Технический контроль на машиностроительном предприятии
Курсовая
работа
по
дисциплине Статистические методы в управлении качеством
Введение
В рыночных условиях хозяйствования существенно
возрастает роль служб контроля качества продукции предприятий в обеспечении
профилактики брака в производстве, усиливается их ответственность за
достоверность и объективность результатов осуществляемых проверок, недопущение
поставки потребителям продукции низкого качества.
Службы технического контроля функционируют в
настоящее время практически на всех промышленных предприятиях. Отделы контроля
качества обладают наиболее существенными материально-техническими предпосылками
для проведения квалифицированной оценки качества изделий.
Организация и проведение технического контроля
качества - один из составных элементов системы управления качеством на стадиях
производства и реализации продукции.
Технический контроль - это проверка соответствия
продукции или процесса, от которого зависит качество продукции, установленным
стандартам или техническим требованиям. В машиностроении он представляет собой
совокупность контрольных операций, выполняемых на всех стадиях производства: от
контроля качества поступающих на предприятие материалов, полуфабрикатов,
комплектующих приборов и изделий до выпуска готовой продукции.
Объектами технического контроля на
машиностроительном предприятии являются поступающие материалы, полуфабрикаты на
разных стадиях изготовления, готовая продукция (детали, мелкие сборочные
единицы, узлы, блоки, изделия), средства производства (оборудование,
инструмент, приборы, приспособления и др.), технологические процессы и режимы
обработки, общая культура производства.
Основной задачей технического контроля является
своевременное получение полной и достоверной информации о качестве продукции,
состоянии оборудования и технологического процесса с целью предупреждения
неполадок и отклонений, которые могут привести к нарушениям требований
стандартов и технических условий.
Технический контроль призван обеспечивать
требуемую настроенность процесса производства и поддерживать его стабильность,
то есть устойчивую повторяемость каждой операции в предусмотренных
технологических режимах, нормах и условиях.
1. Статистический контроль качества
продукции
Под статистическими методами управления
качеством продукции понимаются выборочные методы, основанные на применении
теории вероятностей и математической статистики.
Статистические методы позволяют по ограниченному
числу наблюдений принимать обоснованные решения при управлении качеством
продукции.
Основные направления применения статистических
методов управления качеством продукции приведены на рисунке:
Рисунок 1. Основные направления применения
статистических методов управления качеством
Статистический анализ точности и стабильности
технологического процесса - это установление статистическими методами значений
показателей точности и стабильности технологического процесса и определение
закономерностей его протекания во времени.
Статистическое регулирование технологического
процесса - это корректирование значений параметров технологического процесса по
результатам выборочного контроля контролируемых параметров, осуществляемое для
технологического обеспечения требуемого уровня качества продукции.
Статистический приемочный контроль качества
продукции - это контроль, основанный на применении методов математической
статистики для проверки соответствия качества продукции установленным
требованиям и принятия продукции
Статистический метод оценки качества продукции -
это метод, при котором значения качества показателей качества продукции
определяют с использованием правил математической статистики.
Статистический приемочный контроль может
применяться на операциях входного контроля, на операциях контроля закупок, при
операционном контроле, при контроле готовой продукции и т.д., т.е. в тех
случаях, когда надо решить - принять или отклонить партию продукции.
Статистические методы управления качеством
продукции обладают таким важным преимуществом, как возможность обнаружения
отклонения от технологического процесса или установленных требований не тогда,
когда продукция изготовлена и представлена на контроль, а в процессе ее
производства, т.е. когда можно своевременно вмешаться в процесс; производства и
скорректировать его.
Внедрение статистических методов управления качеством
продукции должно сочетаться с внедрением или совершенствованием технологических
процессов и считаться экономически целесообразным, если на управление и убытки
от брака после внедрения статистических методов меньше, чем до их внедрения,
т.е. основывается на экономическом анализе возможных последствий, вызванных
правильными или ошибочными решениями.
Конечной целью внедрения статистических методов
управления качеством продукции является оптимизация производственных процессов
и производства в целом для значительного повышения эффективности производства,
качества продукции, культуры производства, квалификации специалистов и т.д., и
получения максимального эффекта от затрачиваемых материальных и трудовых
ресурсов.
