Трудовые ресурсы организации сферы услуг: резервы и пути повышения эффективности их использования (на материалах ОДО 'Магпром' г. Гомель)

  • Вид работы:
    Дипломная (ВКР)
  • Предмет:
    Эктеория
  • Язык:
    Русский
    ,
    Формат файла:
    MS Word
    88,93 Кб
  • Опубликовано:
    2016-03-22
Вы можете узнать стоимость помощи в написании студенческой работы.
Помощь в написании работы, которую точно примут!

Трудовые ресурсы организации сферы услуг: резервы и пути повышения эффективности их использования (на материалах ОДО 'Магпром' г. Гомель)
















Трудовые ресурсы организации сферы услуг: резервы и пути повышения эффективности их использования (на материалах ОДО «Магпром» г. Гомель)

Содержание

Введение

1. Сущность, значение, методика анализа трудовых ресурсов организации сферы услуг

1.1 Сущность, значение и состав трудовых ресурсов организации сферы услуг

1.2 Методика анализа трудовых ресурсов организации сферы услуг

2. Анализ трудовых ресурсов ОДО «Магпром»

2.1 Социально-экономическая характеристика деятельности ОДО «Магпром»

2.2 Анализ состава, состояния, движения трудовых ресурсов ОДО «Магпром»

2.3 Оценка эффективности использования трудовых ресурсов ОДО «Магпром» и средств, направляемых на оплату их труда

3. Резервы и направления повышения эффективности использования трудовых ресурсов ОДО «Магпром»

3.1 Резервы повышения эффективности использования трудовых ресурсов ОДО «Магпром»

3.2 Направления повышения эффективности использования трудовых ресурсов ОДО «Магпром»

Заключение

Список использованных источников

Введение

Эффективное управление трудовыми ресурсами в настоящее время выдвигается в число наиболее важных факторов экономического успеха. В недалеком прошлом при социалистическом методе хозяйствования и планирования предприятия находились под полным контролем государства, в том числе и финансирование, поэтому руководство не заинтересовано было в повышении эффективности его использования, что значительно отличается от рыночной экономики. Главной задачей для работника, занимающегося подбором кадров, является поиск именных тех сотрудников, знания, умения, физические способности и деловые качества которых будут отвечать поставленным перед ними задачам. Ведь все результаты деятельности предприятия: объем выпущенной продукции, ее себестоимость, прибыль и прочие, будут зависеть от качества трудовых ресурсов.

В современных условиях хозяйствования возрастает значимость труда и роль человека как агента трудовой деятельности. Во всем мире с начала 70-х годов ХХ века все больше утверждается идея гуманизации экономики, смысл которой сводится к тому, что во взаимодействии материальных и человеческих производственных ресурсов акцент смещается к человеку, трудовым ресурсам. При этом необычайно быстро растут потребности людей в результатах труда и в самом труде, возрастает роль квалификации работника, повышается требование различных видов деятельности к личным качествам и способностям человека.

Трудовые ресурсы являются основным фактором производства, поскольку без приложения усилий работника производственный процесс не имеет результата. Стимулированием работника к трудовой деятельности является оплата труда. В условиях рыночного хозяйствования в соответствии с изменениями в экономическом и социальном развитии страны существенно меняется и политика в области оплаты труда, социальной поддержки и защиты работников. Многие функции государства по реализации этой политики переданы непосредственно организацией, которые самостоятельно устанавливают формы, системы и размеры оплаты труда, материального стимулирования его результатов.

Кадры наиболее ценная и важная часть производительных сил общества. В целом эффективность производства зависит от квалификации рабочих, их расстановки и использования, что влияет на объем и темпы прироста вырабатываемой продукции, использование материально-технических средств. То или иное использование кадров прямым образом связано с изменением показателя производительности труда. Рост этого показателя является важнейшим условием развития производительных сил страны и главным источником роста национального дохода. На рост производительности труда влияет существующая в каждый момент времени система оплаты труда, так как оплата является стимулирующим фактором для роста квалификации труда и повышения технического уровня выполненной работы. На первом месте по важности среди факторов, влияющих на эффективность использования рабочей силы, стоит система оплаты труда. Именно заработная плата является той причиной, которая приводит работника на его рабочее место. Заработная плата должна помогать работнику удовлетворять свои потребности и ни в коем случае не должна ущемлять его. Если работник будет полностью удовлетворен, то естественно его работа будет наиболее эффективной и результативной, что не мало важно для деятельности любого предприятия. Ведь всё в конечном итоге зависит от людей, от их квалификации, умения и желания работать. Именно человеческий капитал, а не заводы, оборудование и производственные запасы являются краеугольным камнем конкурентоспособности, экономического роста и эффективности.

Основными показателями по труду и заработной плате являются показатели: численности, заработной платы, фонда рабочего времени и эффективности их использования.

Понятие «заработная плата» наполнилось новым содержанием и охватывает все виды заработков (а также различных видов премии, доплат, надбавок и социальных льгот), начисленных в денежных и натуральных формах (независимо от источников финансирования), включая денежные суммы, начисленные работникам в соответствии с законодательством за не проработанное время (ежегодный отпуск).

Рациональное использование персонала предприятия - непременное условие, обеспечивающее бесперебойность производственного процесса и успешное выполнение производственных планов.

Анализ трудовых ресурсов предприятия является элементом механизма управления предприятием и направлен на повышение эффективности использования персонала и снижение на этой основе издержек производства, экономию затрат и ресурсов живого труда на единицу выпускаемой продукции.

Тема дипломной работы является актуальной по следующими причинам:

Во-первых, рыночная экономика, а следовательно, ускорение интенсификации общественного производства, повышение его экономической эффективности и качества продукции требует полной мобилизации всех имеющихся резервов. А это предполагает максимальное развитие хозяйственной инициативы трудовых коллективов организаций. На современном этапе развития экономики мало ответить на вопрос, как выполнено задание трудовым коллективом.

Во-вторых, правильная оценка хозяйственной деятельности позволяет установить наиболее действенное, соответствующее затраченному труду, материальное поощрение, выявить имеющиеся резервы, которые не были учтены плановым заданием, определить степень выполнения заданий и на этой основе определять новые задания, ориентировать трудовые коллективы на принятие более напряженных планов.

В-третьих, рыночные отношения предполагают усиление хозяйственной самостоятельности организаций различных форм собственности и хозяйствования, в том числе и в области оплаты труда.

Таким образом, актуальность темы дипломной работы обусловлена важностью анализа показателей по труду и заработной плате с целью выявления резервов и повышения прибыли организации сферы услуг.

К трудовым ресурсам относится та часть населения, которая обладает необходимыми физическими данными, знаниями и навыками труда в соответствующей отрасли. Достаточная обеспеченность организаций нужными трудовыми ресурсами, их рациональное использование, высокий уровень производительности труда имеют большое значение для увеличения объемов деятельности и повышения эффективности производства. В частности, от обеспеченности предприятия трудовыми ресурсами и эффективности их использования зависят объем и своевременность выполнения всех работ, эффективность использования оборудования, машин, механизмов и как результат объем производства продукции, ее себестоимость, прибыль и ряд других экономических показателей.

Данная тема широко освещена в научной литературе, в частности в учебнике «Экономика предприятия» В.Я. Хрипача.

Объектом исследования дипломной работы выступает хозяйственная деятельность ОДО «Магпром», предметом - трудовые ресурсы организации.

Целью дипломной работы является поиск резервов и направлений повышения эффективности использования трудовых ресурсов ОДО «Магпром».

Для достижения поставленной цели были поставлены и последовательно решены следующие задачи:

рассмотреть сущность, значение и состав трудовых ресурсов организации сферы услуг;

определить методику анализа трудовых ресурсов организации сферы услуг;

привести социально-экономическую характеристику деятельности ОДО «Магпром»;

провести анализ состава, состояния и движения трудовых ресурсов ОДО «Магпром»;

оценить эффективность использования трудовых ресурсов ОДО «Магпром» и средств, направляемых на оплату их труда;

определить резервы повышения эффективности использования трудовых ресурсов ОДО «Магпром»;

наметить направления повышения эффективности использования трудовых ресурсов ОДО «Магпром».

Дипломная работа состоит из введения, трех разделов, заключения, списка использованных источников. В первом разделе дипломной работы раскрывается сущность, значение, методика анализа трудовых ресурсов организации сферы услуг. Во втором разделе дипломной работы производится анализ трудовых ресурсов ОДО «Магпром». В третьем разделе определены резервы и направления повышения эффективности использования трудовых ресурсов ОДО «Магпром».

Решение поставленных задач анализа осуществлено с помощью специальных приемов и способов таких как: сравнения, аналитических группировок, табличный, графический и др. Анализ, проведенный во второй главе основан на методике, приведенной в учебном пособии Савицкой Г.В. «Анализ хозяйственной деятельности предприятия».

В процессе изучения теоретических и методологических основ анализа трудовых ресурсов и средств на его оплату в дипломной работе использованы научная, учебная, специальная литература, а также статьи периодических изданий.

1. Сущность, значение, методика анализа трудовых ресурсов организации сферы услуг

1.1 Сущность, значение и состав трудовых ресурсов организации сферы услуг

Труд представляет собой раскрытие человеком собственного потенциала, использование физической и духовной энергии, направленной на получение экономических благ (или дохода), необходимых для удовлетворения потребностей.

Еще со времен Смита в качестве исходных элементов труда выделяются:

1) предметы труда;

2) средства труда;

3) целесообразная деятельность человека [6, c. 7].

Наличие последнего элемента означает, что труд человека осуществляется по заранее составленному плану. Предварительно определяются цель деятельности, конкретный набор инструментов, способы обработки материала и т.п. При этом человек в процессе труда последовательно и регулярно использует искусственно созданные объекты. В этом состоит принципиальное отличие труда человека от «труда» обезьяны, слона и т.д.

Труд есть целесообразная деятельность человека, направленная на преобразование вещества природы с целью получения экономических благ. В качестве основных результатов труда выступают:

а) экономические блага;

б)      физиологическое и умственное развитие человека;

в)      накопление знаний и опыта;

г)       важнейшие условия жизни человека.

Труд рассматривается как основной источник существования человека. Под воздействием труда постепенно, но неукротимо развивалась речь человека, его мозг и руки. В процессе труда человек накапливает опыт, имеет возможность повысить свою квалификацию. Труд становится частью жизни нормально существующего человека.

Труд - фактор адаптации человека к природе. Значение труда для общества вытекает из того, что люди потребляют без труда только свободные блага - кислород воздуха, лучи солнца и некоторые другие. Подавляющая часть благ является результатом (продуктом) труда. Труд - общее условие, основа жизни общества. Труд не только источник средств существования. Без него невозможно здоровье людей, выносливость, мужество, развитие интеллекта и нравственности и т.п. труд создал человека. Вне труда не может быть общества вообще. Если человека освободить от труда, то это погубит его.

Для труда характерна совокупность отношений людей по поводу дел, работы. «…Вся так называемая всемирная история есть не что иное, как порождение человека человеческим трудом…». Изучение труда представляет собой важнейшее условие общественного прогресса. «…Политико-экономической категорией является не труд, а лишь общественная форма труда, общественное устройство труда, или иначе отношения между людьми по участию их в общественном труде». Труд - основная сфера жизни людей.

Труд работающих является необходимой составной частью процесса производства, потребления и распределения созданного продукта. Участие работающих в доле вновь созданного продукта выражается в виде заработной платы, которая должна соответствовать количеству и качеству затраченного труда. Заработная плата как плата за труд выдвигается на первый план потому, что среди всех экономических ресурсов это наиболее дорогостоящий элемент, но и по той причине, что для большинства населения это единственный или по крайне мере, главный источник дохода.

Трудовые ресурсы - это часть населения, которая в силу совокупности физических способностей, специальных знаний и опыта может участвовать в создании материальных благ или трудиться в сфере услуг [11, c. 82].

Критериями для выделения из общей численности населения трудовых ресурсов являются границы трудоспособности возраста, которые устанавливается государством и зависит от общественного строя, продолжительности жизни людей, других социально-экономических факторов и от принятых в связи с этим официальных государственных актов. В Республике Беларусь трудоспособный возраст составляет от 16 до 59 лет для мужчин и для женщин - от 16 до 54 лет.

В состав трудовых ресурсов включаются:

) трудоспособное население в трудоспособном возрасте;

) работающие подростки (до 16 лет);

) население старше трудоспособного возраста, принимающее участие в общественном производстве.

К трудоспособному населению относятся лица в трудоспособном возрасте, за исключением неработающих инвалидов I и II групп, а также лиц, перешедших на пенсию на льготных условиях раньше установленного в общем порядке рабочего возраста.

В зависимости от отношения к трудовой деятельности в составе ресурсов выделяются следующие категории:

) занятые в общественном производстве;

) занятые индивидуальной трудовой деятельностью;

) находящиеся на учебе с отрывом от производства;

) занятые в домашнем и личном подсобном хозяйстве;

) военнослужащие.

Трудовые ресурсы имеют количественные и качественные характеристики. К первым относятся показатели численности и состава (возраст, пол, общественные группы и т.д.); ко вторым - показателям образовательного уровня, профессионально-квалификационной структуры и т.д.

Возрастная структура трудовых ресурсов предполагает выделение следующих основных возрастных групп: молодежь в возрасте 16-29 лет; лица предпенсионного возраста (мужчины 50-59 лет, женщины 50- 54 года); лица пенсионного возраста (мужчины 60 лет и старше, женщины 55лет и старше). Иногда для выявления возрастной структуры используются 10-летние возрастные интервалы. Трудовая активность считается тем выше, чем большую долю в составе населения трудового возраста занимают лица 20-49лет и чем большую часть составляют мужчины.

Половая структура трудовых ресурсов характеризуется соотношением численности мужчин и женщин в их составе. Она определяется, как правило, по населению трудоспособного возраста - основному источнику трудовых ресурсов. В Республике Беларусь, например, удельный вес мужчин составляет 47%, женщин-53%. Такое соотношение считается нормальным для экономически развитых стран.

Для характеристики трудовых ресурсов по уровню образования используются следующие важнейшие показатели [11, c. 82]:

. уровень общего, специального и высшего образования;

. уровень образования по специальным группам.

По уровню образования соотношения между количеством трудовых ресурсов с высшем, средним специальным, средним и неполном среднем образованием определяется независимо от выполняемой работы или занимаемой должности.

Соотношение работников по видам деятельности и уровню квалификации характеризует профессионально-квалификационную структуру трудовых ресурсов. Профессии определяются характером и содержанием труда, спецификой и условиями функционирования отдельных отраслей экономики. В рамках общих профессий выделяются специальности. В зависимости от сложности труда выделяются высококвалифицированные, квалифицированные и неквалифицированные работники.

При определении соотношения трудовых ресурсов по категориям персонала учитываются рабочие и служащие, в том числе руководители, специалисты и т. д.

Знание структуры трудовых ресурсов необходимо для определения направлений их эффективного использования.

Характер труда позволяет рассматривать труд с точки зрения общественных условий производства; его определяют формы и методы привлечения членов общества к труду; тип общественной формации труда; отношение работников к труду. Следовательно, характер труда выражает собой то особенное, что присуще общественному труду в каждой общественно-экономической формации и предопределено типом господствующих в обществе производственных отношений. Современная кардинальная экономическая реформа органически выводит на рыночные отношения всех участников производства в обществе, коренным образом изменяет производственные отношения.

Прежде всего, это смена форм собственности, отказ от планомерного привлечения и распределения трудовых ресурсов в стране и переход к свободному предпринимательству, основанному на различных организационно-правовых формах собственности и на свободном найме рабочей силы через спрос и предложение на рынке труда. В связи с этим изменяются отношения по всей цепочке связи между людьми - от процесса труда до конечного потребления (присвоения) продукта труда.

Содержание труда выражает распределение конкретных трудовых функций (исполнительских, контрольно-регулирующих) на рабочем месте и определяется совокупностью выполняемых операций. Основу этих функций составляют развитие орудий труда, организация труда, уровень общественного и профессионального разделения труда, мастерство самого работника. Содержание труда отражает производственно-техническую сторону труда, показывает уровень развития производительных сил, технических способов соединения личного и вещественного элементов производства, т.е. раскрывает труд прежде всего, как процесс взаимодействия человека с природой, средствами и предметами труда в процессе труда.

Следует подчеркнуть, что содержание и характер труда выражают две стороны одного и того же явления - сущность и форму общественного труда. Эти две социально-экономические категории находятся в диалектической взаимосвязи, и изменение одной из них неизбежно оказывает влияние в той или иной форме на изменение другой.

