Участок сборки коробки передач автомобиля ОКА
Дипломный проект
Участок сборки коробки передач автомобиля ОКА
Введение
Роль автомобильной
промышленности трудно переоценить. Она представляет собой комплекс, решающий
задачи создания транспорта, автомобильных производств, обеспечения людей
трудоустройством. Существуют методы организации, позволяющие составить вид и
порядок определённых работ для создания изделий лучшего качества, экономической
выгоды предприятия в процессе сборки одного из изделий.
Коробка передач
является важным конструктивным элементом трансмиссии автомобиля и предназначена
для изменения крутящего момента, скорости и направления движения автомобиля, а
также длительного разъединения двигателя от трансмиссии.
Дипломный проект,
подразумевает ряд важнейших задач по последующему внедрению новейших технологий
производства, рациональных объёмно-планировочных решений, обеспечению
нормативных, санитарно-гигиенических условий в цехах на территории предприятия
и охране окружающей среды.
Проектирование -
это творческий, сложный, многообразный и трудоёмкий процесс поиска оптимальных
инженерно-технических решений. В ходе проектирования одновременно решаются
технические, экономические и организационные задачи. Конечной целью всякого
проекта предприятия или цеха является обеспечение минимальной себестоимости при
наименьших капитальных затратах.
Дипломный проект -
трудоёмкий и ответственный. От того, насколько точно и качественно будут
рассмотрены и учтены все детали, зависит будущее нового производства.
Значительно сократить сроки проектирования можно за счёт выполнения расчётов и
планировки цеха на ПК с помощью различных специализированных пакетов программ,
например, средства системы КОМПАС/
Основные цели и
задачи при составлении технологического процесса сборки коробки передач
автомобиля «Ока»: снижение трудоёмкости изделия, улучшение качества продукции,
повышение уровня условий труда, экономически выгодная организация рабочих мест,
использование переменно - поточного производства, применение универсально
сборочных приспособлений.
1. Служебное
назначение и техническая характеристика изделия
технологический
оснастка передача автомобиль
1.1
Общие сведения о конструкции изделия
Коробка передач -
механическая, двухвальная, с четырьмя передачами переднего хода и одной -
заднего, с синхронизаторами на всех передачах переднего хода. Главная передача
и дифференциал расположены в картере коробки передач.
Коробка передач
крепится болтами к двигателю, образуя с ним единый жесткий блок (силовой
агрегат), закрепленный на подрамнике в моторном отсеке. Левая продольная труба
подрамника - съемная (крепится болтами), благодаря этому коробку передач можно
снять с автомобиля без демонтажа двигателя и подрамника.
Управление коробкой
передач - напольным рычагом в салоне автомобиля. Чтобы продольные перемещения
силового агрегата, неизбежно возникающие при движении, не отражались на
управлении коробкой передач, в приводе управления коробкой имеется реактивная
тяга. Одним концом она через сайлент-блок связана с силовым агрегатом, а другим
может перемещаться в продольном направлении во втулке, закрепленной снизу на
кузове вблизи рычага переключения передач. Шаровая опора рычага переключения
передач прикреплена к реактивной тяге, таким образом рычаг не связан с кузовом.
1.2
Описание устройств, способа соединения деталей, принципа действия, регулировки
и смазки
Корпус коробки
передач состоит из трех частей, отлитых из алюминиевого сплава: картера
сцепления, картера коробки передач и крышки. В гнезде картера коробки передач
находится специальный магнит, задерживающий металлические продукты износа. Для
улучшения теплоотвода поверхность картера имеет ребра охлаждения
Первичный вал
выполнен как блок ведущих шестерен, которые находятся в постоянном зацеплении с
ведомыми шестернями всех передач переднего хода. Шестерни вторичного вала
вращаются на игольчатых подшипниках.
На вторичном валу
также расположены два блока синхронизаторов: 1-11 и III-IV передач переднего
хода. Шестерни - цилиндрические, косозубые, постоянного зацепления, за
исключением прямозубой шестерни заднего хода. На каждой шестерне имеется
дополнительный прямозубый венец, с которым соединяется скользящая муфта
синхронизатора при включении передачи. Скользящая муфта синхронизатора I и II
передач отличается от другой муфты наружным венцом для включения передачи
заднего хода.
Промежуточная
шестерня заднего хода при включении передачи заднего хода соединяет между собой
шестерню первичного вала и зубчатый венец муфты синхронизатора I и II передач,
из-за чего вторичный вал вращается в обратную сторону. Передние подшипники
валов коробки передач (обращенные к двигателю) - роликовые, задние - шариковые.
Дифференциал -
конический, двухсателлитный - сателлиты установлены на оси, которая стопорится
в коробке дифференциала. Предварительный натяг в подшипниках дифференциала (при
установке - 0,25 мм, в эксплуатации - 0,15-0,35 мм) регулируется подбором
толщины кольца, устанавливаемого в гнезде картера коробки передач под наружным
кольцом подшипника дифференциала. К фланцу коробки дифференциала крепится
болтами ведомая шестерня главной передачи. На коробку дифференциала
напрессована пластмассовая шестерня привода спидометра, вращающая ведомую
шестерню, расположенную на валу привода спидометра.
Привод управления
коробкой состоит из рычага переключения передач, шаровой опоры, тяги, шарнира,
штока выбора передач и механизмов выбора и переключения передач. На винты
крепления тяги и рычага к штоку выбора передач перед сборкой наносят клей для
резьб ТБ-1324. В шаровую опору перед сборкой закладывают смазку ЛСЦ-15
(Литол-24).
В резьбовом
отверстии внутреннего конца штока закреплен рычаг. В его гнездо входит
двуплечий рычаг механизма выбора передач, качающийся на оси.
Ось закреплена
болтом в корпусе механизма выбора передач. В ступице рычага находится шариковый
фиксатор, а на оси - выемка под шарик. Пружины, расположенные на оси по обе
стороны рычага, обеспечивают ему нейтральное положение между III и IV
передачами.
В коробку передач
на заводе заливают масло ТМ-5-9п, рассчитанное на 75000 км пробега. Оно не
поступает в розничную продажу, поэтому при замене допустимо использовать масла
классов вязкости по SAE от 75W-80 до 80W-85 и классом эксплуатационных свойств
по API GL-4 или GL-5. Уровень масла должен находиться между контрольными
отметками на щупе.
