Эксплуатация вентиляционной установки
Введение
центробежный вентилятор
электропривод двигатель
Вентиляционные установки
используются повсеместно. В данном курсовом проекте рассматриваются вопросы,
отражающие выбор системы электропривода и рабочих напряжений, расчет мощности и
выбор двигателя вентилятора, расчет электрических нагрузок, выбор
пускорегулирующей аппаратуры, выбор питающих проводов и кабелей. В результате
расчета был выбран двигатель вентилятора марки AIS160M6
Мною было подобрана схема
управления, и согласно этой схеме были выбраны аппараты.
В организационно-технологической
части была создана структура ремонтного цикла с учетом условий работы и типа
двигателя. На основании этого была рассчитана трудоемкость работ.
где 1 - воздуховодные решетки
- воздуховоды
- вентилятор
- клапон
- вытяжная шахта
- зонт
Рисунок 1 -схема вытяжной
вентиляционной системы
1. Расчетно-техническая
часть
.1 Описание установки
Краткое описание центробежного
вентилятора
Центробежный вентилятор состоит из
3-х основных частей:
А) Центробежного колеса с рабочими
лопатками
Б) Спирального кожуха
В) Станины
Центробежное колесо служит для
создания напора и подачи воздуха. Кожух, имеющий форму улитки, служит для
собирания потока воздуха, сбегающего с лопаток колеса и для преобразования
динамического давления в статическое. Для данного проекта необходимо выбрать
вентилятор общего назначения низкого давления, обладающий высокими
аэродинамическими качествами и бесшумностью в работе.
Описание вытяжной вентиляции
В производственных помещениях
целесообразно удалять вредные пары, газы или пыль непосредственно у места их
выделения с помощью местной вытяжной вентиляции. Современное технологическое
оборудование, работа которого сопровождаются выделением вредных паров, газов
или пыли, должно иметь встречные местные вытяжные устройства.
Местные вытяжные устройства в
зависимости от взаимного расположения источника выделения вредных веществ
воздухоприемника можно разделить на местные отсосы закрытого и открытого типа.
Наиболее широко их используют для
вентиляции, воздушного отопления, а так же для обслуживания других самых
разнообразных технологических процессов.
1.2 Выбор системы
электропривода
Для механизмов данной группы типичен
продолжительный режим работы, поэтому их электроприводы нереверсивные с редкими
пусками. Для вентиляционных установок различных помещений не требуется
регулирования угловой скорости приводных двигателей, поэтому здесь применяются
асинхронные двигатели с короткозамкнутым ротором, для работы которых не
требуется специальных преобразовательных устройств.
Для питания приводного двигателя
необходимо использовать переменный ток промышленной частоты.
При выборе величины напряжения
следует помнит, что в настоящее время могут конкурировать два напряжения
переменного тока 380В и 660В. Другие более низкие напряжения не могут дать
выгодных решений в экономическом отношении.
Для питания данной установки
целесообразней выбрать сеть трехфазного тока напряжением 380В, так как
вентиляция обслуживает производственные помещения.
1.3 Расчет мощности и
выбор двигателя вентилятора
Согласно исходной технологической
схеме строим аксонометрическую схему рассчитываемой системы и указываем
значения расхода и длину каждого участка.
Согласно аксонометрической схеме
системы вентиляции, наиболее протяженным участком является участок А-Д.
Для каждого участка магистрали
определяем скорость движения воздуха по формуле:
(1.3.3.1)[1,c.
137]
где L - расход воздуха на участке,
м3/ч; площадь сечения воздуховода,
;
скорость
движения воздуха, м/с;
Для участка А-Ж:
Для участка Ж-З:
Для участка З-И
Для участка И-К
Для участка К-Л
Для каждого участка магистрали
определяем диаметр воздуховода по формуле:
(1.3.3.2)[1,c.
100]
где a,b - размеры воздуховода, м;- диаметр воздуховода, м.
Для участка А-Ж:
Для участка Ж-З:
Для участка З-И:
Для участка И-К:
Для участка К-Л:
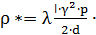
Рассчитываем потери давления на
прямых участках воздуховода по формуле:
(1.3.4.1)[1,c.