1.1 Статистический анализ точности и
стабильности технологических процессов
Технологический процесс - это часть
производственного процесса, содержащая целенаправленные действия по изменению и
(или) последующему определению состояния предмета труда. Таким образом, при
реализации технологического процесса происходит изменение качественного
состояния объекта производства: химических и физических свойств материала,
форм, размеров, качества поверхности, внешнего вида объекта и т.д. В техпроцесс
входит также контроль качества.
Технологический процесс производства обобщенно
может быть представлен следующей моделью, включающей:
· входные параметры Xi;
· влияющие регулируемые параметры Zj;
· влияющие нерегулируемые параметры Vм;
· выходные параметры Yk.
Под входными параметрами понимаются параметры
сырья, материалов и комплектующих изделий, из которых производится продукция.
Под влияющими регулируемыми параметрами
понимаются параметры и показатели состояния технологического оборудования,
энергии, технологические параметры (скорость обработки, температура и
влажность, время и т.п.)
Под влияющими нерегулируемыми параметрами
понимаются параметры, имеющие случайную природу или принимающие таковой
характер ввиду отсутствия методов и средств, фиксирующих их изменение и влияние
на технологический процесс. Сюда относятся износ обрабатывающего инструмента,
отклонения дисциплинарного характера в работе обслуживающего персонала при
выполнении предписанных воздействий на процесс и регулировки. Именно параметры
этой группы вызывают те значительные колебания в показателях точности и
стабильности технологических процессов, которые, в свою очередь, вызывают
колебания в качестве производимой продукции.
Под выходными параметрами понимаются те
фиксируемые параметры, которые и определяют: качественный состав продукции,
получаемой в результате произведенного процесса. Это функциональные параметры,
продукции и его эксплуатационные показатели или потребительские свойства.
Точность технологического процесса - это его
свойство обеспечивать близость действительных значений параметров к нормируемым
их значениям, стабильность - свойство обеспечивать постоянство распределения
вероятностей его параметров в течение некоторого интервала времени без
вмешательства извне.
Под статистическим анализом точности и
стабильности технологического процесса понимается совокупность действий по
установлению статистическими методами значений показателей точности и
стабильности технологического процесса и определению закономерностей их
изменения во времена. Его основной целью является получение и обработка систематизированной
непрерывной информации о качестве продукции, необходимой для дальнейшего
совершенствования технологического процесса, а также для определения
оптимальных параметров его статистического регулирования.
Одним из основных, факторов, определяющих
выполнение эксплуатационных показателей продукции, является точность
функциональных параметров.
Поэтому доказательство возможности применения
статистических методов в производстве заключается в определении степени влияния
функциональных параметров на эксплуатационные показатели с учетом тех
допускаемых уровней дефектности, которые должны обеспечиваться, не вызывая при
этом отклонений в нормальном функционировании продукции при ее эксплуатации.
Отсюда и важность выбора параметров для
статанализа с целью последующего выбора методов и средств, для их контроля.
Классификации подлежат геометрические, физические параметры, а также к качеству
поверхностей, их внешнему виду и т.д.
К геометрическим, параметрам относятся линейные
и угловые размеры, параметры резьб, формы и расположения поверхностей и т.д.
К физическим параметрам относятся электрические,
магнитные, механические, химические и другие характеристики физических свойств
материалов, заготовок, деталей, сборочных единиц, покупных и комплектующих
изделий.
В соответствии с классификацией дефектов
(критический, значительный, малозначительный) устанавливается три группы
нормативов.
К первой группе относятся параметры продукции,
деталей и сборочных единиц, несоблюдение заданных требований к которым по
точности и стабильности может привести к нарушению безопасности.
Ко второй группе относятся параметры продукции,
влияющие на надежность работы изделий и их внешний вид, к третьей груше -
параметры, не влияющие на безопасность и надежность работы (малозначительный дефект):
незначительные отклонения в габаритных параметрах, отклонения отдельных
параметров, проверяемые при последующей сборке в сборочные единицы и т.д.
Как показывает анализ классификации параметров
продукции, к первой группе может относиться до 5% от общего количества
параметров продукции, по второй - до 15-25%, к третьей - до 60-85% параметров.