Коробка передач
сообщается с атмосферой через сапун, расположенный в ее верхней части. Чтобы
исключить попадание воды внутрь коробки передач при преодолении глубоких луж,
можно удлинить сапун трубкой или шлангом, выведя его в верхнюю часть моторного
отсека, возле корпуса воздушною фильтра.
2.
Технологическая часть
.1
Отработка изделия на технологичность
Коробка передач
автомобиля ока содержит в составе множество деталей. Коробку можно разделить на
четыре самостоятельных узла: корпус коробки передач, механизм переключения
передач, первичный вал, вторичный вал.
В состав входят
стандартные детали: болты, гайки, маслёнка, подшипники.
Коробка не будет
подвергаться промежуточной разборке при дальнейшей сборке.
Сборочный узел
имеет одну размерную цепь. Предусматривает сборку с полной взаимозаменяемостью
деталей и сборочных единиц.
Коробка передач не
имеет деталей из легко деформируемых материалов и имеющих малую жёсткость.
Собираемость
основных частей зависит от асимметрии и эксцесса; точность этих параметров
контролируется системой ADEM Assembly.
Изделие имеет
разъёмные, подвижные соединения. Сопрягаемые изделия в основном имеют
сферическую и коническую поверхности. При сборке применяются резьбовые,
прессовые, контактные соединения.
Имеется свободный
доступ к местам соединения рабочих органов сборочных инструментов.
Направление сборки
на каждой операции сверху вниз по вертикали, также устанавливаются детали
крепления.
Технологическая
база, обеспечивает полное закрепление заготовки с лишением трёх степеней
свободы, являясь установочной во всех технологических операциях.
Базовой деталью
является картер коробки передач. Это цельный корпус из алюминиевого сплава, где
в гнезде находится специальный магнит, задерживающий металлические продукты
износа.
Во время сборки
узел переворачивают один раз для закрепления крышки корпуса. Собираемое изделие
может храниться на складах предприятия.
Для захвата узла
используется крепления на сборочном стенде.
Контроль и
испытания собираемого изделия. Проверка производится на контрольном столе,
проверяют свободную прокрутку валов и подшипников, также проверяют уровень
масла с помощью щупа и цельность картера.
При сборке
используются тележки для деталей, пластмассовые тары для мелких изделий.
2.2
Проектирование технологического процесса сборки
Составление технологической
операции сборки
Операция 005
Установочная
Установить коробку
передач на сборочный стенд.
Операция 010
Сборочная
Запрессовать
сальник полуосей в отверстии картера коробки передач правый
Запрессовать
сальник полуосей в отверстии картера коробки передач левый
Операция 015
Сборочная
Запрессовать
подшипник полуосей правый
Запрессовать
подшипник полуосей левый
Операция 020
установочная
Установить и
проклеить шток выбора передач
Установить рычаг
штока выбора передач
Закрепить рычаг
штока сальником штока выбора передач
Операция 025
Сборочная
Установить
дифференциал в сборе
Закрепил
дифференциал в картере
Операция 030
Сборочная
Установить
первичный вал в сборе в отверстие с левым подшипником
Установить
вторичный вал в сборе в отверстие с правым подшипником
Операция 035
Сборочная
Установить сухари в
штоки механизма переключения передач
Закрепить в картере
механизм переключения передач
Операция 040
Сборочная
Установить в
механизм переключения передач вилку 3-4 передач
Установить в
механизм переключения передач вилку 1- 2 передач
Операция 045
Сборочная
Смазать верхнюю
часть картера герметиком оставить на 3-4 мин.
Установить крышку
коробки передач
Закрепить на картер
заднюю крышку корпуса коробки
Операция 050
Сборочная
Установить и
закрепить в механизм коробки передач вилку переключения передач
Операция 055
Контрольная
Проверить
комплектность картера коробки передач
Проверить плавность
вращения валов. Валы должны вращаться свободно, без заеданий
Проверить уровень
масла в коробке передач
3. Производственные
расчеты и техническое нормирование
.1
Уточнение годовой программы
Таблица 1 - Годовая
программа сборки узла
|
Перечень марок автомобилей
|
Годовой план выпуска (шт)
|
Количество узлов на один автомобиль (шт)
|
Количество узлов на плановый выпуск автомобилей (шт)
|
Количество узлов для выпуска на запасные части (шт)
|
Итоговая программа сборка узла (шт)
|
|
КамАЗ 5320
|
60 000
|
1
|
60 000
|
6 000
|
66 000
|
3.2
Расчёт трудоёмкости программы сборки узла
где
-трудоёмкость технологической операции базового варианта (н/час)
-программа
сборки узла (шт)
-норма
времени на операцию базового варианта (мин)
Таблица 2. Сводная
ведомость трудоёмкость выполнения программы сборки узла
|
Содержание операции
|
Норма времени
|
Трудоёмкость (н/час)
|
Использованное оборудование оснастка
|
|
005 Установочная
|
1,557
|
1712,7
|
Сборочный стенд
|
|
010 Сборочная
|
1,650
|
1815
|
Сборочный стенд оправка сальника
|
|
015 Сборочная
|
1,545
|
1699,5
|
Сборочный стенд Оправка подшипника
|
|
020 Сборочная
|
1,600
|
1760
|
Клей анаэробный Ключ 20Т 40
|
|
025 Сборочная
|
1,650
|
1815
|
Сборочный стенд
|
|
030 Сборочная
|
1,550
|
1705
|
Сборочный стенд
|
|
035 Сборочная
|
1,620
|
1782
|
Сборочный стенд Пинцет
|
|
040 Сборочная
|
1,550
|
1705
|
Сборочный стенд Отвёртка крестовая
|
|
Продолжение таблицы-2
|
|
045 Сборочная
|
1,575
|
1735,5
|
Сборочный стенд Гайковёрт Герметик
|
|
050 Сборочная
|
1,650
|
1815
|
Сборочный стенд Отвертка оправка
|
|
055 Контрольная
|
1,625
|
1787,5
|
Контрольный стол
|
|
Итого
|
|
19329,2
|
|
3.3 Расчёт
необходимого количества оборудования, оснастки и загрузки
где
-расчётное количество оборудования
Т-трудоёмкость
операции
-действительный
годовой фонд рабочего времени работы сборочного оборудования
3.4
Коэффициент загрузки оборудования
где
-необходимое количество оборудования
-принятое
количество оборудования
3.5
Процент загрузки оборудования
(4)
где
коэффициент загрузки оборудования
Таблица 3. Расчёт
количества оборудования и оснастки
|
Наименование операция
|
Наименование оборудования или оснастки
|
Трудоёмкость
|
Расчётное количество оборудования
|
Принятое количество оборудования
|
Коэффициент загрузки оборудования
|
|
005
|
Сборочный стенд
|
|
|
1
|
0,75
|
|
010
|
Сборочный стенд Оправка сальника
|
|
0,79
|
1
|
0,79
|
|
015
|
Сборочный стенд Оправка для подшипников
|
|
0,74
|
1
|
0,74
|
|
020
|
Клей Анаэробный Ключ 20Т 40
|
|
0,77
|
1
|
0,77
|
|
025
|
Сборочный стенд
|
|
0,79
|
1
|
0,79
|
|
030
|
Сборочный стенд
|
|
0,74
|
1
|
0,74
|
|
035
|
Сборочный стенд Пинцет
|
|
0,78
|
1
|
0,78
|
|
040
|
Сборочный стенд Отвёртка крестовая
|
|
0,74
|
1
|
0,74
|
|
045
|
Сборочный стенд Гайковёрт Герметик
|
|
0,76
|
1
|
0,76
|
|
050
|
Сборочный стенд Отвертка оправка
|
|
0,79
|
1
|
0,79
|
|
055
|
Контрольный стол
|
|
|
1
|
0,78
|
3.6
Определяем уровень механизации работ
Где
- суммарная трудоёмкость операции выполненная автоматизированным
или механизированным способом.(н/час)
T-общая трудоёмкость процесса сборки.

