Статистические методы контроля качества
Статистические
методы контроля качества
Основы статистического контроля
качества продукции
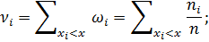
Сначала дадим общие сведения о
месте статистических методов в управлении качеством и сертификации продукции.
Затем рассмотрим центральную тему эконометрики качества - статистический
контроль качества продукции. Продемонстрируем его высокую экономическую
эффективность. Качество продукции и рыночная экономика. Руководители и
специалисты промышленных предприятий хотят не только выжить, но и выиграть в
борьбе с конкурентами. Более частными задачами, которые они хотят решить,
обычно являются:
выйти на международный рынок;
поднять качество продукции до
японского уровня;
полностью ликвидировать
рекламации, и т.д.
Для решения этих задач им надо
повышать качество продукции. Все руководители и специалисты промышленных
предприятий это хорошо знают, слова "сертификация",
"международные стандарты ИСО серии 9000 по системам качества" уже
навязли в зубах. Менее осознано, что управление качеством - это прежде всего
применение современных статистических методов. На Западе (США) и на Востоке
(Япония) это - аксиома. Вот типичное высказывание японского менеджера и
инженера: "Методы статистики - именно то средство, которое необходимо
изучить, чтобы внедрить управление качеством. Они - наиболее важная составная
часть комплексной системы всеобщего управления качеством на фирме. В японских
корпорациях все, начиная от председателя Совета Директоров и до рядового
рабочего в цехе, обязаны знать хотя бы основы статистических методов." Так
считает Каору Исикава, президент промышленного института Мусаси, заслуженный
профессор Токийского университета. Раз все японские работники знают про
статистические методы - значит, их научили в школе. Во всем мире - в США,
Японии и Ботсване - школьники учат статистические методы как один из
обязательных школьных предметов, вместе с физикой, химией, математикой и
историей. ЮНЕСКО регулярно проводит конференции по преподаванию статистики в
средней школе. И вот всем виден результат - качество компьютеров IBM и японских
телевизоров. А отечественные бюрократы десятилетиями "боролись за
качество" (вспомните, была "пятилетка эффективности и
качества"!), "внедряли" кипы бумаг - КС УКП ... (популярное
сочетание в 1970-е и 1980-е годы: КС УКП - это Комплексная Система Управления
Качеством Продукции; имелись областные варианты - горьковская, львовская,
днепропетровская и т.д.). Справедливости ради надо отметить, что популярные
ныне международные стандарты ИСО серии 9000 ничем принципиально не отличаются
от давних документов КС УКП, а в некоторых отношениях КС УКП были более
прогрессивными, чем нынешние стандарты ИСО 9000. В очередной раз придуманное в
нашей стране попало на Запад, было там оформлено по-другому, а потом стало
внедряться у нас как последнее достижение западной цивилизации…
ИТОГ НА СЕГОДНЯ: весь мир,
кроме нас, знает статистические методы и повсеместно применяет их для повышения
качества. Мы вынуждены догонять. Очевидно, овладение основами статистического
контроля качества продукции - неотъемлемая часть экономического и тем более
эконометрического образования.
Статистический контроль - это
выборочный контроль на научной основе. Контроль качества продукции всем знаком
хотя бы по названию - им обычно занимается отдел технического контроля (ОТК)
предприятия. Есть различные виды контроля - входной контроль, приемочный
контроль (готовой продукции), и контроль при передаче полуфабрикатов и
комплектующих из цеха в цех. Кроме сплошного контроля всех изделий подряд
применяют выборочный, когда о качестве партии продукции судят по результатам
контроля некоторой части - выборки. Зачем нужен выборочный контроль? Чтобы
проверить качество спички - надо чиркнуть ею. Загорится - должное качество, не
загорится - брак. Но повторно однажды зажженную спичку использовать уже нельзя.
Поэтому партию спичек можно контролировать только выборочно. Партии консервов,
лампочек, патронов - тоже. Т.е. при разрушающем контроле необходимо
пользоваться выборочными методами и судить о качестве партии продукции по
результатам контроля её части - выборки. Основы статистического контроля.
Выборочный контроль, построенный на научной основе, т.е. исходящий из теории
вероятностей и математической статистики, называют статистическим контролем.
