Исследование конкурентоспособности продукции предприятия

  • Вид работы:
    Курсовая работа (т)
  • Предмет:
    Эктеория
  • Язык:
    Русский
    ,
    Формат файла:
    MS Word
    66,16 Кб
  • Опубликовано:
    2016-01-24
Вы можете узнать стоимость помощи в написании студенческой работы.
Помощь в написании работы, которую точно примут!

Исследование конкурентоспособности продукции предприятия













Курсовой проект

по дисциплине «Экономическое управление организацией»

на тему: «Исследование конкурентоспособности продукции предприятия»


Содержание

Введение

1.Теоретическая часть

.1 Основные понятия конкурентоспособности продукции

.2 Факторы, определяющие конкурентоспособность продукции

.3 Методы оценки конкурентоспособности продукции

. Аналитическая часть.

.1 Общие сведения о ЗАО «Тяжпромарматура»

.2 Продукция предприятия

.3 Цена и ценовая политика ЗАО «Тяжпромарматура

.4 Качество продукции

.5 Новая продукция

.6 Основные конкуренты ЗАО «Тяжпромарматура»

.7 Преимущества продукции ЗАО «Тяжпромарматура» с ОАО «Волгограднефтемаш»

.8 Сильные и слабые стороны ЗАО «Тяжпромарматура» в сравнении с конкурентами

Заключение

Список литературы

Введение

В рыночной экономике основным фактором коммерческого успеха предприятия любой формы собственности является конкурентоспособность его продукции.

Товар - основа предпринимательской деятельности предприятия, если предприятие не имеет товар, то ему нечего продавать, следовательно, ему не с чем выйти на рынок. Однако не каждый продукт труда может стать товаром, он, прежде всего, должен иметь ценность для общества, то есть потребители должны проявить интерес к этому продукту труда.

На рынке товар определяет судьбу рыночной и всей хозяйственной политики предприятия-производителя. В силу этого обстоятельства вся совокупность мер, связанных с товаром, то есть его создание, производство и совершенствование, продвижение и реализация на рынках, сервис, а также снятие товара с производства, бесспорно, занимает центральное место во всей деятельности товаропроизводителя.

Предприятие не сможет добиться коммерческого успеха на рынке, удержать свои позиции и преимущества в конкурентной среде, если не определит для себя, что составляет его конкурентоспособность и не определит круг задач по повышению конкурентоспособности.

В последние годы произошло усложнение экономических связей, наблюдается динамичное развитие хозяйственной деятельности, требуются новые подходы к разработке и производству изделий.

Товаропроизводители должны строить свою деятельность исходя из главного принципа: наиболее полно удовлетворить требования потребителя. А этого можно достичь, только с экономически эффективной, качественной и конкурентоспособной продукцией, производство которой определяет финансовое благополучие производителей.

Для того чтобы обеспечить производство более конкурентоспособным товаром, необходимо проводить исследование конкурентоспособности еще на стадии разработки, создания товара; и в дальнейшем, следует периодически проводить анализ конкурентоспособности уже на стадии производства и реализации продукции, сравнивая ее с аналогами, чтобы иметь возможность формирования ассортимента более конкурентоспособной продукции на рынке и выявлять ту продукцию, для которой необходимо разрабатывать специальные мероприятия по повышению конкурентоспособности.

Перечисленные выше аспекты, говорят о том, что тема конкурентоспособности продукции предприятия очень актуальна в наше время.

Целью моей курсовой работы является исследование конкурентоспособности продукции предприятия. Объектом исследования является ЗАО «Тяжпромарматура», а субъект - продукция данного предприятия.

Для достижения поставленной цели необходимо решить следующие задачи:

определить составляющие конкурентоспособности товара;

изучить методы исследования и оценки конкурентоспособности товара;

исследовать конкурентоспособность продукции ЗАО «Тяжпромарматура»;

исследовать конкурентов ЗАО «Тяжпромарматура»;

дать оценку конкурентоспособности продукции ЗАО «Тяжпромарматура» на основе проведенных исследований.

1.Теоретическая часть

.1 Основные понятия конкурентоспособности продукции

В условиях рыночной экономики конкурентоспособность товара - это главный фактор успеха. Конкурентоспособность товара предполагает оптимальное сочетание качества, цены, дизайна и возможности послепродажного обслуживания. В связи с этим, одним из важнейших показателей конкурентоспособности предприятия, является конкурентоспособность его продукции.

Конкурентоспособность товара - способность продукции быть привлекательной по сравнению с другими изделиями аналогичного вида и назначения благодаря лучшему соответствию своих характеристик требованиям данного рынка и потребительским оценкам.

Конкурентоспособность определяется свойствами, которые представляют существенный интерес для покупателя, поэтому она слагается из таких показателей как качество продукции, маркетинг, коммерческая деятельность, цена товара, имидж товара и престижность фирмы.

Существует много факторов, определяющих конкурентоспособность товара. Современному предпринимателю, чтобы выжить и процветать, необходимо постоянно следить за поставщиками, потребителями и другими силами, определяющие конкуренцию.

Для того чтобы товар был приемлемым для покупателя, он должен обладать набором определенных характеристик. Конкурентоспособность товара зависит как от отдельного показателя, так и их совокупности (синергия). Основные параметры, характеризующие конкурентоспособность товара, часто подразделяют на две группы:

потребительские;

экономические.

Показатели, которые характеризуют потребительские свойства товара, разделяют на «жесткие» и «мягкие». «Жесткие» параметры представляют комплекс регламентируемых показателей, они обеспечивают физическую возможность использования товара по назначению и подразделяются на следующие группы:

технические - это показатели назначения (свойства и функции товара, определяющие область его применения). К ним относятся эргономические параметры (характеризуют соответствие товара свойствам человеческого организма), конструктивные параметры (надежность, долговечность, ремонтопригодность и т.п.).

. нормативные - показатели соответствия требованиям международных и национальных стандартов, нормативов, действующих на рынке, где данный товар предполагается продавать.

«Мягкие» показатели характеризуют эстетические (дизайн, цвет, упаковку и т. п.) и психологические (престижность, привлекательность, доступность и т. п.) свойства товара.

В настоящее время, когда рынок заполнен множеством товаров, у которых «жесткие» параметры в значительной степени схожи, возрастает роль «мягких» параметров, придающих товарам своеобразие и привлекательность.