Характер труда в значительной степени формируется под влиянием особенностей содержания труда в зависимости от ряда признаков - доли физического и умственного труда, уровня квалификации и интеллекта, уровня власти человека над природой и др. Труд работающих является необходимой составной частью процесса производства, потребления и распределения созданного продукта.

Рассмотрим интерпретацию понятий «труд», «трудовые ресурсы» и др. различных авторов в таблице 1.1.

Таблица 1.1 - Понятие трудовых ресурсов различных авторов

Понятие

Автор

Значение

Труд

Экономическая теория Н.И. Базылев, С.П. Пупко

Осознанная, энергозатратная, общепризнанная целесообразной деятельность человека, людей, требующая приложения умственных и физических усилий в процессе создания материальных благ и услуг, реализующаяся через самого человека [3, c. 134]

Труд

Современный экономический словарь Б.А. Райзберг, Л.Ш. Лозовский, Е.Б. Стародубцева

Осознанная, энергозатратная, общепризнанная целесообразной деятельность человека, людей, требующая приложения усилий, осуществления работы, один из четырех основных факторов производства [33, c. 411]

Трудовые ресурсы

Современный экономический словарь Б.А. Райзберг, Л.Ш. Лозовский, Е.Б. Стародубцева

Экономически активное, трудоспособное население, часть населения, обладающая физическими и духовными способностями для участия в трудовой деятельности [33, c. 414]

Трудовые ресурсы

Экономический анализ хозяйственной деятельности

Это дееспособная часть населения республики, обладающая необходимым физическим развитием, знаниями и практическим опытом для работы в отраслях народного хозяйства [34, c. 132]

Трудовые ресурсы

Экономика предприятия Хрипач В.Я., Суша Г.З., Оноприенко Г.К.

Один из видов экономических ресурсов, к которому относятся люди с их способностью производить товары и услуги [42, c. 231]

Работник

Трудовой кодекс Республики Беларусь от 26 июля 1999 г. № 296-З (с изменениями и дополнениями от 30 декабря 2010 г. № 225-З)

Лицо, состоящее в трудовых отношениях с нанимателем на основании заключенного трудового договора [38]


Трудовые ресурсы имеют количественные и качественные характеристики. К первым относятся показатели численности и состава (возраст, пол, общественные группы и т.д.); ко вторым - показатели образовательного уровня, профессионально-квалификационной структуры и т.д.

Рабочая сила представляет собой совокупность физических и умственных способностей человека, его способность к труду. В условиях рыночных отношений "способность к труду" делает рабочую силу товаром. Отличие этого особенного товара от других товаров заключается в следующем:

·  труд способен создавать стоимость большую, чем он стоит;

·        без привлечения трудовых ресурсов невозможно осуществлять любое производство;

·        от эффективности использования трудовых ресурсов во многом зависит степень (эффективность) использования всех прочих ресурсов, результаты хозяйствования в целом;

·        условия оплаты и применения трудовых ресурсов оказывают прямое влияние на эффективность их использования (наемный работник может отказаться от условий, на которых его собираются использовать; может уволиться по собственному желанию; бастовать);

·        на процесс использования трудовых ресурсов существенное воздействие оказывают социальные факторы (уровень оплаты труда является объектом длительных переговоров; представления о социально-приемлемом уровне заработной платы могут быстро меняться; работник может решить, что те или иные типы профессий являются социально-непрестижными и т.д.).

Трудовые ресурсы представляют собой часть населения страны, обладающую необходимым физическим развитием, знаниями и практическим опытом для работы в народном хозяйстве.

Для анализа, планирования, учета и управления персоналом все работники предприятия классифицируются по ряду признаков. В зависимости от участия в производственном процессе весь персонал предприятия делится на две категории [17, c. 41]:

промышленно-производственный (ППП);

непромышленный.

По характеру выполняемых функций промышленно-производственный персонал (ППП) подразделяется на четыре категории: рабочие, руководители, специалисты и технические исполнители (служащие).

Соотношение работников по категориям характеризует структуру трудовых ресурсов предприятия. В зависимости от характера трудовой деятельности персонал предприятия подразделяют по профессиям, специальностям и уровню квалификации.

Для нормального функционирования во времени и в пространстве любого процесса производства необходимо обеспечить сочетание в определенном количестве и качестве всех его элементов - орудий и предметов труда, трудовой деятельности человека. Но трудовая деятельность или сам труд, независимо от форм собственности на средства производства, планового или рыночного регулирования экономики, невозможны без какой - либо организации.

Определенные действия, связанные с объединением, согласованием, упорядочением, приведением в стройную систему целесообразной деятельности человека, самого труда в производственном процессе, его взаимодействия с применяемыми техническими средствами, и составляют сущность организации труда. Это важная составная часть и неотъемлемая часть более сложной системы, которой является организация производства, имеет свою качественную характеристику, позволяющую выяснить закономерности ее развития, и заключается в особом характере присущих только ей способов рационального использования работников - участников производственного процесса, обеспечения их согласованной и эффективной работы.

Организация труда - это система мероприятий, обеспечивающая рациональное использование рабочей силы. Она включает соответствующую расстановку людей в процессе производства, разделение и кооперацию, приемы и методы, нормирование и стимулирование труда, организацию и обслуживание рабочих мест, необходимые условия трудовой деятельности.

Организация труда может быть эмпирической, основанной на методах, полученных непосредственно трудовой практикой, и рациональной, установленной в соответствии с требованиями научно познанных объективных закономерностей, а поэтому характеризоваться разной степенью объективности и научной обоснованности.

Все направления развития и совершенствования организации труда в равной мере важны и в равной степени относятся к основным и вспомогательным рабочим, руководителям и специалистам. Их комплексное выполнение обеспечивает наиболее полное использование достижений науки и техники, передового опыта, резервов роста производительности труда и получение наибольших экономических результатов. Значительный эффект от организации труда обеспечивается в тех случаях, когда ее требования учитываются на стадии проектирования техники, рабочих мест, участков, цехов, предприятий, а внедрение сочетается с совершенствованием всей системы организации производства. Реализация требований организации труда способствует аттестации и рационализации рабочих мест. Если аттестация позволяет выявить рабочие места, не соответствующие прогрессивным решениям, то рационализация предполагает их совершенствование в соответствии с требованиями.

Вся работа в организациях по организации труда выполняется в три этапа: изучение и анализ существующего положения, составление планов, внедрение мероприятий в производство. При составлении планов по каждому из мероприятий определяют основные направления совершенствования организации труда, рассчитывают по ним материальные и денежные расходы, связанные с их осуществлением, устанавливают источники финансирования затрат, определяют влияние мероприятий на основные показатели работы предприятия.

Одной из проблем в области использования трудовых ресурсов для организации является текучесть кадров. Текучесть кадров - это перемещение рабочей силы, обусловленное неудовлетворенностью работника рабочим местом или неудовлетворенностью организации конкретным работником.

Факторы, вызывающие движение персонала, разнообразны, имеют разные источники.

Их можно разделить на три группы:

1)  факторы, возникающие на самом предприятии (величина заработанной платы, условия труда, уровень автоматизации труда, перспектива профессионального роста и т.п.);

2)      личностные факторы (возраст работников, уровень их образования, опыт работы и т.п.);

)        факторы, внешние по отношению к предприятию (экономическая ситуация в регионе, семейные обстоятельства, появление новых предприятий и т.п.).

К текучести кадров нельзя подходить однозначно.

С другой стороны, текучесть кадров можно рассматривать в качестве положительного явления, поскольку этот процесс выполняет ряд важных позитивных функций, способствует:

·  межотраслевому и территориальному перераспределению рабочей силы;

·        квалификационно-профессиональному продвижению кадров;

·        повышению благосостояния и развитию людей.

Нормальный уровень текучести кадров способствует обновлению производственных коллективов. Этот процесс происходит непрерывно и не требует каких-либо чрезвычайных мер со стороны кадровых служб и руководства организации. Одни работники увольняются, другие приходят на их место - в таком режиме живет каждое предприятие.

Текучесть кадров - один из показателей, связанных с увольнением и влияющих на жизнеспособность и успех организации. Даже если количественно этот фактор соответствует планам руководства, то уход из организации каждого конкретного работника может оказаться если не фатальным, то, по крайней мере, опасным. Опасным является уход профессионала с высокого поста к прямому конкуренту. Поэтому крупные компании предлагают особо ценным сотрудникам "золотой пакет" - денежную компенсацию за то, что они в течение оговоренного времени не будут работать на конкурента. Опасно, если уходит лидер (формальный и неформальный в одном лице), а на его место приходит руководитель с другим стилем работы. В этом случае коллективу понадобится время и значительные усилия для того, чтобы сработаться с новым начальником.

Таким образом, текучесть кадров имеет ряд отрицательных факторов:

·  текучесть кадров сказывается на производительности труда не только тех работников, которые намерены уходить, но и тех, которые продолжают работать, то есть на жизни всей организации;

·        текучесть мешает создавать эффективно работающую команду, отрицательно влияет на корпоративную культуру организации.

Несмотря на остроту этой проблемы во многих организациях, «программы сохранения персонала» пока являются редкостью.

Текучесть может быть:

Внутриорганизационная - связанная с трудовыми перемещениями внутри организации;

Внешняя - между организациями, отраслями и сферами экономики.

Различают естественную и излишнюю текучесть кадров.

Естественная текучесть (3-5% в год) способствует своевременному обновлению коллектива и не требует особых мер со стороны руководства и кадровой службы.

Излишняя текучесть вызывает значительные экономические потери, а также создает организационные, кадровые, технологические, психологические трудности.

Излишняя текучесть персонала, по данным западных психологических исследований, отрицательно сказывается на моральном состоянии оставшихся работников, на их трудовой мотивации и преданности организации. С уходом сотрудников разваливаются сложившиеся связи в трудовом коллективе, и текучесть может приобрести лавинообразный характер. В последние годы на российских предприятиях часто наблюдаются случаи "ухода отделами", когда сложившиеся рабочие коллективы, в силу одинаковой мотивации и сложившихся контактов, предпочитают переходить в другую организацию целиком.

Также выделяют два вида текучести кадров - физическую и умственную.

Физическая текучесть охватывает тех служащих, которые покидают организацию и уходят.

Умственная текучесть кадров возникает у тех служащих, которые внешне не покидают организацию, но фактически уходят из нее. Этот вид текучести кадров не отражается в документации, но может нанести значительный вред производительности труда.

Служащие присутствуют физически, но умственно отсутствуют, редко основательно работают в течение дня, делая лишь самое необходимое, или работая недостаточно качественно.

Таким образом, кадры - наиболее ценная и важная часть производительных сил общества. В целом эффективность предприятия зависит от квалификации служащих, их расстановки и использования, что влияет на объем и темпы прироста вырабатываемой продукции, использование материально-технических средств. Текучесть кадров представляет собой движение работников на предприятии.

Труд - это сознательная деятельность человека, направленная на создание экономических благ, а заработная плата это вознаграждение за труд, которое наниматель обязан выплатить работнику за выполненную работу в зависимости от ее сложности, количества, качества, условий труда и квалификации работника с учетом фактически отработанного времени, а также за периоды, включаемые в рабочее время.

.2 Методика анализа трудовых ресурсов организации сферы услуг

Значение анализа труда и заработной платы очень велико. Во-первых, общая величина фонда заработной платы в значительной степени определяет уровень себестоимости продукции, стоимости капитального ремонта основных средств и промышленной продукции. К затратам по содержанию контингента работников в себестоимости продукции относятся: затраты на оплату труда, отчисления на социальное страхование, стоимость спецодежды, оплата льгот за форменную одежду и другие расходы. Учет затрат рабочего времени, выработанной продукции и фонда заработной платы необходим для правильного планирования производительности труда и заработной платы, с тем чтобы темп роста производительности труда систематически обгонял темп прироста заработной платы, чтобы на каждом предприятии неуклонно повышалась рентабельность производства. Во-вторых, через заработную плату стимулируется повышение производительности труда, рост квалификации работников, освоение и накопление опыта наиболее рационального выполнения трудового процесса, получение при минимуме затрат труда максимального результата.

Анализ трудовых ресурсов предприятия является элементом механизма управления предприятием и направлен на повышение эффективности использования персонала и снижение на этой основе издержек производства, экономию затрат и ресурсов живого труда на единицу выпускаемой продукции.

Цель анализа трудовых ресурсов - определить уровень их использования, выявить факторы, препятствующие повышению эффективности использования труда, а также резервы роста отдачи от использования живого труда и те мероприятия, которые необходимо осуществить на уровне организации и ее внутренних подразделений.

В процессе анализа трудовых показателей (показателей, отражающих использование трудовых ресурсов) решаются задачи, направленные на оценку и обоснованность плана по трудовым показателям, выявляются факторы и резервы повышения эффективности использования трудовых ресурсов.

При нынешних масштабах производства, когда в него вовлекается все большее количество труда живого и прошлого, экономия совокупных затрат труда на производство продукции приобретает особое народнохозяйственное значение в обеспечении прироста производства продукции. Повышение производительности труда превращается в основной источник экономического роста. Рост производительности живого труда происходит на основе повышения его технической оснащенности, расширения и совершенствования систем машин. Чем большей массой средств производства насыщается живой труд, тем больше рабочий перерабатывает с их помощью предметов труда; живой труд приводит в движение все большее количество прошлого труда - совокупный труд становится все более эффективным, производительным.

Источники информации для анализа:

Ø план по труду,

Ø  ф. № 1-мп «Отчет о финансово-хозяйственной деятельности микроорганизации и крестьянского (фермерского) хозяйства»;

Ø  статистическая отчетность отдела кадров по движению рабочих;

Ø  оперативная отчетность цехов, отделов, служб организации;

Ø  другая отчетность, связанная с трудовыми ресурсами организации и производственных подразделений и служб в зависимости от поставленной исследователем цели и задач.

Основными показателями, характеризующими использование труда на предприятии, являются: использование рабочей силы, рабочего времени, производительность труда, относительные показатели расходов на заработную плату.

Анализ трудовых ресурсов проводится по следующим направлениям:

Ø оценка обеспеченности предприятия трудовыми ресурсами и движения рабочей силы;

Ø  оценка эффективности использования рабочего времени;

Ø  изучение производительности руда;

Ø  изучение трудоемкости продукции;

Ø  изучение расходов на заработную плату.

От того, в какой степени предприятие обеспеченно трудовыми ресурсами и насколько они эффективно используются, зависят объем и своевременность выполнения всех работ, эффективность использования оборудования, машин, механизмов и как результат - объем производства продукции, ее себестоимость, прибыль и ряд других экономических показателей.

Рациональное использование промышленно-производственного персонала - непременное условие, обеспечивающее бесперебойность производственного процесса и успешное выполнение производственных планов.

К промышленно-производственному персоналу (ППП) - персоналу основной деятельности - относят лиц, занятых трудовыми операциями, связанными с основной деятельностью предприятия (изготовление промышленной продукции и выполнение работ промышленного характера, организация производства и управления предприятием и т.п.). Работники ППП подразделяются на рабочих и служащих.

К рабочим относятся лица, занятые непосредственным воздействием на предметы труда, их перемещением и перемещением продукции, уходом за средствами труда и контролем за их работой, выполнением операций по контролю качества продукции и другим видам обслуживания производственного процесса. Этим объясняется то, что к ним относят младший обслуживающий персонал - МОП (работников, не имеющих прямого отношения к производственному процессу) - уборщиков непроизводственных помещений, курьеров, гардеробщиков, шоферов легковых машин и работников охраны.

В составе служащих выделяют руководителей, специалистов и других служащих (конторский, учетный и т. п. персонал).

Для характеристики движения рабочей силы рассчитывают и анализируют динамику следующих показателей [35, c. 183]:

–  коэффициент оборота по приему работников (КОпр), который рассчитывается по формуле:


где Опр - численность принятых на работу работников, чел.

- среднесписочная численность персонала, чел.

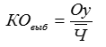
–    коэффициент оборота по увольнению (Кв), который рассчитывается по формуле:


где Оу - численность уволенных работников, чел.

коэффициент текучести кадров (КОтек), который рассчитывается по формуле:


где Оизм - численность работников, уволенных по собственному желанию и за нарушения трудовой дисциплины, чел.

коэффициент постоянства состава персонала организации (Кпост), который рассчитывается по формуле:


где Чпр - численность работников, проработавших в организации весь год, чел.

Одним из важнейших условий выполнения плана производства, увеличения выработки продукции на каждого члена трудового коллектива, а также рационального использования трудовых ресурсов является экономное и эффективное использование рабочего времени. От того, насколько полно и рационально используется рабочее время, зависят эффективность работы, выполнение всех технико-экономических показателей. Поэтому анализ использования рабочего времени является важной составной частью аналитической работы на промышленном предприятии.

