Групування показників за капіталом
Завдання 1. Побудуємо інтервальний
ряд розподілу за капіталом
Величину інтервалу обчислюється за
формулою:
,
де
,
-
відповідно найменше та найбільше числові значення капіталу (
=
10,7,
=
3,9); m - число передбачених груп (за умовою m=4).
|
Групи
|
Кількість, nj
|
Частка капіталу банків , %
|
|
3,9-5,6
|
16
|
53
|
|
5,6-7,3
|
6
|
20
|
|
7,3-9
|
3
|
10
|
|
9-10,7
|
5
|
17
|
|
Всього
|
30
|
100
|
Обчислимо частку
капіталу, за пріоритетними напрямами вкладання вільних коштів розраховуємо за
формулою: Ч = f /
.
Висновок. Групування показників
банків за капіталом показало, що найбільша частка банків з капіталом 3,9-5,6
млн. грн.. - 53, а найменша з капіталом - 7,3-9 млн. грн.. - це 10%.
Завдання 2. Побудуємо інтервальний
ряд розподілу за прибутковістю капіталу
Величину інтервалу обчислюється за
формулою:
,
де
,
-
відповідно найменше та найбільше числові значення капіталу (
=
75,1,
=
5,1); m - число передбачених груп (за умовою m=5).
Таблиця для розрахунку показників.
|
Групи
|
Середина інтервалу, xi
|
Кількість, fi
|
xi * fi
|
Накопичена частота, S
|
|x - xср|*f
|
(x - xср)2*f
|
Частота, fi/n
|
|
5.1 - 19.1
|
12.1
|
10
|
121
|
10
|
200.67
|
4026.71
|
0.33
|
|
19.1 - 33.1
|
26.1
|
5
|
130.5
|
15
|
30.33
|
184.02
|
0.17
|
|
33.1 - 47.1
|
40.1
|
9
|
360.9
|
24
|
71.4
|
566.44
|
0.3
|
|
47.1 - 61.1
|
54.1
|
4
|
216.4
|
28
|
87.73
|
1924.28
|
0.13
|
|
61.1 - 75.1
|
68.1
|
2
|
136.2
|
30
|
71.87
|
2582.41
|
0.0667
|
|
Всього
|
|
30
|
965
|
|
462
|
9283.87
|
1
|

Завдання 3.
Таблиця для розрахунку показників.
|
xi
|
Кількість, fi
|
xi * fi
|
Накопичена частота, S
|
|x - xср|*f
|
(x - xср)2*f
|
Частота, fi/n
|
|
12.1
|
10
|
121
|
10
|
200.67
|
4026.71
|
0.33
|
|
26.1
|
5
|
130.5
|
15
|
30.33
|
184.02
|
0.17
|
|
40.1
|
9
|
360.9
|
24
|
71.4
|
566.44
|
0.3
|
|
54.1
|
4
|
216.4
|
28
|
87.73
|
1924.28
|
0.13
|
|
68.1
|
2
|
136.2
|
30
|
71.87
|
2582.41
|
0.0667
|
|
Всього
|
30
|
965
|
|
462
|
9283.87
|
1
|
Середня зважена
Мода - найбільш часто зустрічається
значення ознаки у одиниць даної сукупності.
Максимальне значення повторень при x
= 12.1 (f = 10). Отже, мода дорівнює 12.1
Медіаною (Me) називається значення
ознаки, що припадає на середину ранжированого (впорядкованої) сукупності.
Знаходимо xi, при якому накопичена частота S буде більше Σf
/ 2 = 16. Це значення xi = 40.1. Таким чином, медіана дорівнює 40.1
Квартили.
Знаходимо xi, при якому накопичена
частота S буде більше Σf
/ 4 = 8. Це значення xi = 12.1. Таким чином, перший квартиль дорівнює 12.1
% одиниць сукупності будуть менше за
величиною 12.1збігається з медіаною, Q2 = 40.1
Знаходимо xi, при якому накопичена
частота S буде більше Σ3f
/ 4 = 24. Це значення= 54.1. Таким чином, третій квартиль дорівнює 54.1
Розмах варіації
= Xmax - Xmin
= 68.1 - 12.1 = 56
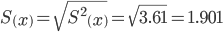
Середнє лінійне відхилення
Кожне значення ряду відрізняється
від іншого в середньому на 15.4
Дисперсія
Виправлена дисперсія.
Середнє квадратичне відхилення
(середня помилка вибірки
Кожне значення ряду відрізняється
від середнього значення 32.17 в середньому на 17.59
Коефіцієнт варіації
Оскільки v> 30%, але v <70%,
то варіація помірна.
