Деловые коммуникации между руководителем и подчиненным

  • Вид работы:
    Контрольная работа
  • Предмет:
    Менеджмент
  • Язык:
    Русский
    ,
    Формат файла:
    MS Word
    176,2 Кб
  • Опубликовано:
    2015-12-01
Вы можете узнать стоимость помощи в написании студенческой работы.
Помощь в написании работы, которую точно примут!

Деловые коммуникации между руководителем и подчиненным

Введение


Проблема взаимоотношений руководителей и подчиненных весьма актуальна для большинства компаний. Характер установившихся взаимоотношений зависит от эффективности управления компанией, стиля руководства, авторитета руководителя, социально-психологического климата в коллективе.

Быть руководителем - это профессия из тех, что называют комплексными, потому что она требует от человека владения столь многими и столь разными навыками. Он должен знать, пусть немного, но обо всем - от секретов маркетинга до хитростей финансовой науки, от методов организации современных производств до тайников человеческой психологии. Однако именно та сфера деятельности руководителя, которая связана с его взаимоотношениями с подчиненными, занимает ключевую позицию с точки зрения успешности работы руководителя в целом. Сколь бы ни был талантлив и трудолюбив начальник, но, если его усилия не поддерживаются подчиненными - итог деятельности подразделения в целом вряд ли будет особенно успешным. Именно от успешности решения задачи - увидеть в подчиненном человека - зависит работа коллектива.

Заметим, что одного только умения адекватно воспринимать и оценивать другого человека для нормального развития последующих отношений явно недостаточно.

Быстро приобретает и укрепляет свой авторитет тот, кому удается найти правильный стиль общения с подчиненными.

В настоящее время наблюдается активизация исследовательских усилий в сфере психолого-управленческой проблематики.

Цель работы - рассмотреть специфику деловых коммуникаций между руководителем и подчиненным, их влияние на эффективность деятельности предприятия.

1. Деловые коммуникации между руководителем и подчиненным, их влияние на эффективность деятельности предприятия


Руководитель-профессионал отличается, прежде всего, способностью выбора и адекватности соответствующим внешним и внутренним бизнес-факторам:

¾      структура организации;

¾      стили руководства;

¾      уровни руководства.

Структура организации и стиль руководства эффективны в случае соответствия их специализации, этапу развития и актуальным задачам фирмы. С проблемой необходимости структурирования организации руководитель неизбежно столкнется в процессе ее производственного функционирования. В специальной литературе, как правило, рассматриваются три основных вида структуры организации, наиболее характерные по коммуникативно-управленческим связям:

¾      иерархическая (линейная);

¾      дивизионная (функциональная);

¾      матричная (линейно-функциональная).

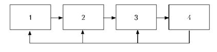
Иерархическая структура при передаче управленческих сигналов характеризуется преобладанием субординационных линейных связей от вышестоящего звена управления к нижестоящему. В максимально положительном варианте ее восприятия будет создавать у сотрудников ощущение патриархальной семьи, где вся ответственность лежит на человеке, ее возглавляющем. В отрицательном варианте эта же структура будет выглядеть, как жесткий механизм, низводящий живых людей до положения неодушевленных и безличных средств производства. Как правило, подобная структура применяется в организациях, где в силу производственной необходимости исключительное значение имеет единоначалие и соблюдение сотрудниками общей и трудовой дисциплины (организации производства различного вида товаров, строительства, транспорт и энергетика, охранные структуры и т.д.). Графически это изображено на рис. 1.

Как видно из представленной схемы, в такой организационной структуре все или почти все производственные вопросы решаются через привлечение вышестоящего звена нижестоящим, при этом, практически не взаимодействуя друг с другом на одном уровне управления.

Рисунок 1. Иерархическая структура организации

Дивизионная (функциональная) структура характеризуется преобладанием горизонтальных управленческих связей, по которым происходит взаимодействие между руководителями или подчиненными одного уровня. В позитивном варианте восприятие такой структуры будет создавать у персонала компании чувство единения общими целями и задачами, общей ответственностью за конечный результат труда, коллективистский подход в решении производственных проблем. В негативном варианте данная структура может способствовать развитию личной безответственности, стремлению переложить свои функции на плечи другого, самоустраниться, не раскрывая при этом свой потенциал в полной мере. Доминирование дивизионной структуры в системе управления наиболее наглядно отражено в организациях (а лучше сказать, в учреждениях и группах), где конечным результатом деятельности является какой-либо продукт творческого процесса (общественные организации, благотворительные фонды и акции, социально-политические движения, мероприятия и т.д.). В графическом исполнении такая структура представлена на рис. 2.