105]
где
коэффициент трения воздуха, принимается равным 0,02-0,03длина
прямого участка воздуховода, м;
γ- скорость участков, м/с;диаметр воздуховода, м;
-
плотность воздуха, равна 1,2
Для участка А-Ж:
Для участка Ж-З:
Для участка З-И:
Для участка И-К:
Для участка К-Л:
Суммарные потери давления ∑
:
Таблица 1 - Аэродинамический расчет системы
вентиляции
|
Условное обозначения уч. на сх.
|
Длина уч., м
|
Расход воздуха на уч,
|
Сечение воздуховода, м2
|
Размеры воздуховода, м
|
Диаметр воздуховода, м
|
Скорость воздуха на участке, м/с
|
Потери давления, Па
|
|
А-Ж
|
37,2
|
1500
|
0,045
|
0,15 х 0,3
|
0,2
|
9,25
|
20.67
|
|
Ж-З
|
4
|
3000
|
0,162
|
0,36 х 0,45
|
0,4
|
5,14
|
0.62
|
|
З-И
|
2
|
4500
|
0,162
|
0,36 х 0,45
|
0,4
|
7,71
|
0.46
|
|
И-К
|
8
|
6000
|
0,162
|
0,36 х 0,45
|
0,4
|
10,28
|
2.47
|
|
К-Л
|
3,4
|
10500
|
0,21
|
0,3 х 0,7
|
0,42
|
13,8
|
1.35
|
|
Суммарные потери давления, Па
|
25.57
|
Определяем потери давления в
фасонных частях для каждого участка воздуховода по формуле
(1.3.5.1)[1,c.
110]
где ∑𝛏- сумма коэффициентов
потерь для каждого вида местного сопротивления, определяется по таблице 13
[1,c. 227]
γ - скорость
воздуха для каждого участка, м/с
ρ-плотность
воздуха, равна 1,2 кг/м3
Значение потерь в фасонных частях
приведены в таблице 2
Таблица 2- Расчет местных потерь
|
Наименование местных сопротивлений
|
Коэффициент потери,𝛏
|
Количество фасонных частей
|
Скорость воздуха на участке, м/с
|
Потери давления, Па
|
|
А-Ж поворот
|
1,5
|
5
|
9,25
|
385,86
|
|
Ж-З тройник
|
3
|
2
|
5,14
|
95,11
|
|
З-И тройник
|
3
|
1
|
7,72
|
107,28
|
|
И-К поворот
|
1,5
|
1
|
10,29
|
95,3
|
|
И-К тройник
|
3
|
1
|
10,29
|
190,59
|
|
К-Л поворот
|
1,5
|
1
|
13,89
|
173,64
|
|
Сумма потерь в целом, Па
|
1047,78
|
Полный требуемый напор вентилятора
определяется по формуле
(1.3.6.1)[1,c.
113]
где P-полный напор вентилятора, Па
∑p*-сумма потерь давления на
прямых участках воздуховода, Па
∑Рм- сумма потерь давления в
фасонных частях, Па
γ - скорость
воздуха, м/с
ρ-плотность
воздуха 1,2 кг/м3
P=25,6+1047,78+96,61·1,2=1189,3 Па
P=1189,3 Па = 121 кг/м3
Выбор вентилятора осуществляется по
диаграммам [1,c. 280].
Согласно диаграммам выбираем
вентилятор марки Ц4-70№4 с номинальными данными:
а) частота вращения 960 оборотов в
минуту;
б) коэффициент полезного действия
равен 0,81.
Расчет мощности и выбор
электродвигателя вентилятора.
Мощность, потребляемая на валу
электродвигателя, определяется по формуле:
(1.3.7.1)[1,c.
114]
где L-расход воздуха,м3/ч
Ρ-давление
вентилятора, Па;
-
коэффициент полезного действия вентилятора;
-
коэффициент полезного действия передачи равен 1.
(1.3.8.1)[1,c.
117]
По каталогу выбираем двигатель марки
АIS160М6 с номинальными данными, представленными в таблице 3.
