Управление проектом информационной системы 'Учет программного обеспечения' для ОАО 'Кунгурский машзавод' в программе MSProject

  • Вид работы:
    Курсовая работа (т)
  • Предмет:
    Информационное обеспечение, программирование
  • Язык:
    Русский
    ,
    Формат файла:
    MS Word
    396,79 Кб
  • Опубликовано:
    2016-04-29
Вы можете узнать стоимость помощи в написании студенческой работы.
Помощь в написании работы, которую точно примут!

Управление проектом информационной системы 'Учет программного обеспечения' для ОАО 'Кунгурский машзавод' в программе MSProject

Содержание

Введение

1. Структуризация проекта информационной системы

1.1 Анализ деятельности ОАО «Кунгурский машиностроительный завод»

1.2 Формирование базовых документов по управлению проектом ИС «Учет программного обеспечения»

1.2.1 Устав проекта

1.2.2 План управления проектом

2. Реализация проекта информационной системы «Учет товара» с использованием MS Project

2.1 Планирование проекта

2.2 Ресурсы проекта

2.3 Управление проектом

Заключение

Список использованных источников

Приложение

Введение

Машиностроение - отрасль тяжёлой промышленности, производящая всевозможные машины, орудия, приборы, а также предметы потребления и продукцию оборонного назначения.

Введение автоматизации на производстве позволяет значительно повысить производительность труда и качество выпускаемой продукции, сократить долю рабочих, занятых в различных сферах производства.

На сегодняшний день нет единого понятия информационной системы и информационных технологий. Тем не менее, во множестве источников информационная система определяется как взаимосвязанный комплекс методов и средств, а также персонала, который используется для поиска, сбора, обработки информации в интересах реализации поставленной цели. С точки зрения управленческих решений, информационная система, рассматривается как специальный инструмент в руках должностных лиц, реализующих переработку информации в процессе профессиональной деятельности. Можно сказать, что наличие этого инструмента фактически определяет новую технологию осуществления деятельности менеджеров как специалистов управления, выводит разрабатываемые и принимаемые ими решения на качественно новый уровень. [1]

На ОАО "Кунгурский машзавод" применение информационных технологий и систем имеет большую роль и значимость. Для качественной сборки нефтегазового оборудования, а также конструирования деталей для будущих специализированных автомобилей, турбобуров и осуществления управления технологическими процессами используют информационные системы. Для обеспечения информационных систем необходимо высокотехнологичный комплекс программных средств.

Систематизация и учет программного обеспечения позволит более профессионально управлять предприятием.

Актуальность выбранной темы заключается в том, что учет программного обеспечения облегчит работу ИТ отдела на заводе и в частности работу системного администратора.

В данной курсовой работе осуществляется управление проектом информационной системы «Программное обеспечение». Управление проектом представляет собой методологию организации, планирования, руководства, координации человеческих и материальных ресурсов на протяжении жизненного цикла проекта, направленную на эффективное достижение его целей путем применения системы современных методов, техники и технологий управления для достижения определенных в проекте результатов по составу и объему работ, стоимости, времени, качеству. Для эффективного управления проектами система должна быть хорошо структурирована. Суть структуризации сводится к разбивке проекта и системы его управления на подсистемы и компоненты, которыми можно управлять.[2]

Для управления проектами используется специализированное программное обеспечение, такое как Microsoft Project, Planner, GanttProject и др.

Управление проектом «ИС Программное обеспечение» будет осуществляться в MSProject. Microsoft Project- программа управления проектами, разработанная и продаваемая корпорацией Microsoft. Данный программный продукт создан, чтобы помочь менеджеру проекта в разработке планов, распределении ресурсов по задачам, отслеживании прогресса и анализе объёмов работ. Microsoft Project создаёт расписания критического пути. Расписания могут быть составлены с учётом используемых ресурсов. Цепочка визуализируется в диаграмме Ганта.[3]

Целью работы является осуществление ведения проекта ИС «Программное обеспечение» для ОАО «Кунгурский машзавод» в программе MSProject.

Для решения поставленной цели, нужно выполнить следующие задачи:

1   проанализировать деятельность предприятия;

2       разработать Устав проекта и План управления проектом в соответствии с предметной областью предприятия;

         осуществить управление проектом в MSProject.

Курсовая работа состоит из введения, двух разделов и заключения. В первом разделе речь идет о структуризации проекта, а во втором -управлении разработкой ИС.

Проект всегда нацелен на результат, на достижение определенных целей, на определенную предметную область. Если качественно управлять проектом, то его можно будет использовать в любых организациях с подобной предметной областью.

1. Структуризация проекта информационной системы

Проект - это временное предприятие, предназначенное для создания уникальных продуктов, услуг или результатов. Из этого определения можно сделать вывод о том, что всем проектам присущи три важные характеристики:

         наличие дат начала и завершения;

         результат каждого проекта - уникальный продукт или услуга;

         направленность проекта на достижение определенных целей.

Исходя из определения проекта, можно сформулировать, что такое управление проектами. Это область управления, охватывающая те сферы деятельности компании, в которых создание продукта или услуги реализуется как уникальный комплекс взаимосвязанных целенаправленных мероприятий при определенных требованиях, касающихся сроков, бюджета и характеристик ожидаемого результата.