Экономические показатели характеризуют экономические свойства товара. Сюда входят цена изделия, расходы на транспортировку, установку, обучение персонала, эксплуатацию, ремонт, техобслуживание, налоги, страховые взносы и т.д. Среди экономических параметров можно назвать также действующую систему скидок, условия поставок и платежей, сроки и условия гарантий и т.д.

1.2 Факторы, определяющие конкурентоспособность продукции

Факторы конкурентоспособности - это те явления и процессы производственно-хозяйственной деятельности предприятия и социально-экономической жизни общества, которые вызывают изменение абсолютной и относительной величины затрат на производство, а в результате изменение уровня конкурентоспособности предприятия. Факторы могут изменять конкурентоспособность предприятия в сторону повышения и в сторону уменьшения.

К основным факторам относятся:

качество продукции;

цена;

уровень квалификации персонала и менеджмента;

технологический уровень производства;

доступность источников финансирования;

действенность рекламы и средств стимулирования сбыта.

Рассмотрим каждый фактор в отдельности.

Товар может стать конкурентоспособным, т.е. занять достойное место в ряду аналогов и субститутов только в том случае, если он будет отвечать такому трудноуловимому и многозначительному понятию, как качество. Качество - главная характеристика товара. Это способность фирменного товара выполнять свои функции. В понятие качества входят долговечность, надежность, точность, простота эксплуатации, ремонт и прочие ценные свойства, отсутствие дефектов или брака. Более жесткое требование - соответствие стандартам. Однако и этого недостаточно. Товар должен удовлетворять потребности потребителей: физические, технические, эксплуатационные, эстетические и ценовые. А если он еще и сможет способствовать удовлетворению скрытых (подсознательных) потребностей - статусных, возрастных, психологических, духовных - успех ему на рынке обеспечен. Однако, с точки зрения маркетинга, качество следует определять в понятиях, соответствующих покупательским представлениям. Именно к качеству у потребителей повышенный интерес.

Различают качества товара:

физические: технические параметры, вкус, вес, прочность, форма, цвет, запах;

эстетические: стиль, класс, красота, изящество;

символические: статус, престиж, класс;

дополнительные: установка, наладка, возможность ремонта, право на обмен, ликвидность.

При разработке марочного товара производитель должен принять решение об уровне качества и прочих отличительных чертах, которые будут обеспечивать поддержание позиции марки на целевом рынке. Одним из основных орудий позиционирования, которым располагает продавец, является качество его товара.

Проблема качества привлекает сегодня повышенный интерес и потребителей и фирм. Некоторые фирмы уже откликаются на этот растущий интерес к качеству, однако в этом направлении можно сделать еще очень много.

Обеспечение контроля качества продукции на всех стадиях его производства также является не столько технической проблемой, сколько организационно-управленческой. На рынке присутствуют консультационные компании, с успехом оказывающие услуги по подготовке предприятия и внедрению систем управления качеством.

Правильная ценовая политика предприятия, состоящая в установлении на товары и услуги цен в зависимости от складывающейся конъюнктуры рынка, обеспечивающая намеченный объем прибыли и решение других стратегических задач, является необходимым условием любого предприятия в жестких условиях рынка.

Исторически сложилось, что цены устанавливали покупатели и продавцы в ходе переговоров друг с другом. Продавцы обычно запрашивали цену выше той, что надеялись получить, а покупатели - ниже той, что рассчитывали заплатить. В конце концов, поторговавшись, сходились на взаимоприемлемой цене.

К основным ориентирам ценовой политики предприятия относятся:

Максимизация прибыли;

Завоевание рынка (максимизация продаж, вытеснение / устранение конкурентов);

Обеспечение стабильности (выживаемость или безубыточность предприятия).

Правильное ценовое решение должно учитывать целый ряд факторов, влияющих на цену:

. Совокупные издержки производства;

. Затраты общественного труда;

. Качество товара;

. Функции и свойства товара;

. Квалификация персонала;

. Технологический уровень производства;

. Налоговое законодательство страны;

. Затраты, связанные с транспортировкой и хранением товара;

. Затраты, связанные с арендой помещений для реализации товара;

. Упаковка товара;

. Известность фирмы;

. Уровень сервисного и гарантийного обслуживания;

. Маркетинговая деятельность фирмы;

. Спрос и предложение на данную продукцию;

. Уровень конкуренции.

При выборе стратегии ценообразования фирме предстоит решить, каких именно целей она стремится достичь с помощью конкретного товара. Если выбор целевого рынка и рыночное позиционирование тщательно продуманы, тогда подход к формированию комплекса маркетинга, включая и проблему цены, довольно ясен. Ведь стратегия ценообразования в основном определяется предварительно принятыми решениями относительно позиционирования на рынке. В то же время фирма может преследовать и другие цели. Чем яснее представление о них, тем легче устанавливать цену.

Следующий фактор, оказывающий большое влияние на конкурентоспособность товаров и услуг - это уровень квалификации персонала и менеджмента.

Высокий уровень базового образования позволяет специалистам предприятий быстро обучаться, осваивать новые профессии и обретать навыки, необходимые для работы в условиях рынка. Таким образом, наличие квалифицированного персонала является существенным преимуществом, способствующим обеспечению конкурентоспособности продукции предприятий.

Уровень квалификации менеджмента играет наиболее важную роль в обеспечении конкурентоспособности предприятий. Данная проблема может быть решена двумя путями: первый - повышение квалификации существующих управляющих и второй - замена управляющих новыми, более квалифицированными. Замена управляющих, на первый взгляд, наиболее простой и эффективный путь. Однако опыт показывает, что это не совсем верно. Сегодня непросто подобрать квалифицированного менеджера, способного действовать в существующих условиях, тем более, проводить изменения, требующие серьезных знаний и опыта управления в условиях рынка.

Более реальным способом решения проблемы квалификации менеджмента является переподготовка существующих управляющих и создание механизмов естественной ротации кадров, несмотря на то, что это более эволюционный и длительный процесс. Учитывая вышесказанное, переподготовка действующих руководителей предприятий может осуществляться преимущественно двумя способами:

интенсивные, практически ориентированные учебные курсы (тренинги);

обучение в процессе реформирования предприятия при содействии профессиональных консультантов по управлению.

