Генерирование случайных событий
Министерство образования и науки Российской Федерации
Санкт-Петербургский политехнический университет
Институт информационных технологий и управления
Кафедра систем и технологий управления
Реферат
Дисциплина: Теория случайных
процессов
Тема: Генерирование случайных событий
Выполнил
студент гр.33503/3
Ауере Н.С
Руководитель,
проф.
Смирнов Ю.М.
Санкт-Петербург
2015
1. общие положения
Оптимальной называется такая система автоматического управления, которой
тем или иным способом приданы наилучшие качества в каком-либо определенном
смысле. Так, например, система, обеснечиваюшая максимально возможную точность
управления объектом, является оптимальной в смысле минимума ошибки. Система,
которая переводит объект из заданного начального состояния в конечное за
минимально возможное время, является оптимальной по быстродействию. Система,
решающая ту же задачу за заданное время при минимально возможных затратах
энергии, является оптимальной в смысле минимального расхода энергии на
управление.
Таким образом, при синтезе оптимальных систем требуется добиться не
просто заданных показателей качества (точность, запас устойчивости,
быстродействие и др.), а наилучших показателей по определенному виду качества,
наиболее важному для конкретной системы (например, по быстродействию), т. е.
<<вы-жать>> из системы все, что она может дать именно по этому виду
качества. Однако в ряде случаев это достигается за счет ухудшеия других
показателей качества.
Далее рассматривается два класса систем: системы программного управления,
управляющее воздействие в которых не использует информацию о текущем состоянии
объекта, и системы автоматического регулирования (системы стабилизации
программного движения), действующие по принципу обратной связи.
Вариационные задачи, возникающие при построении оптимальных систем
программного и стабилизирующего управления. Теория оптимального управления
(принцип максимума Л. С. Понтрягина и метод динамического программирования Р.
Беллмана) является фундаментом для построения оптимальных систем. Она доставляет
большой объем информации о структуре оптимального управления. Свидетельством
последнего являются оптимальные по быстродействию управления. Дело в том, что
математическая теория оптимального управления позволяет свести процесс
построения оптимального управления к решению краевой задачи для
дифференциальных уравнений (обыкновенных либо в частных производных).
фильтрация калман вектор
информация
2. Синтез стохастических систем при неполной информации о векторе
переменных состояния. Оптимальное наблюдение (оптимальная фильтрация)
Структура оптимального регулятора. Пусть не все перемен-ные состояния
объекта доступны непосредственному измерению и пусть, кроме того, измерения
осуществляются с помехами. Тогда объект управления описывается уравнениями.
где, как и ранее, f(t) - µ-мерный вектор внешних возмущений, являющийся
гауссовским случайным процессом типа «белый шум» с нулевым математическим
ожиданием и заданной ковариационной матрицей R(1)(t); А (t), В (t), ψ (t)- заданные матрицы; у(t) -
r-мерный вектор измеряемых переменных; х (t) - это r-мерный вектор помех (шумов), также являющийся случайным
процессом типа «белый шум» с нулевым математическим ожиданием и ковариационной
матрицей
где R(2)(t)- заданная положительно-определенная матрица размеров r Х r.
Далее предполагается, что внешние возмущения и помехи измерений
независимы (не коррелированы).
Наконец, обозначим
и будем полагать, что начальные условия не зависят от возму-щений и
помех, а вектор
и матрица R(0)
размеров n X n из-вестны.
Требуется найти управление u,
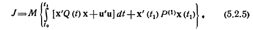
зависящее от измеряемого вектора у, такое, чтобы критерий
где Q (t), Р(1) - заданные положительно- определенные матрицы,
принимал наименьшее значение.
Регулятор, формирующий искомое управление, состоит из двух частей:
устройства, реализующего оптимальный закон (5.1.6), в котором вместо
неизвестного вектора переменных состояния х подставляется его оценка х,
вырабатываемая во втором устройстве - наблюдателе. Как и в детерминированном
случае, наблюдатель описывается уравнением
в котором матрица К(t)
определяется из условия минимума функционала
(где А (t)- заданная положительно-определенная
матрица) ошибки е=х - х восстановления (наблюдения, фильтрации).