Предпринимателя и менеджера выборочный контроль может интересовать не только в
связи с качеством продукции, но и в связи, например, с контролем экологической
обстановки, поскольку зафиксированные государственными органами экологические
нарушения влекут штрафы и иные "неприятные" последствия. Обсудим
основные подходы статистического контроля. При статистическом контроле решение
о генеральной совокупности - об экологической обстановке в данном регионе или о
партии продукции - принимается по выборке, состоящей из некоторого количества
единиц (единиц экологического контроля или единиц продукции). Следовательно,
выборка должна представлять партию, т.е. быть репрезентативной
(представительной). Как эти слова понимать, как проверить репрезентативность?
Ответ может быть дан лишь в терминах вероятностных моделей выборки. Наиболее
распространенными являются две вероятностные модели-биномиальная и
гипергеометрическая. В биномиальной модели предполагается, что результаты
контроля n единиц можно рассматривать как совокупность n независимых одинаково
распределенных случайных величин Х1, Х2,....,Хn
, где Хi= 1, если i-ое измерение показывает, что есть нарушение,
т.е. превышено ПДК (предельная норма концентрации) или i-ое изделие дефектно, и
Хi= 0, если это не так. Тогда число Х превышений ПДК или дефектных
единиц продукции в партии равно
Х= Х1+ Х2+...+
Хn, (1)
Из формулы (1) и Центральной
Предельной Теоремы теории вероятностей вытекает, что при увеличении объема
выборки n распределение Х сближается с нормальным распределением. Известно, что
распределение Х имеет вид
Р( Х= k) = Cnk
pk (1-p)n-k , (2)
где Cnk -
число сочетаний из n элементов по k, а p - уровень дефектности (в другой
предметной области - доля превышений ПДК в генеральной совокупности), т.е. p =
Р( Хi= 1). Формула (2) задает так называемое биномиальное
распределение. Гипергеометрическое распределение соответствует случайному
отбору единиц в выборку. Пусть среди N единиц, составляющих генеральную
совокупность, имеется D дефектных. Случайность отбора означает, что каждая
единица имеет одинаковые шансы попасть в выборку. Мало того, ни одна пара
единиц не должна иметь при отборе в выборку преимущества перед любой другой
парой. То же самое -для троек, четверок и т.д. Это условие выполнено тогда и
только тогда, когда каждое из
сочетаний по n
единиц из N имеет одинаковые шансы быть отобранным в качестве выборки.
Вероятность того, что будет отобрано заранее заданное сочетание, равна,
очевидно, 1/
. Отбор случайной
выборки согласно описанным правилам организуют при проведении различных
лотерей. Пусть Y - число дефектных единиц в случайной выборке, организованной
таким образом. Известно, что тогда P (Y = k) - гипергеометрическое
распределение, т.е.
(3)
Замечательный математический
результат состоит в том, что биномиальная и гипергеометрическая модели весьма
близки, когда объем генеральной совокупности (партии) по крайней мере в 10 раз
превышает объем выборки. Другими словами, можно принять, что
Р( Х = k) = P ( Y = k ), (4)
если объем выборки мал по
сравнению с объемом партии. При этом в качестве p в формуле (4) берут D/N.
Близость результатов, получаемых с помощью биномиальной и гипергеометрической
моделей, весьма важна с философской точки зрения. Дело в том, что эти модели
исходят из принципиально различных философских предпосылок. В биномиальной
модели случайность присуща каждой единице - она с какой-то вероятностью
дефектна, а с какой-то - годна. В то же время в гипергеометрической модели
качество определенной единицы детерминировано, задано, а случайность
проявляется лишь в отборе, вносится экологом или экономистом при составлении
выборки. В науках о человеке противоречие между аналогичными моделями выборки
еще более выражено. Биномиальная модель предполагает, что поведение человека, в
частности, выбор им определенного варианта при ответе на вопрос, определяется с
участием случайных причин. Например, человек может случайно сказать «да»,
случайно - «нет». Некоторые философы отрицают присущую человеку случайность.