Из представленной схемы вытекает, что для принятия какого-либо решения каждое звено цепи структуры имеет одинаковое значение и равную статусность. Эти решения характеризуются условием коллегиальности. При выпадении одного из звеньев конечный продукт все равно будет представлен и создан, хотя, возможно, он будет отличаться незначительным качественным показателем.

Рисунок 2. Дивизионная (функциональная) структура организации

Матричная (линейно-функциональная) структура характеризуется наличием хорошо и сбалансировано функционирующих как линейных (вертикальных), так и функциональных (горизонтальных) управленческо-коммуникативных связей между отдельными руководителями, структурными подразделениями и исполняющим звеном организации. В статичном состоянии такая система напоминает соты пчелиного улья, но во временном факторе, из-за высокой мобильности взаимообразных коммуникационных связей, эта система может видоизменяться в зависимости от поставленной той или иной производственной задачи, технологического процесса и, соответственно этому, могут образовываться рабочие группы, как мозаика в детском калейдоскопе. От руководителя такой компании потребуется максимальное внимание, самодисциплина и высокие трудозатраты для координации успешного функционирования организации в целом. Зато и результаты будут замечательными. Матричная структура будет восприниматься персоналом в одном как улей, где каждый занят своим делом, а в другом - как хаос, где нет, не было и не будет порядка. Графически такую структуру можно видеть на рис. 3.

На схеме видно, что линейные связи носят управляющий характер преимущественно односторонней направленности, а горизонтальные функциональные связи выполняют в основном коммуникативные задачи взаимодействия звеньев производственной цепи.

Кроме представленных выше основных структур управленческих связей, было бы целесообразно упомянуть еще об одном виде, который заслуживает внимания. Эту структуру определяют как "штабную". Ее применение эффективно и наиболее целесообразно на начальном этапе создания организации, когда существует команда единомышленников.

Рисунок 3. Матричная (линейно-функциональная) структура организации

Стиль управления в этом случае, безусловно, лидерский. Существует единоначалие, но подготовка решения и разработка основополагающих стратегических задач происходит путем коллегиального творческого процесса. Управленческие вопросы решаются не по типовым схемам администрирования, а путем согласования и коллективного принятия решений. Несмотря на недолговечность, из-за своей значимости этот период в жизни организации должен быть выделен и отражен в таких нормативных актах предприятия, как "Положение о структурных подразделениях", "Должностные инструкции руководящего состава организации", "Устав" и т.д. (рис. 4).

С течением времени, когда организация приобретает устойчивость на рынке, стабилизируются производственные процессы, необходимость в такой системе отпадает и тогда возникает потребность в переходе к линейно-функциональной системе управленческих связей. На практике это влечет за собой пересмотр основополагающих положений нормативных документов и актов организации (устав, штатное расписание, инструкции, положения и др.), что делать совершенно необходимо. Этот болезненный процесс роста организации неизбежен, и поэтому относиться к нему следует соответственно.

Рисунок 4. Штабная структура организации

Справедливости ради нужно иметь в виду, что в чистом виде, изолированно друг от друга, данные структуры встречаются редко. Чаще можно видеть их различные комбинации, которые, динамично развиваясь, переходят одна в другую с течением времени в зависимости от той или иной производственной задачи, которая ставится перед организацией различными изменяющимися внутренними и внешними факторами. В то же время следует отметить, что в нашей стране в большинстве случаев традиционно используются структуры коммуникативно-управленческих связей с явным доминированием признаков линейности и иерархичности. Наследие ли это социалистического способа производства или более ранних отечественных традиций, условностей и законов в области организации трудового процесса, не является предметом для обсуждения в пределах данной книги. Факт остается фактом. И поэтому структурную схему организации и уровней руководства мы рассмотрим, исходя из данного наблюдения. В графическом виде это изображено на рис. 5.

Следуя логике представленной схемы, становится ясно, что каждому звену управления соответствуют свои цели, задачи, планы, обязанности и права. Соответственно, и мотивы в осуществлении своей трудовой функции у представителей разных уровней структуры организации различны. Поэтому и мотивация персонала должна отличаться одна от другой. Она не может быть универсальной и единой для всех, кроме наличия общей направленности к единой цели. Игнорирование, смешение или подмена этих внутрикорпоративных факторов может привести к нарушению коммуникативно-управленческих связей, дисгармонии производственного процесса, нестабильности и анархии в организации, увеличению числа стрессовых и конфликтных ситуаций и, как следствие, вообще к прекращению функционирования предприятия.

