Статистический анализ показателей эффективности финансово-хозяйственной деятельности
Содержание
Введение
1 Теоретические основы анализа показателей эффективности
финансово-хозяйственной деятельности
1.1 Состав и структура оборотных средств
1.2 Система показателей статистики оборотных средств
2. Анализ показателей эффективности финансово−хозяйственной
деятельности
Заключение
Список использованных источников
Введение
В современных экономических условиях деятельность каждого
хозяйственного субъекта является предметом внимания обширного круга участников
рыночных отношений, заинтересованных в результатах его функционирования. Чтобы
обеспечивать выживаемость предприятия в современных условиях, управленческому
персоналу необходимо, прежде всего, уметь реально оценивать финансовые
состояния, как своего предприятия, так и существующих потенциальных
конкурентов. Важнейшее значение в определении финансового состояния предприятия
состоит в своевременном и качественном анализе финансово-хозяйственной
деятельности.
В данной курсовой работе будет проведен
статистический анализ финансовых результатов и эффективности использования
производственных фондов, для этого необходимо рассмотреть основные и оборотные
фонды предприятия, прибыль и рентабельность.
Основные фонды являются наиболее значимой
составной частью имущества предприятия. От количества основных производственных
фондов, стоимости, технического уровня, эффективности использования во многом
зависят такие показатели как себестоимость, прибыль и рентабельность.
Оборотные фонды представляют собой
наиболее подвижную часть активов. Основными показателями для характеристики
оборотных средств являются коэффициент оборачиваемости и количество оборотов
оборотных средств.
Прибыль − один из основных
финансовых показателей плана и оценки хозяйственной деятельности фирмы. За счет
прибыли осуществляется финансирование мероприятий по научно-техническому и
социально-экономическому развитию, увеличению фонда оплаты труда. В данной
курсовой работе для анализа хозяйственной деятельности используются такие
показатели прибыли, как балансовая прибыль, прибыль от реализации продукции.
Рентабельность − это показатель
эффективности использования основных средств и производственных ресурсов
предприятия. Рентабельность комплексно отражает степень эффективности
использования материальных, трудовых и денежных ресурсов, а также природных
богатств. Уровень рентабельности производственной деятельности, зависит от трех
основных факторов: изменения структуры реализованной продукции, ее
себестоимости и средних цен реализации.
В качестве основных методов исследования использовались:
расчетные методы, сравнительный анализ.
Информационной базой для написания работы послужили
учебно-методическая и научная литература, Интернет-ресурсы.
1
Теоретические основы анализа показателей эффективности финансово-хозяйственной
деятельности
1.1 Состав и
структура оборотных средств
Процесс производства и продажи продукции может осуществляться
бесперебойно при наличии у предприятия не только необходимых основных фондов,
нематериальных активов, но и оборотных средств, преимущественно в форме запасов
сырья, материалов, полуфабрикатов, топлива и т.д. Как и основные, оборотные
средства функционируют в сфере производства, являясь материальной основой
производства и представляют собой производственные фонды. Но в процессе
функционирования средства труда и предметы труда по-разному и в разной степени
переносят свою стоимость на стоимость производимого продукта. Этим и
обусловлено деление производственных фондов на основные и оборотные.
Оборотными фондами называют предметы труда, которые участвуют
в одном цикле производства, сразу переносят свою стоимость на стоимость
создаваемого продукта. Представляют собой минимально необходимые для выполнения
производственной программы запасы сырья, основных материалов, покупных
полуфабрикатов и комплектующих изделий, вспомогательных материалов, топлива,
запасных частей для ремонта, малоценных и быстроизнашивающихся предметов, а
также незавершенного производства.
Фонды обращения обслуживают процесс реализации готовой
продукции и снабжения предприятия. Фонды обращения хотя и не участвуют
непосредственно в процессе производства, но необходимы для обеспечения единства
производства и обращения. Фонды обращения состоят из запасов готовой продукции
на складе организации, товаров, отгруженных потребителям, и остатков денежных
средств на счетах в банке и в кассе организации.
Оборотные фонды и фонды обращения тесно связаны между собой.
Их движение имеет одинаковый характер и составляет единый процесс кругооборота
фондов организации.
