Теоретические и практические аспекты управления заказами в логистической системе

  • Вид работы:
    Курсовая работа (т)
  • Предмет:
    Эктеория
  • Язык:
    Русский
    ,
    Формат файла:
    MS Word
    196,7 Кб
  • Опубликовано:
    2015-05-31
Вы можете узнать стоимость помощи в написании студенческой работы.
Помощь в написании работы, которую точно примут!

Теоретические и практические аспекты управления заказами в логистической системе

Содержание

Введение

1. Теоретические аспекты управления заказами клиентов на предприятии

1.1 Место и значение управления заказами клиентов в логистической деятельности

1.2 Процесс управления заказами клиентов на предприятии

1.3 Способы совершенствования управления заказами клиентов на предприятии

2. Особенности управления заказами клиентов на предприятии ООО «Транзит»

2.1 Общая характеристика ООО «Транзит»

2.2 Анализ деятельности по управлению заказами клиентов

2.3 Пути совершенствования управления заказами на ООО «Транзит»

Заключение

Список использованных источников

Приложение

Введение

Актуальность темы данной курсовой работы очевидна, поскольку правильное управление заказами выходит на первый план в тактическом управлении компании. Компания, которая наиболее качественнее, быстрее и дешевле выполнит заказ покупателя, получит существенное конкурентное преимущество на рынке. С другой стороны, ускорение выполнения заказа и снижение себестоимости повышают финансовые показатели внутри компании.

Логистика провозглашает приоритет потребителя перед всеми остальными субъектами логистической системы. Заказ потребителя - это своего рода сигнал, запускающий в действие различные логистические функции. Поэтому скорость и качество информации, предоставляемые системой управления заказами, оказывают так же влияние на общие издержки и уровень эффективности всего логистического процесса[2]. Так, медленные и с ошибками коммуникации могут привести к потере части потребителей или к завышенным затратам на транспортировку, запасы и складирование. Поэтому выполнение заказа потребителей должно осуществляться в режиме АSAP ("как можно скорее").

Главной задачей управления заказами на предприятии является сокращение времени логистического цикла заказов с целью повышения качества обслуживания потребителей, снижения уровня товарных запасов и общих логистических издержек[6].

Целью данной курсовой работы является раскрытие теоретических и практических аспектов управления заказами в логистической системе.

Для достижения данной цели необходимо решение следующих задач:

рассмотреть особенности управления заказами в логистической деятельности;

изучить процесс управления заказами клиентов на предприятии;

рассмотреть способы совершенствования управления заказами клиентов на предприятии;

изучить особенности управления заказами клиентов на предприятии ООО «Транзит»;

проанализировать деятельность по управлению заказами клиентов;

рассмотреть пути совершенствования управления заказами на ООО «Транзит».

Логистический цикл заказа в общем виде включает в себя:

) время на формулировку заказа и его оформление в установленном порядке.

) время на доставку или передачу заказа поставщику.

) время выполнения заказа (время ожидания постановки заказа на выполнение, время выполнения заказа, время простоев, комплекса услуг).

) время доставки изготовленной продукции заказчику.

) время на подготовку продукции к потреблению.

Максимальная продолжительность цикла исполнения заказов определяется временем, которое потребитель готов ждать с момента размещения заказа до получения товара (часы, дни). Фактическое время исполнения заказа может превышать это время. В таком случае возникает «разрыв времени исполнения заказа».

Цель логистической службы сократить этот разрыв. Для этого следует или снизить время исполнения заказа у поставщика, или увеличить цикл заказа потребителя посредством получения более ранней его заявки. Следует заметить, что этап оптимизации логистического цикла заказов является крайне важным для деятельности организации, поскольку полученные результаты гарантируют ей получение конкурентных преимуществ.

1. Теоретические аспекты управления заказами клиентов на предприятии.

.1 Место и значение управления заказами клиентов в логистической деятельности

Управление заказами в организации начинается с приема и обработки заказов потребителей материальных ресурсов или готовой продукции. При этом используется интегрированный подход к управлению заказами. Он предполагает принятие оптимальных решений по закупкам и запасам материальных ресурсов, производству, складированию и распределению готовой продукции на базе точного прогнозирования потребительского спроса[12]. Это возможно при условии высокой готовности организации к поставкам заказанных товаров, высокого качества сервиса поставок, а также функционирования логистической информационной системы и базовых логистических систем.

Заказы поступают в организацию от потребителей материальных ресурсов или готовой продукции по почте, телефону, телеграфу, электронной почте, факсу и курьером. Они могут быть речевыми и документированными. Заказ на поставку должен содержать всю необходимую для поставщика информацию: номер заказа, контактные лица обеих сторон, номер изменения, обозначение изготовителя, обозначение заказчика, всего получено с начала первой поставки, подтверждение о последнем приходе и номер контракта. Такая форма позволяет существенно сократить время и расходы на телефонные переговоры по поводу подтверждения о принятии заказа [15].

После предварительной обработки заказы передаются по телекоммуникационным сетям в информационно-вычислительный центр фирмы, в котором специальная программа принимает данный заказ и автоматически выдает подтверждение о принятии его к исполнению. В качестве источника выполнения заказа на поставку выступают конкретные производственные или торговые подразделения предприятия. Для определенных источников разрабатываются планы выполнения заказов. Исходными показателями при планировании являются данные спецификации на производство готовой продукции, уточненные показатели производства с точностью до недели или планы пополнения запасов [15]. Это позволяет производить и поставлять товары точно в срок в соответствии с производственными планами заказчика. В процессе мониторинга заказа осуществляются процедуры выполнения и доставки заказанной продукции потребителям. Они сопровождаются непрерывным контролем сроков, объемов и качества поставок. Цикл управления заказами завершается составлением отчета о выполнении заказа.

Логистический цикл управления заказами представляет собой комплекс процедур обработки и выполнения заказа (рис.1).

Рис. 1 - Логистический цикл управления заказами

Управление логистической деятельностью на этапе распределения осуществляется в следующей последовательности:

Управление заказами. Формирование портфеля заказов.

Установление количественных и качественных параметров заказанной продукции, их дифференциация по избранным критериям.

Разработка плана поступления готовой продукции от производственных цехов на сбытовые склады логистической системы, его реализация и координация.

Управление материальными (товарными) потоками в транспортно-складских подразделениях логистической системы (нормирование и управление запасами, складская переработка, подготовка к производственному потреблению по требованиям заказчиков, упаковка, маркировка и т. д.).

Разработка и реализация многовариантного распределения готовой продукции.

Разработка планов поставки. Формирование товарных (грузовых) потоков.

Управление товарными (грузовыми) потоками за пределами логистической системы.

Управление заказами является одной из важнейших функций распределительной логистики. Ее доля в логистических издержках на этапе распределения значительно меньше, чем доля транспорта и управления запасами. Однако роль данной функции очень значительна[16].

В сущности, именно управление заказами обеспечивает эффективное продвижение материальных потоков по логистическим цепям на пути от производителя к потребителю.

В широком смысле управление заказами является синтетической функцией, присущей управлению материальными потоками, как на этапе материально-технического обеспечения, так и на этапе сбыта готовой продукции. Однако приоритетное значение она приобретает лишь в тесной интеграции с функциями маркетинга, так как в условиях рыночных отношений именно этот союз является определяющим для всей производственно-коммерческой деятельности предприятия [1].

Основным комплексным показателем в рассматриваемой области является портфель заказов.

Портфель заказов это совокупность заказов потребителей (покупателей), имеющихся на определенную дату.

Данный показатель используется как в микро-, так и в макрологистике.

В микрологистике он рассчитывается на уровне отдельного предприятия (фирмы, логистической системы).

В макрологистике - на уровне региона, отрасли, народного хозяйства в целом. Так, в Соединенных Штатах этот показатель регулярно рассчитывается Министерством торговли и публикуется в соответствующем бюллетене.

Объем портфеля заказов зависит от многих факторов внешнего и внутреннего порядка. Например, от общеэкономической ситуации, деловой активности, покупательского спроса, уровня загрузки и состояния производственных и логистических мощностей и др.

Портфель заказов составляется на основе соответствующих заявок на поставку продукции, отражающих спрос потребителей. При его формировании должны быть учтены производственные и логистические возможности продуцентов [15]. Они создают основу для заключения договоров поставки продукции, которые в свою очередь становятся формализованным базисом в процессе управления материальными (товарными) потоками[2].

В таблице 1 представлены методы и критерии портфельного анализа

Таблица 1.1 - Методы и критерии портфельного анализа


Конечно, можно и нужно критиковать методы портфельного анализа. Но, однако, следует помнить, что матрицы упрощают реальную картину. Здесь, как и при игре на музыкальных инструментах, красота звучания во многом зависит от мастерства исполнителя. Разумно используемые матрицы являются необходимым инструментом, упрощающим процесс разработки стратегии. Самый лучший результат они дают, когда используются совместно[5]. Каждая из них в отдельности является довольно грубым упрощением действительности, но вместе они дают многомерную картину рынка, отрасли, фирмы, ресурсов (в основном, финансовых), позволяющую оценить реализуемую в настоящем времени стратегию и выбрать будущие направления деятельности. Следует постоянно помнить, что матрицы (а это касается и всех методов стратегического анализа) являются только способом как-то упорядочить ход мышления, но не заменить его.

Материальный поток в сфере распределения имеет форму готовой продукции. В зависимости от субъекта экономических отношений поток готовой продукции может быть представлен, как товарный поток или как грузовой поток (на транспорте) [21].

Сфера распределения и сфера закупок в большей части накладываются друг на друга. Отношение к логистическим работам и операциям зависит от позиции субъекта экономических отношений. Если рассматривать условные исходные и конечные звенья материалопотоков, то для одних субъектов логистические операции являются частью системы сбыта, а для других - материально-технического обеспечения (закупок). Этот дуализм, с одной стороны, упрощает, а, с другой стороны, осложняет процесс управления материальными потоками [3]. Объективная противоположность интересов продуцентов, потребителей, а также торговых, транспортных и других посредников предопределяют особенности логистического управления.

В сфере распределения не создаются новые материальные ценности, а выполняются конкретные и комплексные формы деятельности, которые выступают как услуги. Таким образом, сфера распределения является производителем услуг, которые тоже являются своеобразным товаром. Так как большая часть материальных продуктов проходит через сферу распределения, то происходит соединение материального и нематериального продукта. В результате, на товарном рынке предстает не столько материальный товар, сколько товар-услуга. Таким образом, материальный поток на всех этапах своего движения является предметом труда участников логистического процесса, а сам труд имеет производительный характер[23].

