Инновационная деятельность организации (предприятия)

  • Вид работы:
    Курсовая работа (т)
  • Предмет:
    Эктеория
  • Язык:
    Русский
    ,
    Формат файла:
    MS Word
    26,47 Кб
  • Опубликовано:
    2015-05-30
Вы можете узнать стоимость помощи в написании студенческой работы.
Помощь в написании работы, которую точно примут!

Инновационная деятельность организации (предприятия)













КУРСОВАЯ РАБОТА

на тему:

"Инновационная деятельность организации (предприятия)"

Содержание

Введение

. Виды инноваций

. Инновационный и научно-технологический потенциал предприятия

. Организационные формы инновационной деятельности

. Оценка эффективности инноваций

Заключение

Список литературы

Введение


В современном мире научно-технический прогресс не возможен без притворения в жизнь интеллектуальных продуктов, рождающихся в результате инновационной деятельности.

Установление конкретного круга аспектов характеризующих сущность понятия, является важным исходным моментом для формирования целей, структуры и объёма дальнейших исследований. Именно поэтому уделяется много внимания исследованию сущности понятия "инновация" и других рассматриваемых понятий.

Инновация - с английского (innovation) (нововведение),с латинского (novatio), что означает ("обновление" или "изменение") и приставка in, что означает "в направление", если переводить дословно "Innovatio" - "в направлении изменений". Данное определение формирует общее понятие, нас интересуют только технологические инновации и в области управления, организации и маркетинга.

Инновационная деятельность предприятия - деятельность, направленная на реализацию (внедрение в производство) результатов проведённых научных исследований и разработок либо иных научно-технических достижений.

Направлена для достижения определённых целей :

·        Расширения и обновления номенклатуры;

·        Улучшение качества выпускаемой продукции (товаров, услуг);

·        Снижение % брака;

·        Снижение издержек производства

·        Совершенствования технологии их изготовления с последующим внедрением и эффективной реализацией на внутреннем и зарубежных рынках, предполагающая целый комплекс научных, технических, технологических, организационных, финансовых и коммерческих мероприятий, которые в своей совокупности приводят к инновациям.

Комплексный, системный методы инновационной деятельности выражаются в сложности и многогранности самого понятия - инновация. Оно включает обширный спектр различных нововведений с разной степенью новизны и воплощения в них знания, применяемых в различных сферах деятельности, отраслях. Реализуется на разных рынках.

Так как инновации могут значительно различаться между собой по множеству параметров, может привести к противоречиям между различными теориями инновационного менеджмента. Простыми словами ожидания от одних видов инноваций, могут не оправдаться или иметь другой характер от других видов.

Есть даже область науки - "инноватика", изучающая различные теории нововведений, выработка инновационных решений, формирование новшеств, распространение и внедрение новшеств, адаптация сотрудников, персонала к нововведениям и факторам противодействующим нововведениям.

1. Виды инноваций

Все инновации можно сгруппировать по нескольким принципам:

1)   Инновации по характеру применения:

·        Технологические инновации - представляют собой внедрённые новшества, для обеспечения качественного роста эффективности процессов, таких как производство продукции, востребованное рынком. Инновации в области управления производством

·        Организационные - совершенствование системы менеджмента.

·        Маркетинговые - эти инновации обычно касаются рекламы, методов маркетинга, методов продаж, организации презентаций акций, формирование новых ценовых стратегий. Изменения дизайна не самого продукта - упаковки.

·        Комплексные инновации - представляют единство нескольких видов изменений.

·        Социальные инновации - ориентированные на построение и функционирование новых социальных структур.

·        Продуктовые инновации - направлены на производство и использование новых продуктов и услуг.

1)   Инновации по степени новизны:

·        Базисные - радикальные изменения, инновации реализующие крупные изобретения. Обычно являются основой для формирования новых направлений развития техники.

·        Улучшающие -инновации связанные с внедрением мелких и средних изобретений. Чаще всего направлены на снижение цен на продукцию, улучшение качества, сохранение конкурентоспособности. В большинстве случаев применяются на стадии распространения продукции и на стадии развития научно-технического цикла.