Таблица 3
|
Pном,кВт
|
Cos𝝋
|
КПД,%
|
|
|
|
|
|
7,5
|
0,88
|
87,5%
|
2,2
|
2,0
|
1,6
|
7,5
|
1.4 Проверка двигателя
Проверка двигателя на перегрузку в
установленном режиме по условию
Мmax≥Mc.max, (1.4.1.1)[1,c.
218]
где Мmax -максимальный момент
электродвигателя, Н
м;.max
- максимально возможный момент, определяется по формуле:
(1.4.1.2)[1,c.
218]
где N- расчетная мощность двигателя,
кВт;
ηном-
номинальная частота вращения, об/мин
(1.4.1.3)[1,c.
219]
Согласно техническим характеристикам
двигателя:
Мmax=2,2·Мном=2,2·50,09=110,2
Н·м
Согласно условию (1.4.1.1)[1,c.
218]:
110,2 Н·м>50,09 Н·м
Выбранный двигателя удовлетворяет
данному условию
Проверка двигателя на динамическую
нагрузку по условию
,5 Мс.мах≤Мср.пуск,
(1.4.2.1)[1,c. 225]
где Мс.мах - максимально возможный
момент для данного механизма, Н·м.
Мср.пуск- средний пусковой момент,
определяется по формуле:
(1.4.2.2)[1,c.
225]
где М1- пусковой момент при снижении
напряжения на 10%
М2- пусковой момент при повышении
напряжения на 10%.
(1.4.2.3)[1,c.
226]
где Мп- пусковой момент двигателя,
Н·мном- номинальное напряжение, В.
М2=1,1·Мп, (1.4.2.4)[1,c. 227]
где Мп - пусковой момент двигателя
Н·м.
Мп=2·Мном,
Мп =2·50,08=100,17 Н·м
М1=73,04·0,81=90,15 Н·м
М2=1,1·73,04=110,19 Н·м
Согласно (1.11):
Согласно условию (1.3.4.3)[1,c. 219]
50,09 Н·м<100,17 Н·м
Проверка двигателя при потере
напряжения в сети при пуске:
Мп≥0,81·Мном,
где Мп-пусковой момент, определяется
по формуле:
100,17>50,09Н·м
Выбранный двигатель удовлетворяет
условию.
1.5 Расчет электрических
нагрузок
Двигатель задвижки выбирается по
каталогу и имеет номинальные значения, представленные в таблице 4
Таблица 4 - номинальные данные
двигателя задвижки
|
Марка двигателя
|
Номинальная мощность, кВт
|
η
|
Cos𝝋
|
|
|
5АИ 112 М4 У3
|
5,5
|
0,85
|
0,84
|
11,7
|
Номинальный ток для схемы автоматики
определяется по формуле:
(1.5.2.1)[1,c.
180]
где P-мощность элементов
схемы,принимается равной 0,5 кВт;напряжения питания,220в;𝝋- коэффициент мощности,
принимается равным 0,92.
Пусковые токи двигателя определяются
по формуле:
Iпуск= Iнд·К, (1.5.3.1)[1,c. 184]
где Iнд- номинальный ток двигателя,
А;
К- кратность пускового тока, исходя
из выбранного двигателя равна 5
Iпуск=11,7·5=58,59 А
1.6 Выбор
пускорегулирующей и защитной аппаратуры
Выбор автоматических выключателей
условия проверки автоматов двигателей
Условия проверки автомата для
магистральной линий:
Iyа≥1,25∙Iпуск (1.6.1.1)
Iна≥ Iр (1.6.1.2)
Iна≤4,5*Iдоп (1.6.1.3)
где Iр - ток расчётный провода, А.
Исходные данные:
номинальная мощность двигателя 7,5
кВт.
Рассчитываем номинальный ток
двигателя по формуле:
IНД=
, (1.6.1.1)[1,c. 186]
где PН - номинальная мощность
двигателя, кВт;Н - номинальное напряжение двигателя, кВ;
cosφ - мощностной коэффициент (в данном случае 0,65);
η - коэффициент
полезного действия (принят 0,8).