Полноту использования трудовых ресурсов можно оценить по количеству отработанных дней и часов одним работником за анализируемый период времени, а также по степени использования фонда рабочего времени. Такой анализ проводится по каждой категории работников, по каждому производственному подразделению и в целом по организации.

Фонд рабочего времени (ФРВ) зависит от численности рабочих (КР), количества отработанных дней одним рабочим в среднем за год (Д) и средней продолжительности рабочего дня (П) [35, c. 186]:

ФРВ = КР * Д * П

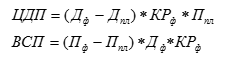
Если фактически одним рабочим отработано меньше дней и часов, чем предусматривалось планом, то можно определить сверхплановые потери рабочего времени: целодневные (ЦДП) и внутрисменные (ВСП):


Дальнейший анализ направлен на изучение причин целодневных и внутрисменных потерь рабочего времени и разработку мер по их предупреждению в будущем. Целодневные и внутрисменные потери подразделяются в разрезе профессий на зависящие и не зависящие от работника. Детально анализируется сверхурочно затраченное время.

Один и тот же результат в процессе производства может быть получен при различной степени эффективности труда. Мера эффективности труда в процессе производства получила название производительности труда. Иными словами, под производительностью труда понимается его результативность или способность человека производить за единицу рабочего времени определенный объем продукции.

На рабочем месте, в организации производительность труда определяется количеством продукции, которую производит рабочий за единицу времени (выработка), или количеством времени, затрачиваемого на изготовление единицы продукции (трудоемкость).

Выработка продукции в стоимостном измерении на одного среднесписочного работника как показатель производительности труда состоит из выработки продукции, вызванной повышением технического уровня производства вследствие уменьшения затрат рабочего времени на изготовление единицы продукции (собственно производительность труда), и определяется факторами, изменяющими объем продукции в стоимостном измерении и ничего общего не имеющими с производительностью труда, т.е. факторами оценочного характера.

Любой объемный показатель, принятый для исчисления выработки продукции на одного среднесписочного работника, оцениваемый в стоимостном измерении, непременно подвержен влиянию изменения таких факторов, как структурные сдвиги в ассортименте выпускаемой продукции, непроизводительные затраты рабочего времени, изменение факторов технического прогресса, решающее влияние которых сказывается на уровне выработки непосредственно через производительность труда. В процессе анализа производительности труда необходимо установить:

Ø степень выполнения задания по росту производительности труда;

Ø  напряженность задания по росту производительности труда и определить прирост продукции за счет этого фактора;

Ø  факторы, влияющие на изменение показателей производительности труда;

Ø  резервы роста производительности труда и мероприятия по их использованию.

Многочисленные взаимозависимые факторы повышения показателей производительности труда можно условно объединить в следующие основные группы, характеризующие:

1)   совершенствование техники и технологии. В эту группу факторов входит все, что определяется современным научно-техническим прогрессом;

2)      улучшение организации производства, рациональное размещение производительных сил, специализацию предприятий и отраслей промышленности, наиболее полное использование имеющегося оборудования, ритмичность производства и др.;

)        совершенствование организации труда, т.е. улучшение использования живого труда (повышение квалификации кадров, культурно-технического уровня трудящихся, укрепление трудовой дисциплины и совершенствование системы заработной платы, нормирования труда и личной материальной заинтересованности всех работников; обеспечение средней интенсивности труда).

Роль повышения производительности труда на современном этапе определяется тем, что за счет увеличения производительности труда достигается основной прирост объемов производства, а это обеспечивает возможность более полного удовлетворения постоянно растущих потребностей народного хозяйства и населения страны. Рост производительности труда - это основной источник увеличения объема производства, дальнейшего развития экономики и повышения материального и культурного благосостояния народа.

Анализ использования трудовых ресурсов должен носить комплексный и системный характер. Это означает, что в ходе анализа должны быть установлены основные факторы, оказавшие воздействие на изменение трудовых показателей. В связи с этим в ходе анализа необходимо выявить резервы повышения эффективности использования трудовых ресурсов - роста производительности труда. Наряду с этим должна быть установлена взаимосвязь между показателями производительности труда и расходами на оплату труда с себестоимостью продукции и прибылью организации.

Согласно, указа Президента Республики Беларусь от 11 апреля 2011 года № 136 утверждена Программа социально-экономического развития Республики Беларусь на 2011- 2015 годы, основной целью социально-экономического развития Республики Беларусь на 2011-2015 годы является рост благосостояния и улучшение условий жизни населения на основе совершенствования социально-экономических отношений, инновационного развития и повышения конкурентоспособности национальной экономики [30].

Достижение поставленной цели будет осуществляться через реализацию следующих приоритетных направлений, одним из которых является развитие человеческого потенциала, включая повышение уровня благосостояния, рост рождаемости и увеличение продолжительности жизни, укрепление здоровья граждан и повышение качества образования.

Основными задачами социальной политики государства являются повышение уровня и качества жизни населения и создание условий для развития человеческого потенциала на основе повышения эффективности функционирования систем здравоохранения, образования, культуры и других видов деятельности, относящихся к сфере услуг.

Численность экономически активного населения сократилась в 2011 году по сравнению с 2010 годом на 19,1 тыс. чел. или 0,4%, а в 2012 году по сравнению с 2011 годом - на 86,4 тыс. чел. или на 1,8 п.п.

Численность мужчин, входящих в состав экономически активного населения в 2011 году по сравнению с 2010 годом увеличилось на 41,7 тыс. чел. или на 1,9%, в 2012 году по сравнению с 2011 годом сократилось на 41,7 тыс. чел. или 1,8 п.п.

Численность женщин, входящих в состав экономически активного населения в 2011 году по сравнению с 2010 годом снизилось на 60,8 тыс. чел. или на 2,5%, в 2012 году по сравнению с 2011 годом сократилось на 44,7 тыс. чел. или 1,9 п.п.

Удельный вес занятых мужчин в общем числе экономически активного населения увеличился с 47,5 % в 2010 году до 48,6% в 2011 году и до 48% в 2012 году.

Удельный вес занятых женщин в общем числе экономически активного населения снизился с 51,7 % в 2010 году до 50,7% в 2011-2012 гг. и составил 2333,1 тыс. чел. в 2012 году.

Таким образом, во всей совокупности ресурсов организации особое место занимают трудовые ресурсы. На уровне отдельной организации вместо термина «трудовые ресурсы» чаще используют термин «кадры» или «персонал». Кадры, в широком понимании, есть главная производительная сила общества. От кадровой политики зависит очень многое, в первую очередь насколько рационально используется рабочая сила и эффективность работы организации.

Кадры в организации классифицируются на рабочих, специалистов, руководителей, служащих, рабочих. Приоритет следует отдавать руководителям. Исследованиями и практикой установлено, что эффективность работы организации на 70-80% зависит от руководителя организации. В рыночных отношениях организации получили большую самостоятельность в области оплаты труда. Организации в этот период стали чаще применять повременно-премиальную и бестарифную систему оплаты труда, а также оплату труда по контракту.

Кадры, и заработная плата - эти понятия тесно связаны между собой. В каждой организации должен разрабатываться план по труду и заработной плате. Цель которого заключается в изыскании резервов по улучшению рабочей силы и на этой основе повышение производительности труда. При этом план должен быть разработан так, чтобы темпы роста производительности труда опережали темпы роста заработной платы.

Изученная методика анализа трудовых ресурсов применяется на практике в следующем разделе дипломной работы.

2. Анализ трудовых ресурсов ОДО «Магпром»

.1 Социально-экономическая характеристика деятельности ОДО «Магпром»

Общество с дополнительной ответственностью «Магпром» создано в соответствии с учредительным договором от 17 апреля 2000 г. и зарегистрировано решением Гомельского облисполкома № 229 от 27.04.2000 г. в Едином государственном регистре юридических лиц и индивидуальных предпринимателей за № 490083197. Общество действует в соответствии с Гражданским Кодексом Республики Беларусь, Законом Республики Беларусь "О хозяйственных обществах", иными актами законодательства Республики Беларусь и уставом.

Руководитель ОДО «Магпром» назначается обществом, в лице директора ОДО «Магпром», и действует на основании доверенности.

Основной целью деятельности ОДО «Магпром» является хозяйственная деятельность, направленная на получение прибыли.

Предмет (основные направления) деятельности ОДО «Магпром»:

полиграфическая деятельность и предоставление услуг в этой области;

неспециализированная оптовая торговля непродовольственными товарами;

полиграфическая деятельность.

Для обеспечения деятельности общества за счет вкладов участников образован уставный фонд в размере 1 300 000 (один миллион триста тысяч) рублей. Уставный фонд сформирован участниками в полном объеме денежными средствами в соответствии с законодательством, действующим на момент формирования уставного фонда.

Организационная структура ОДО «Магпром» является линейной (рисунок 2.1), составляет так называемый "шахтный" принцип построения и специализация управленческого процесса по функциональным подсистемам организации (маркетинг, производство, исследования и разработки, финансы, персонал и т.д.). Результаты работы каждой службы оцениваются показателями, характеризующими выполнение ими своих целей и задач. Соответственно строится и система мотивации и поощрения работников. При этом конечный результат (эффективность и качество работы организации в целом) становится как бы второстепенным, так как считается, что все службы в той или иной мере работают на его получение.

Преимущества линейной структуры:

-       четкая система взаимных связей функций и подразделений;

-       четкая система единоначалия - один руководитель сосредотачивает в своих руках руководство всей совокупностью процессов, имеющих общую цель;

-       ясно выраженная ответственность;

-       быстрая реакция исполнительных подразделений на прямые указания вышестоящих.

Недостатки линейной структуры:

-       отсутствие звеньев, занимающихся вопросами стратегического планирования; в работе руководителей практически всех уровней оперативные проблемы ("текучка") доминирует над стратегическими;

-       тенденция к волоките и перекладыванию ответственности при решении проблем, требующих участия нескольких подразделений;

-       малая гибкость и приспособляемость к изменению ситуации;

-       критерии эффективности и качества работы подразделений и организации в целом - разные;

-       большое число "этажей управления" между работниками, выпускающими продукцию, и лицом, принимающим решение;

-       перегрузка управленцев верхнего уровня;

-       повышенная зависимость результатов работы организации от квалификации, личных и деловых качеств высших управленцев.

В современных условиях недостатки структуры перевешивают ее достоинства, однако для небольшой организации ОДО «Магпром» тип структуры подходит.

Основные производственно-финансовые показатели деятельности ОДО «Магпром» представлены в таблице 2.1.

Таблица 2.1 - Основные показатели производственно-финансовой деятельности ОДО «Магпром» за 2010-2012 гг.

Показатели

Годы

Отклонение, (+/-)

Темп роста, %


2010

2011

2012

2011 г. от 2010 г.

2012 г. от 2011 г.

2011 г. к 2010 г.

2012 г. к 2011 г.

Выручка от реализации товаров, продукции, работ, услуг (за вычетом налогов и сборов, включаемых в выручку), млн р.

634

1115

1412

481

297

175,9

126,6

Себестоимость реализованных товаров, продукции, работ, услуг, млн р.

601

1013

1371

412

358

168,6

135,3

Прибыль от реализации товаров, продукции, работ, услуг, млн р.

33

102

41

69

-61

309,1

40,2

Чистая прибыль, млн р.

24

80

31

56

-49

333,3

38,8

Среднегодовая остаточная стоимость основных средств, млн р.

31,5

30,0

22,5

-1,5

-7,5

95,2

75,0

Фондоотдача, млн р.

20,13

37,17

62,76

17,04

25,59

184,7

168,8

Дебиторская задолженность на конец года, млн р.

56

117

96

61

-21

208,9

82,1

Кредиторская задолженность на конец года, млн р.

35

78

55

43

-23

222,9

70,5

Среднесписочная численность работников, чел.

12

11

11

-1

0

91,7

100,0

Фонд заработной платы, тыс. р.

150,9

193,9

325,5

43

131,6

128,5

167,9

1048

1468,9

2465,9

420,9

997

140,2

167,9

Производительность труда по выручке, млн р.

52,83

101,36

128,36

48,53

27,00

191,9

126,6

Рентабельность продаж, %

5,21

9,15

2,90

3,94

-6,24

-

-

Рентабельность производства, %

5,49

10,07

2,99

4,58

-7,08

-

-


По данным таблицы 2.1 сделаем следующие выводы. Выручка от реализации товаров, продукции, работ, услуг возросла в 2011 году по сравнению с 2010 годом на 481 млн р., т.е. на 75,9%, а в 2012 году на 297 млн р. (26,6%). Себестоимость реализованных товаров росла медленнее, чем выручка от реализации в 2011 году по сравнению с 2010 годом, что способствует росту прибыли ОДО «Магпром» на 69 млн р. В 2012 году высокий рост себестоимости по сравнению с выручкой отрицательно влиял на величину прибыли 2012 года, которая сократилась на 61 млн р. или 59,8%.

Чистая прибыль увеличивается в 3,33 раза в 2011 году по сравнению с 2010 годом и снизился на 61,2% в 2012 году.

На 1,5 млн р. в 2011 году снизилась по сравнению с 2010 годом среднегодовая стоимость основных средств, а в 2012 году на 7,5 млн р. в по сравнению с 2011 годом. Об эффективности использования основных средств свидетельствует показатель фондоотдачи, который увеличивается на 17,04 р. и 25,59 р. в 2011-2012 гг. К негативным факторам, влияющим на деятельность организации относится рост дебиторской задолженности, она составляет в 2011 году 117 млн р., что на 61 млн р. (108,9%) выше значения 2010 года. Наблюдается увеличение кредиторской задолженности в 2,229 раза соответственно в 2011 году, однако в 2012 году как дебиторская, так и кредиторская задолженности снижаются на 17,9 % и 29,5 % соответственно.

Среднесписочная численность в 2010 году составляет 12 чел., а на протяжении 2011-2012 гг. не изменяется и составляет 11 человек. Темпы роста фонда заработной платы и среднемесячной заработной платы выше темпов роста производительности труда, что свидетельствует о рационально организованной системе оплаты труда, однако в 2012 году ситуация изменяется в неблагоприятную сторону.

Производительность труда увеличивается, что происходит в результате увеличения выручки от реализации и сокращения численности работников. Так, производительность труда 2011 года на 48,53 млн р. выше уровня 2010 года, а в 2012 году на 27,00 млн р. выше уровня 2011 года.

В результате увеличения прибыли от реализации показатель рентабельности продаж и производства увеличивается на 3,94 % и 4,58% в 2011 году соответственно, а в 2012 году сокращаются.

Оценку состояния и развития основных средств ОДО «Магпром» необходимо начать с изучения состава и структуры. Результаты анализа представим в таблице 2.2.

Таблица 2.2 - Динамика и структура основных средств за ОДО «Магпром» 2010-2012 гг., млн р.

Показатели

На конец года

Отклонение,(+/-)

Темп роста, %


2010

2011

2012

2011 г. от 2010 г.

2012 г. от 2011 г.

2011 г. К 2010 г.

2012 г. К 2011 г.

Балансовая стоимость основных средств, всего в том числе:

107

116

116

9

0

108,4

100,0

Машины и оборудование

107

116

116

9

0

108,4

100,4

Удельный вес машин и оборудования, %

100,0

100,0

100,0

0

0

-

-


Согласно данным таблицы 2.2 основные средства ОДО «Магпром» представлены машинами и оборудованием. Основные средства (машины и оборудование) в 2011 году увеличиваются по сравнению с 2010 годом на 9 млн р. или 8,4%, а в 2012 году остаются неизменными по сравнению с 2011 годом и составляют 116 млн р.

Приведем общие показатели технического состояния основных средств ОДО «Магпром» в таблице 2.3.

Таблица 2.3 - Показатели технического состояния основных средств ОДО «Магпром» за 2010-2012 гг.

Показатели

На конец года

Отклонение,(+/-)

Темп роста, %


2010

2011

2012

2011 г. от 2010 г.

2012 г. от 2011 г.

2011 г. К 2010 г.

2012 г. К 2011 г.

Первоначальная стоимость основных средств, млн р.

106,5

115,78

115,78

9,28

0

108,7

100,0

Сумма амортизации, млн р.

76,34

85,88

101,1

9,54

15,22

112,5

117,7

Остаточная стоимость основных средств, млн р.