·        Псевдоинновации - это лишь внешние улучшения продуктов, например, рестайлинг автомобиля, без изменения технических характеристик.

Инновации могут быть классифицированы следующим образом:

1)   По роли в процессе воспроизведения:

·        Потребительские

·        Инвестиционные

1)   По степени сложности:

·        Сложные

·        Простые

1)   По причинам возникновения:

·        Реактивные - направлены на выживание фирмы, они являются реакцией на радикальные инновационные преобразования осуществляемые конкурентными фирмами.

·        Стратегические - носят упреждающий характер, это как в стрельбе по движущейся мишени : вы целитесь в т точку по направлению движения цели. Вам приблизительно известны дальнейшие действия конкурентов, и вы стараетесь сейчас позаботится о сохранении конкурентных преимуществ и перспектив в дальнейшем.

По характеру применения инновации различают:

·        Продуктовые - направлены на производство и использование новых продуктов и услуг.

·        Рыночные - открывающие новые сферы применения продуктов и позволяющие реализовать потребности в продуктах, услугах на новых рынках.

·        Инновации - нацелены на новые технологии, организацию процесса и управление.

·        Социальные - ориентированы на построение и функционирование новых социальных структур.

·        Комплексные - объединение нескольких видов изменений.

Важным понятием, характеризующим инновацию, является ее "жизненный цикл". Он представляет собой совокупность стадий от создания новшества до снятия с производства и утилизации инновационного продукта.

Инновация в своем жизненном цикле проходит следующие стадии:

1)   Зарождение, когда осуществляются научно-исследовательские и опытно-конструкторские работы , ведётся разработка и создание опытной партии продукта.

2)   Зост (промышленное освоение с одновременным выходом продукта на рынок);

3)   Зрелось (серийное и массовое производство);

4)   Насыщение рынка (максимум производства и продаж);

5)   Упадок (свертывание производства и уход продукта с рынка).

Реинжиниринг - представляет собой инновационный процесс, направленный на перестройку (перепроектирование) деловых процессов для достижения значительного скачкообразного улучшения деятельности предприятия.

По реинжинирингу выделяют два вида деятельности:

1.       Кризисный реинжиниринг;

2.       Реинжиниринг развития.

В данной таблице выражены различия реинжиниринга (инновационного процесса ) и обычной (текущей) деятельности компании:

 


РЕИНЖИНИРИНГ

ТЕКУЩАЯ ДЕЯТЕЛЬНОСТЬ

Цель деятельности

Удовлетворение новой потребности

Риск

Высокий

Низкий

Тип процесса

Дискретный

Непрерывный

Управление

Низкая

Высокая

Результат для системы

Переход на новый уровень

Сохранение на прежнем уровне

Отношение к интересам участников

Противоречит

Соответствует

2. Инновационный и научно-технологический потенциал предприятия

Под инновационном потенциалом предприятия предполагается его способность и готовность осуществить, т.е. притворить в жизнь, некую инновационную концепцию, что предполагает ведение реинжиниринга. Для этого предприятию необходимо сбалансировать необходимую структуру потенциала ( т.е. необходимые ресурсы ) до необходимого уровня, по расчётом необходимого для достижения поставленной цели.

Новаторство и инновационность предприятия могут играть очень важную роль, быть преимуществом этого предприятия. Если правильно и грамотно внедрить новые технологии это может повысить адаптивные способности предприятия, обеспечить защиту бизнеса от угроз из вне, и при этом расширить горизонт принятия решений в области управления, расширить разнообразие, ассортимент выпускаемой продукции. Рынок чаще всего относится более позитивно к тому предприятию, которая выпускает современную, качественную интересную ( инновационную ) креативную продукцию.( это конечно-же не может относится ко всей продукции, но к любому предприятию.

Для развития инновационного потенциала необходимо решить задачи касающиеся оценки степени новизны инновации. Выяснить: является ли этот инновационный продукт новым для этой отрасли, региона или страны, мировой рынок в целом (в зависимости от того где предполагается реализация нового продукта ).

Ответив на эти вопросы у вас появится необходимая информация:

·        Вес инновационной продукции в общем объёме выпускаемой продукции ( данным предприятием, и в этой отрасли)

·        Влияние инновации на конечные технические и экономические результаты финансовой и хозяйственной деятельности предприятия.