Важными условиями для решения проблемы эффективного менеджмента и создания механизмов естественной ротации кадров предприятий является наличие, с одной стороны, системы контроля и ответственности, а с другой - системы мотивации. Контроль эффективности менеджмента должны осуществлять собственники предприятия.

Способность производить продукцию высокого качества и с низкими затратами определяется уровнем развития технологии на предприятии. Ряд видов качественной продукции просто не может быть произведен без применения новейших технологий. Не все предприятия в состоянии приобрести технологическое оборудование из собственных средств и поэтому нуждаются в дополнительных источниках долгосрочного финансирования.

.3 Методы оценки конкурентоспособности продукции

Методологически неразрывно связанной с решением проблемы повышения конкурентоспособности предприятия является оценка его конкурентоспособности, поскольку только на основе такой оценки могут быть сделаны выводы о степени конкурентоспособности предприятия. Указанная оценка является отправной точкой разработки мероприятий по повышению конкурентоспособности и в то же время - критерием результативности этих мероприятий. Кроме того, оценка конкурентоспособности является методологической основой для анализа и, как следствие, выявления путей повышения конкурентоспособности предприятия.

Существует несколько методов оценки конкурентоспособности продукции предприятия, рассмотрим некоторые из них.

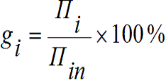
Дифференциальный метод основан на использовании единичных параметров анализируемого товара и базы сравнения и их сопоставлении. Оценка конкурентоспособности товара производится путем сопоставления параметров анализируемого товара с параметрами базы сравнения. За базу сравнения может быть принята потребность покупателей или образец. Образцом, как правило, является аналогичный товар, который имеет максимальный объем продаж и наилучшую перспективу сбыта. В случае, когда за базу сравнения принимают потребность, расчет единичного показателя конкурентоспособности производится по формуле:


Где: gi - единичный параметрический показатель конкурентоспособности по i-му параметру;

Пi - величина i-го параметра для анализируемой продукции;

Пin - величина i-го параметра, при котором потребность удовлетворяется полностью;- количество анализируемых параметров.

Описанный выше метод позволяет только констатировать факт необходимости повышения или снижения параметров товара для повышения конкурентоспособности, но не отражает влияние каждого параметра при выборе товара потребителем.

Комплексный метод оценки конкурентоспособности товара основывается на применении комплексных показателей или сопоставлении удельных полезных эффектов анализируемого товара и образца.

Данный метод основывается на применении групповых, обобщенных и интегральных показателях основывается. При этом расчет группового показателя по техническим параметрам производится по формуле:


Где: Imn - групповой показатель конкурентоспособности по техническим параметрам;- единичный показатель конкурентоспособности по i-му техническому параметру;- весомость i-го параметра в общем наборе технических параметров, характеризующих потребность;- число параметров, участвующих в оценке.

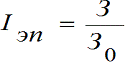
Расчет группового показателя по экономическим параметрам производится по формуле:


Где: З, З0 - полные затраты потребителя соответственно по оцениваемой продукции и образцу.

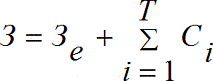
Полные затраты потребителя включают единовременные затраты на приобретение товара (Зе) и средние суммарные затраты на эксплуатацию товара:


Где: Т - срок службы;- год по порядку.

Комплексный метод характеризует степень соответствия данного товара существующей потребности по всему набору технических параметров. Чем он выше, тем в целом полнее удовлетворяются запросы потребителей

Смешанный метод оценки конкурентоспособности товара представляет собой сочетание дифференциального и комплексного методов. При смешанном методе используется часть параметров, рассчитанных дифференциальным методом, и часть параметров, рассчитанных комплексным методом.

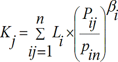
Смешанный метод позволяет выразить способность товара конкурировать в определенных условиях рынка через комплексный количественный показатель - коэффициент конкурентоспособности:


Где:= 1…n - число параметров продукции, участвующих в оценке;= 1…n - виды продукции;- коэффициент важности (значимости) по сравнению с остальными существенными параметрами продукции;- конкурентоспособное значение i-го параметра для j-ой продукции;- желаемое значение i-го параметра, которое позволяет полностью удовлетворить потребность показателя;

ẞi = +1, если увеличение значения параметра Pij способствует росту конкурентоспособности продукции (например, надежности, производительности изделия и так далее);

ẞi = -1, если увеличение значения параметра Pij приводит к снижению конкурентоспособности продукции (например, вес, габарит, цена и другое).

Таким образом, при помощи цифр можно дать характеристику конкурентоспособности одного товара по отношению к другим. Сопоставление товаров ведется при помощи таблицы сравнения параметров. По результатам сравнения одним из трех описанных методов можно дать одно из следующих заключений:

товар конкурентоспособен на данном рынке в сравниваемом классе изделий;

товар обладает низкой конкурентоспособностью на данном рынке в сравниваемом классе изделий;

товар полностью неконкурентоспособен на данном рынке в сравниваемом классе изделий.

Существенный недостаток этих методов состоит также в том, что потребительские свойства товара и их набор определяются без учета мнения потребителя. В соответствии с ними предполагается, что улучшение любой из характеристик товара автоматически повышает его конкурентоспособность. Однако улучшение характеристик товар по сравнению с базовым образцом не всегда гарантирует появление конкурентных преимуществ, поскольку в реальной жизни решающая роль в оценке преимуществ или недостатков товара принадлежит потребителю.

Следует также учитывать, что потребители на рынке не выступают единым целым - они по-разному реагируют даже на один и тот же товар. Это имеет значение при оценке конкурентоспособности товаров. В ряде случаев для оценки конкурентной позиции отдельных товаров на рынках используют матричный метод. Для этого применяют два показателя: качество и цену.

Данную оценку осуществляют в следующей последовательности:

Анализируемые товары и товары главных конкурентов на исследуемом рынке оцениваются по двум критериям: интегральному показателю, характеризующему уровень потребительских свойств товара, и цене. В случае, когда имеется ограниченное число ведущих показателей, возможно использование отдельных показателей качества и цены.

. Все исследуемые товары наносятся на поле матрицы: "качество-цена". В случае необходимости можно использовать и третью координату - объем реализации (радиус окружности).

