Технологическая форма специализации
в пищевой промышленности обеспечивает существенную экономию средств на
транспорте, но в условиях первоначального рынка она несколько ослабла. Ведь на
этой стадии рынка каждый хозяйствующий субъект ищет максимум прибыли. А это
достигается сосредоточением у себя всех возможных переделов. Но это временно.
Закон специализации, равно как и закон свободного размещения производительных
сил все выпрямит. Сами хозяйствующие субъекты с большой выгодой для себя и
конкурентоспособностью разместят свои предприятия в соответствии с законом
специализации и размещения.
Процесс специализации имеет
определенный уровень. Уровень специализации производства характеризуется для
различных ее форм и разнообразных сочетаний следующими показателями.
. Удельный вес произведенной
продукции специализированными предприятиями в общем объеме производства
продукции отрасли:
. Удельный вес специализированных
предприятий в общем числе предприятий отрасли.
. Количество производимых видов
продукции на предприятии отрасли.
. Количество и доля технологически
однородных групп продукции в общем объеме производства.
. Удельный вес специализированного
оборудования в общем парке машин.
Экономическая эффективность
специализации весьма высока, достижения современной промышленности, во всех
странах мира во многом обеспечены специализацией производства.
Экономическая эффективность при
специализации производства достигается использованием высокопроизводительного и
экономичного специализированного оборудования, существенным снижением потерь
рабочего времени из-за отсутствия или минимума переналадок, формированием
высококвалифицированных специализированных кадров, обеспечивающим высокую
производительность труда на специализированных операциях. Так, на
специализированных инструментальных предприятиях стоимость инструментов,
метизов в несколько раз дешевле, а производительность труда в десятки раз выше,
чем их производство на каждом машиностроительном или другом универсальном
предприятии. То же самое можно сказать о расфасовочных предприятиях пищевой
промышленности.
В пищевой промышленности предметная
специализация не имеет перспективы. Она и так чрезмерна узко предметно
специализирована, а вот технологическая (постадийная) форма специализации
перспективна.
Количество кооперирующихся между
собой предприятий. Экономическая эффективность классических форм кооперирования
складывается из экономической эффективности специализации. Гораздо дешевле,
например, получать кооперированные поставки, комплектующие от
самостоятельных предприятий, чем производить их в небольших количествах для
собственного потребления каждому предприятию. Инструменты и метизы, например,
при кооперированных поставках в несколько раз дешевле, чем их производство на
каждом предприятии. Здесь проявляется, безусловно, эффект крупномасштабного
специализированного производства, эффект концентрации и специализации
производства.
Кооперирование производства, как
правило, развито в отраслях, производящих конструктивно сложную продукцию или
требующих её особую техническую характеристику, параметры.
В пищевой промышленности
классические формы кооперирования практически отсутствуют. Это опять-таки
объясняется конструктивной простотой пищевого продукта и технической
несложностью, нетребовательностью продуктов и полуфабрикатов при
последовательной обработке сырья (первичное и вторичное виноделие,
зерно-мука-хлеб, макароны, печенье и т.д.).
Конечно же, признаки классического
кооперирования есть и в отраслях пищевой промышленности. Например, особые
технические условия, требования предъявляются к виноматериалам для шампанских
вин, коньяка; к муке для производства макаронных изделий. Однако экономического
значения в промышленном масштабе это не имеет. В пищевой промышленности
достаточно обычных взаимосвязей в товарном рынке между самостоятельными
хозяйствующими субъектами.
В пищевой промышленности впервые
появилась особая и весьма эффективная форма кооперирования, основанная на
совместном использовании близлежащими пищевыми предприятиями объектов
вспомогательного производства и обслуживающих хозяйств с наибольшей полнотой,
загрузкой в течении всего года. Эффект и экономическая целесообразность этой
специфической формы кооперирования дополняется возможностью смягчения сезонного
характера деятельности многих отраслей и усилением взаимосвязи объективно
родственно размешенных предприятий в зоне переработки сырья или районе потребления.
Если в межсезонье, когда не работает
основное производство, не всегда можно использовать технологическое
оборудование и площади этих технологических цехов, то объекты вспомогательного
производства и обслуживающих хозяйств всегда можно эффективно эксплуатировать
другими близлежащими предприятиями. Это - ремонтно-механические мастерские,
электрические установки и сети, тепловое хозяйство, склады, подъездные пути,
транспортные средства, общие производственные площади, территория,
утильхозяйства и др.
В сезон всегда рациональнее
используется вспомогательное производство и обслуживающее хозяйство, ибо
производство осуществляется в более крупном масштабе, а значит дешевле. В этот
период, например, близлежащее к свеклосахарному производству пищевое предприятие
пар или электроэнергия приобретает от него, в несколько раз дешевле, чем их
самостоятельное производство в небольшом объеме. Такая централизация
вспомогательного производства и обслуживающего хозяйства получает эффект
концентрации производства, преимущества крупномасштабного производства.
Впервые проект кооперированного
строительства родственных по характеру размещения пищевых предприятий был
разработан Краснодарским проектным институтом "Севкавгипропищепром"
для двух десятков комплексов, включавших свеклосахарные, винодельческие,
мясные, молочные предприятия в зоне сырья (Кубань, Адыгея) и набора
соответствующих производств пищевых продуктов на единой промплощадке в районе
потребления (Геленджикский комплекс пищевых предприятий, Новосибирский комплекс
и др.).
Экономический эффект от
строительства и совместной эксплуатации таких комплексов составляет по
капитальным вложениям 19-20 %, а на эксплуатационных затратах 24-25 %.
Такое кооперированное строительство
пищевых предприятий было принято в свое время как типовое и обязательное.
3. Практическая часть курсовой работы
3.1 Трудовые ресурсы организации
Понятие и показатели производительности труда:
Производительность труда - это эффективность
использования трудовых ресурсов предприятия. В настоящее время различают
несколько показателей эффективности затрат труда.
Измерить производительность труда можно исходя
из количества продукции, произведенной в единицу времени (выработка), или
количества времени, затраченного на производство единицы продукции (трудоемкость).
Для этого используются два показателя:
- выработка
- трудоемкость.
Выработка - это показатель количества продукции,
произведенного в единицу рабочего времени или приходящегося на одного
среднесписочного работника. Представлена показателя годовой, дневной и часовой
выработки.
Трудоемкость - представляет собой показатель
индивидуальной производительности труда, который характеризует затраты рабочего
времени на производство единицы продукции.
Расчет показателей использования трудовых
ресурсов:
Основными показателями эффективности
использования трудовых ресурсов являются следующие показатели:
1) Среднегодовая выработка в стоимостном
выражении, которая рассчитывается по формуле (1):