·        Влияние инноваций на эффективность использования тех или иных ресурсов.

Научно-технический потенциал предприятия включает в себя:

1)       Материально-техническная база научно-тех-ной деятельности;

2)       Научно-технические и инженерные кадры;

3)       Информационное обеспечение;

4)       Система организации научно-исследовательских и опытно-конструкторских работ и управление ими на предприятии;

Научно-технический потенциал характеризуется след. показателями:

) Кадровые (кол-во специалистов и их квалификация)

) Материально-техн. показатели, ( включают в себя ):

·        Затраты на научно-исследовательские и опытно-конструкторские работы ( НИОКР).

·        Уровень оснащенности работников, занимающимися НИОКР

1)   Уровень развития и возможности системы научно-технической информацией:

·        Кол-во накопленных информационных фондов на предприятии

·        степень удовлетворённости в информации;

·        Организационно-управленческий (отражает состояние управ. НИОКР)

·        Инновационный (кол-во открытий и изобретений за период)

·        Обобщающий (кол-во осуществленных за период научно- техн. Мероприятий)

·        Экономия от снижения себестоимости

·        Рост производительности труда 

3. Организационные формы инновационной деятельности


Мaлaя иннoвaциoннaя фирмa на сегодняшний день нет чёткого определения что это такое. Обычно это компания которая самостоятельно занимается научными исследованиями. Обычно с небольшим коллективом и действующих самостоятельно (независимо от других ) в узком направлении, имеют возможность быстрой переориентации. В настоящее время таких фирм ( а это сектор малого и среднего бизнеса ) очень немного и тенденции к росту не наблюдается. Несмотря на то, что в этой сфере работает лишь около 6% от общего числа работающих в малом предпринимательстве, эту область развития малого бизнеса можно поставить по значимости для развития экономики на одно из первых мест.

Венчурная фирма - (я бы назвал её рискофирмой ) обычно неприбыльна, так как не занимается организацией производства. Чаще всего эти фирмы создаются получая финансирование от большого предприятия тобиш представляют из себя дочернюю фирму ( как правило). Но и конечно же могут быть самостоятельными продавая свои научные разработки различным компаниям. Крупные фирмы зачастую сами не решаются осуществлять инновации, но стремятся их контролировать. В случае успеха они получают готовое научно-техническое достижение.

Плюсы и минусы:

Ими создается до 60% новшеств! Вот примеры которые нашли применения в современном мире и без некоторых мы даже не можем представить себе работу: ксерокс, микропроцессор, персональный компьютер. Как специалисты оценивают эффективность таких фирм?

Но по оценке экономистов : (приблизительно) в 15% рисковый капитал попросту теряется, в 25% фирмы несут убытки в течение гораздо большего количества времени чем предполагалось в проекте. В 30 % фирмы приносят прибыль, но довольно скромную. И лишь в 30% прибыль фирмы перекрывает затраты в несколько раз.

Вот к примеру в США: доходы фондов рискового капитала превышают в 10 - 20 раз сумму вложенных средств.

Создание венчурных фирм предполагает наличие следующих компонентов:

) Идею инновации - нового изделия или технологии которую планируют применить;

) Общественной потребности в новой продукции и предпринимателя, готового на основе предложенной идеи организовать вышеупомянутую фирму;

) Рискового капитала для финансирования подобных фирм.

Главным стимулом создания таких компаний - это доходность в случае удачи. К примеру средний уровень доходности американских венчурных фирм составляет около 20 % вгод, что в два - три раза больше в целом по экономике США.

Выделяют следующие типы венчуров:

Внутренний венчур - автономное в административном и хозяйственном отношении подразделение фирмы, создаваемое в качестве альтернативы формирования самостоятельной (отдельной) инновационной организации. Иногда формируется как временный коллектив, имеющий самостоятельный бюджет и работающий по определенной инновационной программе для достижения определённой цели. Основная цель - максимум ответственности за прогресс нововведения со стороны "венчурного управляющего", который свободен в использовании выделенных ему ресурсов при минимальном внешнем вмешательстве. По существу, это внутренняя дочерняя инновационная фирма компании. Обычно такое управление используется для немногих, исключительно обещающих проектов и действует наряду с существующей организацией. Относительно небольшие размеры организации и короткие коммуникации обеспечивают максимальную гибкость управления по мере реализации инновационного проекта, поскольку венчурный управляющий является, по сути дела, генеральным директором в рамках проекта и обеспечивает и НИОКР (разработку), производство, и выход на рынок нового продукта.