Прежде чем приступить к физическому распределению готовой продукции продуценту необходимо выполнить следующую работу:

определить логистические цели, соответствующие избранной предприятием стратегии на рынке;

разработать альтернативные варианты карт логистических цепей на основе получения заказов на товарную продукцию;

формализовать цели логистического обслуживания;

выявить и скоординировать взаимосвязи между логистическими действиями предприятия (фирмы) и другими сферами производственно-хозяйственной деятельности;

определить роль и степень воздействия внешних факторов рыночной среды;

предусмотреть возникновение незапланированных ситуаций и разработать комплекс мер восстановительного характера.

Следует отметить, что планирование физического распределения и перемещения готовой продукции, трансформации соответствующих товарных потоков тесно связано с процессом сбыта.

Планирование маркетинга на предприятии тесно связано с планированием производства, так как производство не является самоцелью, а направлено на удовлетворение конкретного спроса на рынке.

Таким образом, производство, маркетинг и логистика представляют собой смежные стороны многогранного единого процесса производственно-хозяйственной деятельности, поэтому их планирование должно осуществляться в неразрывном единстве.

Планы маркетинга и логистики формируются в тесной увязке с планом производства в количественном и ассортиментном выражении, с разбивкой по временным периодам на основе заключенных договоров на поставку продукции. В маркетинге, в производстве и в логистике определяются и обеспечиваются соответствующие приоритеты портфеля заказов. В рыночных условиях выполнение договорных обязательств, выражением которых является доставка точно в срок с минимальными затратами служит одним из основных критериев оценки деятельности предприятия и главным критерием эффективности логистической системы[16]. При несоблюдении договорных обязательств предприятие несет экономическую ответственность, возмещает в установленном порядке ущерб, нанесенный заказчику. В связи с этим, все усилия производства и системы сбыта могут быть сведены на "нет", если текущая задача не будет решена на уровне физической доставки - на уровне логистики.

Значительное повышение дает безбумажная технология управления заказами. Это технология подбора продукции по заказам (заявкам) в системе хранения и переработки логистической системы без использования бумажной документации. Бумажный документ заменяется электронным.

Безбумажная технология обработки заказов позволяет уменьшить число ошибок работников логистических подразделений в процессе управления материалопотоками в среднем в 5 раз. А также повысить производительность труда в 2-3 раза.

В общем виде технология управления заказами включает следующий минимум логистических работ и операций:

оформление поступивших заказов и уточнение их спецификаций;

формирование и структуризация портфеля заказов;

разработка, согласование и утверждение плана удовлетворения заказов;

оперативный контроль производства и выдачи товарной продукции в соответствии с заказами;

подготовка и оформление товарных потоков в соответствии с принятыми к исполнению заказами;

контроль поступления товарных потоков заказчикам и анализ их оценки о качестве выполнения заказов;

поддержание обратной связи заказчика с поставщиком.

В связи с тем, что предприятия обычно стремятся расширить свою производственно-хозяйственную деятельность, то соответственно расширяются и логистические связи. Это ведет к экспоненциальному росту текущей информации. Обостряется проблема и возникает потребность в упрощении процедур оперативного контроля выполнения заказов. Помощь в разрешении данных проблем оказывает применение компьютеризированных методов управления заказами.

В процессе управления заказами большое значение имеет время их выполнения. Если заказов много, то их оптимизация по срокам реализации лежит в основе нормализации функционирования логистической системы. Разное время выполнения заказов непосредственно влияет на потребность заказчиков в соответствующих ресурсах, а также на надежность распределительной системы. Длительный срок удовлетворения заказов приводит к росту запасов не только у потребителей, но и во всех звеньях логистической цепочки. В то же время небольшой срок выполнения заказов может привести к ошибкам при их обработке и реализации [17]. Материальные потоки могут не соответствовать заявленным количественным и качественным параметрам. Более того, могут быть сформированы просто ненужные материальные потоки.

Во многих странах время выполнения индивидуализированных заказов стандартизовано определенными рамками. Например, в США оно (включая время производства) в системе распределения составляет минимум - 7 дней, максимум - 72 дня. В ФРГ заказы на материалы и изделия имеющегося ассортимента выполняются минимум за 24 часа. Заказы, учитывающие индивидуальные потребности заказчика, выполняются в среднем за 14 дней.

В последние годы в области деловых взаимоотношений появился термин "легко выполняемый бизнес". Это не просто словосочетание, а признание преимуществ логистической концепции в сфере распределения. Смысл этого термина заключается в том, что продуценты могут получать заказы без больших усилий, если применяют электронные системы обмена информацией[23].

В логистической системе наиболее эффективны динамические модели планирования производственно-хозяйственной деятельности. Они наиболее полно учитывают непрерывность процесса приема новых заказов, изменение мощности задействованных технических средств, возможность контроля возникающих ситуаций и т.д. Этим процедурам в любой логистической системе уделяется первостепенное внимание, так как процесс управления в распределительной логистике подвержен случайным колебаниям [3].

Чем крупнее логистическая система, тем сложнее, процессы управления заказами. Наиболее эффективными подходами к управлению заказами в сложных логистических системах являются те, которые основываются на теории массового обслуживания (теории очередей).

Одной из основных задач теории массового обслуживания является изучение процессов образования спроса на обслуживание во времени. Эти процессы описываются потоками однородных событий. В логистике поток однородных событий, образованных моментами поступления в логистическую систему заказов, называется входящим потоком требований. При формулировке любой задачи, решаемой на основе теории массового обслуживания, логистическая система описывается как система массового обслуживания. Для этого формализуется ее структура и указываются вероятностные характеристики, управляющие ее поведением. Так, в случае системы с ожиданием при рекуррентном входящем потоке требований достаточно задать функции распределения вероятностей двух случайных величин: времени обслуживания заказа в данной логистической системе и времени между поступлением последовательных заказов (требований). Для системы с временными ограничениями необходимо, кроме того, задавать распределение максимально допустимого времени ожидания и времени пребывания его в логистической системе[24].

Для описания логистических систем больше всего подходят случайные процессы, с дискретными компонентами, показывающими, в каком качественном состоянии находится система и непрерывными компонентами, показывающими степень выполнения операций или время для их окончания. Такие процессы при соответствующих условиях построения являются марковскими процессами. Основные показатели обслуживания интерпретируются как функционалы от стационарных (реже нестационарных) характеристик марковских процессов [5]. Универсальным способом оценки показателей логистических систем является имитационное моделирование систем с использованием метода Монте-Карло. Для принятия решений в области управления заказами необходимо разработать алгоритм извлечения необходимой информации.

В процессе совершенствования логистической системы следует стремиться к тому, чтобы контроль общей системы распределения стал непрерывным процессом. Это однако потребует определенных затрат времени и ресурсов. Хорошо, когда данный контроль имеет двухуровневую структуру: стратегический контроль управления заказами и тактический контроль.

Стратегический контроль осуществляется в следующих случаях:

когда предприятие (фирма) изменяет маркетинговую и логистическую стратегию, например, при переходе от реализации товарной продукции через посредников к прямым продажам конкретным потребителям (могут быть модификации данного примера);

если предприятие по той или иной причине меняет (уменьшает, увеличивает) размеры деятельности;

в случае диверсификации производства и деятельности;

при ассортиментном обновлении;

при потере или приобретении крупных, стратегически важных заказов;

при изменении территориально-отраслевых ориентации на рынке;

при изменении общеэкономической конъюнктуры и т.д.

Цель тактического контроля в управлении заказами заключается в выявлении текущих отклонений от плана удовлетворения заказов, а также извещение руководства о необходимости принятия коррективных мер.

Для организации текущего контроля необходимо иметь:

комплекс соответствующих логистических стандартов;

полноценную базу данных;

оперативное информационное обеспечение о понесенных затратах входе выполнения заказов;

Все эти требования должны быть согласованы между собой и интегрированы с формализованной программой управления заказами и анализа производственно-хозяйственной деятельности в целом и логистической в частности.

Показатели контроля и анализа должны быть простыми, но достаточными для указания на необходимость проведения более глубокого изучения проблемной ситуации и принятия коррективных мер.

Надо заметить, что именно исполнение заказов клиентов - основная операция в логистике, поэтому попросту говоря, управление заказами означает удовлетворение конкретных запросов клиентов. Управление заказами охватывает все виды деятельности, так или иначе связанные с удовлетворением запросов потребителей - начиная приемом заказа, заканчивая поставкой товара, выставлением счета и получения оплаты. Степень компетентности любой компании зависит от ее способности управлять заказами. А правильное управление каждой из вышеперечисленных областей позволяет достичь определенного уровня обслуживания клиентов, при соответствующем приемлемом уровне издержек [6].

Управление заказами является одной из важнейших функций распределительной логистики. Ее доля в логистических издержках на этапе распределения значительно меньше, чем доля транспорта и управления запасами. Однако роль данной функции очень значительна.

В сущности, именно управление заказами обеспечивает эффективное продвижение материальных потоков по логистическим цепям на пути от производителя к потребителю.

Портфель заказов предприятия - это количество продукции, которое должно быть произведено за определенный период времени и поставлено покупателям в соответствии с заказами или заключенными контрактами. При формировании портфеля заказов отдел сбыта координирует поступающие заказы с возможностями предприятия: с имеющимися производственными мощностями, обеспеченностью финансовыми, материальными ресурсами, научно-техническим потенциалом, опытом кадров. Эту работу отдел сбыта проводит совместно с производственным отделом, финансовым и другими подразделениями предприятия.

1.2 Процесс управления заказами клиентов на предприятии

Для этой логистической функции характерны следующие задачи оптимизации: детерминирование цикла исполнения заказа (прием, передача, обработка, комплектация, доставка); выбор технических средств и технологического процесса приема, обработки и комплектации заказа; организация документооборота и использование электронного документооборота при прохождении заказа; оптимизация параметров качества логистического сервиса; оптимизация величины и характера трансакционных издержек; оптимизация параметров послепродажного сервиса, связанного с исполнением заказа.

Оптимальное количество товара определяет такой размер заказа, при котором стоимость получения и хранения одной единицы товара является минимальной. Но это совсем не значит, что цена на единицу товара должна быть самой низкой. Необходимо рассчитать все связанные с заказом затраты для определения ее оптимального размера.