. Для всей совокупности анализируемых товаров определяется среднее значение показателя, характеризующего уровень потребительских свойств товара, и цены. Затем проводятся линии, характеризующие эти средние значения.

. Подобная процедура осуществляется для всех важнейших рынков.

. Определяется острота конкурентной борьбы на отдельных рынках и на совокупном рынке по степени концентрации товаров организаций-конкурентов в различных квадрантах матрицы.

. Корректируется производственно-сбытовая политика организации с точки зрения качества и цены выпускаемой продукции. Рынок сбыта определяется исходя из принципа предпочтительности деятельности на рынках, где острота конкурентной борьбы наименьшая.


.1 Общие сведения о ЗАО «Тяжпромарматура»

ЗАО «Тяжпромарматура» - Алексинский завод тяжелой промышленной арматуры - является крупнейшим в стране предприятием, специализирующемся на выпуске трубопроводной арматуры.

Предприятие было основано в 1728 году тульскими братьями Масоловыми как типичный «водяной железоделательный завод» и долгое время специализировался на выплавке железа и чугуна, художественном литье, отливал чугунные трубы и соединительные части. С 1938 года завод был переориентирован на освоение производства запорной трубопроводной арматуры.

За 75 лет пройден сложный путь освоения производства различных видов арматуры: задвижек, затворов, клапанов, вентилей, конусных и шаровых кранов. Создана большая база конструкторских решений, освоен выпуск полного модельного ряда по отдельным видам продукции. Результатом работы в этом направлении стало признание завода одним из ведущих предприятий России по проектированию и изготовлению трубопроводной арматуры для газовой, нефтяной, химической, энергетической и других отраслей промышленности. Кроме того, ЗАО « Тяжпромарматура» фактически самое крупное по размерам в Европе производство трубопроводной арматуры с большим потенциалом по своему развитию.

Современное высокопроизводительное оборудование позволяет производить механическую обработку деталей диаметром до 4 метров и массой до 30 тонн, сварку узлов массой до 25 тонн с диаметром шва до 3 метров. В 2009 году введен в эксплуатацию новый цех по производству высокотехнологичной энергетической арматуры.

Ведется реконструкция литейного производства, что позволит изготавливать высокоточные качественные отливки. После окончания реконструкции масса отливок будет увеличена до 25 тонн.

ЗАО «Тяжпромарматура» проводит обучение персонала Заказчика и консультации по работе со специализированной арматурой (устройство, правила монтажа, испытаний и эксплуатации оборудования). В ходе монтажа оборудования инженерный состав предприятия оказывает всестороннюю техническую помощь, профессиональное руководство и консультирование с целью обеспечения полной эксплуатационной готовности и надежной работы поставленного оборудования в течение всего срока службы. Выезд специалистов на объекты по требованию Заказчика производится в течение 48 часов.

ЗАО «Тяжпромарматура» осуществляет гарантийное и постгарантийное обслуживание поставляемой арматуры.

Завод укомплектован квалифицированными инженерами и рабочими, постоянно повышающими свой профессиональный уровень. Численность работающих - более 550 человек.

С 2003 года продукцию предприятия на российском и зарубежном рынках представляет российская компания «Нефтегазовые системы» - эксклюзивный поставщик ЗАО «Тяжпромарматура». Благодаря инвестиционной политике партнера в течении последних лет на предприятии успешно реализовано и реализуется несколько крупных инвестиционных программ. Благодаря усилиям Компании, алексинская трубопроводная арматура постоянно используется во всех крупнейших нефтегазовых проектах. Расширяя свои возможности по эксплуатации.

ЗАО «Тяжпромарматура» занимает одно из лидирующих мест по ассортименту и качеству выпускаемых изделий. Не только трубопроводные компании России, но и многие компании за пределами страны, уже имели возможность убедиться в преимуществах использования продукции предприятия. В настоящее время в числе ее потребителей - газопроводы «Россия-Турция», «Ямал-Европа», нефтепроводы «ВСТО», «БТС» и целый ряд российских и зарубежных компаний. Предприятие является одним из основных поставщиков арматуры, необходимой для реализации проектов «Сахалин». Среди заказчиков предприятия - такие известные компании и объединения, как ОАО «Газпром», ОАО «Лукойл», ОАО «Сургутнефтегаз», ОАО «Славнефть», ОАО «Роснефть» и десятки других.

.2 Продукция предприятия

ЗАО «Тяжпромарматура» выпускает широкий спектр трубопроводной арматуры. Ежегодно предприятие производит свыше 25000 единиц арматурной продукции, в том числе арматуры диаметра DN 50 - 1400 мм. Рассмотрим основную продукцию, их особенности и преимущества.

Шиберные задвижки

ЗАО «Тяжпромарматура» выпускает шиберные задвижки DN 250 - 1200 мм PN 1,6 - 15,0 МПа, предназначенные для работы в качестве запорного устройства на магистральных нефтепроводах, в технологических схемах перекачивающих станций и резервуарных парков с температурой рабочей среды от - 15 до + 80°С. Шиберные задвижки изготавливаются в различных модификациях:

по присоединению к трубопроводу - с концами под приварку, фланцевое, фланцевое с ответными фланцами;

по климатическому исполнению - умеренное (температура окружающей среды от -40 до +40°С) и холодное (температура окружающей среды от -60 до +40°С);

по способу управления - с ручным управлением или электроприводом;

по типу установки - надземная и подземная (с нанесением антикоррозионного полимерного покрытия усиленного типа).

По требованию Заказчика шиберные задвижки поставляются с переходными катушками.

Конструктивные особенности и преимущества:

низкий коэффициент гидравлического сопротивления;

возможность беспрепятственного пропуска чистящих и диагностирующих устройств;

относительно низкая требуемая мощность электропривода;

отсутствие застойных зон;

наличие ограничителя перемещения шпинделя при движении вниз (положение «открыто»);

уплотнение затвора выполнено из эластомерного материала, обладающего высокой износо и эрозионностойкостью.

Краны шаровые

Производство шаровых кранов - одно из основных направлений деятельности предприятия. Изделия хорошо зарекомендовали себя при эксплуатации на магистральных нефтепроводах и газопроводах, на технологических линиях по перекачке нефти и нефтепродуктов, в системах газо- и теплоснабжения.