Материальные оборотные средства как элемент национального богатства
в соответствии с международными стандартами охватывают: все товары и услуги,
созданные в текущем или предшествующих периодах и хранимые производителями для
использования в собственном производстве, иного использования или последующей
продажи; товары, приобретенные хозяйственными единицами (торговыми и другими организациями) с целью их перепродажи
без предварительной обработки; государственные материальные резервы.
В составе запасов оборотных средств выделяют следующие типы
экономических активов:
Сырье и материалы;
Незавершенное производство;
Готовая продукция;
Товары для перепродажи;
Государственные материальные резервы.
Первая группа охватывает совокупность
материально-вещественных ценностей, которые их владельцы намерены использовать
в качестве предметов труда в собственном процессе производства. К ним относят
сырье, основные и вспомогательные материалы, топливо, покупные полуфабрикаты и
комплектующие изделия, запасные части и т.д.
Во вторую группу входит продукция (работы, услуги), не
прошедшая полный технологический цикл в пределах предприятий и, как правило, не
предназначенная для передачи другим хозяйственным единицам без дальнейшей
обработки.
Готовая продукция − это совокупность законченных
производством продукции.
Товары для перепродажи - это совокупность товаров для
перепродажи.
Различают текущие, страховые, и сезонные запасы. За счет
текущих запасов обеспечивается текущая потребность производства в материальных
ресурсах между двумя очередными поставками этих ресурсов. Величина текущего
запаса определяется как произведение среднесуточной потребности в запасах и
числа дней между двумя поставками.
Страховые запасы создаются на случай непредвиденного
нарушения сроков поступления отдельных видов материальных ресурсов.
Сезонные запасы образуются на предприятиях, перерабатывающих
сырье, материалы, производство и поставки которых имеет сезонный характер.
Размеры сезонных запасов зависят от длительности сезонного перерыва в поставке
сырья и материалов.
Существуют различия в стоимостной оценке производственных
запасов в бухгалтерском учете и в статистике.
В бухгалтерской отчетности стоимость производственных запасов
учитывается при их поступлении по фактической себестоимости. Если они
приобретены со стороны, учет осуществляется по стоимости их приобретения, в
которую включаются стоимость материалов по договорным ценам (цены поставщика),
транспортно-заготовительные расходы, расходы по доведению материалов до
состояния, в котором они пригодны к использованию. Последняя составляющая
расходов включает затраты предприятия по переработке, обработке, доработке. В
статистике стоимость материальных оборотных средств на конец года, которая
должна быть отражена в балансе активов и пассивов, определяется не в ценах на
момент их поступления, а согласно методологии отражения экономических активов -
в ценах на даты, к которым относятся соответствующие данные. Переход от
балансовой стоимости материальных оборотных средств к стоимости запасов в
текущих ценах на конец периода должен производится по формуле:
Z = С×Ip; (1.1)
где Z - стоимость запасов в текущих ценах на
конец отчетного года; C - стоимость
запасов на момент приобретения в соответствии с выбранным моментом учета этих
запасов;
− средний индекс цен на данный вид
запасов за соответствующий период. В рамках организации проводят деление всех
хозяйственных средств по составу и функциональной роли в процессе производства
на две группы: внеоборотные активы (в том числе основные фонды, нематериальные
активы и долгосрочные финансовые вложения) и оборотные активы. К последним
относят запасы, денежные средства, дебиторскую задолженность, краткосрочные
финансовые вложения, прочие оборотные активы. Категория "запасы"
охватывает производственные запасы, незавершенное производство, готовую продукцию
и товары. Оборотные средства называются также текущими активами и учитываются в
бухгалтерских балансах.
1.2 Система
показателей статистики оборотных средств
Уровень эффективности использования оборотных средств находит
отражение в скорости их оборота или оборачиваемости. Чем быстрее
оборачиваемость, тем большая сумма материальных оборотных средств
высвобождается для расширения объема производства.
Скорость оборачиваемости (эффективность использования)
оборотных средств характеризуется показателями:
коэффициентом оборачиваемости средств (количеством оборотов)
,
гдер - стоимость реализованной продукции за
период;
- средний остаток оборотных средств за период.
Рассчитанное значение коэффициента оборачиваемости показывает
величину стоимости реализованной продукции, полученную на рубль вложенных
оборотных средств.
коэффициент закрепления (обратный показатель коэффициента
оборачиваемости средств)
.
Данный коэффициент показывает, какую величину оборотных
средств необходимо иметь предприятию для производства и реализации продукции
стоимостью в один рубль.