Именно параметры первой и второй группы подлежат
статистическому анализу на точность и стабильность в первую очередь.
При выборе параметров продукции, подлежащей
статистическому анализу, необходимо учитывать также затратные показатели,
наличие средств измерений и вычислительной техники.
Состояние технологического процесса
характеризуется суммарной погрешностью, возникающей вследствие действия причин
случайного (случайная составляющая суммарной погрешности) и систематического
(систематическая составляющая) характера.
Рассеивание значений параметров вследствие
наличия указанных погрешностей с достаточной степенью адекватности может быть
апроксимировано нормальным законом распределения:

,
где x - переменная случайная
величина;
μ - математическое ожидание
случайной величины x;
σ - среднее квадратическое
отклонение случайной величины x.
Математическое ожидание μ характеризует
положение кривой распределения на отсчетной шкале анализируемого параметра, а
среднее квадратическое отклонение характеризует степень рассеяния случайной
величины x относительно математического ожидания μ.
Описанный закон характеризует
распределение генеральной совокупности, образуемой множеством значений
параметров анализируемого ТП, источником же информации о фактическом
распределении служит взятая из генеральной совокупности выборка объемом n
единиц продукции, по которой рассчитывается экспериментальное распределение в
качестве оценки теоретического распределения.
Оценками параметров теоретического
распределения являются статистические характеристики:
· выборочное среднее арифметическое значение в
качестве оценки математического ожидания μ;
· выборочное среднеквадратическое
отклонение S в качестве оценки σ.
Выборочное среднее арифметическое определяется:
,
где xi - отдельные x1, x2,…xn,
измеренные значения анализируемого параметра - объем выборки.
Выборочное среднеквадратическое
отклонение S определяется:
,
Оценка точности и стабильности
технологических процессов производится с использованием полученных выборочных
статистических характеристик
и S путем определения показателей -
коэффициентов точности Кт, настроенности Кн и стабильности Кс через
сопоставление их с установленным в НТД полей допуска δ на параметр:
где δ - поле
допуска на параметр;
xδ - середина поля допуска;-
среднее квадратическое отклонение в фиксированный момент
времени t1;- среднее квадратическое
отклонение в сравниваемый
фиксированный момент времени t2.
Статистическая обработка результатов
измерений осуществляется в следующей последовательности:
. составляется таблица частот;
. вычисляются статистические
характеристики;
. определяются показатели состояния
технологических операций (процесса);
. определяется состояние
технологических операций (процесса) по уровню дефектности;
. устанавливается закон
распределения и осуществляется статистическая проверка согласия этого закона с
нормальным законом.
При статистической обработке
результатов измерений составляется таблица частот, вычисляются статистические
характеристики
, S
устанавливается экспериментальный закон распределения, проверяется его
соответствие принятому теоретическому закону, определяются показатели Кт, Кн,
Кс, подсчитывается процент вероятного брака из номограмм для Кт и Кн.
Полученные результаты статистического
анализа позволяют дать аргументированную оценку состояния технологических
процессов и предложить рекомендации по их усовершенствованию.
Основным документом при
статистическом анализе состояния технологического процесса являются "карта
измеренных данных" и "карта статистической обработки результатов
измерений".
1.2 Статические методы контроля и
регулирования технологического процесса
Под статистическим
регулированием понимают корректирование значений параметров технологического
процесса по результатам выборочного контроля параметров производимой продукции.
Таким образом, статистическое регулирование можно определить как выборочный
операционный контроль с оперативной обратной связью. Такой контроль более
активен, чем приемочный, и дает больше возможностей для управления качеством
продукции с целью бездефектного изготовления.
Метод регулирования и регулируемую выборочную
характеристику (РВХ) выбирают в зависимости от того, какой параметр процесса
нуждается в корректировании (табл. 1).