Проект не существует сам по себе, а находится в динамичной внешней среде и подвержен влиянию различных факторов, представленных на рис. 1.

Рисунок 1 - Факторы, влияющие на проект

1.1   
Анализ деятельности ОАО «Кунгурский машиностроительный завод»


Открытое акционерное общество «Кунгурский машиностроительный завод» - это крупнейшее предприятие России по выпуску нефтегазопромыслового оборудования.

В настоящее время завод выпускает более 20 модификаций ремонтных и буровых агрегатов грузоподъемностью от 20 до 160 тонн (УРБ-ЗАЗ, БА15В, АР23/40М, А60/80М1, АРБ100, МБУ125, МБУ140 и МБУ160), исполненные на различных автомобильных шасси и прицепах МАЗ, КрАЗ, УРАЛ, БАЗ и МЗКТ.

Так же освоено собственное производство самоходных авто шасси типа ПС 4х, 5ти, 6ти и 7ми основного исполнения, которые применяются в качестве базы для ремонтных и буровых агрегатов и могут выпускаться по отдельному заказу потребителей.

Буровые и ремонтные агрегаты производства ОАО «Кунгурский машзавод» используются при структурно-поисковом бурении на нефть, газ и другие полезные ископаемые, при бурении скважин для промыслового водоснабжения, для текущего и капитального ремонта и освоения нефтяных и газовых скважин, а также для бурения эксплуатационных скважин на нефть и газ глубиной до 3500 метров.

Кроме того, завод специализируется на выпуске турбобуров и винтовых забойных двигателей в габарите от 76 до 240мм. Организованно производство запасных частей и бурового инструмента по всей номенклатуре выпускаемых агрегатов и ВЗД.

Продукция предприятия пользуется устойчивым спросом в нефтегазопромысловых организациях России и экспортируется в страны ближнего и дальнего зарубежья. ОАО «Кунгурский машзавод» имеет все виды производств, необходимые для изготовления нефтепромыслового оборудования.

В состав завода входят литейное производство по выпуску отливок из стали и чугуна, кузнечнопрессовое производство поковок и штамповок, производство сварных металлоконструкций, термическое, механообработка, сборочное и окрасочное производство, производство резинотехнических изделий.

На заводе применяются следующие технологические процессы:

-       отливка стальных и чугунных заготовок;

-       получение заготовок свободной ковкой и штамповкой;

-       получение заготовок лазерной и газовой резкой;

-       хромирование и др.

Упаковка, хранение и отгрузка готовой продукции. В ИТ отделе происходит управление информационной части предприятия, то есть установка программного обеспечения, операционных систем, разграничение прав доступа, починка самих компьютеров, заправка картриджей и др.

В организации сложились следующие правила внутреннего трудового распорядка. Завод открывается в 7.00, закрывается в 0.00 часов. Первая смена работает с 7.00 до 17.00 с перерывом на обед с 12.00 до 13.00. Каждый сотрудник работает в сумме 40 часов в неделю, как предусмотрено трудовым законодательством, также предусматривается время на подготовительную - заключительную работу с включением его в рабочее время, обеспечивается ритмичное чередование времени труда и отдыха работников в течение дня.

На предприятии необходимо вести складской учет в данном случае ИТ отдела, регистрировать поступление новой информационной техники в частности программных продуктов, проводить инвентаризации.

Из всего вышесказанного можно сделать вывод что внедрение информационной системы на предприятие крайне необходимо. Для того чтобы ИС была качественной, необходим хороший проект, которым нужно осуществить управление. В итоге, чтобы получить ожидаемый результат, нужно собрать данные для создания проекта и управлять им.

1.2   
Формирование базовых документов по управлению проектом ИС «Учет программного обеспечения»


Чтобы грамотно управлять проектом информационной системы, нужно сформировать базовые документы по управлению проектом. Базовыми будут являться Устав и План управления проектом.

1.2.1 Устав проекта

Устав проекта (приложение А) <file:///C:\Documents%20and%20Settings\Admin\Мои%20документы\Rescue.asd> - документ, который авторизует выполнение проекта в организации и дает право руководителю проекта задействовать ресурсы организации в проекте.

Устав проекта должен содержать следующую информацию:

1   требования к проекту и продукту проекта, в достаточно общем виде;

2       цель проекта;

         информация о назначенном менеджере проекта и уровне его полномочий;

         расписание контрольных событий;

         отношения между участниками проекта;

         функциональные организации и их участие;

         допущения относительно организации и окружения, а также внешние допущения;

         ограничения относительно организации и окружения, а также внешние ограничения;

         реальная бизнес-ситуация, служащая обоснованием проекта с данными о прибыли на инвестиции;

         бюджет проекта. [4]

Написание устава значительно повышает вероятность успешного завершения проекта. Дело в том, что он документирует в явном виде намерения участников проекта в самом начале проекта и может служить основополагающей точкой разрешения споров между участниками проектной команды и исполняющей организацией. Ключевой точкой в уставе проекта является соглашение Кузминых А.П. с ОАО «Кунгурский машиностроительный завод» о невозможности изменения устава проекта без изменения других проектных параметров. Если устав проекта подписан вышестоящим руководителем, то в случае перевода в другой проект одного или нескольких исполнителей, автоматически инициируется пересмотр графика проекта, его стоимости и функционала продукта. Для руководителя проекта гораздо проще и безопаснее добиться переноса сроков в момент изменения устава, чем в конце проекта.