IНД=
А,
Рассчитываем пусковой ток по
формуле:
IПУСК=5*IНД (1.6.6.2)[1,c. 186]
IПУСК=5*16,7=83,48 А
Рассчитываем так уставки автомата:
Iyа≥1,25∙Iпуск
Iyа≥1,25∙83,49=104,35
Iyа≤К*Iнр
Iyа≤12*16
Все условия соблюдены,
следовательно, данный автоматический выключатель марки АE 20-40 выбран, верно.
Характеристика автомата: Iна=63,
Iн.р.=16, K=12
Таблица 5
|
Номинальный ток расцепителя, А
|
Номинальный ток автомата, А
|
Ток срабатывания электромагнитного расцепителя, А
|
|
16
|
63
|
110
|
Согласно условиям (1.6.1.1)
(1.6.1.2) (1.6.1.3) производит проверку выбранного автомата.
134,35 А <104,35 А
А > 16,7 А
В= 380В
Для электродвигателя задвижки расчет
выполняется аналогично, все данные сведены в таблице 6.
Таблица 6- Данные пускозащитной
аппаратуры
|
Электроприемник
|
Номинальная мощность, кВт
|
Номинальный ток, A
|
Пускогой ток, А
|
Тип автоматического выключателя
|
Номинальный ток автомата, А
|
Номинальный ток расцепитиля, А
|
Марка пускателя
|
|
Двигатель вентилятора
|
7,5
|
16,7
|
83,43
|
AE20-40
|
63
|
16
|
ПМЕ-111
|
|
Двигатель задвижки
|
7,5
|
11,7
|
58,59
|
AE20-40
|
63
|
10
|
ПМЕ-111
|
1.7 Выбор питающих
кабелей и проводов
Для питания двигателя вентилятора
выбираем провод по условию
Iнд≤ Iдоп, (1.7.1.1)[1,c. 190]
где Iнд - номинальный ток двигателя,
Адоп - допустимый ток, А
Согласно условию выбираем провод
марки АПР 3*2,5. Проверяем выбранный провод по условию (1.7.1.1)
16,7 А <19 А
Для питания двигателя задвижки
выбираем провод марки АПР 3*2,5, допустимым током 20 ампер и проверяем по
условию (1.31)
2,7 А <19 А
Для питания схемы автоматики
выбирают провод по условию
Iн.сх≤Iдоп.,
где Iн.сх -номинальный ток схемы,
А,доп -допустимый ток, А.
Согласно условию выбираем провод
марки АПР 3*2,5, допустимым током 19 ампер и проверяем по условию (1.7.1.2)
Результаты выбора сведены в таблицу 7/
2,47А <19 А
Таблица 7
|
Электроприемник
|
Iр, A
|
Марка
|
Iдод,
А
|
Длина, М
|
16,7
|
АПР 3x2,5
|
19
|
15
|
|
Двигатель задвижки
|
11,7
|
АПР 3x2,5
|
19
|
16
|
|
Схема автоматики
|
2,47
|
АПР 3x2,5
|
19
|
20
|
1.8 Описание работы
схемы управления
Ручное управление двигателями
При включении переключателя SA1 в
положение “P” получает питание реле ручного управления KS1 и замыкает свой
контакт KS 1.1, подготавливая пускатель KM1 к выключению.
При нажатии кнопки SBC1 получают
питание промежуточное реле KL1 и замыкает свой контакт KL1.1. Одновременно с
этим получает питание пускатель KM1, замыкая свои контакты KM1.1, KM1.2 и KM1.3
в силовой цепи и контакт KM1.4 в цепи управления для шунтирования кнопки SBC1.
Двигатель вентилятора запускается в работу.
Ручное управление двигателями
задвижки осуществляется кнопками SB1 и SB2. Реле ручного управления KS1 и
замыкает свой контакт KS1.3. В зависимости от направления задвижки “открыть -
закрыть ” замыкается кнопка SB1 или SB2.
Например: нажимаем кнопку SB1,
получает питание открытия задвижки KM2, замыкает свои контакты в силовой цепи
KM2.1, KM2.2, KM2.3, контакт КМ2.5 замыкается и шунтирует кнопку SB1. Контакт
KM2.4 размыкаются, блокируя кнопку включения пускателя закрытия задвижки KM3.