Рисунок 5. Структурная схема руководящего состава организации

2. Исследование коммуникаций между руководителем и подчиненным


В целях эксперимента нами были обследованы 3 организации, которые занимаются торговой деятельностью: ООО «Промкомплект Пермь» - 11 человек, из них 1 руководитель; ООО «Экотекс» - 11 человек, из них 1 руководитель; ООО «Снабженец» - 11 человек, из них 1 руководитель; всего 33 человека.

Исследование проходило в ходе естественного эксперимента.

Все методики использовались с согласия работников, учитывалось их желание участвовать в исследовании.

При подборе методик для диагностики изучаемых явлений мы руководствовались содержанием целей и задач исследования, и, в результате были отобраны следующие методики.

Для руководителя:

. Методика «Какой вы руководитель?»

Психологическое содержание общей способности управленческой деятельности непосредственно связано с признаками руководителя, к которым можно отнести следующие:

¾      умение отличать главное от второстепенного;

¾      умение сконцентрировать силы на решающем направлении;

¾      личная воля, ответственность и требовательность;

¾      владение моделированием и оптимальная мобильность в выборе продуктивного варианта действий;

¾      рациональная технологичность в управлении;

¾      умение выйти за рамки непродуктивных стереотипов-блокираторов и др.

Компетентный и опытный руководитель не будет подменять свой персонал, но всегда окажет помощь своему сотруднику в нестандартных ситуациях. Предъявляя высокую требовательность к ним, руководитель оперативно осуществляет функциональный маневр кадрами.

Данные и другие аспекты управленческой деятельности руководителя заложены и использованы в содержании текста. Он апробирован, проверен на валидность и пригоден для проведения самооценки руководителями основных управленческих способностей.

. Методика «Каков ваш стиль поведения в конфликтной ситуации» (К. Томаса) (адаптация Н. В. Гришиной).

Опросник помогает выявить типичные для данной личности способы регулирования конфликтов: соревнование, приспособление, компромисс, сотрудничество, избегание.

Для подчиненных:

. Методика оценки психологической атмосферы в коллективе А. Ф. Фидпера.

Методика используется для оценки психологической атмосферы в коллективе. В основе лежит метод семантического дифференциала. Ответ по каждому из 10 пунктов шкалы оценивается слева направо от 1 до 8 баллов. Чем левее расположен знак *, тем ниже балл, тем благоприятнее психологическая атмосфера в коллективе, по мнению отвечающего. Итоговый показатель колеблется от 10 (наиболее положительная оценка) до 80 (наиболее отрицательная). Чем выше суммарный балл, тем лучше атмосфера в группе.

На основании индивидуальных профилей создается средний профиль, который и характеризует психологическую атмосферу в коллективе. Методика интересна тем, что допускает анонимное обследование, а это повышает ее надежность.

. Методика «Какой вы руководитель?»

Таблица 1 Количественные показатели самооценки руководителями основных управленческих способностей.

Наименование организации

Количество баллов

ООО «Промкомплект Пермь»

11

ООО «Экотекс»

18

ООО «Снабженец»

5


Руководитель ООО «Промкомкомплект Пермь» относится к типу руководителя - организатора. Умеет сконцентрировать силы на наиболее важных проблемах: эффективный подбор и расстановка кадров, разработка согласование оптимального (реально выполняемого) задания, проблемы материально технического снабжения. Руководитель не идет на поводу у текущих дел, отделяет главное от второстепенного, умеет, во что бы то ни стало добиваться решения принципиальных проблем, не останавливается перед взысканиями.

Руководитель ООО «Экотекс» может вывести из прорыва подразделение, но ему трудно работать в «текучке». Руководитель ищет острые ситуации, стремится к перестройкам и преобразованиям, ориентирован на деловую карьеру. Обладая необходимыми управленческими способностями, не всегда успешно адаптируется, так как данному руководителю мешает излишняя категоричность в оценках и суждениях, а также, возможно, излишняя резкость в отношениях с подчиненными.

Руководителя ООО «Экотекс» скорее можно отнести к специалисту, нежели к руководителю, так как его управленческие способности развиты в недостаточной степени как руководителя.

По результатам методики «Какой вы руководитель?» можно сделать вывод, что управленческие качества наиболее развиты у руководителей ООО «Промкомплект Пермь» и ООО «Экотекс».


Таблица 2. Количественные показатели стиля поведения руководителей организаций в конфликтной ситуации.