Шаровые краны прошли испытания на сейсмостойкость до 9 баллов по шкале MSK-64, на огнестойкость по стандарту API 6 FA, а также испытания на эксплуатацию при температуре окружающей среды - 60°С. ЗАО «Тяжпромарматура» выпускает широкий спектр шаровых кранов:

для магистрального транспорта газа, нефти, нефтепродуктов с условным диаметром прохода DN 50 - 1400 мм PN 1,6 - 16,0 МПа

для неагрессивных сред (газа, воды, пара) с условным диаметром прохода DN 25 - 700 мм PN 2,5 МПа.

Шаровые краны изготавливаются в различных модификациях:

по присоединению к трубопроводу - с концами под приварку, фланцевое, фланцевое с ответными фланцами;

по климатическому исполнению - умеренное (температура окружающей среды от - 45 до + 50°С) и холодное (температура окружающей среды от - 60 до + 45°С);

по способу управления - с пневмо- или пневмогидроприводом, электро- или электрогидроприводом, с ручным управлением;

по типу установки - надземная и подземная (с нанесением антикоррозионного полимерного покрытия усиленного типа).

По требованию Заказчика шаровые краны поставляются с переходными катушками, комплекуются автоматами аварийного закрытия крана (для пневмогидроприводов), имеется возможность реализации функций «нормально закрыт» или «нормально открыт».

Конструктивные особенности и преимущества:

корпус крана состоит из двух штампованных полукорпусов и имеет один разъем, что уменьшает вероятность утечки транспортируемой среды;

обладает низким коэффициентом гидравлического сопротивления;

имеет меньший вес по сравнению с шиберными задвижками;

уплотнение затвора выполнено из эластомерного материала, обладающего высокой износо- и эрозионностойкостью;

высокая герметичность затвора обеспечивается постоянным поджатием обоих седел к пробке;

затвор выполнен по схеме «пробка в опорах» с применением подшипников из металлофторопласта, облегчающего управление краном;

привод имеет ручной дублер.

Клиновые задвижки

ЗАО «Тяжпромарматура» выпускает клиновые задвижки DN 100 - 1200 мм PN 1,6 - 10,0 МПа, предназначенные для работы в качестве запорного устройства на трубопроводах по транспортировке:

воды, пара, нефти и жидких неагрессивных нефтепродуктов с температурой до +300°С (для задвижек DN 600 мм PN 2,5 МПа), с температурой до +425 °С (для задвижек из стали 20Л и 20 ГМЛ), с температурой до +565°С (для задвижек из стали 10Х18Н9Л);

природного газа с температурой до +80°С;

нефти и нефтепродуктов с температурой от -40 до +80°С;

жидкого и газообразного аммиака с температурой от -40 до +150°С;

сред систем пожаротушения, включая растворы пенообразователей, с температурой до +80°С.

Клиновые задвижки изготавливаются в различных модификациях:

по присоединению к трубопроводу - с концами под приварку, фланцевое, фланцевое с ответными фланцами;

по климатическому исполнению - умеренное (температура окружающей среды от -40 до +40°С), холодное (температура окружающей среды от -60 до +40°С) и тропическое (температура окружающей среды от -10 до +50°С) ;

по способу управления - с ручным управлением или электроприводом;

по типу установки - надземная и подземная (с нанесением антикоррозионного полимерного покрытия усиленного типа).

Специальная арматура для АЭС и ТЭС

В 2009 году на предприятии введен в строй новый цех по производству трубопроводной арматуры для АЭС и ТЭС. Для проектов АЭС/91, АЭС/92, АЭС/2006 с блоками типа ВВЭР производятся:

задвижки под приварку Pp 1,1 - 4,0 МПа DN 100- 800 мм;

задвижки под приварку Pp 5,5 - 24,5 МПа DN 80- 800 мм;

затворы обратные под приварку Pp 5,5 - 20,0 МПа DN 100 - 600 мм.

Для модернизации и продления срока эксплуатации блоков типа РБМК производятся: задвижки под приварку Pp 11,0 МПа DN 100 - 800 мм.

Конструктивные особенности и преимущества:

полное соответствие «Общим техническим требованиям» НП-068-05;

увеличенный срок службы;

увеличенный межремонтный период;

возможность регламентного ремонта арматуры по фактическому состоянию;

адаптированность к имеющимся на АЭС системам диагностики;

наличие «полноперепадных» исполнений задвижек по всем типоразмерным рядам.

Клапаны предохранители

ЗАО «Тяжпромарматура» выпускает предохранительные клапаны с условным диаметром прохода 200 мм рассчитанные на работу в диапазоне давлений от 16 до 25 МПа для нефтепроводов с повышенным коэффициентом расхода 0,6.

Клапаны предохранительные применяются для защиты от недопустимого повышения давления, установленного для технологических трубопроводов резервуарного парка на нефтеперекачивающих станциях с емкостями.

Особенности предохранительных клапанов производства ЗАО «Тяжпромарматура»:

клапан прямого действия с пружинной нагрузкой;

тип корпуса угловой;

уплотнение в затворе: эластомер с высокой эрозионностойкостью;

клапан имеет устройство для стопорения запорного органа при опрессовке системы без нарушения настройки;

клапан имеет дополнительный ручной привод для принудительного открывания и продувки.

Приводы и редукторы для управления трубопроводной арматурой

Для комплектации изготавливаемой арматуры на предприятии производится широкая гамма приводных устройств:

пневмоприводы;

пневмогидроприводы;

электрогидроприводы;

многооборотные и четвертьоборотные редукторы.

Приводы и редукторы могут изготавливаться для установки на арматуру других заводов производителей.

Продукция ЗАО «Тяжпромарматура» пользуется стабильным спросом в России и за рубежом. Компания участвует в обеспечении крупнейших объектов ТЭК. Постоянными заказчиками запорной арматуры являются крупнейшие компании нефтегазовой отрасли России и СНГ: ОАО «Газпром», ОАО «ЛУКОЙЛ», ОАО «Роснефть», АК «Узтрансгаз» и прочие; крупные партии продукции идут на экспорт в Казахстан, Украину, Беларусь, Узбекистан, Туркмению, Молдову и другие.