При таком определении матрицы К(t) уравнение (5.2.6) описывает оптимальный наблюдатель (оптимальный
фильтр) .
Таким образом, цель последующего состоит в нахождении матрицы К(t) из условия минимума (5.2.7) и в
доказательстве принципа разделения, который является основанием для
представления регулятора из двух частей.
Отметим, что уравнение устройства восстановления (5.2.6) исходя из
эвристических соображений. В действительности же оно впервые было получено в
работе [5.6] Р. Калмана и Бьюси, которая явилась дальнейшим развитием
результатов А. Н. Колмогорова и Н. Винера [5.4, 5.5] по оптимальной фильтрации.
3. Оптимальный наблюдатель (оптимальный фильтр Калмана -Бьюси)
Утверждение 5.2.1. Матрица К (t) уравнения наблюдателя (5.2.6), при которой (5.2.7) достигает
минимального значения, определяется выражением
где Ре(t)- матрица размеров n Х n, являющаяся решением уравнения Риккати
с начальным условием
Начальное условие для наблюдателя (5.2.6) должно быть выбрано в виде
Доказательство этого утверждения приведено в приложении 6. Наблюдатель
(5.2.6), у которого матрица К(t) и
начальные условия определяются соотношениями (5.2.8)...(5.2.I1), часто называют фильтром Калмака -
Бьюси по имени авторов этих соотношений .
Нетрудно заметить сходство в решении задач оптимального управления (АКОР)
и оптимальной фильтрации. Действительно, сравнивая выражении заключаем, что
если положить
К (t) = -С (t), D' (t) = В (t) , Ре(t) = Р
(t) R(2)=Q(1),
А' (1) =А (t)
то эти выражения совпадают с точностью до знака производной и краевых
условий. (В первом случае эти условия заданы в конечный момент времени t1, а в случае оптимального наблюдения
- в начальный момент времени t0.)
Это сходство является выражением двойственности (дуальности) задач оптимального
управления и наблюдения.
Еще раз отметим, что матрица коэффициентов усиления оптимального
наблюдателя строится на основе решения уравнения Риккати (5.2.9) В. «прямом»
времени, тогда как в задаче оптимального управления это уравнение решается в
«обратном» времени.
В стационарном случае уравнения (5.2.1), (5.2.2) принимают вид
где случайные процессы f(t) , х(t) типа «белый шум» характеризуются постоянными
ковариационными матрицами R(1) и
R(2).
Матрица К оптимального наблюдателя
определяется как
где Ре-матрица чисел (размеров n Х n) есть решение алгебраического
уравнения
которое находится как установившееся решение дифференциального уравнения
(5.2.9) (в котором А (t) =А,
D (t) =D, R(1)(t)=R(1), R(2)(t) =R(2) )
при t >∞. Такой наблюдатель
является оптимальным в смысле функционала
Отметим, что, как и в нестационарном случае, матрица К не зависит от
выбора матрицы л функционала оптимизации.
Пример 5.2.1. Построим оптимальный наблюдатель для объекта (4.2.20),
(4.2.21), возбужденного случайными внешними возмущениями, при неточных
измерениях. Уравнения (4.2.20), (4.2.21) примут в этом случае вид
где (1), х(1) - случайные процессы типа «белый шум» с интенсивностями
> 0,
> 1 соответственно.
Наблюдатель, оптимальный в смысле функционала
, описывается в соответствии с (5.2.14) уравнениями

где
,
,
являются решением матричного уравнения вида (5.2.16):
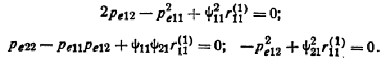
В развернутой форме это уравнение запишется как
Из последнего уравнения получаем
Подставляя это выражение в первое из уравнений, получим
Подставляя во второе уравнение, заключаем, что
Искомые параметры
4. Теорема разделения
Возвращаясь к задаче оптимального стохастического управления при неполной
информации о векторе переменных состояния, отметим, что ее решение является
комбинацией решения задачи оптимального стохастического управления при полной
информации о векторе переменных состояния и решения задачи оптимального наблюдения.