Таблица 1- Основные методы статистического
регулирования по ГОСТ 15895-77
|
Наименование
метода
|
Регулируемая
выборочная характеристика (РВХ)
|
Корректируемые
параметры техпроцесса
|
Метод
контроля*
|
Исходные
данные из предварительного анализа
|
|
Наименование
|
Обозначение
|
|
|
|
|
Группировки
|
Среднее
значение
|
Уровень
настройкиКσ,
μ0,
μ1
|
|
|
|
|
Средних
арифметических
|
Среднее
значение
|
Уровень
настройкиКσ,
μ0,
μ1
|
|
|
|
|
Медиан
|
Медиана
|
Уровень
настройкиКσ,
μ0,
μ1
|
|
|
|
|
Средник
квадратических отклонений
|
СКО
|
S
|
Рассеивание
|
К
|
σ0, σ1
|
|
Размахов
|
Размах
|
R
|
Рассеивание
|
К
|
σ0, σ1
|
|
Учета
дефектов
|
Число
дефектов
|
C
|
Уровень
дефектности
|
А
|
P0, P1
|
|
Число
дефектных единиц
|
np
|
Уровень
дефектности
|
А
|
P0, P1
|
|
Доля
дефектности
|
p
|
Уровень
дефектности
|
А
|
P0, P1
|
|
Среднее
число дефектов на единицу продукции
|
u
|
Уровень
дефектности
|
А
|
P0, P1
|
Кумулятивных сумм (КС) КС средних
значений КС характеристик рассеивания КС числа дефектов дефектных единиц
продукции χm,
Sm
Уровень настройки
Рассеивание
Уровень дефектностиК
К
Аσ, μ0,
μ1
σ0, σ1
|
P0, P1
Методы кумулятивных (накопленных) сумм
организационно сложнее и требуют больше вычислений, но обладают большей
достоверностью в сравнении с другими, поскольку лучше используют предшествующую
информацию о ходе процесса.
Период отбора обычно устанавливают
исходя из скорости изменения РВХ, приводящего к разладке процесса (определяется
при предварительном анализе).
Следует иметь в виду, что при
постоянном объеме выборки с увеличением периода отбора уменьшается общий объем
выборочного контроля, но увеличивается объем сплошного контроля в случае
обнаружения разладки. Период отбора может корректироваться в процессе
регулирования с учетом периодичности обнаружения разладок.
Объем выборки и границы
регулирования в общем случае устанавливают исходя из влияния РВХ на долю брака
с учетом рисков незамеченной разладки и излишней наладки или связанных с ними
средних длин серий (СДС).
СДС налаженного процесса (Lo)
определяет среднее количество выборок до появления ложного сигнала о разладке
процесса, поэтому ее величину стараются выбрать возможно наибольшей. СДС
разлаженного процесса (L1)
определяет среднее количество выборок, необходимое для обнаружения разладки
процесса, поэтому ее величину стараются выбрать возможно наименьшей (L1→1).
В методических материалах
приведены таблицы, позволяющие по выбранным значениям L0,
L1 и некоторым
исходным данным найти объем выборки п, а также формулы и параметры для расчета
границ регулирования. Следует иметь виду, что одновременное уменьшение L1
и увеличение L0 может привести к
неприемлемому увеличению объема выборки, поэтому обычно задают достаточно малое
значение L1 и оптимизируют п,
добиваясь приемлемого значения L0.
При предварительном анализе проверяют (в случае контроля по количественному
признаку) нормальность распределения по ГОСТ 11.006 - 74, а также определяют
исходные данные для выбранного метода из числа следующих:
σ - среднее
квадратическое отклонение (СКО) контролируемого параметра;
μ0 (или σ0)
- среднее
значение (или СКО) контролируемого параметра, при котором, соблюдая технологию,
выпускают продукцию хорошего качества, т. е. процесс налажен;
μ1 (или
σ1)
- предельно
допустимая величина среднего значения (или СКО) контролируемого параметра, при
котором требуется наладка процесса (соответствует максимально допустимой доле
брака);
Р0 (или P1)
- уровень дефектности при налаженном (или разлаженном) состоянии процесса
(соответствует приемочному или браковочному уровню дефектности при приемочном
контроле).
Статистическое регулирование,
как правило, осуществляют с помощью контрольных карт, наглядно отображающих
состояние технологического процесса в момент отбора выборки. Контрольная карта
представляет собой график, на котором по горизонтальной оси откладывают номера
мгновенных выборок а по вертикальной оси - значения соответствующей
регулируемой выборочной характеристики. Границы регулирования (а при
необходимости номинальные или средние значения, предупреждающие границы и т.