продолжительность одного оборота, в днях
или
где Д - продолжительность периода, за который определяются
показатели. Обычно она принимается равной за месяц - 30 дней, за квартал - 90
дней, за год - 360 дней.
Чем быстрее оборачиваемость оборотных средств, тем больше
предприятие реализует продукции и получает прибыли при неизменной величине
оборотных средств.
После расчета обобщающих показателей оборачиваемости
необходимо проанализировать, под влиянием каких факторов сложился полученный
уровень значений.
На основе показателей оборачиваемости, исчисленных по
отдельным единицам совокупности, рассчитывают средние показатели
оборачиваемости оборотных средств для любой совокупности единиц.
статистика показатель оборотное средство
Средний коэффициент оборачиваемости (в оборотах) или среднее
число оборотов оборотных средств
Средний коэффициент закрепления:
Динамика средних показателей оборачиваемости характеризуется
с помощью системы индексов переменного, постоянного состава и структурных
сдвигов. Например, анализ динамики среднего коэффициента закрепления можно
провести с помощью следующей системы индексов: индекс переменного состава,
показывающий изменение коэффициента закрепления в среднем по совокупности предприятий:
индекс постоянного состава, характеризующий изменение
среднего коэффициента закрепления под влиянием изменения собственно величины
оборотных средств, необходимой для производства продукции стоимостью в один
рубль:
индекс структурных сдвигов, показывающий влияние на значение
среднего коэффициента закрепления структурных сдвигов в совокупности:
Анализ динамики коэффициентов оборачиваемости дополняется
абсолютным показателем экономического эффекта, который получает предприятие за
счет улучшения использования оборотных средств. Полученный эффект
характеризуется суммой средств, высвободившихся из оборота вследствие ускорения
оборачиваемости.
Сумма высвободившихся средств
может быть рассчитана
несколькими способами:
) число дней, на которое ускорился или замедлился оборот в
отчетном периоде, умножается на размер однодневной реализации отчетного периода
) разность между коэффициентами закрепления умножается на
стоимость реализованной продукции отчетного периода:
) из среднего фактического остатка оборотных средств
вычитается условная величина оборотных средств, которая потребовалась бы в
отчетном периоде, если бы не произошло изменение оборачиваемости:
2. Анализ
показателей эффективности финансово−хозяйственной деятельности
Задание на курсовую работу
По исходным данным (см. табл.1) проанализировать:
. Показатели использования основных фондов.
2. Абсолютное и относительное изменение объема
реализованной продукции, в т. ч. за счет изменения:
а) объема основных производственных фондов,
б) фондоотдачи.
. Долю изменения объема продукции за счет изменения:
а) объема основных производственных фондов;
б) изменения уровня фондоотдачи.
. Относительное высвобождение (перерасход) основных
производственных фондов за счет изменения:
а) фондоемкости продукции;
б) объема выпуска продукции.
. Долю изменения объема основных фондов за счет
изменения:
а) фондоемкости;
б) объема продукции.
. Изменение оборачиваемости оборотных средств (по
числу оборотов и по продолжительности одного оборота).
7. Абсолютное и относительное изменение объема оборотных
средств, в т. ч. за счет изменения:
а) скорости оборота оборотных средств;
б) объема выпуска продукции.
. Долю изменения объема оборотных средств за счет
изменения:
а) оборачиваемости оборотных средств;
б) объема производства продукции.
. Балансовую прибыль и ее структуру.
10. Абсолютное и относительное изменение прибыли от
реализации продукции.
. Абсолютное и относительное влияние на изменение
прибыли от реализации продукции следующих факторов:
а) цен;
б) себестоимости;
в) объема продукции.
. Долю изменения прибыли за счет изменения:
а) цен;
б) себестоимости продукции;
в) объема продукции.
. Абсолютное и относительное влияние на изменение
рентабельности продукции изменения следующих факторов:
а) прибыли от реализации продукции;
б) себестоимости продукции;
в) объема производства продукции.
. Долю изменения рентабельности продукции за счет
изменения:
а) прибыли от реализации продукции;
б) себестоимости продукции;
в) объема производства продукции.
. Абсолютное и относительное влияние на изменение
общей рентабельности изменения:
а) балансовой прибыли;
б) объема производственных фондов, в т. ч.
·
объема
основных производственных фондов;
·
объема
оборотных средств.
