Статистические методы анализа финансовых результатов деятельности предприятий

  • Вид работы:
    Курсовая работа (т)
  • Предмет:
    Эктеория
  • Язык:
    Русский
    ,
    Формат файла:
    MS Word
    56,38 Кб
  • Опубликовано:
    2015-06-15
Вы можете узнать стоимость помощи в написании студенческой работы.
Помощь в написании работы, которую точно примут!

Статистические методы анализа финансовых результатов деятельности предприятий

МИНИСТЕРСТВО ОБРАЗОВАНИЯ И НАУКИ РФ

Федеральное государственное автономное образовательное учреждение высшего профессионального образования

«Национальный исследовательский ядерный университет «МИФИ»

Обнинский институт атомной энергетики - филиал

«Национальный исследовательский ядерный университет «МИФИ»







КУРСОВАЯ РАБОТА

по дисциплине: «Статистика»

на тему: «Статистические методы анализа финансовых результатов деятельности предприятий»

Выполнил Андросов К.М.

Руководитель Недоступенко Г.А




Обнинск 2015 г.

Содержание

Введение

. Показатели финансовых результатов деятельности предприятия

1.1 Прибыль

.2 Рентабельность

.3 Факторный анализ прибыли предприятия

.4 Факторный анализ рентабельности

. Основные методы статистического анализа

3. Статистический анализ структуры

4. Расчетная часть

Заключение

Список использованной литературы


Введение

Статистика финансов предприятия изучает количественные характеристики денежных отношений, связанных с образованием, распределением и использованием финансовых ресурсов предприятий. С помощью статистики финансовых результатов деятельности предприятий изучается тенденция развития, исследуется влияние различных факторов на финансовые результаты, обосновываются планы и управленческие решения, оцениваются результаты деятельности предприятия, вырабатывается стратегия его развития.

Получение прибыли - это непосредственная цель предприятия. Но получить прибыль предприятие может только в том случае, если оно производит продукцию или услуги, которые реализуются, т.е. удовлетворяют общественные потребности.

В современных условиях развития экономики важное место занимают статистические методы анализа финансовых результатов деятельности предприятий, так как статистические методы раскрывают ряд вопросов, связанных с прибыльностью и рентабельностью деятельности предприятия, а также наличием и оборачиваемостью основных и оборотных средств. Рассматривается факторный анализ, влияние различных факторов на показатели финансовых результатов деятельности предприятия.

В расчетной части курсовой работы рассматриваются задачи, связанные с затратами на производство и прибылью от продажи продукции. Задачи помогают более глубоко рассмотреть взаимосвязь между такими признаками, как затраты на производство и прибыль.

Аналитическая часть работы раскрывает финансовые результаты, показатели прибыли и рентабельности на примере деятельности отдельной фирмы в динамике за четыре квартала 2014 года.

1. Показатели финансовых результатов предприятий

Основными статистическими показателями, позволяющими оценить финансовое положение отраслей экономики и образующих их коммерческих организаций, т.е. организаций, преследующих извлечение прибыли в качестве основной цели своей деятельности, являются: выручка от реализации, прибыль, рентабельность, наличие и оборачиваемость оборотных активов.

Финансовая деятельность предприятий всех видов, в том числе и малых, характеризуется рядом важных показателей.

Финансовые ресурсы - это денежные средства предприятия (собственные и привлеченные), находящиеся в его распоряжении и предназначенные для выполнения финансовых обязательств и осуществления затрат для производства.

Выручка от реализации продукции, выполненных работ и оказанных услуг представляет собой важный индикатор финансовой деятельности предприятий, который является одним из основных при принятии финансовых решений. Значение показателя определяется тем, что он показывает стоимость реализации продукции (оказанных услуг) - объем основного источника финансовых ресурсов в действующих организациях.

При проведении экономико-статистического анализа следует иметь в виду, что финансовым ресурсом организации является выручка от реализации, уменьшенная на величину Налога на добавленную стоимость, акцизов и других косвенных налогов.

.1 Прибыль - важнейший показатель финансового состояния предприятия

Ключевым показателем финансового состояния предприятия, характеризующим конечные результаты торгово-производственного процесса, является прибыль в форме денежных накоплений, представляющих собой разность между доходами от деятельности предприятия и расходами на её осуществление. Прибыль - один из основных источников доходов федерального и местного бюджетов, основная цель предпринимательской деятельности. При стабильных ценах динамика прибыли отражает изменение эффективности производства. От размера полученной прибыли зависит финансовое положение предприятия, возможность формирования фондов развития производства и социальной защиты, материального поощрения работников.

Прибылью характеризуется абсолютный эффект, или конечный результат хозяйственной деятельности предприятий всех видов. При этом используется система показателей прибыли (убытка), существенно различающихся по величине, экономическому содержанию, функциональному назначению. Базой для всех расчетов служит балансовая прибыль - основной финансовый показатель производственно-хозяйственной деятельности предприятия.

Для целей налогообложения определяется расчетный показатель валовая прибыль, а на её основе - прибыль, облагаемая налогом, т.е. облагаемая прибыль. Остающаяся в распоряжении предприятия после внесения налогов и других платежей в бюджет часть балансовой прибыли называется чистой прибылью предприятия.