п.) наносят на карту в виде горизонтальных линий.
Средства статистического
контроля можно разделить на две группы.
собственно средства контроля,
предназначенные для контроля единиц продукции в выборке (пробе), то есть для
измерения значений контролируемого параметра (К-признак) или для проверки
годности единицы продукции (А - признак);
средства механизации и
автоматизации статистических методов, предназначенные для сбора, обработки,
представления и записи статистической информации, полученной при контроле
единиц продукции в выборках (пробах).
Однако статистические методы предъявляют
повышенные требования к достоверности контроля. Это объясняется тем, что при
сплошном контроле ошибочное заключение о годности (дефектности) единицы
продукции влечет за собой неправильную приемку (браковку) лишь данной единицы,
в то время как при статистическом контроле такая ошибка может привести к
неправильной приемке (браковке) целой партии продукции объемом сотни и тысячи
единиц. Следует отметить, что государственные стандарты на статистический
приемочный контроль не регламентируют допускаемую погрешность измерений, ограничиваясь
общими указаниями о необходимости учитывать ее влияние на результаты контроля.
Исследование этого влияния на оперативную характеристику планов контроля
позволяет заключить, что при статистическом приемочном контроле погрешность
средств измерений не должна превышать 10 - 15 % от допуска на контролируемый
параметр (в отличие от 30 - 40 %, допускаемых обычно при сплошном контроле).
Что касается статистического
регулирования технологических процессов, то методические материалы рекомендуют
пользоваться средствами измерений с ценой деления шкалы, не превышающей (0,5-1)σ,
где
σ
- среднее квадратическое отклонение контролируемого параметра. Учитывая, что
при отлаженном технологическом процессе поле допуска обычно охватывает (5-7) σ,
а
погрешность шкального средства измерений не превышает цены деления, легко
убедиться, что эти рекомендации приводят примерно к тем же 10 - 15 %
допускаемой погрешности относительно допуска на параметр. стабильность технологический качество регулирование
Таким образом, для средств
статистического контроля справедлива следующая рекомендация:
при использовании
статистических методов контроля и регулирования технологических процессов
погрешность применяемых средств измерений не должна превышать 10-15 % от
допуска на контролируемый параметр.
Средства механизации и
автоматизации статистических методов предназначены для:
сбора и накопления
статистической информации;
обработки накопленной
информации и вычисления необходимых выборочных характеристик;
осуществления логических
операций, необходимых для принятия решений;
выдачи результатов обработки статистической
информации в виде, удобном
для практического использования
и последующих оценок;
предоставления оператору,
технологу, мастеру дополнительной наглядной информации для принятия решений о
корректировке процесса.
Таблица 2 Основные руководящие документы по
статистическому контролю
|
Метод
контроля
|
Стандарты
|
Методические
материалы
|
|
Статистический
приемочный контроль партий продукции: По альтернативному признаку По
количественному признаку
|
ГОСТ
18242-72, ГОСТ 24660-81, ГОСТ 27.410-87 ГОСТ 20736-75
|
РД 50-605-86
|
|
Непрерывный
статистический приемочный контроль
|
Р
50-601-40-93 Рекомендации входной контроль. Основные положения.
|
-
|
|
Статистическое
регулирование технологического процесса: Метод группировки Методами средних
арифметических, медиан, средних квадратических отклонений, размахов, учета
дефектов
|
-
|
ГОСТ23853-79
- ГОСТ 23615-79
|
|
Метод
кумулятивных сумм
|
-
|
ГОСТ
Р 50779.45-2002
|
1.3 Контрольные карты
Контрольные карты являются основным инструментом
статистического управления качеством. КК применяют для сравнения получаемой по
выборкам информации о текущем состоянии процесса с контрольными границами,
представляющими пределы собственной изменчивости (разброса) процесса. КК
используют для оценки того, находится или не находится производственный процесс
в статистически управляемом состоянии. Первоначально КК были разработаны для
применения в промышленном производстве. В настоящее время их широко используют
в сфере обслуживания и других областях.