16. Долю изменения общей рентабельности за счет изменения:
а) балансовой прибыли;
б) изменения объема основных фондов;
в) изменения оборотных средств.
Полученные результаты проанализировать и сделать выводы.
Имеются следующие данные (д. е.)
Вариант 8
Таблица 1.
|
№ вариан-та
|
Период
|
Среднегодовая
стоимость основных производствен-ных фондов
|
Средние остатки
оборотных средств
|
Реализация
продукции
|
Полная
себесто-имость реализован-ной продукции
|
Реализован-ная
в отчетном году продукция по себестои-мости базисного периода
|
Прибыль от
реализации иных материаль-ных ценностей
|
Доходы от
внереализа-ционной деятельности.
|
|
|
|
|
В фактических
отпускных ценах предприятия
|
В отпускных
ценах предприятия базисного периода
|
|
|
|
|
|
1
|
Базисный
|
100
|
25
|
240
|
240
|
220
|
-
|
0,4
|
1,6
|
|
Отчетный
|
120
|
24,6
|
270
|
272
|
236
|
248,6
|
0,5
|
2,0
|
|
2
|
Базисный
|
320
|
100
|
700
|
700
|
650
|
-
|
2,0
|
4,0
|
|
Отчетный
|
300
|
120
|
720
|
690
|
660
|
640,9
|
2,5
|
3,5
|
|
3
|
Базисный
|
1200
|
250
|
2700
|
2700
|
2360
|
-
|
7,0
|
6,0
|
|
Отчетный
|
1000
|
260
|
2400
|
2450
|
2200
|
2141,5
|
8,0
|
5,0
|
|
4
|
Базисный
|
700
|
150
|
2000
|
2000
|
1800
|
-
|
15,0
|
13,0
|
|
Отчетный
|
760
|
140
|
2100
|
2200
|
2050
|
1979,9
|
17,0
|
11,0
|
|
5
|
Базисный
|
870
|
420
|
3500
|
3500
|
3200
|
-
|
230
|
18,0
|
|
Отчетный
|
900
|
400
|
4200
|
4000
|
3700
|
3657,2
|
20,0
|
40,0
|
|
6
|
Базисный
|
4200
|
2000
|
5600
|
5600
|
4300
|
-
|
44,0
|
80,0
|
|
Отчетный
|
4000
|
2100
|
5900
|
5500
|
4500
|
4222,9
|
50,0
|
45,0
|
|
7
|
Базисный
|
600
|
250
|
1300
|
1300
|
1100
|
-
|
3,00
|
8,0
|
|
Отчетный
|
650
|
300
|
1500
|
1400
|
1150
|
1184,6
|
5,00
|
6,00
|
|
8
|
Базисный
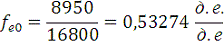
|
8950
|
2400
|
16800
|
16800
|
15300
|
-
|
100,0
|
4,80
|
|
Отчетный
|
9000
|
2500
|
19000
|
20000
|
17000
|
18212,9
|
80,0
|
5,00
|
|
9
|
Базисный
|
450
|
220
|
1180
|
1180
|
1000
|
-
|
1,8
|
4,0
|
|
Отчетный
|
400
|
240
|
1260
|
1200
|
1050
|
1016,9
|
2,0
|
4,5
|
|
10
|
Базисный
|
1300
|
650
|
3500
|
3500
|
3125
|
-
|
4,0
|
6,0
|
|
Отчетный
|
1400
|
630
|
3800
|
3600
|
3400
|
3214,1
|
3,0
|
6,5
|
. Обобщающим показателем использования основных
производственных фондов (ОПФ) является фондоотдача (f), которая может быть
определена по формуле:
,
где Q - стоимость произведенной (реализованной)
за год продукции;
Ф - среднегодовая стоимость основных производственных фондов
(ОПФ).
По экономическому содержанию фондоотдача показывает, сколько
продукции произведено в данном периоде на 1 руб. стоимости основных фондов. Чем
выше показатель фондоотдачи, тем эффективнее используются основные средства на
предприятии.
Вывод: Фондоотдача
в отчетном периоде увеличилась на 0,234 д. е. /д. е. по сравнению с базисным.
Следовательно, в отчетном периоде основные фонды использовались эффективнее.
Наряду с фондоотдачей статистика исчисляет и обратную ей величину
- фондоемкость (fe). Она
характеризует стоимость основных фондов, приходящихся на 1 руб. произведенной
продукции. Её снижение означает высвобождение (экономию) основных фондов.