30,16

29,91

14,68

-0,25

-15,23

99,2

49,1

Коэффициент годности

0,283

0,258

0,127

-0,025

-0,132

-

-

Коэффициент износа

0,717

0,742

0,873

0,025

0,132

-

-


Из таблицы 2.3 видно, что коэффициент годности ежегодно снижается на 2,5 п.п. в 2011 году по сравнению с 2010 годом и на 13,2 п.п. в 2012 году по сравнению с 2011 годом. Соответственно, коэффициент износа увеличивается и составляет 87,3% в 2012 году.

Эффективность использования основных производственных средств оценивается с помощью следующих обобщающих показателей эффективности, к которым относятся: фондоотдача, фондоемкость, фондовооруженность, фондооснащенность, рентабельность (таблица 2.4).

Таблица 2.4 - Исходные данные для анализа эффективности использования основных средств и фондовооруженности ОДО «Магпром» за 2010-2012 гг.

Показатели

На конец года

Отклонение,(+/-)

Темп роста, %


2010

2011

2012

2011 г. от 2010 г.

2012 г. от 2011 г.

2011 г. К 2010 г.

2012 г. К 2011 г.

Выручка от реализации товаров, продукции, работ, услуг за вычетом налогов, млн р.

634

1115

1412

481

297

175,9

126,6

Объем производства продукции (работ. услуг), млн р.

621

1105

1397

484

292

177,9

126,4

Прибыль от реализации товаров, продукции, работ, услуг, млн р.

33

102

41

69

-61

309,1

40,2

Среднегодовая остаточная стоимость основных средств, млн р.

31,5

30,0

22,5

-1,5

-7,5

95,2

75,0

Среднесписочная численность работников, чел.

12

12

11

0

-1

100,0

91,7

Фондоотдача по выручке, р.

20,13

37,17

62,76

17,04

25,59

184,7

168,8

Фондоотдача по объему производства продукции (работ, услуг), р.

19,71

36,83

62,09

17,12

25,26

186,8

168,6

Фондоемкость выручки, р.

0,05

0,03

0,02

-0,02

-0,01

54,2

59,2

Фондоемкость объема производства, р.

0,05

0,03

0,02

-0,02

-0,01

53,5

59,3

Фондорентабельность

104,76

340,00

182,22

235,24

-157,78



Средствооруженность

2,63

2,50

2,05

-0,13

-0,45

95,2

81,8


Выручка от реализации товаров, продукции, работ, услуг за вычетом налогов возросла в 2011 году по сравнению с 2010 годом на 481 млн р. или 75,9%, а в 2012 году на 297 млн р., т.е. на 26,6% по сравнению с 2011 годом.

Объем производства продукции (работ, услуг) увеличивается на 77,9% и 26,4% соответственно в 2011-2012 гг. Прибыль от реализации увеличивается в 2011 году по сравнению с 2010 годом на 69 млн р. (в 3,091 раза%), а в 2012 году по сравнению с 2011 годом сокращается на 61 млн р. (на 59,8%) и составляет 41 млн р.

На 1,5 млн р. в 2011 году сократилась по сравнению с 2010 годом среднегодовая стоимость основных средств, а в 2012 году на 7,5 млн р. в по сравнению с 2011 годом, что могло произойти в результате их выбытия. Среднесписочная численность на протяжении 2010-2011 гг. составляет 12 человек, а в 2012 году сокращается на 1 чел. или 8,3%.

Фондоотдача по выручке от реализации увеличилась с 20,13 р. в 2009 году до 37,17 р. в 2011 году и до 62,76 р. в 2012 году, то есть на 17,04 р. или на 84,7% в 2011 году по сравнению с 2010 годом и на 25,59 р. или на 68,8% в 2012 году по сравнению с 2011 годом. Фондоотдача по объему производства продукции также увеличилась на 17,12 млн р. или 86,8% в 2011 году по сравнению с 2010 годом и составила 36,83 р. и на 25,26 млн р. или на 68,6% в 2012 году по сравнению с 2011 годом и составила 62,09 р.

Благоприятным фактором является снижение фондоемкости по выручке в 2011 году на 0,02 р. или на 45,8%в 2011 году по сравнению с 2010 годом и составила 0,03 р. В 2012 году фондоемккость сократилась на 0,01 млн р. или на 40% и составила 0,02 р. Фондоемкость объема производства также ежегодно снижается 46,5% и 40,7%.

Фондорентабельность увеличилась на 235,24 п.п. в 2011 году по сравнению с 2012 годом и составила 340,0%, а в 2012 году по сравнению с 2011 годом сократилась на 157,78 п.п. и составила 182,22%.

Средствооруженность снизилась в 2011-2012 гг. на 0,13 млн р. (4,8%) и 0,45 млн р. (18,2%.)

Проведем оценку влияния факторов на показатель фондоотдачи методом цепных подстановок в 2010-2012 гг.

Изменение фондоотдачи по выручке рассчитаем по формуле:

ΔФо = Фо1 - Фо0,

где Фо- фондоотдача, р.

в 2011 году по сравнению с 2010 годом:

ΔФо = 37,17 - 20,13 = 17,04 млн р.

в 2012 году по сравнению с 2011 годом:

ΔФо = 62,76 - 37,17 = 25,59 млн р.

Фондоотдача под влиянием изменения выручки от реализации товаров, продукции, работ, услуг рассчитаем по формуле:

Фо (В) = В1 / ,(2.2)

где Фо (В) - изменение фондоотдачи под влиянием изменения выручки от реализации товаров, продукции, работ, услуг, млн р.

В - выручка от реализации товаров, продукции, работ, услуг, млн р.

 - среднегодовая стоимость основных средств, млн р.

в 2011 году по сравнению с 2010 годом:

Фо (В) = 1115 / 31,5 = 35,40 млн р.

в 2012 году по сравнению с 2011 годом:

Фо (В) = 1412 / 30,0 = 47,07 млн р.

Фондоотдача под влиянием изменения среднегодовой стоимости рассчитаем по формуле:

Фо () = В1 / ,(2.3)

где Фо (В) - изменение фондоотдачи под влиянием изменения среднегодовой остаточной стоимости, млн р.

- в 2011 году по сравнению с 2010 годом:

Фо () = 1115 / 30,0 = 37,17 млн р.

в 2012 году по сравнению с 2011 годом:

Фо () = 1412 / 22,5 = 62,76 млн р.

Далее проведем оценку влияния выручки от реализации на фондоотдачу по формуле:

ΔФо (В) = Фо (В) - Фо0(2.4)

- в 2011 году по сравнению с 2010 годом:

ΔФо (В) = 35,40 - 20,13 = 15,27 млн р.

в 2012 году по сравнению с 2011 годом:

ΔФо (В) = 47,07 - 37,17 = 9,90 млн р.

Так, в результате роста выручки от реализации в 2011 году по сравнению с 2010 годом на 481 млн р. или 75,9%, фондоотдача увеличилась на 18,36 р., а в результате увеличения выручки от реализации в 2012 году по сравнению с 2011 годом на 297 млн р. или 26,6%, фондоотдача увеличилась на 21,48 р.

Далее проведем оценку влияния изменения среднегодовой стоимости основных средств на фондоотдачу по формуле:

ΔФо (В) = Фо () - Фо (В)(2.5)

- в 2011 году по сравнению с 2010 годом:

ΔФо () = 37,17 - 35,40 = 1,77 млн р.

в 2012 году по сравнению с 2011 годом:

ΔФо () = 62,76 - 47,06 = 15,69 млн р.

Так, в результате снижения среднегодовой стоимости основных средств в 2011 году по сравнению с 2010 годом на 1,5 млн р. или 4,8%, фондоотдача увеличилась на 1,77 р., а в результате снижения среднегодовой стоимости основных средств в 2012 году по сравнению с 2011 годом на 7,5 млн р. или 25,0%, фондоотдача увеличилась на 15,69 р.

Проведем балансовую сверку расчетов по формуле:

ΔФо = ΔФо (В) + ΔФо ()(2.6)

- в 2011 году по сравнению с 2010 годом:

15,27 + 1,77 = 17,04 млн р.

- в 2011 году по сравнению с 2010 годом:

9,90 + 15,69 = 25,59 млн р.

По результатам балансовой сверки можно сделать вывод о достоверности проведенного факторного анализа.

В таблице 2.5 представим состав и структуру оборотных средств ОДО «Магпром» за 2010-2012 гг.

Таблица 2.5 - Состав и динамика оборотных средств ОДО «Магпром» за 2010 - 2012 гг.

Показатели

На конец года

Отклонение,(+/-)

Темп роста, %


2010

2011

2012

2011 г. от 2010 г.

2012 г. от 2011 г.

2011 г. К 2010 г.

2012 г. К 2011 г.

Всего оборотных активов, млн р. в том числе:

142

238

249

96

11

167,6

104,6

Запасы и затраты, млн р.

36

89

73

53

-16

247,2

82,0

Дебиторская задолженность, млн р.

56

117

86

61

-31

208,9

73,5

Денежные средства, млн р.

50

32

90

-18

58

64,0

281,3


Оборотные активы ОДО «Магпром» увеличились в 2011 году по сравнению с 2010 годом на 96 млн р. или 67,6%, а в 2012 году по сравнению с 2011 годом на 11 млн р. или 4,6%.

Оборотные средства организации представлены запасами и затратами, дебиторской задолженностью, денежными средствами.

Запасы и затраты в 2011 году по сравнению с 2010 годом увеличились на 53 млн р. или в 2,5 раза, а в 2012 году по сравнению с 2011 годом сократились на 16 млн р. или на 18,0%.

Дебиторская задолженность в 2011 году по сравнению с 2010 годом увеличилась на 61 млн р. или в 2,1 раза, а в 2012 году по сравнению с 2011 годом сократилась на 31 млн р. или на 26,5%.

Денежные средства в 2011 году по сравнению с 2010 годом снизились на 18 млн р. или на 36%, а в 2012 году по сравнению с 2011 годом увеличились на 58 млн р. или в 2,8 раза.

Коэффициент обеспеченности собственными оборотными средствами снизился в 2011 году по сравнению с 2010 годом на 0,08 и составил 0,67, а в 2012 году по сравнению с 2011 годом увеличился на 0,11. Рост коэффициента обеспеченности собственными оборотными средствами является благоприятным для организации, поскольку показывает достаточность у организации собственных средств для финансирования текущей деятельности.

Как отмечалось выше, выручка от реализации товаров, продукции, работ, услуг увеличилась ежегодно. Расходы также увеличились с каждым годом, и за исследуемый период возросли на 770 млн р. Прибыль от реализации товаров, продукции, работ, услуг в 2011 году увеличивается, а в 2012 году сокращается. Экономические ресурсы, в том числе среднегодовая стоимость основных средств, оборотных средств, а также расходов на оплату труда увеличиваются за 2010-2012 гг. на 14,5 млн р., 124 млн р. и 174,6 млн р. соответственно.

Показатели рентабельности по исследуемым показателям в 2011 году увеличиваются, что связано с ростом прибыли от реализации на 69 млн р., однако сокращение прибыли в 2012 году на 61 млн р. отрицательно сказывается на показателях рентабельности ОДО «Магпром».

Потребителями полиграфической продукции являются как частные лица, так и юридические лица, которым оказываются полиграфические услуги, основными являются: дизайн (изготовление) плакатов/афиш; листовок; открыток; дипломов/грамот; визитных карточек; этикеток; брошюр; каталогов/буклетов; календарей; дисконтных карт; бланков; предоставление услуг дизайна.

У ОДО «Магпром» имеется значительное число конкурентов в районе деятельности организации:

ООО «Профиль Полиграф»;

ООО «Артлекс»;

полиграфическое предприятие «СОЖ»;

и другие.

Конкурентная среда ОДО «Магпром» также представлена индивидуальными предпринимателями, предоставляющими полиграфические услуги.

Таким образом, можно отметить о снижении эффективности деятельности ОДО «Магпром», о чем свидетельствуют показатели рентабельности, однако имеются положительные изменения, рост фондоотдачи, коэффициента обеспеченности собственными оборотными средствами, а также увеличение производительности труда работников.

.2 Анализ состава, состояния, движения трудовых ресурсов ОДО «Магпром»

ОДО «Магпром» небольшая организация, в которой составляется лишь «Отчет о финансово-хозяйственной деятельности микроорганизации и крестьянского (фермерского) хозяйства» (форма 1-мп (микро)), который характеризует наличие и движение трудовых ресурсов организации.

Данный отчет содержит два раздела по персоналу организации:

Списочная численность работников по территории. Раздел I государственной статистической отчетности по форме 1-мп заполняется при наличии в организации одного и более структурных подразделений, расположенных на территории, отличной от места ее государственной регистрации.

Труд и заработная плата. В данном разделе отражается информация о среднесписочной и списочной численности работников, средней численности внешних совместителей, средней численности граждан, выполнявших работу по гражданско-правовым договорам.

В фонде заработной платы работников списочного и несписочного состава и внешних совместителей по строке 5 отражается сумма заработной платы с учетом оплаты труда по совместительству.

Также в данном разделе находит свое отражение количество принятых и уволенных работников.

Трудовые отношения регламентируются трудовым договором (Приложение Л). Трудовой договор - соглашение между работодателем и работником, в соответствии с которым работодатель обязуется предоставить работнику работу по обусловленной трудовой функции, обеспечить условия труда, предусмотренные трудовым законодательством и иными нормативными правовыми актами, содержащими нормы трудового права, коллективным договором, соглашениями, локальными нормативными актами и данным соглашением, своевременно и в полном размере выплачивать работнику заработную плату, а работник обязуется лично выполнять определенную этим соглашением трудовую функцию, соблюдать правила внутреннего трудового распорядка, действующие у данного работодателя.

Качественный состав работников ОДО «Магпром» на основе штатного расписания представлен в таблице 2.6.

Показатели

Годы

Отклонение, (+/-)

Темп роста, %


2010

2011

2012

2011 г. от 2010 г.

2012 г. от 2011 г.

2011 г. к 2010 г.

2012 г. к 2011 г.

Всего работников, чел. в том числе

16

14

11

-2

-3

87,5

78,6

служащие в том числе

8

8

7

0

-1

100,0

87,5

руководители

2

2

2

0

0

100,0

100,0

специалисты

6

6

5

0

-1

100,0

83,3

рабочие

8

6

4

-2

-2

75,0

66,7


Из данных таблицы 2.8 и рисунка 2.2 видно, что численность работников ежегодно снижается. Так на начало 2011 года по сравнению с началом 2012 года сократилась на 2 чел. или 12,5%, а на начало 2012 года по сравнению с началом 2011 года на 3 чел. или 21,6%.

Численность работников на начало 2010 года составляла 16 чел., а на начало 2012 года только 11 чел. Из них 7 чел. служащих, число которых сократилось на 1 чел. на начало 2012 году по сравнению с началом 2010-2011 гг. Число руководителей на начало 2010-2012 гг. не изменяется и составляет 2 чел. и представлены директором и главным бухгалтером.

Сокращение произошло по специалистам на 1 чел. или 12,5% на начало 2012 года по сравнению с началом 2010-2011 гг. и составляет 5 чел.

Ежегодно численность рабочих сокращается на 2 чел., т.е. на 25,0% в 2011 году по сравнению с 2010 годом и на 33,3% в 2012 году по сравнению с 2011 годом. К числу рабочих относятся: водитель, резчик, переплетчик, печатник.

Снижение численности работников ОДО «Магпром» является вынужденным с целью экономии денежных средств на оплату труда в связи с ухудшением финансового состояния, снижением объема выполняемой работы.

Далее проведем анализ структуры работников ОДО «Магпром» в таблице 2.7.

Таблица 2.7 - Структура работников ОДО «Магпром» за 2010-2012 гг.

Показатели

Годы

Отклонение, (+/-)


2010

2011

2012

2011 г. от 2010 г.

2012 г. от 2011 г.

Всего работников, чел. в том числе

100,00

100,00

100,00

0,00

0,00

служащие в том числе

50,00

57,14

63,64

7,14

6,49

руководители

12,50

14,29

18,18

1,79

3,90

специалисты

37,50

42,86

45,45

5,36

2,60

рабочие

50,00

42,86

36,36

-7,14

-6,49


В 2010 году процентное соотношение служащих и рабочих составляет 50: 50. Из числа служащих 37,50% специалистов, удельный вес которых в 2011 году увеличивается на 5,36% по сравнению с 2010 годом и на 2,60% в 2012 году по сравнению с 2011 годом. Удельный вес руководителей, при неизменной их численности увеличивается с 12,50% в 2010 году до 14,29% в 2011 году и до 18,18% в 2012 году, что связано с сокращением общей численности работников ОДО «Магпром».

Удельный вес рабочих сокращается с 50% в 2010 году до 42,86% в 2011 году, т.е. на 7,14 п.п., и до 36,36% в 2012 году, т.е. на 6,49 п.п. по сравнению с 2011 годом.

