Совершенствование технологического процесса работы пассажирской станции
ВВЕДЕНИЕ
Пассажирские станции предназначены для
обслуживания пассажиров, выполнения технических операций по организации
движения пассажирских поездов и подготовке составов в рейс.
По своему назначению пассажирские станции
делятся на два вида:
пассажирские, и пассажирские технические. На
первых выполняются операции по обслуживанию пассажиров, на вторых операции по
подготовке пассажирских составов. По характеру работы пассажирские станции
бывают специализированные, объединенные для пассажирского и грузового движения
и зонные. По характеру эксплуатационной работы станции бывают
транзитноконечные, обслуживающие транзитные и конечные пассажирские поезда, и
конечные, на которых начинается и заканчивается движение поездов.
На пассажирских технических станциях осуществляют
технический осмотр, очистку, обмывку, переформирование, ремонт и экипировку
пассажирских составов, для выполнения этих операций проектируется путевое
развитие, вагономоечные машины, ремонтно-экипировочные депо (РЭД), пункты
технического обслуживания вагонов, конторы по обслуживанию пассажиров (КОП),
устройства СЦБ, связи, энергоснабжения и др.
Путевое развитие технических станций состоит из
путей приема (грубой очистки), наружной обмывки составов,
ремонтно-экипировочных, отстоя и отправления готовых составов, стоянки
пригородных составов, а также вытяжных, ходовых путей, путей стоянки резервных
и неисправных вагонов, выгрузочных у складов топлива, а также путей для стоянки
почтовых, багажных вагонов и вагонов-ресторанов. На территории технической станции
в ряде случаев размещается и локомотивное депо. [1]
На путях парка приема осуществляют сдачу белья
из вагонов, сухую уборку состава, уборку мусора и технический осмотр ходовых
частей, ударно-тяговых приборов, автотормозного оборудования, электрооборудования
и внутреннего оборудования, а также переформирование составов, на путях
моечного цеха - наружную обмывку вагонов (прохождение состава через
вагономоечную машину).На путях РЭД выполняют технический осмотр и ремонт
ходовых частей, ударно-тяговых приборов, автотормозного оборудования,
электрооборудования, внутреннего оборудования, холодильных установок и зарядку
аккумуляторных батарей, внутреннюю влажную уборку вагонов, снабжают состав
водой и бельем. В парке отправления осуществляют снабжение вагонов углем,
приемку вагонов проводниками состава, начальником поезда и постоянно
действующей комиссией. При осмотре члены комиссии проверяют техническое и
санитарное состояние вагонов, обеспеченность их водой, топливом, необходимыми
противопожарными и постельными принадлежностями, инвентарем, качество их и
сохранность, условия хранения чайной продукции, наличие и состояние санитарных
книжек у проводников, а также форменной одежды.
Все обнаруженные комиссией недостатки устраняют
до подачи состава под посадку пассажиров.
Основной принцип размещения вагономоечных машин
обеспечение поточности обработки составов. На многопарковых станциях моечные
машины целесообразно располагать после парка приема.
Ремонтно-экипировочные устройства подразделяют
на крытые, сооружаемые на станциях в северных и центральных районах, и
открытые, размещаемые на южных дорогах, где экипировочные работы в течение
всего года выполняются на открытом воздухе.
При открытых ремонтно-экипировочных устройствах
предусматриваются соответствующие производственные здания.
Ремонтно-экипировочное депо с крытыми стойлами состоит из стойловой части и
производственных мастерских со служебно-бытовыми помещениями. При сооружении
новых зданий РЭД в них, как правило, следует предусматривать кладовые, базы
вагонов-ресторанов и помещения дезинфекции постельных принадлежностей и
съемного оборудования.
Технологический процесс работы в пассажирской
станции разрабатывается с учетом поточности и параллельности выполнения
операций по обработке поездов и вагонов и лучшего использования технических
средств станции. В нем содержатся: производственно-техническая характеристика
станции; специализация парков, путей и платформ; технология работы с составами
и вагонами, нормы времени на выполнения операций; порядок планирования и руководства
работой; технические нормы и показатели.[2]
Повышение качества обслуживания пассажиров
является одной из ключевых задач железнодорожного транспорта, определяющих его
конкурентоспособность на рынке пассажирских перевозок,поэтому тема моей
дипломной работы «Совершенствование технологического процесса работы
пассажирской станции» будет всегда актуальной.
Целью моей работы является усовершенствовать
работу пассажирской станции, а в частности технологию работы вокзала.
Для достижения данной цели мной были поставлены
следующие задачи:
организация обслуживания пассажиров в
соответствии с международными стандартами
организация сервиса в вопросах продажи билетов
внедрение системы платежных терминалов ОСМП-2М
экономическое обоснование эффективности
внедрения системы платежных терминалов
пассажирский
станция платежный
1 ТЕОРЕТИЧЕСКАЯ ЧАСТЬ
.1 Новая техника и технологии в АО «НК «КТЖ»
Повышение качества обслуживания пассажиров
является одной из ключевых задач железнодорожного транспорта, определяющих его
конкурентоспособность на рынке пассажирских перевозок.
Железнодорожники сегодня работают над внедрением
современных микропроцессорных систем, цифровых линий связи, средств диагностики
и других инноваций, направленных на совершенствование организации обслуживания
средств автоматики, телемеханики и связи.
На данный момент используемые в хозяйстве
системы 60-70-х годов выполнены в релейном исполнении, они очень
материалоемкие, энергоемкие и трудоемкие. В соответствии с поручением Главы
государства для снижения этих затрат и увеличения производительности труда мы
работаем над внедрением новой техники и технологий. Наша цель - это
совершенствование организации обслуживания средств автоматики, телемеханики и
связи за счет внедрения информационных и микропроцессорных систем, то есть
переход от регулярных ремонтно-восстановительных работ к ремонту по состоянию.
В качестве примера возьмём электроприводы.
Функционирующие сегодня требуют периодического обслуживания один раз в неделю,
вне зависимости от того, есть отказы в их работе или нет, а стрелочные
электроприводы нового поколения, те, что будут внедрены в перспективе, являются
необслуживаемыми, то есть обслуживаются по состоянию, что очень удобно.
Также в хозяйстве ведется замена воздушных линий
связи (ВЛС) на оптико-волоконную линию связи и беспроводную связь. По словам
главного инженера ЦШ, существующие телекоммуникационные сети в основном
являются аналоговыми и по своим техническим, технологическим и скоростным
возможностям не могут удовлетворить возрастающие потребности железнодорожного
транспорта. В этой связи, согласно стратегическому плану до 2015 года,
запланирован полный переход на цифровые системы связи. Преимущества связи
нового поколения очевидны: это широкая полоса пропускания, неподверженность
электромагнитным помехам, отсутствие взаимного влияния между отдельными
оптическими волокнами в кабеле, а также небольшие массы и габаритные размеры.
От внедрения этих и других инновационных
проектов в хозяйстве сигнализации и связи к 2020 году ожидают роста производительности
труда на 150 процентов, сокращения эксплуатационных расходов на 10-20
процентов, повышения скорости движения поездов до 200 км в час и в целом
увеличения надежности работы технических средств и экономии электроэнергии.
Сберечь ресурсы - сократить затраты.Пожалуй, так
- кратко и несложно - можно обозначить главную цель энергосберегающих
технологий, внедряемых или планируемых к внед-рению в АО «НК «Қазақстан
темiр жолы». В их числе установка светодиодных ламп, солнечных коллекторов,
тепловых насосов, использующих низкопотенциальные источники энергии - грунтовые
воды и тепло земли, и другие инновации. Внедрение светодиодных модулей для
системы сигнализации и связи также даст положительные результаты. К примеру,
потребление электро-энергии на мачтовых светофорах снизится до 20 процентов, на
карликовых светофорах - до 50 процентов. На данный момент произведена замена
200 светофорных ламп на светодиодные модули на участке Кокшетау - Алматы, до
конца этого года планируется установить еще 200. По подсчетам, ожидаемая
экономия только по обслуживанию составит более 1 млн тенге в год.
В сфере восстановительных и пожарных работ
ведется модернизация и обновление техники. Так, намечается замена существующих
кранов типа ЕДК на краны марки KRS. Преимуществ у этих кранов несколько.
Во-первых, сокращение времени расстановки и приведение крана в транспортное
положение на 1 час 30 минут, во-вторых, это отсутствие необходимости в
демонтаже контактной сети, возможность работы крана под контактной сетью,
в-третьих, наличие на кране KRS-1200 телескопической стрелы дает возможность
пропуска поездов по соседнему пути и др. Кроме того, средства автоматики кранов
нового поколения улучшают условия труда машинистов и помощников, способствуют
повышению техники безопасности при проведении восстановительных работ. [3]
Что касается пожарных поездов, то сегодня мы
вооружены пожарными поездами только на железнодорожном ходу и автомашинами еще
советского производства. В перспективе планируется закуп современной пожарной
техники на самоходном и комбинированном ходу. Данные машины дадут возможность в
оперативно кратчайшее время отправляться с мест дислокации в район ЧС и
подъезжать к железнодорожному полотну в любой местности. А новые технические
средства, например, осветительные установки типа «Световая башня» способствуют
увеличению площади освещения при ликвидации последствий ЧС. Благодаря цифровым
радиоэлектронным системам связи ЭЛОД у восстановительных и пожарных поездов
появится связь с центральным аппаратом и всеми подразделениями с места их
устранения. Все эти новшества, позволят повысить мобильность подразделений и
сократить время прибытия на место происшествия.
Существующий парк магистральных тепловозов (к
примеру, серия 2ТЭ10М спроектирована в конце 70-х годов прошлого века) по своим
конструктивным особенностям не соответствует современным требованиям по расходу
топливно-энергетических ресурсов, вредным выбросам, техническому обслуживанию и
ремонту, скоростным, мощностным и эргономическим характеристикам, - говорит он.
- Тогда как эксплуатация новых тепловозов «Эволюшн» по сравнению с
существующими сериями локомотивов позволяет снизить вредные выбросы в 2,2 раза,
трудоемкость при техническом обслуживании в 15 раз, расход топлива на 17
процентов и, что немаловажно, значительно улучшить условия труда локомотивной
бригады. В настоящее время на железной дороге Казахстана курсируют 20
тепловозов серии ТЭ33А, а до 2020 года будет внедрено 411 единиц. К этому
времени в компании также запланировано приобрести 432 маневровых тепловоза
серии ТЭМ10KZ, позволяющих уменьшить вредные выбросы в 2,2 раза, снизить
трудоемкость при обслуживании в 8 раз и расход топлива на 8 процентов в
сравнении с существующими локомотивами. Кроме того, сегодня из-за отсутствия
специализированных локомотивов пассажирские поезда на электрифицированных
участках водят грузовые электровозы серии ВЛ80, переоборудованные под
пассажирские. Эти локомотивы по своим конструктивным особенностям также не
соответствуют современным требованиям. В этой связи для обеспечения потребности
в перевозках пассажиров в АО «Локомотив» ведется работа по внедрению
пассажирских электровозов серии KZ4(AC). Опять-таки по сравнению с имеющимися
локомотивами они дадут возможность сократить расход электроэнергии до 31
процента и снизить трудоемкость при техническом обслуживании в 3 раза, повысить
скорости в 1,8 раза. На данный момент эксплуатируется 5 таких электровозов, а
до 2017 года будет внедрено 117 единиц.
В путевом хозяйстве в рамках инновационных
проектов ведутся переход на железобетонное основание и бесстыковой путь,
укладка железобетонных шпал и стрелочных переводов на железобетонных брусьях, а
также применение современных видов скрепления.
В числе инновационных решений - применение
высокопроизводительных машин для укладки и реконструкции пути, для укладки
стрелочных переводов, комплекса машин для замены шпал «Жейсмар» и др.,
модернизация РСП, применение упругих скреплений «Фоссло», КПП-5, ЖБР Ш.
По прогнозам внедрение передовой техники и
технологий позволит ликвидировать участки с перепропущенным тоннажем, увеличить
скорость движения пассажирских поездов до 200 километров в час, а грузовых - до
140. Кроме того, благодаря инновациям увеличится пропускная способность,
повысится безопасность движения, произойдет сокращение эксплуатационных
расходов при текущем содержании пути на 15 процентов, а также увеличится срок
службы пути и производительность труда. Все это приблизит казахстанскую
стальную магистраль к требованиям международных стандартов. [3]
Внедрение в 2010-2020 годах комплекса машин
тяжелого типа позволит механизировать сложный труд путейцев при капитальном
ремонте, текущем содержании пути и улучшить условия труда свыше 13 тысяч
монтеров пути. Использование самоходных малогабаритных ремонтных комплексов
даст возможность механизировать ручной труд при ремонте грузовых вагонов и
снизить травмоопасность при выполнении технологических процессов.
За счет внедрения до 2020 года локомотивов
нового поколения «Эволюшн», КZ4(АС) улучшатся условия труда (уменьшение шума,