3.7
Расчёт численности основных рабочих
Плановая явочная
численность:
где
-трудоёмкость операции
-годовой
номинальный фонд рабочего времени одного рабочего
-коэффициент
выполнения нормы (1.05-1.15)
S-количество сменных рабочих
Таблица 4. Баланс
рабочего времени на 2015 год
|
Показатели
|
Единица измерения
|
2014год
|
|
I число
календарных дней
|
дни
|
365
|
|
2. число нерабочих дней всего
|
дни
|
115
|
|
3. номинальный фонд времени
|
дни
|
250
|
|
4 плановые неявки на работу
|
дни
|
33
|
|
5. полезный фонд времени одного рабочего
|
дни
|
217
|
|
6. средняя продолжительность рабочего дня
|
час
|
8
|
|
7. потери связанные с сокращением рабочего дня
|
час
|
0,05
|
|
8 средняя продолжительность рабочего дня
|
час
|
7,85
|
|
9. номинальный годовой фонд рабочего времени
|
час
|
1932
|
|
10. полезный фонд рабочего времени
|
час
|
1693
|










Таблица 5
|
Профессия
|
Количество
|
Количество
|
В том числе по разрядам
|
|
|
|
1
|
2
|
3
|
4
|
5
|
6
|
|
Слесарь сборщик
|
5
|
5
|
|
|
1
|
3
|
|
3.8
Рассчитываем средний тарифно-квалификационный разряд
где
-количество рабочих по какому либо разряду.
- разряд.
3.9
Расчёт численности вспомогательных рабочих
Результаты заносим
в таблицу 6:
Таблица 6 - Сводная
ведомость численности вспомогательных рабочих
|
Профессия
|
Количество человек
|
В том числе по разрядам
|
|
Наладчик
|
|
|
|
|
|
|
|
|
Контролер
|
1
|
|
|
|
1
|
|
|
|
Распределитель работ
|
|
|
|
|
|
|
|
|
Транспортный рабочий
|
|
|
|
|
|
|
|
|
Комплектовщик.
|
1
|
|
|
|
|
1
|
|
|
Кладовщик
|
|
|
|
|
|
|
|
|
Итого
|
2
|
|
|
|
1
|
1
|
|
Рассчитываем
средний тарифно-квалификационный разряд
3.10
Расчет численности руководящего состава и специалистов
Численность
руководителей и специалистов, согласно штатного расписания не должна превышать
15% от численности основных и вспомогательных рабочих.
Расчет численности
руководящего состава и специалистов выполняется по формуле:
Принимаем 1
человек. Результаты заносим в таблицу 7
Таблица 7- Сводная
ведомость численности руководителей и специалистов
|
Руководители и специалисты
|
Количество человек
|
%
|
|
Инженер Начальник цеха
Начальник участка Мастер
|
1
|
|
|
Итого
|
1
|
100,0
|
Результаты расчетов
численности промышленно-производственного персонала заносим в таблицу 8.
Таблица 8 - Сводная
ведомость и структура среднесписочной численности ППП
|
Категории ППП
|
Количество человек
|
Удельный вес в%
|
|
Основные рабочие Вспомогательные рабочие РиС
|
5 2 1
|
63.16 21.05 15.79
|
|
Итого
|
8
|
100.0
|
3.11
Рассчитываем уровень механизации труда
Ум.т.=(Ро/Робщ)
100%. (9)
Ум.т.=(5/ 8) 100 =
62,5%
3.12
Производственная оценка разработанного процесса сборки
где Д-число рабочих
дней в году
С-число рабочих
смен за день
-продолжительность
смены или средняя продолжительность рабочего дня
=0.15-потери
времени в течении смены на обслуживания рабочих мест
=0,1-
потери времени на перерывы в работе для отдыха и естественных надобностей
рабочих в свободное время в течении смены (час)
=0.97 коэффициент, учитывающий потери времени на ремонт сборочного оборудования
(зависит от уровня механизации и автоматизации процесса сборки)
3.13
Ритм поточной сборки
где
-производительная оценка разработанного процесса сборки
3.14
Величина сменного задания
где
-темп поточной сборки
-продолжительность
смены или рабочего дня
3.15
Определение загрузки и производительности рабочего места
где
-штучное время выполнения сборочной операции.
-такт
сборки узла
В-число рабочих на
рабочем месте
3.16
Процент загрузки сборочного места на сборочной линии определяется по формуле:
где
K_зсм-коэффициент загрузки сборочного места.
3.17
Средний коэффициент загрузки сборочной линии
где
-число рабочих мест на линии
3.18
Процент загрузки сборочной линии определяемой по формуле
где
-средний коэффициент загрузки оборудования
3.19
Производительность сборочного рабочего места определяется по формуле
где T-рабочее время к которому отнесена
производительность (часовая, сменная)
В-число рабочих на
сборочном месте.