Высшее образование имеют 6 работников на протяжении 2010-2012 гг. Численность работников со средним специальным образование снизилась в 2011 году по сравнению с 2010 годом на 1 чел. или на 14,3%, а в 2012 году по сравнению с 2011 годом на 1 чел. или на 16,7%. Численность работников с профессионально-техническим образованием составляет 2 чел. в 2010 году и сократилась на 1 чел. или на 50,0% в 2011 году по сравнению с 2010 годом, а в 2012 году отсутствуют работники с профессионально-техническим образованием.

Общее среднее образование имеет 1 чел. в 2010-2011 гг., а в 2012 году уволился.

Далее проведем анализ структуры работников по уровню образования ОДО «Магпром» в таблице 2.8.

Таблица 2.8 - Структура работников по уровню образования ОДО «Магпром» за 2010-2012 гг.

Показатели

Годы

Отклонение, (+/-)


2010

2011

2012

2011 г. от 2010 г.

2012 г. от 2011 г.

 

Всего работников, чел. в том числе имеют образование

100,00

100,00

100,00

0,00

0,00

 

высшее

37,50

42,86

54,55

5,36

11,69

 

среднее специальное

43,75

42,86

45,45

-0,89

2,60

 

профессионально-техническое

12,50

7,14

0,00

-5,36

-7,14

 

общее среднее

6,25

7,14

0,00

0,89

-7,14

 



Наибольший удельный вес в структуре работников по уровню образования занимали в 2010-2011 гг. работники со средним специальным образованием. В 2010 году он составил 43,75% и снизился на 0,89 п.п. в 2011 году по сравнению с 2010 годом, а в 2012 году по сравнению с 2011 годом увеличился на 2,60 п.п.

Удельный вес работников с высшим образованием при неизменной численности 6 чел., увеличился в 2011 году по сравнению с 2010 годом на 5,36 п.п. и в 2012 году по сравнению с 2011 годом на 11,69 п.п.

В связи с увольнением работников с профессионально-техническим образованием, их удельный вес снизился на 5,36% в 2011 году по сравнению с 2010 годом и на 7,14% в 2012 году по сравнению с 2011 годом.

Удельный вес работников с общим средним образованием в 2011 году по сравнению с 2010 годом увеличился на 0,89%.

Таким образом, в 2012 году образовательный уровень работников высокий и представлен высшим и средним специальным образованием.

Численность работников в возрасте 30-39 лет снизилась в 2011 году по сравнению с 2010 годом на 2 чел. или 22,2%, а в 2012 году по сравнению с 2011 годом на 2 чел. или на 28,6%.

Численность работников в возрасте 40-49 лет снизилась в 2011 году по сравнению с 2010 годом на 1 чел. или 33,3%, а в 2012 году по сравнению с 2011 годом на 1 чел. или на 50,0%.

Работники в возрасте 50-59 лет в 2010 году отсутствуют в организации. В 2011 году по сравнению с 2010 годом численность работников в возрасте 50-59 лет увеличилась на 1 чел., а в 2012 году по сравнению с 2011 годом на 1 чел. или в 2 раза.

Анализ работников по половому составу проведем в таблице 2.9.


Таблица 2.9 - Состав работников ОДО «Магпром» полу за 2010 - 2012 гг.

Показатели

2010 г.

2011 г.

2012 г

Отклонение по численности, чел. (+/-)

Отклонение по удельному весу, п.п. (+/-)


чел.

в % к итогу

чел.

в % к итогу

чел.

в % к итогу

2011 г. От 2010 г.

2012 г. От 2011 г.

2011 г. К 2010 г.

2012 г. К 2011 г.

 

Всего работников, чел. в т.ч.

16

100,00

14

100,00

11

100

-2

-3

0,00

0,00

 

женщин

6

37,50

6

42,86

4

36,36

0

-2

5,36

-6,49

 

мужчин

10

62,50

8

57,14

7

63,64

-2

-1

-5,36

6,49

 


Наибольший удельный вес занимают мужчины 62,5% в 2010 году, и он снизился в 2011 году по сравнению с 2010 годом на 5,36 %, а в 2012 году по сравнению с 2011 годом увеличился на 6,49%. Соответственно на удельный вес женщин в ОДО «Магпром» приходится 37,50% в 2010 году, 42,86% в 2011 году и 36,36% в 2012 году.

По показателям движения трудовых ресурсов можно судить об условиях труда работников и оплате труда, что является важным фактором желания работника работать, совершенствоваться на рабочем месте.

В 2010 году уволен 1 работник, соответственно коэффициент оборота рабочей силы по увольнению составляет 0,083, а коэффициент постоянства 0,917. В 2011 году движения трудовых ресурсов не происходит. В 2012 году 1 работник уволен и 1 работник принят на место уволенного, следовательно, коэффициент оборота по увольнению и приему равен и составляет 0,091. Коэффициент постоянства рабочей силы в 2011 году по сравнению с 2010 годом увеличился на 0,083, однако в 2012 году снижается на 0,182 и равен 0,818. Движение кадров в 2010 году связано с желанием работника перейти на другую более оплачиваемую работу, а в 2012 году обусловлено увольнением работника в связи со сменой места жительства.

Рассмотрев состав и движение трудовых ресурсов ОДО «Магпром», необходимо провести оценку эффективности использования трудовых ресурсов в следующем разделе дипломной работы.

.3 Оценка эффективности использования трудовых ресурсов ОДО «Магпром» и средств, направляемых на оплату их труда

Проведем анализ динамики производительности труда в стоимостной оценке за три года. Результаты расчетов представим в таблице 2.10.

Таблица 2.10 - Динамика производительности труда ОДО «Магпром» за 2010-2012 гг.

Показатель

Годы

Темп роста, %


2010

2011

2012

2011 г. к 2010 г.

2012 г. к 2011 г.

2012 г. к 2010 г.

 

Выручка от реализации товаров, продукции, работ, услуг, млн р. в фактических ценах

634

1115

1412

175,9

126,6

222,7

 

в сопоставимых ценах

634

676,2

425,6

106,7

62,9

67,1

 

Среднесписочная численность работников, чел.

12

11

11

91,7

100,0

91,7

 

Производительность труда (среднегодовая выработка на 1 работающего), тыс. р. в фактических ценах

52,833

101,364

128,364

191,9

126,6

243,0

 

в сопоставимых ценах

52,833

61,473

38,691

116,4

62,9

73,2

 


Выручка от реализации товаров, продукции, работ, услуг ОДО «Магпром» в фактических ценах в 2011 году увеличилась на 75,9% по сравнению с 2010 годом, в 2012 году по сравнению с 2011 годом на 26,6%. Изменение выручки от реализации товаров, продукции, работ, услуг в фактических ценах за три года происходит в 2,227 раза. Производительность труда в фактических ценах увеличивается на 91,9% в 2011 году и на 26,6% в 2012 году, по сравнению с 2010 годом в 2,43 раза.

Выручка от реализации товаров, продукции, работ, услуг ОДО «Магпром» в сопоставимых ценах в 2011 году увеличивается на 6,7% по сравнению с 2010 годом, в 2012 году по сравнению с 2011 годом снижается на 37,1 %, по сравнению с 2010 годом на 32,9 %. Производительность труда в сопоставимых ценах увеличивается на 16,4 % в 2011 году и сокращается на 37,1% в 2012 году.

Проведем анализ динамики производительности труда в стоимостной оценке за три года по объему производства продукции. Индексы издательской деятельности: в 2011 году к 2010 году - 1,098, в 2012 году к 2011 году - 1,008 согласно данных национального статистического комитета Республики Беларусь. Результаты расчетов оформим в таблице 2.11.

Таблица 2.11 - Динамика производительности труда по объему производства продукции, работ, услуг ОДО «Магпром» за 2010-2012 гг.

Показатель

Годы

Отклонение, (+/-)


2010

2011

2012

2011 г. к 2010 г.

2012 г. к 2011 г.

2012 г. к 2010 г.

Объем производства продукции (работ, услуг), млн р. в фактических ценах

621

1105

1397

484

292

776,0

в сопоставимых ценах

621

1006

1252

385

246

631,0

Прибыль от реализации товаров, продукции, работ, услуг, млн р.

33

102

41

69

-61

8

Чистая прибыль, млн р.

24

80

31

56

-49

7

Среднесписочная численность работников, чел.

12

11

11

-1

0

-1,0

Производительность труда (среднегодовая выработка на 1 работающего), тыс. р. в фактических ценах

51,750

100,455

127,000

48,705

26,545

75,25

в сопоставимых ценах

51,750

91,455

113,81

39,705

22,364

62,068

Производительность труда по прибыли от реализации товаров, продукции, работ, услуг, млн р.

2,750

9,273

3,727

6,523

-5,545

0,977

Производительность труда по чистой прибыль, млн р.

2,000

7,273

2,818

5,273

-4,455

0,818

Объем производства продукции (работ, услуг) ОДО «Магпром» в фактических ценах в 2011 году увеличился на 484 млн р. по сравнению с 2010 годом, в 2012 году по сравнению с 2011 годом на 292 млн р. Объем производства продукции (работ, услуг) в сопоставимых ценах в 2012 году по сравнению с 2011 годом возрос на 246 млн р., а по сравнению с 2010 годом на 631 млн р. Производительность труда в фактических ценах увеличивается на 48,705 млн р. в 2011 году и на 26,545 млн р. в 2012 году, по сравнению с 2010 годом на 75,25 млн р. Производительность труда в сопоставимых ценах увеличивается на 39,705 в 2011 году и на 22,364 млн р. в 2012 году.

Производительность труда по прибыли от реализации товаров, продукции, работ, услуг увеличилась на 6,523 млн р. в 2011 году по сравнению с2010 годом и сократилась на 5,545 млн р. в 2012 году по сравнению с 2011 годом. Производительность труда по чистой прибыли увеличилась на 5,273 млн р. в 2011 году по сравнению с 2010 годом и сократилась на 4,455 млн р. в 2012 году по сравнению с 2011 годом.

Рассчитаем влияние на производительность труда (ПТ) фондоотдачи основных средств (ФО) и фондовооруженности (ФВ) исходя из следующей факторной модели:

ПТ = ФО ∙ ФВ(2.1)

Изменение производительности труда определяется по формуле 2.2:

ΔПТ = ПТ1 - ПТ0(2.2)

- в 2011 году по сравнению с 2010 годом

ΔПТ = 100,455 - 51,75 = 48,705 млн р.

в 2012 году по сравнению с 2011 годом

ΔПТ = ΔПТ = 127,0 - 100,455 = 26,545 млн р.

в том числе за счет изменения:

а) уровня фондоотдачи по формуле 2.3:

ΔПТ (ФО) = (ФО1 - ФО0) ∙ ФВ1(2.3)

в 2011 году по сравнению с 2010 годом

ΔПТ = (36,833 - 19,714) ∙ 2,727 = 46,684 млн р.

в 2012 году по сравнению с 2011 годом

ΔПТ = (62,089 - 36,833) ∙ 2,045 = 51,649 млн р.

а) влияния фондовооруженности труда определяется по формуле 2.4:

ΔПТ (ФВ) = (ФВ1 - ФВ0) ∙ ФО0(2.4)

в 2011 году по сравнению с 2010 годом

ΔПТ = (2,727 - 2,625) ∙ 19,714 = 2,011 млн р.

в 2012 году по сравнению с 2011 годом

ΔПТ = (2,045 - 2,727) ∙ 36,833 = - 25,120 млн р.

Данные расчетов представим в таблице 2.12.

Показатель

Отклонение (+;-)


2011 г. от 2010 г.

2012 г. от 2011 г.

Изменение производительности труда в целом

48,705

26,545

В том числе за счет изменения: уровня фондоотдачи

46,684

51,649

фондовооруженности труда

2,011

- 25,120


Производительность труда одного работающего ОДО «Магпром» в 2011 году по сравнению с 2010 годом увеличилась на 48,705 млн р., в 2012 году по сравнению с 2011 годом - на 26,545 млн. р.

Увеличение фондоотдачи на 17,119 р. в 2011 году способствовало росту производительности труда на 46,684 млн р., а увеличение фондоотдачи в 2012 году по сравнению с 2011 годом на 25,256 р. привело к росту производительности труда на 51,649 млн р.

Рост фондовооруженности работников в 2011 по сравнению с 2010 годом на 0,102 р. способствовал увеличению производительности труда на 2,011 млн р., а в 2012 году по сравнению с 2011 годом снижение фондовооруженности на 0,682 млн р. привело к снижению производительности труда на 25,120 млн р.

Определим влияние факторов, связанных с эффективностьюиспользования трудовых ресурсов. Для анализа применяем формулыдля расчета изменения объема производства продукции (работ, услуг) за счет изменения:

а) эффективности использования трудовых ресурсов (уровня производительности труда):

∆В(ПТ) = (ПТ1 - ПТ0) ∙ 1,(2.5)

где ПТ - производительность труда работников, млн р.

 - среднесписочная численность работников, чел.

- в 2011 году по сравнению с 2010 годом

∆ОП(ПТ) = (100,455 - 51,750) ∙ 11 = 536,0 млн р.

- в 2012 году по сравнению с 2011 годом

∆ОП(ПТ) = (127,0 - 100,455) ∙ 11 = 292,0 млн р.

б) среднесписочной численности работников:

∆В() = (1 - 0) ∙ПТ0(2.6)

в 2011 году по сравнению с 2010 годом

∆ОП() = (11 - 12) ∙ 51,75 = - 52,0 млн р.

- в 2012 году по сравнению с 2011 годом

∆ОП() = (11 - 11) ∙ 100,455 = 0 млн р.

Данные расчетов представлены в таблице 2.13.

Таблица 2.13 - Факторный анализ объема производства продукции (работ, услуг) ОДО «Магпром» за 2010-2012 гг.

Показатель

Отклонение (+;-)


2011 г. от 2010 г.

2012 г. от 2011 г.

Изменение объема производства продукции (работ, услуг) в целом

484

292

В том числе за счет изменения: эффективности использования трудовых ресурсов

536,0

292,0

среднегодовой численности работников

-52,0

0


Рост производительности труда работников на 48,705 млн р. в 2011 году по сравнению с 2010 годом способствовал увеличению объема производства продукции (работ, услуг) на 536,0 млн р., а в 2012 году по сравнению с 2011 годом рост производительности труда на 26,545 млн р. привел к увеличению объема производства продукции (работ, услуг) на 292,0 млн р.

Сокращение среднегодовой численности работников на 1 чел. способствовало снижению объема производства продукции (работ, услуг) на 52,0 млн р. в 2011 году по сравнению с 2010 годом.

Фонд заработной платы увеличился в 2011 году по сравнению с 2010 годом на 28,5% и в 2012 году по сравнению с 2011 году на 67,9% соответственно в 2011-2012 гг. Среднесписочная численность в 2010 году составила 12 чел., на протяжении 2011-2012 гг. не изменяется и составила 11 человек.

Производительность труда работника увеличилась в 2011 году по сравнению с 2010 годом на 94,1%, а в 2012 году по сравнению с 2011 годом на 26,4%, следовательно, за три года производительность труда увеличилась в 2,454 раза. Благоприятным является коэффициент опережения (соотношение темпов роста производительности труда и средней заработной платы) в 2010 году и 2012 году выше единицы, что свидетельствует об эффективной системе оплаты труда работников ОДО «Магпром».

Рассчитаем экономию (перерасход) фонда заработной платы по формуле 2.11:

м (2.7)

где  - индекс роста среднегодовой заработной платы работника;

 - индекс роста производительности труда;

ФЗП - фонд заработной платы отчетного года, млн р.

в 2011 году по сравнению с 2010 годом:

в 2012 году по сравнению с 2011 годом:

Благоприятным является экономия средств на оплату труда в 2012 году в размере 14,1 млн р. В 2011 году перерасход средств на оплату труда составляет 47,8 млн р.

Проведем факторный анализ фонда заработной платы. Для этого необходимо определить показатели, характеризующие изменение фонда заработной платы. Расчет исходных показателей представим в таблице 2.14.

Таблица 2.14 - Показатели, характеризующие изменение фонда заработной платы ОДО «Магпром» в 2010-2012 гг.

Показатель

Годы

Абсолютное отклонение, (+/-)


2010

2011

2012

2011 г. к 2010 г.

2012 г. к 2011 г.

2012 г. к 2010 г.

Объем производства продукции (работ, услуг), млн р.

621

1105

1397

484

292

776

2 Фонд заработной платы, млн р.

150,9

193,9

325,5

43

131,6

174,6

3 Среднесписочная численность работников, чел.