Балансовая прибыль (убыток) - конечный результат деятельности предприятия, отражаемая в балансе предприятия и на счетах бухгалтерского учета; в валюту баланса она не входит. Она рассчитывается суммированием прибыли от реализации продуктов (товаров, работ, услуг), иных материальных ценностей и доходов (расходов) от внереализационных операций:

Пб = Пр + Ппр + П внер , где

Пб - балансовая прибыль (убыток),

Пр - прибыль от реализации продукции (работ и услуг),

Ппр - прибыль от прочей реализации, включающей реализацию основных фондов и другого имущества, нематериальных активов, ценных бумаг и т.п.

Пвнер - прибыль (доход) от внереализационных операций (сдача имущества в аренду, долевое участие в деятельности других предприятий и др.). Здесь вполне возможен как положительный результат (+), так и отрицательный (-) даже при благоприятных итогах работы.

Основная, преобладающая часть балансовой прибыли, - это прибыль от реализации готовой продукции, сдачи заказчиком выполненных работ и услуг.

На основе балансовой прибыли определяется валовая прибыль. Валовая прибыль в отличие от балансовой не отражается в балансе предприятия и на счетах бухгалтерского учета. Это расчетный показатель, специально определяемый для целей налогообложения.

Валовая прибыль представляет собой сумму прибыли (убытка) от реализации продукции (работ, услуг), основных фондов, иного имущества предприятия и доходов от внереализационных операций, уменьшенных на сумму расходов по этим операциям.

Прибыль от реализации основных фондов и иного имущества предприятия определяется как разность между выручкой от реализации и остаточной стоимостью этих фондов и имущества, увеличенной на индекс инфляции, исчисленный в порядке, который устанавливается Правительством Российской Федерации.

В настоящее время в хозяйственной практике используются показатель чистой прибыли предприятия. Доходы от внереализационных операций включают доходы от долевого участия в деятельности других организаций, дивиденды и доходы по акциям, доходы от сдачи имущества в аренду, полученные пени, штрафы, неустойки, средства, полученные безвозмездно от других предприятий и т.д. Расходы, вызванные внереализационными операциями, включают судебные и арбитражные издержки, уплаченные пени, штрафы, неустойки, убытки от хищений, виновники которых не обнаружены и не установлены, и т.д. Сальдо доходов и расходов от внереализационных операций при положительном его значении прибавляется к сумме результатов от реализации продукции, работ и услуг, а также иного имущества, а при отрицательном - вычитается.

Прибыль от реализации продукции (работ, услуг) определяется как разница между выручкой от реализации продукции по оптовым ценам предприятия (за вычетом налога на добавленную стоимость и акцизов) и затратами на производство и реализацию, включаемыми в себестоимость продукции:

Пр =∑(p - z)q, где

p - цена единицы продукции;

z - Затраты на производство единицы продукции;

q - Объем продукции.

Валовая прибыль может совпадать с балансовой, но иногда отличается от нее. Расхождения возникают при реализации основных фондов и много имущества; реализации продукции по цене не выше её себестоимости; учете финансовых результатов деятельности подсобного сельского хозяйства. При определении валовой прибыли убытки, полученные от производства и реализации сельскохозяйственной продукции подсобного сельского хозяйства предприятия, в расчет не включается. Это значит, что валовая прибыль увеличивается на сумму убытков сельского хозяйства: при определении балансовой прибыли эти убытки были учтены (т. е. их вычли, балансовая прибыль стала меньше), но так как при налогообложении эти убытки не учитываются, то их следует прибавить. Во всех рассмотренных случаях должны применяться рыночные цены, действовавшие на момент выполнения сделки. В условия рыночной экономики каждое предприятие (фирма) в своей стратегии ориентируется на получение максимальной прибыли. Общий принцип выбора следующий: фирма должна использовать такой производственный процесс, при котором экономические издержки производства будут наименьшими.

Облагаемая налогом прибыль - это прибыль, определяемая для целей налогообложения. Для ее исчисления валовая прибыль уменьшается на сумму налоговых льгот, предоставляемых плательщикам, а также увеличивается (уменьшается) на суммы доходов (затрат), установленных законодательством.

При распределении ее производятся отчисления в бюджет в виде различных налогов и сборов. Основными налогами, взимаемыми с организации в бюджет, являются: налог на имущество, налог на прибыль, плата за право пользования недрами, земельный налог, специальный налог, налог на добавленную стоимость, акцизы, транспортный налог, экспортные таможенные пошлины, импортные таможенные пошлины, подоходный налог с физических лиц и прочие налоги.

Чистая прибыль - это прибыль, определенная как разница между балансовой прибылью и суммой прибыли, направленной на уплату налогов и других платежей в бюджет.

Нераспределенная прибыль - та часть балансовой прибыли, которая после использования последней в отчетном году на уплату налогов и другие платежи в бюджет остается в распоряжении организации и используется в следующем за отчетным году для стимулирования работников и финансирования затрат по созданию нового имущества, приобретения основных фондов, накопления оборотных средств, выплаты дивидендов акционерам, приобретения акций, облигаций и иных ценных бумаг других организаций, на благотворительные нужды и т.п. За счет нераспределенной прибыли осуществляются также платежи по основному долгу банка и уплата банковских процентов сверх ставок, установленных законодательством, оплата банковских процентов по ссудам, полученным на приобретение основных средств и нематериальных активов, а также по просроченным и отсроченным ссудам.

Рост прибыли достигается, прежде всего, за счет увеличения объема произведенной и соответственно реализованной продукции и снижения ее себестоимости.

.2 Рентабельность

Наряду с абсолютным показателем - объем прибыли - статистика широко применяет относительный показатель - рентабельность, который позволяет в общем виде охарактеризовать прибыльность работы организаций. Этот показатель представляет собой результат действия различных экономических процессов - изменения объема производства, производительности труда, снижения себестоимости продукции и является важнейшим индикатором оценки финансово-экономической эффективности работы и уровня окупаемости производимых затрат.