-штучное
время выполнения сборочной операции
3.20
График загрузки оборудования
Таблица 9
|
Операция
|
005
|
010
|
015
|
020
|
025
|
030
|
035
|
040
|
045
|
050
|
055
|
|
Тип оборудования
|
Сборочный стенд
|
Сборочный стенд Оправка сальника
|
Сборочный стенд Оправка подшипника
|
Клей Анаэробный Ключ 20Т 40
|
Сборочный стенд
|
Сборочный стенд
|
Сборочный стенд Пинцет
|
Сборочный стенд Отвёртка крестовая
|
Сборочный стенд Гайковёрт Герметик
|
Сборочный стенд Отвертка оправка
|
Контрольный стол
|
|
Количество оборудования
|
1
|
2
|
2
|
2
|
1
|
1
|
2
|
2
|
3
|
2
|
1
|
4. Организация сборочного процесса
4.1
Организационная форма сборки
Организационная
форма сборки изделий зависит от: типа и уровня автоматизации производства,
программы и номенклатуры выпускаемых изделий, конструкции, размеров и массы
собираемых изделий и их составных элементов, применяемого технологического
оборудования, длительности процессов сборки и наладок технологического
оборудования и других факторов.
Сборочный процесс
организован по типовой форме организации процесса сборки. Процесс сборки
принадлежит к серийному типу производства, то есть характеризуется сборкой
изделий периодически повторяющимися партиями, в зависимости от числа изделий в
партии или серии.
4.2
Методы достижения точности сборки
Достижение точности
сборки на участке сборки коробки передач автомобиля Ока производится методом
полной взаимозаменяемости.
Коробка передач
автомобиля Ока - несложная по конструкции, имеются силовые элементы, качество
которых не зависит от сборки узла, все сборочные элементы несложные по
конструкции, не имеют большие размеры, не смотря на это, имеют большой запас
прочности. При сборке, ремонте или замене не требуют дополнительной обработки
резанием и других изменений в конструкции, нуждаются в регулировке.
Сущность метода в
том, что требуемую точность замыкающего звена размерной цепи достигают каждый
раз, когда в размерную цепь включают или заменяют в ней звенья без их выбора,
подбора или изменения их величин.
Использование этого
метода экономично в условиях достижения высокой точности при малом числе
звеньев размерной цепи и при достаточно большом числе изделий, подлежащих
сборке.
4.3
Выбор оборудования и технологической оснастки
Сборочные
приспособления используют при узловой и общей сборке изделий. Они являются
простыми, доступными и эффективными средствами механизации ручной сборки, а
также необходимыми дополнительными устройствами обычного
и
автоматизированного сборочного оборудования.
Автоматизированные
сборочные стенды обеспечивают высокую производительность и удобство сборки,
точную, быструю установку и закрепление сопрягаемых элементов изделия. По
степени специализации их подразделяют на универсальные и специальные.
На участке сборки
кпп используют специальные автоматизированные сборочные стенды. Например-
Стенд
обкаточно-тормозной предназначен для обкатки собранных коробок переключения
передач тракторов и автомобилей.
Тип - Стационарный,
с гидравлическим тормозом.
. Электродвигатель
привода:
.1. Тип: АО - 63-4,
.2. Мощность (КВт)
- 5,
.3. Скорость
вращения (об/мин) - 1460
. Коробка перемены
передач стендовая - ЯМЗ-236С.
. Нагрузочное
устройство - НШ-67К (правое),
. Устройство для
регулирования величины тормозного момента - редукционный клапан,
. Контроль величины
нагрузки - по манометру.
Рисунок 1- Стенд
обкаточно-тормозной
Для закрепления
деталей на резьбовых соединениях используют гайковёрт закручивающий гайки с
моментом затяжки 25..35 н•кг.
Рисунок 2 -
Гайковёрт реверсивный
-рабочий
наконечник; 2- шпиндель;
3-шарики;4-валик;5-пружина;6-муфта;7-редуктор;8-ротационный двигатель;
9-штуцер; 10-пусковое устройство; 11-курок; 12-рукоятка; 13-рычаг для
реверсирования двигателя
Рисунок 3- Стенд
для сборки КПП
Основанием стенда
является П-образная сварная рама выполненная из швеллера с опорными площадками
для монтажа остальных узлов стенда. Для уменьшения шума на нижней части рамы
предусмотрены опоры с резиновыми прокладками.
Приводной двигатель
через муфту и транссмисионный вал приводит во вращение ведущую шестерню привода
стенда. Транссмисионный вал в средней части крапления к промежуточной опоре.
Осевое вращение в
горизонтальной и вертикальной плоскости специальным приводом блокируются
посредством цепной передачи. Блокирующий вал в сборе состоит из валов,
соединенных между собой жесткой муфтой. Каждый вал устанавливается на,
неподвижно закрепленных на раме, подшипника.
На концах валов
закреплены звездочки цепной передачи, натяжение которой производится
перемещением блокирующего вала.
От блокирующего
вала крутящий момент передается клиноременной передачей на нагрузочный электродвигатель.
Центральная опора
устроена по типу домкрата и по своему назначению является фиксирующей базой.
Плита опоры в определенном положении стопорится на раме стенда при помощи
зажимов, рабочее положение которой зависит от марки испытуемого заднего моста.
Винтовое устройство предназначено для регулировки по высоте соосности между
испытуемым задним мостом и валом приводного электродвигателя. После регулировки
соосности винт и призма стопорятся.
4.4
Расчёт площади участка и расстановка оборудования
Площадь сборочного
цеха определяем по показателям удельной общей площади на одно рабочее место.
При сборке коробки передач принимаем 20
. Общая площадь рабочих составляет 100
.
На участке сборки
используется одно поточный, подвижный, с периодическим перемещением изделий, с
ручным перемещением типом сборке. Это обеспечивает типовую поточную сборку.
Длина 100м при
ширине 2,5 м. для передвижения детали используется подвижная тележка со скоростью
20 м/мин. Длина между расположением рабочих составляет 4 м
На каждом рабочем
месте имеется необходимая технологическая оснастка (ключи, ветошь, оборудование
для уборки, тележки для переноса деталей, стенды и тары и др.). Также участок
сборки оборудован системой противопожарной безопасности и огнетушителями.
Ширина пролёта на
участке составляет 18 м. Общая длина участка, учитывая шаг колон
который составляет 12м 32 м. общая площадь участка приблизительно равна 576
.