(1)

где ВП - объём выпущенной продукции
в стоимостном выражении, млн.руб.;
Чппп - численность
промышленно-производственного персонала, чел.
2) Среднедневная выработка, которая определяется
по формуле(2):

(2)

/чел
где
- число рабочих дней, дни.
3) Среднечасовая выработка, рассчитываемая по
формуле(3):

(3)
где ВП - объём выпущенной продукции в
стоимостном выражении, тыс.руб.;

- продолжительность рабочей смены,
часы.
Таблица 1 - Показатели использования
производительности труда
|
Показатели
|
Значение
|
|
Среднегодовая
выработка,  6122448
|
|
|
Среднедневная
выработка,  24295
|
|
|
Среднечасовая
выработка,  3037
|
|
3.2 Основные фонды организации
Понятие и состав основных фондов:
Основные фонды представляют собой средства
производства, которые многократно участвуют в процессе производства, постепенно
переносят свою стоимость на готовую продукцию и при этом не меняют своей
материально-вещественной формы.
1) Здания - производственные и
непроизводственные корпуса, жилые здания;
2) Сооружения - гидротехнические сооружения,
мосты, подвесные дороги;
3) Передаточные устройства - с их помощью передается
энергия различных видов, жидкие и газообразные вещества (кабельные линии,
газопроводы, электросети, трубопроводы);
4) Машины и оборудование;
) Транспортные средства - железнодорожный
подвижной состав, морской и речной флот, производственный и коммунальный
транспорт;
) Инструмент - бурильные и отбойные
молотки, электродрели;
) Производственный инвентарь и
принадлежности - контейнеры, инвентарь гостиниц, верстаки, рабочие столы;
) Хозяйственный инвентарь и
принадлежности - шкафы, несгораемые ящики, ковры;
) Рабочий и продуктивный скот - лошади и
другой скот кроме оленей и волов;
) Многолетние насаждения - вишня, слива,
виноградники;
) Прочие основные фонды - животные
цирков, зоопарков, библиотечные фонды, музейные ценности.
Расчёт показателей использования основных
фондов:
При начислении амортизации, расчете показателей
эффективности использования основных фондов, расчете показателей движения
основных фондов используется среднегодовая стоимость основных фондов.
Таблица 2 - Среднегодовая стоимость основных
фондов в миллионах рублей
|
Стоимость
основных фондов на начало периода
|
Стоимость
вводимых основных фондов
|
Стоимость
выбывших основных фондов
|
Стоимость
основных фондов на конец периода
|
Среднегодовая
стоимость основных фондов
|
|
220000000
|
12000000
|
6000000
|
226000000
|
230200000
|
1) Среднегодовую стоимость основных фондов
рассчитать по формуле(4):