Отключение производиться с помощью
конечного выключателя SQ1, SQ2,либо кнопкой SBT2.
Автоматическое управления
двигателями
При включении переключателя SA1 в
положение “А” получают питания промежуточное реле двигателя вентилятора KL2 и
замыкает свой контакт KL2.1
Получает питание промежуточное реле
KL1 и замыкает свой контакт KL1.1.
Пускатель KM1 получает питание и
замыкает свои контакты KM1.1, KM1.2, KM1.3 в силовой цепи, что приводит к
запуску двигателя вентилятора. При замыкании контакта KM1.5 получает питание
промежуточное реле KLC1 и размыкает свой контакт KLC1.1, реле KL2 теряет
питание и контакт размыкается, но питание реле KL1 осуществляется по цепи через
замкнутый контакт KM1.4.
Автоматическое управления двигателем
задвижки осуществляется следующим образом: при включении схемы в сеть получает
питание реле KL2 и замыкает свой контакт KL2.2.
1.9 Выбор элементов
схемы управления
Выбор осуществляется по роду тока,
напряжению и назначению элементов. Результаты выбора сведены в таблицу 8.
Таблица 8
|
Наименование
|
количество
|
тип
|
|
автомат
|
2
|
AE20-40
|
|
Двигатель винтилятора
|
1
|
АIS160М6
|
|
Двигатель задвижки
|
1
|
5АИ 112 М4 У3
|
|
Реле промежуточное двигателя винтилятора
|
2
|
ПТЭ-20
|
|
Реле тепловое
|
2
|
РТЛ100
|
|
Реле максимального тока
|
2
|
ПМТ-101
|
|
Реле промежуточное двигателя задвижки
|
1
|
ПТЭ-20
|
|
пускатель
|
1
|
ПМЛ1500
|
|
Пускатель открытия задвижки
|
1
|
ПМЛ1500
|
|
Пускатель закрытия задвижки
|
1
|
ПМЛ1500
|
|
Кнопка открытия задвижки
|
1
|
МП-20
|
|
Кнопка закрытия задвижки
|
1
|
МП-20
|
|
Переключатель режимов управления
|
1
|
КА-21-17
|
|
Выключатель конечный открытия
|
1
|
ВП100
|
|
Выключатель конечный закрытия
|
1
|
ВП100
|
2.
Организационно-технологическая часть
.1 Определение
продолжительности ремонтных циклов
Период времени между двумя плановыми
капитальными ремонтами Тпл определяется продолжительностью ремонтного цикла
Ттабл. Ттабл определяется при нормальных условиях эксплуатации при двухсменной
работе электрических машин по справочному пособию.
В промежутке времени между двумя
капитальными ремонтами проводят несколько текущих. Период времени между двумя
плановыми текущими ремонтами tпл, определяется продолжительностью межремонтного
периода tтабл, значения которого определяются по справочному пособию.
Плановая продолжительность работы
между двумя капитальными и текущими ремонтами, определяется по следующим
формулам:
Тпл =
,
Tпл=
,
где
к - коэффициент, учитывающий характер нагрузки электрических
машин, равный 1;
р -
коэффициент, учитывающий сменность работы машины, определяется числом смен Ксм;
к -
коэффициент, равный 0,85 для продолжительности между капитальными ремонтами и
0,7 для продолжительности между текущими;
к -
коэффициент использования, определяемый в зависимости от отношения коэффициента
Кфс фактического спроса к нормируемому Кс;
к -
коэффициент, равный 1,0 для электрических машин, установленных на стационарных
установках и 0,6 - для машин передвижных электрических установках.
Для двигателя винтелятора:
Тпл=
tпл=
Для двигателя задвижки:
Тпл=
tпл=
2.2 Определение
трудоемкости ремонта электрооборудования установки
Все электрические машины,
находящиеся в эксплуатации, разделяются на группы в зависимости от типа
(асинхронные, синхронные, постоянного тока), мощности (малой - до 1,1 кВт,
средней - до 100-400 кВт, большой - выше 400 кВт), уровня напряжения
(низковольтные - до 1 кВ, высоковольтные - свыше 1 кВ). Нормативное время
ремонта зависит от типа электрической машины, ее конструктивного выполнения,
частоты вращения, напряжения и вида ремонта. Для низковольтных асинхронных
двигателей с короткозамкнутой обмоткой ротора и частотой вращения 1500 об/мин
используются нормы трудоемкости ремонта, приведенные в справочном пособии.