При любой системе пополнения запасов необходимо ответить на основные вопросы: когда делать заказ и сколько товара заказывать. При системе жестких интервалов между заказами выбираются строго установленные сроки предоставления заказов, этим решается вопрос «когда?». Ответить нужно на вопрос «сколько?».

Для этого выбирают и фиксируют в карточках учета или в компьютере величину максимального или нужного запаса для каждого товара.

В период до следующего пополнения запаса имеющийся запас и дополнительный приход по предыдущему заказу должны быть достаточны для удовлетворения спроса.

При работе по системе пополнения запасов через жесткие временные интервалы ничто не препятствует использованию оптимальных заказов, а именно для товара повышенного спроса в момент между поставками[24].

Заказчики стараются более точно рассчитать и в нужный момент скорректировать размеры нужных запасов товара, что способствует точности выполнения заказа и уменьшению расходов по закупкам и содержанию товаров.

Оптимальные размеры заказов выбираются при сопоставлении затрат на содержание запаса и расходов на заказы.

Для того чтобы ответить на вопрос, когда следует заказывать, нужно определить момент заказа или пополнения запасов по каждой позиции.

Определение такого момента основывается на сроках доставки товаров по заказам.

Большинство организаций имеют страховой запас на случай срыва поставок. Масштаб страхового запаса определяется по тому же моменту для каждого наименования товара и выражается в процентах к количеству единиц, реализуемых в течении срока поставки.

Страховой запас исключает возникновение дефицита. Чтобы определить момент заказа, нужно определить уровень страхового запаса, который обеспечивает нужную степень защиты против дефицита.

Чем выше точка заказа, тем минимальней вероятность дефицита, но при этом возникают большие издержки по содержанию дополнительного запаса.

Задача состоит в определении такого момента заказа, чтобы потери от дефицита покрывались издержками на содержание дополнительных запасов.

Вероятность появления дефицита является базой для определения момента заказа.

При этом необходимо определить уровень риска. Если организация хочет никогда не допускать дефицита запасов, она обязана иметь излишние страховые запасы, при этом их размер таков, что более правильно согласиться с дефицитом и попытаться лишь сократить частоту его возникновения.

Момент заказов нужно устанавливать на границе, когда затраты на содержание и потери от дефицита являются самыми меньшими, или на границе, при которой сокращение потерь от дефицита, возникшее из-за прибавления лишней единицы в момент заказа, равно прибавочной стоимости содержания этой единицы[16].

Логистика провозглашает приоритет потребителя перед всеми остальными субъектами логистической системы. Заказ потребителя - это своего рода сигнал, запускающий в действие различные логистические функции [2]. Поэтому скорость и качество информации, предоставляемые системой управления заказами, оказывают влияние на общие издержки и уровень эффективности всего логистического процесса. Так, медленные и с ошибками коммуникации могут привести к потере части потребителей или к завышенным затратам на транспортировку, запасы и складирование. Поэтому выполнение заказа потребителей должно осуществляться в режиме АSAP ("как можно скорее").

Управление заказами в организации начинается с приема и обработки заказов потребителей материальных ресурсов или готовой продукции. При этом используется интегрированный подход к управлению заказами. Он предполагает принятие оптимальных решений по закупкам и запасам материальных ресурсов, производству, складированию и распределению готовой продукции на базе точного прогнозирования потребительского спроса [4]. Это возможно при условии высокой готовности организации к поставкам заказанных товаров, высокого качества сервиса поставок, а также функционирования логистической информационной системы и базовых логистических систем (MRP II, DRP II).

Международные концепции управления производством

Интегрированные системы управления производством управляют ассоциированными потоками информации и материалов, сокращают производственный цикл, уменьшают противоречия и в конечном итоге повышают эффективность деятельности корпорации, в том числе способствуют снижению цен. Планирование потребностей в материалах (MRP) и календарное планирование производственных ресурсов (MRP II - Manufacturing Resources Planning) - это первое и второе поколение средств, которые позволяют компаниям лучше управлять своими производственными

системами (путем распределения материалов и составления графика производства) [23].

На рисунке 2 можно увидеть схему управления запасами корпорации по модели MRP II

Рис. 2 - Схема управления запасами корпорации по модели MRP II

II - это набор проверенных на практике разумных принципов, моделей и

процедур управления и контроля, служащих повышению показателей экономической деятельности предприятия, входящего в корпорацию. Идея MRP II опирается на несколько простых принципов, например, разделение спроса на зависимый и независимый. MRP II Standard System содержит описание 16 групп функций системы:

. Sales and Operation Planning (Планирование продаж и производства).

. Demand Management (Управление спросом).

. Master Production Scheduling (Составление плана производства).

. Material Requirement Planning (Планирование материальных потребностей).

5. Bill of Materials (Спецификации продуктов).

. Inventory Transaction Subsystem (Управление складом).

. Scheduled Receipts Subsystem (Плановые поставки).

8. Shop Flow Control (Управление на уровне производственного цеха).

. Capacity Requirement Planning (Планирование производственных мощностей).

. Input/output control (Контроль входа/выхода).

. Purchasing (Материально техническое снабжение).

. Distribution Resource Planning (Планирование ресурсов распределения).

. Tooling Planning and Control (Планирование и контроль производственных

операций).

. Financial Planning (Управление финансами).

. Simulation (Моделирование).

. Performance Measurement (Оценка результатов деятельности).

Главной задачей управления заказами на предприятии является сокращение времени логистического цикла заказов с целью повышения качества обслуживания потребителей, снижения уровня товарных запасов и общих логистических издержек.

Длина цикла заказа напрямую определяет уровень запасов, который должен поддерживаться в дистрибутивной сети менеджментом заказов. Другими словами, чем короче цикл заказа, тем меньше должен быть поддерживаемый запас с точки зрения удовлетворения потребительского спроса.

Поэтому, если фирма может улучшить потребительский сервис путем уменьшения цикла заказа, потребители должны быть готовы оперировать с меньшими запасами.

1.3 Способы совершенствования управления заказами клиентов на предприятии

Максимальная продолжительность цикла исполнения заказов определяется временем, которое потребитель готов ждать с момента размещения заказа до получения товара (часы, дни). Фактическое время исполнения заказа может превышать это время. В таком случае возникает «разрыв времени исполнения заказа». Цель логистической службы сократить этот разрыв. Для этого следует или снизить время исполнения заказа у поставщика, или увеличить цикл заказа потребителя посредством получения более ранней его заявки[23]. Следует заметить, что этап оптимизации логистического цикла заказов является крайне важным для деятельности организации, поскольку полученные результаты гарантируют ей получение конкурентных преимуществ. Для снижения длительности цикла заказа необходимо совершенствование планирования работы ЛС или цепи поставок с помощью электронной обработки данных EDI и использования логистических информационных систем типа ERP.

Организационная система обработки заказов придает первичный импульс работе всей ЛС. Заказ потребителя выступает как коммуникационное сообщение, приводящее в движение весь логистический процесс. Непосредственное влияние на затраты и эффективность всех операций оказывают скорость и качество информационных потоков. Основой для корпоративной и логистической информационной системы управления (logistics management information Systems) являются система обработки заказов (order processing) и информационная система. Это именно та область, которая имеет огромный потенциал для повышения показателей функционирования логистики (improving logistics performance) [22]. Исследования лучших приемов, применяемых в логистике, показывают, что ключом к обеспечению конкурентоспособности выступают логистические информационные системы.

Цикл выполнения заказа потребителя начинается с размещения заказа (placement of order) и заканчивается моментом, когда продукт доставляется и размещается у потребителя. Типовой цикл состоит из следующих составляющих:

подготовка заказа и его передача (order preparation and transmittal);

прием заказа и его учет (order receipt and order entry);

обработка заказа (order processing);

комплектация и упаковка на складе (warehouse picking and packing);

транспортировка заказа (order transportaron);

доставка потребителю и разгрузка (customer delivery and unloading).

На рисунке 3 мы видим схему продолжительности цикла выполнения заказов

Рис. 3 - Продолжительность цикла выполнения заказа

В каждом компоненте цикла и, соответственно, в общей продолжительности цикла возможны временные отклонения. Нестабильность временных параметров цикла дорого обходится производственному потребителю; из-за этого он должен либо иметь страховой запас (safety stock), позволяющий покрывать возможные задержки поставок, либо отказывать покупателям из-за дефицита продукции[1].

Существует несколько способов того, как заказ потребителя может размещаться, передаваться и поступать па обработку (enter into order processing fonction). Традиционно потребители составляли заказы письменно и передавали их продавцам или отправляли по почте поставщику. Следующим шагом была передача заказа по телефону работнику производителя, который сто регистрировал. Современная система позволяет потребителям также размещать заказы по телефону представителям отдела обслуживания, расположенным в штаб-квартире производителя и имеющим компьютерные терминалы.

Этот тип систем позволяет представителю отдела обслуживания оперативно решать, имеются ли в запасе заказываемые вилы продукции. Если они имеются, то заказанные единицы тут же снимаются с учета, чтобы не попасть в заказ другому потребителю. Если заказываемой продукции нет, то представитель может предложить замену еще в ходе общения с потребителем по телефону или сообщить ему, когда нужный продукт будет в наличии [18].

Электронные методы, такие как электронный терминал, позволяющий передавать информацию по телефонным линиям, и прямая связь типа "компьютер - компьютер", становятся все более распространенными при размещении заказов, обеспечивая максимальную скорость и точность отправки и приема заказов. Все чаще компании предлагают потребителям размещать свои заказы через Интернет. Существует прямая зависимость между затратами на содержание запасов и затратами на коммуникации.

Однако чем более совершенными становятся коммуникационные системы, тем более уязвимыми становятся компании от любых коммуникационных сбоев как внутреннего, так и внешнего характера. Это объясняется тем фактом, что при наличии современных систем обработки заказов и меньших уровнях запасов, страховые запасы существенно уменьшаются, в результате чего при возникновении дефицита из-за нестабильного цикла выполнения заказа у потребителя остается только минимальная защита [18]. Однако во многих цепях поставок имеется большой потенциал, позволяющий применить современные методы выполнения заказов, в результате чего показатели логистики улучшаются.