Внешний венчур является мобильной временной независимой малой компанией, занимающейся инновациями межотраслевого характера.

Технологический центр - (или инновационно-технологический центр) Это организация, созданная на базе научной организации, научно-исследовательского центра или опытного завода. Технологический центр предполагает наличие собственной территории, офисов, ангаров, производственных помещений, необходимого оборудования и тому подобное, с целью сдачи в аренду малым предприятиям на условиях что те арендуют с целью осуществления собственной инновационной деятельности. Предполагается что арендаторы смогут развиться и найти источник финансирования. Технологические центры могут отличатся по степени хозяйственной самостоятельности, местонахождению, могут создаваться на средства федерального или местного бюджета.

Научный парк - представляет собой симбиоз (т.е. полезное сожительство) научных учреждений и производств. Объединения происходят с целью разработки новых технологий, программ, продуктов. Вместе собираются : творческий потенциал и материальная база. Объединяются современные наукоёмкие фирмы и обычно группируются около крупных университетов, институтов генерирующих новые идеи или исследовательского центра. Занимают довольно обширные территории способные разместить хотя бы маленькое производство. На территории могут размещается предприятия различного размера находящиеся на разных стадиях исследования и развития с целью осуществление инновационного процесса. Научный парк может формироваться двумя способами:

1.       Использовать по максимуму местные ресурсы;

2.       Привлечь капитал извне.

Процесс формирования научного парка происходит в две фазы:

1.       Институциональная - предполагает создание благоприятной инфраструктуры(строительство отелей, обслуживающих предприятий, магазинов, ресторанов, банков открытие необходимых филиалов).Первой в "парке" поселяется довольно крупная компания, малой довольно сложно организоваться за свой счёт. Малые фирмы присоединяются позже. При этой фазе рост занятости практически отсутствует, рост рабочих мест обусловливается только развитием инфраструктуры.

2.       Предпринимательская - Обычно эта фаза наступает лишь через несколько лет после институциональной. К этому времени научный парк "разрастается", происходит его бурный рост, привлекаются новые компании, происходит рождение новых компаний, появляются новые инвесторы.

В собственном смысле слова научный парк представляет собой территорию, пригодную для размещения инновационных предприятий различного размера и охватывающих различные стадии исследований, а также маломасштабных производств, основанных на научно-технических разработках местного исследовательского центра. Если новшество разрабатывается только до стадии опытного образца, такое образование получило название исследовательский парк.

инновационный центр (Европа) или инкубатор( как его называют в США ) - Создаётся для поддержки, развития инновационных проектов. Обучение, поиск инвесторов, поддержка небольших инновационных компаний, здесь производится доводка проектов вплоть до образования полноценных компаний. Вы можете зарегистрировать свой проект, произведётся его рассмотрение, можно провести так называемый "краш тест". По итогам которого можно уяснить имеет ли смысл развивать этот проект в дальнейшем.

Обычно инкубатор создается местными властями либо крупными компаниями на срок до 3 лет для реализации инновационного проекта. Вузы за плату предоставляют землю, помещения, лабораторное оборудование, необходимые услуги. Инвесторами проектов могут быть также физические лица.

Технополис - это одна из разновидностей научного или технологического парка, только гораздо крупнее - зона(город) с высокой экономической активностью, в котором присутствуют университеты, исследовательские центры КБ и вышеупомянутые технопарки и прочие инкубаторы бизнеса. Специализирующиеся на исследованиях и разработках с целью коммерциализировать (притворить в жизнь) полученные результаты. В России они известны как академгородки или наукограды.