Они верят в причинность и считают поведение конкретного человека практически
полностью детерминированным. Поэтому они принимают гипергеометрическую модель и
считают, что случайность отличия ответов в выборке от ответов во всей
генеральной совокупности определяется всецело случайностью, вносимой при отборе
единиц наблюдения в выборку. Соотношение (4) показывают, что во многих случаях
нет необходимости принимать чью-либо сторону в этом споре, поскольку обе модели
дают близкие численные результаты. Отличия проявляются при обсуждении вопроса о
том, какую выборку считать представительной. Является ли таковой выборка,
составленная из 20 изделий, лежащих сверху в первом вскрытом ящике? В
биномиальной модели - да, в гипергеометрической - нет. Биномиальная модель
легче для теоретического изучения, поэтому будем её рассматривать в дальнейшем.
Однако при реальном контроле лучше формировать выборку, исходя из
гипергеометрической модели. Это делают, выбирая номера изделий (для включения в
выборку) с помощью датчиков псевдослучайных чисел на ЭВМ (см. главу 11) или с
помощью таблиц псевдослучайных чисел. Алгоритмы формирования выборки встраивают
в современные программные продукты по статистическому контролю. Статистические
методы контроля качества показывают, что в определенной серии товаров определенные
характеристики качества встречаются определенное количество раз и на основе
этих данных, возможно, выстроить кривую так называемого нормального
распределения. При контролируемом процессе оценка каждой следующей партии будет
давать аналогичную кривую, если процесс вышел из под контроля - кривые будут
отличаться. Пример: рассчитано, что при нормальном распределении для высоты
шага пресса (см. схему 1) основная масса характеристик находится рядом с
величиной 150 мм. 68,27% результатов измерений находятся, к примеру, в
интервале от 147мм до 153 мм. к примеру, в интервале от 147мм до 153 мм.
Рисунок 1. Нормальное
распределение высоты шага пресса.
При рассмотрении имеющихся
показателей возможны два варианта:
При рассмотрении имеющихся
показателей возможны два варианта:
) Качество в порядке, все
показатели находятся в пределах допустимых интервалов.
) Качество не в порядке,
показатели, выпадающие за пределы допустимых интервалов, должны быть приведены
в норму. Опять же появляются три возможности:
· отклонения все же
позволяют ограниченное использование товара, к примеру, товар второго сорта.
· дефекты могут быть
устранены.
· отклонения столь
велики, что партия списывается как бракованная.
Карты регулирования качества - один
из статистических методов контроля качества, средство наблюдения и контроля
процессов, в частности производственных процессов. В процессе производства
работники сами могут контролировать качество производства, произвольно выбирая
изделия на линии и записывая результаты проверки в карту регулирования
качества. Данные, внесенные в карту, дают возможность определить, находятся ли
отклонения в пределах допустимого, которые определены заранее. В статистическом
смысле карты регулирования качества - графическая интерпретация случайных
событий в системе координат. До тех пор, пока отклонения не выходят за грани
дозволенного, процесс считается управляемым (см. схему 2). Образ действий при
ведении карты регулирования качества:
· Регулярно
осуществлять выборочный контроль;
· При этом временные
промежутки между выборками должны быть установлены в момент заведения карточки
регулирования качества;
· Объем выборочных
проб должен быть постоянным;
· Любое вмешательство
в производственный процесс должно быть отмечено в карте регулирования качества.
Рисунок 2. Построение карты
регулирования качества.
Для расчета пригодности
процесса используется формула:
Сp
=
где
Cp
-
Capability (пригодность), Cm
-
Maschine
Capability (пригодность,
связанная с деятельностью машины), OTG
- верхняя граница допуска,
UTG
- нижняя граница допуска, S
- стандартное отклонение.
Процесс считается пригодным,
т.е. имеющим достаточный потенциал качества, если Сp ³
1,33, а дисперсия лежит внутри области допуска (OTG -UTG). Если изготовление
протекает не в рамках нормального распределения, т.е. в области допуска имеет
односторонний разброс значений, то нормальное распределение к нему не подходит.
Это означает, что процесс статистически не контролируем, не надежен.
