Исследование инвестиционной и кредитной политики на монопольном рынке
ТЕМА
«Исследование инвестиционной и
кредитной политики на монопольном рынке»
Оглавление
Введение
Глава
1. Основные характеристики монополистического рынка
Глава
2. Моделирование состояния фирмы на монопольном рынке
.1 Описание
поведения фирмы
.2 Исследование
поведений фирмы вблизи точек равновесия
Глава
3. Выбор оптимальных стратегий поведения
.1 Оптимальная
стратегия кредитования
.2 Оптимальная
стратегия инвестирования
.3
Код программы
Заключение
Список
использованных источников
Введение
Актуальность исследования
Одними из важнейших задач, которые решают руководители предприятий,
являются задачи об оптимальной инвестиционной и кредитной политике. В
зависимости от того, какую стратегию кредитования и инвестирования выбирает
компания, зависит ее дальнейшее развитие и то, какое место она займет в
перспективе на рынке. Таким образом, задача исследования кредитной и
инвестиционной политики является актуальной как для теории монополии, так и для
разработки практических рекомендаций для игроков на рынке.
Цели исследования
Основными целями данной работы являются исследование математической
модели монопольного рынка в случае неравновесной цены единицы продукта,
разработка алгоритма поиска оптимальной нормы инвестиций и формулировка метода,
позволяющего определить целесообразность взятия кредита.
Работа состоит из трех глав. В первой главе описываются основные
характеристики монополии, отличающие ее от рынка с совершенной конкуренцией
([5],[6]), а так же от других рыночных структур с несовершенной конкуренцией.
Во второй главе строится математическая модель монополии, описанная в [1],[2].
За основу принимается динамическая модель монополии. В третьей главе
описывается и решается задача об оптимальной стратегии инвестирования, а так же
формулируется правило определения целесообразности взятия кредита.
Глава
1.
Основные характеристики монополистического рынка
монополистический рынок инвестирование равновесие
В экономической теории выделяют два типа рынков - рынки с совершенной
конкуренцией или, как ее еще называют свободной или чистой конкуренцией и рынки
с несовершенной конкуренцией.
Совершенная конкуренция - это вид рынка, на котором много фирм продают
стандартизированный товар (то есть не имеющий различий) и ни одна из фирм не
обладает такой долей рынка, которая позволила бы влиять на цену продукта. При
совершенной конкуренции доля каждой фирмы в совокупном выпуске продукции,
продаваемой на рынке, очень мала. Поэтому предприятия не могут воздействовать
на цену продукта путем изменения объема выпуска. Это значит, что конкурентное
предприятие может продать всю свою продукцию только по рыночной цене,
сложившейся на данный момент времени. Продавец на рынке с совершенной
конкуренцией не может поднять цену на товар, так как в этом случае покупатели
отдадут предпочтение его конкурентам, продающим товар по более низкой цене.
Вторым признаком конкурентного рынка является полная и доступная всем его
участникам информация о ценах и технологиях конкурентов.
Кроме того, на рынке с совершенной конкуренцией существует возможность
быстро реагировать на изменившиеся условия путем перемещения применяемых
производственных ресурсов, то есть продажи одних факторов производства и
вложения вырученных средств в другие.
Еще одной важной характеристикой рынка с совершенной конкуренцией
является отсутствие каких-либо барьеров для входа на рынок или ухода с него.
Если одно из вышеперечисленных условий нарушается, возникает
несовершенная конкуренция. Однако основное отличие несовершенной конкуренции от
совершенной состоит в возможности участников рынка влиять на цену своей
продукции.
На большинстве современных рынков конкуренция является несовершенной, так
как в отдельных отраслях промышленности существуют одно или несколько
предприятий, способных оказывать влияние на цену продукции, изменяя объемы
продаж. То есть такие предприятия могут частично контролировать цену на
производимый ими товар.
Степень свободы при назначении цен различна для разных отраслей.
Например, в розничной торговле бытовой техникой, различие в ценах в несколько
процентов, обычно оказывает существенное влияние на объемы продаж, в то время
как компания Microsoft единолично диктует цены программы, работающие в
операционной среде Windows.
Итак, мы описали основное отличие совершенной конкуренции от
несовершенной. Рассмотрим теперь модели рыночных структур, характерные для
рынка с несовершенной конкуренцией: олигополию, монополистическую конкуренцию и
монополию.
Олигополия - это рыночная форма, при которой на рынке доминирует
небольшое количество продавцов (олигополистов). Отличительной чертой олигополии
является то, что каждое предприятие в отдельности способно оказывать влияние на
формирование рыночной цены. Таким образом, решение каждой фирмы влияет на
ситуацию на рынке и, с другой стороны, зависит от решений других олигополистов.