5. Техника безопасности, производственная санитария
5.1
Технические и организационные мероприятия по обеспечению безопасности работы
При поступлении на
работу, требующую специальных знаний, работник должен иметь диплом или иной
документ о полученном образовании или профессиональной подготовке.
Рабочие моложе 18
лет не допускаются на тяжелые работы, работы с вредными или опасными условиями
труда.
Все поступающие на
работу должны пройти вводный инструктаж и первичный инструктаж на рабочем
месте.
Выполнять следует
только ту работу, которая поручена мастером, способом, указанным в
технологических картах, нарядах-допусках, инструкциях.
Перед выполнением
работ необходимо проверить спец. одежду и инструмент: ручки у молотков должны
быть без трещин, бойки не сбитые, оправки не погнутые, электрический инструмент
должен быть изолирован, заземлен, стенды испытательные ограждены экранами,
перед работой с пневмоинструментом необходимо проверить надежность крепления
пневматических шлангов к штуцерам, проверить нет ли разрывов и вздутий шлангов.
5.2
Производственная санитария
Соблюдение
санитарных норм на предприятиях автомобильного транспорта улучшает условия
труда рабочих, предупреждает профессиональные заболевания и отравления на
производстве. На работах с вредными условиями труда, а также на работах,
связанных с загрязнениями, рабочим и служащим выдаются бесплатно по
установленным нормам спец. одежда, обувь и другие средства индивидуальной
защиты.
5.3
Противопожарная защита и экология
Опасным фактором
является также возникновение пожара на территории предприятия, возгорание
электрических механизмов агрегатов, автомобилей, горение токсичных продуктов.
Для предотвращения таких случаев необходимо правильно расставить оборудование,
тары с деталями и готовыми узлами.
Освободить проходы
и проезды, установить пожарные щиты с инвентарем для тушения, ящики с песком.
Для тушения пожара
необходимо установить дренчерные и спринклерные системы пожаротушения. В цехах
необходимо организовать добровольную пожарную дружин, разработать план
эвакуации людей и материальных ценностей.
Лица, виновные в
нарушении правил техники безопасности, привлекаются к ответственности согласно
правилам внутреннего трудового распорядка.
6. Экономическая часть
6.1
расчёт численности по трудовому потенциалу предприятия
Расчёт численности
основных рабочих, для расчёта трудового потенциала необходимо составить баланс
рабочего времени на пятидневную рабочую неделю.
Таблица 10. Баланс
рабочего времени на 2015 год
|
Показатели
|
Единица измерения
|
2014год
|
|
I число
календарных дней
|
дни
|
365
|
|
2. число нерабочих дней всего
|
дни
|
115
|
|
3. номинальный фонд времени
|
дни
|
250
|
|
4 плановые неявки на работу
|
дни
|
33
|
|
5. полезный фонд времени одного рабочего
|
дни
|
217
|
|
6. средняя продолжительность рабочего дня
|
час
|
8
|
|
7. потери связанные с сокращением рабочего дня
|
час
|
0,05
|
|
8 средняя продолжительность рабочего дня
|
час
|
7,85
|
|
9. номинальный годовой фонд рабочего времени
|
час
|
1932
|
|
10. полезный фонд рабочего времени
|
час
|
1693
|
Основой расчёта
является данные таблицы 2.
Численность рабочих
определяем по трудоёмкости с учётом эффективного фонда рабочего времени.
где
- плановая явочная численность рабочих на одной операции
-трудоёмкость
операции
-годовой
номинальный фонд рабочего времени одного рабочего
-коэффициент
выполнения нормы (1.05-1.15)
S-количество сменных рабочих
Рассчитываем
численность основных рабочих.










Полученные
результаты заносим в таблицу.
Таблица
11-Ведомость численности основных рабочих по разрядам.
|
Профессия
|
Количество
|
Количество
|
В том числе по разрядам
|
|
|
|
1
|
2
|
3
|
4
|
5
|
6
|
|
Слесарь сборщик
|
5
|
5
|
|
|
1
|
3
|
1
|
|
Рассчитываем
средний тарифно-квалификационный разряд.

где
-количество рабочих по какому либо разряду.
- разряд.
Расчёт численности
вспомогательных рабочих
Результаты заносим
в таблицу 6:
Таблица 12. Сводная
ведомость численности вспомогательных рабочих
|
Профессия
|
Количество человек
|
В том числе по разрядам
|
|
Наладчик
|
|
|
|
|
|
|
|
|
Контролер
|
1
|
|
|
|
1
|
|
|
|
Распределитель работ
|
|
|
|
|
|
|
|
|
Транспортный рабочий
|
|
|
|
|
|
|
|
|
Комплектовщик.
|
1
|
|
|
|
|
1
|
|
|
Кладовщик
|
|
|
|
|
|
|
|
|
Итого
|
2
|
|
|
|
1
|
1
|
|
Рассчитываем
средний тарифно-квалификационный разряд
Расчет численности
руководящего состава и специалистов
Численность
руководителей и специалистов, согласно штатного расписания не должна превышать
15% от численности основных и вспомогательных рабочих.
Расчет численности руководящего
состава и специалистов выполняется по формуле:
Результаты заносим
в таблицу 13
Таблица 13- Сводная
ведомость численности руководителей и специалистов
|
Руководители и специалисты
|
Количество человек
|
%
|
|
Инженер Начальник цеха
Начальник участка Мастер
|
1
|
|
|
Итого
|
1
|
100,0
|
Результаты расчетов
численности промышленно-производственного персонала заносим в таблицу 8.
Таблица 14 -
Сводная ведомость и структура среднесписочной численности ППП
|
Категории ППП
|
Количество человек
|
Удельный вес в%
|
|
Основные рабочие Вспомогательные рабочие РиС
|
5 2 1
|
63.16 21.05 15.79
|
|
Итого
|
8
|
100.0
|
6.2
Расчёт планового фонда оплаты труда
Заработная плата-
это вознаграждение, которая получает работник предприятия в зависимости от
количества и качества затраченного им труда и результатов деятельности всего
коллектива предприятия. Существуют 2 формы оплаты труда:
сдельная;
повременная.
При сдельной форме
оплаты труда работник получает вознаграждение за количество выпускаемой
продукций.
При повременной
оплате труда работник получает вознаграждение за количество отработанного
времени. При этом применяется тарифные разряды.
Расчет общегодового
оплаты труда основных рабочих
Для расчета
используются тарифные коэффициенты согласно ЕТС.