Статистическая контролируемость означает, что случайные влияния служат
единственной причиной отклонений от заданной характеристики качества. Причинами
процесса «вне статистического контроля» могут являться незамеченные изменения в
сырье, поломка инструментов или ошибки необученного работника, в целом не из-за
случайной дисперсии, а по причине систематических воздействий. Надежность
процесса определяется отношением интервала между средним значением
распределения и близлежащей границей допуска к трем дисперсиям:
Сpk
=
Процесс считается достаточно
надежным, если Срk ≥ 1,33.где Z - интервал между средним значением
распределения и близлежащей границей допуска, s -стандартное отклонение.
Особенностью методов математической статистики является то, что выводы и
заключения, полученные на основе этих методов, относятся не к отдельным
испытаниям, которые были произведены, а представляют собой утверждения о
вероятностных характеристиках исследуемого явления в целом «Совокупность всех
мыслимых результатов наблюдений, которые могут быть получены в данных условиях,
называют генеральной совокупностью. Различают конечные и бесконечные
генеральные совокупности. Генеральная совокупность конечна, если содержит
конечное число элементов. Бесконечная генеральная совокупность содержит
бесконечное число элементов. Например, производится сплошной контроль качества
партии готовой продукции, содержащей N изделий. Испытание здесь заключается в
извлечении одного изделия из партии и проверке его годности. Множество всех
изделий образует генеральную совокупность, поскольку исход испытания состоит в
появлении любого из N изделий (годного либо дефектного). В данном примере
генеральная совокупность - конечная. «Задача обследования партии готовой
продукции может состоять в оценке доли бракованных изделий или, что-то же
самое, в оценке вероятности извлечения бракованного изделия. Она может быть
решена следующим образом. Проводят обследование каждого изделия в партии и
подсчитывают число бракованных. Затем, используя классический способ
определения вероятности, находят вероятность извлечения бракованного изделия
(долю бракованных изделий в партии). Выборкой из генеральной совокупности
называют совокупность результатов, полученных при непосредственном проведении
испытаний. Число n элементов (результатов проведенных испытаний) является
конечным и называется объемом выборки. В математической статистике
предполагают, что выборки формируются при многократной реализации случайного
эксперимента, результат которого точно предсказать невозможно. Поэтому такие
выборки называют случайными.
Типовые расчеты по курсу теории
вероятностей: построение закона распределения и расчет основных характеристик
непрерывной случайной величины
Вариант №76
В данной задаче непрерывная случайная величина
задана интегральной функцией (функцией распределения) F(x).
Найти:
а) вероятность попадания случайной величины X
в интервал (a;b);
б) дифференциальную функцию (функцию плотности
вероятностей) f(x);
в) математическое ожидание, дисперсию, и среднее
квадратичное отклонение случайной величины X;
г) построить графики функций F(x)
и f(x).
(x)
=
= 0,5; b
= 1;
a) Рассчитаем
попадания случайной величины x
в интервал (a;b).
Для этого воспользуемся формулой: P(a<x<b)
= F(b)
- F(a);
P(0,5<x<1)
= F(1)-F(0,5);
Т.к. a и b
ϵ
(0;
),
то оба значения мы рассчитываем через
подставляя
вместо x значения a
и b.
(0,5<x<1)
=
-
=0,48;
б) Для нахождения дифференциальной функции
необходимо найти производную F(x);
f(x)
=
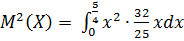
в) Рассчитаем математическое ожидание с помощью
формулы:
M(x)
=
;
В данном примере, математическое ожидание будет
состоять из сумм математических ожиданий на соответствующих интервалах.
=
+
+
;
Первое и последнее слагаемые равны нулю,
остается вычесть второе слагаемое: M(x)
=
=
;
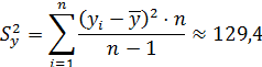
Рассчитаем дисперсию по формуле:
D(x) = M(
)
=
=
+
+
-
;
=
;
=
;
D(x)
=
-
=
;
Для расчета среднего квадратичного отклонения
случайной величины x
воспользуемся формулой:
(x)=
=
=
;
г) Построим графики функций F(x) и f(х):

Рисунок 3. Функция распределения Рисунок 4.