В технополисе развитие в области науки, экспериментов, экономической и финансовой деятельности, в области культуры и социальной инфраструктуры наукоёмких предприятий, малого бизнеса порождают цепную реакцию... Увеличивается масштаб научной и деловой активности ( если конечно же вышеупомянутые структуры ведут успешную деятельность). Чисто в теории этот город - высочайшего уровня жизни, т.к. % внедрения результатов научноисследовательских работ в производство новых товаров, управления производством, коммерческой деятельности, в общую инфраструктуру гораздо выше по сравнению с обычными городами. Город носит название - технопарк.

Сосредоточенный в рамках региона комплекс научных учреждений фундаментального и прикладного характера, вузов, конструкторских и внедренческих предприятий, венчурных фирм, банков, промышленных предприятий, организующих производство на базе новшеств образует технополис. Он объединяет полный инновационный цикл, включая подготовку кадров. Первый технополис "Силиконовая долина" появился в США в 1950-х гг.

Для организации высокотехнологичной деятельности в крупных исследовательских организациях и университетах создаются технологические центры.

Организационной формой инновационной деятельности сообщества вновь создаваемых территориально близких предприятий в сфере наука - производство является учредительский центр (промышленный двор). Он включает общие здания, в которых расположены фирмы, управляемые головной компанией, облегчающие консультирование.

Научно-технический альянс - объединение фирм различных размеров, малые инновационные фирмы ищут себе партнёров и заключают с ними соглашения на поддержку, т.е. финансирование их проектов, которые невозможно было-бы осуществить самостоятельно. Т.к. Инновации имеют определённый срок годности, проект необходимо развивать скорыми темпами, и заключённый между фирмами контракт играет ключевую роль в жизни проекта. К проекту могут привлекаться университеты, исследовательские лаборатории и всё что необходимо для усовершенствования. После получения результатов, каждый из вкладчиков интеллектуальных или материальных ресурсов, по условиям соглашения / контракта имеет право на свою долю интеллектуальной собственности.

Внедренческие фирмы - обычно работающие на коммерческой основе, распространяет результаты научно технических результатов, обеспечивает заключительную стадию - внедрение новых технологий, с целью извлечения прибыли в обмен на реализацию проекта, проводится заключительная доработка, промышленные испытания и освоение.

Внедренчиские фирмы делятся на несколько видов:

·        Эксплеренты - (фирмы - пионеры, открывшие принципиально новые рынки, товары) Обычно преследуют большие (масштабные)цели, достичь которых довольно трудно. Заняты продвижением на рынок новшеств. Как правило такие фирмы довольно малы и им приходится искать крупного партнёра. Заключив альянс с крупной фирмой добиваются выгодных условий, даже с учётом того что фирма - партнёр может поглотить и полностью подчинить эксплерента.

·        Патиенты - ориентированы работать на узкий сегмент рынка с целью удовлетворения его потребностей, действуют как на стадии падения изобретательной активности, так и в этап роста выпуска продукции (зачастую одновременно). Такие фирмы как правило формируются под воздействием моды, рекламы.

Как правило эти фирмы стараются обеспечить :

1)                     Уникальность продукта;

2)       Работать для узого рыночного сегмента;

3)              Утверждение в избранной нише в мировом масштабе.

·        Виоленты ( от латинского violent - неистовый ) - обычно обладают довольно крупным капиталом, высоким опытом освоения технологий. Обеспечивают массовый, крупносерийный выпуск продукций для широкого круга потребителей, в основном предъявляющих средние запросы к продукции, (средний ценовой сегмент). Стараются выпустить максимум продукции. Девиз таких фирм приблизительно такой: Дёшево но неплох или недорого и прилично.

Примеры фирм с такой стратегией:

Автомобили марки "Toyota", "Chevrolet", "Samsung"- (кстати разработавшая nissan almera classic бюджетный автомобиль, и автомобиль nissan teana, относящейся к более представительскому классу, но доступный для большинства).

"Electrolux" - товары для дома, сигареты "Marlboro", "Kamel" К виолентам можно отнести большинство крупных промышленных предприятий России.