Таблица 15 -
Тарифные коэффициенты ЕТС для расчета повременной заработной платы основных и
вспомогательных рабочих
|
Разряды
|
1
|
2
|
3
|
4
|
5
|
6
|
|
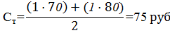
Часовая тарифная ставка основных рабочих, руб.
|
50
|
60
|
70
|
80
|
90
|
100
|
|
Часовая тарифная ставка вспомогательных рабочих, руб.
|
40
|
50
|
60
|
70
|
80
|
90
|
Рассчитываем
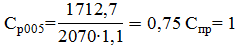
среднюю тарифную ставку основных рабочих:
где Ст - тарифная
ставка i-го разряда;
Роснi - численность основных рабочих
соответствующего разряда.
Определяем доплаты:
Доплата за
профессиональное мастерство. (16% от средней тарифной ставки).
-
Доплата за условия труда (6% от Ст)
- Доплата за выполнение
нормированного задания (принимаем 40% от средней тарифной ставки, надбавки за
профессиональное мастерство и доплаты за условия труда).
Доплата
за руководство бригадой
где
- количество бригадиров на участке;
-
процент доплаты за руководство бригадой, 5%.
Определяем
среднечасовую зарплату основных рабочих с учетом доплат:
(23)
Определяем
основной фонд оплаты труда основных рабочих:
(24)
Определяем
дополнительный фонд оплаты труда основных рабочих (15% от основного фонда):
Определяем
общегодовой фонд зарплаты основных рабочих:
(25)
Определяем
отчисления на социальные нужды (30% от Фобщ)
Определяем
среднегодовую зарплату основных рабочих:
(26)
где
- общегодовой фонд зарплаты;
-
общее количество основных рабочих.
Определяется
среднемесячная зарплата:
(27)
Расчет
общегодового фонда оплаты труда вспомогательных рабочих
Рассчитываем
среднюю тарифную ставку вспомогательных рабочих:

где Ст - тарифная
ставка i-го разряда;
Роснi - численность вспомогательных
рабочих соответствующего разряда.
Определяем
доплаты:
доплата за
профессиональное мастерство (16% от средней тарифной ставки)
-
доплата за условия труда (6% от Ст)
-
доплата за выполнение нормированного задания (принимаем 40% от средней тарифной
ставки, надбавки за профессиональное мастерство и доплаты за условия труда)
-
доплата за руководство бригадой
где
- количество бригадиров на участке;
-
процент доплаты за руководство бригадой, 5%.
Определяем
среднечасовую зарплату вспомогательных рабочих с учетом доплат:
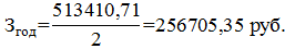
Определяем
основной фонд оплаты труда вспомогательных рабочих:
Определяем
дополнительный фонд оплаты труда вспомогательных рабочих (15% от основного
фонда):
Определяем
общегодовой фонд зарплаты вспомогательных рабочих:
Определяем
отчисления на социальные нужды (30%)
Определяем
среднегодовую зарплату вспомогательных рабочих
где
- общегодовой фонд зарплаты;
-
общее количество вспомогательных рабочих.
Определяется
среднемесячная зарплата:

Расчет
общегодового фонда оплаты труда руководящего состава и специалистов
Данный раздел
рассчитывается с учетом установленных должностных окладов:
- мастер - 1 с
окладом 30000 рублей
Устанавливаем
среднемесячный должностной оклад:
где
- должностной оклад по i-той должности;
-
количество специалистов по i-той должности;
-
общее количество руководящего состава и специалистов.
Определяем
общегодовой фонд оплаты труда с учетом премий:
(30)
где %П - размер
премий - 40-50%
Отчисления
на социальные нужды:
Определяем
среднегодовую зарплату руководящего состава и специалистов:
Определяем
среднемесячную зарплату:
Таблица 16 -
Сводная ведомость планового фонда оплаты труда ППП
|
Категория ППП
|
Кол-во чел.
|
Основной фонд з/п
|
Дополнительный фонд з/п
|
Общегодовой фонд з/п
|
Отчисления на социальные нужды
|
Среднегодовая з/п
|
Среднемесячная з/п
|
|
Основные рабочие
|
5
|
1190517,60
|
|
1369095,20
|
|
273819,04
|
22818,25
|
|
Вспомогательные рабочие
|
2
|
446444,10
|
66966,61
|
513410,71
|
154023,21
|
256705,35
|
21392,11
|
|
Руководители и специалисты
|
1
|
360000
|
|
|
108000
|
360000
|
30000
|
|
Итого
|
8
|
665653
|
122772,12
|
745501,97
|
224250,59
|
296841,46
|
24736,78
|
6.3
Расчет затрат на комплектующие детали узла
Расчет основывается
на данных спецификаций и прейскуранта оптовых цен на комплектующие детали.
Таблица 17/ Перечень комплектующих деталей узла
|
Перечень комплектующих деталей
|
Количество деталей на узел, шт
|
Стоимость единицы изделия, руб
|
Общая стоимость, руб
|
|
Картер кпп
|
1
|
1195
|
1195
|
|
Сальник подшипника
|
2
|
30
|
60
|
|
Подшипник
|
2
|
90
|
180
|
|
Шток выбора передач
|
1
|
245
|
245
|
|
Рычаг штока выбора передач
|
1
|
77
|
77
|
|
Сальник штока выбора передач
|
1
|
350
|
350
|
|
Дифференциал
|
1
|
2255
|
2255
|
|
Первичный вал
|
1
|
920
|
920
|
|
Вторичный вал
|
1
|
920
|
920
|
|
Сухари
|
6
|
30
|
180
|
|
Механизм выбора и переключения передач
|
1
|
735
|
735
|
|
Вилка 3-4 передач
|
1
|
765
|
765
|
|
Вилка 1-2 передач
|
1
|
585
|
585
|
|
Задняя крышка коробки передач1
|
1
|
560
|
560
|
|
Вилка переключения передач
|
1
|
100
|
100
|
|
Итого
|
22
|
|
9027
|
Общая сумма затрат
на комплектующие детали узла для всей программы сборки определяют по формуле:
(31)
где
- стоимость комплектующих на один узел, руб.;
N - программа
сборки узла, шт.
6.4
Расчет сметы косвенных расходов
Косвенные расходы -
это затраты, которые переносятся на себестоимость продукции косвенно, по
заранее установленному признаку.