Расчет трудоемкости ремонтов для
электроустановок общего назначения осуществляется путем учёта поправочных
коэффициентов по справочным данным и сводится в таблицу 2.2.
Таблица 9 - Определение трудоемкости
электрооборудования установки
|
Наименование
|
Кол-во
|
Трудоемкость, чел. Ч
|
Длительность, лет
|
|
|
Капитальный
|
Текущий
|
Капитальный
|
Текущий
|
|
Двигатель вентилятора
|
1
|
20
|
4
|
4,1
|
0,2
|
|
Двигатель задвижки
|
1
|
20
|
2
|
13,3
|
3,4
|
|
реле
|
7
|
18
|
6
|
5
|
0,5
|
|
Выключатель автоматический
|
2
|
30
|
11
|
6
|
1
|
|
пускатель
|
3
|
30
|
10
|
7
|
0,5
|
|
Кнопка, выключатель
|
4
|
12
|
4
|
-
|
0,25
|
Годовая трудоемкость работ по
ремонту обслуживаемого электрооборудования установки Тр, определяется по
формуле:
… +
где Ад - количество выбранных
двигателей с одинаковой нормой трудоемкости;
Тд - плановая длительность
ремонтного цикла для выбранных двигателей, лет;д - плановая длительность межремонтного
периода для выбранных двигателей, лет;
Мд, mд - нормы трудоемкости
капитального и текущего ремонтов, чел./ч;
А1, А2,…Аn - количество аппаратов в
каждой группе;
Т1, Т2,…Тn- плановая длительность
ремонтного цикла, лет;, t2,…tn - плановая длительность межремонтного периода
для этих групп, лет;
М1,М2,…Мn - норма трудоемкости
капитального ремонта, чел./ч;,m2,…mn - норма трудоемкости текущего ремонта,
чел./ч.
3. Экономическая часть
.1 Ведомость
монтируемого оборудования
Таблица 10 заполняется на основании
чертежей технической части проекта. При заполнении этой таблицы нужно иметь в
виду, что к оборудованию следует относить такие материальные ресурсы, которые
не включаются в объем электромонтажных работ и учитываются в сметах только для
определения сметной стоимости электромонтажных работ.
Таблица 10-Ведомость монтируемого
оборудования и комплектующих
|
Наименование комплектующих
|
Тип, марка
|
Кол-во
|
|
Двигатель вентилятора
|
АIS160М6
|
1
|
|
Двигатель задвижки
|
5АИ 112 М4 У3
|
1
|
|
Автомат двигателя вентилятора
|
AE20-40
|
1
|
|
Автомат двигателя задвижки
|
AE20-40
|
1
|
|
Магнитный пускатель для двигателя вентилятора
|
ПМЛ1500
|
1
|
|
контакторы
|
КМЭ 6511
|
6
|
|
Магнитный пускатель для двигателя задвижки
|
ПМЛ1500
|
2
|
|
Тепловое реле
|
РТЛ100
|
2
|
|
Реле максимального тока
|
ПМТ-101
|
2
|
|
Реле промежуточное
|
ПТЭ-20
|
3
|
|
Переключатель режимов управления
|
КА-21-17
|
1
|
|
Конечный выключатель
|
ВП-100
|
2
|
|
Кнопка стоп
|
МП-20
|
2
|
Таблица 11-Ведомость потребности
материалов
|
Наименование
|
ГОСТ или ТУ
|
Кол-во с учетом нормы отходов, м
|
Стоимость, руб.