Товар, продаваемый на олигополистическом рынке разными производителями,
может быть стандартизированным (не имеющим отличий от продукции конкурентов):
сталь, алюминий, либо дифференцируемым. Дифференцируемые товары - товары,
обладающие специфическими качествами или характеристиками, служащими тому,
чтобы покупатель предпочел данный товар продукции других фирм. Примером
дифференцируемого товара являются автомобили; соответствующие качества -
безопасность, расход топлива, мощность.
Обычно на олигополистическом рынке основными игроками являются от 2 до 10
фирм, на долю которых приходится более половины совокупного выпуска продукции.
Это делает фирмы зависимыми друг от друга: каждая из них понимает, что
изменение цены или объема выпуска вызовет ответную реакцию других
олигополистов.
Примеров олигополистических отраслей довольно много: обрабатывающая
промышленность, сфера транспортных и коммуникационных услуг и.т.д.
Вторым типом рыночной структуры, характерной для рынка с несовершенной
конкуренцией, является монополистическая конкуренция. Для нее характерно
присутствие на рынке большого количества производителей, продающих
дифференцированный товар. Таким образом, монополистическая конкуренция похожа
на совершенную: на рынке функционирует много продавцов, ни один из которых не
контролирует значительную долю рынка; а главное отличие ее от совершенной
конкуренции заключается в том, что товары, производимые различными компаниями,
не идентичны. Так как продукты, производимые разными фирмами, несколько отличаются,
компании могут продавать их по разным ценам.
Классическим примером монополистической конкуренции может служить рынок
продуктовых сетей. Например, человек покупает продукты в магазине сети
«Перекресток», несмотря на то, что цены здесь несколько выше цен в магазинах
сети «Квартал», зато магазин расположен ближе к дому. В то же время, если цены
в первом магазине станут существенно выше цен во втором, этот человек, скорее
всего, начнет покупать продукты в «Квартале».
Этот пример показывает, что одним из важных видов дифференциации может
оказаться местоположение или время, необходимое на покупку товара.
Третьей моделью несовершенной конкуренции является монополия.
Монополией называется рыночная ситуация, при которой:
. на рынке существует единственный продавец товара или услуги
(монополист), контролирующий общий объем предложения и цену
. отсутствуют близкие заменители товара и услуги
. имеются высокие барьеры входа (факторы, затрудняющие вхождение
предприятия в отрасль).
Таким образом, характерной особенностью монопольного рынка является
наличие препятствий для входа на него. В реальной экономике барьеры есть всегда
в том или ином виде. Очень часто именно наличие барьеров является причиной
образования монополии. Можно классифицировать все виды барьеров входа на рынок
на два класса: естественные и искусственные.
Естественные барьеры
. Эффект масштаба. Это показатель, характеризующий относительное
изменение объемов производства при пропорциональном изменении объемов всех
используемых факторов.
Математически эффект масштаба определяется следующей формулой:
где
это производственная функция, то есть функция,
отображающая зависимость между объемом производства
и физическим объемом факторов производства (
капитал,
труд) при
данном объеме технических знаний.
В
случае, когда
говорят о положительном эффекте масштаба, а при
, соответственно, об отрицательном. Если
то эффекта масштаба не существует.
При
положительном эффекте масштаба возникает экономия на средних издержках. Покажем
это. При выпуске
средние издержки равны
,
где
.
При
увеличении вовлечения ресурсов в
раз
средние издержки
уменьшаются.
Таким
образом, положительный эффект масштаба позволяет монополисту производить товар
с более низкими издержками чем если это было бы возможно, если бы на рынке было
большее количество компаний. С другой стороны, новая фирма не может войти на
рынок, так как она слишком мала для того, чтобы достичь таких средних издержек,
которыми обладает фирма-монополист. Именно поэтому эффект масштаба является
одним из самых сильных барьеров для вхождения на монополистический рынок.
2. Уникальные научно-технические разработки так же могут образовать
монополию. Если фирма обладает некоторым технологическим секретом производства
товара, о котором не знают другие компании, то она образует монополию на данный
продукт.
. Высокие издержки вступления в отрасль. В некоторых областях
начало производства требует огромных вложений. Примером служит гражданская
авиация. Величина вложений, которые необходимо сделать для разработок и
испытаний новых моделей самолетов, могут отпугнуть потенциальных конкурентов
существующих компаний.
. Небольшой объем спроса на рассматриваемом рынке. В этих
условиях, если монополия полностью удовлетворяет совокупный спрос потребителей,
нет смысла в появлении еще одной фирмы, производящей точно такой же продукт.
Искусственные барьеры.
. Патенты и авторские права. Их вручают изобретателю, чтобы
обеспечить монопольное использование запатентованного продукта или процесса.