.
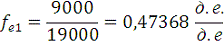
Фондоёмкость в отчётном периоде по сравнению с базисным
уменьшилась на
, что говорит об экономии основных средств
в исследуемом периоде.
2. Объем
произведенной продукции можно представить следующим выражением
, тогда абсолютное изменение объема
реализованной продукции в отчетном периоде по сравнению с базисным (∆Q) будет равно:


Как видим, на величину абсолютного изменения объема продукции
оказали влияние два фактора - изменение фондоотдачи (f) и изменение объема основных фондов (Ф).
Влияние изменения данных факторов на изменение общей величины
определяем по следующим формулам:
а) влияние изменения фондоотдачи
б) изменения объема основных производственных фондов:
При этом
В отчётном периоде по сравнению с базисным объём произведённой
продукции увеличился на 2200 д. е., в том числе за счет изменения фондоотдачи -
на 2106 д. е., а за счёт изменения объёма основных производственных фондов - на
94 д. е.
Относительное изменение объема реализованной продукции (IQ) будет равно
В том числе
а) за счет изменения фондоотдачи:
б) за счет изменения основных производственных фондов:
Проверка правильности вычислений:
,
В отчётном периоде по сравнению с базисным объём реализованной
продукции увеличился на 13,1%, в том числе за счёт изменения фондоотдачи - на
12,5%, а за счёт изменения основных производственных фондов - на 0,5%.
3. Доля
изменения объема продукции (¶∆Q) будет равна
·
- доля изменения объема продукции за счет изменения объема
основных производственных фондов;
·
- доля изменения объема продукции за счет изменения уровня
фондоотдачи

Проверка правильности решения:
В отчётном периоде по сравнению с базисным доля изменения объема
продукции за счет изменения уровня фондоотдачи составила 4,3 %, а за счёт
изменения объема основных производственных фондов 95,7%.
4. Абсолютное
высвобождение (перерасход) основных производственных фондов в отчетном периоде
по сравнению с базисным можно вычислить по формуле
,
в том числе
а) за счет изменения фондоёмкости продукции
б) за счет изменения объема выпуска продукции

д. е.
В отчётном периоде по сравнению с базисным высвободилось 50 д. е.
основных фондов, при этом за счёт изменения фондоёмкости продукции - перерасход
в размере 1122,1 д. е., а за счёт изменения объёма выпуска продукции - экономия
1171,1 д. е.
Относительное высвобождение (перерасход) основных производственных
фондов в отчетном периоде по сравнению с базисным равно
,
в том числе
а) за счет изменения фондоемкости продукции
б) за счет изменения объема выпуска продукции
Проверка правильности вычислений:
,
В отчётном периоде по сравнению с базисным высвободилось 0,56%
основных фондов, в том числе за счёт изменения фондоёмкости продукции произошел
перерасход 12,53% основных фондов, а за счёт изменения объема выпуска продукции
высвободилось 13,09% основных фондов.
6. Показателями
использования оборотных средств (С) являются коэффициент оборачиваемости (n), характеризующий число оборотов оборотных средств за
период, и показатель продолжительности одного оборота в днях (t).
где Д - число дней в периоде;
Существует и несколько иной способ определения
продолжительности одного оборота оборотных средств. Для её определения
необходимо найти отношение средних остатков оборотных средств предприятия к
однодневному обороту ОС:
где m - однодневный оборот.
В отчётном периоде по сравнению с базисным количество оборотов
увеличилось на 0,6 оборота, а продолжительность одного оборота уменьшилась на
4,117 дня.
Абсолютное изменение оборачиваемости оборотных
средств:
а) по числу оборотов:
Влияние отдельных факторов на изменение числа оборотов оборотных
средств определим по формулам:
·
·
При этом
.
Оборачиваемость оборотных средств по числу оборотов в исследуемом
периоде увеличилась на 0,6 оборота, в том числе за счёт влияния изменения
объёма продукции произошло увеличение на 0,92 оборота, а за счёт изменения
средних остатков оборотных средств уменьшилась на 0,32 оборота.