|
|
|
|
единицы
|
всего
|
|
Провод
|
АПР 3x2.5
|
15.07
|
2.83
|
42.65
|
|
Провод
|
АПР 3x2.5
|
16.072
|
2.83
|
45.48
|
|
Провод
|
АПР 3x2.5
|
20.12
|
2.83
|
56.94
|
|
Итого
|
|
|
|
145.07
|
В таблице 11 учитываются все
материалы, не учтенные ценником в ценах монтажа и не относящихся к классу оборудования
(кабель, провод, припой, канифоль, спирт и т.д.). Сметная стоимость этих
материалов определяется обычно по отдельной смете и включаются в объем
электромонтажных работ. Основанием для составления таблицы 11 являются чертежи,
схемы, эскизы технической части проекта. Количество материалов в графе 3
таблицы 11 представляется с учетом норм отходов и рассчитывается по формуле:
М=Мр*
,
где М - количество материалов с
учетом нормы отхода;
Мр - потребное количество материала
по расчету;
Нотх - норма отхода,%.
Действующие нормы отходов:
Кабели всех марок - 2%.
Лампы всех видов - 2%.
Провода всех марок сечением до 10 мм
- 3%.
Провода всех марок сечением свыше 10
мм - 2%.
Подставим в формулу значения и
получаем:
М=15*
Таблица 11 является основанием для
определения потребности в материалах для производства работ.
3.2 Расчет трудоемкости
монтажных робот
Таблица 12 - Таблица физических
объемов электромонтажных работ
|
Вид работ
|
Кол
|
|
Монтаж электродвигателя
|
2
|
|
Монтаж выключателя автоматического
|
2
|
|
Монтаж реле
|
7
|
|
Монтаж контактора
|
6
|
|
Монтаж кнопок
|
2
|
|
Монтаж магнитного пускателя
|
3
|
|
Монтаж конечного выключателя
|
2
|
|
Монтаж переключателя режимов работы
|
1
|
|
Прокладка кабеля
|
145.07
|
Таблица 12 является исходным
документом для составления калькуляции трудоемкости работ и заработной платы
производственных рабочих. Объемы работ определяются по чертежам и схемам
технической части проекта.
Расчет трудоемкости электромонтажных
работ выполняется путем составления калькуляций по установленной форме (таблица
13). Составление каждой калькуляции начинается с заполнения графы 1, в которой
приводится описание выполняемых работ. Наименование работ в графе 1 следует
проводить в виде, позволяющем расценить эти работы по соответствующим позициям
нормативных документов, ссылки на которые проставляются в графе 2. Нормативными
документами для определения затрат труда, а также заработной платы на
выполнение каждой работы и операции, приведенной в графе 1, являются соответствующие
сборники норм времени, а также сборники местных норм времени (перечень
сборников перечислен в литературе).
Данные для заполнения граф 3, 4
калькуляции приведены в соответствующих параграфах сборников норм времени и
расценок. В графе 6 указываются объемы работ, принятые в человеко-часах на
единицу измерения, указанной в графе 6, калькуляции. Расчет времени на всю
работу (графа 8) выполняется последовательным умножением нормы времени на
единицу работ (графа 6) на объем работ (графа 5) построчно, а результаты
проставляются в соответствующих строках графы 8. Общая трудоемкость по
калькуляции определяется суммированием полученных в графе 8 результатов и
проставляется внизу графы 8 в строке «Итого».
Таблица 13 - Калькуляция
трудоемкости электромонтажных работ.
|
Наименование работ
|
Параграф по ЕНИР
|
Состав звена
|
Кол
|
Норма времени на ед., н/ч
|
Расцен ка, руб.
|
Время на всю работу, н/ч
|
Сумма, руб.