Примером может служить получение фармацевтической компанией патента на
разработанное ею лекарство. С помощью патентных монополий государство
способствует активизации изобретательской деятельности. Без перспективы
запатентовать изобретение, человек или компания, могут отказаться тратить на
его разработку время, силы и деньги.
. Исключительные права. Некоторые фирмы получают от государства
монопольные права на реализацию товаров и услуг. Примеры - предприятия,
предоставляющие общественные услуги: телефонные, газовые, электрические
компании.
. Собственность на специфический ресурс. Монополия так же может
поддерживаться в результате владения всеми источниками ресурса, необходимого
для производства.
. Реклама так же является барьером для вступления новых фирм на
монопольный рынок. Компании Pepsi и Coca-Cola ежегодно тратят сотни миллионов
долларов на рекламу своей продукции. Потенциальные конкуренты - производители
других прохладительных напитков могут не иметь такого количества средств на
рекламу.
. Дифференциация продуктов. Во многих отраслях рынка, таких как
производство молочных продуктов, шампуней, автомобилей, табачных изделий
распространенным явлением является выпуск продукции под несколькими торговыми
марками небольшим количеством предприятий. С одной стороны, наличие нескольких
брендов однотипной продукции объясняется желанием компании охватить как можно
больше целевых сегментов покупателей. В то же время, наличие многих торговых
марок на одном рынке создает определенный барьер для входа на него новых
участников: спрос на каждый из дифференцированных товаров настолько мал, что
рынок каждого из них не в состоянии вместить большое количество производителей.
. Импортные ограничения. Государство может накладывать их для
защиты местных компаний от зарубежных конкурентов. При отмене тарифов и
возникновении зон свободной торговли, возникает конкуренция, что снижает власть
монополии.
В зависимости от того, барьер какого типа препятствует вступлению новых
фирм на монопольный рынок, различают соответственно естественные и
искусственные монополии.
Ярким примером естественной монополии является монополия, возникшая в
результате экономии от масштаба, например транспорт. Некоторые виды транспорта
требуют существования рельсов, проводов или туннелей - метрополитен, трамваи,
электропоезда и.т.п. Для таких компаний существование нескольких фирм,
конкурирующих за одних и тех же потребителей, оказывается неэффективно. Дело в
том, что каждый и пассажиров этих видов транспорта платит за его использование
сравнительно небольшие деньги. Однако при большом количестве пассажиров этой
платы хватает на покрытие издержек. В случае, если в городе появятся два
метрополитена, то поток пассажиров разделится на две части, и для покрытия
издержек своего метрополитена, каждому пассажиру придется платить за проезд
почти вдвое большую сумму. К естественным монополиям в России так же относятся:
транспортировка нефти и газа, поставка электрической и тепловой энергии, услуги
таможенных терминалов, морских и речных портов и аэропортов.
Таким образом, что монополия - это довольно часто встречающийся тип
рыночной структуры, так что ее изучение представляет определенный интерес. В
следующей главе рассмотрим математическую модель монополии.
Глава 2.
Моделирование состояния фирмы на монопольном рынке
.1 Описание
поведения фирмы
Рассмотрим динамическую модель монополии, развитие которой происходит на
основе самофинансирования. Сформулируем основные допущения данной модели.
1. Функция
спроса определяет объем товара
, который
покупатели готовы приобрести по цене
:
где
. Таким образом, чем ниже цена, тем больше товара
готовы приобрести покупатели.
2. Функцией полных издержек фирмы является квадратный трехчлен с
положительными коэффициентами:
,
где
положительные числа.
. Объем
производства пропорционален основным производственным фондам
, которые определяют производственный потенциал
монополии (оборудование, здания, земля и.т.п.):
,
где
коэффициент фондоотдачи (постоянное число).
4. Объем продаваемого товара зависит от соотношения величин
совокупного спроса и предложения: если спрос больше предложения, то весь
произведенный товар будет продан, если же объем произведенного товара больше
спроса, то продано будет количество товара, соответствующее спросу покупателей.
Будем считать, что товар является скоропортящимся и нераспроданная продукция
нигде не складируется и в будущем продаваться не может. Таким образом, прибыль
фирмы определяется выражением:
5. Важным допущением нашей модели является тот факт, что цена не
является равновесной, то есть не обеспечивает равенство спроса и предложения в
каждый момент времени.
Монополист имеет возможность менять цену товара. Изменение стоимости
продукции зависит от соотношения объема выпуска и спроса: если спрос
превосходит предложение, то есть на рынке появляется невостребованный товар, то
монополист снижает цену, если же спрос меньше предложения, то есть имеет место
дефицит товара, монополист поднимает цену. Разумно допустить, что изменение
цены пропорционально разнице между спросом и предложением. Таким образом,
динамику цены товара можно описывать уравнением:
где
положительное число.