В качестве показателя рентабельности чаще всего рассчитывается общая рентабельность или, как ее еще называют, рентабельность организации, а также рентабельность реализованной продукции и рентабельность капитала.

Показатель общей рентабельности рассчитывается путем деления величины балансовой прибыли на среднегодовую стоимость производственных фондов, нематериальных активов и материальных оборотных средств, выражается в процентах и вычисляется по формуле

Rоб = Пбал / Ф * 100%, где

Rоб - уровень общей рентабельности

Пбал - величина балансовой прибыли за период

Ф - средняя годовая стоимость основных производственных фондов, нематериальных активов за тот же период

По экономическому содержанию показатель общей рентабельности характеризует величину прибыли, получаемой на 1 руб. средне годовой стоимости основных производственных фондов, нематериальных активов и материальных оборотных средств.

Уровень рентабельности предприятия является обобщающим показателем, так как оно характеризует эффективность всей деятельности предприятия, включая виды деятельности, непосредственно не связанные с производством продукции (работ, услуг).

Если исчисленное значение Rоб больше 100%, предприятие считается рентабельным, если меньше - убыточным, если равно 100% - безубыточным.

Повышению рентабельности предприятия способствует увеличение прибыли на основе роста производства и реализации продукции, снижения ее себестоимости, лучшего использования машин и оборудования, экономного расходования сырья и материалов, предупреждения неоправданных расходов, сокращения потерь, повышения производительности труда.

При стабильных ценах, по которым реализуется продукция, рост рентабельности продукции означает повышение эффективности производства, улучшение использования материальных и трудовых ресурсов, снижение потерь. Рентабельность реализованной продукции определяется делением величины прибыли от реализации продукции, выражается в процентах и рассчитывается по формуле

RРП = ПРП / Z * 100%

ПРП - прибыль от реализации продукции (работ, услуг)

Z - затраты на производство продукции (полная ее себестоимость)

Рентабельность продукции рассчитывают как по отдельным видам, так и по всей реализованной продукции в целом.

Рентабельность капитала характеризует деловую активность предприятия в финансовом отношении и измеряется посредством показателя общей оборачиваемости капитала:

Ок = В / К

финансовый рентабельность прибыль затрата

В - выручка от реализации продукции

К - капитал предприятия

Общая оборачиваемость капитала характеризует число кругооборотов имущества предприятия за определенный период или показывает объем выручки от реализации продукции, приходящийся на 1 руб. капитала предприятия. Увеличение числа оборотов ведет либо к росту выпуска продукции на 1 руб. имущества предприятия, либо к тому, что на этот же объем продукции требуется затратить меньше капитала.

Общая оборачиваемость капитала может увеличиться в результате не только ускорения кругооборота имущества предприятия, но и относительного уменьшения капитала в анализируемом периоде, роста цен из-за инфляции.

.3 Факторный анализ прибыли предприятия

Прибыль от реализации продукции, работ и услуг определяется как разность между выручкой от реализации продукции, работ, услуг в действующих ценах без налога на добавленную стоимость и акцизов и полной себестоимостью

Пр = ∑ qp - ∑ qz

∑ qp - стоимость реализованной продукции, работ и услуг

∑ qz - полные утраты на производство продукции

Ведущее место в изучении прибыли от реализации продукции, работ и услуг отводится факторному анализу.

Факторами, влияющими на изменение прибыли от реализации продукции, являются цены, себестоимость, объем и структура реализованной продукции.

Роль каждого фактора можно определить с помощью индексного метода.

Абсолютный размер прибыли определяется как разность между выручкой от реализации продукции и затратами на ее производство. Абсолютный прирост прибыли определяется:

Δпр = (∑p1q1 - ∑z1q1) - (∑p0q0 - ∑z0q0), где

р1, р0 - цена за единицу продукции в отчетном и базисном периодах.

z1, z0 - себестоимость единицы продукции в отчетном и базисном периодах.

q1, q0 - количество продукции в отчетном и базисном периодах.

Абсолютный прирост прибыли определяется за счет четырех факторов:

)        цен

)        себестоимости

)        объема

)        структуры реализованной продукции

Прирост прибыли за счет изменения цен определяется как разность между выручкой от реализации продукции отчетного периода и объема реализованной в отчетном периоде продукции, рассчитанной по ценам базисного периода:

Δпр (р) = ∑ p1q1 - ∑ p0q1

Прирост прибыли за счет изменения себестоимости определяется как разность между объемом реализованной в отчетном периоде продукции, пересчитанной по себестоимости базисного периода, и фактической себестоимостью этой продукции:

Δпр (s) = ∑z0q1 - ∑p1z1

Влияние изменения объема реализованной продукции на прибыль определяется сравнением прибыли базисного периода от фактической реализованной продукции, пересчитанной по ценам и себестоимости базисного периода:

(∑p0q1 - ∑z0q1) - (∑p0q0 - ∑z0q0)

Прирост прибыли в результате изменения объема реализации содержит и ту её часть, которая образуется за счет структурных сдвигов в ассортименте продукции. Рассчитывают её следующим образом:

(∑П0q1 / ∑p0q1 -∑П0q0 / ∑p0q0) * ∑ p0q1,

где П = p - z. Таким образом, отклонение суммы прибыли от реализации продукции можно рассматривать как результат изменения четырех вышеназванных факторов.