Плотность распределения
статистический качество
совокупность случайный
Типовые расчеты по курсу
математической статистики: построение эмпирической функции распределения
выборочной совокупности. Интервальное оценивание параметров генеральной
совокупности
Задание 3.1 По имеющимся данным выборочной
совокупности:
. Построить вариационный (или интервальный) ряд
исследуемой случайной величины.
. Произвести группировку данных вариационного
ряда на 6 -
10 интервалов (разрядов, групп), построить таблицу частот, вычислить и
представить графически эмпирические функции распределения исследуемой случайной
величины.
. Построить описательную статистку данной
выборочной совокупности, определить выборочное среднее, моду, медиану,
дисперсию, среднеквадратичное отклонение, асимметрии, эксцесс, размах,
коэффициент вариабельности, квартили.
. Построить доверительные интервалы для
генерального среднего и генеральной дисперсии заданной случайной величины
(выбрать α = 0,05; 0,01;
0,1).
Дано:
Товарооборот на душу населения (тыс. р.): 0.9;
0.8; 0.6; 0.4; 0.5; 0.6; 0.7; 0.8; 0.4; 0.9; 0.8; 0.7; 0.9; 1.2; 1.1; 1.0; 0.7;
1.0; 1.4; 1.3; 1.2; 1.4; 0.8; 0.7; 0.9; 0.3.
Решение:
1. Для того чтобы построить интервальный ряд
исследуемой случайной величины, необходимо найти: минимальное значение (Хmin),
максимальное значение (Хmax),
размах выборки (r),
количество интервалов (K)
и ширину интервала.
Хmin
= 0,3; Хmax
= 1,4;
r - Вычислим по
формуле: r = Хmax
-
Хmin;
r = 1,1;
K - Вычисляется по
формуле: K = 1+3,32
log10(n),
где n
-
объем выборочной совокупности n
= 26; Подставив значение в формулу, находим K
6;
Далее определяем ширину интервала по формуле:
Интервальный ряд будет выглядеть следующим
образом: [0,3;0,49], [0,49;0,69], [0,69;0,88], [0,88;1,07], [1,07;1,26],
[1,26;1,45];
. Построим таблицу частот, вычислим и представим
графически эмпирические функции распределения исследуемой случайной величины:
Абсолютные частоты вычисляются по следующей
формуле:
ni - количество значений выборочной
совокупности, принадлежащих заданному интервалу.
Относительные частоты вычисляются по следующей
формуле:
Накопленные частоты вычисляются по следующей
формуле:
Таблица частот будет выглядеть следующим
образом:
Рисунок 5. Таблица частот
Построим гистограмму относительных частот и
полигон накопленных
частот:
Рисунок 6. Гистограмма относительных частот
Рисунок 7. Полигон накопленных частот
Построим описательную статистку данной
выборочной совокупности. Определим: выборочное среднее, моду, медиану,
дисперсию, среднеквадратичное отклонение, ассиметрию, эксцесс, размах,
коэффициент вариабельности, квартили.
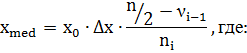
Выборочное среднее:
. Выборочное среднее
определяется как среднее арифметическое всех элементов выборки:
Где S
- сумма всей выборки, n
- объем выборки.
. Мода:
Мода вычисляется по следующей
формуле:
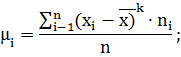
3. Медиана:
Медиана вычисляется по
следующей формуле:
Х0 −
начальное значение медианного интервала;
n
-
объем выборочной совокупности;
ni
-
частота интервала;
∆x - ширина интервала;
νi-1
-
частота интервала, предшествующая медианному;
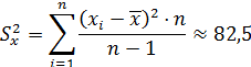
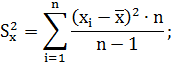
. Дисперсия:
Дисперсия определяется по
формуле:
5. Среднеквадратичное
отклонение:
Среднеквадратическое отклонение
вычисляется как корень из дисперсии:
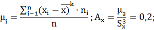
6. Асимметрия:
Асимметрия рассчитывается следующим
образом:
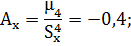
7. Эксцесс:
Эксцесс рассчитывается
следующим образом:

8. Размах:
. Коэффициент
вариабельности:
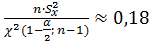
1. Построим доверительные
интервалы генеральной дисперсии:
.1. Определим выборочное
среднее и дисперсию:
;
1.2. Определим левую и правую
границу интервала при заданном значении α;
При α
= 0,05:
Левая граница:
Правая граница:
1.3. Построим доверительный
интервал:
При α
= 0,05:
2. Построим доверительные
интервалы генерального среднего:
.1. Определим выборочное
среднее и дисперсию:
;
.2. Определим левую и
правую границу интервала при заданном значении α;
Распределение Стьюдента:
При α
= 0,05:
Левая граница:
Правая граница:
2.3. Построим доверительный
интервал:
При α
= 0,05:
Задача 1.