12

11

11

-1

0

-1

4 Уровень фонда заработной платы, % к объему производства продукции

24,300

17,550

23,300

-6,750

5,750

-1,000

5 Среднегодовая заработная плата работающего, млн р.

12,580

17,630

29,590

5,050

11,960

17,010


Уровень фонда заработной платы, % к объему производства продукции составляет 24,30% в 2010 году, в 2011 году снижается до 17,55% и увеличивается в 2012 году до 23,30%, т.е. на 5,75 п.п. В целом за три года исследуемый показатель сократился на 1,0 п.п.

Определим влияние на динамику фонда заработной платы изменения следующих факторов по нижеприведенным формулам:

а) уровня фонда заработной платы:

 (2.8)

где У - уровень фонда заработной платы к объему производства, %

ОП - объем производства, млн р.

- в 2011 году по сравнению с 2010 годом:

- в 2012 году по сравнению с 2011 годом:

б) объема производства продукции (работ, услуг):

 (2.9)

- в 2011 году по сравнению с 2010 годом:

- в 2012 году по сравнению с 2011 годом:

в) среднегодовой заработной платы:

 (2.10)

где  - среднегодовая заработная плата работника, млн р.

 - среднесписочная численность работников, чел.

- в 2011 году по сравнению с 2010 годом:

в 2012 году по сравнению с 2011 годом:

г) среднесписочной численности работников:

 (2.11)

- в 2011 году по сравнению с 2010 годом:

- в 2012 году по сравнению с 2011 годом:

Данные расчетов представлены в таблице 2.15.

Таблица 2.15 - Влияние факторов на изменение фонда заработной платы ОДО «Магпром» в 2010-2012 гг.

Показатель

Отклонение (+;-)


2011 г. от 2010 г.

2012 г. от 2011 г.

Изменение фонда заработной платы, всего

43

131,6

В том числе за счет изменения: уровня фонда заработной платы

-74,6

80,3

объема производства продукции

117,6

51,3

среднегодовой заработной платы

55,6

131,6

среднегодовой численности работников

12,58

0


Снижение фонда заработной платы на 74,6 млн р. в 2011 году по сравнению с 2010 годом обусловлено снижением уровня фонда заработной платы на 6,75%. Рост уровня фонда заработной платы в 2012 году по сравнению с 2011 годом на 5,75% способствовал увеличению фонда заработной платы на 80,3 млн р. Увеличение объема производства продукции (работ, услуг) в 2011-2012 гг. на 484 млн р. и 292 млн р. соответственно благоприятно повлияло на фонд заработной платы, который возрос на 117,6 млн р. в 2011 году по сравнению с 2010 годом и 51,3 млн р. в 2012 году по сравнению с 2011 годом.

Среднегодовая заработная плата увеличивается, что является фактором роста фонда заработной платы на 55,6 млн р. в 2011 году и на 131,6 млн р. в 2012 году. Сокращение среднесписочной численности работников на 1 чел. в 2011 году привело к снижению фонда заработной платы на 12,58 млн р.

Объем производства продукции (работ, услуг) на 1 р. заработной платы в увеличивается на 36,9% и на 24,6% в 2011-2012 гг. по сравнению с 2010-2011 гг.

Сумма прибыли от реализации на 1 р. заработной платы увеличилась в 2011 году по сравнению с 2010 годом в 2,4 раза, а в 2012 году по сравнению с 2011 годом сократилась на 76,1%.

Сумма чистой прибыли на 1 р. заработной платы увеличилась в 2011 году по сравнению с 2010 годом в 2,6 раза, а в 2012 году по сравнению с 2011 годом сократилась на 76,9%.

Можно отметить, что в ОДО «Магпром» недостаточно эффективно используется фонд заработной платы.

Далее проведем оценку использования фонда рабочего времени на примере бухгалтера ОДО «Магпром» с помощью индивидуальной фотографии рабочего времени методом непосредственных замеров (таблица 2.24), отметив время по его использованию:

ПЗ - подготовительно-заключительное время;

Оп - оперативная работа;

ПНТ - потери по организационно-техническим причинам;

ПНД - потери рабочего времени по вине работника.

Таблица 2.16 - Фотография рабочего дня бухгалтера ОДО «Магпром»

 

Затраты времени

Текущее время, ч-мин

Продолжительность, мин

Индекс

 

Начало наблюдения

8:55

-

-

 

Включение компьютера. Загрузка личных параметров

9:00

3

ПЗ

 

Пятиминутка

9:10

10

ПЗ

 

Личный разговор по телефону

9:20

7

ПНД

 

Анализ расхода материалов на производство продукции за отчетный период

9:27

30

ОП

 

Уход с рабочего места

9:57

3

ОТЛ

 

Перерыв на чай

10:00

15

ПНД

 

Анализ расхода материалов на производство продукции за отчетный период

10:15

76

ОП

Разговор с директором по работе

11:31

25

ПНТ

Личный разговор по телефону

11:34

3

ПНД

Формирование себестоимости по видам услуг

11:56

22

ОП

Обед

12:30

-

-

Разговор с поставщиком

13:00

15

ОП

Формирование заявок

13:15

35

ОП

Личный разговор по телефону

13:50

4

ПНД

Уход с рабочего места

13:54

8

ОТЛ

Оплата полученных счетов

14:02

68

ОП

Личный разговор по телефону

15:10

8

ПНД

Заполнение государственной статистической отчетности

15:18

76

ОП

Перерыв на чай

16:34

13

ПНД

Работа с платежными документами

16:47

33

ОП

Звонок по работе

17:20

6

ПНТ

Личный разговор по телефону

17:26

4

ПНД

Выключение компьютера

17-30

5

ПЗ

Уход с работы

17-35

-

-


Далее составим баланс рабочего времени бухгалтера ОДО «Магпром» в таблице 2.17.

Таблица 2.17 - Фактический баланс рабочего времени

Затраты времени

Продолжительность

Индекс


мин

%


Подготовительно-заключительное время

25

5,38

ПЗ

Оперативная работа

355

76,34

ОП

Потери по организационно-техническим причинам

31

6,67

ПНТ

Потери рабочего времени по вине работника

54

11,61

ПНД

Итого

465

100,0

-


Основной удельный вес в структуре фактического баланса рабочего времени бухгалтера ОДО «Магпром» занимает оперативная работа 76,34%, однако данное значение не достаточно высокое и характеризует недостаточно эффективное использование рабочего времени. Подготовительно-заключительное время составляет 5,38%, потери по организационно-техническим причинам 6,67%, а потери рабочего времени по вине работника составляют 11,61%, что очень неблагоприятно сказывается на деятельности организации. Рассчитаем процент производительности труда при устранении прямых потерь:

∆ПрТ = Тпнт + Тпнд / Топ. (2.12)

∆ПрТ = 31 + 54 / 355 = 23,66

Следует отметить, что работа бухгалтера в такой маленькой организации как ОДО «Магпром» не слишком трудоемкая, поэтому все операции совершаются неспешно.

Средняя численность работников, по которым отражаются данные об использовании рабочего времени сократилась на 1 чел. и составляет 11 человек в 2011 году по сравнению с 2010 годом и не изменяется в 2012 году по сравнению с 2011 годом.

Число человеко-дней явок и неявок на работу в 2011 году по сравнению с 2010 годом снизилось на 363,8 дней (8,3%) и увеличилось на 10,7 дней или 0,3% в 2012 году по сравнению с 2011 годом. Соответственно число отработанных человеко-дней также снизилось на 226,3 дня в 2011 году по сравнению с 2010 годом и увеличилось на 6,6 дня с в 2012 году по сравнению с 2011 годом.

Структуру рабочего времени представим в таблице 2.18.

Таблица 2.18 - Структура рабочего времени работников ОДО «Магпром» за 2010-2012 гг.

Показатель

Годы

Абсолютное отклонение, (+/-)


2010

2011

2012

2011 г. от 2010 г.

2012 г. от 2011 г.

 

Число человеко-дней явок и неявок на работу, в т.ч.

100,00

100,00

100,00

0,00

0,00

 

отработанное время

62,21

61,37

61,18

-0,83

-0,19

 

выходные и праздничные дни

26,55

26,92

27,37

0,37

0,45

 

неявки по уважительным причинам

10,96

11,29

11,06

0,33

-0,23

 

потери рабочего времени в т.ч.

0,28

0,42

0,39

0,14

-0,03

 

отпуска без сохранения заработной платы по семейно-бытовым и другим уважительным причинам, предоставляемые по договоренности между работников и нанимателем

0,12

0,18

0,19

0,02

 

прогулы и другие неявки из-за нарушения трудовой дисциплины

0,06

0,07

0,04

0,01

-0,03

 

целодневные (целосменные) простои

0,11

0,18

0,15

0,07

-0,02

 


Основной удельный вес в структуре человеко-дней явок и неявок на работу занимает отработанное время 62,21% в 2011-2012 гг. и сокращается ежегодно на 0,83 п.п. и 0,19 п.п., что является неблагоприятным дня деятельности организации. Значительно увеличился удельный вес потерь рабочего времени в 2011-2012 гг. по сравнению с 2010 годом.

Таким образом, по результатам исследования можно отметить снижение среднесписочной численности работников ОДО «Магром» в 2010-2012 гг., коллектив организации молодой, имеющий высокий уровень образования. Благоприятным для организации является рост производительности труда и экономия фонда заработной платы в 2012 году. К числу отрицательных изменений можно отнести снижение прибыли в 2012 году, в результате чего снизились показатели рентабельности, производительности труда по прибыли.

Анализ структуры рабочего времени отражает рост удельного веса потерь рабочего времени.

Негативные изменения, выявленные по результатам проведенного анализа, вызывают необходимость в поиске резервов и разработке направлений повышения эффективности использования трудовых ресурсов ОДО «Магпром».

3. Резервы и направления повышения эффективности использования трудовых ресурсов ОДО «Магпром»

Резервами повышения эффективности использования трудовых ресурсов является рост производительности труда. Производительность труда наряду с такими важнейшими функциями предприятия, как маркетинг и инновации определяет результат его деятельности - получение прибыли.

Повышение производительности труда проявляется в том, что доля живого труда в изготовляемой продукции уменьшается, а доля прошлого труда увеличивается, при этом абсолютная величина затрат живого и овеществленного труда на единицу продукции сокращается. В планировании повышения производительности труда используются абсолютные показатели, характеризующие уровень производительности труда, и относительные, определяющие динамику ее роста.

В практике планирования роста производительности труда в зависимости от цели и объекта наибольшее распространение получили два метода:

         метод прямого счета на основе трудоемкости (выработки) производственной программы. Данный метод в большей степени применяется при планировании производительности труда по участкам, цехам, рабочим местам;

         метод планирования производительности труда по технико-экономическим факторам, применяется в целом по организации.

Продукцию создают не машины и технологии, а люди, которые ими управляют, поэтому конечный результат работы всего предприятия зависит и от организации труда в конкретном подразделении (или на рабочем месте), и от усилий каждого работника. Задача руководителей всех уровней - заинтересовать людей, мотивировать их к эффективной деятельности, а также организовать рабочие процессы таким образом, чтобы каждый работник всегда стремился произвести больше продукции с наименьшими затратами.

Повышение производительности труда - процесс постоянный. Основные его направления:

. Модернизация оборудования.

. Повышение квалификации работников.

. Совершенствование организации производства и труда.

. Повышение качества управления.

Первое и второе направления требуют инвестиций (нередко значительных), они затратны «по определению». Менее дорогостоящим и в то же время одним из самых эффективных (а в условиях кризиса - решающим) является третье направление - совершенствование организации производства и труда, за которое на современных предприятиях ответственны не только линейные менеджеры, но и специалисты отдела по управлению персоналом.

Для оптимизации затрат на производство за счет более эффективного использования человеческих ресурсов необходимо:

         проанализировать затраты времени на выполнение работ и услуг;

         пронормировать основные виды работ и типовые операции;

         разработать внутренние стандарты работ;

         рассчитать оптимальную численность персонала (это поможет выявить скрытые резервы сокращения списочной численности);

         найти источники потерь рабочего времени и снизить непроизводительные затраты времени;

         определить резервы повышения производительности труда;

         провести ревизию системы оплаты труда и, при необходимости, изменить базовые принципы вознаграждения (они должны соответствовать стратегии компании на данном этапе, и быть жестко «привязаны» к конечному результату).

Как было отмечено во второй главе, бухгалтер ОДО «Магпром», выполняя основную работу имеет достаточно свободного времени на личные нужды, дела, разговоры, в результате чего предлагается перевести бухгалтера на 0,5 ставки и на ставку специалистом по продажам, и повысить заработную плату на 25 %, тогда заработная плата составит:

* 1,25 = 5000000 р.

При этом, уволить специалиста по продажам, следовательно, ОДО «Магпром» за год экономит:

на заработной плате: 3 500 000 * 12 = 42000000 р.;

на отчислениях в ФСЗН и Белгосстрах: 42000000 * 0,35 = 14 700 000р.

Данное мероприятие позволит повысить производительность труда бухгалтера, сократить время работы компьютера, что сократит расходы на электроэнергию.

Руководителями в основном используются банальные формы стимулирования: заработная плата; дополнительные выплаты; обучение; членство в профорганизациях; оплачиваемые невыходы; пенсии; отпуск; дополнительные выходные дни.

Сформулируем ряд новых практических рекомендаций для организации стимулирования работников в ОДО «Магпром».

Таблица 3.1 - Практические рекомендации по стимулированию работников ОДО «Магпром»

Практические рекомендации по повышению стимулов к труду

Содержание рекомендации

Учреждение приза «Здоровье»

В учреждении в течении года ведется учет заболеваемости ОРЗ и заболеваниями, близкими к нему по тяжести и последствиям. При подведении итогов призами награждаются работники, которые меньше всех отсутствовали на работе из-за болезней, что дает ощутимую выгоду учреждению

Введение системы сдвинутого графика работы

Работники учреждения имеют возможность в течение недели (месяца) свободно распоряжаться своим рабочим временем, что удобно в быту, устраняет излишнюю напряженность на производстве в связи с невозможностью в нужное время решить свои бытовые проблемы, снимает проблему «самоволок» и скрытую потерю рабочего времени

Премирование временем

Работникам предоставляется возможность выполнить положенную норму в то время, в которое они способны это сделать. Излишки рабочего времени работник может использовать по своему назначению

Введение платы за любое рационализаторское предложение

Принимаются все предложения и сразу выплачивается небольшое вознаграждение


Указанные новые методы стимулирования, в значительной мере будут повышать производительность труда, поскольку производственный процесс (дневной план) не всегда занимает 8 часов рабочего дня, в результате работник расслабляется и выполняет его достаточно медленно, отвлекаясь, что является негативным и в случае срочного заказа, оборудование может быть занято выполнением планового (то, что могло выполниться раньше).

Еще одним из способов стимулирования, предлагаемых в ОДО «Магпром» является учет личных продаж специалистов по продажам.

Для этого отметка о поиске потенциального покупателя и реализации ему продукции организации ставится в книге учета продаж, и по результатам месяца ведется подсчет, на основании которого премируется работник. За каждые 15 млн р. реализованной продукции, работнику перечисляется 100 тыс., что будет стимулировать работников к более внимательному отношению к клиенту, росту объемов продаж, поиску новых клиентов что увеличит выручку от реализации на 10%. Выполним расчет в таблице 3.2.

Таблица 3.2 - Показатели премирования при росте продаж на 10% за 2012 год

Показатель

Значение

Прирост выручки от реализации, млн р.

1412 * 0,1 = 141,2

Необходимая сумма премии на каждые 15 млн р., млн р.

1553,2 / 15 * 50 = 52

Экономический эффект, млн р.

141,2 - 52 =89,2


Исходя из расчетов, можно сделать вывод о том, что сумма в размере 100 тыс. за каждые 15 млн р. реализованной продукции будет стимулировать специалистов по продажам к росту продаж.

В процессе исследования на предприятии можно выделить основные негативные моменты.

Согласно приложенной фотографии рабочее место организовано не достаточно рационально. Узкие проходы, замедляют движение работников, что создает неудобство. Неудобное расположение оборудования, используемого сырья (бумага, катриджи) замедляет производственный процесс, что непосредственно ведет к психоэмоциональному дискомфорту и усталости работника, а это негативно сказывается на деятельности организации.

Также наблюдаются высокие коэффициенты износа основных средств, в результате чего предлагается рационализовать рабочие места персонала, установить стеллажи, облегчить доступ к оборудованию.