.4 Факторный анализ рентабельности

Относительные изменения среднего уровня рентабельности продукции определяется системой индексов: переменного и постоянного состава и структурных сдвигов.


r1 и r0 - рентабельность отдельных видов продукции в отчетном и базисном периодах.

S1 и S0 - затраты на производство и реализацию продукции в отчетном и базисном периодах

d1 и d0 - удельный вес затрат на производство отдельных видов продукции в общем объеме в отчетном и базисном периодах.

Индекс переменного состава равен индексу постоянного состава умноженного на индекс структурных сдвигов

Yr = Yy * Yd

Индекс постоянного состава:


Индекс структурных сдвигов:


Абсолютное изменение среднего уровня рентабельности продукции

Δr = ∑ r1d1 - ∑r0d0

Изменение средней рентабельности за счет факторов

а) рентабельности отдельных видов продукции

Δr (r) = ∑ r1d1 - ∑r0d1

б) структуры затрат на производство и реализацию продукции

Δr (d) = ∑ r0d1 - ∑r0d0

За счет двух факторов

Δr = Δr (r) + Δr (d).

2. Основные методы статистического анализа

На основе информации, собранной в ходе статистического наблюдения, как правило, нельзя непосредственно выявить и охарактеризовать закономерности социально-экономических явлений. Это связано с тем, что наблюдение дает сведения по каждой единице исследуемого объекта. Полученные данные не являются обобщающими показателями. C их помощью нельзя сделать выводы в целом об объекте без предварительной обработки данных.

Поэтому цель статистического исследования состоит в систематизации первичных данных и получении на этой основе, сводной характеристики всего объекта при помощи обобщающих статистических показателей.

Отдельные единицы статистической совокупности объединяются в группы при помощи метода группировки. Это позволяет «сжать» информацию, полученную в ходе наблюдения, и на этой основе выявить закономерности, присущие изучаемому явлению.

Группировкой называется расчленение множества единиц изучаемой совокупности на группы по определённым существенным для них признакам. Группировка является одним из самых сложных в методологическом плане этапов статистического исследования.

Причины, обуславливающие необходимость проведения группировки и определяющее её место в системе статистических методов, кроются в своеобразии объекта статистического исследования. Он представляет собой комплекс частных совокупностей, которые могут быть качественно и глубоко различны, обладать различными свойствами, степенью сложности, характером развития.

Без преодоления индивидуальных черт исследовать закономерности развития промышленности, которые теряются в многочисленных характеристиках, отличающих одно предприятие от другого, нельзя. Поэтому предприятия следует объединить в группы по отрасли промышленности, назначению выпускаемой продукции, численности занятых работников, по формам собственности, организационно-правовым формам и т.д. Таким образом, в показателях, исчисленных по достаточно большим группам, произойдёт погашение случайного и выявление общего, существенного для развития исследуемого явления. [5;57]

Статистические группировки по задачам, решаемым с их помощью, делятся на: типологические, структурные и аналитические.

Типологическая группировка - это разделение качественно разнородной совокупности на классы, социально-экономические типы, однородные группы единиц в соответствии с правилами научной группировки.

При проведении типологической группировки основное внимание должно быть уделено идентификации типов социально-экономических явлений. Она производится на базе глубокого теоретического анализа исследуемого явления.

Структурной называется группировка, в которой происходит разделение однородной совокупности на группы, характеризующие её структуру по какому-либо варьирующему признаку. С помощью таких группировок могут изучаться: состав предприятий по численности занятых, стоимости основных фондов, структура депозитов по сроку их привлечения и т.д. Структурная группировка представлена в расчётной части данной работы, таблица 7.

Группировка, выявляющая взаимосвязи между изучаемыми явлениями и их признаками, называется аналитической группировкой.

Всю совокупность признаков можно разделить на две группы: факторные и результативные. Факторными называются признаки, под воздействием которых изменяются другие - они и образуют группу результативных признаков. Взаимосвязь проявляется в том, что с возрастанием значения факторного признака систематически возрастает или убывает среднее значение признака результативного.

Особенности аналитической группировки следующие: во-первых, в основу группировки кладётся факторный признак; во-вторых, каждая выделенная группа характеризуется средними значениями результативного признака.

Преимущество данного метода перед другими методами анализа связи (например, корреляционно-регрессионным) состоит в том, что он не требует соблюдения каких-либо условий для его применения, кроме одного- качественной однородности исследуемой совокупности.

3. Статистический анализ структуры

В статистике под структурой понимают совокупность элементов социально-экономических явлений, обладающих определенной устойчивостью внутригрупповых связей, при сохранении основных свойств, характеризующих эту совокупность как целое. Статистическая структура - это распределение различных частей в пределах общего для них качества.

Статистический анализ структуры непосредственно связан с группировкой данных. Если основанием структуры выступает качественный признак, то процесс группировки не вызывает затруднений. Группировка по количественному признаку сложнее, так как требует обоснованного установления границ перехода одного качества в другое.

Статистические приемы и методы анализа позволяют проводить исследование конкретных социально-экономических структур в определённых условиях места и времени, заключающееся, прежде всего в их точном количественном измерении и соизмерении, выявления пропорций и закономерностей.

Относительный показатель структуры (ОПС) представляет собой соотношение структурных частей изучаемого объекта и их целого:


Относительный показатель структуры выражается в долях единицы или в процентах. Рассчитанные величины (di), соответственно называемые долями или удельными весами, показывают какой долей обладает или какой удельный вес имеет i-я часть в общем итоге.