б) по продолжительности одного оборота (t):
,
в том числе
·
·
Проверка правильности решения:
В отчётном периоде по сравнению с базисным оборачиваемость
оборотных средств по продолжительности одного оборота уменьшилась на 4,117 дня,
в том числе под влиянием изменения средних остатков оборотных средств
увеличилась на 2,173 дня, а за счёт изменения однодневного оборота произошло
сокращение на 6,29 дней
7. Абсолютное
изменение объема оборотных средств
в том числе за счет изменения:
а) скорости оборота оборотных средств
или
При этом
.
б) за счет изменения объема выпуска продукции
В отчётном периоде по сравнению с базисным средние остатки
оборотных средств увеличились на 100 д. е., в том числе за счёт изменения
скорости оборота оборотных средств сократились на 214,3 д. е, а под влиянием
изменения объёма выпуска продукции выросли на 314,3 д. е.
Относительное изменение объема оборотных средств
в том числе:
а) за счет изменения скорости оборота оборотных средств:
б) за счет изменения объема выпуска продукции:
9. Прибыль является главным показателем эффективности работы
предприятия, источником его жизнедеятельности.
Конечный финансовый результат деятельности предприятия - это
балансовая прибыль (Пб). Она исчисляется как сумма прибыли от
реализации продукции (Прп), прибыли от реализации материальных
ценностей (Пмц) и доходов от внереализационных операций (Двн):
Абсолютное изменение балансовой прибыли (∆Пб)
равно:
.
В отчетном периоде по сравнению с базисным балансовая прибыль
выросла на 480,2 д. е.
Индекс роста (относительное изменение) балансовой прибыли в
отчетном периоде по сравнению с базисным:
.
В отчетном периоде по сравнению с базисным балансовая прибыль
выросла на 29,9 %
10. Прибыль от реализации продукции (работ, услуг)
определяется как разность между выручкой от реализации продукции и её полной
себестоимостью. Если себестоимость продукции превышает её стоимость в оптовых
ценах, то результатом производственной деятельности предприятия будет убыток.
Расчет прибыли от реализации продукции может быть представлен в виде формулы:
где pq -
выручка от реализации продукции;
zq - затраты на её производство.
Прибыль от реализации продукции в базисном периоде:
Прибыль в отчетном периоде:
Абсолютное изменение прибыли от реализации продукции:
Относительное изменение прибыли от реализации продукции:
11. Влияние
отдельных факторов на абсолютное изменение прибыли от реализации продукции
определим по следующим формулам.
Изменение прибыли за счет изменения:
а) цен на продукцию:
б) себестоимости продукции:
в) фактического объема продукции:
Проверка правильности вычислений:
В отчётном периоде по сравнению с базисным прибыль от реализации
продукции увеличилась на 500 д. е., в том числе за счёт изменения цен на
продукцию снизилась на 1000 д. е., за счёт изменения себестоимости продукции
выросла на 1212,9 д. е., а под влиянием изменения фактического объёма продукции
увеличилась на 287,1 д. е.
Относительное изменение прибыли от реализации продукции
Относительное изменение прибыли от реализации продукции за счет
изменения i-того фактора определяем по формуле
Проверка
В отчётном периоде по сравнению с базисным прибыль от
реализации продукции увеличилась на 33,3%, в том числе за счёт изменения цен на
продукцию уменьшилась на 66,7%, за счёт изменения себестоимости продукции
выросла на 80,86%, а под влиянием изменения фактического объёма продукции
увеличилась на 19,14%.
13. Наряду с абсолютным показателем (прибыль) в
статистике широко применяется относительный показатель результатов деятельности
предприятия - рентабельность.
Рассчитываются показатели:
а) общей рентабельности (Rоб):
,
В отчётном периоде по сравнению с базисным рентабельность выросла
на 3,99 проц. пункта.
б) рентабельность продукции (R):
,
,
Общая рентабельность отражает эффективность авансированных
затрат, а рентабельность продукции - эффективность текущих затрат.
Абсолютное изменение рентабельности продукции ∆R определяем:
в том числе за счет изменения:
а) прибыли от реализации продукции:
б) себестоимости продукции:
в) объема реализованной продукции:
Проверка правильности решения:
В отчётном периоде по сравнению с базисным рентабельность
продукции увеличилась на 0,72 проц. пункта, в том числе за счёт изменения
прибыли от реализации продукции выросла на 2,63 проц. пункта, под влиянием
себестоимости уменьшилась на 0,35 проц. пункта, а за счёт изменения объёма
реализованной продукции снизилась на 1,56 проц. пункта.