По двум выборкам нормальных законов распределения проверить гипотезу о
равенстве дисперсий (при конкурирующей гипотезе об их неравенстве) при уровне
значимости 0,1. Определить:
) дисперсию первой выборки;
) дисперсию второй выборки;
) вычисленное значение критерия;
4) теоретическое значение критерия;
) вывод о принятии или не принятии гипотезы.
Дано:
Первая выборка: 48.8 56.0 46.8 46.4 44.3 39.2
41.6 51.1 48.3 22.4
Вторая выборка: 4.2 28.1 25.8 21.5 27.5 32.4 31.2
35.1 8.4 7.3
Решение:
Определим дисперсию первой и второй выборки:
Определим вычисленное и теоретическое значение
критерия:
отношение большей
исправленной дисперсии к меньшей, которая при условии справедливости нулевой
гипотезы имеет распределение Фишера-Снедекора со степенями свободы k1
= n1
- 1 = 10 - 1 = 9 и
k2
= n2
- 1 = 10 - 1 = 9.
При конкурирующей гипотезе H1:
D (X)
≠ D (Y)
критическая область двусторонняя:
При этом достаточно найти:
Сделаем вывод о принятии или не принятии
гипотезы.
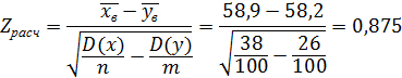
Следовательно, нет оснований отвергнуть нулевую
гипотезу, можно считать, что генеральные дисперсии равны.
Задача 2.
По данным двух выборок нормального закона распределения проверить гипотезу о
равенстве генеральных средних (при конкурирующей гипотезе об их неравенстве)
при уровне значимости α.
В ответе привести:
) выборочное среднее для первой выборки;
) выборочное среднее для второй выборки;
) вычисленное значение критерия;
4) табличное значение;
) вывод о принятии или не принятии гипотезы.
Дано:
α = 0.030
Выборка 1: 90.5 57.6 65.9 76.8 51.4 72.1 48.8
57.0 58.1 73.3 55.5 52.4
Выборка 2: 113.2 49.2 84.5 73.7 99.2 83.5 106.6
67.9 60.2 84.7 43.6
Решение:
Определим выборочные средние, дисперсии для
первой и второй выборки;

Определим вычисленное значение критерия и его
табличное значение:
Трасч =2,1
- определяется как аргумент функции
Лапласа, при котором
и
критическая область определяется неравенством
Сделаем вывод о принятии или не
принятии гипотезы.
Следовательно, нулевая гипотеза
отвергается, можно считать, что математические ожидания генеральных
совокупностей не равны.
Задача 3. По данным
двух выборок нормального закона распределения (первая - с дисперсией
S12, вторая - с
дисперсией S22) проверить
гипотезу о равенстве средних значений при уровне значимости α (при
конкурирующей гипотезе об их неравенстве). В ответе привести:
) выборочное среднее для первой
выборки;
) выборочное среднее для второй
выборки;
) вычисленное значение критерия;
4) критическое значение;
) вывод о принятии или не принятии
гипотезы.