Структура сложного социально-экономического явления всегда обладает той или иной степенью подвижности, имеет свойство меняться с течением времени как в количественном, так и в качественном отношении. Поэтому большое практическое значение имеют изучение структуры в динамике, оценка структурных сдвигов. При изучении структуры используются частные и обобщающие показатели структурных сдвигов. К частным показателям относятся: абсолютный прирост удельного веса, темп роста удельного веса, средний абсолютный прирост удельного веса, средний удельный вес. Среди обобщающих показателей структурных сдвигов наиболее распространены:

)        линейный коэффициент «абсолютных» структурных сдвигов;

)        квадратический коэффициент «абсолютных» структурных сдвигов;

)        квадратический коэффициент относительных структурных сдвигов;

)        линейный коэффициент «абсолютных» структурных сдвигов за n периодов. При изучении структуры явлений и процессов следует обратить внимание на методику расчёта и экономическую интерпретацию показателей концентрации и централизации.

Оценка степени концентрации осуществляется кривой концентрации (Лоренца) и рассчитываемыми на её основе характеристиками. Для построения кривой используется частотное распределение единиц исследуемой совокупности и соответствующее ему частотное распределение изучаемого признака. Для удобства вычислений и повышения аналитичности данных единицы совокупности разбиваются на равные группы.

Наиболее известными показателями концентрации являются коэффициент Джини и коэффициент Лоренца. Данные коэффициенты принимают значения в границах от нуля до единицы и измеряют неравномерность распределения. Коэффициент Лоренца основан на прямом сравнении долей групп по числу единиц совокупности и долей по объёму признака и выражается формулой:

          ∑Idxi - dfiI

L =           2 ,

где dxi - доля i-той группы в объёме признака х;

dfi - доля i-той группы ч в числе единиц. Знаменатель коэффициента - это максимальная величина модуля.

Коэффициент Джини базируется на распределении совокупности на 10 равновеликих групп и выражении частот в процентах. Коэффициент характеризует степень неравенства в распределении объёмов признака среди единиц совокупности, степень отклонения фактического распределения объёмов признака от линии их равномерного распределения.

Централизация означает сосредоточение объёма признака у отдельных единиц и оценивается с помощью следующего показателя:

     1 n +1-2∑d’xi

К = n + n+1

Максимальное значение обобщающего показателя централизации равно 1, то есть совокупность состоит из одной единицы, обладающей всем объёмом признака. Минимальное значение приближается к нулю, но его никогда ни достигает.

4. Расчётная часть

Условие задач

Для анализа финансовых результатов деятельности предприятий одной из отраслей экономики произведена 10%-ная механическая выборка, в результате которой получены следующие данные млн. руб.:

№ предприятия

Затраты на производство и реализацию продукции

Прибыль от продаж

№ предприятия

Затраты на производство и реализацию продукции

Прибыль от продаж

1

25,2

4,4

16

38,1

4,5

2

46,3

3,7

17

48,3

4,2

3

15,4

5,7

18

38,3

4,7

4

18,5

5,9

19

29,8

5,5

5

27,1

4,9

20

34,3

3,8

6

27,5

5,6

21

21,3

6,9

7

32,0

6,1

22

40,0

6,1

8

29,0

5,2

23

35,2

4,0

9

61,4

3,7

24

33,4

6,3

10

53,8

3,5

25

24,2

7,7

11

50,5

4,6

26

31,6

6,0

12

49,9

3,5

27

42,1

6,0

13

28,5

5,3

28

33,8

5,0

14

41,4

5,1

29

32,6

6,1

15

32,7

6,2

30

18,6

5,8


Признак - затраты на производство и реализацию продукции.

Число групп - пять. Связь между признаками - затраты на производство и реализацию продукции и прибыль от продаж.

По результатам выполнения заданий 1 с вероятностью 0,954 определите:

.        Ошибку выборки средней суммы затрат на производство и реализацию продукции и границы, в которых она будет находиться в генеральной совокупности.

.        Ошибку выборки доли предприятий с затратами на производство и реализацию продукции 43 млн. руб. и более и границы, в которых будет находиться генеральная доля.

Имеются следующие данные о финансовых результатах деятельности малых предприятий в области:

Отрасль экономики

Численность работников, чел.

Прибыль отчётного периода, млн.руб.

Прибыль в расчёте на одного работника в отчётном периоде составляет от базисного уровня, %


Базисный период

Отчётный период



Строительство

13676

13213

792,8

90

Транспорт

1052

866

56,4

105

Розничная торговля

6312

5781

166,8

110


Определите:

.        Уровень производства прибыли на одного работника в отраслях экономики в базисном и отчётном периодах.

.        Отраслевую структуру численности работников малого бизнеса в каждом периоде.

.        Общие индексы динамики прибыли в расчёте на одного работника по трём отраслям в целом:

переменного состава;

фиксированного состава;

структурных сдвигов.

4. Абсолютное изменение суммы прибыли в расчёте на одного работника вследствие изменения этого фактора по каждой отрасли и структурных изменений в численности работников. Сделайте выводы.

По исходным данным:

. Построим статистический ряд распределения предприятий по признаку затраты на производство и реализацию продукции, образовав заданное число групп с равными интервалами.

Для группировок с равными интервалами величина интервала находится по формуле:

       Хmax - Хmin

i =      n ,

где

Хmax, Хmin - наибольшее и наименьшее значения признака соответственно,

n=5 - число групп.