Наименование организаций

Соперничество

Сотрудничество

Компромисс

Избегание

Приспособление

ООО «Промкомплект Пермь»

6

8

6

8

2

ООО «Экотекс»

11

5

5

5

4

ООО «Снабженец»

4

5

7

7

7


Таким образом, можно отметить, что для руководителя ООО «Промкомплект Пермь» свойственно стремление к избеганию конфликта, а в случае возникновения конфликта он стремится к сотрудничеству, реже прибегает к компромиссу и соперничеству. В конфликтной ситуации для данного руководителя не свойственно приспособление.

Руководитель ООО «Экотекс» в конфликтной ситуации чаще всего стремится к соперничеству. Такие стили поведения, как сотрудничество и компромисс свойственны в меньшей степени. Можно выделить, что приспособление в конфликтной ситуации руководитель практически не использует.

Руководитель ООО «Снабженец» в конфликтной ситуации чаще всего прибегает к компромиссу, избеганию и приспособлению. Реже использует сотрудничество и соперничество.

В результате можно сделать вывод, что наиболее конструктивные стили поведения в конфликтной ситуации характерны для руководителя ООО «Промкомплект Пермь». Деструктивные стили поведения в конфликтной ситуации свойственны для руководителей ООО «Экотекс» и ООО «Снабженец».

. Методика «Атмосфера в коллективе».

Таблица 3. Количественные результаты уровня психологической атмосферы в коллективе (чел.)

Наименование организаций

Низкий уровень

Средний уровень

Высокий уровень

ООО «Промкомплект Пермь»

0

1

10

ООО «Экотекс»

2

8

1

ООО «Снабженец»

2

9

0


Для организации ООО «Промкомплект Пермь» характерна высокая оценка уровня психологической атмосферы в коллективе. Большинство сотрудников определяет атмосферу как благоприятную.

Большинство сотрудников организации ООО «Экотекс» и ООО «Снабженец» считают, что атмосфера в их коллективах не совсем благоприятная (в оценках доминирует средний уровень). Но стоит отметить, что в данных организациях присутствуют низкие оценки уровня психологической атмосферы в коллективе; а в ООО «Экотекс» 1 человек выделяет высокий уровень атмосферы в коллективе (оценка руководителя).

Таким образом, в коллективе ООО «Промкомплект Пермь» большинство человек стремятся к благоприятной атмосфере в группе: к дружелюбию, согласию, удовлетворенности, продуктивности, к теплоте, сотрудничеству, взаимоподдержке, увлеченности, занимательности и успешности. Низкий уровень психологической атмосферы в коллективе никто не выделил.

Заключение


Таким образом, в исследуемых организациях выявились руководители с различными стилями управления: ООО «Промкомплект Пермь» - демократический, ООО «Экотекс» - авторитарный, ООО «Снабженец» - попустительский.

Управленческие способности наиболее развиты у руководителя ООО «Промкомплект Пермь». У этого руководителя наблюдается конструктивные стили поведения в конфликтной ситуации. В организации ООО «Промкомплект Пермь» выявилась благоприятная психологическая атмосфера в коллективе.

Управленческие способности руководителя ООО «Экотекс» также развиты, но для данного руководителя характерен авторитарный стиль управления. В тоже время руководителю свойственно соперничество в конфликтной ситуации. В данной организации наблюдается средний уровень психологической атмосферы в коллективе, что может говорить о недостаточно благоприятной ситуации.

Управленческие способности руководителя ООО «Снабженец» развиты в меньшей степени, чем у остальных руководителей в исследованных организациях. В конфликтной ситуации стиль поведения руководителя ООО «Снабженец» можно охарактеризовать как недостаточно конструктивный. В данной организации наблюдается средний уровень психологической атмосферы в коллективе, что может говорить о недостаточно благоприятной ситуации.

деловой коммуникация руководитель подчиненный

Список использованной литературы


1.      Анцупов А.Я., Шипилов А.И. Конфликтология: Учебник для вузов. - М., 2014.

.        Вагин И., Киршева Н. Переговоры: выиграй каждый раунд. - СПб., 2012.

.        Доценко Е.Л. Психология манипуляции. - М., 2012.

.        Козлов В.В., Козлов А.А. Управление конфликтом. - М., 2013.

.        Конфликтология / Под ред. В.П. Ратникова. - М., 2015.

.        Самоукина Н.В. Психология профессиональной деятельности. - СПб., 2014.

Похожие работы на - Деловые коммуникации между руководителем и подчиненным

 

Не нашли материал для своей работы?
Поможем написать уникальную работу
Без плагиата!
Без нейросетей!