К косвенным
расходам относятся:
общепроизводственные;
общехозяйственные;
коммерческие
расходы.
Общепроизводственные
расходы
Общепроизводственными
расходами называются расходы по обслуживанию основных и вспомогательных
производств предприятия, вызванные деятельностью той или иной производственной
единицы предприятия, которые в силу своей целостности не могут быть отнесены
непосредственно на то или иное изделие.
Общепроизводственные
расходы состоят из расходов на содержание и эксплуатацию оборудования (РСЭО) и
общецеховых расходов (Рцех)
(32)
Таблица 18
|
Наименование оборудования
|
Количество единиц оборудования
|
Мощность оборудования Квт
|
Стоимость оборудования, руб
|
Норма амортизации,%
|
Сумма амортизационных отчислений
|
|
|
ед.
|
всего
|
ед.
|
всего
|
|
|
|
Стол сборочный
|
4
|
5
|
20
|
18000
|
72000
|
10
|
7200
|
|
Стол контрольный
|
1
|
3
|
3
|
20000
|
20000
|
15
|
1340
|
|
Гайковёрт
|
1
|
4
|
4
|
3000
|
3000
|
5
|
600
|
|
Итого
|
6
|
|
27
|
|
95000
|
|
9140
|
Амортизация -
процесс перенесения первоначальной стоимости выпускаемой продукции.
Амортизацию
оборудования рассчитывается на основе установленной годовой нормы
амортизационных отчислений по формуле:
где
- первоначальная стоимость оборудования, руб;
-
годовая норма амортизации.
Амортизация
технологической оснастки (15% от стоимости оснастки)
где
- стоимость оснастки, принимается в размере 18% от стоимости
оборудования

Затраты
на текущий ремонт и обслуживания оборудования (3-10% от стоимости оборудования).
Принимаем 5%
Затраты на
электроэнергию
где
- стоимость 1 кВт/час энергии;
-
годовой расход электроэнергии для всего установленного оборудования
где
- установленная мощность электродвигателей оборудования, кВт;
-
эффективный фонд времени работы оборудования, час;
-
средний коэффициент загрузки оборудования (0,05-0,7);
-
коэффициент одновременной работы оборудования (0,9);
(37)
где
- число рабочих дней в году;
-
коэффициент потерь времени на капитальный ремонт оборудования;
-
длительность смены;
-
количество смен.
=

=
Амортизация инструмента, принимаем 15% от его стоимости, а
стоимость инструмента принимаем 5-6% от стоимости оборудования.

Затраты
на смазочные материалы (по нормативу - 2000 руб. за единицу оборудования)
Прочие расходы (5%
от суммы всех перечисленных затрат подраздела)

Таблица 19 - Смета
расходов на содержание и эксплуатацию оборудования
|
Наименование статей затрат
|
Величина затрат, руб.
|
|
Амортизация оборудования
|
9140
|
|
Амортизация технологической оснастки
|
2565
|
|
Затраты на текущий ремонт оборудования
|
|
|
Затраты на электроэнергию
|
|
|
Амортизация инструмента
|
|
|
Затраты на смазочные и обтирочные материалы
|
_
|
|
Прочие расходы
|
|
|
Итого: РСЭО
|
251096,26
|
Общецеховые расходы
К этой статье
относятся затраты, связанные с амортизацией здания, цеха, где находится
сборочный участок, а также затраты связанные с его содержанием - расход
электроэнергии, воды, отопления для бытовых нужд. Кроме того сюда включается
затраты на охрану труда работников, расходы на испытания, рационализаторство,
изобретательство. В эту статью расходов включается и заработная плата цехового
персонала с отчислениями на социальное страхова-ние.
Затраты по смете
«Общецеховые расходы» планируем в размере 80-110% от основного фонда оплаты
труда основных рабочих.
К этой статье
относятся затраты, связанные с управлением предприятием и организацией
производства в целом (зарплата с отчислениями на социальное страхование,
конструкторские, типографические, почтово-телеграфные и др. расходы
общезаводского характера).
Затраты по смете
«Общехозяйственные расходы» планируем в размере 65-95% от основного фонда
оплаты труда основных рабочих.
Расчет
сметы внепроизводственных (коммерческих) расходов
В эту статью
заключаются затраты на тару, упаковку продукции на складе, на транспортировку
продукции, погрузку и другие расходы по сбыту готовой продукции, то есть на
рекламную компанию.
Затраты по смете «
Внепроизводственные расходы» планируем в размере 2-5% от производственной
себестоимости изготовления узла.
6.5
Расчет плановой калькуляции сборки узла
С учетом затрат,
предусмотренных в расчетах составляем плановую калькуляцию себестоимости всей
программы сборки узла и сборочной единицы.
Для этого
выполненные ранее расчеты сводим в таблицу.
Таблица 20 - Расчет
плановой калькуляции
|
Статьи калькуляции
|
Затраты
|
Структура затрат,%
|
|
на единицу продукции, руб.
|
на весь выпуск руб.
|
|
|
Затраты на покупные комплектующие изделия
|
9027
|
595782000
|
95
|
|
Основная зарплата основных рабочих
|
18,03
|
|
1
|
|
Дополнительная зарплата основных рабочих
|
2,7
|
|
|
|
Отчисления на социальные нужды основных рабочих
|
6,2
|
410728,56
|
|
|
Общепроизводственные расходы РСЭО Общецеховые расходы
|
1807,61 3,80 1803,81
|
119302856,28 251096,26
|
1,5
|
|
Цеховая себестоимость
|
37463,75
|
716864680,08
|
-
|
|
Общехозяйственные расходы
|
1623,43
|
|
1,5
|
|
Производственная себестоимость
|
45193,38
|
824011264,08
|
-
|
|
Коммерческие расходы
|
624,25
|
41200563,20
|
1
|
|
Полная себестоимость
|
13109,27
|
865211827,28
|
100
|
6.6
Планирование цены и прибыли сборочного узла
Определяется
минимально приемлемая цена изделия
где
- полная себестоимость сборочной единицы продукции;
П - минимально
приемлемая доля прибыли в цене.