Лінійний коефіцієнт варіації.
Коефіцієнт осциляції
Ступень асиметрії.
= M3/s3
де M3 - центральний момент третього
порядка.- середньоквадратичне відхилення.= 57575.22/30 = 1919.17
Якщо виконується співвідношення | As
| / sAs <3, то асиметрія несуттєва, її наявність пояснюється впливом різних
випадкових обставин. Якщо має місце співвідношення | As | / sAs> 3, то
асиметрія істотна і розподіл ознаки в генеральній сукупності не є симетричним.
Розрахунок центральних моментів
проводимо в аналітичній таблиці:
|
xi
|
(x - xср)3*f
|
(x - xср)4*f
|
|
12.1
|
-80802.67
|
1621440.24
|
|
26.1
|
-1116.4
|
6772.84
|
|
40.1
|
4493.76
|
35650.47
|
|
54.1
|
42205.97
|
925717.66
|
|
68.1
|
92794.56
|
3334417.84
|
|
Итого
|
57575.22
|
5923999.04
|
В аналізованому ряду розподілу
спостерігається істотна лівостороння асиметрія
(0.35/0.61 = 0.57<3)
Показник ексцесу.
= 5923999.04/30 = 197466.63
Оскільки sEx <3, то відхилення
від нормального розподілу вважається не істотним.
Завдання 4
|
Групи одиниць за факторною ознакою, млн. грн..
|
Кількість, nj
|
Середнє значення за результативною ознакою,
млн.. грн..
|
|
3,9-5,6
|
16
|
30,47
|
|
5,6-7,3
|
6
|
35,22
|
|
7,3-9
|
3
|
24,43
|
|
9-10,7
|
5
|
29,8
|
|
Всього
|
30
|
119,92
|
|
x
|
y
|
x2
|
y2
|
x • y
|
|
4.75
|
30.47
|
22.56
|
928.42
|
144.73
|
|
6.45
|
35.22
|
41.6
|
1240.45
|
227.17
|
|
8.15
|
24.43
|
66.42
|
596.82
|
199.1
|
|
9.85
|
29.8
|
97.02
|
888.04
|
293.53
|
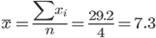
|
29.2
|
119.92
|
227.61
|
3653.73
|
864.54
|
Вибіркове середнє.
Вибіркові дисперсії:
середньоквадратичне відхилення
:
Коваріація.
У нашому прикладі зв'язок між
ознакою Y фактором X помірна і зворотна.
Крім того, коефіцієнт лінійної
парної кореляції може бути визначений через коефіцієнт регресії b:
Завдання 5
Система нормальних рівнянь.
•n + b∑x = ∑y∑x +
b∑x2 = ∑y•x
Для наших Даних система рівнянь має
вигляд
a + 29.2 b = 119.92
.2 a + 227.61 b = 864.54
Домножимо рівняння (1) системи на
(-7.3), одержимо систему, яку вирішимо методом алгебраїчного додавання.
.2a -213.16 b = -875.42
.2 a + 227.61 b = 864.54
отримуємо:
.45 b = -10.88
Звідки b = -0.7529
Тепер знайдемо коефіцієнт «a» з
рівняння (1):
a + 29.2 b = 119.92
a + 29.2 • (-0.7529) = 119.92
a = 141.91= 35.4765
Отримуємо емпіричні коефіцієнти
регресії: b = -0.7529, a = 35.4765
Рівняння регресії (емпіричне
рівняння регресії):= -0.7529 x + 35.4765
Для розрахунку параметрів регресії
побудуємо розрахункову таблицю (табл. 1)
|
xyx2y2x • y
|
|
|
|
|
|
4.75
|
30.47
|
22.56
|
928.42
|
144.73
|
|
6.45
|
35.22
|
41.6
|
1240.45
|
227.17
|
|
8.15
|
24.43
|
66.42
|
596.82
|
199.1
|
|
9.85
|
29.8
|
97.02
|
888.04
|
293.53
|
|
29.2
|
119.92
|
227.61
|
3653.73
|
864.54
|
Рівняння регресії (оцінка рівняння
регресії).
Лінійне рівняння регресії має вигляд
y = -0.75 x + 35.48
Коефіцієнтам рівняння лінійної
регресії можна надати економічний сенс.
Коефіцієнт регресії b = -0.75
показує середня зміна результативного показника (в одиницях виміру у) з
підвищенням або пониженням величини фактора х на одиницю його виміру. У даному
прикладі зі збільшенням на 1 одиницю y знижується в середньому на -0.75.
Коефіцієнт a = 35.48 формально
показує прогнозований рівень у, але тільки в тому випадку, якщо х = 0
знаходиться близько з вибірковими значеннями.