вибрации) более 4 000 машинистов и помощников.
Обустройство железнодорожной инфраструктуры на
станциях, ограждение мест посадки и высадки пассажиров и другие инновационные
решения будут направлены на предотвращение несчастных случаев с посторонними
гражданами на стальной магистрали.
Для предупреждения ДТП на железнодорожных
переездах эффективным средством станут устройства заграждения переездов (УЗП),
которые уже функционируют на железной дороге и внедрение которых будет
продолжено в дальнейшем.
Передовыми технологиями в природоохранной деятельности,
по словам начальника отдела, являются внедрение пылегазоочистных устройств с
высокой степенью очистки, установок по очистке сточных вод от загрязнения
нефтепродуктами, современных типов подвижного состава, электрификация
железнодорожных участков, а также освоение технологий утилизации
производственных отходов.
Электрификация магистральных железнодорожных
путей с 4,1 до 8,9 тыс. км к 2020 году позволит снизить выбросы вредных веществ
от передвижных источников на 50 процентов.
Применение в локомотивных и вагонных депо
установок по очистке и доочистке сточных вод даст возможность полностью
исключить их загрязнение маслами и нефтепродуктами, красителями, жирами и др.
Неотъемлемой частью стратегии повышения
эффективности и качества работы железной дороги, а также возможностью
творческой самореализации персонала является рационализаторская деятельность.
Рационализаторские предложения в деятельности предприятия являются
разновидностью инноваций.
Сегодня в отрасли начался процесс восстановления
творческой мысли. По поручению президента ҚТЖ в целях возрождения и
дальнейшего развития рационализаторской деятельности, создания благоприятных
условий для новаторов, а также повышения роли и значения рационализаторов в
обеспечении эффективности работы компании разработано и внедрено новое
«Положение о рационализаторской деятельности в ҚТЖ и дочерних
организациях».
Благодаря данному усовершенствованному документу
минимальный размер авторского вознаграждения увеличен с 1 296 тенге до 10 000
тенге, максимальный размер вознаграждения не ограничен. Компания возлагает на
рационализаторов большие надежды в плане получения от рационализаторских
разработок реальной экономии расходов, затрачиваемых на топливно-энергетические
ресурсы, на мероприятия по обеспечению безопасности движения и охраны труда, на
повышение надежности технических средств, на модернизацию оборудования и
экологическую безопасность.
В 2011 году введен комплексный план мероприятий
по научно-технической информации, рационализаторской деятельности и внедрению
передового производственного опыта, который позволит поднять работу по
рационализации на должный уровень и достигнуть показателей рационализаторской
деятельности десятилетней давности уже к 2015 году.
.2 Оперативное регулирование перевозок
Для получения максимального использования
пропускной способности магистральных сетей, повышения уровня безопасности и
скорости движения поездов, а также эффективного использования подвижного
состава в настоящее время внедряются и планируются к внедрению инновационные проекты,
направленные на информатизацию и автоматизацию перевозочного процесса до 2020
года.
Так, с 2011 года планируется внедрить систему
автоматической идентификации подвижного состава (САИПС), с 2008 года на
станциях АО «НК «ҚТЖ» внедряется автоматизированная система оперативного
управления работой железнодорожных станций АСУ СТ, АСУ МР, автоматизируются
рабочие места диспетчерского аппарата с внедрением программы для ЭВМ «Система
введения и анализа графика исполненного движения ГИД «Урал - ВНИИЖТ».
До 2020 года продолжится внедрение
автоматизированной системы коммерческого осмотра поездов и вагонов (АСКОПВ),
которая в 2009 году была введена на станциях Тобол и Астана. До этого времени в
компании намерены внедрить также систему контроля над грузом и целостностью
вагона в движении и создать региональные центры управления перевозками.
В целом, освоение современных технологий
организации, автоматизации и информатизации перевозочного процесса к 2020 году
будет способствовать сокращению контингента, занятого в информационных центрах
станции, в системе органов учета и отчетности, в информационном обслуживании
клиентуры. В части перевозочного процесса внедрение современных
автоматизированных систем должно привести к уменьшению порожнего пробега
вследствие улучшения контроля над вагонным парком, сокращению времени оборота
единиц подвижного состава, улучшению использования локомотива из-за улучшения
оперативного регулирования перевозок. [3]
.3 Развитие систем электроснабжения
Основные недостатки существующей системы электроснабжения
- это металлоемкое, объемное и требующее частого обслуживания оборудование с
высоким коэффициентом потерь электроэнергии и малым сроком эксплуатации, из-за
чего происходят перерывы в движении поездов, ограничивающие пропускную
способность участков. Для улучшения ситуации в этом вопросе в хозяйстве
работают над реализацией программы развития систем электроснабжения, в числе
основных мероприятий внедрение современных технических средств диагностики. К
примеру, тепловизора SAT G-90, позволяющего вести постоянный контроль над
состоянием объектов и своевременно принимать меры по поддержанию их надежности
и работоспособности, перейти к прогрессивной системе определения объема
ремонтных работ по фактическому состоянию оборудования, что позволит уменьшить
непроизводительные расходы при ремонте и содержании. Экономический эффект от
внедрения одного тепловизора составляет 1 326 тыс. тенге. Предусматривается
строительство и внедрение современных тяговых подстанций модульного типа. Они
будут построены с применением современного оборудования - вакуумных
выключателей, релейной защиты на микропроцессорной основе, измерительных
трансформаторов тока и напряжения ведущих зарубежных производителей, отвечающих
государственным нормативным требованиям по санитарной, экологической, пожарной
безопасности, охране труда и надежности электроснабжения. В тяговых подстанциях
нового поколения будут впервые применены кабельные вводы из сшитого
полиэтилена, вся коммутационная аппаратура исполнена в элегазовой среде. От
реализации этих проектов к 2020 году в хозяйстве электроснабжения ожидают
повышения производительности труда на 150 процентов, сокращения
эксплуатационных расходов с 17 409 млн тенге в год до 12 200 млн тенге, а также
повышения надежности работы технических средств и снижения потерь
электроэнергии. [3]
.4 Комфорт для пассажиров
Для комфорта пассажиров представлены основные
направления инновационного развития железнодорожного пассажирского транспорта.
В первую очередь, это обеспечение пассажирского комплекса современным подвижным
составом для развития скоростного пассажирского движения и улучшение
технических и потребительских характеристик подвижного состава. Во-вторых, это
модернизация инфраструктуры вокзального хозяйства с учетом развития
транспортно-логистических центров (ХАБов) и передового международного опыта
обслуживания населения. Ну и, в-третьих, это внедрение инноваций для улучшения
качества обслуживания пассажиров.
Инновационные решения строительства вокзала
заключаются в организации работы железнодорожного пассажирского транспорта с
другими видами транспорта, увеличении пропускной способности вокзалов,
организации обслуживания пассажиров в соответствии с международными стандартами
и предоставлении комплекса таких услуг, как кинотеатр, торговая сеть, гостиница
и т. д. До 2020 года будут освоены передовые технологии в организации сервиса,
вопросах продажи билетов, доступа населения к информационным ресурсам и
развития систем информирования пассажиров на перронах и вокзале. Для реализации
третьего направления по повышению качества предоставляемых услуг в компании
намерены внедрить на внеклассных вокзалах транзакционные терминалы
самообслуживания, перейти от использования бланков к применению электронных
билетов, осуществлять посадку пассажиров на поезда по электронным билетам.
Кроме того, для удобства пассажиров планируется создание автоматизированного
справочно-информационного центра. Многие из этих инновационных решений уже
нашли свое применение на казахстанской стальной магистрали, а о других клиентам
железной дороги только предстоит узнать. Но в целом внедрение этих новшеств
позволит пассажирским перевозкам выйти на качественно новый уровень. [3]
2 ОБЩАЯ ЧАСТЬ
.1 Технико-эксплуатационная характеристика
станции
Станция располагает необходимыми техническими
средствами для производства всех операций, выполняемых на крупных пассажирских
станциях.
Станция имеет 7 приемо-отправочных путей для
приема, отправления и пропуска пассажирских поездов дальнего и местного
сообщений, а также грузовых поездов. Также имеются пути для пропуска
пригородных поездов и для обработки почтово-багажных составов.
Парки станции оборудованы маршрутно-релейной
централизацией стрелок и сигналов (МРЦ). Все стрелки оборудованы электрической
централизацией (ЭЦ).
Для объявлений о прибытии и отправлении поездов,
дачи распоряжений по производству маневровой работы и прочих указаний на
станции имеется громкоговорящая связь.
Для контроля за посадкой и высадкой пассажиров и
их продвижением в пунктах наибольшей концентрации, а также для контроля за
ходом обработки вагонов и составов станция располагает промышленными
телевизионными установками (ПТУ).На всех платформах имеются указатели времени
приема и отправления поездов.
Здание вокзала имеет вестибюль (операционный
зал), где расположены справочное бюро, билетные кассы, камера хранения, почта,
телеграф, телефоны- автоматы и пр. В вокзале имеются также зал ожидания,
рестораны и буфеты, комнаты отдыха для транзитных пассажиров и пассажиров с
детьми.
Билетные кассы оборудованы аппаратурой системы «
Экспресс-2».для приобретения пригородных билетов имеются автоматы. Слева от
здания вокзала расположено отделение перевозки почты и багажный склад.
Для пропуска пассажиров из здания вокзала до
городской площади и багажного склада на платформы и обратно имеются пешеходные
тоннели.
Для визуальных справок имеется система «
Визинформ» и другие устройства для обслуживания пассажиров на высоком уровне.
[4],[5]
Техническая станция предназначена для обработки
всех поездов дальнего и местного сообщений и поездов своего формирования,
оборачивающихся по станции Б.
Для обработки составов техническая станция
имеет: парк вагономоечную машину, пункты технического обслуживания и газовой
обработки вагонов, ремонтно-экипировочное депо (РЭД), прачечную, склад угля,
гараж, парки резервных и неисправных вагонов, парк готовых составов, а также
парк отстоя составов в зимнее время. [2]
Техническая станция оборудована:
установкой для диспетчерского руководства
ремонтом и подготовкой пассажирских составов в рейс;
двухсторонней и односторонней оповестительными
установками для связи пункта технического обслуживания и дежурного по станции с
осмотрщиками вагонов и ремонтно-экипировочными бригадами, работающими на
парковых путях, а также для оповещения работников цехов и участков о времени и номера
пути прибытия отправления пассажирских составов;
воздухопроводом с воздухо-разборными колонками и
устройствами .для централизованного опробования пневматических и
электропневматических тормозов;
асфальтированными дорожками на междупутьях для
транспортных средств;
канализацией и водоотводными устройствами;
водо-разводящей сетью холодной и горячей воды с
необходимым числом водоразборных колонок, паропроводами и колонками для
испытания централизованного парового отопления вагонов международного
сообщения;
электросетью, обеспечивающей достаточное
наружное освещение, а также электроколонками для подсвечивания составов при
внутренней уборке вагонов, для подзарядки аккумуляторных батарей вагонов и
подключение вагонов-ресторанов с холодильными установками, вагонов с
установками кондиционирования воздуха и вагонов с электрическим отоплением;
механизированными средствами транспортировки
запасных частей и материалов;
электросварочными линиями и агрегатами в парке
формирования.
На станции расположены локомотивное и моторвагонное
дело.
.2Аналитический расчет путевого развития станции
Число путей пассажирской станции зависит от
продолжительности стоянки поезда на данной станции; графика движения поездов;
интервала прибытия поездов на станцию; взаимного расположения путей и платформ;
продолжительности занятия поездом отдельных элементов станции и приготовления
маршрутов следования поездов. Путевое развитие перронного парка пассажирской
станции должно обеспечивать беспрепятственный прием пассажирских поездов при
наилучших условиях обслуживания пассажиров.
Время занятия пути определяется по формуле:
Тзп = tпр(под)
+ tст + tуб(от)
[6] (1)
где tпр(под)
- время занятия пути при приеме поезда (tпр(под)д,м
=3мин, tпр(под)тр = 3мин, tпр(под)пр
= 2 мин) при подаче состава под посадку с технической станции;
tст - время
технологической стоянки поездов (tсттр
=15 мин, tстд =30 мин, tст
м =20 мин, tстпр =10 мин);
tуб(от) - время
занятия пути по уборке состава на техническую станцию или при отправлении
поезда (tубд,м =З мин, tубтр
=3 мин, tубпр = 2 мин)
Занятие пути дальними и местными поездами:
Тзп = 3+30+3=36 мин
Занятие пути транзитными поездами:
Тзп = 3+15+3=21 мин
Занятие пути пригородными поездами:
Тзп = 2+10+2=14 мин
Число путей для пригородного движения:

[6] (2)
где 
- время занятия пути операциями по
обработке пригородного поезда (прием, стоянка, отправление) мин;

- минимальный интервал прибытия
пригородных поездов, мин.
Число приемо-отправочных перронных
путей определяется по формуле:

[6] (3)
где 
- число путей для поездов нечетного
направления дальнего и местного следования;

- число путей для четного
направления;

- число путей для пригородного
движения;

- ходовой путь,
=1.
Кроме приемо-отправочных путей,
необходимо выделить пути для отстоя пригородных составов, Их число определяется
по графику оборота составов.
Необходимое число путей в парках
технической станции определяется по интервалу прибытия поездов и времени
занятия пути одним поездом.
Интервал прибытия составов на
техническую станцию определяется:
[6] (4)
где 
- число поездов дальнего и местного
следования(включая поезда своего формирования и по обороту), прибывающих на
станцию за сутки;

-коэффициент неравномерности
прибытия поездов; определяется отношением максимального числа поездов дальнего
и местцого следования, прибывающих за расчетный период сгущенного прибытия, к
среднему их числу за тот же период, 
Число путей в парке приема (грубой
очистки):
[6] (5)
где 
- время занятия пути приемом,
выполнением технологических операций и подачей состава на ВММ, 
= 4О мин;

- интервал прибытия составов на
техническую станцию
Число путей для экипировки:
[6] (6)
где 
- число составов дальних и местных
поездов, поступающих на экипировку за сутки;

- продолжительность занятия пути
технологическими операциями, включая ввод состава на путь и выводе пути (
д,м = 180-220 мин, 
об= 120-130 мин );

- продолжительность работы одной
смены, 
= 7ч;

- число рабочих смен за сутки, 
=2-3.
Число путей на технической станции
для дальних и местных поездов:
[6] (7)
где 
- время нахождения состава на
технической станции от момента приема поезда до до момента отправления (принимается
для дальних поездов своего формирования не менее 600мин, местных поездов своего
формирования 480 мин, для составов, прибывающих по обороту - не менее 480 мин).
Число путей в парке отстоя и
отправления:
[6] (8)
где 
- число путей в парке приема (грубой
очистки);

- число путей для экипировки (РЭД)
Число путей для дальних и местных
поездов:
[6] (9)
где 
- число путей в парке приема
(грубой очистки);

- число путей для экипировки (РЭД);

- число путей для стоянки готовых
составов.
Число путей в моторвагонном депо:
[6] (10)
где 
- число пригородных поездов,
поступающих в депо на экипировку;

- время нахождения пригородного
состава в депо,

=135 мин.
Приписной парк пассажирских вагонов
определяется следующим образом:
[6] (11)
где 
,
- число поездов своего формирования
соответственно дальних и местных;

, 
- число вагонов в составе дальнего и
местного пассажирских.
Дополнительное число путей для
отстоя резерва пассажирских вагонов устанавливают исходя из обеспечения стоянки
на этих путях 10% приписного парка вагонов.
(12)
где 
- длина пассажирского вагона, 
=25м;

- полезная длина путей на
пассажирской станции , м.
На технической станции общее число
путей определяется:
(13)
где 
- число путей для дальних и местных
поездов;

- то же для пригородных поездов;