1.2.2 План управления проектом

План управления проектом (Приложение Б) - пакет утвержденных формальных документов, в которых указано, как проект будет исполняться, и как будет проходить мониторинг и управление проектом. План может быть обобщенным или подробным, а также может включать один или несколько вспомогательных планов управления и другие документы по планированию.

Процесс разработки Плана управления проектом есть процесс документации действий, необходимых для определения, подготовки, интеграции и координации всех вспомогательных планов. Корректно составленный План является основным источником информации о том, как проект будет планироваться, оцениваться, контролироваться и закрываться.

План управления проектом делится на 3 блока по характеру содержащейся информации:

         вспомогательные планы (содержание, расписание, стоимость, качество, персонал, коммуникации, риски, конфигурация)

         базовая линия проекта (расписание, стоимость, качество, конфигурация, риски)

         результаты анализа.

Документ объединяет следующие планы:

-       план управления содержанием

-       план управления расписанием

-       план управления стоимостью

-       план управления качеством

-       план управления персоналом

-       план управления коммуникациями

-       план управления рисками и т.д.

Для проекта информационной системы «Учет товара» создан план управления проектом, план управления коммуникациями и план управления рисками.

В первом разделе плана управления проектом указывается название проекта, которое должно отражать его суть. Название не уместно изменять на протяжении всего жизненного цикла проекта. Во втором разделе определяются цели и задачи проекта. Цели формируются исходя из требований заказчика, которые в данном случае заключаются в автоматизации основных бизнес-процессов предприятия: привлечение клиентов и увеличение прибыли. Третий раздел определяет требования к проектному решению и результаты проекта. Этот раздел является элементом базового содержания проекта. Для обеспечения связи между требованиями заказчика и результатами проекта рекомендуется использовать функцию качества.

Чтобы определить инструмент для реализации управления проектом используется пятый раздел Плана.

Шестой раздел представляет иерархическую структуру работ - это способ группировки элементов проекта, который упорядочивает и определяет общее содержание проекта. (Рисунок 2)

Рисунок 2 - Иерархическая структура работ

Седьмой раздел - это потребность в ресурсах, которая определяется трудоемкостью работ, отраженных в разработанной иерархической структуре работ.

Восьмой раздел - показывает укрупненный календарный план. Он разрабатывается на основе контрольных событий, информации из Устава проекта и информации из используемой методологии проектного управления.

Девятый раздел - называется критические факторы успеха. Он показывает условия, обеспечение которых на проекте может быть залогом успеха.

Главными разделами являются десятый и одиннадцатый - это допущения и ограничения по проекту со стороны исполнителя.

Десятый раздел - это набор условий, которые должны быть выполнены наряду с созданием продукта проекта для достижения результата проекта. Допущения обуславливают риски проекта; во время проекта происходит их мониторинг.

Одиннадцатый раздел - сводка правил управления проектом с приставкой "не", набор некоторых параметров проекта или его продукта, которые не будут реализованных в рамках данного проекта. К ограничениям так же относятся все факторы, которые могут послужить ограничением степени свободы участников команды. Как пример, можно привести такие ограничения: ограничения по бюджету, ограничение по срокам проекта (deadline), по человеческим ресурсам и т. д.

Двенадцатый раздел - это первоначально сформулированные риски. Важен он потому что, риски, которые были определены на ранних стадиях реализации проекта, помогут избежать грубых нарушений впоследствии.

В план управления входит План управления коммуникациями и План управления рисками.

Управление коммуникациями проекта (Приложение В) -управленческая функция, направленная на обеспечение своевременного сбора, генерации, распределения и сохранения необходимой проектной информации. Под информацией понимают собранные, обработанные и распределенные данные. Чтобы быть полезной для принятия решений, информация должна быть предоставлена своевременно, по назначению и в удобной форме. В качестве основных потребителей информации проекта выступают: заказчик для осведомленности о ходе выполнения работ проекта; поставщики при возникновении потребности в материалах, необходимых для выполнения работ; исполнители работ.

Управление коммуникациями обеспечивает поддержку системы связи между участниками проекта, передачу управленческой и отчетной информации, направленной на обеспечение достижения целей проекта. Каждый участник проекта должен быть подготовлен к взаимодействию в рамках проекта в соответствии с его функциональными обязанностями.

План коммуникаций является составной частью плана управления проекта. Он включает в себя: предмет коммуникации, цель коммуникации, частоту, дату начала и завершения, формат/средство связи и ответственное лицо.

В рамках проекта существуют следующие виды коммуникаций:

         внутренние и внешние (накладные, документы по отчетности, расчеты с поставщиками);

         формальные и неформальные (передача информации между куратором и руководителем должна поддерживаться документально. Общение между сотрудниками не документируются);

         письменные и устные (печатные документы, рукописные документы, передача информации по факсу. Передача информации в диалоге, электронное общение, общение по стационарному телефону).