. Полученная
фирмой прибыль идет на инвестиции
в
производство и отчисления
в фонд потребления:
.
7. Инвестиции составляют некоторый процент от прибыли фирмы, таким
образом:
,
где
норма инвестиций (положительное число).
8. Динамика основных производственных фондов задается уравнением:
где
коэффициент выбытия фондов или амортизации
(положительное число).
Преобразуем
уравнение с учетом соотношений - . Получим:
где
Таким
образом, состояние фирмы описывается системой уравнений:
С
учетом формулы преобразуем уравнения - . Получим:
где
Следовательно,
мы так же можем описывать положение монополии на рынке с помощью системы
уравнений относительно цены и объема выпуска товара:
Для
большей наглядности в дальнейшем будем рассматривать конечно-разностную схему
данной модели монополии. Пусть горизонт планирования составляет
лет. В качестве шага возьмем
. Таким образом, мы разобьем отрезок
на интервалы длины
,
соответствующие месяцам.
В
этом случае системы уравнений и соответственно примут вид:
где
где
.2
Исследование поведений фирмы вблизи точек равновесия
Найдем
состояния равновесия системы , т.е. такие пары
, что
,
.
Из
условия
, получаем:
.
То
есть множеством точек, таких что
,
является прямая - обратная функция спроса.
Далее
рассмотрим 2 случая:
.
.
В первом случае получаем уравнение:
.
Отсюда
имеем:
,
где
.
Таким
образом, множество точек удовлетворяющих условию
при
, является гиперболой.
Из
условий
получаем:
.
Отсюда
имеем:
.
Следовательно,
множеством точек, удовлетворяющих условию
при
, является эллипс при условии на параметры.
Точки
пересечения гиперболы и прямой, находим, приравнивая правые части формул и .
Получаем уравнение:
.
Общие
точки эллипса и прямой, находим, подставляя в . Отсюда получаем то же
уравнение:
.
Таким
образом, гипербола и эллипс пересекают рассматриваемую прямую в одинаковых
точках.
Необходимым
условием существования решений квадратного уравнения является
неотрицательность его дискриминанта:
,
откуда
следует условие на норму инвестиций
:
,
.
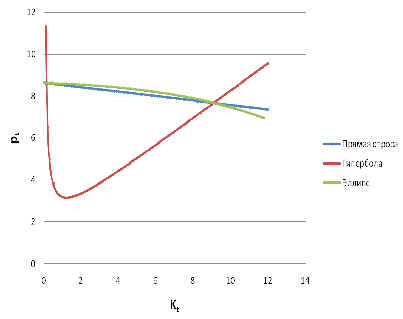
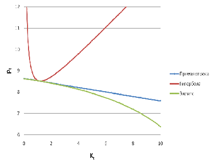
При
прямая, гипербола и эллипс пересекаются в 2 точках
(Рис. 1), при они имеют одну общую точку - точку касания (Рис. 2).
Рис.
1
Рис.
2
Исследуем
поведение траекторий
вблизи точек равновесия.
На
Рис. 3 и Рис. 4 представлены траектории
при
вблизи двух точек равновесия. Из данных рисунков
видно, что одна из рассматриваемых точек является точкой неустойчивого
равновесия (Рис. 3), другая - точкой устойчивого равновесия (Рис. 4).
На
Рис. 5 изображены траектории
при
вблизи точки касания.
Рис.
3
Рис.
4
Рис.
5
Итак,
мы нашли точки равновесия системы .
Заметим
теперь, что экономическая интерпретация величин, описывающих модель монополии,
предполагает, что
неотрицательна, так как прибыль представляет собой
сумму двух неотрицательных величин - инвестиций и потребления.
Найдем
множество точек
, таких что
. Как
следует из формул , оно определяется соотношениями (при
):
то
есть представляет собой внутреннюю область эллипса
лежащую над гиперболой
Из
Рис. 6 видно, что точки равновесия рассматриваемой системы лежат внутри
множества точек с неотрицательной прибылью.
Рис.
6
Заметим,
что все траектории, начинающиеся в точках множества
сходятся в точку устойчивого равновесия системы , что
видно из Рис. 7. Таким образом, достаточным условием того, что фирма займет
стабильное положение на рынке, является положительное значение прибыли в
начальный момент времени.
Рис.
7
Глава
3.