(4)
где 
- стоимость основных фондов на
начало года, млн. руб.;

- стоимость вводимых основных
фондов, млн. руб.;

- стоимость выбывших основных
фондов, млн. руб.;

-число полных месяцев до конца года
с момента ввода основных фондов;

- число полных месяцев до конца
года, когда основные фонды не работают.
Основными показателями эффективности
использования основных фондов являются следующие показатели:
Фондоотдача, которая рассчитывается по формуле
(5):

(5)
где ВП - объём выпущенной продукции,
млн. руб.
Фондоёмкость, которая рассчитывается
по формуле (6):

(6)
Фондовооруженность, которая
рассчитывается по формуле (7):

(7)

руб./чел.
где Ч - численность работников, чел.
К показателям движения основных
фондов относят:
Коэффициент ввода, который
рассчитывается по формуле (8):

(8)
где 
- стоимость основных фондов на
конец года.
Коэффициент выбытия, который
рассчитывается по формуле (9):

(9)
где 
- стоимость основных фондов на
начало года.
Коэффициент износа, который
рассчитывается по формуле (10):

(10)
где И - износ основных фондов.
Коэффициент прироста, который
рассчитывается по формуле (11):

(11)
Таблица 3 - Показатели использования
основных фондов
|
Показатели
|
Значение
|
|
Фондоотдача
 0,38
|
|
|
Фондоёмкость
 0,38
|
|
|
Фондовооружённость
 2,35
|
|
|
Коэффициент
ввода
|
0,05
|
|
Коэффициент
выбытия
|
0,027
|
|
Коэффициент
износа
|
0,10
|
|
Коэффициент
прироста
|
0,027
|
Расчёт амортизационных отчислений
Амортизация - перенос части стоимости основных
фондов на готовую продукцию, возмещение износа основных фондов путем включения
их стоимости в затраты на выпуск продукции.
Денежным выражением размера амортизации являются
амортизационные отчисления, которые включаются в себестоимость продукции.
Каждое предприятие ежегодно отчисляет в
амортизационный фонд определенный процент от среднегодовой стоимости основных
фондов, который называется нормой амортизации.
Расчет амортизационных отчислений линейным
методом.
Линейный способ - заключается в равномерном
начислении амортизации на протяжении срока полезного использования основных
фондов. При этом способе годовая сумма амортизационных отчислений определяется
путем умножения амортизируемой стоимости на годовую норму амортизации
) Норма амортизации рассчитывается по
формуле(12):

(12)
где СПИ - срок полезного
использования, лет.
Срок полезного использования (СПИ) -
период времени, на протяжении которого предприятие предполагает использовать
объект основных средств.
2) Амортизационные отчисления рассчитываются
по формуле(13):

(13)
где 
- среднегодовая стоимость основных
фондов, млн. руб.
Таблица 4 - Ежегодные
амортизационные отчисления линейным методом
|
Амортизационная
стоимость основных фондов, млн.руб.
|
Норма
амортизации, %.
|
Сумма
амортизационных отчислений, млн. руб.
|
|
230200000
|
10
|
23020000
|
3.3 Оборотные средства предприятия
Понятие и состав оборотных средств
Оборотные средства - это часть средств
производства, экономическое назначение которых заключается в обеспечении
непрерывности производственного процесса и хозяйственной деятельности
предприятия.
Оборотные средства включают оборотные
производственные фонды и средства обращения.
Оборотные производственные фонды - это та часть
средств производства, которая целиком потребляется в каждом его цикле, меняет
свою натурально-вещественную форму, полностью переносит свою стоимость на
готовый продукт и целиком возмещается после каждого производственного цикла. Их
вещественным содержанием являются предметы труда - сырье, материалы, запчасти,
инструмент, топливо и т.д.
Сумма денежных средств, вложенных в оборотные
производственные фонды и фонды обращения, называются оборотными средствами или
оборотным капиталом.
Расчёт показателей использования оборотных
средств:
Основными показателями эффективности
использования оборотных средств являются следующие показатели:
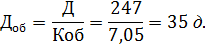
1) Коэффициент оборачиваемости рассчитать
по формуле(14):