Системы сбора и распределения информации должны обеспечивать потребности различных видов коммуникаций. Для этих целей могут использоваться автоматизированные и неавтоматизированные методы сбора, обработки и передачи информации. Неавтоматизированные методы включают сбор и передачу данных на бумажных носителях, проведение совещаний. Автоматизированные методы предусматривают использование компьютерных технологий и современных средств связи для повышения эффективности взаимодействия: электронная почта, системы документооборота и архивирования данных. Процессы сбора и обработки данных о фактических результатах и отображение информации о состоянии работ в отчетах обеспечивают основу для координации работ, оперативного планирования и управления. Отчетность о ходе выполнения включает: информацию о текущем состоянии проекта; информацию об отклонениях от базовых планов; прогнозирование будущего состояния проекта. Основные промежуточные результаты хода работ должны быть формально документированы.[5]

Предмет коммуникации: отчеты о проделанной работе;

Цель коммуникации: контроль хода управления проектом информационной системы «Учет программного обеспечения»;

Частота коммуникации: еженедельно;

Дата начала/завершения: 08.02.2015 - 10.03.2015;

Формат/средство связи: по электронной почте и в бумажном виде;

Ответственное лицо: каждый участник команды проекта.

План коммуникаций обеспечит своевременный сбора и сохранение необходимой проектной информации и в дальнейшем может быть использован как шаблон при управлении другими похожими проектами.

Так же важным документом является План управления рисками. Причиной возникновения рисков являются неопределенности, существующие в каждом проекте. Риски могут быть "известные"- те, которые определены, оценены, для которых возможно планирование. Риски "неизвестные" - те, которые не идентифицированы и не могут быть спрогнозированы. Хотя специфические риски и условия их возникновения не определены, но большую часть рисков можно предвидеть. Процесс управления рисками предполагает проведение определенных шагов, в том числе: выявление предполагаемых рисков; анализ и оценки проектных рисков; выбор управления рисками; применение выбранных методов; оценку результатов управления рисками.

Управление рисками - специфическая область менеджмента, требующая знаний в области теории фирмы, страхового дела, анализа хозяйственной деятельности предприятия, математических методов оптимизации экономических задач. Управление рисками осуществляется на всех фазах жизненного цикла проекта с помощью мониторинга, контроля и необходимых корректирующих воздействий.

Процесс управления рисками проекта обычно включает выполнение следующих процедур:

     планирование управления рисками - выбор подходов и планирование деятельности по управлению рисками проекта;

2       идентификация рисков - определение рисков, способных повлиять на проект, и документирование их характеристик;

         качественная оценка рисков - качественный анализ рисков и условий их возникновения с целью определения их влияния на успех проекта;

         количественная оценка - количественный анализ вероятности возникновения и влияния последствий рисков на проект;

         планирование реагирования на риски - определение процедур и методов по ослаблению отрицательных последствий рисковых событий и использованию возможных преимуществ;

         мониторинг и контроль рисков - мониторинг рисков, определение остающихся рисков, выполнение плана управления рисками проекта и оценка эффективности действий по минимизации рисков.

Таблица 1 - Реестр рисков

Первопричина

Условие

Последствие

Сдвиг сроков по проекту со стороны Заказчика

Заказчику по какой-то причине стало необходимо ранее получить результат

Некорректное управление проектом

Изменение требований к управлению проектом со стороны Заказчика

На предприятии Заказчика изменилась организационная структура

Ошибки в управлении проектом

Изменения в технологии управления проектом

Исполнитель по каким-то причинам на поздних стадиях управления проектом изменил технологию управления проектом.

Обмен информацией значительно затрудняется. Некачественное управление проектом


Идентифицированные риски документируются в реестре рисков (Таблица 1).

Чтобы грамотно управлять проектом информационной системы были сформированы базовые документы - Устав и План управления проектом. Составив План управления проектом, стало ясно, зачем и как будет реализовано управление проектом, в какие сроки нужно собрать информацию, чтобы качественно управлять проектом, и какое программное обеспечение для этого необходимо.

Внедрение проектного управления потребовало немного изменений в деятельности данного предприятия, а конкретно в использовании некоторого технического и программного обеспечения, а также в организационной структуре организации. Управление проектом даст компании серьезные преимущества, поскольку позволит быстро реагировать на повышение ассортимента продукции и увеличение клиентов.

Для эффективного управления проектом вся необходимая информация структурирована. Суть структуризации сводится к анализу деятельности организации и формированию базовых документов по управлению проектом информационной системы.

Целью управления проектом является достижение заранее определенных целей при заранее известных ограничениях и целесообразном использовании возможностей, реагировании на риски.


2. Реализация проекта информационной системы «Учет товара» с использованием MS Project

Выбор программного продукта для управления проектом зависит от таких факторов как: масштаб и цели проекта. Управление проектом информационной системы «Учет программного обеспечения» будет осуществлено в таком программном обеспечении, как MS Project. Эта программа является удачной для данного проекта, т.к. он не финансируется, имеет небольшие масштабы и нацелен на стандартные результаты. Работа в MS Project требует от пользователя знакомства с теорией управления проектом и знания основных терминов и понятий.Project, является мощным инструментом, помогающим управлять процессом планирования и выполнения проекта.

2.1    Планирование проекта


Процесс планирования в среде MS Project есть своя специфика. После того как были определены цели проекта и сформулированы основные этапы и определено их содержание - был создан план управления проектом. Он поможет занести данные в MS Project. Необходимо создать и структурировать список задач проекта (Таблица 2), для каждой задачи нужно определить длительность и установить зависимости между задачами. Планирование осуществляется способом расчета критического пути.