- то же для стоянки резерва вагонов.
Специализация путей и парков
Основными условиями, которым должна
удовлетворять специализация парков и путей, являются: обеспечение поточности
для поездных и маневровых передвижений, минимальная затрата времени на маневры,
равномерное распределение работы между маневровыми районами, исключение или
сокращение до минимума враждебных маршрутов, обеспечение безопасности движения.
Постоянство обращения пассажирских поездов дает возможность
закрепить парки и пути не только за
определенными видами работы, но и за конкретными номерами поездов на весь
период действия графика.
Характерной особенностью работы
пассажирских станций является регулярное обращение пассажирских поездов по
действующему расписанию и вытекающая из этого строгая цикличность выполняемых
операций. Это предопределяет жесткую специализацию путей и парков, четкую
регламентацию работы маневровых локомотивов и других обустройств, связанных с
обработкой поездов а вагонов. Работа пассажирских станций организуется согласно
технологическому процессу. Он определяет систему обработки поездов и вагонов на
станции, устанавливает нормы времени на отдельные операции и порядок их
выполнения. В виду ежесуточной регулярной повторяемости операций на
пассажирской станции нет необходимости составлять сменные и суточные планы. Работа
пассажирской станции строится па основе твердого суточного плана- графика.
Если на пассажирской станции имеется
один приемо-отправочный парк, то возможен следующий вариант специализации -
закрепление групп путей по видам сообщения (дальнее, местное и пригородное).
Такой вариант специализации дает пассажирам возможность легко ориентироваться
при посадке, создает поточность их движения, а также сокращает операции по
перестановке составов с путей приема на пути отправления.
Кроме того, на пассажирских станциях
должны быть выделены ходовые пути для пропуска поездных и маневровых
локомотивов, отстоя служебных вагонов и вагонов подготовленных для прицепки к
транзитным поездам, а также для багажных и почтовых вагонов.
Для технических станций наиболее
целесообразна следующая специализация парков:
парк приема составов с пассажирской
станции, в котором производится грубая очистка и технический осмотр составов:
парк обмывки вагонов или
вагономоечная машина;
парк экипировки составов или
вагонное ремонтно-экипировочное депо (РЭД);
парк отстоя экипированных составов в
ожидании отправления
парк отправления составов (часто
совмещают с парком отстоя).
Таблица 1
Специализация путей пассажирской
станции
|
Наименование
|
Номер
пути
|
Специализация
|
|
Главные
|
Ι ΙΙ
|
Для
приёма и отправления нечётных транзитных пассажирских и пропуска грузовых
поездов Для приёма и отправления чётных транзитных пассажирских и пропуска
грузовых поездов
|
|
Приемо-отправочные
пути
|
4
5 6 7 8 9,12
|
Для
приёма и отправления четных дальних пассажирских поездов своего формирования
Для приёма и отправления нечётных пассажирских поездов своего формирования
Для приема и отправления четных местных пассажирских поездов своего
формирования Для приема и отправления нечетных местных пассажирских поездов
своего формирования Для приема и отправления четных и нечетных, дальних и
местных поездов по обороту Для приёма нечетных и отправления четных
пригородных поездов
|
|
Путь
отделения перевозки почты и багажного склада
|
23
|
Для
погрузки-выгрузки багажа и почты
|
|
Прочие
пути
|
20
3 21 22 13,14,15,16 22,17,19
|
Для
отстоя почтовых и багажных вагонов Ходовой путь для пропуска поездных и
маневровых локомотивов Локомотивный тупик Для стоянки служебных вагонов Для
отстоя составов пригородных поездов Вытяжные пути
|
|
|
|
|
.3 Технология обработки поездов на пассажирской
станции и подготовка составов в рейс на технической станций
Общим условием при обработке всех прибывающих
поездов является выполнение вспомогательных и подготовительных операций до
прибытия поезда на станцию. Для этого должна быть организована предварительная
информация станции о наличии в поездах свободных мест, количестве отгружаемого
багажа и почты, необходимости ремонта вагонов или производства других операций
с прибывающими поездами. В информации указываются номера вагонов и место
расположения их в составе поезда, характер и объем ремонта. Эту информацию
передает бригадир поезда с одной из станций, где поезд имеет остановку.
Полученную информацию дежурный по станции передает в билетные кассы,
почтово-багажное отделение и ПТО. Багаж и почта, подлежащие отправлению, а
также материалы и запасные части для ремонта заблаговременно подвозятся к
местам остановки почтовых, багажных и требующих ремонта вагонов. [1]
.3.1 Обработка транзитного поезда без смены
локомотива
Обработка транзитного поезда без смены
локомотива производится на тех технических станциях, где поезд имеет остановки.
Технический осмотр поезда, смена локомотивной бригады, сокращенное опробование
автотормозов производят за время посадки и высадки пассажиров, которая и будет
лимитировать продолжительность обработки транзитного поезда. для сокращения
времени стоянки поезда в этом случае организуется информация пассажиров о
порядке расположения вагонов в составе, чтобы они могли соответственно
расположиться на платформе. Эти операции выполняются через 200 - 500 километров
пробега и имеют продолжительность до 10 минут. [1]
.3.2 Операции по прибытию отправлению на
станциях приписки и оборота составов
Технология обработки составов на станции
приписки (формирования) и в пункте оборота включает выполнение следующих
операций: на перронных путях по прибытию; в техническом парке; на перронных
путях по отправлению.
Технология обработки поезда по прибытию
основывается на предварительной информации и заблаговременно извещении о
подходе поезда всех работников, участвующих в его обработке. Обработка
начинается с технического осмотра ходовых частей вагонов с ходу и списывания
состава, выгрузки багажа и почты, высадки пассажиров. Наибольшее время при этом
занимает высадка пассажиров. Часть багажа и почты выгружается на путях приема,
а остальная часть - на путях багажного и почтового складов. В зависимости от
места расположения багажные и почтовые вагоны подаются на соответствующие пути
в процессе высадки пассажиров или после уборки состава на техническую станцию.
Общая продолжительность обработки поезда на путях приема составляет 15 - 20
минут.
Уборка состава на техническую станцию может быть
выполнена прибывшим поездным локомотивом или маневровым локомотивом, который
подается к составу к моменту окончания всех операций на пути приема.
Операции по отправлению на перронных путях
(после подачи состава под посадку) включают: контрольный технический осмотр,
списывание состава, догрузку багажа и почты, посадку пассажиров, прицепку
поездного локомотива и опробование тормозов. [1]
.3.3 Операции, выполняемые в приемном парке
технической станции
Время нахождения составов на технической станции
зависит от расположения парков, экипировочных и ремонтных устройств, степени
механизации работ по очистке, ремонту и экипировке вагонов.
При перестановке с пассажирской станции на
техническую, состав постудает в приемный парк, где с ним производят следующие
операции: удаление из вагонов мусора и котельного шлака; очистку ходовых частей
от грязи, льда и снега; наружный и внутренний осмотр вагонов; сдачу
использованного белья; снабжение состава топливом и водой, возможная смена
поездной бригады. Число работников на один состав зависит от трудоемкости
каждой операции, периода года и определяется делением общей затраты времени на
установленное технологическим процессом время выполнения операций.
После выполнения операций в парке грубой
очистки, состав переставляется в парк обмывки или пропускается через
вагономоечную машину [1]
.3.4 Операции по формированию и переформированию
состава
После выполнения всех операций в приемном парке
состав подвергается переформированию. Вагоны, требующие отцепочного ремонта, а
также дезинфекции, исключаются из состава и при необходимости заменяются
резервными вагонами. Здесь же отцепляются почтовые и багажные вагоны и вагоны -
рестораны для последующей подачи их на соответствующие пути станции.
Сформированный на вытяжке состав подается на
путь ремонтно-экипировочного депо. [2]
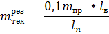
2.3.5 Операции по подготовке состава в рейс
К операциям по подготовке состава в рейс
относятся: внутренний и наружный ремонт вагонов; опробование автотормозов от
стационарной установки; ремонт электроосвещения и подзарядка аккумуляторов;
внутренняя уборка вагонов, при которой производится мытье полов, диванов, протирка
стенок, окон, умывальников, арматуры. После завершения всех перечисленных
операций, подготовленный в рейс состав, переставляется в парк отстоя, где перед
подачей под посадку комиссионно принимается работниками пассажирской службы и
санитарного надзора.
Общая продолжительность работы по подготовке
состава в рейс определяется для каждой пассажирской станции, но не должна быть
более 10 часов на станциях формирования и 8 часов на станциях оборота, если
поезд находился в пути следования в один конец свыше 5 суток. Если поезд
находился в пути в одном направлении от 3до 5 суток, то максимально на станциях
формирования простой должен быть не более 8 часов, на станциях оборота - б
часов. При следовании поезда в один конец до З суток простой соответственно
должен составлять не более 8 и 4 часов.
Общий простой составов местных поездов на
станциях формирования должен составлять не более б часов. [2]
.3.6 Обработка составов пригородных поездов
Принципы составления технологического процесса
обработки составов пригородных поездов те же, что и для составов дальних и
местных поездов, однако нормы времени на выполнение операций значительно
отличаются.
Операции по обработке прибывшего пригородного
поезда при сухой уборке состава производятся обычно на путях приемоотправочного
парка. Осаживание состава на техническую станцию, как и его подача на пути
отправления, может производиться не только маневровым, но и поездным
локомотивом, что зависит от места расположения локомотивного депо и схемы
станции.
После экипировки пригородные составы подаются на
пути отправления под посадку пассажиров. Здесь производится списывание и
поверочный технический осмотр вагонов. Если в поезд должен быть поставлен
багажный вагон (обычно с почтовым отделением), то он прицепляется до подачи
состава на путь отправления. [2]
.3.7 Технология обработки почтово- багажного
поезда
Багажные и почтовые вагоны могут следовать в
пассажирских и почтово-багажных поездах. Обычно в состав почтово-багажного
поезда включают 18-20 почтовых, багажных, а в отдельных поездах и пассажирские
вагоны с общими местами, В число этих вагонов могут включаться багажные вагоны
за пломбами, следующие по маршруту без работы до станции назначения. До
конечной станции назначения следует только часть почтовых и багажных вагонов.
Другая их часть, а также пассажирские вагоны следуют до станций, расположенных
на маршруте движения почтово-багажного поезда или в стороне от него. Такие
вагоны отцепляют от поезда на станциях назначения и прицепки их к другим
поездам. Взамен отцепляемых к поезду прицепляют новые, загруженные на данной
станции или отцепленные от других поездов,вагоны. Продолжительность стоянки
поезда на пассажирской станции в зависимости от частичной погрузки багажа и
почты колеблется от 30 до 90 мин., а на отдельных крупных станциях до 130 мин.
[1]
Рисунок 1 График обработки поезда маршрут
которого заканчивается на станции, по прибытии [1]
Рисунок 2 График обработки составов на
технической станции [1]
Рисунок 3 График обработки почтово-багажного
поезда [1]
Рисунок 4 График обработки поезда при
отправлении [1]
Рисунок 5 График обработки пригородного
электропоезда [2]
.4 Маневровая работа на пассажирской станции
.4.1 Классификация манёвров
Маневры с пассажирскими вагонами требуют особой
осторожности, поэтому их производят способом осаживания. Различают семь видов
маневров на пассажирских станциях:
формирование (производят на станциях приписки
составов);
переформирование (выполняют на станциях приписки
и оборота с целью расстановки вагонов согласно схеме формирования (композиции)
составов;
перестановка составов из одного парка в другой
после прибытия, в процессе экипировки при подаче под посадку;
отцепка и прицепка групп и отдельных вагонов;
местные (включают подачу и уборку вагонов при
обслуживании пунктов производства операций с ними (почтово-багажный двор, база
вагонов-ресторанов, пункты дезинфекции, дезинсекции, ремонт и др.);
прочие (выполняют на пассажирских станциях с
целью подачи состава под промывку, для снабжения водой, в ремонт и др.).
Для обеспечения безопасности движения и
повышения производительности труда на станциях, где работают два и более
маневровых локомотивов, пути и парки делятся на маневровые районы. Возможны два
способа распределения работы между маневровыми локомотивами. Один из них
предусматривает закрепление за каждым локомотивом определенных видов маневровых
работ, другой - закрепление локомотивов за определенными районами, в которых
они выполняют все виды маневровой работы. [7
.4.2 Нормирование маневровой работы
Нормирование маневровой работы основано на
разделении маневровых тередвижений на отдельные элементы. Суммируя затраты
времени на отдельные элементы, из которых складывается тот или иной вид
маневров, устанавливают общую норму на маневровую работу.
Таблица 2
Технологическое время на выполнение операций
|
Технологическое
время
|
Продолжительность
операции, мин
|
|
На
отцепку(прицепку) беспересадочных вагонов от пассажирских транзитных поездов
|
3
|
|
На
обработку почтовых и багажных вагонов, отцепляемых от пассажирских и
почтово-багажных поездов с подачей их на пути выгрузки, включает: заезд
маневрового локомотива на путь прибытия поезда, отцепку вагонов от поезда,
подборку их для багажных и почтовых выгрузочных путей
|
10
|
|
На
перестановку вагонов
|
10
|
|
Формирование
почтово-багажного поезда включает: сортировку вагонов по назначениям и сборку
их на пути формирования
|
140
|
|
Мойка
состава на вагономоечной машине
|
30
|
Продолжительность пропуска состава через
вагономоечную машину рассчитывается по формуле:
[8] (14)
где m
- число вагонов в составе пассажирского поезда (исх.данные п.6);

- длина пассажирского вагона, (
= 25 м);

- скорость пропуска состава через
вагономоечную машину (
= 0.8 ...1.0 км/ч);

- продолжительность выполнения
дополнительной маневровой работы (
=3мин)
.4.3 Определение потребного
количества маневровых локомотивов
В общем виде потребное количество
маневровых локомотивов определяется по формуле:
[7] (15)
где 
общая затрата времени на маневровую
работу, локомотиво - мин; 
время технологических перерывов на
один локомотив за сутки, связанных с занятостью маршрутов, 
60 мин;

- время соответственно на
экипировку локомотива и смену бригад за сутки, 
мин; 
мин.
Т.к. на маневровой работе занято 2
локомотива, то общие затраты времени на маневровую работу можно рассчитать
следующим образом:


.5 Составление суточного
плана-графика
В процессе составления суточного
плана-графика необходимо обеспечить равномерное распределение работы между
локомотивными, составительскими бригадами, другими работниками, участвующими в
подготовке составов; равномерную подачу почтовых и багажных вагонов под
выгрузку и погрузку; сокращение задержек из-за враждебности маршрутов;
уменьшение простоев локомотивов, составов.
Построением плана-графика уточняется
потребность путей в каждом п4рке станции, выявляются узкие места в работе
станции, требующие разработки специальных мероприятий. Одним из таких
мероприятий может быть изменение специализации путей, распределения работы
между маневровыми локомотивами.
На основе разработанного
плана-графика составляется в форме таблицы суточный план работы станции,
являющийся основным технологическим документом для станционного диспетчера и
дежурного по станции.
Суточный план-график составляется на
основе следующих данных:
графика движения поездов (расписания
прибытия и отправления пассажирских, пригородных поездов, проследования
грузовых поездов);
специализации парков, путей станции;
технологических норм на обработку
составов, вагонов;
нормативов на маневровую работу.
Построение суточного плана-графика
начинается с нанесения по примыкающим перегонам ниток графика движения поездов
в соответствии с расписанием.
Далее составляется план занятия приемо-отправочных
путей поездами своего формирования, транзитными грузовыми и пассажирскими, а
также пригородными поездами.
После выполнения операций по
прибытию с поездами своего формирования, составы этих поездов маневровыми
локомотивами переставляются в приемный парк технической станции, затем
пропускаются через вагономоечную машину. Далее на плане-графике последовательно
показывается переформирование состава, обработка его в ремонтно-экипировочном
депо и перестановка в парк отправления.
В парке отправления, кроме проверки
состава комиссией, осуществляется отстой их в ожидании подачи на пути
приемоотправочного парка пассажиркой станции под посадку. [2]
.6 Оперативное планирование и
руководство работой станции
Сущностью оперативного планирования
на пассажирской станции является необходимость внесения изменений в суточный
план работы при опоздания поездов или же при получении заданий на формирование
дополнительных поездов. Информация об опоздания поездов, имеющихся
неисправностях и некоторые другие сведения поступают от поездных диспетчеров
прилегающих к станции участков.
На основе суточного плана-графика
составляется план работы на сутки, который обычно оформляется в виде таблицы, и
включает следующие задания:
прием, обработка и отправление
транзитных поездов;
прием и обработка по прибытии
поездов, заканчивающих своё следование;
обработка составов на технической
станции е
Формирование и переформирование
составов;
обработка по отправлению поездов
своего формирования;
работа с почтовыми и багажными
вагонами;
прочие местные операции, выполняемые
на станции.
Суточный план является основным
документом для руководителей смены:
маневрового, станционного диспетчера
и дежурного по станции. Выписки из него имеются у руководителей всех цехов
станции.
При опоздании поездов, получении
задания на формирование и отправление дополнительных поездов от отделения
дороги и пассажирской службы и в других случаях возникает необходимость во
внесении в постоянный суточный план работы станции дополнений и изменений.
Оперативное задание составляется
начальником станции или его заместителем и вручается руководителю смены
(дежурному по станции, станционному диспетчеру) перед очередным дежурством. Об
изменениях оповещаются работники смены.
Оперативное задание обычно состоит
из двух частей: изменений в существующем суточном плане работы станции и
дополнительных заданий.
Изменения в плане-графике должны, с
одной стороны, в минимальной степени должны нарушать действующий план работы, а
с другой - приводить к скорейшему вводу возникших отклонений в график.
Структура оперативного руководства
работой пассажирской станции отличается для различных типов станций, условий
работы, технического оснащения.
На крупных станциях сменным
руководителем работы является станционный диспетчер, в распоряжении которого
находятся все технические и маневровые средства станции. дежурный по станции в
этих условиях руководит операциями по приему и отправлению поездов,
техническими операциями на приемоотправочных путях.
При отсутствии станционного
диспетчера, дежурный по станции выполняет его функции.
В зависимости от объема выполняемой
работы и схемы станции может быть несколько постов дежурного по станции. В этом
случае каждый из дежурных руководит своим районом работы. [9]
3 ТЕХНОЛОГИЯ РАБОТЫ ВОКЗАЛА
.1 Организация работы вокзала
Перед составлением (корректировкой)
технологического процесса работы вокзала проводятся хронометражные наблюдения,
необходимые обследования пассажиропотоков, разрабатываются нормы затрат времени
на выполнение различных операций по каждому производственному подразделению,
определяется необходимое число билетных касс и автоматов, камер хранения и
других средств обслуживания пассажиров.
Работа вокзала организуется согласно
технологическому процессу, который должен предусматривать: увязку работы вокзала
с графиком движения поездов, пропускной способностью его отдельны элементов с
работой городского транспорта; специализацию вокзальных помещений и устройств
исходя из рациональной последовательности выполнения операций пассажирами с
минимальной затратой времени; порядок работы вокзальных подразделений (билетных
касс, камер хранения и т. д.), связанных с обслуживанием пассажиров порядок
уборки внутренних помещений вокзала, перронов и привокзальной площади;
организацию труда работников вокзала с учетом широкого применения новой техники
и передовых методов обслуживания пассажиров. В технологическом процессе работы
вокзала должны быть также отражены следующие вопросы:
поточность движения пассажиров в
здании вокзала, на платформах и привокзальной площади с учетом кратчайших
расстояний следования;
постановка справочной работы,
сводящая к минимуму затраты времени пассажирами для получения необходимой
информации;
меры по недопущению большого
скопления пассажиров в вокзале из-за недостатка работающих билетных касс и
механизмов, продающих билеты;
организация посадки пассажиров на
поезда с указанием времени подачи составов под посадку и необходимой информации
о ее начале.
В технологическом процессе должна
быть изложена организация уборки вокзальных помещений, которая предусматривает
не менее трех раз в сутки с широким применением механизации уборочных работ.
[4]
Рисунок 6 - График суточной уборки
вокзала [4]
Рисунок 7 - График генеральной уборки вокзала
[4]
В качестве средств механизации по уборке
вокзальных помещений и привокзальных территорий выбраны следующие механизмы.
Таблица 3
Средства механизации по уборке вокзала
|
Тип
механизма
|
Назначение
|
Производительность,
М2/ч
|
|
Поломоечная
машина ПМ-560
|
Мойка
полов в вокзальных помещениях
|
1000-2000
|
|
Универсальная
уборочная машина ТУМ-925
|
Уборка
перронов, платформ привокзальной площади от мусора и снега
|
1500
|
|
Тротуароуборочные
машины Т-10
|
Уборка
тротуаров
|
2500
|
|
Универсальная
уборочная машина КО-705
|
Уборка
тротуаров и платформ
|
До
2500
|
|
Телескопические
вышки
|
Удаление
пыли с потолка и стен вокзала с высоким потолком при помощи промышленных
пылесосов, а также удаление пыли с осветительных приборов
|
-
|
С перронов и платформ снег убирают
тротуароуборочными машинами в комплексе со снегоуборочными машинами СМ-2 или
самоходными снегоуборочными машинами СМ-З и СМ-4, которые убирают снег с пути,
сталкиваемый на него машиной ТУМ-975. Широкое использование средств механизации
уборочных работ повышает санитарно-гигиенический уровень помещений вокзала и
привокзальных территорий, производительность труда работников, снижает
эксплуатационные расходы.
Максимальная механизация должна также
применяться при производстве багажных операций. В качестве средств механизации
в багажном отделении выбраны следующие механизмы. [4]
Таблица 4
Механизмы в багажном отделении
|
Тип
механизма
|
Назначение
|
Грузоподъемность,
кг
|
Скорость
перемещения,км/ч
|
|
|
|
С
грузом
|
Без
груза
|
|
Электропогрузчик
ЭП-0601
|
Выгрузка
груза, уложенного на поддоны, из вагона и погрузка в вагон и перемещение его
до кладовой, от кладовой, внутри кладовых
|
630
|
8,6
|
10
|
Доставка
груза из кладовой к транзитным поездам на платформы и обратно,работа в
багажных помещениях
|
До
7000
|
3,24-12
|
-
|
|
Кран
штаблер: Мостовой Комплектовочный
|
Вертикальный
подъём груза и укладка багажа в металлические стеллажи и снятие его со
стеллажей.Высота подъёма 5м.
|
500
|
-
|
-
|
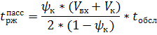
.2 Расчет числа билетных касс дальнего и
местного сообщений
Билетные кассы работают в двух режимах:
предварительной и суточной продажи билетов. Кроме того, известно что билетные
кассы располагаются не только на вокзале, но и также в различных
железнодорожных агентствах. Примем, что в билетных кассах вокзала приобретают
билеты 80% пассажиров, из них 15% приобретают билеты в суточной кассе. Общий
суточный пассажиропоток определится
[5] (16)
где 
,
- размеры движения дальних и
местных поездов, включая поезда своего формирования и по обороту;

, 
- населенность дальнего и местного
поезда.
Число билетных касс для рассматриваемого
периода суток (например, на период продолжительности работы кассира с 8.00 до
20.00 ) при равномерном поступлении пассажиров определяется по формуле:
[5] (17)
где Ат - число пассажиров,
приобретающих билеты за период времениТс;

- средняя затрата времени
пассажиром на приобретение билета,

= 2мин;
Тс - продолжительность работы
билетной кассы без учета обеденного перерыва, для предварительной кассы 11 ,5ч,
для суточной кассы - 23ч.;

- коэффициент использования рабочего
времени кассира, учитывающий затраты времени на выполнение
подготовительно-заключительных операций (подготовка рабочего места, подсчет и
сдача денег, составление отчета, выдача справок пассажирам и т. д.),
= 0,75.
предварительных касс
суточных касс
Однако поступление пассажиров к
билетным кассам, как правило, неравномерное, а среднее время обслуживания tпб
колеблется в значительных пределах. Поэтому число билетных касс должно
определяться с учетом тих факторов на основе рекомендаций теории массового
обслуживания. Для этого приобретение билета необходимо рассматривать в условиях
функционирования двух последовательных систем массового обслуживания: первая
система - пассажиры - билетные кассы и вторая - кассы - вычислительный комплекс
системы « Экспресс» (ВЭК). Вторая система в целом может быть многоканальной,
так как обслуживание кассиров возможно не одним, а несколькими диспетчерами.
Работа билетных касс может
рассматриваться как функционирование нескольких (по числу билетных касс)
одноканальных систем массового обслуживания. При этом нужно учитывать выделение
специализированных касс:
для транзитных пассажиров - с
работой круглосуточно; для пассажиров, отправляющихся на ближайшем поезде; для
участников войны, инвалидов, железнодорожников и др. Эти кассы должны
рассчитываться дополнительно к кассам, обслуживающим основной, без преимуществ,
поток пассажиров. Число пассажиров указанных категорий определяется путем
обследования пассажиропотоков. В реальных условиях работы вокзалов размеры
основного потока колеблются в значительных пределах. Интенсивность входящих
потоков пассажиров в первую систему (билетные кассы) составит:
[5] (18)
где 
- число пассажиров, приобретающих
билеты за период времени 
;

- продолжительность работы билетной
кассы без учета обеденного перерыва для суточной кассы - 23ч.
для суточных касс:
для предварительных касс:
После принятия билетным кассиром у
пассажира заявки на билеты она поступает от кассира в ВКЭ. Поскольку заявки
поступают от нескольких касс, то в общем случае они будут ожидать обслуживания.
Показательное время обслуживания
ВКЭ:
(19)
где 
- коэффициент загрузки системы ВКЭ,

=0,7

- интенсивность обслуживания, 
=5.
Следовательно, время обслуживания
билетным кассиром одного пассажира:
[5] (20)
где 
время, затрачиваемое билетным
кассиром на прием заказа;

- время ожидания приема заказа от
билетного кассира;

- время, затрачиваемое на прием и
исполнение заказа ВКЭ;

- время, затрачиваемое билетным
кассиром на оформление заказа.
Значения величин 
имеют незначительные колебания и их
можно считать постоянными величинами для всех вокзалов, соответственно равными
0,3; 0,2; 1,0 мин.
Среднее время, затрачиваемое
пассажиром на приобретение билета, складывается из времени ожидания в очереди и
общего времени его обслуживания.
Загрузка билетного кассира составит:
[5] ( 21)
для суточных касс:
для предварительных касс:
При расчете времени ожидания пассажира
в очереди методами теории массового обслуживания возникают большие трудности в
определении характера входящего потока требований. Следует иметь в виду, что
классические законы распределения входящих потоков не могут полностью отражать
существующую действительность.
Наиболее приемлемые результаты дает
следующие условие:
[10] (22)
где 
- коэффициент вариации интервалов
между моментами появления пассажиров в очереди к данной кассе;

- коэффициент вариации
продолжительности обслуживания пассажиров билетным кассиром.
Обычно 
и 
колеблются в значительных пределах.
Для расчетов их величины принимаются равными 
= 0,9 и 
= 0,8.
для предварительных касс:
для суточных касс:
Общие затраты времени на
приобретение билета:
[5] (23)
для суточных касс:
для предварительных касс:
При определении числа билетных касс
можно исходить из различных критериев эффективности. В частности, в качестве
такого критерия могут приниматься приведенные годовые затраты.
Существенное колебание пассажиропотоков
по периодам года влияет на число билетных касс и диспетчеров. Поэтому расчеты
целесообразно производить с учетом таких колебаний.
При принятых условиях приведенные
затраты будут складываться из следующих составляющих:
затраты, связанные с пассажиро-часами
на приобретение пассажирами билетов:
[10] (24)
где n - число
периодов года, в каждом из которых пассажиропоток принимается равным 
;