ЗАО «Тяжпромарматура» выполняет заказы для действующих и строящихся энергетических объектов государственной корпорации по атомной энергии «Росатом»

Реализация продукции за 2011- 2012год представлена в табл.1.

Табл.1

Наименование продукции

Сумма за 2011 год (руб.)

Сумма за 2012 год (руб.)

Задвижка атомная

27 774 450

137 313 640

Задвижка клиновая

235 188 350

311 170 395

Задвижка тепловая

19 080 000

38 448 970

Задвижка шиберная

808 270 786

1 155 100 567

Клапан обратный

3 010 910

4 559 700

Комплект отв. фланцев

986 073

1 156 610

Комплект ремонтный

2 309 054

3 551 500

Кран шаровой

2 002 267 098

3 477 369 095

Прочие

6 920 650

8 092 003

Итого:

3 105 807 371

5 136 762 480


.3 Цена и ценовая политика ЗАО «Тяжпромарматура»

Цены и ценовая политика - одна из главных составляющих комплекса маркетинга на ЗАО «Тяжпромарматура». От того, насколько правильно и продуманно построена ценовая политика, зависят коммерческие результаты, степень эффективности всей производственно-сбытовой деятельности предприятия.

Суть ценовой политики ЗАО «Тяжпромарматура» состоит в том, чтобы устанавливать на товары такие цены и так варьировать ими в зависимости от положения на рынке, чтобы увеличить долю рынка, обеспечить конкурентоспособность товаров по ценовым показателям, намеченный объем прибыли и решать другие задачи. При стратегии ценообразования, основанной на спросе, цену определяют на базе максимальной цены, приемлемой для потребления с учетом спроса на данную продукцию. В область ценовой политики предприятия входят вопросы оптовых и розничных цен, все стадии ценообразования, тактика определения начальной цены товара, тактика коррекции цены. Решая эти вопросы маркетологи бюро маркетинга рекомендуют отделу цен устанавливать на товар наиболее оптимальные цены.

Потребители воспринимают цены на продукцию предприятия, как:

на шаровые краны - низкие;

на клиновые задвижки - умеренные.

Для привлечения потребителей ЗАО «Тяжпромарматура» прибегает к следующим способам расчета за продукцию:

Скидки предоставляются следующим группам покупателей:

тем, кто приобретает продукцию, производимую предприятием, на сумму от 1000000 до 5000000 руб. скидка составляет 5 %;

тем, кто приобретает продукцию, производимую предприятием, на сумму свыше 5000000 руб. скидка составляет 10 %.

Плата за дополнительные услуги (например, погрузка товара на машину покупателя) не взимается.

Предоставление возможности приобретения дорогостоящего оборудования в лизинг;

Предложение платного сервисного обслуживания оборудования после истечения гарантийного срока эксплуатации.

.4 Качество продукции

Система менеджмента качества ЗАО «Тяжпромарматура» сертифицирована на соответствие стандартам ISO 9001:2008 и ГОСТ Р ИСО 9001-2008 применительно к проектированию и производству трубопроводной арматуры.

С 1997 года предприятие обладает лицензией Американского Нефтяного Института на использование Официальной Монограммы API®, спецификации 6D.

Предприятие имеет лицензию на конструирование и изготовление арматуры для атомных станций.

Контроль качества продукции осуществляется с помощью различных методов, в том числе и неразрушающих (рентгенография, ультразвуковая, цветная и магнитопорошковая дефектоскопия), которые выполняются на современном оборудовании.

Помимо 100% контроля качества выпускаемой продукции на заводе регулярно проводятся мониторинг технологической дисциплины, внутренние и внешние аудиты системы менеджмента качества, авторский надзор за изготовлением продукции (со стороны конструкторского управления), изучаются отзывы потребителей об эксплуатируемой продукции. Все работы с Заказчиком проводятся под жестким контролем российских контрольных органов (в том числе сертификационного центра НП «СЦ Настхол» и органа по сертификации «Нефтьсертико»), а также общепризнанных международных инспекторов Moody International, ILF, Всемирной группа Бюро Веритас (Bureau Veritas General Conditions).

Существующая система обеспечения качества определяет технологию проведения контроля в различных подразделениях и на различных стадиях технологического процесса изготовления продукции и предусматривает:

Контроль качества изделий на стадиях заказа материалов, комплектующих изделий, метрологического обеспечения и изготовления.

Входной контроль качества поступающих на завод материалов и комплектующих изделий.

Контроль при изготовлении деталей, узлов и изделий в производственных цехах.

Проведение механических, химических и металлографических исследований металлопроката, поковок, сварочных материалов и сварных швов.

Контроль сварных швов и основного металла в процессе производства неразрушающими методами (радиографический, ультразвуковой и цветной дефектоскопии).

Контроль режимов термообработки.

Калибровку всего испытательного оборудования, приборов и инструмента.

Система предусматривает возможность контроля изделий заказчиком с предоставлением сертификатов, протоколов испытаний и других документов.

Для контроля качества материалов, поступающих для изготовления оборудования, на заводе имеется центральная заводская лаборатория, которая осуществляет:

определение и оценку прочностных, деформационных и энергетических характеристик конструкционных материалов при различных температурных режимах стандартными методами;

металлографический контроль макро-, микроструктуры металлов и сварных соединений на всех стадиях технологического процесса;

контроль химического состава химическим и спектральным способами с использованием компьютеризированных спектроанализаторов ведущих европейских фирм.

Эталон качества постоянно меняется. Заказчик каждый год предъявляет новые требования, и чтобы сохранить конкурентоспособность на рынке, ЗАО «Тяжпромарматура» старается им соответствовать.

.5 Новая продукция

Выпуск новой продукции - это еще один фактор конкурентоспособности продукции ЗАО «Тяжпромарматура». За счет новой продукции повышается уровень развития технологий на предприятии.

За последние годы была внедрена следующая продукция:

Электрогидравлические приводы (ЭГП) для шаровых кранов с DN 300 - 1400 мм. Преимуществом ЭГП является меньшие массогабаритные характеристики в сравнении с электрогидроприводами других производителей при сохранении технических параметров.