Структурное планирование включает в себя:

1     разбиение проекта на совокупность отдельных работ, необходимых для реализации проекта;

2       построение сетевого графика, где описывается последовательность выполнения работ;

         оценка временных характеристик работ и анализ сетевого графика.

Основную роль на этапе структурного планирования играет сетевой график. Сетевой график - это ориентированный граф, в котором вершинами обозначены работы проекта, а дугами - временные взаимосвязи работ. График позволяет по заданным значениям длительностей работ найти критические работы проекта и его критический путь. Критической называется работа, для которой задержка ее начала приведет к задержке срока окончания проекта в целом.

Критический путь - это путь от начальной к конечной вершине сетевого графика, проходящий только через критические работы. Суммарная длительность работ критического пути определяет минимальное время реализации проекта. Нахождение такого пути сводится к нахождению критических работ в два этапа:

       вычисление раннего времени начала каждой работы проекта;

2       вычисление позднего времени начала каждой работы проекта.

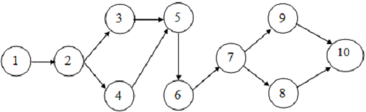
Чтобы вычислить критический путь для проекта информационной системы «Учет программного обеспечения», нужно определить работы по проекту, их длительность и предшественников.

Таблица 2 - Задачи проекта

Название работы

Длительность

Предшественники

1

Начало проекта

0 дней

-

2

Документация

3 дней

1

3

Приобретение ПО

2 дней

2

4

Приобретение ТО

3 дней

2

5

Создание системы

6 дней

3;4

6

Установка системы на ПК

3 дней

5

7

Ввод данных

4 дней

6

8

Обучение персонала

5 дней

7

9

Передача в эксплуатацию

2 дней

7

10

Конец проекта

0 дней

8;9


После чего, как были определены работы по проекту, нужно отразить их в сетевом графике. (Рисунок 3)

Рисунок 3 - Сетевой график

В дальнейшем производится вычисление раннего и позднего времени и составляется сводная таблица, где высчитывается резерв времени. И по этой таблице строится итоговый сетевой график, что и будет являться критическим путем работ по проекту.

Проект обязательно нужно закончить по расписанию, для этого необходимо обратить внимание на задачи на критическом пути и назначенные им ресурсы. Если критическая задача занимает больше времени, чем ожидалось, или ресурсы для критической задачи неожиданно становятся недоступными, проект не будет выполнен к первоначальной дате окончания. Последовательность задач взаимосвязана с использованием зависимости задач. Хотя в плане проекта имеются последовательности взаимосвязанных задач, критический путь проекта определяется последовательностью задач, которая будет завершена последней.

В MS Project критические задачи определяются как задачи, которые не имеют запаса времени (резерва). Однако можно изменить условие, когда задача становится критической - тем самым делать задачу критической, если она имеет запас времени в один или два дня. Это удобно, если требуется получать предупреждения о том, что задачи становятся критическими, когда все еще остается запас в один - два дня.

Запас времени определяется как разница между датами. В случае критических задач (задач, не имеющих запаса времени) даты раннего и позднего окончания совпадают. [6]

2.2    Ресурсы проекта


Эффективное управление ресурсами - одно из главных достоинств MS Project. Оценка ресурсов плановой операции призвана определить, какие ресурсы (человеческие, оборудование или материальные средства) будут использоваться и в каком количестве, и когда каждый из ресурсов будет доступен для выполнения проектных операций.

Ресурсы - это исполнители, оборудование и материалы, необходимые для выполнения задач проекта.

В Project представлено три типа ресурсов:

-     трудовые ресурсы - это исполнители и оборудование, занятые в проекте;

-       материальные ресурсы - материалы, потребляемые при выполнении задач проекта;

-       затратные ресурсы - затраты, которые не связаны с использованием трудовых или материальных ресурсов, но должны быть учтены в плане проекта.

В MS Project для ресурсов определены свойства: доступность и стоимость. Доступность определяет, когда ресурс может работать над выполнением задач проекта, стоимость - затраты, связанные с использованием данного ресурса в проекте.

Для определения рабочего времени и выходных дней ресурса, может быть создан собственный календарь ресурса.

Планирование ресурсов начинается с определения состава ресурсов.

Количество ресурсов в проекте ограничено.

Можно вводить ресурсы по мере их назначения задачам, или использовать список ресурсов, созданный для данного проекта.

В проекте - 10 задач, каждой задаче соответствует от 1 до 3 ресурсов. Это говорит о том, что перегруженности нет.

Далее составлен список человеческих и материальных ресурсов для работы с задачами проекта:

-       Курбатов В.Е - разработчик проекта;

-       Иванов Е.А - бизнес-эксперт проекта;

-       Антипина С.Б - руководитель проекта;

-       техническое обеспечение;

-       программное обеспечение.

Для работы со списком ресурсов используется представление Лист ресурсов.

Чтобы связать задачу и ресурс, используют назначения. Задачам могут назначаться трудовые, материальные и затратные ресурсы. Ресурсы назначаются задачам проекта для того, чтобы указать, кто или что необходимо для выполнения этих задач согласно календарному плану. После выполнения назначений задачи планируются в соответствии с календарями ресурсов и единицами назначения, что позволяет осуществлять более точное планирование. Одной задаче может быть назначено несколько ресурсов. Один ресурс может быть назначен нескольким задачам.