(14)
где ВП - выпуск продукции, млн.
руб.;
Со - средний остаток оборотных
средств, руб.
2) Длительность одного оборота рассчитать
по формуле(15):

(15)
где Д - продолжительность планового расчетного
периода.
3) Материалоемкость продукции
рассчитывается по формуле(16):

(16)
где МЗ - материальные затраты, руб.;
ВП - объём выпущенной продукции в
стоимостном выражении, млн. руб.
Таблица 5 - Показатели использования
оборотных средств
|
Показатели
|
Значение
|
|
Коэффициент
оборачиваемости, об.
|
7,05
|
|
Длительность
одного оборота, дни
|
35
|
|
Материалоёмкость,
руб./руб.
|
0,35
|
3.4 Себестоимость продукции
Себестоимость как экономическая категория, её
виды:
Себестоимость продукции представляет выраженные
в денежной форме текущие затраты предприятий на производство и реализацию
продукции (работ, услуг).
Себестоимость продукции является не только
важнейшей экономической категорией, но и качественным показателем, так как она
характеризует уровень использования всех ресурсов (переменного и постоянного
капитала), находящихся в распоряжении предприятия.
Различают следующие виды себестоимости:
- цеховая себестоимость.
- производственная себестоимость.
- полная себестоимость.
Цеховая себестоимость представляет собой затраты
цеха, связанные с производством продукции.
Производственная себестоимость помимо затрат
цехов включает общепроизводственные и общехозяйственные расходы.
Полная себестоимость отражает все затраты на
производство и реализацию продукции, слагается из производственной
себестоимости и внепроизводственных расходов (расходы на тару и упаковку,
транспортировку продукции, прочие расходы).
Различают индивидуальную и среднеотраслевую
себестоимость.
Индивидуальная себестоимость обуславливается
конкретными условиями, в которых действует то или другое предприятие.
Среднеотраслевая себестоимость определяется как
средневзвешенная величина и характеризует средние затраты на единицу продукции
по отрасли, поэтому она находится ближе к общественно необходимым затратам
труда.
На практике в целях анализа, учета и
планирования всего многообразия затрат, входящих в себестоимость продукции,
применяются две взаимодополняющие классификации: поэлементная; калькуляционная.
Расчёт себестоимости продукции по элементам:
Классификация затрат по экономическим элементам
служит для определения заданий по снижению себестоимости продукции, расчета
потребностей в оборотных средствах, расчета сметы затрат, а также для
экономического обоснования инвестиций.
Группировка затрат по экономическим элементам
определяет абсолютные суммы затрат на производственную деятельность
предприятия, но она не дает возможность определить себестоимость единицы
продукции конкретного вида.
Таблица 6 - Себестоимость продукции в миллионах
рублей.
|
Наименование
экономических элементов
|
Показатель
|
|
Материальные
затраты, млн.руб.
|
210000000
|
|
Расходы
на оплату труда, млн.руб.
|
221400000
|
75276000
|
|
Отчисления
в БГС, млн.руб.
|
132840000
|
|
Амортизация
основных фондов и нематериальных активов, млн. руб.
|
23020000
|
|
Прочее
затраты, млн. руб
|
180000000
|
|
Итого
|
842500000
|
1) Рассчитать отчисления в фонд социальной
защиты населения по формуле(17):

(17)
Где ФЗП - фонд заработной платы работников, млн.
руб.;

- ставка отчислений в фонд
социальной защиты населения, %.
2) Рассчитать отчисления в белгосстрах по
формуле(18):