Определение
минимальной выручки
Анализируя
себестоимость, следует разделить все затраты на условно-постоянные и
условно-переменные
Таблица 20
|
Наименование расходов
|
Сумма расходов, УПР
|
|
на единицу продукции
|
на весь выпуск
|
|
Общепроизводственные расходы
|
1807,61
|
119302856,28
|
|
Общехозяйственные расходы
|
1623,43
|
|
|
Коммерческие расходы
|
624,25
|
|
|
Амортизация оборудования
|
0,16
|
9140
|
|
Итого
|
18594,82
|
267569143,48
|
|
Наименование расходов
|
Сумма расходов, ПР
|
|
На единицу продукции
|
На весь выпуск
|
|
Покупные комплектующие детали
|
9027
|
595782000
|
|
Зарплата основных рабочих с начислениями
|
18,03
|
|
|
Итого
|
9045,03
|
596972517,6
|
Определяется
минимальная выручка
где УПР - это сумма
условно-постоянных расходов на весь выпуск;
ПР - переменные
расходы на единицу продукции.
Определяем
минимальный уровень продаж, при котором предприятия сумеет возместить все
постоянные и переменные расходы, то есть выйдет на уровень безубыточности
Определяем
точку безубыточности
Точка
безубыточности позволяет определить, обеспечит ли ожидаемый объем продаж
безубыточную работу предприятия, то есть при каком минимальном объеме продаж
начнут окупаться затраты.
Определяем выручку
от реализации продукции
(42)
Определение
планируемой прибыли
(43)
П=
-865211827,28= 216264172,72 руб
Рассчитываем
затраты на рубль товарной продукции:
(44)
Рентабельность
характеризует уровень отдачи затрат и степень использования средств в процессе
производства и реализации продукции.
Рентабельность
продукции:
Технико-экономические
показатели работы участка
Для получения
полного представления о характере производственного участка и возможности
получения данных для сравнения работы с другими участками необходимо составить
комплекс итоговых данных.
Таблица 21 -
Основные технико-экономические показатели работы участка на 2015 год
|
Наименование показателей
|
Единица измерения
|
Величина показателей
|
|
Годовой выпуск изделий: в натуральном измерении (N) в стоимостном измерении
(Bmin)
|
шт руб
|
66000 595782000
|
|
Численность состав ППП: основные рабочие вспомогательные рабочие
руководители и специалисты
|
чел чел чел
|
5 2 1
|
|
Средний тарифный разряд основных рабочих
|
руб
|
4
|
|
Среднемесячная зарплата одного основного рабочего
|
руб
|
22818,25
|
|
Среднемесячная зарплата одного работающего
|
руб
|
24736,78
|
|
Полная себестоимость всего выпуска единицы продукции
|
руб
|
2609917713 47453,04
|
|
Цена одного узла
|
руб
|
|
|
Выручка от реализации продукции
|
руб
|
|
|
Затраты на рубль товарной продукции
|
руб
|
|
|
Планируемая прибыль
|
руб
|
216264172,72
|
|
Рентабельность продукции
|
%
|
25
|
Заключение
При составлении
дипломного проекта были решены задачи организационного и технологического
характера. Внесены предложения по усовершенствованию существующей технологии,
оснастки, организации и экономики производства. значительно облегчающие
современный производственный процесс изготовления узла на которое выдано
задание.
Трудоемкость
выполнения программы сборки узла составляет 19329,2 н/час, численность основных
рабочих задействованных в сборочном процессе -5 человек, уровень механизации труда - 62,5%, процент загрузки сборочной
линии -
. Нормативная загрузка сборочной линии колеблется в пределах 65-95%
для массового производства. На данной линии можно организовать сборку типовых
узлов.
При проектировании
дипломного проекта были произведены экономические расчёты. Производство можно
включить в разряд экономически выгодных.
В результате
исследования этой темы было определено, что:
.Рентабельность как
финансовый результат деятельности предприятия представляет собой разность между
совокупным доходом и совокупными затратами в процессе осуществления
хозяйственно-финансовой деятельности.
. Экономическое
значение и задачи оценки рентабельности. Рентабельность определяется как
показатель, представляющий собой отношение прибыли к сумме затрат на
производство, к денежным вложениям в организацию коммерческих операций или
сумме имущества фирмы, используемого для организации своей деятельности.
. Эффективность
деятельности предприятия оценивается с помощью показателей рентабельности, под
которой понимается отношение прибыли к вложенным средствам. При этом в
зависимости от целей финансового анализа используются разные показатели
прибыли. В качестве вложенных средств могут выступать собственный капитал,
активы и себестоимость реализованной продукции.
4. Пути повышения
прибыли и рентабельности подразумевают увеличение продаж готовой продукции,
которое может быть достигнуто несколькими способами. В настоящее время все
больше компаний уделяют повышенное вниманию маркетингу, что позволяет им не
только выбирать товары, которые представляют интерес для потребителей, но и
продвигать их на рынок.
Литература
1.Волков О.И., Скляренко В.К.
Экономика предприятия: Курс лекций. - М.: ИНФА - М, 2011. - 280с.
2. Кнышова Е.Н., Панфилова Е.Е.
Экономика организации: учебник. - М.:ИД «ФОРУМ»: ИНФРА-М, 2009. - 336с.
. Куликов Л.М., Основы экономической
теории: Учеб. пособие - М.: Финансы и статистика, 2009. - 400с.
. Сафронов Н.А., Экономика
организации (предприятия): Учеб. для ср.спец. учеб. заведений. - М.: Экономист,
2011. - 251с.
. Сергеев И.В. Экономика
предприятия: Учеб. пособие - 2-е изд., перераб. и доп.- М.: Финансы и
статистика, 2009.-304с.
. Туревский И.С., Экономика отрасли:
учебник. - М.; ИД «Форум»: ИНФРА-М, 2010. - 288с.
. Экономика предприятия: Учеб. для
вузов /И.Э. Берзинь, С.А. Пискунова, Н.Н. Савченко, С.Г. Фалько; Под ред. С.Г.
Фалько - М.: Дрофа, 2010. - 368 с.
. Экономика предприятия. Учебник для
вузов/В.Я.Горфинкель, Е.М. Купряков,
В.П. Прасолова и др.; Под ред.проф.
В.Я. Горфинкеля, проф. Е.М. Купрякова Дополнительная литература:
.Волков О.И., Скляренко В.К.
Экономика предприятия.- М.:ИНФА-М,201-280с.
. Семенов В.М. Экономика
предприятия.- 4-е изд. - СПб.: Питер, 2010. -384с.
. Экономика организации: учеб.
пособие для ССУЗов. Ростов н/Д: Феникс, 2009.
. Экономика предприятия. Тесты,
задачи, ситуации. М.:ЮНИТИ, 2011. Шевчук Д.А.