Выравнивание ресурсов - этопроцесс откладывания или разбиения трудозатрат ресурса по задаче в целях устранения превышения доступности. Вы можете использовать параметры диалогового окна«Выравниваниезагрузкиресурсов», чтобы указать, как программа должна устранять превышения доступности ресурсов. Операцию выравнивания загрузки ресурсов часто приходится делать в процессе оперативного управления проектом.

Для выравнивания применяются следующие основные приемы:

     уменьшение объема назначения ресурса на некоторую задачу. Это может привести к увеличению ее длительности пропорционально ежедневному уменьшению трудозатрат;

2       реорганизация сетевого графика работ. В результате параллельные задачи, на которые назначен перегруженный ресурс, становятся последовательными и перегруженность преодолевается;

         замена перегруженного ресурса другим свободным ресурсом или несколькими свободными. В результате повышаются риски снижения качества и увеличения длительности задачи;

         вставить перерывы в задачах или назначениях для ликвидации их пересечений. Наличие перерыва позволяет высвободить один или все ресурсы задачи, которые перестают быть перегруженными. Результат - увеличение длительности задачи;

         учесть сверхнормативные трудозатраты ресурсов как сверхурочные. Сверхурочные трудозатраты назначаются сотрудникам в разумных пределах (не более 2 - 3 часов в сутки).

Любой из вышеперечисленных методов может привести к ухудшению показателей проекта - либо к увеличению длительности, либо к повышению стоимости, либо и к тому и к другому. Поэтому не существует никаких общих рекомендаций по выравниванию, которое в каждом конкретном случае выполняется в зависимости от индивидуальных особенностей проекта и ресурсов, а качество выравнивания существенно зависит от опыта менеджера проекта.

В системе имеется два способа выравнивания: автоматический и вручную. При автоматическом выравнивании MS Project сам пытается избавиться от перегрузки перемещением задач на другие сроки или вставкой перерывов между задачами, оперируя резервами времени некритических задач. При ручном выравнивании загрузки ресурсов используются следующие типовые приемы:

     изменение объемов назначений;

2       замена одного ресурса другим;

         редактирование распределения трудозатрат;

         прерывание задачи;

         перенос трудозатрат в сверхурочные.

В проекте информационной системы выполнено ручное выравнивание.

Это не произвело каких-то существенных изменений, поэтому автоматическое тоже уместно. Равномерное распределение трудозатрат в течение рабочего дня полезно не только тем, что ресурсы перестают быть перегруженными в плане проекта. В процессе распределения работ формируется их расписание, вплоть до момента начала и окончания определенной задачи в определенный день. Имея настолько детальный план работ, выполнять проект будет легче, поскольку в процессе выполнения проекта не придется думать о последовательности выполнения задач в течение дня, чтобы уложиться в срок и избежать простоя ресурсов.

2.3    Управление проектом


Управление проектом было осуществлено с помощью следующих процедур: создание гиперссылок, заметок и редактирование настраиваемых полей.

Чтобы сопроводить какую-либо задачу, ресурс или назначение заметкой, или документом нужно использовать вкладку Заметки диалогового окна сведений о задаче или ресурсе. Для быстрого отображения нужной вкладки диалогового окна можно на вкладке Задача (Ресурс) в группе Свойства нажать кнопку Заметки.

В проекте была создана заметка на ресурс Программное обеспечение. (Рисунок 4)

Гиперссылки можно создавать для задач, ресурсов и назначений. Особенно удобно это делать, когда документ, сопровождающий проект, слишком объемен, чтобы сохранять его в файле проекта. Гиперссылки можно создавать и на другие объекты: страницы Интернет, адреса электронной почты, различные элементы текущего документа. Чтобы создать гиперссылку нужно:

Рисунок 4 - Заметка к ресурсу

.        по любой ячейке задачи (ресурса, назначения) щелкнуть правой кнопкой мыши и в контекстном меню выбрать команду Гиперссылка;

.        в диалоговом окне Гиперссылка выбрать тип ссылки Файл;

.        при создании ссылки на файл с помощью элементов окна перейти в папку, содержащую нужный файл, и выделить его. Путь к файлу будет отображен в поле Адрес.

.        нажать кнопку ОК.

Гиперссылка была использована в проекте, для задачи Создание базовой документации, т.е. создана ссылка на документ с уставом проекта вместе с планом управления проектом. (Рисунок 5)

Рисунок 5 - Гиперссылка к задаче

Для создания нового поля проще всего на вкладке Проект в группе Свойства нажать кнопку Настраиваемые поля или нажать эту же кнопку на вкладке Формат в группе Столбцы. Можно также в любом представлении, в котором отображается таблица задач или ресурсов, щелкнуть правой кнопкой мыши по названию столбца и в контекстном меню выбрать команду Настраиваемые поля. Появится диалоговое окно Настраиваемые поля. Поля можно создавать как для таблиц задач, так и для таблиц ресурсов.