(18)
где Сбгс - ставка отчислений в
белгосстрах, %.
3) Рассчитать структуру себестоимости в
процентах и оформить в виде
Таблиц 7 - Структура себестоимости в процентах.
|
Наименование
экономических элементов
|
%
|
|
Материальные
затраты, млн. руб.
|
22,9
|
|
Расходы
на оплату труда, млн. руб.
|
24,1
|
|
Отчисления
в ФСЗН, млн. руб.
|
8,2
|
|
Отчисления
В БГС, млн. руб.
|
0,15
|
|
Амортизация
основных фондов и нематериальных активов, млн. руб.
|
25,1
|
|
Прочие
затраты, млн. руб.
|
19,6
|
|
Итого
|
100
|
Для анализа необходимо построить круговую
диаграмму структуры себестоимости. Пример построения круговой диаграммы
представлен на рисунке 4:
Рисунок 4 - Структура себестоимости
Расчет себестоимости продукции методом
калькуляции:
Для внутрипроизводственного планирования и
выявления резервов снижения себестоимости продукции необходимо знать не только
общую сумму затрат каждого предприятия по тому или иному экономическому
элементу, но и величину расходов в зависимости от места их возникновения. Такую
возможность дает классификация затрат по калькуляционным статьям.
Для исчисления себестоимости отдельных видов продукции
затраты предприятия группируются по статьям калькуляции.
Выделяют 12 статей калькуляции. Итог 11 статей
образует производственную себестоимость продукции, итог всех 12 статей полную
себестоимость продукции.
Таблица 8 - Себестоимость продукции в миллионах
рублей.
|
Наименование
статей калькуляции
|
Показатели,
млн. руб.
|
|
1
|
2
|
|
Затраты
на сырье и материалы
|
35000000
|
|
Возвратные
отходы
|
5000000
|
|
Покупные
изделия и полуфабрикаты
|
-
|
|
Затраты
на топливо и электроэнергию
|
23000000
|
|
Основная
заработная плата
|
180000000
|
|
Дополнительная
заработная плата
|
41400000
|
|
Отчисления
в ФСЗН
|
14076000
|
|
Отчисления
в БГС
|
2466000
|
|
Общепроизводственные
расходы
|
29181000
|
|
Общехозяйственные
расходы
|
35757000
|
|
Потери
от брака
|
-
|
|
Производственная
себестоимость
|
349038000
|
|
Коммерческие
расходы
|
14543250
|
|
Полная
себестоимость
|
363581250
|
1) Определить размер дополнительной заработной
платы необходимо по формуле(19):

(19)
где З/Посн - основная заработная плата
производственных рабочих, млн. руб.
Сдопз/п - процент дополнительной заработной
платы.
2) Рассчитать отчисления в фонд социальной
защиты населения по формуле(20):

(20)
где ФЗП - фонд заработной платы работников, млн.
руб.;

- ставка отчислений в фонд
социальной защиты населения, %.
3) Рассчитать отчисления в белгосстрах по
формуле(21):

(21)
где Сбгс - ставка отчислений в белгосстрах, %.
4) Определить размер общепроизводственных
расходов необходимо по формуле (22):

(22)
где Сопр - процент распределения
общепроизводственных расходов.
5) Определить размер общехозяйственных расходов
необходимо по формуле (23):

(23)
где Сохр - процент распределения
общехозяйственных расходов.
6) Определить размер коммерческих расходов
необходимо по формуле (24):

(24)
где С/Спр - производственная себестоимость
продукции;
Скр - процент распределения коммерческих
расходов.
Производственная себестоимость определяется как
сумма 11 статей калькуляции за вычетом возвратных отходов.
7) Определить полную себестоимость продукции
необходимо по формуле (25):

(25)
3.5 Формирование отпускной цены в организации
Понятие и значение цены
Цена - это стоимость товара, выраженная
количеством денег, которое приходится платить при покупке товара.
Цена представляет собой денежное выражение
стоимости товара. Она выступает важнейшим экономическим рычагом, с помощью
которого государство может воздействовать на развитие экономики в целом,
отдельного производства и его структуры, конкуренции товаропроизводителей и
конкурентоспособность товара, научно-технический прогресс. Расчет отпускной
цены методом прямого счета:
Метод прямого счета служит непосредственно для
определения отпускной цены
1) Исходя из полной себестоимости продукции
необходимо определить предполагаемую прибыль по формуле (26):

(26)
где Нр - норма рентабельности.
2) Исходя из полученной прибыли и полной
себестоимости определите отпускную цену по формуле (27):

(27)
3) Определите налог на добавленную стоимость по
формуле (28):

(28)
4) Определите отпускную цену с НДС по формуле
(29):