Xmax = 61,4

Xmin = 15,4

Тогда 61,4 - 15,4

i = 5 = 9,2

Отсюда путём прибавления величины интервала к минимальному уровню признака в группе получим следующие группы предприятий по размеру затрат на производство и реализацию продукции (табл.1).

Таблица 1. Распределение предприятий по размеру затрат.

№ п/п

Группы предприятий по размеру затрат, млн.руб.

Число предприятий



В абсолютном выражении, ед.

В относительных единицах, %

1

15,4 - 24,6

5

16,7

2

24,6 - 33,8

12

40,0

3

33,8 - 43,0

7

23,3

4

43,0 - 52,2

4

13,3

5

52,2 - 61,4

2

6,7


Итого

30

100,0


Данные группировки показывают, что около 44% предприятий имеют затраты свыше 33,8 млн.руб. 2. Построим графики полученного ряда распределения. Графически определим значения моды и медианы.

) Построим гистограмму и определим значение моды (рис.1). Первоначально по наибольшей частоте признака определим модальный интервал. Наибольшее число предприятий - 12 - затрачивают на производство и реализацию продукции сумму в интервале 24,6-33,8 млн.руб., который и является модальным. Для определения значения моды правую вершину модального прямоугольника соединим с верхним правым углом предыдущего прямоугольника, а левую вершину - с верхним левым углом предшествующего. Абсцисса точки пересечения этих прямых будет мода. Мо ≈ 31 млн.руб. - наиболее часто встречающееся значение признака.

Рис. 1. Гистограмма распределения предприятий по затратам на производство и реализацию продукции.

) Для определения значения медианы построим кумуляту распределения предприятий по затратам на производство и реализацию продукции (Рис.2).

Определим медианный интервал, таким интервалом очевидно будет интервал затрат 24,6-33,8 млн.руб, так как его кумулятивная частота равна 17 (5+12), что превышает половину суммы всех частот (30:2=15).

Далее определим ординаты накопленных частот в пределах 24,6-33,8, это будет у1 = 29, у2 = 40 и у3 = 32. Найдём середину промежутка ординат накопленных частот в пределах 24,6-33,8.

Абсцисса середины промежутка есть медиана. Ме ≈ 33.


Рис. 2. Кумулята распределения предприятий по затратам на производство и реализацию продукции.

Основные характеристики интервального ряда распределения. Вспомогательные расчёты представлены в таблице 1.1.

Таблица 1.1.

№п/п

Затраты на производство и реализацию продукции, млн.руб., х

Число предприятий, f

Середины интервалов  х

х*f

(x-xср)2

(x-xср)2*f

1

15,4 - 24,6

5

20

100

199,00

994,9902

2

24,6 - 33,8

12

29,2

350,4

24,08

288,90

3

33,8 - 43,0

7

38,4

268,8

18,43

129,03

4

43,0 - 52,2

4

47,6

190,4

182,07

728,28

5

52,2 - 61,4

2

56,8

113,6

514,99

1029,97

 

Итого

30

192

1023,2

938,5636

3171,18


Среднее

34,11






Среднее квадратическое.

10,28






Коэффициент вариации

30,14






1) Средняя арифметическая

        ∑х*f

хср = ∑f

          1023,2

хср = 30 = 34,1 (млн.руб.)

Соотношение между модой, медианой и средней характеризуют форму распределения. Если IМо-хсрI ≈ 3*IМе-хсрI

I31 - 34,1I ≈ 3*I33 - 34,1I

,1 ≈ 3,3, то распределение близко к нормальному.

Так как Мо < Ме < хср , 31 < 33 < 34,1, то асимметрия правосторонняя.

) Среднее квадратическое отклонение

   ∑(х-хср)2*f

σ = √ ∑f

        3171,18

σ = √ 30 = 10,28 (млн.руб.)

) Коэффициент вариации

       σ

V = xср *100

         10,28

V = 34,1 *100 = 30,14%.

. Рассчитаем среднюю арифметическую затрат на производство и реализацию продукции по исходным данным.

Между средней арифметической по исходным данным и средней арифметической ряда распределения существует некоторое расхождение, так как во втором случае делается предположение о равномерности распределения единиц признака внутри группы

По исходным данным:

. Установим наличие и характер связи между признаками затраты на производство и реализацию продукции и прибыль от продаж, образовав заданное число групп с равными интервалами по обоим признакам, методами: а) аналитической группировки,

б) корреляционной таблицы.

. Аналитическая группировка.

Выбираем факторные и результативные признаки, подсчитываем число единиц в каждой из образованных групп, определим объём варьирующих признаков в пределах созданных групп, средние размеры результативного показателя и построим рабочую таблицу 2.1. (интервалы возьмём из задания 1, п.1).

Таблица 2.1. Распределение предприятий по величине затрат на производство и реализацию продукции

№ п/п

Группы предприятий по величине затрат на производство и реализацию продукции.

№ предприятия

Затраты на производство и реализацию продукции

Прибыль от продаж



3

15,4

5,7



4

18,5

5,9

1

15,4 - 24,6

21

21,3

6,9



25

24,2

7,7



30

18,6

5,8


Итого

5

98

32



1

25,2

4,4



5

27,1

4,9



6

27,5

5,6



7

32,0

6,1



8

29,0

5,2

2

24,6 - 33,8

13

28,5

5,3



15

32,7

6,2



19

29,8

5,5



24

33,4

6,3



26

31,6

6,0



28

33,8

5,0



29

32,6

6,1


Итого

12

363,2

66,6



14

41,4

5,1



16

38,1

4,5



18

38,3

4,7

3

33,8 - 43,0

20

34,3

3,8



22

40,0

6,1



23

35,2

4,0



27

42,1

6,0


Итого

7

269,4

34,2



2

46,3

3,7



11

50,5

4,6

4

43,0 - 52,2

12

49,9

3,5



17

48,3

4,2


Итого

4

195

16

5

52,2 - 61,4

9

61,4

3,7



10

53,8

3,5


Итого

2

115,2

7,2


Всего

30

1040,8

156


Для определения наличия и характера связи между затратами на производство и реализацию продукции и прибылью от продаж по данным рабочей таблицы строим итоговую аналитическую таблицу (табл. 3).