Рассчитаем какие затраты понесет ОДО «Магпром» на переоборудование рабочего места печатника:

стеллажи, шкафы, тумбы для печатного оборудования ОАО «Пинскдрев»: 11 млн р.;

замена старого печатного станка новым фирмы Canon, с более высокой пропускной способностью количества листов за минуту (на 20 листов): 7 млн р.

Предложенные мероприятия улучшат не только организацию рабочего места, но и позволят:

сэкономить на электроэнергии, за счет печати одного и того же количества листов на новом оборудовании (сокращение времени подключения к электросети) в размере 70 тыс. р. в месяц;

увеличить производительность труда на 7% за счет рационально организованного рабочего места.

Таким образом, рассчитаем дополнительный доход от внедрения мероприятия от выручки от реализации:

* 7 / 100 = 78 млн р.

Эффект от внедрения представленного мероприятия составит:

- 11000 -7000 + 70 * 12 = 59160 тыс. р.

В результате внедрения данного мероприятия, увеличится производительность труда работников и составит:

(1412 + 59,2) / 11 = 133,7 млн р.

Что на 5,3 млн р. (133,7 - 128,4) выше, чем в 2012 году.

Еще одним направлением по совершенствованию рабочего процесса является внедрение календарно-плановых расчетов производства.

На внутрицеховом уровне оперативно-календарного планирования на полиграфическом предприятии разрабатываются графики загрузки оборудования и плотности работ.

График загрузки оборудования на полиграфических предприятиях строится для печатных цехов и поточных линий. Этот вид графиков позволяет обеспечить рациональную организацию производственного процесса в пространстве.

Графики загрузки оборудования составляются с учетом:

-       сформированного оперативного плана подразделения предприятия на заданный календарный отрезок времени;

-       фактически достигнутого уровня производительности машин;

-       точных расчетов затрат времени на изготовление продукции на данной операции;

-       данных, содержащихся в графиках прохождения заказов в производстве;

-       продолжительности смены в часах и коэффициента сменности;

-       фронта работ на операции.

Назначение графика загрузки оборудования - обеспечение полной и равномерной загрузки печатных машин и поточных линий и рациональное размещение заказов по машинам (линиям). Графики загрузки оборудования позволяют согласовывать движение изданий в производстве, планировать и контролировать работу оборудования, определять время его высвобождения для выполнения последующих очередных заказов. В ходе проведения календарно-плановых расчетов на внутрицеховом уровне используются методы объемно-календарного планирования.

Проведение расчетов графика загрузки печатных машин несколько отличается от расчета графика загрузки поточных линий. Основное отличие состоит в том, что в первом случае расчеты проводятся в машиночасах, а во втором - в натуральных единицах.

Порядок построения графика загрузки печатных машин следующий:

рассчитывается загрузка в машиночасах для каждого заказа, планируемого к изготовлению в данном временном интервале;

проверяется возможность изготовления продукции заданного объема в запланированные сроки. Для этого загрузка в машиночасах запланированного перечня заказов сравнивается с плановым фондом времени работы оборудования на участке на заданный календарный отрезок времени. График загрузки печатных машин будет более точным, если при его составлении учесть плановые остановки оборудования, связанные с его техническим обслуживанием;

-       выбирается фронт работ на операции для изготовления каждого заказа.

-       заказы выстраиваются в очередь с учетом сроков их изготовления либо с использованием правил приоритетности запуска;

-       строится график загрузки оборудования по машинам;

-       производят уплотнение графика и расчет недоиспользованного времени.

Разработка методических основ формирования оптимальных календарных планов-графиков предполагает выбор математической модели, полностью отражающей производственный процесс на полиграфическом предприятии. В частности, при этом важно учитывать порядок выполнения операций. Построение в этом случае адекватной модели невозможно без сетевого графика.

Использования системы сетевого планирования и управления (СПУ) в качестве математической модели сложного производственного процесса изготовления полиграфической продукции ведет к переводу экономических расчетов на строгие математические основы. Сеть обеспечивает возможность осуществления взаимоувязки и координации движения всего множества заказов, находящихся в производстве. При этом отдельные заказы (их маршруты) выступают как элементы единой системы, которая может быть подвергнута всестороннему анализу. Сетевой граф наглядно отражает существующие между операциями производственного процесса взаимосвязи, позволяет довольно точно определять обязанности между исполнителями.

Сетевая модель трактуется как модель комплекса работ, обязательной составляющей которой является сеть комплекса. Сеть комплекса рассматривается как абстрактное понятие, как ориентированный граф, отображающий отношения предшествования и непосредственного предшествования между работами комплекса. Допускается существование двух равноправных типов сетей, в одном из которых работам комплекса сопоставлены дуги (ветви) графа, а в другом - вершины графа. В отечественной литературе наибольшее распространение получили сетевые модели типа работы-дуги.

Несмотря на их широкую применимость, сетевые модели типа работы-дуги обладают одним очень существенным недостатком. При осуществлении параллельного или параллельно-последовательного вида движения предметов труда по операциям производственного процесса сети типа работы-дуги требуют введения большого количества фиктивных операций. А это значительно усложняет сеть, увеличивает объем требуемой информации при подготовке данных для расчета параметров сети.

На полиграфическом предприятии организована партионная передача предметов труда с операции на операцию производственного процесса, что способствует сокращению длительности цикла продукции, но ведет к усложнению сетевой модели и расчетов сети.

Производственный процесс изготовления сложной продукции на полиграфическом предприятии может быть представлен сетевым графом без петель и контуров. Таким образом, выполняется основное требование, предъявляемое к моделируемому процессу в системе СПУ.

С учетом специфики полиграфического производства, которая проявляется в повторяемости технологических маршрутов движения заказов, в партионном перемещении предметов труда по операциям производственного процесса, для планирования прохождений изданий в производстве целесообразно применять сетевую модель типа работы-вершины. Сетевой график этого типа, называемый сетью предшествования, более адекватно, чем традиционная сетевая модель типа работы-ветви, моделирует повторяющиеся и параллельно выполняемые операции.

Основным элементом сетей типа работы-вершины является работа (операция). Связи между работами изображаются дугами. Сетевой график, построенный по типу работы-узлы, также как и в сетях типа работы-ветви, ориентирован слева направо. Относительно компактное представление производственного процесса в условиях партионной передачи предметов труда с операции на операцию в сетях типа работы-вершины возможно благодаря тому, что в сетях этого типа дуги указывают не только последовательность операций, но и несут определенную смысловую нагрузку. При этом могут указываться связи между началами работ, а также между их окончаниями. При составлении сетевого графика, моделирующего некоторый производственный процесс, указывается время опережения и запаздывания для начала и окончания каждой работы, при этом используются следующие характеристики: время запаздывания для связи окончание-окончание; время опережения для связи начало-начало; время запаздывания для связи окончание-начало.

Особенность задач календарного планирования заключается в наличии множественности возможных вариантов решений и, следовательно, возможности выбора наилучшего из них. Для того чтобы найти оптимальное расписание для задачи календарного планирования в общей постановке, необходимо оценить несколько вариантов плана.

В условиях полиграфического производства возможны два варианта постановки задачи оптимизации. Первая из них предусматривает достижение максимального конечного результата при заданных ресурсах, а вторая - заданного конечного результата при минимальных затратах производственных ресурсов. Задача построения оптимальных планов-графиков рациональной организации производства может быть сведена к первому варианту.

Последовательность решения задачи оптимального управления производством включает в себя постановку задачи; определение цели; выбор критерия оптимальности; математическую формулировку задачи; выбор эффективного экономико-математического метода; разработку алгоритма программы и расчет.

В ходе оперативного управления производством на полиграфических предприятиях решаются два типа оптимизационных задач. В задачах первого типа определяется оптимальный порядок запуска заказов в производство с целью получения минимальной длительности производственного цикла отдельных изданий. В ходе рассмотрения такой задачи решается проблема оптимальной организации производственного процесса во времени. Для решения этого типа задач используются модели объемно-календарного планирования, а в качестве оптимизационного метода - один из методов теории расписаний.

Задачи второго типа заключаются в оптимизации использования производственных ресурсов предприятия с целью достижения рациональной организации производственного процесса в пространстве. Такие задачи решаются с использованием модели объемного планирования и методов линейного программирования.

В традиционной постановке задачи календарного планирования минимизируется один из следующих критериев оптимальности: общее время обработки всех деталей (длительность совокупного производственного цикла); суммарное пролеживание деталей; суммарный простой станков; суммарное отклонение от плановых сроков окончания обработки заказов; средняя длительность пребывания заказа в обработке.

Критерием оптимальности, наиболее полно отражающим требование наилучшего использования производственных ресурсов (при обеспечении минимальных сроков выпуска изданий), основного требования, предъявляемого при решении задач календарного планирования, является минимум длительности совокупного производственного цикла изготовления месячного портфеля заказов. Чем меньше значение этого показателя, тем плотнее составлено расписание, а значит, лучше используются производственные мощности предприятия, его материальные и трудовые ресурсы. В свою очередь, длительность совокупного производственного цикла в значительной мере зависит от очередности обработки заказов на отдельных операциях производственного процесса.

Условие обеспечения минимальной длительности производственного цикла отдельных изделий приводит к необходимости решения так называемой «задачи упорядочения» с сохранением очередности обработки заказов на всех операциях производственного процесса постоянной. В этом случае процесс оптимизации заключается в выборе такого порядка запуска изданий в производство, который обеспечил бы минимально возможную длительность совокупного производственного цикла и минимум простоев оборудования.

Таким образом, в третьей главе дипломной работе предлагается улучшение организации рабочего места работников, замена старого печатающего оборудования на новое с более высокой скоростью, что позволит получить экономический эффект в размере 59160 тыс. р. Еще одним направлением по совершенствованию рабочего процесса является внедрение календарно-плановых расчетов производства и внедрение новых методов стимулирования труда работников ОДО «Магпром».

В ОДО «Магпром» как небольшой частной организации предлагается внедрение гибкого рабочего графика, сущность которого заключается в следующем. Производственный процесс в организации не является массовым, поточным, а осуществляется по мере заказов из чего вытекает нерациональное использование рабочего времени, то есть, если работа выполнена, то рабочий график все равно предусматривает рабочий день до 17-30. Что несет в себе негативные последствия, расходы на электроэнергию за счет включенного света, оборудования, оплата за интернет, к тому же недовольство работников от нерационального использования времени.

Таким образом, предлагается ввести почасовую оплату работников, при выполнении ими планового задания, работник отмечается в книге учета рабочего времени и может покинуть рабочее место, или напротив задержаться на работе с целью выполнения заданию следующего рабочего дня. Внедрение данного мероприятия позволит сократить расходы на оплату труда за 211 чел.-часов.

В таблице 3.3 рассчитаем часовую оплату труда работников ОДО «Магпром».

Таблица 3.3 - Расчет часовой оплаты труда работников ОДО «Магпром»

Показатель

Годы

Абсолютное отклонение, (+/-)


2010

2011

2012

2011 г. к 2010 г.

2012 г. к 2011 г.

2012 г. к 2010 г.

Фонд заработной платы, млн р.

150,9

193,9

325,5

43

131,6

174,6

Отработанное время, чел-дн.

2725,2

2498,9

2505,5

-226,3

6,6

-219,7

Отработано чел.-часов при 8-часовом рабочем дне, час.

21801,6

19991,2

20044

-1810,4

52,8

-1757,6

Часовая оплата труда работников, тыс. р./час.

6,922

9,699

16,239

2,777

6,54

9,317


Таким образом, экономический эффект составит:

* 16,239 = 3426,4 тыс. р.

Из приведенных расчетов видно, что внедрение гибкого графика положительно отразится на результатах деятельности ОДО «Магпром».

Конкурентная среда ОДО «Магпром» является одним из факторов, влияющих на деятельности организации. Поэтому в организации предлагается внедрить систему мотивации по преждевременному выполнению крупных заказов. Мотивационными факторами могут являются корпоративные мероприятия, развлечения, а именно выезд на природу, экскурсионный тур. Данное мероприятие будет способствовать росту конкурентоспособности за счет сокращения сроков выполнения заказов, и дополнительному стимулированию работников, а сами корпоративные мероприятия сплочению коллектива.

Предполагается, что в результате применения такой системы ОДО «Магпром» выполнит дополнительные заказы в размере 20 млн р., в то время как на стимулирующие мероприятия будет затрачено 5 млн р., из них 2 млн р. на выезд на природу и 3 млн р. - организация экскурсии в Несвижский замок. Исходя из чего, организация получит дополнительную прибыль в размере 15 млн р.

Заключение

Подводя итог работы, необходимо отметить, что труд является главным фактором производства. Без него невозможно организовать сам производственный процесс, именно благодаря труду происходит соединение средств и предметов труда.

Заработная плата - важнейшее средство повышения заинтересованности работников в результатах своего труда, его производительности, увеличения объемов произведенной продукции, улучшения ее качества и ассортимента.

Эффективность использования трудовых ресурсов на предприятии выражается в изменении производительности труда - результирующего показателя работы предприятия, в котором отражаются как положительные стороны работы, так и все его недостатки.

Производительность труда на предприятиях во многом зависит от эффективности организационной структуры, от сбалансированности различных сфер деятельности внутри предприятия.

Любое предприятие живет не ради повышения производительности труда, а ради повышения прибыли. Но в условиях инфляции прибыль не является надежным ориентиром устойчивости работы в долговременной перспективе. Управление же на основе измерения производительности труда позволяет анализировать состояние дел с поправкой на инфляцию. Ориентация на рост производительности труда отражает смещение акцентов с оценки текущего состояния фирмы на оценку состояния фирмы в перспективе, которое характеризуется технологическим и организационным состоянием фирмы по отношению к конкурентам, а количественно выражается показателем производительности. По мере усиления конкуренции не только получение прибыли сегодня, но и возможность выжить завтра - такая же первостепенная задача.

Объектом исследования в дипломной работе выступает хозяйственная деятельность ОДО «Магпром».

Численность работников организации ежегодно снижается. Так в 2011 году она сократилась на 12,5% по сравнению с 2012 годом, а в 2012 году на 21,6% по сравнению с 2011 годом. Сокращение произошло по специалистам на 12,5% в 2012 году по сравнению с 2010-2011 гг.

В 2010 году процентное соотношение служащих и рабочих составляет 50: 50. Из числа служащих 37,50% специалистов, удельный вес которых в 2011 году увеличивается на 5,36 п.п. по сравнению с 2010 годом и на 2,60 п.п. в 2012 году по сравнению с 2011 годом. Удельный вес руководителей, при неизменной их численности увеличивается с 12,50% в 2010 году до 14,29% в 2011 году и до 18,18% в 2012 году, что связано с сокращением общей численности работников ОДО «Магпром».

Удельный вес рабочих сокращается с 50% в 2010 году до 42,86% в 2011 году, т.е. на 7,14 п.п., и до 36,36% в 2012 году, т.е. на 6,49 п.п. по сравнению с 2011 годом.

Высшее образование имеют 6 работников на протяжении 2010-2012 гг. Численность работников со средним специальным образование снизилась в 2011 году по сравнению с 2010 годом на 1 чел. или на 14,3%, а в 2012 году по сравнению с 2011 годом на 1 чел. или на 16,7%. Численность работников с профессионально-техническим образованием составляет 2 чел. в 2010 году и сократилась на 1 чел. или на 50,0% в 2011 году по сравнению с 2010 годом, а в 2012 году отсутствуют работники с профессионально-техническим образованием.

Общее среднее образование имеет 1 чел. в 2010-2011 гг., а в 2012 году уволился.

Таким образом, в 2012 году образовательный уровень работников высокий и представлен высшим и средним специальным образованием.

Наибольший удельный вес в структуре работников по уровню образования занимали в 2010-2011 гг. работники со средним специальным образованием 43,75% в 2010 году и снизился на 0,89% в 2011 году по сравнению с 2010 годом, а в 2012 году по сравнению с 2011 годом увеличился на 2,60 %.

Удельный вес работников с высшим образованием при неизменной численности 6 чел., увеличился в 2011 году по сравнению с 2010 годом на 5,36% и в 2012 году по сравнению с 2011 годом на 11,69%.

Объем производства продукции (работ, услуг) ОДО «Магпром» в фактических ценах в 2011 году увеличился на 484 млн р. по сравнению с 2010 годом, в 2012 году по сравнению с 2011 годом на 292 млн р. Объем производства продукции (работ, услуг) в сопоставимых ценах в 2012 году по сравнению с 2011 годом возрастает на 246 млн р. по сравнению с 2010 годом на 631 млн р. Производительность труда в фактических ценах увеличивается на 48,705 млн р. в 2011 году и на 26,545 млн р. в 2012 году, по сравнению с 2010 годом на 75,25 млн р. Производительность труда в сопоставимых ценах увеличивается на 39,705 в 2011 году и на 22,364 млн р. в 2012 году.