После того как производитель получает заказ и направляет его в систему обработки, он должен осуществить ряд проверок, позволяющих:

установить, имеется ли нужный продукт в запасе в требуемом количестве;

определить, позволяет ли кредитное состояние данного потребителя принять от него заказ;

включить продукт в график производства, если его нет в запасе.

После этого в файл запасов вносятся корректировки, если необходимо, выполнение заказа задерживается, а производственный отдел составляет отчет с указанием текущего состояния запаса. Кроме того, по результатам процесса выполнения заказа предоставляется вся необходимая информация в бухгалтерию для составления счета-фактуры, подготовки уведомления о принятии заказа к исполнению для отправки его потребителю, подготовки инструкций по комплектованию и упаковке заказа и выдаче его со склада, а также подготовке товарно-транспортной документации (shipping documentation). Когда продукцию забирают со склада и назначают дату ее отправки потребителю, документация отправляется в бухгалтерию, чтобы работники могли составить счет-фактуру.

Основное предназначение системы обработки заказов - предоставить сеть коммуникаций, связывающую потребителя и поставщика. Менеджерам следует оценить различные методы передачи заказа с точки зрения надежности информационных каналов. Коммуникации очень важны, поскольку приводят в движение всю систему логистики.

Потоки потребительского спроса, поступающие от ритейлера через дистрибьютора, через производителя, через поставщиков-производителей и потоки самой продукции движутся в противоположенных направлениях [15]. Розничные продавцы периодически размещают заказы у дистрибьюторов, но этот процесс является для них непрозрачным. Другими словами, дистрибьютор не имеет представления о том, каким будет размер заказа до тех пор, пока он к нему не поступит, т.е. никакой информации о фактических объемах продаж в розничной торговле на момент заказа у него нет. Таким же образом дистрибьюторы, с некоторой долей неопределенности, пересылают заказы производителям, а у производителей повторяется та же самая ситуация с поставщиками. Каждый участник цепочки поставок занимается прогнозированием, используя данные прошлых периодов и исходя из предположения, что будущие продажи будут похожи на предыдущие.

Чем быстрее действует система размещения и доставки заказа, тем дороже она стоит. Таким образом, электронный ввод параметров заказа может оказаться дороже более простых систем, если сравнивать ситуацию только по цене всей системы. Однако логистическая система не может прийти в действие до тех пор, пока заказ не поступит в место его выполнения. Повышение скорости выполнения заказа, точность и стабильность позволяют сократить запасы во всей системе, одновременно сохраняя требуемый уровень обслуживания потребителей. Кроме того, менеджеры могут использовать освободившееся для передачи и приема заказа время, чтобы проанализировать возможности консолидирования небольших грузовых отправок в гранатные партии[16]. В качестве альтернативной стратегии компания может сократить общее время выполнения заказа потребителей, что позволит им поддерживать меньшие по объему запасы. Помимо этого сокращение времени выполнения заказа приводит к снижению промежуточных запасов, находящихся в пути (in-transit inventories), что реально, когда потребители сокращают размеры заказов. Однако большинство потребителей предпочитают стабильность цикла сокращению его продолжительности. Поэтому в случае сокращения времени выполнения заказа, благодаря более быстрым передаче и приему заказов, наилучшим вариантом стратегии для компании будет соответствие плановым параметрам времени и сокращение общих затрат за счет снижения запасов и транспортных издержек. Сокращение других логистических издержек скорее всего будет сопровождаться ростом затрат на коммуникации, перекрывающим это сокращение[2].

Электронный обмен данными (electronic data interchange, EDI) можно определить как обмен документацией между организациями в структурированной форме с машинной обработкой или как непосредственное соединение одного компьютера с другим. При этом передачи происходят в виде стандартизированных деловых документов или форм. Передачи в режиме EDI позволяют получателю непосредственно обрабатывать документ и действовать на основе его содержания [13].

Электронный обмен данными - сложный процесс, но после того, как он внедрен, наблюдается обратное: оказывается, что это очень простая система, позволяющая оперативно устанавливать контакты и взаимодействовать. Потенциальными выгодами EDI являются:

сокращение объема бумажной документации;

повышение точности благодаря сокращению числа ручных операций;

повышение скорости передачи заказов и других данных;

сокращение объема канцелярской и административной работы, связанной с получением данных, их обработкой, отправкой и решением сопутствующих этому задач;

расширение возможностей для активизации функций работников, поскольку им приходится затрачивать меньше времени на канцелярские работы;

сокращение издержек на размещение заказа и связанных с этим процессов;

лучший доступ к информации благодаря высокой скорости подтверждения и рекомендаций по отгрузке;

снижение рабочей нагрузки и более высокая точность работы других подразделений за счет стыковки EDI с другими системами, такими как управление запасами с помощью штрих-кодирования и электронный перевод денежных средств (electronic funds transfers, EFTs);

сокращение запасов за счет повышенной точности и снижения общего времени выполнения заказов.

Система обработки заказов задействует такие логистические виды деятельности, как:

определение способа транспортировки, выбор перевозчика и расчет последовательности загрузки;

распределение запасов и подготовка комплектовочных и упаковочных листов;

осуществление комплектации и упаковывания на складе;

внесение изменений в файл о запасах с учетом фактически выданной продукции;

автоматическая печать списков пополнения;

подготовка отгрузочной документации (коносамента, если используется общественный перевозчик);

отправка продукции потребителю.

К другим компьютеризированным направлениям, связанным с обработкой заказа, относятся управление уровнями запасов (maintaining inventory levels) и подготовка отчетов о производительности, финансовые отчеты и специальные отчеты для управляющего персонала (special management reports) [23].

Обработка заказов вызывает поток информации из одного подразделения в другое, а также создание различных материалов реферативного или оценочного характера в нескольких базах данных, таких как кредитное положение потребителя, наличие запаса, графики транспортировки. Информационная система может быть как полностью автоматизированной, так и ручного типа; хотя большинство таких систем представляют собой тс или иные комбинации обоих вариантов. В зависимости от степени совершенствования системы обработки заказов и корпоративных информационно-управляющих систем (management information system, MIS) скорость информационного потока и качество передаваемой информации меняются, что влияет на способность производителя консолидировать небольшие грузовые отправки в транзитные партии и обеспечивать минимально возможные уровни запасов. Задержки с получением информации тормозят выполнение остальных видов деятельности, участвующих в процессе. Автоматизация и интеграция процесса выполнения заказов сокращает время и снижает вероятность задержек в предоставлении информации [13].

Автоматизация помогает интегрировать логистическую систему и позволяет сокращать общие расходы за счет снижения запасов и затрат на перевозки. Коммуникационная сеть - ключевой фактор для достижения минимизации общих логистических издержек.

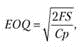
Важнейшим этапом управления запасами сырья и материалов при финансово-экономическом неблагополучии является определение оптимальной партии заказа, что позволяет обеспечить производство и сбыт продукции при минимальных совокупных издержках хранения и выполнения заказов. В мировой практике для этих целей обычно применяется модель EOQ (Economic Ordering Quantity).

Главная идея метода EOQ - разделение затрат:

• на расходы по хранению запасов (растут вместе с объемами хранения);

• расходы по выполнению заказа (уменьшаются в зависимости от объема закупленной партии, так как снижается общее количество заказов за период).

Модель имеет вид:

(7.1)

где F- постоянные издержки выполнения заказа; S - годовой объем продаж; С - затраты по хранению, в процентах от средней стоимости запасов; р - цена единицы сырья или материала (запаса).

Величина денежных средств, которая должна быть запланирована для обеспечения производства данным видом запасов, составляет:


Однако с учетом инфляции каждая новая закупка будет обходиться дороже: стоимость каждой новой закупки должна быть умножена на индекс инфляции за период. Недоучет этого обстоятельства встречается повсеместно и приводит к углублению кризиса. На рисунке 4 показан алгоритм расчета показателей оптимальной заказа продукции

Рис. 4 - Алгоритм расчета показателей оптимальной заказа продукции

При формировании базы данных следует обратить внимание на сезонный характер спроса некоторых групп товаров, подверженных естественной убыли.

Здесь предусматривается возможность выбора расчетной модели не только с учетом известных модификаций EOQ, но и с учетом ограничений и нелинейностей параметров, например, оптовые и дифференцированные скидки и другие мероприятия.

После выбора модификации модели EOQ определяются зависимости для описания процессов поступления продукции, расхода запаса, дефицита, а также убыли. Естественная убыль может подчиняться не только линейной или экспоненциальной зависимости, но и иметь дискретный характер.

Рассматриваются возможные варианты решения дифференциальных уравнений: аналитические, численные, а также известные пакеты программ для ПЭВМ.

Включает определение составляющих общих затрат (организация заказа, хранение, убыль, дефицит) при различных вариантах их учета (рис. 1.4).

Расчет основных показателей модели: оптимальная партия заказа So, число заказов за рассматриваемый период N, периодичность заказов T, минимальные общие затраты и их составляющие, связанные с выполнением основных логистических операций.

Включает формирование альтернативных вариантов. Предпочтительно использовать методы морфологического анализа с целью охвата большинства возможных вариантов подсистем и альтернатив для реализаций подсистем с последующим их ранжированием. Использование принципа обратной связи придает всему алгоритму необходимую цикличность, многовариантность и динамичность, отражает взаимосвязь и взаимовлияние параметров модели.

Сравнение альтернативных вариантов и принятия решений с использованием одного или нескольких критериев (многокритериальная оценка); наиболее целесообразным при решении данной задачи является выбор критерия - минимизации общих логистических издержек.

Представленный алгоритм может быть легко трансформирован и принят при решении других задач управления запасами, например, в случае многономенклатурных поставок, определения объема заказа с учетом инфляции и других.

Документальное оформление заказа

Использование большинством фирм в условиях рыночной экономики сложившихся ранее документов во многих случаях не удовлетворяет современным требованиям.

Относительно ведения документации по закупкам руководителям соответствующих отделов целесообразно разработать стандартные бланки.

В них рекомендуется:

) обозначить его, в целях выделения бланка заказа среди других документов словом «заказ» или «заказ на поставку»;

) присвоить документу порядковый номер. Он применяется в документах, прилагаемых к копии заказа (товарно-транспортная накладная, счет-фактура и т. п.).