Затворы обратные для магистрального транспорта нефти и нефтепродуктов DN 300 - 1200 мм PN 8.0 - 12.5 МПа. Предназначены для автоматического перекрытия трубопровода с целью предотвращения обратного потока рабочей среды в нефте- и нефтепродуктопроводах, в технологических схемах перекачивающих станций и резервуарных парков. Основное преимущество затворов - наличие демпфера, обеспечивающего их безударное закрытие.

Шаровые краны DN 50 - 700 мм PN 16.0 МПа для сред с повышенным содержанием метанола и сероводорода.

Наряду с модернизацией оборудования совершенствуется сама технология производства. В цехах организовывается система измерения и анализа качества литых заготовок, позволяющая объективно судить о качестве проектирования технологических процессов и соблюдении технологических дисциплин при изготовлении продукции.

.6 Основные конкуренты ЗАО «Тяжпромарматура»

В настоящее время ЗАО «Тяжпромарматура», является лидером в производстве трубопроводной арматуры в СНГ и одним из крупнейших в Европе.

Предприятие удовлетворяет около 80% потребности СНГ в шаровых кранах для газа. На рынке клиновых задвижек доля завода составляет около 30%. конкурентоспособность ценовой качество

Основными отечественными конкурентами являются следующие предприятия:

ОАО «Пензтяжпромарматура» - одно из крупнейших промышленных предприятий арматурной отрасли России. ОАО «ПТПА» работает на рынке с 1951 года. Компания занимается изготовлением и поставками трубопроводной арматуры для ответственных объектов атомной и тепловой энергетики, газовой, нефтяной, металлургической, химической и других отраслей промышленности. Сотрудничество с лидерами отрасли обязывает ОАО «ПТПА» к постоянной работе над повышением качества выпускаемой продукции.

ОАО «Волгограднефтемаш» - крупнейший российский производитель технологического оборудования для газовой, нефтяной и нефтехимической отраслей промышленности. Технические и производственные возможности завода, высококвалифицированные рабочие и инженерные кадры, применение новейших технологий позволяют создавать сверхгабаритные толстостенные аппараты, которые сегодня наиболее востребованы на рынке оборудования для нефтегазопереработки и нефтехимии.

ОАО «Дзержинскхиммаш» - одно из крупнейших предприятий, специализирующихся на выпуске оборудования для химической, нефтеперерабатывающей, нефтедобывающей промышленности. Возможности предприятия позволяют производить не только серийное, но и оборудование по индивидуальным проектам, несерийное,э ксклюзивное оборудование. Для этого в распоряжении ОАО «Дзержинскхиммаш» имеется полный производственный и научно- инжиниринговый потенциал.

ООО «Благовещенский арматурный завод» - крупнейший в России завод по выпуску трубопроводной арматуры. Является действительным членом Научно-Промышленной Ассоциации арматуростроителей (НПАА). Предприятие осуществляет производство промышленной арматуры по полному технологическому циклу - от заготовок до сборки, испытаний и контроля качества готового изделия. Вся продукция завода сертифицирована, имеет разрешения на применение Федеральной службы по экологическому, технологическому и атомному надзору РФ, на заводе действует система менеджмента качества ИСО 9001-2008.

ООО «Гусар», город Гусь-Хрустальный основан в 2002 году в городе Гусь-Хрустальный Владимирской области. В его создании приняли участие ведущие специалисты предприятия с опытом работы в машиностроении более десяти лет. При организации работы «Гусара» они применяли новейшие достижения в технологии, технике, управлении и кадровой политике. С момента основания «Гусар» вырос из малого предприятия в большой серьезный завод, который входит в тройку крупнейших предприятий области.

Благодаря высоким объемам производства и высокому техническому уровню цены на продукцию ОАО «Тяжпромарматура» в среднем на 15-20% ниже, чем на аналогичные изделия - конкуренты.

Что касается зарубежных производителей трубопроводной арматуры, то крупнейшими из них являются:

Klinger (Австрия);General Zak Gmbh (Германия);

Danfoss (Дания);

Slovenska Armaturka Myjava, a.s. (Чехия).

Однако доля этих фирм на рынке СНГ невелика, так как при сопоставимом уровне качества цена на российские аналоги в среднем в 2-5 раз ниже.

Рассмотрим конкурентность ЗАО «Тяжпромарматура» с другими предприятиями в табл.2.

Основные конкуренты предприятия:

Табл.2

Предприятие

Продукция

Цены (в сравнении с нашим предприятием)

Рынки

Клиенты

Волгограднефте-маш

Шаровые краны

Выше на 30%

Газовая, нефтян. и нефтехим.отрасль

Газовики, нефтяники

Дзержинскхим-маш

Шаровые краны

Выше на 10%

Нефтян. и химич. отрасль

Нефтяники химики

Пензтяжпром-арматура

Шаровые краны и клиновые задвижки

На краны - выше на 20%, на задвижки - выше на 10%

Нефтяная газовая и энергет. отрасль и др.

Газовики, нефтяники и энергет. и др.

Гусар

Клиновые задвижки

Выше на 10%

Нефтяная и химичес.

Нефтян., химики.

Благовещенский арматурный завод

Клиновые задвижки

Выше на 20%

Нефтян., энергет., химики

 

.7 Преимущество продукции ЗАО «Тяжпромарматура» с ОАО «Волгограднефтемаш»

Продукция ЗАО «Тяжпромарматура» имеет большие преимущества относительно к своим конкурентам. Рассмотрим преобладающие отличия шаровых кранов производства нашего предприятия от ОАО «Волгограднефтемаш».

Дизайн, применяемые материалы и конструкция соответствуют лучшим мировым аналогам.

Трубы обвязки пневмогидропривода выполнены из нержавеющей стали. Резьбовые соединения трубопроводов выполнено по схеме с врезающимся кольцом, что обеспечивает надежную герметичность соединения и простоту сборки.

На пневмогидроприводе установлен насос, в котором использованы материалы повышающие ресурс и надежность в эксплуатации.

Трубная обвязка шарового крана подземного исполнения имеет защитные кожухи на подземной части.

Резиновые уплотнения проходят специальную обработку ПЭМ, которая увеличивает срок службы, уменьшает трение и износ, что увеличивает надежность в работе.

Покрытие шаровых кранов и пневмогидроприводов выполняется эпоксидной грунтовкой и полиуретановой поверхностной краской (производство Финляндия), вместо ПФ, что делает антикоррозионную защиту более долговечной.