Таблица 3. Зависимость прибыли предприятий от затрат на производство и реализацию продукции.

№ п/п

Группы предприятий по величине затрат на производство и реализацию продукции.

Число предприятий

Затраты на производство и реализацию продукции

Прибыль от продаж




всего

средние затраты

всего

в среднем на предприятие

1

15,4 - 24,6

5

98

19,6

32

6,4

2

24,6 - 33,8

12

363,2

30,3

66,6

5,6

3

33,8 - 43,0

7

269,4

38,5

34,2

4,9

4

43,0 - 52,2

4

195

48,7

16

4

5

52,2 - 61,4

2

115,2

57,6

7,2

3,6


Итого в целом по сов-ти

30

1040,8

34,7

156

5,22


Данные таблицы показывают, что с ростом затрат на производство и реализацию продукции, осуществляемые предприятиями средние затраты, прибыль от продаж уменьшается. Следовательно, между исследуемыми признаками существует обратная корреляционная зависимость.

Вычислим эмпирические показатели для признака «прибыль от продаж».

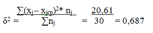
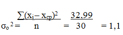
) Общая дисперсия:


) Межгрупповая дисперсия:


) Коэффициент детерминации:


Он показывает, что прибыль от продаж на 62% зависит от затрат на производство и реализацию продукции и на 38% - от других внутриотраслевых причин.

) Эмпирическое корреляционное отношение составляет η = √0,62 = 0,79, что свидетельствует о существенном влиянии на дифференциацию прибыли от продаж отраслевых особенностей.

. Корреляционная таблица.

Сначала построим интервальный ряд распределения предприятий по признаку прибыль от продаж (табл.4).

Таблица 4. Распределение предприятий по величине прибыли от продаж.

№ п/п

Группы предприятий по прибыли от продаж, млн.руб.

Число предприятий



В абсолютном выражении, ед.

В относительных единицах, %

1

3,5-4,34

7

23,3

2

4,34-5,18

7

23,3

3

5,18-6,02

10

33,3

4

6,02-6,86

4

13,4

5

6,86-7,7

2

6,7


Итого

30

100,0


Построим корреляционную таблицу, образовав пять групп по факторному и результативному признакам (табл. 5).

Таблица 5. Распределение предприятий по величине затрат на производство и реализацию продукции и прибыли от продаж.

Затраты на производство и реализацию продукции, млн.руб.

Прибыль от продаж, млн.руб.


3,5 - 4,34

4,34 - 5,18

5,18 - 6,02

6,02 - 6,86

6,86 - 7,7

Итого

15,4 - 24,6



3


2

5

24,6 - 33,8


3

6

3


12

33,8 - 43,0

2

3

1

1


7

43,0 - 52,2

3

1




4

52,2 - 61,4

2





2

Итого

7

7

10

4

2

30

Как видно из данных таблицы распределение числа предприятий произошло вдоль диагонали, проведённой из левого нижнего угла в правый верхний угол таблицы, то есть уменьшение признака «затраты на производство и реализацию продукции» сопровождалось увеличением признака «прибыль от продаж». Характер концентрации частот по диагонали корреляционной таблицы свидетельствует о наличии обратной тесной корреляционной связи между изучаемыми признаками.

С вероятностью 0,954 определить:

      Ошибку выборки средней суммы затрат на производство и реализацию продукции и границы, в которых она будет находиться в генеральной совокупности.

1) Ошибка выборки средней суммы затрат на производство и реализацию продукции

Δх = t * √σ2 / n * (1 - n / N) ; n / N = 0,1, так как выборка 10%-ая

Δх = 2 * √105,42 / 30 * (1 - 0,1) = 3,557

) Границы, в которых будет находиться средняя сумма затрат на производство и реализацию продукции в генеральной совокупности

x - Δх ≤ x ≤ x + Δх

,41 - 3,557 ≤ x ≤ 34,41 + 3,557

,857 ≤ x ≤ 37,970

) Ошибку выборки доли предприятий с затратами на производство и реализацию продукции 43 млн. руб. и более предприятий с затратами на производство и реализацию продукции 43 млн. руб. и более - 6

ω = 6/30 = 0,2

Δω = t √(ω * (1 - ω) / n * (1 - n/N))

Δω = 2 √0,2 * 0,8 * 0,9 / 30 = 0,1386 или 13,86%

) границы, в которых будет находиться генеральная доля.

ω - Δω ≤ р ≤ ω + Δω

- 13,86 ≤ р ≤ 20 + 13,86

,14 ≤ 20 ≤ 33,86

С вероятностью 0,954 ошибка выборки средней суммы затрат на производство и реализацию продукции составит 3,3661 млн. руб. Средние затраты на производство и реализацию продукции в генеральной совокупности находятся в интервале от 30,7439 млн. руб. до 37,4761 млн. руб.