Выбор оптимальных стратегий поведения
.1
Оптимальная стратегия кредитования
Ранее
мы видели, что достаточным условием того, что со временем фирма достигнет
устойчивого положения на рынке, является неотрицательность прибыли в начальный
момент времени. Однако это условие не всегда выполняется. Примером может
служить ситуация, когда производитель, выпуская на рынок новый, незнакомый еще
потребителю товар, немного занижает цену. Тем самым продавец стремится привлечь
к продукции внимание покупателей. В этом случае начальная точка
может попасть в область, где
Дадим
интерпретацию отрицательной прибыли. Согласно одному из допущений нашей модели,
прибыль расходуется на инвестиции и отчисления в фонд потребления. Будем
считать, что в случае, когда
потребление
равно нулю:
Таким образом,
где
Отрицательные инвестиции означают, что производитель
не вкладывает средства в производство, а наоборот - уменьшает основные фонды,
чтобы покрыть издержки. Уменьшая постепенно основные фонды, производитель
уменьшает объем выпуска и в конце концов, фирма уходит с рынка. Данной ситуации
соответствует траектория 2 на Рис. 8. Из этого же рисунка видно, что стоит
производителю немного увеличить начальное значение
и фирма уже окажется в области с положительной
прибылью и в дальнейшем достигнет устойчивого равновесия (траектория 1).
Рис.
8
Но
не всегда у владельцев фирмы имеется достаточно средств, чтобы увеличить
значение
и попасть в область с положительной прибылью. Выходом
в данной ситуации является взятие кредита.
В
настоящее время на рынке банковских услуг существует множество предложений по
кредитованию бизнеса. Рассмотрим вопрос о том, какие кредиты являются
выгодными, а какие - нет.
Будем
считать, что ставка процента по кредиту от времени не зависит и кредит отдается
одним платежом через целое количество лет. Таким образом, если в начальный
момент времени производитель взял кредит величины
сроком на
лет, а
процентная ставка составляет
процентов,
то через
лет, ему необходимо будет отдать банку сумму
.
Итак,
получив кредит и вложив средства в производство, производитель увеличивает
, попадает в область с положительной прибылью, и фирма
постепенно приближается к устойчивому равновесию. Однако в момент времени
производителю необходимо отдать банку кредит. Будем
считать, что средства, необходимые на возврат кредита берутся из основных
фондов. Если после отдачи кредита, точка
описывающая
состояние фирмы, остается во множестве
, то
траектория
со временем придет в точку устойчивого равновесия.
Если же после возврата кредита точка
выходит
за пределы множества
, то соответствующая траектория с большей вероятностью
уходит на минус бесконечность, что значит, что фирма прекращает свою
деятельность.
Таким
образом, мы можем разделить все кредиты на 2 класса:
· Рекомендуемые
- кредиты, после возврата которых точка, описывающая состояние фирмы, остается
во множестве
. Взяв такой кредит и вернув его в срок, монополист
приходит к равновесию на рынке.
· Нерекомендуемые
- кредиты, после возврата которых точка, описывающая состояние фирмы,
оказывается вне множества
. Взяв такой кредит, монополист с большой вероятностью
разоряется после его возврата.
На
Рис. 9 и Рис. 10 представлены траектории
для двух
типов кредитов. Начальные значения (до взятия кредита)
в обоих случаях равны 0,1. Величина кредита так же
одинакова и составляет 4. Однако рассматриваемые кредиты берутся монополистом
на разных условиях: в первом случае кредит предоставляется на 2 года под 24
процента годовых, во втором случае - на 4 года под те же 24 процента годовых.
Из
рисунков видно, что, взяв кредит 1 типа, монополист, вернув его в срок,
остается во множестве с положительной прибылью и приходит к равновесию. Во
втором случае, фирма, после возврата кредита, разоряется.
Рис.
9
Рис.
10
Пользуясь выше сделанными замечаниями можно описать алгоритм принятия
решения о выборе кредита:
1. Для
заданных значений констант
построить
множество
, во всех точках которого прибыль неотрицательна.
. Если
после возврата кредита точка
,
описывающая состояние фирмы, выходит за пределы множества
, внести данный кредит в список нерекомендуемых. В
противном случае причислить этот кредит к списку рекомендуемых кредитов.
В
качестве оптимального кредита можно принять кредит из списка рекомендуемых, при
котором траектория
приходит в точку устойчивого равновесия за наименьшее
время.
3.2 Оптимальная стратегия инвестирования
Одним из важных вопросов, с которым сталкиваются руководители компаний,
является вопрос о выборе нормы инвестиций.
Изменяя
величину
, можно повлиять на положение фирмы на рынке, что
видно из системы уравнений , описывающих динамику цены и объема выпуска товара:
(3.1)
Кроме
того, от значения нормы инвестиций, зависит и величина отчислений в фонд потребления
:
,
где
- это норма инвестиций, а
- это прибыль монополии.
Из
всего выше сказанного следует, что мы можем рассматривать норму инвестиций
как управляющий параметр, влияющий на динамику объема
выпуска и цену товара, а так же - на величину отчислений в фонд потребления.