·        Коммутанты - фирмы действующие в этап снижения (цикла)объёма выпуска продукции. Менеджеры этих фирм выступают в роле инноваторов, они принимают решение о своевременной постановке на конвейер продукции, они могут внести изменения в объем выпускаемой продукции, произвести периориентацию производства, изменить конечный продукт. И конечно-же должны хорошо разбираться в сложившейся ситуации на рынке, специфике покупателя и требований им выдвигаемых.

3. Оценка эффективности инноваций

инновация кризисный реинжиниринг рынок

Общий принцип оценки эффективности почти такой же как при расчёте прибыли от коммерческой деятельности, а там выручка - затраты = прибыль ( в деньгах) Всем известно что основная цель любого предприятия / компании это извлечение прибыли. Так и в нашем случае: внедряя новшество мы переводим результат и затраты в денежное выражение и получаем отношение  тоже в денежном выражении, можно в натуральном. Показатель эффективности может оказаться разным. Но я заскочил немного вперёд, это оценка эффективности использования инноваций. Перед тем как воплощать задуманное в реальность необходимо произвести оценку доходности инновационного проекта, и некоторые расчёты.

Анализ доходности инвестиционного проекта включает:

1.       Технический анализ, позволяющий определить наиболее приемлемую для предприятия технику и технологию;

2.       Коммерческий анализ, раскрывающий особенности экономической конъюнктуры рынка сбыта продукции;

.         Институциональный анализ, оценивающий состояние внешней среды предприятия;

.         социальный анализ, дающий представление о будущих последствиях воздействия проекта на местное население;

.         Анализ окружающей среды, прогнозирующий ущерб экологии и определяющий меры по снижению нагрузки на среду обитания;

.         Финансовый анализ;

.         Экономический анализ.

Предположим что мы выбрали некий инновационный проект. Переходим к следующему этапу. Для снижения риска нужно разработать схему финансирования, определить кто выступит в роли инвестора. Рассчитать срок, за который предполагается оправдать проект. По ходу, и по истечении срока решить вопрос - имеет ли место данный проект, или же он неэффективен. К примеру : мы рассчитали план финансирования на четыре года ( 48 месяцев) Капиталовложения делаются поэтапно, и на определённых условиях:

1)       Новое вложение капитала производится только после оценки полезности предыдущего вложения, если оно оправдало себя, ( следовательно в создании или коммерциализации продукта эксплерент существенно продвинулся );

2)       Если предыдущее вложение оправдало себя, последующее вложение имеет смысл быть больше предыдущего т.к. Оно осуществляется на более выгодных эксплеренту условиях.

В целом ясно что ясно что при определении экономического эффекта и произведении отбора наиболее предпочтительного варианта реализации инноваций, главным образом важно увеличить конечный результат от использования инновации над затратами которые велись по разработке, требовались на изготовление и реализацию. После чего сравнить полученные результаты с подобными проектами - вариантами, и выбрать наиболее выгодный.

Сравнительная экономическая эффективность новой техники и технологии

Экономическая эффективность характеризуется соотношением экономического эффекта, полученного в течение года, и затрат, обусловленных внедрением данного мероприятия. Но нововведение может характеризоваться меньшими затратами и несоответствующими показателями технического уровня и качества новшества, но и более высокими удельными капиталовложениями. Поэтому для определения лучшего варианта новации используют сопоставление приведенных затрат.

Рассчитывают приведенные затраты на внедрение новой техники и технологий следующим образом:


Зт - приведенные затраты на единицу продукции на период Т, руб.;

Ст - себестоимость продукции в период Т;

Ен - нормативный коэффициент эффективности;

Куд - капитальные вложения на единицу продукции, руб.;

Ен×Куд - нормативная прибыль, руб.

Годовой экономический эффект новой техники и технологии рассчитывают как разность между экономическим эффектом базового года до внедрения новации и экономическим эффектом после внедрения новации в производство следующим образом:

Энт = ( Зтбаз - Зтнов ) * Qнов = [ (Стбаз + Ен*Кудбаз) - ( Стнов + Ен*Куднов) ] * Qнов,

Энт - экономический эффект новой техники, руб.;

Зтбаз - приведенные затраты на производство единицы продукции с помощью базового варианта техники и технологии, руб.;

Зтнов - приведенные затраты на производство продукции с помощью новой техники и технологии, руб.;нов - годовой объеи производства продукции с помощью новой техники и технологии, шт.