Ошибка доли выборки предприятий с затратами на производство 43 млн. и более составит 13,86%, доля предприятий с затратами на производство 43 млн. руб. и более будет находиться в пределах от 6,14 до 33,86

. Определим уровень производства прибыли на одного работника в отраслях экономики в базисном и отчётном периодах.

. Отраслевая структура численности работников малого бизнеса в каждом периоде (табл.7). В виде расчётных формул таблица 7.1., приложение2. Для отображения отраслевой структуры используем относительный показатель структуры, который представляет собой отношение части единиц совокупности (fi) ко всему объёму совокупности (∑fi):

d = (fi / ∑fi ) * 100% ,

где d - удельный вес частей совокупности.

В данном примере относительные показатели структуры равны:

dо = То/∑То *100% - в базисном периоде.

d1 = Т1/∑Т1 * 100% - в отчётном периоде.

Таблица 7. Отраслевая структура численности работников малого бизнеса в каждом периоде.


Данные таблицы свидетельствуют о том, что удельный вес численности работников в строительной отрасли в отчётном периоде вырос по сравнению с базисным периодом, а удельный вес численности работников в розничной торговле и транспортной отрасли в отчётном периоде уменьшился по сравнению с базисным.

. Общие индексы динамики прибыли в расчёте на одного работника по трём отраслям в целом. Построим систему индексов в агрегатной форме с использованием относительных показателей структуры (удельных весов).

Систему взаимосвязанных индексов можно записать в виде:

Пр1 ∑d1Про Пр1

Про = Про * ∑d1Про или

Таблица 8.


,078 = 0,998 * 1,081

Вывод: если бы происшедшие изменения прибыли не сопровождались структурным перераспределениями в численности работников, то средняя прибыль в расчёте на одного работника по трём отраслям уменьшилась бы на 0,2%. Изменение структуры численности работников отдельных отраслей в общем объёме численности вызвало увеличение прибыли на 8,1%. Одновременное воздействие двух факторов увеличило среднюю прибыль на одного работника по трём отраслям на 7,8%.

. 1) Абсолютное изменение суммы прибыли в расчёте на одного работника вследствие изменения прибыли по каждой отрасли:

Δр = ∑d1Про - Про = 0,05 - 0,051 = -0,001 млн.руб.

За счёт изменения прибыли в расчёте на одного работника по каждой отрасли общая сумма прибыли в расчёте на одного работника уменьшилась на 100 тыс.руб.

) Абсолютное изменение суммы прибыли в расчёте на одного работника вследствие структурных изменений в численности работников:

Δр = Пр1 - ∑d1Про = 0,055 - 0,05 = 0,005 млн.руб.

За счёт структурных изменений в численности работников общая сумма прибыли на одного работника возросла на 5000 тыс.руб.

Заключение

В условиях рыночной экономики, когда развитие предприятий и организаций осуществляется в основном за счет собственных средств, важное значение имеет устойчивое финансовое состояние, которое характеризуется системой показателей. Основными из них являются прибыль и рентабельность.

Ключевым показателем финансового состояния предприятия, характеризующим конечные результаты торгово-производственного процесса, является прибыль в форме денежных накоплений, представляющих собой разность между доходами от деятельности предприятия и расходами на ее осуществление. Прибыль - один из основных источников доходов бюджета, основная цель предпринимательской деятельности.

Рентабельность позволяет в общем виде охарактеризовать прибыльность работы организаций. Этот показатель представляет собой результат действия различных экономических процессов.

Анализируя показатели прибыли и рентабельности, статистика дает не только общую оценку их размера, но и характеризует их изменение под влиянием отдельных факторов. Факторный анализ позволяет учесть влияние различных факторов на финансовые результаты деятельности предприятий. Такая оценка деятельности фирмы дает возможность делать прогнозы на дальнейшую перспективу развития, а также влиять на те факторы, которые снижают показатели прибыли и рентабельности.

Квалифицированный экономист, финансист, бухгалтер, аудитор и другие специалисты экономического профиля должны хорошо владеть современными методами статистических исследований. Исследование финансовых результатов необходим каждому, кто участвует в принятии решений или дает рекомендации по их принятию или испытывает на себе их последствия.

Список использованной литературы

1. Гусаров В. М. Теория статистики: Учебн. Пособие для вузов. - М.: Аудит, ЮНИТИ, 2008. - 247с.

. Неганова Л.М. Статистика: Учебное пособие для вузов. - М.: Издательство «Экзамен», 2012. - 224 с.

. Переяслова И.Г., Колбачев Е.Б., Переяслова О.Г. статистика для студентов вузов. Серия «Шпаргалки». - Ростов н/Д: «Феникс», 2014. - 224с.

. Практикум по статистике: Учеб. пособие для вузов / Под ред. В.М. Симчеры / ВЗФЭИ. - М.: ЗАО «Финстатинформ», 2009. - 259 с.

. Теория статистики: Учебник / Под ред. Проф. Р.А. Шмойловой. - М.: Финансы и статистика, 2006. - 464с.:ил.

. Теслюк И.Е. Статистика финансов. - Минск: Вышэйш. шк., 1994.

. Финансово-экономический словарь / Под ред. М.Г. Назарова. - М.: Статинформ, 2005.

. Экономическая статистика: Учебник / Под ред. Ю.Н. Иванова. - М.: ИНФРА-М, 2010 - 480с.

Похожие работы на - Статистические методы анализа финансовых результатов деятельности предприятий

 

Не нашли материал для своей работы?
Поможем написать уникальную работу
Без плагиата!
Без нейросетей!