Присоединение кран - колонна - пневмогидропривод выполнены по ISO-5211 и дополнительно на фланце установлены штифты, которые увеличивают надежность соединения и исключают недостатки шпоночного соединения (в процессе эксплуатации разбивается шпоночный паз, что может привести к разрушению фланцевого соединения).

Соединение, передающее крутящий момент от привода к крану, осуществляется шпинделем при помощи шпоночного соединения, на шпинделе установлены шпонки, вместо штифтового соединения у «Волгограднефтемаш», данное соединение обладает более высокой прочностью по сравнению со штифтовым соединением.

В сальнике крана установлены 3 полиуретановые манжеты, вместо 2 резиновых у них, что обеспечивает более надежную работу данного узла.

Система отбора импульсного газа выполнена по более простой и надежной схеме, что гарантирует подачу импульсного газа в привод.

Корпус пневмогидропривода у «Волгограднефтемаш» выполнен с центральным разъемом, что приводит к затруднениям при ремонте и обслуживании привода в полевых условиях (для проведения профилактических работ необходимо разбирать привод. У ЗАО «Тяжпромарматура» достаточно снять верхнюю крышку и можно выполнить любые работы с деталями корпуса, у «Волгограднефтемаш» необходимо разбирать корпус. У ЗАО «Тяжпромарматура» не требуется при профилактике и ремонте с приводом грузоподъемные механизмы.)

У «Волгограднефтемаш» на кране устройства для строповки имеют несовершенную конструкцию. Применяемые на наших кранах и пневмогидроприводах проушины и цапфы более надежна.

Разъемное соединение между корпусом и фланцем горловины выполнено полиуретановым кольцом вместо резинового, что повышает надежность данного соединения.

На ЗАО «Тяжпромарматура» разработана и вводится в сервисное производство линейка модернизированных приводов, которые имеют меньшие массогабаритные характеристики и требуют на половину меньший объем применяемой гидрожидкости.

.8 Сильные и слабые стороны предприятия в сравнении с конкурентами

.Отличие в обслуживании

До недавнего времени одним из преимуществ была быстрота обслуживания покупателя. Если большинство других предприятий-конкурентов давали срок на получение продукции от 1 до 3 месяцев после перечисления денег на расчетный счет завода, то наше предприятие могло отгрузить продукцию либо сразу после оплаты, либо в течение одного месяца. Но в данное время, в связи с ажиотажным спросом на нашу продукцию, ЗАО «Тяжпромарматура» также увеличило срок поставки и вышло на уровень предприятий-конкурентов.

.Отличие в клиентуре

У предприятия имеются стабильные партнеры-потребители, которые на протяжении уже многих лет приобретают нашу продукцию. В тоже время слабой стороной является то, что основные из них относятся к Газпрому, как бы зависят от него.

.Отличие в большом перечне выпускаемой продукции

Предприятие имеет довольно большие производственные мощности, что позволяет ему производить довольно широкий спектр трубопроводной арматуры. Ни один из имеющихся конкурентов, в данное время, не имеет возможности перекрыть весь номенклатурный перечень выпускаемой нашим предприятием продукции.

.Отличие в высококвалифицированных кадрах

На ЗАО «Тяжпромарматура» работают примерно 6000 человек. Имеется много высококвалифицированных специалистов в различных производственных подразделениях. Имеется свой техникум, который постоянно готовит кадры для предприятия. На работу принимается достаточно много молодых специалистов, закончивших высшие учебные заведения, и проводится с ними работа.

.Отличие в современном, специализированном оборудовании

На предприятии имеется специализированное оборудование, необходимое для производства арматуры, которого нет у большинства предприятий-конкурентов.

.Отличие в качестве выпускаемой продукции

ЗАО «Тяжпромарматура» самым первым из всех предприятий, выпускающих трубопроводную запорную арматуру, получило международные лицензии и сертификаты (API, ISO). Постоянно приезжающие международные проверки показывают, что уровень качества нашей продукции соответствует высоким международным требованиям.

.Отличие в подходе к каждому конкретному потребителю

Предприятие стремится полностью удовлетворить потребности каждого покупателя. Даже, если продукция серийно не изготавливается, после доработки или переработки серийного вида, мы предлагаем ту продукцию, которая в полной мере удовлетворяет требованиям заказчика.

.Отличие в ценовой политике

ЗАО «Тяжпромарматура» старается удерживать цены на производимую продукцию всегда чуть ниже, чем у конкурентов.

.Отличие в методах рекламной компании

Предприятие выступает на всех международных, общероссийских и региональных выставках, как самостоятельная организация, самостоятельная компания. Основные наши конкуренты почти везде рекламируют свою продукцию в группе с каким-то одним или несколькими предприятиями.


Заключение

Цель курсовой работы достигнута: рассмотрены теорико-методологические основы конкурентоспособности продукции предприятия, факторы и методы оценки продукции. Была изучена и проанализирована продукция ЗАО «Тяжпромарматура» по таким критериям как: качество, цена. Были рассмотрены основные конкуренты, сильные и слабые стороны предприятия.

Проанализировав действия ЗАО «Тяжпромарматура» в области конкурентоспособности продукции, можно сделать вывод, что продукция предприятия находиться на высоком уровне. Несмотря на то, что ЗАО «Тяжпромарматура» имеет немалое число конкурентов, оно занимает ведущие место на рынке по выпуску арматурной продукции. Но стоит не забывать о том, что конкуренты для завоевания места на рынке будут принимать новые способы повышения конкурентоспособности своей продукции, поэтому ЗАО «Тяжпромарматура» следует не останавливаться на одном месте, а идти дальше, внедряя новые технологии и повышая качество продукции предприятия.

Список литературы

Е.В. Балдина «Экономика предприятия»; Учебное пособие, Ульяновск 2011г.

М.Н. Кондратьева «Экономика организаций и управленческий учет», 2010.

Рекламные проспекты ЗАО «Тяжпромарматура»

Данные отдела маркетинга

Данные отдела качества

Данные отдела реализации продукции

Похожие работы на - Исследование конкурентоспособности продукции предприятия

 

Не нашли материал для своей работы?
Поможем написать уникальную работу
Без плагиата!
Без нейросетей!