- число дней в i-м периоде;

- стоимость одного пассажиро-часа,
принимается обычно 0,1-0,6 тг.
для суточных касс;

=24З*0,109*11,5*1286*0,15+122*0,109*11,5*1552*0,15=119031
для предварительных касс:

=243*0,063*23*1286*0,15+122*0,063*23*1552*0,15=109074
затраты на устройство и оборудование
билетных касс и содержание этого оборудования
[10] (25)
где К - число касс;

- затраты на устройство одной кассы
и ее оборудование, 
= 20500 тг;

- нормативный срок окупаемости, 
= 10 лет;

- годовые затраты, связанные с
содержанием оборудования и его амортизацией.
для суточных касс:
для предварительных касс:
(26)
затраты, связанные с оплатой труда
билетных кассиров
[10] (27)
где 
- число работающих билетных касс в
i-м периоде; принято 7 кассв течение года и б касс на период зимних перевозок -
для предварительных касс, а для суточных - 4 кассы в течение года и З кассы на
период зимних перевозок;
Скм - месячный оклад билетного
кассира,.
для суточных и предварительных касс:
Суммарные годовые затраты:
[10] (28)
Е= 228105+ 66550+810000=1104655тг
При увеличении числа билетных касс
будут снижаться затраты, связанные с потерей времени пассажиров на приобретение
билетов, но будут возрастать затраты станции, связанные с оборудованием и
эксплуатацией билетных касс.
.3 Определение потребного числа
камер хранения
Определение показателей работы камер
хранения и багажньтх помещений требуют учета и хронометражных наблюдений.
для определения необходимого числа
камер хранения самообслуживания (КХС) можно использовать формулу:
[4] (29)
где 
- число принятых мест в месяц
максимальных перевозок отчетного года;

- средний срок хранения ручной
клади,

- число суток в месяц максимальной
работы, 
= 31;

- число мест, одновременно
хранящихся в ячейках, 2;

-коэффициент ожидаемого прироста
переработки ручной клади, 
= 1,3.
Величину 
определим следующим образом. Условно
примем, что камерой хранения будут пользоваться 20% прибывающих и
отправляющихся пассажиров. для определения числа прибывающих и отправляющихся
пассажиров составим композицию поезда.
Таблица 5
Композиция пассажирского поезда
|
Схема
состава транзитного поезда
|
Схема
состава дальнего поезда
|
Схема
состава местного поезда
|
|
№ваг.
|
Род
вагона
|
Число
мест
|
№ваг.
|
Род
вагона
|
Число
мест
|
№ваг.
|
Род
вагона
|
Число
мест
|
|
1/16
2/15 3/14 4/13 5/12 6/11 7/10
|
Б
ПЛ ПЛ ПЛ ПЛ К К К
|
-
54 54 54 54 36 36 36
|
1/18 2/17 3/16 4/15 5/14 6/13
|
П
Б ПЛ ПЛ ПЛ ПЛ ПЛ ПЛ
|
-
- 54 54 54 54 54 54
|
1/18 2/17 3/16 4/15 5/14 6/13
|
П
Б О О О О О ПЛ
|
-
- 68 68 68 68 68 54
|
|
8/9
9/8 10/7 11/6 12/5 13/4 14/3 15/2 16/1
|
К
ВР CВ К К К К
К К К
|
36
18 36 36 36 36 36 36 36
|
7/12
8/11 9/10 10/9 11/8 12/7 13/6 14/5 15/4 16/3 17/2 18/1
|
ПЛ
ПЛ ПЛ ВР CВ К К К К
К К К ПЛ
|
54
54 54 18 36 36 36 36 36 36 36 54
|
7/12
8/11 9/10 10/9 11/8 12/7 13/6 14/5 15/4 16/3 17/2 18/1
|
ПЛ
ПЛ ПЛ ПЛ ПЛ К К К К К К К
|
54
54 54 54 54 36 36 36 36 36 36 36
|
|
ВСЕГО
|
18
|
630
|
|
21
|
810
|
|
20
|
916
|
Число прибывающих и отправляющихся пассажиров
находим по формуле:
[1] (30)
где 
- транзитные пассажиры;

- пассажиры дальнего следования;

- пассажиры местного сообщения.
Количество транзитных пассажиров
находим по формуле:
(31)
где 
- размеры движения транзитных
поездов;

- число мест в составе транзитного
поезда.
Количество пассажиров дальнего
следования:
(32)
где 
- размеры движения поездов дальнего
следования;

- число мест в составе поезда
дальнего следования.
Количество пассажиров местного
сообщения:
( 33)
где 
- размеры движения поездов местного
сообщения;

- число мест в составе поезда
местного сообщения.
Таким образом:
Число камер хранения
самообслуживания:
Непрерывный рост пассажиропотока
требует от работников камер хранения более полного использования КХС. для этого
необходимо следить за соблюдением сроков хранения ручной клади.
4 ЭКОНОМЕЧЕСКАЯ ЭФЕКТИВНОСТЬ
ВНЕДРЕНИЯ
Пассажирские перевозки на
железнодорожном транспорте характеризуются высокой сезонной неравномерностью.
В течение определённого был проведен
мониторинг работы билетных касс: сравнивались разные режимы работы, проводился
анализ необходимости открытия новых, что и происходило в пиковые периоды,
например в конце рабочего дня в пятницу или вечером в воскресенье.
ОАО «КТЖ» планирует организацию
Единого информационно-справочного центра компании, который будет предоставлять
справочную информацию клиентам, осуществлять продажу железнодорожных билетов,
принимать заказы на дополнительные услуги, обращения от граждан, проводить
маркетинговые опросы. В ближайшее время на крупнейших вокзалах страны появятся
автоматы, позволяющие пассажирам оформлять и оплачивать проезд в режиме
самообслуживания, которые исключают контакт пассажира с билетным кассиром,
позволяют ускорить оформление проезда и разгрузить билетные кассы в пиковые
часы. Предусматривается возможность оплаты проезда в автомате не только
наличными средствами, но и с использованием платежных карт.
Для реализации направления по
повышению качества предоставляемых услуг в компании намерены внедрить на
внеклассных вокзалах транзакционные терминалы самообслуживания, перейти от
использования бланков к применению билетов из терминалов.
Но ,вцелом, внедрение этих новшеств
позволит пассажирским перевозкам выйти на качественно новый уровень. [3]
4.1 Назначение и состав внедряемого
объекта
Автомат обеспечивает оформление
пригородных проездных документов на все виды поездов пригородного сообщения без
резервирования мест.
Автомат принимает к оплате бумажные
банкноты и монеты.Автомат имеет функцию выдачи сдачи монетами. Автомат
обеспечивает выдачу сдачи как ранее загруженными монетами, так и монетами,
полученными от пассажиров при покупке билета.Автомат обеспечивает выполнение
следующих функций:
формирование контрольной ленты с
копиями оформленных проездных документов;
формирование электронной контрольной
ленты (ЭКЛ);
формирование различных видов
отчетов;
связь с АСУ <Экспресс> через
сервер накопления информации для получения нормативно-справочной информации
(НСИ) и передачи информации об оформленных пригородных документах. Связь с
сервером накопления информации осуществляется с использованием средства защиты
информации ViPNet.
Автомат обеспечивает выпуск в едином
цикле документа на бланке строгой отчетности <Пригородный билет> и его
"твердой" копии на бумажной контрольной ленте и электронной копии на
электронной контрольной ленте.
Отчетная информация по финансам,
пассажиропотоку, льготникам и т.д. передается в АСУ <Экспресс> по каналу
связи (СПД) или через сменный накопитель информации (флэш-диск).
Автомат устанавливается в залах
ожидания, переходах и на крытых платформах.
В состав автомата входят:
управляющая ЭВМ;
монитор с диагональю 17" и
сенсорной панелью;
печатающее устройство;
монетоприемник с функцией выдачи
сдачи и и купюроприемник;
источник бесперебойного питания;
охранная сигнализация.
Электропитание автомата и источника
бесперебойного питания осуществляется от сети переменного тока напряжением
220В?10%, частотой (50?1)Гц.Вид климатического исполнения и категории
размещения - УХЛ2 по ГОСТ 15150 для работ изделия при предельных температурах
от минус 40 до + 40°С.Мощность потребления автоматом - не более 200 Вт.Вес
автомата - не более 80 кг. [11]
.2 Основные параметры внедряемого
объекта
Автомат обеспечивает оформление
следующих видов проездных документов (с зонными или покилометровыми видами
тарифов):
разовых полных <туда>,
<туда и обратно>;
льготных и безденежных билетов на
основании электронных транспортных требований.
Автомат обеспечивает рабочий и
сервисные режимы, позволяет пассажиру производить набор следующей информации,
необходимой для приобретения проездного документа:
станции назначения;
вида билета.
Автомат обеспечивает в сервисном
режиме установку следующих параметров:
номера автомата;
номера пункта продажи;
станции установки;
наименования компании-агента,
которой принадлежит автомат;
сетевых настроек автомата;
калибровку сенсорного экрана.
Автомат обеспечивает в сервисном
режиме выполнение следующих функций:
чтение электронной контрольной
ленты;
загрузку нормативно-справочной
информации с АСУ <Экспресс> через
сервер накопления информации или с
внешнего флэш-диска;
передачу электронной контрольной
ленты на сервер накопления информации по сети передачи данных (СПД). В случае
отсутствия СПД электронная контрольная лента сохраняется на внешнем флэш-диске.
Информация с флэш-диска может быть считана и передана на сервер накопления
информации через любой автомат, имеющий подключение к СПД.
Автомат обеспечивает оформление и
печать в сервисном режиме следующих документов:
начального отчета;
конечного отчета;
сменной ведомости;
месячной ведомости;
электронной контрольной ленты.
Функции автомата могут быть
расширены по согласованию с Заказчиком. [11]
.3 Определение экономической
эффективности от внедрения системы платежных терминалов ОСМП 2М
.3.1 Определение капитальных
вложений
Капитальные вложения - это денежное выражение
совокупности материально-технических, трудовых и финансовых ресурсов,
направляемых на создание новых, расширение и техническое перевооружение
действующих основных фондов. При определении капиталовложений учитывается
оптовая цена средств автоматизации, а также транспортные расходы и затраты по
монтажу этой техники.
Стоимость приборов и устройств, входящих в
модель платежного терминала, приведена в таблице 11.
Капиталовложения определяются по формуле:
, [10] (34)
где
- капиталовложения, тг;
- цена приборов и устройств,
входящих в систему;
- коэффициент, учитывающий затраты
на транспортировку;
= 0,15;
- коэффициент, учитывающий затраты
на монтаж,
= 0,2.
Таблица 6
Стоимость комплектующих устройств
|
Наименование
|
Количество,
единиц
|
Стоимость
единицы, тенге
|
Всего,
тенге
|
|
Монитор
TFT 17" ACER 1716s
|
2
|
27000
|
54000
|
|
Вандалостойкий
сенсорный экран 17''/6 мм USB Master Touch (ПАВ)
|
2
|
4500
|
9000
|
|
Встроенное
устройство для печати информации на термобумаге - термопринтер: Citizen
PPU-700
|
2
|
55500
|
111000
|
|
Купюроприемник
CashCode MVU/MSM
|
2
|
79500
|
159000
|
|
Сейф
стандартный
|
2
|
27000
|
54000
|
|
Вандалостойкий
корпус
|
2
|
300000
|
600000
|
|
Беспроводной
GPRS/GSM-модем Siemens MC-35i (рабочий стандарт GSM 900/1800)
|
2
|
18000
|
36000
|
|
Антенна
GSM
|
2
|
4500
|
9000
|
|
IBM
PC совместимый компьютер
|
2
|
60000
|
120000
|
|
Итого
|
|
|
1152000
|
Следовательно,
K=1152000*(1+0,15+0,2)=
1555200 тенге.
Полученное значение капитальных вложений
определяет расчетную стоимость внедрения объекта и используется в дальнейших
расчетах для определения срока окупаемости капитальных вложений. [10]
.3.2 Определение эксплуатационных затрат на
внедряемую систему
Эксплуатационные расходы включают в себя
следующие элементы:
затраты на электроэнергию, затраты на заработную
плату, социальный налог, амортизационные отчисления, затраты на ремонт, прочие
расходы.
Затраты на электроэнергию
Оплата потребленной электроэнергии определяется
путем умножения мощности (кВт) на среднее число часов эксплуатации их в течение
года. Величина затрат зависит не только от количества потребленной энергии, но
и от ее стоимости, которая в свою очередь зависит от источника ее получения и
применяемых схем ее оплаты.
Затраты на оплату потребленной электроэнергии по
одноставочному тарифу определяются по следующей формуле:
[10] (35)
где 
- затраты на электроэнергию, тенге;