Будем
считать, что целью монополии является максимизация отчислений в фонд
потребления за фиксированный промежуток времени
. Поиск
оптимальной нормы инвестиций
, при
которой достигается минимальное возможное значение
, таким образом, представляет собой актуальную задачу.
Сформулируем задачу поиска оптимальной нормы инвестиций
.
(3.3)
(3.6)
(3.7)
это
граничные значения интервала допустимых норм инвестиций:
Задача
(3.3)- представляет собой задачу оптимального управления. Отметим, что заданная
задача имеет особенность, а именно: правая часть уравнения (3.4) разрывная.
Рассмотрим
самый общий случай, т.е. рассмотрим систему в виде
(3.10)
где
уравнение гладкой поверхности разрыва. Пусть
минимизируемый функционал имеет следующий вид
(3.11)
Здесь
- вектор фазовых координат, u(t)- управление
(в
данном случае скалярная функция), на которое наложены ограничения:
(3.12)
Рассматриваемая
задача является задачей с фиксированным временем, т.е.
Все
дальнейшие наши рассуждения будут связаны с желанием представить вариацию
минимизируемого функционала J из (2) в виде
(3.12)
Пусть
траектория x(t) пересекает поверхность разрыва в момент t*:
Пусть
u(t) - какое-либо допустимое управление. Наряду с этим управлением рассмотрим
управление
где 
(3.13)
(3.14)
Пусть
возмущенная траектория
пересекает
в момент
(пока для определенности будем считать
).
Отметим,
что выражение для вариации минимизируемого функционала имеет следующий вид
(3.15)
Введем
теперь так называемую сопряженную систему
(3.16)
(3.17)
с
условиями трансверсальности
Рассмотрим
выражение
и продифференцируем его по времени. Тогда будем
иметь:
(3.18)
в
силу условий (6), а также в силу того, что
С
другой стороны рассмотрим выражение
Нам
необходимо осуществить удаление «лишнего» слагаемого
Это
приведет к разрыву функции
в точке
с определенными соотношениями на разрыве. Обозначим
через
возмущенную траекторию. Тогда с точностью до
Вычитая,
получим связь между
и
(3.19)
Здесь
обозначено:
Следует
еще использовать связь между
и
и
так как
то
Теперь
соотношение между
и
примет
вид
(3.20)
где
.
Обращение
в нуль (с точностью до
) выражения
будет
обеспечено для любых
, если
и
удовлетворяют условиям скачка:
(3.21)
Таким
образом, мы установили, что в решении сопряженной системы при
будет наблюдаться скачок.
Наша
задача представляет собой задачу оптимального управления. В принципе ее можно
решать с использованием принципа максимума Л.С. Понтрягина. Но в данном случае
управление
входит как в правые части дифференциальных уравнений,
так и в подынтегральную функцию критерия линейно. Поэтому использование
принципа максимума может дать нам только релейные режимы, а соответствующий
итерационный процесс будет расходиться. Очевидно, в данной задаче существуют
так называемые особые режимы, для вычисления которых необходимо привлекать
методы, использующие вторую вариацию, что значительно усложнит процедуру счета.
Наиболее
приемлемым методом в данной ситуации очевидно является градиентный метод, так
как
во-первых,
для его реализации требуется решить лишь прямую и сопряженную системы
во-вторых,
в рассматриваемой задаче управление является нормой инвестиций, которая
считается константой в течение месяца
Поэтому
мы можем считать, что искомое управление принадлежит классу кусочно-постоянных
функций, т.е.
где
- продолжительность i-го месяца.
Это
означает, что наш критерий является функцией m - переменных
, где m - количество месяцев в рассматриваемом
интервале времени
Для
нахождения градиента необходимо использовать сопряженную систему, решение
которой, как было показано ранее, испытывает скачок
(3.22)
в
момент времени t, при котором функция
обращается
в нуль. При этом не возникает никаких дополнительных трудностей при численном
интегрировании этой системы.
То
есть в нашем случае задачу поиска оптимальной нормы инвестиций
будем решать в следующем виде:
(3.23)
(3.24)
Искомые
выражения для градиента
примут следующий вид:
(3.25)
где
G - решение системы (3.23), а
-
решение сопряженной системы (3.24) с условием скачка (3.22).
Опишем
алгоритм нахождения оптимальной нормы инвестиций:
Алгоритм:
Нахождение оптимальной нормы инвестиций
Вход:
1. Начальные
значения
. Начальное
приближение нормы инвестиций на всем интервале наблюдения
. Начальные
значения констант
Выход:
Оптимальное
значение нормы инвестиций на всем интервале наблюдения
:
С помощью модифицированного метода Эйлера вычисляем
,
и
на всем интервале наблюдения
для
заданных начальных значений
, а также
текущего приближения нормы инвестиций
.