В рыночной экономике основным способом внедрения инноваций в производство является проектный подход. Основу проектного подхода составляет анализ денежных потоков.

Нормативным документом, регулирующим разработку этих проектов, являются "Методические рекомендации по оценке эффективности инвестиционных проектов и их отбору для финансирования", утвержденную Госстроем, Министерством экономики, Министерством финансов, Госкомпромом РФ от 31 марта 1994 г. В этом документе установлены следующие показатели эффективности инновационного проекта:

·        финансовая (коммерческая) эффективность, учитывающая последствия для участников проекта;

·        бюджетная эффективность, учитывающая финансовые последствия для бюджетов всех уровней;

·        народнохозяйственная экономическая эффективность, учитывающая затраты и результаты, выходящие за пределы прямых финансовых интересов участников проекта и допускающие стоимостное измерение.

Основными методами оценки эффективности проекта выступают: методы на основе дисконтированных оценок и на основе учетных оценок.

Методы на основе учетных оценок включают расчет периода окупаемости, эффективности инвестиций, покрытия долга.

Методы на основе дисконтированных оценок включают расчет индекса рентабельности, чистой текущей стоимости, внутренней нормы доходности.

Определить доходность проекта по методу дисконтирования:

Сравнивается две альтернативных ситуации: результат после осуществления проекта и результат, если бы проект не реализовался.

Доходность инвестиционного проекта = (Изменения в выгодах (доходах)) - (Изменения затрат вследствие внедрения проекта)

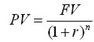
Определение будущей стоимости полученной от инвестирования текущей стоимости на ряд лет по методу дисконтирования:


PV - текущая стоимость;- будущая стоимость;- ставка процента;- число лет.

Основным обобщающим показателем экономической эффективности технико-технологических нововведений является показатель экономического эффекта. В нем находят отражение частные показатели эффективности: производительность труда, фондоотдача, материало- и энергоемкость, показатели технического уровня производства, качество продукции и др.

Показатель экономического эффекта от реализации нововведений определяется как превышение стоимостной оценки результатов над стоимостной оценкой совокупных затрат ресурсов за весь период осуществления мероприятий.

Экономический эффект - Э

определяется как разница между результатами (продукцией, работой, услугами в стоимостной оценке) - Р

и затратами на их достижение - З

за определенный расчетный период:

 

Э = Р - З.

Под затратами понимается вся совокупность израсходованных для достижения эффекта ресурсов (или отдельных их видов). В масштабе национальной экономики затратами является совокупность капитальных вложений, оборотных фондов и живого труда (заработная плата). Для отрасли, объединения, предприятия затраты выступают в виде себестоимости или производственных фондов.

При расчетах экономического эффекта необходимо учитывать фактор времени путем приведения разновременных затрат и результатов к одному (единому) моменту времени, т.е. расчетному году tp.

Коэффициент приведения разновременных затрат и результатов к расчетному году рассчитывается по формуле:


где t - год, затраты и результаты которого приводятся к расчетному году; E - норматив приведения, равный процентной ставке.

Формула приведённая ниже формула применяется чаще всего в случае неуверенности инвестора в том что инновационное мероприятие будет реализовано. Чем длиннее срок окупаемости тем существеннее могут произойти изменения конъюнктуры рынка, цен и пр.



где

К - первоначальные инвестиции в инновации;

Д - ежегодные денежные доходы.

При оценки инноваций в области организации, они разделяются:

1.       Нововведения, требующие определенных дополнительных одновременных затрат (капиталовложений).

2.       Нововведения, не требующие дополнительных инвестиций.

Эффективность организационных нововведений требующих доп. Инвестирование рассчитывается так же, как и технико-технологических. Оценка эффективности беззатратных нововведений осуществляется на основе исчисления экономии текущих затрат, вызванной осуществлением таких организационных инноваций.

При определении эффективности нововведений необходимо также учитывать социальные и экологические результаты (безопасность объектов инноваций).