Наличие порядкового номера поможет быстрому поиску нужного документа;

) указать название и адрес компании. Эти сведения служат информацией поставщику, с кем ему предстоит иметь деловые отношения, куда поставлять товар и отсылать счет;

) в бланке заказа должно быть указано должностное лицо, желательно, чтобы им являлся человек, стоящий у истока заказа. Это поможет поставщику при необходимости решить возникшие у него проблемы с конкретным человеком.

Ему же он может адресовать интересующие его вопросы, связанные с заказом;

) указывается дата, наименование и адрес поставщика.

) поставить сроки и указать количество поставляемых товаров;

) описать товар. В заказе на поставку должны быть четко определены необходимые товары со ссылками не предложение о закупках и заявкой на спецификацию;

) если адрес поставки не тождественен основному адресу предприятия, названного в бланке заказа, необходимо его указать;

) цена на товар должна быть проставлена в бланке заказа во избежание конфликта при расплате за поставленные товары;

) нужно предоставить свои банковские реквизиты, чтобы не возникали различные финансовые недоразумения.

Для правильного оформления операций поставок необходимо тщательно работать с документами, их отражающими.

Копия заказа направляется в подразделения потребителя для проверки на соответствие уведомлениям о поставке поступившего товара.

При проверке используется описание товара.

Уведомление об отгрузке направляется поставщиком после подготовки продукции к отправке. В этом документе указывают номер заказа и время поставки.

Когда поставщик пользуется транспортом другой фирмы, оформляется документ поставщика. В нем указывается:

) адрес отправителя и его название, описание продукции, количество мест, вес продукции, специфика транспортировки, название поставщика. Для информирования подразделений-потребителей о факте доставки товара, для контроля бухгалтерией соответствия уведомления об отгрузке товара подтверждением получения поставки являются копии заказа и счета;

) номер сопроводительного письма, дата поставки, способ транспортировки, отправитель - все это в книге регистрации товаров вместе с их кратким описанием. Некоторые предприятия не используют приведенные виды уведомления, предпочитая хранить нужные сведения непосредственно в компьютере, но при недобросовестнности поставщика лучше иметь письменные документы;

) не будет лишним в некотором документе описывать брак и другие недостатки предоставленного товара для принятия нужных мер отделом закупки.

Обобщая вышесказанное, отметим, что принципы и методы интегрированной логистики направлены на получение оптимальных решений, в частности за счет минимизации общих логистических издержек компании. Поэтому становится ясно, что сокращение всех видов издержек, связанных с управлением материальным потоком, затрат на транспортировку, складирование, управление заказами, закупками и запасами, упаковку, уменьшение логистических рисков позволяет компании высвободить финансовые средства на дополнительные инвестиции в складское оборудование, информационно-компьютерные системы, рекламу, маркетинговые исследования и т. д. При этом оптимальные решения, принимаемые менеджментом компании - логистическим интегратором, могут быть приняты не только по критерию минимума общих затрат, но и по таким ключевым показателям, как время исполнения заказа и качество логистического сервиса.

2. Особенности управления заказами клиентов на предприятии ООО «Транзит»

.1 Общая характеристика ООО «Транзит»

Общество с ограниченной ответственностью «Транзит» (сокращенно ООО «Транзит») является международным транспортным экспедитором, осуществляющим перевозки грузов разных объемов и видов.

ООО «Транзит» создано в 2009г. в соответствии с Гражданским кодексом Российской Федерации и Федеральным законом «Об обществах с ограниченной ответственностью».

Компания осуществляет свою деятельность на основании Устава, который был утвержден общим собранием акционеров 14.08.2009г. Последние изменения и дополнения были внесены на основании решения Совета директоров 14.08.2009г.

Организационно-правовая форма предприятия - общество с ограниченной ответственностью. Согласно Федеральному закону «Об обществах с ограниченной ответственностью№ от 08.02.1998 N 14-ФЗ члены ООО отвечают по обязательствам только в размере внесенных ими вкладов и не отвечают личным имуществом. ООО «Транзит» образовано полностью как частная компания. Общество является юридическим лицом, имеет самостоятельный баланс, печать, штампы, бланки со своим наименованием, зарегистрированный в установленном порядке товарный знак.

ООО «Транзит» имеет лицензии на все виды оказываемых услуг, выданные Министерством транспорта РФ в 2009г. Предметом деятельности общества является:

а)      организация перевозок грузов;

б)      транспортно-экспедиционное обслуживание грузов на всех видах транспорта;

в)      организация перевозок грузов сухопутным, водным и воздушным транспортом;

г)       прием групповых и индивидуальных партий груза, включая подбор и группировку партий груза, подготовка документации и путевых листов;

д)      местные (пригородные) и дальние (междугородние и международные) грузовые перевозки по железным дорогам, предоставление маневровых услуг, перевозки грузов по подъездным путям предприятий;

е)       деятельность железнодорожного транспорта;

ж)     междугородние и международные перевозки по железным дорогам различных грузов;

з)       деятельность автомобильного грузового транспорта;

и)      перевозка автомобильным грузовым специализированным транспортом различных грузов.

Деятельность компании основывается на следующих нормативных актах:

а)      Гражданский кодекс РФ;

б)      закон о транспортно-экспедиционной деятельности;

в)      закон о защите прав потребителей;

г)       закон о таможенном регулировании;

д)      правила транспортно-экспедиционной деятельности.

Оценка организационной структуры управления является очень важным фактором анализа работы предприятия, ведь от того, насколько правильно выстроена иерархия управления компанией, зависит эффективность деятельности организации[16].

Организационная структура управления компании ООО «Транзит» в 2014г. представлена на рисунке 5.

Рисунок 5 - Организационная структура управления компании ООО «Транзит» в 2014г.

Оценка организационной структуры управления является очень важным фактором анализа работы предприятия, ведь от того, насколько правильно выстроена иерархия управления компанией, зависит эффективность деятельности организации.

В подчинении у генерального директора предприятия ООО «Транзит» находится 1 заместитель. В подчинении у заместителя директора находятся отделы соответствующего профиля.

Задача специалистов компании ООО «Транзит» - сделать общение клиента с компанией как можно более комфортным в процессе выполнения его перевозки. С каждым клиентом работает персональный менеджер, который полностью ведет перевозку груза клиента от начала до конца. Специалисты по перевозкам на основе заявки клиента предлагают оптимальные варианты доставки груза, производят расчет стоимости услуг и контролируют весь процесс транспортировки, складирования, импортного и экспортного оформления товара. Специалисты компании ООО «Транзит» готовы обеспечить для клиентов оперативное и грамотное решение всех нестандартных ситуаций, связанных с перевозкой груза.

В обязанности генерального директора входят:

оперативное управление предприятием;

осуществление текущей финансовой и хозяйственной деятельности по управлению предприятием;

наем и увольнение работников;

обеспечение исполнения решений Собрания участников;

заключение всех видов договоров;

представление предприятия во всех государственных и иных организациях, в том числе и во внешнеэкономической деятельности;

Заместитель генерального директора ведет коммерческую и предпринимательскую деятельность. Представляет интересы предприятия во всех государственных и иных органах, суде, арбитраже.

Главный бухгалтер предприятия ведет бухгалтерский учет и отчетность согласно законодательству.

Имущество предприятия составляют основные и оборотные средства, находящиеся на балансе предприятия. Операционный год устанавливается с 1 января по 31 декабря календарного года. Годовой баланс предприятия составляется по окончании финансового года.

Источниками формирования имущества предприятия являются:

денежные и имущественные вклады участников, доходы от ценных бумаг, предпринимательской деятельности;

кредиты банков и других кредиторов.

Уставный (фонд) капитал предприятия образуется за счет вкладов участников и разделен на доли.

Предприятие создало Резервный фонд, который формируется за счет ежегодных отчислений от чистой прибыли.

Чистая прибыль предприятия, оставшаяся после уплаты налоговых платежей и выплаты дивидендов, поступает в распоряжение предприятия и распределяется в порядке, определяемом Собранием участников и Учредительным договором.

Компания осуществляет финансовые операции по наличному и безналичному расчету.

Убытки, возникшие в результате хозяйственной деятельности предприятия покрываются за счет резервного фонда.

С первого дня существования руководство фирмы придерживается демократического стиля управления, который предусматривает открытый рынок продаж, конкуренцию по критерию цена - потребительские качества, инфраструктуру, ориентированную на клиента и соответствующую требованиям получения максимальных доходов. Этих принципов управления фирма придерживается до сих пор.

При демократическом стиле управления дирекция принимает основополагающие решения, связанные с функционированием фирмы:

планирование;

организация работ (процесс);

управление персоналом;

контроль.

Начальники отделов принимают решения, связанные с деятельностью предприятия:

производительностью труда;

качеством работы;

издержками производства;

прибылью;

текучестью кадров.

Исполнительный уровень принимает решения, связанные с выполнением задач.

На сегодняшний день такой стиль управления может обеспечить полноценное функционирование фирмы и положительные результаты в работе.

В ООО «Транзит» действуют 4 отдела:

.        Финансовый отдел - является неотъемлемым участником любой сделки с клиентом. Через него проходят все оплаты клиентов, оплаты по платежам в таможенные органы, оплаты транспортным компаниям и агентам морских линий. Функция финансового отдела - отслеживание всех платежей и подготовка полного комплекта бухгалтерских и других документов, предусмотренных Российским законодательством.

.        Коммерческий отдел - занимается непосредственно организацией процесса доставки груза. Их задача - сделать этот процесс слаженным, планомерным и оптимальным по срокам и затратам на всех его стадиях.

.        Аналитический отдел - занимается отслеживанием местонахождения груза в любой момент процесса доставки и информируют о нем клиента.

.        В отделе ВЭД работают специалисты по экспортному и импортному оформлению грузов. Они обеспечивают выполнение всех законодательных требований, сопутствующих перевозке груза, а также профессиональное консультирование по вопросам оформления грузов, ведение таможенных операций в экспортно-импортном режиме.

В компании существует хорошо отлаженная структура управления, благодаря которой достигается оперативность и, главное, эффективность управления.

Несмотря на свою молодость, компании удалось заключить ряд перспективных договоров о сотрудничестве с крупными предприятиями и организациями края, в том числе Владивостокским Морским Торговым Портом и Дальневосточным Морским Пароходством. Кроме того, фирма сотрудничает с Дальневосточным отделением железной дороги и другими Численность персонала транспортно-экспедиционного предприятия ООО «Транзит» небольшая. В настоящее время общее количество работников составляет 18 человек.