- расход электроэнергии, кВт*ч;

- тариф за один кВт*час
потребленной электроэнергии, тенге/кВт*ч.

, [10] (36)
где 
- мощность электроприемников, кВт; 
- время работы оборудования в году,
час. 
= 365 * 24 = 8760 часов.
Затраты на оплату потребленных
энергоресурсов приведены в таблице 7.
Таблица 7
Затраты на оплату потребленных
энергоресурсов
|
Наименование
|
Р,
кВт
|
Потребление
за год, часов
|
Тариф,
тенге/кВт*ч
|
Количество,
шт
|
Затраты,
тенге
|
|
Дозатор
|
0,1
|
8760
|
10,94
|
2
|
19167
|
|
Итого:
19167
|
Затраты на заработную плату
На обслуживание системы терминалов до и после
внедрения установки требуется 3 человека (1 оператор-настройщик, 2
инкассатора).
Средняя заработная плата оператора-настройщика
составляет 50000 тенге, инкассатора - 40000 тенге.
[10] (34)

- средняя заработная плата;

- заработная плата
оператора-настройщика;

- число месяцев;

- количество человек.

=50000*12*1=600000 тенге
Заработная плата инкассаторов
вычисляется аналогично

=40000*12*2=960000 тенге
Затраты на заработную плату в
течении года составляют

=600000+960000=1560000 тенге.
Социальный налог
Социальный налог (
) юридических лиц осуществляющих
деятельность на территории Республики Казахстан составляет 7-15% от годового
фонда оплаты труда работников (за вычетом отчислений в индивидуальный пенсионный
накопительный фонд). Размер выплат по социальному налогу можно определить по
формуле:
[10] (38)
где 
- фонд оплаты труда, тенге; 
- норма выплат по социальному
налогу, 
= 10 %.
Амортизационные отчисления
Особенностью основных фондов
является перенесение части их стоимости на стоимость готовой продукции. Это
перенесение происходит таким образом, чтобы за период эксплуатации основных
фондов произошло их возмещение. Возмещение основных фондов путем включения
части их стоимости в затраты на выпуск продукции (себестоимость) или на
выполненную работу называется амортизацией. [7]
Метод равномерного начисления
амортизации основан на величинах: норме амортизации по данной подгруппе и
стоимости фиксированных и нематериальных активов (основных средств). Расчет
амортизации можно осуществить по формуле:
[10] ( 39)
где 
- стоимость капитальных затрат,
тенге;

- норма амортизации основных фондов
фиксированных активов (принимается меньше чем предельные нормы амортизации), %.
Затраты на ремонт
Затраты на ремонт систем (схем, аппаратуры)
может быть рассчитан по формуле:
[10] (40)

. = 0,08*
= 124416 тенге в год
Прочие расходы
Прочие расходы определяются по
формуле:
(41)

=0,07* (1560000+
+19167+
+124416) = 145408 тенге
Итоги расчета эксплуатационных
затрат сведены в таблицу 8.
Таблица 8
Расчет эксплуатационных затрат
.4 Определение экономической эффективности от
внедрения системы
Информационно-платежный терминал дает
возможность клиенту обращаться за информацией и приобретать билет в любое время
- семь дней в неделю и 24 часа в сутки, снижая потребность в обслуживаемом
персонале.
Система платежных терминалов ОСМП 2М способна
выполнить работу четырех кассиров. Следовательно, годовой экономический эффект
можно рассчитать по формуле:
[10] (42)
где 
- средняя заработная плата кассира,
N -
количество освобожденных кассиров.
Срок окупаемости определяется по
формуле
[10] (43)
где Т - срок окупаемости,
К - капиталовложения,
Э - годовой экономический эффект,