Але якщо х = 0 знаходиться далеко
від вибіркових значень х, то буквальна інтерпретація може привести до невірних
результатів, і навіть якщо лінія регресії досить точно описує значення
спостережуваної вибірки, немає гарантій, що також буде при екстраполяції вліво
або вправо.
Підставивши в рівняння регресії
відповідні значення х, можна визначити вирівняні (передбачені) значення
результативного показника y (x) для кожного спостереження.
Зв'язок між у і х визначає знак
коефіцієнта регресії b (якщо> 0 - прямий зв'язок, інакше - зворотна). У
нашому прикладі зв'язок зворотна.
Завдання 6
Приймаючи
досліджувану сукупність за 10 % генеральної, визначити:
. З ймовірністю
0,997 середню і граничну помилки вибірки та інтервал можливих значень середньої
величини ознаки в генеральній сукупності.
. дисперсію частки
першої групи одиниць за факторною ознакою та граничну помилку частки
імовірністю 0,954.
3. Необхідний обсяг вибірки таким
чином, щоб точність результату підвищились на 2%. Результат гарантувати з
імовірністю 0,954.
4. Зробити
висновки.
1. Гранична помилка вибірки
визначається за формулою:
,
де t -коефіцієнт довіри, t =
3 при (Р) 0,997. σ2 -
дисперсія факторної ознаки; n - обсяг вибіркової сукупності; N - обсяг
генеральної сукупності;
- питома вага обсягу вибіркової
сукупності у генеральній.
Так як вибіркова сукупність
становить 10% від обсягу генеральної, то обсяг генеральної сукупності
дорівнюватиме 3000 банків.
Дисперсія середньорічної
вартості капіталів складає 6,33 млн. грн. .
Середня помилка вибірки
становитиме
млн. грн.
Тоді гранична помилка вибірки
становитиме:
млн. грн.
інтервальний ряд
регресія помилка
Для визначення інтервального
оцінки генеральної середньої використовується формула:
,
де
-середнє
значення факторної ознаки в генеральній сукупності;
- середнє значення факторної ознаки
вибіркової сукупності.
Середня середньорічна
вартість капіталу по 30 банка становить4,84 млн. грн.
,84 -1,31≤
≤4,84
+ 1,31
Таким чином, з імовірністю
0,997 можна стверджувати, що середньорічна вартість основних фондів у
генеральній сукупності буде знаходитися в межах від 3,53 до 6,15 млн. грн.
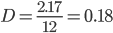
.Розрахуємо дисперсію частки
першої групи одиниць за факторною ознакою
Таблиця для розрахунків
показників.
|
xi
|
xi * fi
|
|x - xср|*f
|
(x - xср)2*f
|
|
1.6
|
1.6
|
1.17
|
1.36
|
|
2.5
|
5
|
0.53
|
0.14
|
|
2.7
|
5.4
|
0.13
|
0.00889
|
|
2.8
|
5.6
|
0.0667
|
0.00222
|
|
3
|
3
|
0.23
|
0.0544
|
|
3.1
|
6.2
|
0.67
|
0.22
|
|
3.2
|
6.4
|
0.87
|
0.38
|
|
Всього
|
33.2
|
3.67
|
2.17
|
Середня зважена
млн. грн..
Дисперсія
млн. грн..
Середня помилка виборки.
млн. грн..
Кожне значення ряду відрізняється
від середнього значення 2.77 млн. грн. в середньому на 0.42 млн. грн..
Межі генеральної частки
дорівнюють р = W ± ∆
,
∆
=
,
де ∆
- гранична
помилка частики вибірки.
∆
=
.
. Необхідний обсяг вибірки
для частки першої групи одиниць за факторною ознакою
Таким чином, щоб з точністю 2%
визначити частку першої групи одиниць за факторною ознакою, необхідно в порядку
випадкової вибірки відібрати 55банків .
Завдання 7. Обсяг
реалізації виробничих послуг населенню сфери подано у (табл. 1)
Таблиця 1
Динаміка реалізації
обсягу послуг населенню
|
Рік
|
2009
|
2010
|
2011
|
2012
|
2013
|
|
Обсяг виробничих послуг, млн., гри.
|
5.0
|
8.4
|
8,3
|
8,9
|
10,2
|
Для аналізу
динаміки реалізації виробничих послуг населенню за 2009 - 2013 рр. визначте: 1)
абсолютний приріст, темпи зростання та приросту за роками й до 2010 р;
абсолютне значення 1 % приросту (отриманні показники подайте у табличній
формі); 2) середньорічний обсяг виробничих послуг; 3) середньорічний абсолютний
приріст обсягу реалізації виробничих послуг 4) середньорічні темпи зростання і
приросту: а) за 2009-2011 рр; б) за 2011 - 2013 рр. Порівняйте ці показники.