Для более полной картины о деятельности компании перейдем к рассмотрению динамики основных финансово-экономических показателей ООО «Транзит», которые представлены в таблице 2.1.

Таблица 2.1 - Динамика основных экономических показателей деятельности компании ООО «Транзит» в 2012-2014гг, тыс. руб.

Показатели

2012г.

2013г.

2014г.

2013/2012гг., %

2014/2013гг., %

Выручка от продаж

20046

60240

68560

300,5

113,8

Себестоимость продаж

11746

47180

52100

401,6

110,4

Валовая прибыль

8300

13060

16460

157,3

Управленческие расходы

8400

12200

13700

145,2

112,3

Прибыль (убыток) от реализации

-100

860

2 760

-

320,9

Прочие доходы

1350

4430

5860

328,1

132,3

Прочие расходы

1310

4120

4980

314,5

120,9

Налог на прибыль

-

234

728

-

311,1

Прибыль после налогообложения

-

936

2912

-

311,1

Чистая прибыль

-60

936

2912

-

-

Рентабельность, %

0,5

1,9

5,5

-

-


Из данных таблицы 1.2 можно сделать вывод, что у компании ООО «Транзит» на протяжении исследуемого периода наблюдается рост всех экономических показателей. Так, выручка от продаж в 2013 году по сравнению с 2012 годом увеличилась в 3раза, себестоимость товаров - в 4раза, валовая прибыль - в 1,5 раза. Если же сравнивать основные экономические показатели деятельности компании ООО «Транзит» в 2013г. по сравнению с 2014г., то можно сделать вывод о том, что показатели увеличиваются, не столь значительно, как в первый год после ее основания. Так, выручка от продаж увеличилось в 1,13 раза, себестоимость товаров - в 1,1раза, валовая прибыль - в 1,26раза, прибыль от реализации увеличилась в 3 раза, а чистая прибыль - в 3,1 раза.

Затраты компании тоже увеличиваются, что связано с ростом и развитием материально-технической базы компании и расходов на её содержание и амортизацию. Так, в 2014г. по сравнению с 2013г. управленческие расходы выросли в 1,1 раза, а по сравнению 2013г. с 2012г. - в 1,4 раз. Прочие расходы в период с 2012г. по 2013г. тоже увеличились в 3,1 раза, а в 2014г. по сравнению с 2013г. - в 1,2 раза. Вместе с тем, следует заметить, что темпы роста выручки и прибыли опережают темпы роста затрат, что является положительной тенденцией в деятельности предприятия. Однако, в 2012г. наблюдается большой убыток в компании (1310 тыс. руб.), вызванный увеличением управленческих расходов. Это связано, прежде всего, с тем, что транспортно-экспедиционная компания ООО «Транзит» создавалась именно в этом году. При выходе на рынок предприятием была проведена большая рекламная кампания, на которую были потрачены значительные денежные средства. Это было сделано для того, чтобы привлечь клиентскую базу, занять собственную нишу и утвердиться на рынке транспортно-экспедиторских услуг. Проанализировав динамику основных экономических показателей компании ООО «Транзит» в период с 2012г. по 2014г., можно сделать вывод о том, что рекламная кампания предприятием ООО «Транзит» была проведена успешно, так как очевиден рост всех финансово-экономических показателей деятельности компании. Выручка от реализации товаров в 2014г. по сравнению с 2012г. выросла в 3,4 раза, а чистая прибыль в 2014 году сравнению с 2013 годом в 3,1 раза.

Стремительный рост доходов ООО «Транзит» от предоставления транспортно-экспедиционных услуг связан с активным привлечением клиентской базы и ростом объемов потребляемых услуг. Компания самостоятельно наладила работу с местной клиентурой, услугами компании пользуются как отечественные, так и зарубежные фирмы, как крупные, так и молодые начинающие коммерческие структуры.

Руководство компании ООО «Транзит» считает, что в недалеком будущем все это поможет стать ей одной из ведущих транспортно-экспедиторских компаний Приморского края.

2.2 Анализ деятельности по управлению заказами клиентов

Прежде чем начать работу с новым клиентом, менеджеры компании «Транзит» согласовывают и подписывают с каждым новым клиентом договор, в котором оговариваются все условия сотрудничества, ответственность сторон и условия оплаты. После подписания договора о сотрудничестве, компания принимает заказы от своих клиентов, которые оформляются в виде заявок на перевозку, в которых указывается основная информация: 1. Грузоотправитель, его адрес, реквизиты, телефон, время работы, контактное лицо; 2. Грузополучатель, его адрес, реквизиты, телефон, время работы, контактное лицо; 3. Описание груза, размер, вес, количество мест, вид упаковки, специальные условия транспортировки, если они есть; 4. Дата готовности груза к отправке; 5. Тип транспортировки (на основании ИНКОТЕРМС 2010) 6. Другая информация, необходимая для грузоперевозчика. В тех случаях, когда груз проходит таможенную очистку (импорт, экспорт, транзит), с клиентом дополнительно оговариваются те документы, которые должны быть на конкретный груз, а так же пограничный и таможенные пункты, через которые будет следовать груз. На основании заявки, полученной от клиента, менеджеры компании «Транзит» рассчитывают тариф на конкретную перевозку и высылаю клиенту подтверждение заявки. Заявки, как правило, пересылаются по факсу или и-мэйлу и имею юридическую силу на равнее с оригинальным документом. За невыполнение своих обязательств, например за слишком длительный простой автомобиля под погрузкой или разгрузкой, компания «Транзит» предусматривает штрафные санкции -3000рублей в сутки за автомобиль. Однако эти санкции скорее носят стимулирующий характер, поскольку с клиентами у компании «Транзит»установлены длительные партнерские отношения и они стараются не подводить друг друга. Компания «Транзит» работает со своими клиентами на условиях оплаты после предоставления подписанного грузополучателя CMR, а иногда, по факту выгрузки товара. Все расчеты осуществляются путем банковских перечислений.

Дополнительный сервис при комплектации готовых заказов: • изготовление комплектов и подарочных наборов; • переупаковка, маркировка, стикеровка; • термоупаковка, специальные виды упаковок (метроюниты и т.д.) Менеджеры компании ООО «Транзит» оперируют Одним из объектов экономического регулирования- транспортными тарифами, в частности их установление и изменение. Транспортный тариф представляет собой ставку, по которой перевозчик взимает плату за свои услуги.

В основе транспортных тарифов лежат общественно необходимые затраты труда по доставке груза, что определяет стоимость перевозки, денежным выражением которой является транспортный тариф. В настоящее время регулируются тарифы на такие виды транспортных услуг, как перевозки грузов и погрузо-разгрузочные работы на железнодорожном транспорте; перевозки пассажиров, багажа, грузобагажа и почты на железнодорожном транспорте; погрузо-разгрузочные работы в портах, портовые сборы, сборы за проход по внутренним водным путям иностранных судов.

Существует ряд факторов, которыми руководствуются сотрудники компании «Транзит», влияющие на величину транспортных тарифов.

В экономике транспорта существенную роль при установлении тарифов играют семь факторов: расстояние (дальность перевозок); объём; плотность грузов; укладистость грузов; грузопереработка (погрузо-разгрузочные операции); ответственность перевозчика и рыночные условия. Рассмотрим значимость каждого фактора подробнее [9]. Расстояние является основным фактором, определяющим величину транспортных расходов, так как от него зависит объём затрат на оплату труда, горючее, техническое обслуживание и ремонт подвижного состава.

С увеличением дальности перевозок, уменьшается доля участков, приходящихся на городские территории, и увеличивается доля пути по магистральным дорогам. Движение по магистральным дорогам обходится дешевле нежели по городским территориям в расчёте на 1 километр, так как скорость движения транспорта выше, а следовательно, расход топлива меньше. Также в городских зонах часто имеют место перевалочные пункты, в которых осуществляется погрузка-разгрузка, что влечёт за собой дополнительные издержки на грузопереработку.

Объём груза определяет величину издержек на единицу массы (тонну или центнер). При больших объёмах постоянные расходы на приёмку грузов и доставку их получателям распределяют на дополнительные единицы груза. Зависимость ограничена только максимальной грузовместимостью транспортного средства. Из этого следует вывод, что для экономии средств, малые грузовые отправки следует консолидировать в более крупные. Третьим по значимости фактором является плотность груза (отношение массы груза к его объёму). Обычно транспортные издержки снижаются на единицу массы, к примеру, на тонну. Но ёмкость транспортного средства ограничена скорее свободным пространством, предназначенным для загрузки, нежели массой груза. Если трейлер полностью загружен, то каким бы малым не был вес груза, больше в него не поместится. Из этого следует вывод, что чем больше плотность груза, тем дешевле обходится перевозка единицы его массы.

Логисты, менеджеры компании «Транзит» обычно стремятся увеличить плотность груза, чтобы наиболее эффективно использовать грузовместимость транспортных средств. В большинстве случаев, увеличение плотности грузов ведёт к сокращению транспортных расходов на единицу массы.

Укладистость грузов представляет собой характеристику формы и габаритов груза, влияющих на использование полезного объёма транспортного средства. Прямоугольные изделия стандартных размеров укладывать намного проще, чем громоздкие изделия или изделия необычной формы. Что касается грузопереработки, то она подразумевает, что для разгрузки-погрузки судов, вагонов и трейлеров может понадобиться специальное грузоперерабатывающее оборудование. Расходы на грузопереработку зависят от способа упаковки грузов (на поддонах, в коробках, ящиках или в связках) для транспортировки и складирования.

В вопросе об ответственности за сохранность груза можно выделить следующие аспекты: опасность повреждения груза, опасность утраты груза, опасность порчи скоропортящихся продуктов, опасность воровства, опасность самопроизвольного возгорания или взрыва [21]. На случай претензий со стороны грузоотправителей или грузополучателей, перевозчикам следует страховать грузы.

Также величину транспортных тарифов определяют и такие рыночные факторы, как загруженность и сбалансированность рейсов. После доставки груза в пункт назначения транспортные средства возвращаются в пункт отправления либо вновь загруженными, либо пустыми.

Идеальной представляется ситуация, когда удаётся наладить равнозагруженные рейсы в обоих направлениях.