Собственный разброс характерен для всех
процессов из-за большого числа незначительных случайных воздействий. Вследствие
этого результаты измерений, полученные в ходе нормального течения процесса,
непостоянны. Непостоянны и отслеживаемые статистические характеристики,
например выборочное среднее, медиана и т.п. Поэтому необходимо ввести
статистически обоснованные границы для данной отслеживаемой характеристики с
целью минимизировать ошибочные решения при управлении процессом.
Считают, что процесс находится в статистически
управляемом состоянии при отсутствии в нем систематических сдвигов. Если
процесс находится в статистически управляемом состоянии, можно предсказывать
его ход до тех пор, пока неслучайные (особые) причины не станут воздействовать
на него, в результате чего процесс будет выведен из статистически управляемого
состояния. В последнем случае результат не может быть предсказан при отсутствии
информации об этих воздействиях. Такой статистически неуправляемый процесс
нуждается в определенном вмешательстве для того, чтобы он стал статистически
управляемым. Если отсутствуют способы вмешательства в процесс по некоторым
экономическим или другим причинам, то по КК определяют только факт
статистически неуправляемого состояния.
Метод контрольных карт представляет собой
простой графический метод оценки степени статистически неуправляемого состояния
процесса путем сравнения значений отдельных статистических данных из серии
выборок или подгрупп с контрольными границами. Существует множество типов КК в зависимости
от принимаемых решений, природы данных и вида статистической обработки данных.
Преимущество контрольной карты - простота ее
построения и применения. Она служит своевременным индикатором статистически
управляемого процесса.
Однако контрольная карта - только часть полной
системы анализа процесса. С ее помощью можно предсказать момент, когда
определенная причина изменит течение процесса, но для установления ее природы и
корректировки процесса необходимо проводить независимое исследование.
Существуют три основных вида контрольных карт:
а) КК Шухарта, включая ряд непосредственно
относящихся к ней разновидностей;
б) приемочная КК;
в) адаптивная КК.
С помощью КК Шухарта, как правило, оценивают
только, находится ли процесс в статистически управляемом состоянии. Однако во
многих случаях эти КК используют в качестве средства приемки процесса, несмотря
на то, что они не разработаны специально как критерии или границы допуска для
процесса.
Приемочная КК предназначена специально для
определения критерия приемки процесса.
С помощью адаптивной КК регулируют процесс
посредством планирования его тренда и проведения упреждающей корректировки на
основании прогнозов.
Контрольные карты могут быть применимы либо для
«количественных», либо для «альтернативных» данных. Количественные данные - это
результаты наблюдений, проводимых с помощью измерения и записи числовых
значений данного показателя рассматриваемых единиц выборки, что предполагает
некоторую непрерывную шкалу для этого показателя. Альтернативные данные - то
результаты наблюдений наличия (или отсутствия) определенного признака или
атрибута для каждой рассматриваемой единицы выборки и подсчета числа единиц,
имеющих (или не имеющих) данный признак, или числа таких признаков, имеющихся в
единице, группе, на данной площади, в данном объеме или в выборке.
В случае использования количественных данных
могут быть применены КК двух видов. Первый вид рассматривает меру расположения
(центр) количественных данных (КК расположения). Примерами такой меры служат
выборочное среднее х или медиана М. Второй вид рассматривает меру разброса
(рассеяния) отдельных выборочных данных в выборке или подгруппе, например
размах R или выборочное стандартное отклонение S (KK разброса). КК обоих видов
необходимы для эффективного управления процессами при наличии количественных
данных.
Существует два типа контрольных карт: для
непрерывных значений параметров и для дискретных. В свою очередь карты для
непрерывных значений делятся на: (х -R)
карты (среднее значение и размах), х - карты (измеряемые значения). Карты для
дискретных значений делятся на: рп- карты (число дефектных изделий), р- карты
(доля дефектов), с- карты (число дефектов), и- карты (число дефектов на
единицу).