:
С помощью модифицированного метода Эйлера вычисляем
и
на всем
интервале наблюдения, начиная с конечной точки интервала
для
всех значений
, найденных в п.1, а также текущего приближения нормы
инвестиций
.
Если
функция
меняет свой знак при вычислении
, то делаем замену:
,
где
: Вычисляем интеграл
где
.
:
Изменяем значения текущей нормы инвестиций
если
, то
если
, то
:
Повторяем шаги 1-4 до тех пор, пока
.
Код программы, выполняющей вычисление нормы инвестиций по данному
алгоритму, прилагается в п. 3.3.
Опишем
результаты применения данного алгоритма для поиска оптимальной нормы
инвестиций. Пусть горизонт планирования составляет T=1 год, то есть M=12, где M
- количество месяцев. В качестве шага возьмем
. Таким
образом, мы разобьем отрезок
на
интервалы длины
. Соответственно каждый месяц будет содержать 6 таких
интервалов. Начальную норму инвестиций возьмем равной
для каждого месяца.
Рассмотрим
значения функции s(t) для 1, 5 и 9 итерациях.
На
Рис 11. показан график значений s(t) для первой итерации. Значение функционала
J равно 2,88.
На
Рис 12. - для 5-ой итерации. Значений функционала J равно 1,78, то есть
функционал уменьшился на 38%.
На
Рис 13. - для 9-ой итерации. Значений функционала J равно 1,35, то есть
функционал уменьшился на 53%.
Рис
11.
Рис
12.
Рис
13.
Из
последнего рисунка видно, что вначале монополист по максимуму вкладывает в
производство, выводя его тем самым на равновесный уровень, при этом объем
производства фирмы равен величине спроса на рынке. Затем монополист постепенно
снижает норму инвестиций практически до минимального возможного значения, тем
самым увеличивая отчисления в фонд потребления. В конце рассматриваемого
периода времени монополист перестает заботиться о будущем фирмы и уменьшает
норму инвестиций до 0, отчисляя всю заработанную предприятием прибыль в фонд
потребления.
Для
трех начальных приближений
, равных
, описанный выше алгоритм сходится к одной и той же
оптимальной норме инвестиций, изображенной на рисунках. Таким образом, с
большой уверенностью можно считать, что найденная при помощи описанного
алгоритма норма инвестиций является оптимальной.
.3 Код
программы
System;System.Collections.Generic;System.ComponentModel;System.Data;System.Drawing;System.Linq;System.Text;System.Windows.Forms;diplom
{partial class Form1 : Form
{double p0, q0, fi0;double A, B, h;double liambda, gamma, mu, alfa;double
a, b, c, s0, s1, s2;double psi1_0, psi2_0, eps;double dFp, dFq, dHp, dHq, dFIp,
dFIq;int sign, M, T, LEN, N;Form1()
{();
}double F(double P, double Q)
{gamma * ((A - P) / B - Q);
}double H(double P, double Q, double S)
{(Q > (A - P) / B)(liambda * S * PI2(P, Q) - mu * Q);return (liambda *
S * PI1(P, Q) - mu * Q);
}double Fi(double P, double Q, double S)
{(Q > (A - P) / B)((S - 1) * PI2(P, Q));return ((S -1) * PI1(P, Q));
}double PI1(double P, double Q)
{(P * Q - a * Q * Q - b * Q - c);
}double PI2(double P, double Q)
{(P * (A - P) / B - a * Q * Q - b * Q - c);
}double dHs(double P, double Q)
{(Q > (A - P) / B)liambda * PI2(P,Q);return liambda * PI1(P,Q);
}double PSI1(double x, double y)
{(- dFp * x - dHp * y - dFIp);
}double PSI2(double x, double y)
{(-dFq * x - dHq * y - dFIq);
}double Integ(double [] mas)
{Sum = 0;(int i = 1; i < 6; i++)+= h / 2 * (mas[i-1] + mas[i]);Sum;
}void button1_Click(object sender, EventArgs e)
{[] p, q, fi, G, dFIs, S;psi1, psi2;p_shtrih, q_shtrih,
fi_shtrih;psi1_last, psi1_shtrih, psi2_shtrih;sign_last;= new double[LEN];= new
double[LEN];= new double[LEN];= new double[M];= new double[N];= new