Без хорошо развитой транспортной системы, логистика не обладала бы всеми теми преимуществами, которыми она обладает. К тому же, хорошая транспортная система в логистике может повысить эффективность логистических операций, а также снизить операционные издержки. Улучшение транспортных систем нуждается в действиях как со стороны государственного, так и со стороны частного сектора экономики. Хорошо скоординированная логистическая система может повысить конкурентоспособность, как государства, так и предприятий. Транспортировка играет роль связующего звена среди всех остальных элементов цепи поставок, которые, взаимодействуя, дают результат в виде конвертации ресурсов и материалов в потребительские товары [23].

Одной из основных проблем ООО «Транзит» является неправильно разработанная система управления качеством оказываемых предприятием транспортно-экспедиционных услуг. Система ориентирована на стандартные показатели качества, к которым относятся такие показатели, как надежность и гибкость поставки; время обработки заказа; количество нарушений договорных обязательств и т.д. В ней не используются дополнительные критерии (время реагирования на запрос потребителя; комплексность заказа; частота поставок в течение требуемого периода и т.д.), которые могли бы наиболее полно отражать уровень качества услуг, предоставляемых клиентам ООО «Транзит».

Посредством правильно организованной транспортной системы, товары могут быть доставлены в нужное место и в нужное время, чтобы удовлетворить потребительские нужды. Фактически транспортировка является мостом между производителями и потребителями. К чему и стремится компания ООО «Транзит».

Основными преимуществами ООО «Транзит» являются оперативность работы, высокий уровень сервиса и профессионализм сотрудников. Менеджмент, построенный на этих принципах, позволил компании довольно быстро занять высокую позицию на рынке, а также обеспечил хорошую репутацию среди пользователей транспортно-экспедиторских услуг.

Проведенный анализ деятельности компании ООО «Транзит» по организации транспортно-экспедиционного обслуживания и оценке качества оказываемых услуг позволил выявить следующие аспекты, нуждающиеся в совершенствовании, а именно отсутствие на предприятии современной информационной поддержки транспортно-экспедиционной деятельности, позволяющей вести комплексный учет, тщательный анализ и подробное отслеживание всех видов логистических издержек.

2.3 Пути совершенствования управления заказами на ООО «Транзит»

Проанализировав работу менеджеров компании ООО «Транзит», мы со своей стороны считаем, что для оптимизации затрат в целом по компании, а так же в первую очередь для совершенствования управления заказами на данном предприятии, необходимо автоматизировать работу с помощью программного обеспечения.

На первом этапе, чтобы избежать излишних затрат на установку дорогой программы нужно чётко определиться с функционалом, который компания хочет получить от новой системы. Причём не важно, собирается ли компания для автоматизации использовать готовый продукт как есть, переделывать его под свои нужды или, вообще, писать такую программу с нуля - в любом случае, в первую очередь надо решить вопрос о необходимом функционале такого программного решения.

Постараемся, не рассматривая и не сравнивая конкретные программы, предложенные в данный момент на рынке, уяснить для себя, какие функциональные возможности продукта по планированию и учёту перевозок предприятия бывают.

У такого решения есть явные плюсы:

· отсечение случаев, когда сотрудники, просто, забывают что-либо;

· внедрение нетривиальных алгоритмов оптимизации затрат;

· уменьшение рутинной нагрузки на сотрудников и ускорение их работы;

· создание, выравнивание и контроль планов работы.

Есть и минусы:

· допущенная ошибка, может автоматически масштабироваться программой;

· дополнительные затраты на разработку, внедрение и поддержку программы;

· дестабилизация бизнес-процессов компании во время внедрения.

Но даже, с учётом этих минусов, корректная автоматизация - это безусловное благо. У программы есть ещё один большой плюс - она не ошибается. Все ошибки программы - это ошибки человека, который её создавал, и по мере использования программы эти ошибки рано или поздно всплывают и устраняются.

База заявок на перевозку-это самая простая и необходимая функция любой подобной программы, которую можно реализовать даже своими силами в Excel. Благодаря ей диспетчер всегда будет знать, на каком этапе у него должны находиться и реально находятся все заявки на перевозку, которые он получил. В результате вы не забудете ни про какую из них, а в случае возникновения каких-либо вопросов, всегда сможете оперативно на них ответить. Возможная детализация:

Номер и дата заявки на перевозку;

Инициатор;

Диспетчер;

Статус заказа;

Объём, вес и количество мест в заказе (плановые и фактические данные);

Состав заказа;

Стоимость доставки;

Способ оплаты (оплачивает контрагент / нал / безнал);

Адрес отгрузки (или склад компании);

Дата отгрузки (плановые и фактические данные);

Адрес доставки (или склад компании);

Дата доставки (плановые и фактические данные);

Необходимые сопроводительные документы;

Необходимые условия доставки;

Примечание для отражения дополнительных договорённостей с клиентом.

Как только у вас появились данные о заявках на перевозку, вы сразу захотите получить инструмент по планированию загрузки вашего автотранспорта, и отслеживанию осуществляемых перевозок, чтобы в случае возникновения накладок, диспетчер первым бы узнал о них, и у него самого была бы вся необходимая информация для принятия своевременного оптимального решения. Возможная детализация:

Номера заявок на перевозку;

Транспортное средство;

Водитель;

Экспедитор;

Суммарный пробег (плановые и фактические данные);

Время работы (плановые и фактические данные);

Даты и время прохождения контрольных точек (плановые и фактические данные);

Заполнение объёма транспортного средства и использование его грузоподъёмности;

Примечания для отражения причин несоответствия плановых и фактических значений.

Кроме оперативного планирования наличие данного модуля позволяет печатать нужные сопроводительные документы в нужном количестве по нажатию одной кнопки, так как все необходимые для этого данные уже занесены в соответствующие справочники, сам документ перевозки или привязанные к нему другие документы.

Кроме этого надо всегда помнить, что программа по планированию и учёту перевозок может и по-хорошему должна быть тесно интегрирована с учётной системой компании. Поэтому не редко такие программы реализуют в качестве модуля корпоративной информационной системы компании для полной синхронизации вносимых изменений и общего доступа ко всем необходимым данным. Это важно, так как слаженная работа всех подразделений компании является необходимым условием её процветания. И, разумеется, любая автоматизация должна помогать в достижении этой слаженности, закрепляя в своём алгоритме стандарты и протоколы работы этих подразделений, в особенности на границах между ними.

Считаем, что внедрение данного автоматизированного оборудования приведет к совершенствованию системы управления заказами и как следствие сокращение всех издержек. Для руководства компании ООО «Транзит»- это прозрачность работы подразделений и аналитические данные в любом разрезе. Для подчинённых компании «Транзит» - освобождение от рутинных обязанностей и возможность заняться более креативной работой, результаты которой будут более заметны руководству, нежели каждодневные, монотонные, доведённые до автоматизма действия, которые убивают столько времени и сил.

Основной объект анализа интегрированной логистики - ее функциональный цикл, или цикл исполнения заказа. Исследование параметров интеграции на основании функциональных циклов позволяет определить динамику, взаимосвязи и решения, в совокупности образующие операционную систему логистики.

Для понимания логистической системы важно учитывать три обстоятельства. Во-первых, цикл исполнения заказа (функциональный цикл) служит главным объектом анализа интеграции логистических функций. Во-вторых, базовая структура функционального цикла в том, что касается связей и узлов, одинакова и для физического распределения, и для материально-технического обеспечения производства, и для снабжения. Существенное различие, однако, составляет степень контроля фирмы над разными типами функционального цикла. В-третьих, какой бы сложной ни была логистическая система в целом, необходимо исследовать конфигурацию отдельного функционального цикла, чтобы выявить важнейшие взаимосвязи и линии контроля. Это не простое, но обязательное условие интеграции.

Заключение

заказ управление перевозка логистический

Транспорт представляет собой важное звено в логистической системе. Он должен обладать рядом необходимых свойств и удовлетворять определенным требованиям в целях создания инновационных систем сбора и распределения грузов. Прежде всего, транспорт должен быть достаточно гибким, чтобы обеспечивать перевозочный процесс, подвергающийся еженедельной или даже ежедневной корректировке, гарантировать частую и круглосуточную доставку грузов в разбросанные отдаленные пункты, надежно обслуживать клиентуру с целью избегания остановки работы предприятий.

Целью данной курсовой работы было раскрытие теоретических и практических аспектов управления заказами в логистической системе. Считаем, что нам это удалось.

В процессе работы были рассмотрены и изучены все поставленные задачи.

Современная экономическая ситуация характеризуется все возрастающей конкуренцией на рынке товаров и услуг. Следствием этого является повышение уровня требований клиентов. В таких условиях развитие любой компании, ориентированной на обслуживание большого числа потребителей, должно быть очень динамичным. Целью этого развития является предоставление услуг такого качества и в таком объеме, которые будут соответствовать ожиданиям клиентов. Вполне вероятно, что даже фирме, добившейся высшего на рынке уровня сервиса и застывшей на миг в благодушном созерцании открывающихся перспектив и возможностей, в итоге придется наблюдать спины обгоняющих и стремительно удаляющихся конкурентов.

Регулярно проводимые исследования предпочтений экономически активных групп потребителей показывают постепенное изменение критериев, по которым производится выбор услуги. Несомненно, низкая цена и высокое качество товара по-прежнему являются важнейшими в этом списке критериев, однако они являются уже не просто желательными характеристиками, а, скорее, обязательным стандартом конкурентоспособной услуги. Сегодня потребители все чаще обращают внимание на дополнительные критерии, такие как сроки доставки, возможность получения заказанного товара в четко оговоренное время, а также качественное информационное сопровождение процесса выполнения заказа.

Пока не все фирмы способны предложить своим клиентам доставку товара в день получения заказа (обычной практикой является доставка на следующий день). Однако очевидно, что в настоящее время стандарты обслуживания становятся более жесткими, и от способности соответствовать им будет зависеть положение компании на рынке.

Исполнение заказов клиентов - основная операция в логистике, поэтому попросту говоря, управление заказами означает удовлетворение конкретных запросов клиентов. Управление заказами охватывает все виды деятельности, так или иначе связанные с удовлетворением запросов потребителей - начиная приемом заказа, заканчивая поставкой товара, выставлением счета и получения оплаты. Степень компетентности любой компании зависит от ее способности управлять заказами. А правильное управление каждой из вышеперечисленных областей позволяет достичь определенного уровня обслуживания клиентов, при соответствующем приемлемом уровне издержек

Главной задачей управления заказами на предприятии является сокращение времени логистического цикла заказов с целью повышения качества обслуживания потребителей, снижения уровня товарных запасов и общих логистических издержек.