Производительность труда одного работающего ОДО «Магпром» в 2011 году по сравнению с 2010 годом увеличилась на 48,705 млн р., в 2012 году по сравнению с 2011 годом - на 26,545 млн р.

Увеличение фондоотдачи на 17,119 р. в 2011 году способствовало росту производительности труда на 46,684 млн р., а увеличение фондоотдачи в 2012 году по сравнению с 2011 годом на 25,256 р. привело к росту производительности труда на 51,649 млн р.

Рост фондовооруженности работников в 2011 по сравнению с 2010 годом на 0,102 р. способствовал увеличению производительности труда на 2,011 млн р., а в 2012 году по сравнению с 2011 годом снижение фондовооруженности на 0,682 млн р. привело к снижению производительности труда на 25,120 млн р.

Рост производительности труда работников на 48,705 млн р. в 2011 году по сравнению с 2010 годом способствовал увеличению объема производства продукции (работ, услуг) на 536,0 млн р., а в 2012 году по сравнению с 2011 годом рост производительности труда на 26,545 млн р. привел к увеличению объема производства продукции (работ, услуг) на 292,0 млн р. труд экономический хозяйственный

Сокращение среднегодовой численности работников на 1 чел. способствовало снижению объема производства продукции (работ, услуг) на 52,0 млн р. в 2011 году по сравнению с 2010 годом.

Сокращение среднегодовой численности работников на 1 чел. способствует снижению объема производства продукции (работ, услуг) на 51,745 млн р. в 2011 году по сравнению с 2010 годом.

Среднесписочная численность в 2010 году составляет 12 чел., а на протяжении 2011-2012 гг. не изменяется и составляет 11 человек.

В связи с увольнением работников с профессионально-техническим образованием, их удельный вес снизился на 5,36% в 2011 году по сравнению с 2010 годом и на 7,14% в 2012 году по сравнению с 2011 годом.

Удельный вес работников с общим средним образованием в 2011 году по сравнению с 2010 годом увеличился на 0,89%.

Работников в возрасте до 29 лет в организации на протяжении 2010-2012 гг. 4 чел. Численность работников в возрасте 30-39 лет снизилась в 2011 году по сравнению с 2010 годом на 2 чел. или 22,2%, а в 2012 году по сравнению с 2011 годом на 2 чел. или на 28,6%. Численность работников в возрасте 40-49 лет снизилась в 2011 году по сравнению с 2010 годом на 1 чел. или 33,3%, а в 2012 году по сравнению с 2011 годом на 1 чел. или на 50,0%.

Работники в возрасте 50-59 лет в 2010 году отсутствуют в организации. В 2011 году по сравнению с 2010 годом численность работников в возрасте 50-59 лет увеличилась на 1 чел., а в 2012 году по сравнению с 2011 годом на 1 чел. или в 2 раза.

Наибольший удельный вес занимают мужчины 62,5% в 2010 году, и снизился в 2011 году по сравнению с 2010 годом на 5,36 %, а в 2012 году по сравнению с 2011 годом увеличился на 6,49%. Соответственно на удельный вес женщин в ОДО «Магпром» приходится 37,50% в 2010 году, 42,86% в 2011 году и 36,36% в 2012 году.

Благоприятным является экономия средств на оплату труда в 2012 году в размере 14,1 млн р. В 2011 году перерасход средств на оплату труда составляет 47,8 млн р.

Число человеко-дней явок и неявок на работу в 2011 году по сравнению с 2010 годом снизилось на 363,8 дней (8,3%) и увеличилось на 10,7 дней или 0,3% в 2012 году по сравнению с 2011 годом. Соответственно число отработанных человеко-дней также снизилось на 226,3 дня в 2011 году по сравнению с 2010 годом и увеличилось на 6,6 дня с в 2012 году по сравнению с 2011 годом.

Основной удельный вес в структуре человеко-дней явок и неявок на работу занимает отработанное время 62,21% в 2011-2012 гг. и сокращается ежегодно на 0,83 п.п. и 0,19 п.п., что является неблагоприятным дня деятельности организации. Значительно увеличился удельный вес потерь рабочего времени в 2011-2012 гг. по сравнению с 2010 годом.

Показатели рентабельности по исследуемым показателям в 2011 году увеличиваются, что связано с ростом прибыли от реализации на 69 млн р., однако сокращение прибыли в 2012 году на 61 млн р. отрицательно сказывается на показателях рентабельности ОДО «Магпром».

В третьей главе дипломной работы рассмотрены резервы и направления повышения эффективности использования трудовых ресурсов ОДО «Магпром».

Как было отмечено во второй главе, бухгалтер ОДО «Магпром», выполняя основную работу имеет достаточно свободного времени на личные нужды, дела, разговоры, в результате чего предлагается перевести бухгалтера на 0,5 ставки и на ставку специалистом по продажам, и повысить заработную плату на 25 %, тогда заработная плата составит: 5000000 р. При этом, уволить специалиста по продажам, следовательно, ОДО «Магпром» за год экономит: на заработной плате 42000000 р., на отчислениях в ФСЗН и Белгосстрах: 42000000 * 0,35 = 14 700000 р.

В дипломной работе рассматривается один из способов стимулирования работников - учет личных продаж специалистов по продажам. Для этого отметка о поиске потенциального покупателя и реализации ему продукции организации ставится в книге учета продаж, и по результатам месяца ведется подсчет, на основании которого премируется работник. За каждые 15 млн р. реализованной продукции, работнику перечисляется 100 тыс., что будет стимулировать работников к более внимательному отношению к клиенту, росту объемов продаж, поиску новых покупателей что увеличит выручку от реализации на 10%.

Не достаточно рационально организованное рабочее место создает неудобство, замедляет производственный процесс, что непосредственно ведет к психоэмоциональному дискомфорту и усталости работника, а это негативно сказывается на деятельности организации, в результате чего предлагается рационализовать рабочие места персонала, установить стеллажи, облегчить доступ к оборудованию. Предложенные мероприятия улучшат не только организацию рабочего места, но и позволят: сэкономить на электроэнергии, за счет печати одного и того же количества листов на новом оборудовании (сокращение времени подключения к электросети) в размере 70 тыс. р. в месяц; увеличить производительность труда на 7%.

Таким образом, эффект от внедрения представленного мероприятия составит 59160 тыс. р.

В ОДО «Магпром» предлагается ввести почасовую оплату работников, при выполнении ими планового задания, работник отмечается в книге учета рабочего времени и может покинуть рабочее место, или напротив задержаться на работе с целью выполнения заданию следующего рабочего дня. Внедрение данного мероприятия позволит сократить расходы на оплату труда за 211 чел.-часов. Что при часовой заработной плате 16,239 тыс. р. принесет экономический эффект 3426,4 тыс. р.

В ОДО «Магпром» предлагается внедрить систему мотивации по преждевременному выполнению крупных заказов. Мотивационными факторами могут являются корпоративные мероприятия, развлечения, а именно выезд на природу, экскурсионный тур. Данное мероприятие будет способствовать росту конкурентоспособности за счет сокращения сроков выполнения заказов, и дополнительному стимулированию работников, а сами корпоративные мероприятия сплочению коллектива. Предполагается, что в результате применения такой системы ОДО «Магпром» выполнит дополнительные заказы в размере 20 млн р., в то время как на стимулирующие мероприятия будет затрачено 5 млн р., из них 2 млн р. на выезд на природу и 3 млн р. - организация экскурсии в Несвижский замок. Исходя из чего, организация получит дополнительную прибыль в размере 15 млн р.

Список использованных источников

1           Алымов, Ю. Развитие сферы услуг как фактор улучшения платежного баланса / Ю. Алымов // Банк. весн. - 2008. - № 10. - С. 7-14.

2       Анализ хозяйственной деятельности предприятия: учеб. пособие для вузов / Л. Л. Ермолович [и др.]; под общ. ред. Л. Л. Ермолович. - Минск: Соврем. шк., 2006. - 736 с.

3           Базылев, Н. И., Базылева, М. Н. Экономическая теория: Учебник для студентов экономических специальностей высших учебных заведений/ Н.И. Базылев, М.Н. Базылева. - Мн.: Книжный дом, 2004. - 608с.

4           Бердникова, Т.Б. Анализ и диагностика финансово-хозяйственной деятельности организации: учеб. пособие / Т.Б. Бердникова. - М.: ИНФРА-М, 2007. - 321 с.

5           Бурменко, Т. Д. Сфера услуг. Экономика: учеб. пособие для вузов / Т. Д. Бурменко, Н. Н. Даниленко, Т.А. Туренко ; под ред.Т. Д. Бурменко.-М.: КноРус,2007.-328с.

6    Бутеня, В.Е. Труд как фактор производства и источник развития человека / В. Е. Бутеня // Вестник БГЭУ. - 2008. - № 4. - С. 5-11.

7    Веремейко, Ю. Предоставление компенсации за неиспользованный отпуск [Текст] / Ю. Веремейко // Заработная плата. - 2006. - № 7. - С.51-63.

8    Владимирова, Л. П. Организация, нормирование и оплата труда на предприятиях: учебник. - М.: Издательско-торговая корпорация «Дашков и Ко», 2006. - 347 с.

9           Волков, В.П. Экономика предприятия (фирмы): учебник / В.П. Волков, О.В. Девиткин. - Минск: Инфра-М. - 2006. - 601 с.

10     Гизатуллина, В. Г. Теория анализа хозяйственной деятельности: учебник / В.Г. Гизатуллина. - Гомель: БелГУТ, 2010. - 188 с.

          Грузинова, В.П. Экономика организации: учебник для ВУЗов. - М.: Банки и биржи. ЮНИТИ, 2008. - 535 с.

12  Деркачева, Г. Внутренне и внешнее совместительство [Текст] / Г. Деркачева // Налоги и бухгалтерский учет. - 2008. - № 5. - С. 43-58.

13             Зайцев, Н. Л. Экономика промышленного организации: учебник. - 4-е изд., перераб. и доп. - М.: Инфра - М., 2008. - 284 с.

14  Ильин, А.И. Экономика предприятия: учеб. пособие / В.П. Волков, А.И. Ильин, В.Н. Станкевич. - М.: Новое знание. - 2009. - с. 332.

15  Инструкция о порядке применения Единой тарифной сетки работников Республики Беларусь // Консультант Плюс: Беларусь. Технология 3000 [Электронный ресурс] / ООО “ЮрСпектр”. - Минск, 2012.

16  Инструкции о порядке применения Единой тарифной сетки работников Республики Беларусь // Консультант Плюс: Беларусь. Технология 3000 [Электронный ресурс] / ООО “ЮрСпектр”. - Минск, 2013.

17     Инструкция о составе фонда заработной платы и прочих выплат // Консультант Плюс: Беларусь. Технология 3000 [Электронный ресурс] / ООО “ЮрСпектр”. - Минск, 2013.

          Инструкция по статистике численности работников и заработной платы // Консультант Плюс: Беларусь. Технология 3000 [Электронный ресурс] / ООО “ЮрСпектр”. - Минск, 2013.

19             Карлик, А.Е. Экономика предприятия: учебник / А.Е. Карлик. - Минск: Инфра-М., 2009. - 432 с.

20 Карпей, Т.В. Экономика, организация и планирование промышленного производства / под общ. ред. Карпей Т.В. и Лазученковой Л.С. Изд. 2-е исправленное и дополненное - Минск: Дизайн ПРО, 2007. - 272 с.

21     Комментарий к Трудовому кодексу РБ: с постатейным приложением образцов документов / В.Г. Голованов, В.И. Семенков. - Минск: Амалфея, 2009. - 1328 с.

          Комоцкая, Е. Учет рабочего времени работников в табелях учета рабочего времени / Е. Комоцкая // Кадровик. Управление персоналом. - 2006. - № 3. - С. 24-28

23  Конституция Республики Беларусь // Консультант Плюс: Беларусь. Технология 3000 [Электронный ресурс] / ООО “ЮрСпектр”. - Минск, 2012.

24 Коротаев, С. Проблемные вопросы учета выплат по системам премирования за производственные результаты [Текст] / С. Коротаев // Бухгалтерский учет и анализ. - 2006. - № 12. - С. 27-33.

25 Македошин, А.А. Организация труда персонала / А.А. Македошин, Э.Б. Молодькова, С.А. Перешивкин, О.А. Попазова СПб.: СПбГУЭФ, 2011. - 188 с.

26             Нехорошева, Л. Н. Экономика предприятия: учеб. пособие/ Л. Н. Нехорошева, Н.Б. Антонова, М.А. Зайцева - 3-е изд. - Минск: Выш. шк., 2005. - 383 с.

27 Николашин, В.Н. Организация труда персонала: учебный курс (учебно-методический комплекс) / В.Н. Николашин - М.: Издательско-торговая корпорация «Дашков и Ко», 2009. - 264 с.

28  Организация труда: учебник / Т. В, Емельянова [и др.]; под общ. ред. Л. В. Мисниковой. - Минск: Выш. шк., 2004. - 302 с.

29 Пошерстник, Н. В. Кадры предприятия: учебник / Н.П. Пошерстник (5-е изд.) - СПб.: «Издательский дом Герда», 2009. - 704 с.

30  Программа социально-экономического развития Республики Беларусь на 2011- 2015 годы // Консультант Плюс: Беларусь. Технология 3000 [Электронный ресурс] / ООО “ЮрСпектр”. - Минск, 2013.

31 Программа социально-экономического развития Республики Беларусь на 2011- 2015 годы // Консультант Плюс: Беларусь. Технология 3000 [Электронный ресурс] / ООО “ЮрСпектр”. - Минск, 2012.

32             Раицкий, К.А. Экономика предприятия: учебник для Вузов. - М.: Информационно-внедренческий центр «Маркетинг», 2009. - 693 с.

33     Райзберг, Б.А. Современный экономический словарь / Б.А. Райзберг, Л.Ш. Лозовский, Е.Б. Стародубцева - 4-е изд., перераб. и доп. - М.: Изд-во «ИНФРА - М», 2005. - 480 с.

34             Руденко, А.И. Экономика организации: учебник / А.И. Руденко. - 2-е изд., перераб. и доп.; под общ. ред. Руденко А.И.- Минск: Выш.шк., 2007. - 467 с.

35       Русак, Н.А. Анализ хозяйственной деятельности в промышленности / Русак Н.А [и др.]; под общ. ред. Стражева В.И.-5-е изд., испр. и доп. - Минск: Выш. шк., 2005. - 366 с.

36       Савицкая, Г.В. Анализ хозяйственной деятельности предприятия / Г.В. Савичкая: 2-еизд., перераб. и доп. - Минск: ИП «Экоперспектива», 2007. - 498 с.

37     Cтатистика Республики Беларусь в цифрах. Статистический сборник. - Национальный статистический комитет Республики Беларусь. - Минск, 2012. - 303 с.

38 Трудовой кодекс Республики Беларусь. С обзором изменений, внесенных законами Республики Беларусь от 20 июля 2007 г. № 232 - З, 6 января 2009г. №6-З (ред. от 30 декабря 2010 г. № 225-З) / авт. Обзора К.И. Кеник, Л.И. Липень. - Минск: Амалфея, 2011. - 288с.

39  Указ Президента Республики Беларусь от 11 апреля 2011 года № 136 утверждена // Консультант Плюс: Беларусь. Технология 3000 [Электронный ресурс] / ООО “ЮрСпектр”. - Минск, 2013.

40  Указ № 590 от 23 декабря 2011 г. О важнейших параметрах прогноза социально-экономического развития Республики Беларусь на 2012 год // Консультант Плюс: Беларусь. Технология 3000 [Электронный ресурс] / ООО “ЮрСпектр”. - Минск, 2013.

41  Хаксевер, К. Управление и организация в сфере услуг: учебник / К. Хаксевер, Б. Рендер, Р.Рассел - 2-е изд., испр. - Москва: Новое знание, 2007. - 329с.

     Хрипач, В.Я. Экономика предприятия / В.Я. Хрипач, Г.З. Суша, Г.К. Оноприенко; под ред. В.Я. Хрипача. - Минск: эконопресс. 2006. - 464 с.

43 Чуев, И. Н. Экономика предприятия: пч-к. - М. Издательско- торговая корпорация «Дашков и Ко», 2007. - 416 с.

Похожие работы на - Трудовые ресурсы организации сферы услуг: резервы и пути повышения эффективности их использования (на материалах ОДО 'Магпром' г. Гомель)

 

Не нашли материал для своей работы?
Поможем написать уникальную работу
Без плагиата!
Без нейросетей!