В проекте задачам были назначены Календари. Их вид - стандартный, т.к. весь персонал по проекту работает по стандартному графику. (Рисунок 6)

Рисунок 6 - Создание календарей

Из-за того, что систему уже можно считать начатой и что ранее были созданы базовые документы некоторые задачи нужно пометить как завершенные на 100 %. (Рисунок 7)

Рисунок 7 - Завершённые задачи

Описанная методика не претендует не универсальна, но она достаточно проста и логична, при этом позволила решить практические задачи проекта ИС «Учет программного обеспечения». Использование данного подхода позволит успешно, а так же в срок завершить проект. Правда, случались и сбои. Это происходило, потому что на задачу Создание системы отводится 20 дней, а трудовой ресурс предназначался один - поэтому программа выдавала, что доступность данного ресурса превышена. Но данная проблема была решена тем что объем работ этого ресурса в данной задаче был уменьшен со 100 % на 50 %.

Проект информационной системы реализован. Реализация началась с выбора программного обеспечения. Затем были созданы задачи с их продолжительностью и предшественниками, в программе был вычислен критический путь и построен сетевой график. Далее определены ресурсы. Тем временем эти задачи и ресурсы были занесены и связаны в программе MS Project. Для удобства работы со средой управления проектом, были осуществлены некоторые процедуры:

-       создание заметок;

-       гиперссылок;

-       настраиваемых полей.

Так как произошел сбой по загруженности ресурсов и выравнивание ресурсов не помогло, нужно было решать проблему. И пришлось воспользоваться объемом работ этого ресурса в задаче. В итоге управление проектом работает корректно и без сбоев.

Заключение

В процессе написания курсовой работы были проделаны два основных процесса - это структуризация проекта и реализация проекта в MSProject. Структуризация включает в себя анализ деятельности предприятия, он помог определить необходимость внедрения информационной системы на предприятие. Так же первый раздел включает формирование базовых документов, они структурируют и обобщают всю информацию о проекте и об окружении проекта. В результате этого раздела получилось общее мнение о проекте в целом. Второй раздел описывает реализацию проекта в MSProject. Чтобы управлять проектом, были определены ресурсы, задачи и их взаимосвязь. Для того чтобы было удобно управлять проектом, были осуществлены основные процедуры, такие как гиперссылки, заметки и т.д.

В ходе работы был выполнен ряд задач:

         проанализирована деятельность предприятия;

         разработан Устав проекта и План управления проектом в соответствии с предметной областью предприятия;

         осуществлено управление проектом в MSProject.

В результате достигнута цель курсовой работы - осуществлено управления проектом ИС «Учет программного обеспечения» для ОАО «Кунгурский машзавод». После создания проекта ИС, можно ее реализовать с помощью технических средств. Информационная систему будет выполнять следующие задачи:

         ведение учета программного обеспечения;

         осуществление приема заявок от работников;

         формирование документов ;

         формирование отчетов: по остаткам, по резервам;

Исходя из потребностей предприятия, приоритетов решаемых задач, допустимых сроков и затрат на внедрение можно выбирать оптимальный вариант автоматизации. При этом очень важно, что на базе одной и той же системы можно проводить поэтапную автоматизацию, получая реальную отдачу на каждом шаге. Начав с внедрения стандартных и специализированных решений, можно эффективно решить основные задачи автоматизации, затратив при этом минимум времени и средств, а в дальнейшем развивать систему в соответствии с индивидуальными особенностями предприятия, не останавливая при этом ее эксплуатации.

Список использованных источников

1.      Microsoft Project

.        Управление коммуникациями проекта

.        Управление критическим путем проекта

Приложение А

Таблица 1 - Устав проекта

Раздел

Пояснения

1

Название проекта

Управление проектом информационной системы «Программное обеспечение» для ОАО «Кунгурский машзавод»

2

Бизнес-причина возникновения проекта

Недостаточная скорость обработки заявок рабочих на установку ПО, бумажный документооборот

3

Бизнес-цель

Повысить скорость обработки заявок, автоматизировать учёт ПО

4

Требования, удовлетворяющие потребности, пожелания и ожидания заказчика, спонсора и других участников проекта

Автоматизировать регистрацию ПО, заявок на установку. За счёт этого уменьшить время на обработку данных, а также упростить формирование запросов и отчётов.

5

Расписание основных контрольных событий

1 Организация рабочей группы, сбор предварительной информации 2 анализ деятельности предприятия 3 разработка Устава проекта 4 разработка Плана управления проектом 5 занесение данных в MS Project 6 завершение проекта

6

Продукт проекта и его структура

Структура продукта проекта: - регламентирующая документация - шаблоны и формы - обученный персонал - информационная система

7

Участники проекта

Работники ОАО «Кунгурский машзавод», ИТ отдел

8

Окружение проекта

1 Технологические (исследования связанные с проектом) 2 финансовые (поставщики, потребители)

9

Допущения относительно организации

1. Заказчик и Исполнитель согласовывают допустимую длительность рабочего времени у Заказчика для консультантов и руководителя проектов Исполнителя; 2. сотрудники Исполнителя придерживаются рабочего графика, установленного на предприятии Заказчика; 3. Заказчик и Исполнитель устанавливают эффективную процедуру принятия решений; 4. Заказчик самостоятельно согласовывает ТЗ;рабочие места для проектной команды будут представлены так, что все члены команды будут работать в одном помещении.

10

Ожидания заинтересованных сторон

1. Куратор проекта от заказчика - выполнение целей проекта, коммерческий эффект; 2. Руководитель проекта от заказчика - реализация проекта, карьерный рост;представители Исполнителя - своевременная оплата работ.