Дано:
Выборка 1: 40.7 46.0 65.4 87.7 82.3
-5.7 57.9 54.4 88.1 57.7 94.6 2.0 109.0 -4.7 28.3 34.9 37.4 73.5 81.5 108.3 58.2
81.9 125.7 83.7 112.1 113.0 27.2 101.5 57.4 12.9 31.6 -22.2 41.2 29.9 70.2
116.8 29.4 66.6 65.1 52.5 72.9 13.1 111.8 97.6 113.5 105.4 50.9 96.2 66.2 20.3
56.9 98.4 33.2 76.8 43.2 74.1 43.8 67.6 30.1 -17.9 84.0 12.8 -29.7 23.2 47.3
84.5 14.7 64.7 80.1 122.5 -10.0 12.2 32.1 65.2 33.2 10.1 78.4 93.9 -49.9 76.5
64.5 64.4 74.4 27.4 49.4 134.5 46.3 72.5 58.6 112.9 106.5 41.9 100.9 22.9 98.4
99.8 105.5 25.9 50.9 63.7
Выборка 2: 133.8 79.7 75.0 22.7 94.1
21.8 89.7 88.0 48.1 14.1 38.1 69.5 40.7 55.6 20.0 86.4 73.5 62.2 74.9 32.0 26.6
31.3 49.7 71.1 65.4 -10.6 32.8 47.9 76.0 76.3 59.6 64.7 45.3 42.2 78.4 24.8
45.5 69.9 60.7 93.9 74.5 -6.4 39.8 18.2 30.3 84.5 112.8 99.1 83.3 98.3 73.6
69.8 75.0 52.2 117.6 24.8 87.1 83.1 105.8 35.7 57.3 62.3 7.9 53.5 69.0 75.3 84.8
136.6 47.9 90.8 17.3 83.5 43.1 98.0 70.5 -6.5 4.4 36.7 50.6 88.9 9.6 70.0 55.1
68.9 23.5 118.1 34.0 21.0 35.4 58.5 52.6 9.7 34.5 79.8 78.2 33.1 47.6 98.3 53.9
43.3
Решение:
Определим выборочные средние для
первой и второй выборки:
Определим вычисленное значение
критерия и критическое значение:
- определяется как аргумент функции
Лапласа, при котором
и критическая область определяется
неравенством
Сделаем вывод о принятии или не
принятии гипотезы.
Следовательно, нет оснований
отвергнуть нулевую гипотезу.
Задача 4. При
проведении n1 испытаний в первой серии число благоприятных исходов
равнялось m1. Во второй
серии из n2 испытаний число благоприятных исходов равнялось m2. Проверить
гипотезу о равенстве вероятностей благоприятного исхода в двух сериях (при
конкурирующей гипотезе об их неравенстве) при уровне значимости α. В ответе
привести:
) вычисленное значение критерия;
2) критическое значение;
) вывод о принятии или не принятии
гипотезы.
Дано:
n1 = 700, m1 =
523, n2 = 300, m2 = 205, α = 0.080.
Решение:
Определим вычисленное значение
критерия и критическое значение
Наблюдаемое значение критерия вычисляется по
формуле:
Uкр -
определяется из равенства
и двусторонняя
критическая область задается неравенством |Uрасч| > Uкр.
Сделаем вывод о принятии или не принятии
гипотезы.
Следовательно, нулевая гипотеза принимается.
Задача 5.
По данным выборки выбрать гипотезу о виде закона распределения и проверить ее,
используя критерий Пирсона при уровне значимости α.
В ответе привести:
) выбранную гипотезу о виде закона распределения;
) вычисленное значение критерия;
) критическое значение;
) вывод о принятии или не принятии гипотезы.
Дано:
α = 0.025
Выборка: 21.8 2.4 13.8 7.0 21.8 19.2 14.9 20.5
18.2 16.3 16.8 16.4 17.6 30.2 0.2 22.6 12.8 4.6 8.5 15.6 16.8 27.7 11.2 5.2
14.0 12.7 7.1 15.0 13.4 14.6 11.1 9.6 12.1 1.1 20.9 16.1 10.6 19.0 11.9 0.6
22.1 16.5 29.0 6.3 14.1 27.9 8.3 12.6 16.4 6.8 17.4 2.6 7.9 9.0 16.8 15.1 13.2
13.2 9.9 27.2 15.8 17.3 12.4 25.2 13.5 4.5 5.3 21.9 20.4 7.5 26.0 12.8 21.2
23.0 7.9 22.4 12.1 15.3 4.8 12.8 25.3 18.6 14.0 9.9 9.1 -0.6 16.7 9.5 14.6 16.4
14.6 13.3 13.1 15.8 20.5 6.4 24.7 7.6 9.1 11.1
Проверить при уровне значимости α
= 0,025 гипотезу о:
а) показательном; б) равномерном; в) нормальном
законе распределения генеральной совокупности с помощью критерия Пирсона.