Классификация типов контрольных карт часто
осуществляется согласно типам величин, которые выбраны для отслеживания
характеристик качества. Так, различают контрольные карты для непрерывных
переменных и контрольные карты по альтернативному признаку. В частности, для
контроля по непрерывному признаку обычно строятся следующие контрольные карты:
· X-карта. На эту контрольную карту
наносятся значения выборочных средних для того, чтобы контролировать отклонение
от среднего значения непрерывной переменной ;
· R-карта. Для контроля за степенью
изменчивости непрерывной величины в контрольной карте этого типа строятся
значения размахов выборок.
· S-карта. Для контроля за степенью
изменчивости непрерывной переменной в контрольной карте данного типа
рассматриваются значения выборочных стандартных отклонений.
· S**2-карта. В контрольной карте данного
типа для контроля изменчивости строится график выборочных дисперсий.
Для контроля качества продукции по
альтернативному признаку обычно применяются следующие типы контрольных карт:
· C-карта. В таких контрольных картах
строится график числа дефектов. При использовании карты этого типа делается
предположение, что дефекты контролируемой характеристики продукции встречаются
сравнительно редко, при этом контрольные пределы для данного типа карт
рассчитываются на основе свойств распределения Пуассона <#"555530.files/image010.gif">
|
|
|
Границы
допуска удовлетворяются
|
|
|
а - процесс в неконтролируемом состоянии, имеет
место брак,
в - процесс в неконтролируемом состоянии, но
брака нет,
г- процесс в контролируемом состоянии, брака
нет.
Варианты а) и г) не требуют комментариев, но
варианты б) и в) нуждаются в объяснении. В варианте б) все точки лежат в поле
рассеивания (между контрольными пределами), но величина их размаха больше поля
допуска. Идет брак. В варианте в) поле рассеивания укладывается в поле допуска,
но к браку могут привести случайные выбросы значений параметров. Необходимо
снижать величины факторов рассеивания, то есть улучшать качество процесса.
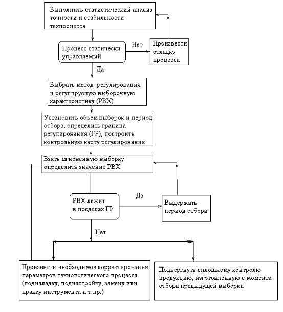
Рисунок 2 Общий алгоритм регулирования
технологического процесса
2. Контроль точности
технологического процесса
На основании данных о
результатах выборочной оценки качественного параметра продукции построить
контрольную карту размахов и средних арифметических. На основании анализа
контрольной карты сделать заключение о необходимости корректировки
технологического процесса
|
Номер
выборки
|
Номер
изделия
|
|
|
|
|
|
|
|
|
|
|
|
|
|
|
1
|
2
|
3
|
∑
|
R
|
|
|
1
|
30
|
31
|
30
|
91
|
30,333
|
1
|
|
2
|
30,5
|
31,5
|
30,5
|
92,5
|
30,833
|
1
|
|
3
|
32
|
31
|
30
|
93
|
31
|
2
|
|
4
|
30
|
29
|
30
|
89
|
29,667
|
1
|
|
5
|
31
|
29
|
30
|
90
|
30
|
2
|
|
6
|
31,5
|
31,5
|
30,5
|
93,5
|
31,167
|
1
|
|
7
|
30,5
|
29,5
|
31,5
|
91,5
|
2
|
|
8
|
29,5
|
29,5
|
29
|
88
|
29,333
|
0,5
|
|
9
|
29
|
29
|
29
|
87
|
29
|
0
|
|
10
|
30
|
29
|
31
|
90
|
30
|
2
|
|
11
|
30,5
|
30,5
|
30,5
|
91,5
|
30,5
|
0
|
|
12
|
31
|
32
|
31
|
94
|
31,333
|
1
|
|
13
|
30
|
30
|
26
|
86
|
28,667
|
4
|
|
14
|
29,5
|
29
|
29
|
87,5
|
29,167
|
0,5
|
|
15
|
30,5
|
30
|
29,5
|
90
|
30
|
1
|
|
16
|
29
|
30
|
31
|
90
|
30
|
2
|
|
17
|
31
|
31,5
|
30,5
|
93
|
31
|
|
18
|
30
|
31
|
29
|
90
|
30
|
2
|
|
19
|
29,5
|
29
|
29
|
87,5
|
29,167
|
0,5
|
|
20
|
29
|
29,5
|
29
|
87,5
|
29,167
|
0,5
|
|
|
|
|
|
|
|
|
|
|
|
Сумма
|
600,83
|
25
|
|
|
|
|
|
|
|
|
|
|
|
Средние:
|
30,042
|
1,25
|
1. Определяют значение
центральной линии
СL=
30,042
2. Определяют среднее значение
размаха выборки
3. Определяют значения контрольных
пределов карты
UCL(χ0) =
+ A2
=30,042+1,023∙1,25=31,32
CL=
LCL(χ0) =
- A2
=30,042-1,023∙1,25=28,76
где А2 берется из ГОСТ Р 50799.42-99
таблица 2.