11

Ограничения относительно организации и окружения, а также внешние ограничения

1. Проект реализуется с использованием того ПО, которое зафиксировано Заказчиком; 2. Устав подготовлен на основании информации, предоставленной Заказчиком. В случае изменения исходных данных параметры Устава будут пересмотрены; 3. Заказчик является ответственным за полноту предоставляемой информации о существующих на момент начала проекта ИС. Дополнительно выявленные требования будут отклонены Исполнителем; 4. Исполнитель своевременно согласовывает график заездов консультантов на предприятие Заказчика, и придерживается этого графика; 5. Исполнитель своевременно выделяет специалистов для выполнения работ проекта;Исполнитель обязуется выполнить все задачи по этапам проекта в течение 1 месяца в срок, начиная с (08.02.16). и заканчивая (10.03.16) Исполнителя - своевременная оплата работ.

12

Риски проекта

1. Организационные (отсутствие выделения двух квалифицированных программистов для реализации проекта.Возможна несвоевременность предоставляемой информации); 2. технологические (проект не взаимодействует с другими системами); 3. процессные (возможно изменение структуры компании, в связи с этим на поздних стадиях изменятся цели и задачи); 4. внешние (нарушение условий контракта: стоимость проекта и временные рамки); 5. юридические (отсутствие санкций); 6. методологические (незнание методологий внедрения).

13

Объем денежных средств, выделенных на достижение бизнес-цели

Проект является некоммерческим и выделение денежных средств не требуется.


Приложение Б

Таблица 2 - План управления проектом

Раздел

Пояснение

1

Название проекта

Информационная система «Учет программного обеспечения».

2

Цели и задачи проекта

Цели:  1 стратегические: повысить прибыль компании, увеличить число клиентов компании; 2 оперативные: принятие нормативно-методических документов по управлению проектами, управление информационной системой. Задачи:  1 осуществить сбор информации; 2 осуществить управление проектом информационной системы.

3

Требования к проектному решению и результаты проекта

Автоматизировать основные бизнес-процессы предприятия, за счет этого сократить время на рассмотрение заявки и увеличить производительность . А также упростить формирование запросов и отчетов. Результаты: промежуточные (анализ деятельности предприятия, созданные Устав проекта и План управления проектом); конечные (качественный проект).

4

Границы проекта

1. Функциональные границы: основной бизнес-процесс предприятия - получение прибыли, привлечение клиентов; 2. организационные: система разрабатывается для зав. складом, оператора и кладовщика; 3. технологические: проект должен подходить под техническое обеспечение, которое уже есть на предприятии; 4. географические: проект разработан только для ОАО «Кунгурский машзавод» на городском уровне.

5

Способ реализации проекта

Инструмент: Microsoft Word, Microsoft Project.

6

Первоначальная ИСР

Рисунок 2.

7

Документальные: Устав проекта, План управления проектом; Программные: ОС Windows, MS Word,Project; Человеческие: команда проекта (администратор баз данных, администратор приложений).

8

Укрупненный календарный план

1. Организация рабочей группы, сбор предварительной информации  08.02.2016 - 11.02.2016 гг.; 2. анализ деятельности предприятия  12.02.2016 - 14.02.2016 гг.; 3. разработка Устава проекта  15.02.2016 - 17.02.2016 гг.; 4. разработка Плана управления проектом  18.02.2016 - 22.02.2016 гг.;  5. занесение данных в MS Project  23.02.2016 - 08.03.2016 гг.; 6. завершение проекта 09.03.2016 - 10.03.2016 гг.

9

Критические факторы успеха

Компетентный состав команды; мотивация участников и членов проектной команды.

10

Допущения проекта

1. Заказчик и Исполнитель согласовывают допустимую длительность рабочего времени у Заказчика для консультантов и руководителя проектов Исполнителя; 2. сотрудники Исполнителя придерживаются рабочего графика, установленного на предприятии Заказчика; 3. Заказчик и Исполнитель устанавливают эффективную процедуру принятия решений; 4. Заказчик самостоятельно согласовывает Устав проекта и План управления проектом; 5. рабочие места для проектной команды будут представлены так, что все члены команды будут работать в одном помещении.

11

Ограничения проекта

1. Проект реализуется на уже приобретённом Заказчиком программном обеспечении; 2. Устав проекта подготовлен на основании информации, предоставленной Заказчиком. В случае изменения исходных данных параметры Устава будут пересмотрены; 3. Заказчик является ответственным лицом за полноту предоставляемой информации; 4. Исполнитель своевременно согласовывает график заездов консультантов на предприятие Заказчика, и придерживается этого графика; 5. Исполнитель обязуется выполнить все задачи по этапам управления проектом в течение 1 месяца в срок, начиная с 10.02.2015 и заканчивая 10.03.2015.

12

Первоначально сформулированные риски

1. Организационные риски: отсутствие выделения двух программистов для реализации управления проектом; 2. технологические: проект не взаимодействует с другими системами; 3. процессные: возможно изменение структуры компании, в связи с этим на поздних стадиях изменятся цели и задачи проекта; 4. внешние: нарушение условий контракта (стоимость проекта и временные рамки).


Похожие работы на - Управление проектом информационной системы 'Учет программного обеспечения' для ОАО 'Кунгурский машзавод' в программе MSProject

 

Не нашли материал для своей работы?
Поможем написать уникальную работу
Без плагиата!
Без нейросетей!