Решение:
Для выборки, интервальный статистический ряд
которой имеет вид:
|
Номер
интервала
|
Границы
интервала
|
Эмпирические
частоты
|
|
1
|
-0,6
- 3,4
|
5
|
|
2
|
3,4
- 7,4
|
10
|
|
3
|
7,4
- 11,5
|
17
|
|
4
|
11,5
- 15,5
|
26
|
|
5
|
15,5
- 19,5
|
20
|
|
6
|
19,5
- 23,5
|
12
|
|
7
|
23,5
- 27,6
|
5
|
|
8
|
27,6
- 31,6
|
4
|
Объем выборки п =100.
Найдем:
-
выборочное среднее, S - исправленное
среднеквадратичное отклонение. S = 6,8; 
Тогда теоретические частоты можно
найти по формуле:
= п ∙ Рi,
,
где n - объем выборки, xi и xi+1
- левая и правая граница i-того интервала.
аналогично,
Наблюдаемое значение критерия вычисляется по
формуле:
,
где ni -
эмпирические частоты.
Показательное распределение определяется одним
параметром, поэтому число степеней свободы k
= n
-
2; Критическая точка χ2
(0,025;6)
= 14,5;
и
гипотеза о показательном распределении отклоняется.
б) Для проверки гипотезы о равномерном
распределении генеральной совокупности концы интервала, в котором наблюдались
возможные значения Х, оцениваются по формулам:
Тогда плотность вероятности
(x) =
;
Теоретические частоты:
Наблюдаемое значение критерия:
Число степеней свободы k = n - 3, так как
равномерное распределение оценивается двумя параметрами. Критическая точка
и гипотеза
о равномерном распределении принимается.
в) Для проверки гипотезы о нормальном законе
распределения
= п ∙ Рi, где п
- объем выборки,
xi и xi + 1 - левая и
правая границы i-го интервала. Теоретические частоты
для нормального распределения:
Так же вычисляются
=10,27;
=18,22;
=23,05;
=20,47;
=13,51;
=6,23;
=2,05.
Наблюдаемое значение критерия
Критическая точка
Поскольку
гипотеза о
нормальном распределении генеральной совокупности принимается.
Список используемой литературы
1) Гмурман,
В. Е. Руководство к решению задач по теории вероятностей и математической
статистики [Текст]: учебное пособие для студ. вузов (гриф МО). - 10-е изд.,
перереаб. - М. : Высш. шк, 2008. - 345 с.
) Семенчин,
Е. А. Теория вероятностей в примерах и задачах: учебное пособие для студ. вузов
(гриф УМО). - СПб. : Лань, 2007. - 351 с.
) Гусева
Е. Н. Теория вероятностей и математическая статистика: [электронный ресурс]
учеб. пособие / Е. Н. Гусева. - 5-е изд, стереотип. - М.: ФЛИНТА, 2011. - 220
с. (http://www.knigafund.ru)
) Яковлев
В. П. Теория вероятностей и математическая статистика: [электронный ресурс]
учеб. пособие / В. П. Яковлев. - 2-е изд. - М.: Издательско-торговая корпорация
«Дашков и К», 2011. - 184 с. (http://www.knigafund.ru)
) Пугачев
В. С. Теория вероятностей и математическая статистика: [электронный ресурс]
учеб. пособие / В. С. Пугачев. - 2-е изд. - М.: ФИЗМАТЛИТ, 2011. - 496 с.
(http://www.knigafund.ru)
) Балдин
К. В. Теория вероятностей и математическая статистика: [электронный ресурс]
Учебник / К. В. Балдин, В. Н. Башлыков, А. В. Рукосуев - 2-е изд. - М.:
Издательско-торговая корпорация «Дашков и К», 2010. - 473 с. (http://www.knigafund.ru)