(29)
Таблица 9 - Отпускная цена
|
Наименование
показателей.
|
Значение
|
|
Норматив
рентабельности, %
|
25
|
|
Полная
себестоимость продукции, руб.
|
36358250
|
|
Размер
полученной прибыли, руб.
|
90895313
|
|
Налог
на добавленную стоимость, руб.
|
90895313
|
|
Отпускная
цена, руб.
|
454476563
|
|
Отпускная
цена с НДС, руб
|
545374776
|
.6 Прибыль организации
Понятие и виды прибыли:
Общая величина всех прибылей от всех видов
деятельности представляет собой суммарную (валовую) прибыль предприятия.
Основными составными элементами суммарной прибыли являются:
- прибыль (убыток) от реализации продукции,
выполнения работ, оказания услуг;
- прибыль (убыток) от реализации
основных фондов, а также иного имущества предприятия;
- финансовые результаты от
внереализационных операций.
Расчет прибыли предприятия. Определение чистой
прибыли:
a. Совокупная суммарная прибыль
рассчитывается по формуле(30):

(30)
Где 
- прибыль от реализации продукции,
млн.руб.;

- прибыль от прочей реализации,
млн. руб.;

- прибыль от внереализационных
операций, млн. руб.
b. Прибыль от реализации продукции рассчитать по
формуле(31):

(31)
где ВР - выручка от реализованной продукции,
млн. руб.;

- себестоимость реализованной
продукции, млн. руб.;
НДС - налог на добавленную
стоимость.
2) Налог на добавленную стоимость рассчитывается
по формуле(32):

(32)
где
- ставка НДС (20%).
Для расчета налогов, уплачиваемых из прибыли,
определяется налогооблагаемая прибыль.
3) Налогооблагаемая прибыль рассчитывается по
формуле (33):

(33)

Где 
- размер льготируемой прибыли.
4) Налог на прибыль рассчитать по формуле(34):

(34)
где 
- ставка налога на прибыль (18%).
5) Чистая прибыль организации рассчитать по
формуле(35):

(35)
Таблица 10 - Прибыль предприятия в миллионах
рублей.
|
Показатели
|
руб.
|
|
НДС
|
90895796
|
|
Прибыль
от реализации продукции
|
90897730
|
|
Налогооблагаемая
прибыль
|
680897730
|
|
Налог
на прибыль
|
122561591
|
|
Чистая
прибыль
|
558336139
|
.7 Показатели рентабельности продукции
Основными показателями рентабельности являются:
1) Общая рентабельность производства
рассчитывается по формуле(36):
(36)
где Пб - балансовая прибыль
предприятия, млн.руб.;
Фср - среднегодовая стоимость
основных фондов, млн. руб.;
ОС - стоимость нормируемой части оборотных
средств, млн. руб.
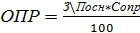
2) Рентабельность продукции рассчитать по
формуле(37):

(37)
Где 
- прибыль от реализации продукции,
млн. руб.;
с/с - себестоимость реализованной
продукции, млн. руб.
3) Рентабельность продаж рассчитать по формуле(38):