- затраты на эксплуатацию системы.
5 ОХРАНА ТРУДА
.1 Охрана труда на станции
Одной из основных причин повышенной
опасности на Ж.д. транспорте является необходимость работы в зоне, которая
существенно ограничена габаритом подвижного состава. Целый ряд технических
операций, выполняемых составителями поездов, осмотрщиками вагонов, дежурными по
стрелочным постам, регулировщиками скорости движения вагонов, осуществляется в
пределах поперечного очертания подвижного состава. Каждый работник
Ж.д.транспорта должен прибыть на работу в определенное место и время, в
работоспособном состоянии в специальной форменной одежде. Рабочие и служащие,
занятые непосредственно на Ж.д. путях должны быть одеты в сигнальные жилеты
оранжевого цвета. Находясь на путях, необходимо проявлять бдительность,
осторожность, осмотрительность. Нарушение требований безопасности при переходе
через пути угрожает наездом подвижного состава, что приводит к несчастным
случаям. Переходить через пути надо по специально устроенным обозначениям и в
темное время суток освещенным переходам. Категорически запрещается переходить
через пути в районе стрелочных переводов, ходить между рельсами, по концам
шпал. Переходить пути следует только под прямым углом, не наступая ногами на
рельсы. для прохода вдоль путей на территории крупных станций устанавливают и
обозначают маршруты служебных проходов. В отдельных случаях ходить вдоль путей
можно посредине широкого междупутья. При этом необходимо следить за движением
поездов и маневровых составов по смежным путям, а также за состоянием
междупутья.
Для обеспечения личной безопасности,
пропуская поезд, маневровый состав, движущийся локомотив необходимо стоять на
безопасном расстоянии от пути, лицом к пути с полуоборотом головы навстречу
движению.
Ж.д. электрифицируются на постоянном
и переменном токе, что угрожает жизни человека, поэтому все работники Ж.д.
должны знать «Правила безопасности для работников Ж.д. транспорта на
электрифицированных линиях» и строго их соблюдать. [12]
.2 Мероприятия по охране труда на
вокзалах
Помещения и здания предприятий
железнодорожного транспорта должны содержаться в исправном состоянии и чистоте.
для каждого подразделения устанавливаются график уборки помещений, график
осмотра несущих конструкций перекрытий, а также очистки от пыли и загрязнений
оконных проемов и фонарей. В зимнее время крыши и карнизы зданий следует
своевременно очищать от снега и наледи.
Полы помещений должны быть
исправными и ровными. Все углубления, канавы и приямки следует закрывать на
уровне пола специальными плитами, металлическими рифлеными листами или ограждать.
Все люки, обеспечивающие доступ к подземным коммуникациям, должны быть закрыты,
а траншеи, ямы, канавы следует надежно оградить и обеспечить переходными
мостиками с перилами.
Билетные кассы дальнего следования и
пригородного сообщения на вокзалах должны быть оборудованы в отдельных кабинах,
изолированных от пассажирского зала. Эксплуатировать терминалы билетно-кассовой
аппаратуры системы «Экспресс», билетопечатающие машины и автоматы,
электрические компостеры, детекторы определения подлинности банкнот и машинки
для пересчета купюр необходимо в соответствии с требованиями по эксплуатации
данного оборудования. Электрическое оборудование включают в сеть только через
специальные розетки с защитным заземлением. [12]
Покрытие следует очищать от снега, посыпать
при гололеде мелким шлаком или песком. К погрузке и выгрузке багажных вагонов
разрешается приступать только после их ограждения и закрепления.
Порядок работы с транзитным поездом
определяется технико- распорядительным актом станции (ТРА). Работники багажного
отделения вокзала непосредственно в зоне железнодорожных путей должны работать
в сигнальных жилетах. Багаж и грузобагаж следует укладывать на стеллажи. На
платформе или вдоль пути выгруженный или подготовленный к погрузке багаж и
грузобагаж следует размещать так, чтобы не создавать помех свободному проезду.
При уборке платформ и территории
вокзала работники должны быть в сигнальных жилетах. Платформы убирают в
перерыве между прибытием и отправлением поездов. Не допускается производить
уборку во время посадки и высадки пассажиров. Запрещается поливать платформу, у
которой находится мотор-вагонный состав с поднятыми токоприемниками.
Уборку в помещениях вокзала
производят в часы снижения интенсивности пассажиропотока и движения
пассажирских поездов. Помещения для уборщиц на вокзалах следует оборудовать
вытяжной вентиляцией, кранами горячей и холодной воды, ванной для мытья ветоши
и инвентаря, сушильным шкафом, трапом для слива воды. Трап должен иметь
решетку, песколовку и гидравлический затвор.
На предприятиях должно быть
организовано снабжение питьевой водой, В специально отведенных местах
устанавливают автоматы с газированной водой, фонтанчики или бачки с питьевой
водой, В установленных местах должны находиться аптеки, укомплектованные
медикаментами и перевязочными материалами, а также инструкции по оказанию
первой медицинской помощи. Все работники должны знать, где расположена аптечка,
уметь оказать пострадавшему первую медицинскую помощь. [12]
5.3 Пожарная безопасность на
производстве
Пожарная безопасность - это
состояние объекта, при котором исключается возможность пожара , а в случае его
возникновения используются необходимые меры по устранению негативного влияния
опасных факторов пожара на людей сооружения и материальных ценностей. Пожарная
безопасность может быть обеспечена мерами пожарной профилактики и активной
пожарной защиты. Пожарная профилактика включает комплекс мероприятий,
направленных на предупреждение пожара или уменьшение его последствий. Активная
пожарная защита - меры, обеспечивающие успешную борьбу с пожарами или
взрывоопасной ситуацией.
Причинами пожаров, наиболее часто
встречающихся на железнодорожном транспорте и в транспортном строительстве,
являются неосторожное обращение с огнем, искры локомотивов, печей
вагонов-теплушек и т.д.
Одной из важных мер противопожарной
защиты является строгое соблюдение противопожарных разрывов. Они предназначены
для предупреждения распространения огня на соседние здания и сооружения, а
также обеспечения успешного маневрирования пожарных подразделений, прибывших
для тушения пожара. Если невозможно соблюсти нормативные разрывы, разрабатывают
мероприятия, компенсирующие их недостаточную величину. К таким мероприятиям
относят: сооружение противопожарных преград, снижение пожарной опасности
производственных процессов, применение негорючих материалов, обвалование или
заглубление зданий и сооружений, устройство установок пожаротушения и др.
Меры пожарной профилактики включают
также обеспечение первичными средствами пожаротушения: огнетушителями, бочками
с водой, ведрами, ящиками с песком, лопатами и др.
В истории развития пассажирского
подвижного состава четко прослеживается особое отношения к пожарной
безопасности вагонов. Основной целью противопожарной защиты пассажирских
вагонов является исключение гибели людей от опасных факторов пожара и снижение
материальных потерь.
К сожалению, никакими нормами
невозможно учесть и предусмотреть все многообразие реальной действительности.
Тем не менее учеба персонала, ужесточение требований к исполнительской
дисциплине, повышение качества конструкторской документации, использование
современных достижений материаловедения, электротехники и электроники,
максимальное применение автоматизированных устройств, систем контроля,
резервирование и дублирование компонентов, определяющих безопасность
пассажирских вагонов, - это реальные возможности дальнейшего повышения пожарной
безопасности вагонов. Многие технические проблемы требуют решения: например,
устранение противоречий между потребительскими качествами элементов кресел, диванов
и • их противопожарными характеристиками, возможности расширения применения
полимерных материалов в интерьерных конструкциях, для потолков и воздуховодов,
отказ от электромеханических контакторов в силовых цепях и др. [12]
Особняком стоит вопрос обеспечения
пожарной безопасности вагонов, находящихся в отстое. Имеющиеся технические
предложения, привязка их к конкретным вагонам, такие, как автоматизированные
системы пожаротушения мелкодисперстной водой, применение модульного исполнения
оборудования облегчают конструктору решение задачи эффективной защиты вагонов.
Переход на стеклопластиковые и углепластиковые интерьерные конструкции, имеющие
значительно более высокие противопожарные свойства, дают возможность в
сочетании с современными средствами обнаружения и тушения пожара значительно
повысить комфорт, предложить новые формы без ухудшения пожарной безопасности.
Вместе с тем слагаемые пожарной
безопасности четко определены. Это:
организационно-технические меры,
обеспечивающие содержание вагонов них оборудование в
исправном состоянии, грамотную
эвакуацию людей и пожаротушение;
применение оптимально выбранных
материалов с подтверждением на практике их характеристик;
конструкторские решения,
обеспечивающие беспрепятственную эвакуацию, огнезащиту, защищенное электрооборудование
по характеру прокладки кабелей, их материалов, предохранительным устройствам,
развитую систему контроля и диагностирования компонентов вагона, в том числе
потенциально пожароопасных;
применение современного
специализированного оборудования с жесткой системой его проверки (контрольные
средства, средства оповещения, электрические сети, ручные и автоматические
средства пожаротушения).
Применение контрольно-пожарных
приборов обнаружения и информации о пожаре должно быть строго обосновано, увязано
с обязанностями обслуживающего персонала и в высшей степени надежно, более
того, если принимается решение об обязательной комплектации вагонов такими
приборами, необходимо обеспечить их связь с диспетчерскими или иными службами
по проводной связи или радиоканалу. [12]
.4 Охрана окружающей среды
.4.1 Защита атмосферного воздуха от
загрязнения
Факторами загрязнения являются:
выбросы вредных веществ в атмосферу.Источниками загрязнениями являются
производственные объекты и подвижной состав. К ним относятся:
промывочно-пропарочные станции ПЛС локомотивные, вагонные депо, шпалопропитки,
щебеночные заводы.Все выбросы определялись за сутки. Мероприятие по борьбе с
загрязнением являются уменьшение их выделения в источниках образования. Этому
служит механизация и автоматизация производственных процессов, уплотнение,
герметизация и вакуумизация оборудования, создание поточных и непрерывных
технологических линий, замена вредных летучих веществ на менее вредными,
твердого топлива на газовое.
Внедрение современных установок,
позволяющих улавливать пыль, пары газов, к ним относятся: механические сухие
пылеулавливатели типа «Циклон» и гидроциклоны, орошаемые срубберы, различные
пылеотделители, матерчатые фильтры. В защиту атмосферного воздуха поселков,
городов, важнейшим является правильная застройка их, озеленение и строительство
жилья необходимо производить относительно дальше производства. [12]
.4.2 Охрана вод питьевого режима
На железнодорожном транспорте
опасность загрязнения рек, озер и водохранилищ представляют локомотивные и
вагонные депо, ППС, шпалопропитка и другие производства. Большие количества
поверхностных веществ, нитратов и других вредных продуктов содержат сточные
воды смотровых канав стойловых цехов локомотиворемонтных депо. Установлена
значительная загрязненность вредными веществами сточных вод гальванических
цехов, аккумуляторных отделений, деповских прачечных. для этого используется
комплекс очистных сооружений дено, который включает в себя: канализационную
систему; приемный колодец; нефтеловушки; нефтесборники; регулирующую емкость,
флотаторы; иловые площадки.
При необходимости сброса воды,
приглашаются работники санэпидемстанции, которые проводят тщательный анализ.
Если вода пригодная, то ее сбрасывают в водоемы. Кроме того очищенная вода
используется для вторичных оборотов. Внедрение оборотных систем водоснабжения
позволяет значительно сократить потребление пресной воды для технических нужд и
уменьшить объёмы загрязнененных стоков, сбрасываемых в водоемы. [12]
.4.3 Охрана почвы
Санитарная охрана почвы охватывает:
земляное, полотно, балластную призму, территории станции, промышленных объектов
и жилых зданий. При загрязнении почвы изменяется ее структура. Нарушается
экологическая обстановка. Интенсивность загрязнения зависит от выброса
промышленных и бытовых отходов. Большой вред почве наносят ядохимикаты.
Опасность вредного воздействия химического вещества определяется не только
степенью его токсичности, но и устойчивостью к разрушению окружающей среды,
уничтожается микрофлора почвы, то есть ее самоочищающая способность.
Заключение
Стратегией развития железнодорожного
транспорта до 2030 года (Стратегия-2030) определены задачи, принципы и этапы
стратегического развития железнодорожных пассажирских перевозок. Согласно
Стратегии-2030, пассажирский комплекс должен превратиться в доходный сегмент
железных дорог, а пассажирооборот - вырасти в 1,3 раза.
В среднесрочной перспективе на
железнодорожном транспорте будет решен ряд актуальных задач:
обеспечение достаточного объема
инвестиций в проекты высокой социально- экономической эффективности;
введение системы компенсации потерь
в доходах участников рынка пассажирских перевозок, позволяющих вести
деятельность с достаточной нормой рентабельности;
совершенствование тарифной политики;
реализация проектов развития
инфраструктуры, услуг и обновления подвижного состава на основе
государственно-частного партнерства.
Выполнение этих условий должно
обеспечить эффективный баланс между социальной и экономической составляющими в
деятельности предприятий железнодорожного транспорта. В пассажирских перевозках
уже существуют два отдельных сегмента. Первый охватывает социально значимые
перевозки, к которым относятся перевозки в плацкартных и общих вагонах. Тарифы
на такие перевозки регулируются государством, исходя из объективной оценки
платежеспособности значительной части населения. Сегодня их объем в общем
пассажиропотоке составляет около 70-75%. Стоит отметить, что в данном сегменте
существует конкуренция с автобусными перевозками межгородского сообщения.
Перевозки в вагонах купе и СВ относятся ко второму сегменту, и здесь
наблюдается конкуренция с авиационным транспортом. В этом секторе на протяжении
нескольких лет тарифы устанавливаются перевозчиком самостоятельно, исходя из
конъюнктуры рынка.
Для повышения и укрепления позиций
железнодорожного транспорта Стратегией-2030 предусмотрен ряд мероприятий,
направленных на развитие пассажирского комплекса с целью обеспечения его
максимально эффективного функционирования:
развитие рыночной конкуренции в
секторе пассажирских перевозок;
модернизация и технологическое
оснащение пассажирского подвижного состава и железнодорожной инфраструктуры;
развитие новых услуг и сервиса для
пассажиров;
СПИСОК ИСПОЛЬЗОВАННОЙ ЛИТЕРАТУРЫ
1. Кочнев Ф.П. Пассажирские
перевозки на железнодорожном транспорте. М.: Транспорт, 2005
. Хасенова Р.Х. Организация
пассажирских перевозок на железнодорожном транспорте. Алматы, 2005
. http://
www.kazpravda.kz.
. Типовой технологический процесс
работы вокзала. М.: Транспорт, 2003.
. Иваненков В.Ф. и др. Повышение качества
обслуживания пассажиров. М.: Транспорт, 2007.
. Кобдиков М.А., Богданович С.В.,
Берикбаев Н.Ж. Технология работы пассажирских станций. Методические указания к
курсовому проектированию. Алматы, 2009
. http://
www.kptu.org/content.kz
. Колпаков В.С., Шубко В.Г.
Совершенствование пассажирских перевозок. М.: Транспорт, 2006.
. Кочнев Ф.П., Сотников И.Б.
Управление эксплуатационной работой на железнодорожном транспорте.
М.:Транспорт, 2005
. Терешина Н.П. «Экономика
железнодорожного транспорта», М.:УМК МПС России, 2001 год.
11..
http:// www.microteh.net
.
http:// www.r-e-k.ru
13. Громов И.Н. Единая транспортная
система. - М.: Транспорт, 1989. - 165 с.
Троицкая И. А, Чубуков А. Б. Единая
транспортная система. - М.: Академия, 2004. - 389 с.
. Атамкулов Е. Д., Жангаскин К. К.
Железнодорожный транспорт Казахстана: Перевозочный процесс. - Алматы.: МТИА,
2004 - 246 с.
. Громов Н. Н., Пресианов В.А.
Управление на транспорте. - М.: Транспорт, 1990. - 251 с.
. Организация движения на
железнодорожном транспорте. Под ред. Ф. П. Кочнева. - М.: Транспорт, 1979. -
159 с.
. Общий курс и правила технической
эксплуатации железных дорог. - М.: Транспорт, 1986. - 45 с.
.. Инструкция по движению поездов и
маневровой работе на железнодорожном транспорте предприятий системы Министерства
черной металлургии СССР. Ответственный за выпуск Л. Н. Бугина. - М.: Транспорт,
1988. - 160 с.
. Калинин В. К. и др. Общий курс
железных дорог. - М.: Высшая школа, 1977. - 455 с.
. Бройтман Э. З. Железнодорожные
станции и узлы. - М.: Маршрут, 2004. - 372 с.
. Железнодорожные станции и узлы:
Учебник для вузов ж.-д. трансп./ Шубко В. Г., Правдин Н. В., Архангельский Е.
В. и др.; под ред. Шубко В. Г. и Правдина Н. В.- М.: УМК МПС России, 2001. -
368 с.
. Савченко И. Е. и др.
Железнодорожные станции и узлы, 2 изд., - М.: 1967. - 321 с.
. Скалов К. Ю. Устройство пути и
станций. - М.: Транспорт, 1986. - 443 с.
. Сотников И. Б. Эксплуатация
железных дорог. - М.: Транспорт, 1984. - 26с.
. Жуков В. И. Охрана труда на
железнодорожном транспорте. - М.: Транспорт, 1988. - 366 с.