Сформулируем этот результат в виде теоремы.
Теорема 5.2.1 (Теорема разделения). Оптимальное в смысле функционала
(5.2.5) стохастическое управление объектом (5.2.1), (5.2.2) имеет вид
где С'(t) - матрица коэффициентов усиления, определяемая соотношениями
(5.1.7)...(5.1.9), которые получены для оптимального в смысле функционала
(5.2.5) стохастического управления при полностью измеряемом векторе состояния
объекта (5:2.1); вектор х(1)-это n-мерный
вектор переменных состояния оптимального в смысле функционала (5.2.7)
наблюдателя (5.2.6), матрица К(t) коэффициентов усиления которого определяется
выражениями (5.2.8), (5.2.9).
5. Восстановление переменных состояния нелинейных объектов
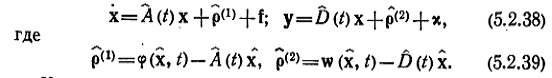
Рассмотрим объект управления, описываемый нелинейными уравнениями
где φ(х, u, t) w(х, t) - заданные п- н r-мерные
вектор-функции своих аргументов; f(t) и х(1) - случайные процессы типа «белый
шум» с известными ковариационными матрицами (5.1.3), (5.2.3);
х(0) - случайный вектор, характеризуемый (5.2.4).
Пусть требуется по результатам измерения вектора у восстановить
неизмеряемый вектор состояния объекта х.
Для решения этой задачи используются линеаризованный фильтр и расширенный
фильтр, которые являются эвристическим обобщением алгоритма восстановления
(оптимальной фильтрации) линейных объектов.
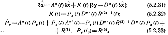
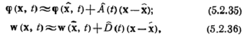
Рассмотрим вначале линеаризованный фильтр. Предположим, что известна
программная траектория х*(1), u*(t), являющаяся решением уравнения (5.2.29) при
некотором x*(
) и f(t) = 0. Если отклонения δу = у-у* от заданного значения
измеряемого вектора у*=w(х*, t) н отклонение δх=х-х* малы, то искомая оценка х=х*+δx, где δх определяется соотношениями вида
(5.2.6), (5.2.9)...(5.2.11), которые принимают вид:
В которых элементы
(t) и
(t) (i, j =
k =
) матриц A*(t) и D*(t) определяются
как
Приведем теперь уравнения расширенного фильтра. Будем полагать для
простоты, что в уравнениях объекта u = 0.
Пусть в некоторый момент времени t получена оценка
вектора состояний объекта (5.2.29),
(5.2.30). Разложим вектор-функции φ(х, u, t) и w(х, t) в ряд Тейлора в
окрестностях этой оценки и ограничимся первыми двумя членами этого ряда:
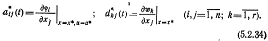
где элементы
(t),
(t) матриц А(t) и D(t) определяются выражениями
С учетом этих выражений соотношения (5.2.29), (5.2.30) примут вид
Устройство восстановления для «объекта» (5.2.38) описывается в
соответствии с (5.2.6) уравнением
где матрица К(t) определяется соотношениями (5.2.32) н (5.2.33), в
которых следует заменить D*(t) на D(t), a A*(t) - на A(t).
Отметим, что, учитывая (5.2.39), можно записать (5.2.40) в виде
Литература
1) Оптимальные
и адаптивные системы. Москва. 2006 г. 269с. Александров А.Г.
2) Теория
систем автоматического управления. Спб. 2006. 744с. Бесекерский. В.А.
) Цифровая
обработка изображений. Москва. 2012 г. 1104с. Л.И. Рубанова, П.А. Чочиа.
4) Нелинейная
оптимальная фильтрация в примерах и задачах стр. Шахтарин Б.И.
<http://www.techbook.ru/book_list.php?str_author=%D0%A8%D0%B0%D1%85%D1%82%D0%B0%D1%80%D0%B8%D0%BD%20%D0%91.%D0%98.>