(38)
где ВР - выручка от реализации продукции, млн.
руб.
Таблица 11 - Показатели рентабельности в
процентах
|
Показатели
|
Значение
|
|
Общая
рентабельность производства
|
128,8%
|
|
Рентабельность
продукции
|
100%
|
|
Рентабельность
продаж
|
16,6%
|
.8 Технико-экономические показатели работы
организации
После проведения всех расчетов оформите сводную
таблицу 12 основных показателей производственной деятельности организации.
Таблица 12 - Технико-экономические показатели
работы организации
|
Показатели
|
Значение
|
|
1
|
2
|
|
Объём
выпущенной продукции, руб.
|
437000000
|
|
Фондоотдача,
руб./руб.
|
2600000
|
|
Фондоёмкость,
руб./руб.
|
2,606
|
|
Фондовооружённость,
 2348979
|
|
|
Длительность
одного оборота, дни
|
36
|
|
Среднегодовая
выработка,
|
|
|
Полная
себестоимость продукции, руб.
|
363581250
|
|
Выручка
от реализации продукции, руб.
|
545374776
|
|
Чистая
прибыль предприятия, руб.
|
558336139
|
|
Общая
рентабельность производства, %
|
128,8
|
|
Рентабельность
продукции, %
|
100
|
|
Рентабельность
продаж, %
|
16,6
|
Заключение
Важным условием, повышающим эффективность
производства, является совершенствование форм его организации - концентрации,
специализации, кооперирования и комбинирования. Все они взаимосвязаны,
обусловливают друг друга, постоянно изменяются под влиянием технического
прогресса, уровня развития производительных сил и производственных отношений,
характеризуются степенью разделения и обобществления труда, связью
технологических процессов или общностью производственной базы, единством
материально-сырьевых ресурсов и другими факторами.
Преимущества концентрации - это в основном
возможность концентрации средств для развития производства и социальной
сферы-недостатки - неспособность к быстрой перестройке производства на выпуск
новой техники и диктат цен. Несмотря на это концентрация сыграла свою положительную
роль. Быстрыми темпами развивались отрасли промышленности, создавались новые
отрасли, например, такие, как электронная, радиотехническая, атомная,
космическая и др.
Комбинирование характерно для многих отраслей
промышленности, но имеет свои особенности в каждой из них. Хотя экономическая
эффективность комбинирования высока, оно имеет определенные границы, а поэтому
необходим расчет экономической эффективности комбинирования. Специализация
заключается в том, что она ориентирована на производство отдельных частей
изделия. Чем сложнее изделие, тем более эффективным может быть развитие
специализации.
Специализация тесно связана с кооперированием
производства. По сути, это две стороны одного процесса, поэтому в экономическом
плане их необходимо рассматривать в единстве.
От простых взаимосвязей между производителями и
поставщиками, различными хозяйствующими субъектами рынка кооперирование
отличается особыми технико-экономическими условиями взаимосвязей, что
обусловлено совместным производством определенного продукта. Эта форма связи
между самостоятельными субъектами рынка, самостоятельными предприятиями.
Кооперирование производства, как правило,
развито в отраслях, производящих конструктивно сложную продукцию или требующих
ее особую техническую характеристику, параметры.
Концентрация, специализация, кооперирование и
комбинирование производства - формы организации отрасли, важнейшие факторы ее
эффективного функционирования.
Решив практическую часть, можно
сделать вывод о том, что основные фонды используются эффективно, так как
фондоотдача составила 2,606 руб., фондоёмкость - 0,38 руб., а
фондовооруженность - 2347879 руб.Материалоёмкость продукции составила 0,23
руб., это означает, что материальные затраты используются эффективно, так как
показатель меньше 1 руб.
Общая рентабельность предприятия
составила 128,8%, это означает, что основные фонды и оборотные фонды
задействованы эффективно. Рентабельность продукции составила 100%,
следовательно продукция рентабельна. Рентабельность продаж составила 16,6% это
означает, что большая часть выручки состоит из косвенных налогов и
себестоимости продукции.
Список использованной литературы
производство ресурс рентабельность
1. Экономика предприятия: учеб.
пособие / Л.Н. Нехорошева ; под общ. ред. Л.Н. Нехорошевой. - Минск, 2005. - С.
37-45.
. В.К. Скляренко., В.М. Прудников
Экономика предприятия: Учебник. - М.: ИНФРА-М, 2006 . - С. 142 - 145.
. Организация производства.
Учебно-практическое пособие/ М.Ю. Пасюк, Т.Н. Долинина, А.А. Шабуня. - Мн.: ООО
ФУАинформ, 2002. - С. 76
. И.В. Сергеев Экономика организации
(предприятия): Учебное пособие. - 3-е изд., перераб. и доп. М.: Финансы и
статистика, 2007
. Экономика предприятия под общ.
ред. Э.В.Крум, Т.В.Елецкий, Мн., «Вышэйшая школа», 2005г.
. Экономика предприятия: учебник / В.И.
Титов. - М. : Эксмо, 2008. - С. 151 - 162.
. Экономика предприятия: Учеб.
пособие / В.П. Волков, А.И. Ильин, В.И. Станкевич и др.; Под общ. ред. А.И.
Ильина, В.П. Волкова. - М: Новое издание, 2003. - С. 443 - 450
. Экономика предприятия под ред.
Л.Н.Нехорошевой - Мн. БГЭУ, 2008
. Л.М. Синица Организация
производства: Учеб. пособие для студентов вузов. - 2- изд., перераб и доп. /
Л.М. Синица. - Мн.: УП «ИВЦ Минфина», 2004. - С. 521
. А.С. Головачев Экономика
предприятия. В 2 ч. Ч. 2: учеб. пособие / А.С. Головачев. - Мн.: Выш. шк.,
2008. - 464 с.
. И.М. Бабук Экономика предприятия:
учеб. пособие для студентов технических специальностей / И.М. Бабук. - Мн.:
«ИВЦ Минфина», 2006. - С. 327