double[M];[0] = p0;[0] = q0;[0] = fi0;= psi1_last = psi1_0;= psi2_0;(int i = 0;
i < M; i++)[i] = s0;(int x = 0; x < 50; x++)
{j = 0;(int i = 0; i < LEN - 1; i++)
{(i % N == 0 && i != 0) j++;_shtrih = p[i] + h * F(p[i],
q[i]);_shtrih = q[i] + h * H(p[i], q[i], S[j]);_shtrih = fi[i] + h * Fi(p[i],
q[i], S[j]);[i + 1] = p[i] + (h / 2) * (F(p[i], q[i]) +
F(p_shtrih,q_shtrih));[i + 1] = q[i] + (h / 2) * (H(p[i], q[i], S[j]) +
H(p_shtrih, q_shtrih, S[j]));[i + 1] = fi[i] + (h / 2) * (Fi(p[i], q[i], S[j])
+ Fi(p_shtrih, q_shtrih, S[j]));
}l = 0, k = 1;= M-1;(int i = LEN - 1; i >= 0; i--)
{(i % N == 0 && i != 0) j--;= -gamma / B;= -gamma;(q[i] <= (A
- p[i]) / B)
{= liambda * S[j] * q[i];= liambda * S[j] * (p[i] - 2 * a * q[i] - b)-mu;
}
{= liambda * S[j] * (A - 2 * p[i]) / B;= liambda * S[j] * (-2 * a * q[i]
- b) - mu;
}= (S[j] - 1) * dHp / (liambda * S[j]);= (S[j] - 1) * (dHq + mu) /
(liambda * S[j]);_shtrih = psi1 - h * PSI1(psi1, psi2);_shtrih = psi2 - h * PSI2(psi1,
psi2);= psi1 - (h / 2) * (PSI1(psi1, psi2) + PSI1(psi1_shtrih, psi2_shtrih));=
psi2 - (h / 2) * (PSI2(psi1_last, psi2) + PSI2(psi1_shtrih, psi2_shtrih));_last
= psi1;(Math.Abs(q[i] - (A - p[i]) / B) != (q[i] - (A-p[i])/B))_last =
1;sign_last = 0;h1, h2, Fi1, Fi2;= liambda * S[j] * PI1(p[i], q[i]) - mu *
q[i];= liambda * S[j] * PI2(p[i], q[i]) - mu * q[i];= (S[j] - 1) * PI1(p[i],
q[i]);= (S[j] - 1) * PI2(p[i], q[i]);(i != (LEN - 1) && sign_last !=
sign)= psi2 -
((h1 - h2) * psi2 + (Fi1 - Fi2)) / ((1 / B) * F(p[i], q[i]) + h1);=
sign_last;(k != N)
{[k - 1] = dHs(p[i], q[i]) * (psi2 + 1 / liambda);++;
}
{[l] = Integ(G);++; k = 1;
}
}S_last;(int i = 0; i < M; i++)
{_last = S[i];[i] = S[i] - alfa * dFIs[i];(S[i] > s2) S[i] = s2;(S[i]
< s1) S[i] = s1;
}
}
}
}
Заключение
В работе получены следующие результаты:
. Исследована динамическая модель однопродуктового монопольного
рынка в случае неравновесной цены единицы товара.
. Сформулировано правило принятия решения о целесообразности
взятия кредита.
. Предложен алгоритм поиска оптимальной нормы инвестиций и найдена
с его помощью оптимальная стратегия инвестирования.
В заключении, хотелось бы выразить благодарность всему коллективу кафедры
«Прикладная математика» за поддержку и внимание, которые способствовала
выполнению данной работы.
Особую признательность, хотелось бы выразить научному руководителю,
Петрову Виктору Михайловичу, за постановки задач, консультации, советы и
постоянное внимание к результатам исследования.
Список
использованных источников
1. Лебедев
В.В., Лебедев К.В. Математическое и компьютерное моделирование экономики. - М.:
НТВ-Дизайн, 2002.
. Лебедев
В.В., Лебедев К.В. О математическом моделировании нестационарных экономических
процессов. - М.: НТВ-Дизайн, 2002.
. Маршалл
А. Принципы экономической науки. - М.: Прогресс, 1993.
. Гальперин
В.М., Игнатьев С.М., Моргунов В.И. Микроэкономика. - М.: Омега-Л ГУ ВШЭ, 2008.
. Вэриан
Х.Р. Микроэкономика. Промежуточный уровень. Современный подход. - М.: 1997.
. Баничук
Н.В., Петров В.М., Черноусько Ф.Л. Метод локальных вариаций для вариационных
задач с неаддитивным функционалом. М.: Вычислительная математика и
математическая физика, 1969, 9, №3.
. И.А.
Крылов, Ф.Л. Черноусько. О методе последовательных приближений для решения
задач оптимального управления, ЖВМ и МФ, 2, №6, 1962.
. Н.Н.
Моисеев. Элементы теории оптимальных систем. - М., «Наука», 1975.
. Н.Н.
Моисеев, Ю.П. Иванилов, Е.М. Столярова. Методы оптимизации. М., «Наука», 1978.
. А.Г.Сухарев,
А.В. Тимофеев, В.В. Федоров. Курс методов оптимизации. - М., «Наука», 1986.