Относительное изменение рентабельности продукции:
Влияние i-того фактора
на изменение индекса рентабельности продукции определяем по формуле:
Проверка
.
В отчётном периоде по сравнению с базисным рентабельность
продукции увеличилась на 7,3%, в том числе под влиянием прибыли от реализации
продукции рентабельность выросла на 26,8%, за счёт изменения себестоимости
продукции рентабельность уменьшилась на 3,6%, а под влияние объёма продукции
рентабельность снизилась на 15,9 %
15. Абсолютное
изменение общей рентабельности находим по формуле:
Влияние на абсолютное изменение общей рентабельности отдельных
факторов определяем по следующим формулам:
а) изменения прибыли
б) объема производственных фондов
,
в том числе за счет изменения
· объема ОПФ
· объема оборотных средств
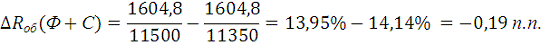
В отчётном периоде по сравнению с базисным общая рентабельность
уменьшилась на 3,99 проц. пункта, в том числе под влиянием изменения прибыли
общая рентабельность увеличилась на 4,18 проц. пункта, а за счёт изменения объёма
производственных фондов общая рентабельность уменьшилась на 0,19 п. п. (в том
числе за счёт изменении объёма ОПФ - на 0,06 проц. пункта, а за счёт изменения
объёма оборотных средств - на 0,13 проц. пункта)
Относительное изменение общей рентабельности
,
Влияние признаков - факторов на относительное изменение общей
рентабельности соответственно равно:
а)
б)
из них
·
·
В отчётном периоде по сравнению с базисным общая рентабельность
увеличилась на 28,2%, в том числе, за счёт изменения балансовой прибыли общая
рентабельность увеличилась на 29,6%, под влиянием изменения ОПФ общая рентабельность
уменьшилась на 0,4%, а за счёт изменения оборотных средств рентабельность
уменьшилась на 1%
Заключение
В теоретической части курсовой работы было рассмотрено:
состав и структура оборотных средств, а также система показателей статистики
оборотных средств.
В практической части был проведен
статистический анализ финансовых результатов и эффективности использования
производственных фондов. Для этого были рассмотрены основные и оборотные фонды
предприятия, прибыль и рентабельность.
Фондоотдача в отчетном периоде увеличилась на 0,234 д. е. /д. е.
по сравнению с базисным. Следовательно, в отчетном периоде основные фонды
использовались эффективнее. Показатель фондоемкости уменьшился на
, что говорит об экономии основных средств
в исследуемом периоде.
Показателями использования оборотных средств являются коэффициент
оборачиваемости и показатель продолжительности одного оборота. Коэффициент
оборачиваемости в отчетном году по сравнению с базисным увеличился на 0,6
оборота, продолжительность одного оборота уменьшилась на 4,117 дня, что
положительно влияет на оборачиваемость средств.
Конечным финансовым результатом деятельности предприятия
является балансовая прибыль. Балансовая прибыль в отчетном году по сравнению с
базисным увеличилась на 480,2 д. е., прибыль от реализации продукции в отчетном
году по сравнению с базисным увеличилась на 500 д. е. Это является
положительным явлением для организации.
Общая рентабельность организации в отчетном периоде по
сравнению с базисным увеличилась на 3,9 п. п. Рентабельность продукции в
отчетном периоде по сравнению с базисным также выросла на 0,72 п. п.
В целом статистический анализ финансовых результатов и
эффективности использования производственных фондов показал повышение
эффективности деятельности предприятия.
Список
использованных источников
1) Голуб
Н.А. Социально-экономическая статистика: Учеб. пособие для вузов. - М.: ВЛАДОС,
2001
2) Курс
социально-экономической статистики: Учебник для вузов/Под ред. М.Г. Назанова. -
Омега-М, 2006
) Салин
В.Н., Шпаковская Е.П. Социально-экономическая статистика: Учебник. - М.:
Юристъ, 2001
) Социально-экономическая
статистика: Учеб. пособие. - М.: ИНФА-М, 2008
) Социально-экономическая
статистика: Учебник для вузов/Под ред. проф. Б.И. Башкатова. - М.: ЮНИТИ-ДАНА,
2002
) Экономическая
статистика: Учебник. - 3-е издание/Под ред. проф. Ю.Н. Иванова. - М.: инфа-м,
2009