Покажіть динаміку обсягу виробничих послуг на графіку.
Ланцюгові показники ряду динаміки.
|
Період
|
Обсяг виробничих послуг
|
Абсолютний приріст
|
Темп приросту, %
|
Темпи росту, %
|
Абсолютне значення 1% приросту
|
Темп приросту, %
|
|
2009
|
5
|
0
|
0
|
100
|
0.05
|
0
|
|
2010
|
8,4
|
3.4
|
68
|
168
|
0.05
|
68
|
|
2011
|
8,3
|
-0.1
|
-1.19
|
98.81
|
0.084
|
-2
|
|
2012
|
8,9
|
0.6
|
7.23
|
107.23
|
0.083
|
12
|
|
2013
|
10,2
|
1.3
|
14.61
|
114.61
|
0.089
|
26
|
|
Разом
|
40.8
|
|
|
|
|
|
Висновки: Обсяг виробничих услуг в
2013 р. склав 10.2 млн. грн. У 2013 р. в порівнянні з 2012 р. бсяг виробничих
услуг збільшилася на 1.3 млн. грн або на 14.61%. У 2013 р. обсяг виробничих
услуг склала 10.2 млн. грн і за минулий період збільшилася на 1.3 млн. грн, або
на 14.61%. Максимальний приріст спостерігається в 2010 р. (3.4 млн. грн).
Мінімальний приріст зафіксовано у 2011 р. (-0.1 млн. грн). Темп нарощення
показує, що тенденція ряду зростаюча, що свідчить про прискорення обсягу
виробничих услуг.
Базисні показники ряду динаміки.
|
Період
|
Обсяг виробничих послуг
|
Абсолютний приріст
|
Темп приросту, %
|
Темпи росту, %
|
|
2009
|
5
|
0
|
0
|
100
|
|
2010
|
8.4
|
3,4
|
68
|
168
|
|
2011
|
8.3
|
3,3
|
66
|
166
|
|
2012
|
8.9
|
3,9
|
78
|
178
|
|
2013
|
10.2
|
5,2
|
104
|
204
|
|
Разом
|
40.8
|
|
|
|
Обсяг виробничих
послуг в 2013 р. дорівнює 10.2 млн. грн. В 2013 р. порівняно з 2009 р. обсяг
виробничих послуг збільшився на 5.2 млн. грн або на 104%. В 2013 р. обсяг
виробничих послуг дорівнював 10.2 млн. грн і у порівнянні з 2009 роком
збільшився на 5.2 млн. грн, або на 104%.
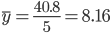
Розрахунок середніх
характеристик рядів.
Середній рівень
ряду y динаміки характеризує типову величину абсолютних рівнів.
Середній рівень
інтервального ряду розраховується за формулою:
Середнє значення
обсягу виробничих послуг з 2009 р. по 2013 р. склало 8.16 млн. грн.
Середній темп росту
за період 2009-2011 рр.
В середньому за весь
період с 2009 р. по 2011 р. ріст обсягів виробничих послуг складав 1.29
Середній темп
приросту
В середньому кожен
період обсяги виробничих услуг збільшувалася на 29%.
Середній абсолютний
приріст
В середньому за
весь період обсяг виробничих послуг збільшувалися на 1.65 млн. грн с кожним
періодом.
Середній темп росту
за період 2011-2013 рр.
В середньому за
весь період с 2011 по 2013 рр. ріст обсягів виробничих послуг складає 1.11
Середній темп
приросту
В середньому кожен
період обсяг виробничих послуг збільшувався на 11%.
Середній абсолютний
приріст
В середньому за
весь період обсяг виробничих послуг збільшувалися на 0.95 млн. грн.. з кожним
періодом.
Лінійне рівняння регресії має вигляд
y = 1.09 x -2183.8
Коефіцієнтам рівняння лінійної
регресії можна надати економічний сенс.
Коефіцієнт регресії b = 1.09 показує
середня зміна результативного показника з підвищенням або пониженням величини
фактора х на одиницю його виміру. В даному прикладі з збільшенням на 1 одиницю
y підвищується в середньому на 1.09 млн. грн...
Коефіцієнт a = -2183.83 формально
показує прогнозований рівень у, але тільки в тому випадку, якщо х = 0
знаходиться близько з вибірковими значеннями.
Ланцюгові показники ряду динаміки
Базисні показники ряду динаміки