Заключение


Инновации всегда играли значительную роль в экономике как предприятия так и общества в целом. Одной из главных задач предприятия является обеспечения устойчивого долговременного экономического роста, это возможно только при высокой эффективности производства. Процессы по поддержанию экономического роста на предприятий следующие :

·        Развитие организационно-экономических форм;

·        Рост масштаба производства;

·        Повышение эффективности производства;

·        Смена технологических устоев, способствующая созданию производства новых товаров.

Вспомнить хотя бы конвейер Генри Форда, Думаю что всем ясно какую роль сыграло воплощение этой идеи в жизнь. Хоть будет и заблуждением сказать что конвейер был изобретён именно Фордом. Конвейер использовался и раньше, например в 19 веке на бойнях скота в Чикаго. Но поставить на конвейер производство технически сложную продукцию...И грамотно организовать работу смог именно Форд. Результат всем известен: производство стало массовым, скорость производства увеличилось до невероятных в те времена размеров ( 1908 г. каждые 10 сек. С конвейера съезжал Форд - Т ставший самым массовым автомобилем в то время).

С ростом экономики роль инноваций значительно возросла. Без применения инновационных технологий практически невозможно создать конкурентоспособное предприятие, и тем более предприятие способное открыть / завоевать новый рынок, вплоть до мирового масштаба. В современном мире ценится продукция имеющая высокую степень наукоёмкой и новаторства, к примеру apple всем известные телефоны / гаджеты / компьютеры. Довольно просты в освоении, многофункциональны и довольно надёжны с учётом того что это высокотехнологичная продукция. В рыночной экономике инновации могут играть ключевые роли в конкурентной борьбе. Вспомним первый курс, лекции по экономической теории : Как можно увеличить производство продукции? Вариантов ответа два: 1) больше ресурсов, больше рабочих - больше продукции; 2) провести реструктуризацию. (Само понятие довольно обширное, но подразумеваться может и внедрение новых технологий, изменение структуры организации, изменение кадровой политики, модернизация производства). Новые технологии способны открывать новые рынки, вот современный пример: кинорежиссер Джеймс Кэмерон сняв "Аватар", сделал примерно то же самое, что Кинг Кемп Жиллетт или Генри Форд - создал новый рынок. В этом случае рынокобъемного изображения. Именно под этот фильм подстроилась киноиндустрия, построилась линейка создания и проката кино в 3D, это он заставил гигантов электроники таких как : Sony, Samsung и прочих выпускать потребительскую 3D - электронику. И тут же рынок телевизоров изменился. У людей родилась новая потребность.

Итак: Можно сделать вывод что внедрение инноваций является движущей силой рыночной конкуренции, в условиях рыночной конкуренции производители товаров так как и представители услуг стараются сократить производственные издержки, ищут различные пути решения этой проблемы. Один из путей решения мы рассмотрели в этой работе. А освоив эффективные инновации можно получить значительное преимущество над конкурентами. Кроме того, новые решения оказывают положительное воздействие не только на производителей, но и на потребителей. В современном мире скорость внедрения новых технологий существенно влияет на гонку производителей, ожесточает борьбу на рынке, и как следствие потребитель получает более новый продукт, более совершенный. Инновации играют важную роль в рыночной конкуренции.

Список литературы


Ильенкова С. Д. Инновационный менеджмент. - М.: Банки и биржи, 2002.

Козлова А.В. Стратегическое планирование и управление инновационным предприятием. Издательство - М.: Экономика, 2009г.

Санто Б. Инновация как средство экономического развития. Пер. с венгр.

Издательство - М.: Прогресс, 2011г.

Твисс Б. Управление научно-техническими нововведениями. Сокр. пер. с англ. Издательство - М.: Экономика, 2010г.

Фатхутдинов Р.Ф. Менеджмент и инновации. Издательство - М.: Инфра-М, 2003г.

Фурсенко А.А. Введение в технологическую инновационную деятельность. Издательство - СПб., Центр Инновационного Менеджмента, 2002

Активно пользовался интернет ресурсами: www.dengi-v-biznes.rumanagement.ru

http://innovator-nw.ru/

http://bishelp.ru/

Похожие работы на - Инновационная деятельность организации (предприятия)

 

Не нашли материал для своей работы?
Поможем написать уникальную работу
Без плагиата!
Без нейросетей!