Рисунок 3- Контрольная карта средних
значений
4. Определяют контролируемые пределы
по формулам
UCL(R) =D4
=2,574∙1,25=3,21=
=1,25(R) =D3
=0
где D3 и D4 берется из
ГОСТ Р 50799.42-99 таблица 2.
Рисунок 4- Контрольная карта средних размахов
Вывод: Когда на карте (Х- R) какая-то точка
выходит за контрольную границу или находится на ней, это означает неправильную
настройку или разлаженность процесса. Центр группирования средних величин может
быть смещен от нормального положения. Обычно это легко устраняется настройкой
оборудования.
Когда за контрольную границу регулирования
перемещается точка на графике R, это означает, что увеличился разброс групп,
случайные факторы нарушили нормальное течение процесса. Этот случай как правило
более сложен для анализа, здесь необходимо усилить входной контроль материалов,
проверить технические характеристики оборудования
Библиографический список
1. Системы, методы и инструменты
менеджмента качества : учеб. для студентов вузов / М. М. Кане [и др.]; [под
ред. М. М. Кане]. - СПб. [и др.] : Питер, 2009. - 559 с.
2. Строителев, В. Н.
Статистические методы в управлении качеством : Учеб. для студентов вузов,
обучающихся по специальности "Упр. качеством" / Строителев В. Н.,
Яницкий В. Е. - М. : Европейский центр по качеству, 2002. - 164 с.
3. Ефимов В.В. Управление
качеством: Учеб. пособие. -Ульяновск: УлГТУ, 2005. - 141 с.
4. Машиностроение.
Энциклопедический справочник. Ред. совет Е.А. Чудаков(пред.) и др. - М.:
Государственное научное техническое издательство машиностроительной литературы,
1950. Организация и экономика машиностроительного производства. Т. IV - 15. Под
общ. ред. К.Я. Шухгальтера.- 806 с.
5. Машиностроение.
Энциклопедия. Ред. совет К.В. Фролов (пред.) и др. - М.: Машиностроение, 1996.
Измерения, контроль, испытания и диагностика. Т. III
- 7. Под общ. ред В.В. Клюева. - 464 с.
6. Технический контроль в
машиностроении: Справочник проектировщика. Под общ. ред. В.Н. Чупырина, А.Д.
Никифорова, - М. Машиносироение, 1987. - 512 с.
7. Справочник по
производственному контролю в машиностроении. Издание третье, перераб. и дополн.
Под ред. А.К. Кутая, - Л.: «Машиностроение», 1974 - 977 с.
. ГОСТ 27.202 - 83 Надежность
в технике. Технологические системы. Методы оценки надежности по параметрам
качества изготовляемой продукции.
. ГОСТ Р 50779.30 - 95
Статистические методы. Приемочный контроль качества. Общие требования.
. ГОСТ Р 50799.40 - 96
Статистические методы. Контрольные карты. Общее руководство и внедрение.
. ГОСТ Р 50779.53 - 98
Статистические методы. Приемочный контроль качества по количественному признаку
для нормального закона распределения.
. ГОСТ 16504 - 81 Система
государственных испытаний продукции. Испытания и контроль качества продукции.
Основные термины и определения.
. Р 50-601-20-91 Рекомендации
по оценке точности и стабильности технологических процессов (оборудования).
. Р 50-601-32-92
Рекомендации. Система качества. Организация внедрения статистических методов
управления качеством продукции на предприятии.
. Р 50-609-40-01
Рекомендации. Технологическое проектирование технического контроля.