Длина цикла заказа напрямую определяет уровень запасов, который должен поддерживаться в дистрибутивной сети менеджментом заказов. Другими словами, чем короче цикл заказа, тем меньше должен быть поддерживаемый запас с точки зрения удовлетворения потребительского спроса.

Поэтому, если фирма может улучшить потребительский сервис путем уменьшения цикла заказа, потребители должны быть готовы оперировать с меньшими запасами.

Обобщая вышесказанное, отметим, что принципы и методы интегрированной логистики направлены на получение оптимальных решений, в частности за счет минимизации общих логистических издержек компании. Поэтому становится ясно, что сокращение всех видов издержек, связанных с управлением материальным потоком, затрат на транспортировку, складирование, управление заказами, закупками и запасами, упаковку, уменьшение логистических рисков позволяет компании высвободить финансовые средства на дополнительные инвестиции в складское оборудование, информационно-компьютерные системы, рекламу, маркетинговые исследования и т. д. При этом оптимальные решения, принимаемые менеджментом компании - логистическим интегратором, могут быть приняты не только по критерию минимума общих затрат, но и по таким ключевым показателям, как время исполнения заказа и качество логистического сервиса.

Что касается рассматриваемой нами компании ООО «Транзит», то стремительный рост доходов ООО «Транзит» от предоставления транспортно-экспедиционных услуг связан с активным привлечением клиентской базы и ростом объемов потребляемых услуг. Компания самостоятельно наладила работу с местной клиентурой, услугами компании пользуются как отечественные, так и зарубежные фирмы, как крупные, так и молодые начинающие коммерческие структуры.

Руководство компании ООО «Транзит» считает, что в недалеком будущем все это поможет стать ей одной из ведущих транспортно-экспедиторских компаний Приморского края.

Основными преимуществами ООО «Транзит» являются оперативность работы, высокий уровень сервиса и профессионализм сотрудников. Менеджмент, построенный на этих принципах, позволил компании довольно быстро занять высокую позицию на рынке, а также обеспечил хорошую репутацию среди пользователей транспортно-экспедиторских услуг.

Проведенный анализ деятельности компании ООО «Транзит» по организации транспортно-экспедиционного обслуживания и оценке качества оказываемых услуг позволил выявить следующие аспекты, нуждающиеся в совершенствовании, а именно отсутствие на предприятии современной информационной поддержки транспортно-экспедиционной деятельности, позволяющей вести комплексный учет, тщательный анализ и подробное отслеживание всех видов логистических издержек.

Считаем, что внедрение данного автоматизированного оборудования приведет к совершенствованию системы управления заказами и как следствие сокращение всех издержек. Для руководства компании ООО «Транзит» - это прозрачность работы подразделений и аналитические данные в любом разрезе. Для подчинённых компании «Транзит» - освобождение от рутинных обязанностей и возможность заняться более креативной работой, результаты которой будут более заметны руководству, нежели каждодневные, монотонные, доведённые до автоматизма действия, которые убивают столько времени и сил.

Основной объект анализа интегрированной логистики - ее функциональный цикл, или цикл исполнения заказа. Автоматизация всех действий в компании позволит оперативно определять параметры интеграции на основании функциональных циклов, позволит определить динамику, взаимосвязи и решения, в совокупности образующие операционную систему логистики.

Список использованных источников

1. Аникин Б.А. Логистика: Учебник. /Под ред. Б.А. Аникина: 3-е изд., перераб. и доп. - М.: ИНФРА - М, 2011. - 368с.

. Аникин Б.А. Логистика: учеб. пособие /Б.А. Аникин [и др.]; под ред. Б.А. Аникина, Т.А. Родкиной. - М.: ТК Велби, Изд-во Проспект, 2010. - 408 с.

. Аникин Б.А. Практикум по логистике: Учеб. Пособие.- 2-е изд., перераб. и доп. /Под ред. Б.А. Аникина. - М.: ИНФРА - М, 2012. - 276с.

. Афанасьев Л.Л. Единая транспортная система и автомобильные перевозки. - Изд. 2-е, перераб. и доп. / Под ред. Л.Л. Афанасьев, Н.Б. Островский, Цукерберг С.М. Единая транспортная система и автомобильные перевозки. - М.: Транспорт, 2010. - 336с.

. Гаджинский А.М. Логистика: Учебник. - 16-е изд., перераб. и доп. - М.: Издательско-торговая корпорация «Дашков и К», 2012. - 483с.

. Дайер Дж. и др. Стратегическое сегментирование поставщиков: модель для управления поставщиками в XXI в. В кн. Стратегическая гибкость. СПб.: Питер, 2014.

. Джонсон С. и др. Современная логистика. 7-е изд. М.: Вильяме, 2013.-340с.

. Бузукова Е. Закупки и поставщики. Курс управления ассортиментом в рознице / под ред. С. Сысоевой. СПб: Питер, 2011.- 304с.

. Аакер Д. Стратегическое рыночное управление. СПб.: Питер, 2011. - 288с.

. Столбов В.Ю., Федосеев С.А. Модель интеллектуальной системы управления предприятием // Проблемы управления. - 2012. - № 5. - С. 36-39.

. Гуджоян О.П. Перевозка специфических грузов автомобильным транспортом / О.П. Гуджоян, Н.А. Троицкая. Учебник для вузов. - М.: Транспорт, 2011. - 160 с.

. Дыбская В.В. Логистика в Германии // Логистика и управление цепями поставок. 2013. - № 4.- 184с.

. Жилкина А. Финансовое планирование на предприятии. М.: ООО фирма «Благовест-В», 2014.- 227с.

. Кириченко А.В. Перевозка экспортно-импортных грузов. Организация логистических систем. 2-е изд., доп. и перераб. /Под ред. А.В. Кириченко. - СПб.: Питер, 2014. - 506с.

. Курганов В.М. Логистика. Транспорт и склад в цепи поставок товаров. Учебно-практическое пособие. / В.М. Курганов. - М.: Книжный мир. 2013. - 432с.

. Курганов В.М. Логистические транспортные потоки: Учеб.-практ. пособие / В.М. Курганов. - М.: Издательско-торговая корпорация «Дашков и К», 2013. - 418с.

. Долгов А. и др. Логистический менеджмент фирмы: концепция, методы и модели. СПб.: Бизнес-пресса, 2011.-397с.

. Миротин Л.Б. Транспортная логистика: Учебник / Л.Б. Миротин, И.Э. Табышев, А.Г. Касёнов. - М.: ИНФРА-М, 2010. - 190 с.

. Николайчук В.Е. Транспортно-складская логистика: учеб. пособие / В.Е. Николайчук. - М.: Издательско-торговая корпорация «Дашков и К», 2012. - 524с.

. Родионов А.Р. Логистика: комплектование сбытовых запасов и оборотных средств предприятия: учеб. пособие для вузов./ А.Р. Родионов. - М.: Проспект, 2010.

. Савин В.И. Перевозки грузов автомобильным транспортом: Справ. Пособие. - М.: Дело и сервис, 2012. - 544 с.

. Зеваков А. Логистика материальных запасов и финансовых активов. СПб.: Питер, 20013.- 528с.

. Степанов В.И. Логистика. Учебник для вузов./ В.И. Степанов. - М.: ТК Велби, Изд-во Проспект,2013. - 543с.

. Чейз Р.Б. Производственный и операционный менеджмент / Р.Б. Чейз, Н.Дж. Эквилайн, Р.Ф. Якобс. - 8-е издание. - М.: Издательский дом «Вильяме», 2014. - 704 с.

. Чеботарёв А.А. Специализированные транспортные средства. Выбор и эффективность применения / А.А. Чеботарёв - М.: Транспорт, 1912. - 159 с.

Приложение

Форма заявки на осуществление перевозки по счету № _______ от «_ » ____________ 2010г.

ЗАКАЗЧИК: __________________________

ИСПОЛНИТЕЛЬ: ______________________

Автомобиль

Ед.изм.

Кол-во

Цена за ед. изм.

Маршрут

Сумма

1.


шт





2.


шт





3.







4.

Итого:


5.

Итого НДС:


6.

Всего к оплате:



Всего наименований:

Всего к оплате:

Дополнительные сведения (заполняются ЗАКАЗЧИКОМ):

ЗАКАЗЧИК _________________________________________________

ДАТА РАБОТЫ ______________________________________________

МАРКА, КОЛ-ВО А/М ________________________________________

МАРШРУТ ПЕРЕВОЗИМОГО ГРУЗА __________________________

______________________________________________________

НАИМЕНОВАНИЕ ГРУЗА _____________________________________

СТОИМОСТЬ ПЕРЕВОЗИМОГО ГРУЗА ________________________

СТРАХОВАНИЕ ГРУЗА (ВКЛЮЧИТЬ В СТОИМОСТЬ ПЕРЕВОЗКИ СТРАХОВАНИЕ ГРУЗА) ДА /НЕТ (ПРОПИСЬЮ)

__________________________________________________________

ХАРАКТЕРИСТИКА ГРУЗА (ОБЬЕМ, ВЕС, ГАБАРИТЫ)_________

________________________________________________________________________________________________________________

ДАТА, АДРЕС ЗАГРУЗКИ ____________________________________

ДАТА, АДРЕС РАЗГРУЗКИ ____________________________________

__________________________________________________

СУММА ПЕРЕВОЗКИ ________________________________________

ФОРМА ОПЛАТЫ (НАЛ / Б.НАЛ.) _____________________________

ТЕЛ. / ФАКС ЗАКАЗЧИКА _____________________________

ДОПОЛНИТЕЛЬНЫЕ ТЕЛЕФОНЫ _____________________________

Клиент несет ответственность за достоверность сведений, указанных в данной заявке. В отправляемом грузе отсутствуют предметы, категорически запрещенные к перевозке, а именно: ядовитые, едкие, отравляющие, самовозгорающиеся и зловонные вещества, сжатые и сжиженные газы.

ЗАКАЗЧИК ИСПОЛНИТЕЛЬ

__________________ ___________________________________

Ф.И.О ________________________ Ф.И.О. __________________

Подпись______________ Подпись ___________________________

М.П.                                                М.П.

Похожие работы на - Теоретические и практические аспекты управления заказами в логистической системе

 

Не нашли материал для своей работы?
Поможем написать уникальную работу
Без плагиата!
Без нейросетей!