|
|
|
разряд работы
|
человек
|
|
|
|
|
|
|
Монтаж двигателя вентилятора
|
23-7-68
|
V, III
|
2
|
1
|
4.28
|
591.2
|
4.28
|
591.2
|
|
Монтаж двигателя задвижки
|
23-7-68
|
V, III
|
2
|
1
|
4.28
|
591.2
|
4.28
|
591.2
|
|
Монтаж выключателя автоматического
|
23-7-3
|
II, IV
|
2
|
2
|
2.85
|
219.92
|
5.7
|
439.84
|
|
Монтаж магнитного пускателя
|
23-7-8
|
II, IV
|
2
|
3
|
3.75
|
377.78
|
11.25
|
11133.34
|
|
Монтаж реле
|
Е32-37
|
IV
|
1
|
7
|
0.55
|
70.02
|
3.85
|
490.14
|
|
Монтаж контактора
|
23-7-11
|
II, IV
|
4
|
6
|
35
|
1762.95
|
210
|
10577.7
|
|
Монтаж кнопок
|
23-7-12
|
IV, II
|
2
|
2
|
0.74
|
74.55
|
1.48
|
149.1
|
|
Монтаж к-го выключателя
|
23-7-19
|
IV, II
|
2
|
2
|
0.7
|
70.52
|
1.4
|
141.04
|
|
Монтаж переключателя режимов работы
|
23-7-13
|
IV, II
|
2
|
2
|
1.12
|
11.83
|
22.04
|
|
Прокладка провода
|
23-7-65
|
IV
|
1
|
145.07
|
0.35
|
6463.59
|
50.77
|
6463.59
|
|
Итого
|
|
|
|
|
|
|
294.1
|
30599.19
|
Расчет заработной платы рабочих по
сдельным расценкам выполняется одновременно с расчетом трудоемкости, для чего в
калькуляции предусмотрены графы 7 и 9. В графе 7 представляются расценки, т.е.
суммы заработной платы в рублях и копейках за выполнение единицы объема работ.
Расчет заработной платы за выполнение всего объема по каждой строке калькуляции
определяется умножением расценки (графа 7) на объем работы (графа 5).
Результаты расчетов проставляются в графу 9, а общая сумма заработной платы по
сдельным расценкам определяется суммированием этих результатов и проставляется
в конце графы в строке «Итого».
Методика расчета расценки (графа 7).
Для расчета расценки используем
часовые тарифные ставки по ФГУП ГХК, утвержденные 18.07.2013 г.:
разряд - 74,18 руб.; 3 разряд -
97,17 руб.; 4 разряд - 127, 30 руб.; 5 разряд - 166,76 руб.; 6 разряд - 218,46
руб.; 7 разряд - 286,18 руб.
Монтаж вводного устройства (графа 1)
= часовая тарифная ставка 4 разряда * графа 6 =127,30 * 7,35 = 935,66 (руб.)
В случае, если работу выполняют
несколько рабочих разного уровня квалификации, то расчет производится следующим
образом:
Монтаж выключателя автоматического
(графа 1) = (часовая тарифная ставка 5 разряда * графа 6 + часовая тарифная
ставка 4 разряда * графа 6): 2 = (166,76 * 0,73+ 127,3 * 0,73): 2 = 214,63: 2 =
107,31 (руб.)
В знаменателе указывается общее
количество рабочих (графа 4).
3.3 Расчет сметной
стоимости на приобретение и монтаж оборудования
Смета производства работ
составляется на основании выполненных по чертежам проекта физических объемов
работ, ценников на монтаж оборудования, прайсов и прейскурантов оптовых цен на
материалы и оборудование.
Смета на приобретение и монтаж
составляется по форме (таблица Х5). В наименовании сметы указывается ее номер,
вид работ и монтируемое оборудование. Составление сметы начинается с заполнения
графы 2, где приводится наименование и краткая характеристика оборудования и
монтажных работ. Затем определяются цены на оборудование, расценки на
производство электромонтажных работ, которые заносятся в графы 4,5,6.
Стоимость оборудования определяется
по соответствующим прайсам и прейскурантам оптовых цен на оборудование,
аппаратуру, изделия и конструкции, а расценки на его монтаж - по ценникам на
монтаж оборудования. Стоимость монтажа электрооборудования обычно определяется
по ценнику №11. В графе 1 проставляется шифр расценок.
Таблица 14 - Смета на приобретение и
монтаж оборудования и комплектующих.
|
Номер прайса, прейскуранта, позиции
|
Наименование оборудования и монтажных работ
|
Кол-во
|
Сметная стоимость единицы, руб.
|
Общая стоимость, руб.
|
|
|
|
Оборудования
|
Монтажных работ
|
Оборудования
|
Монтажных работ
|
|
|
|
|
всего
|
в т.ч оз/пл.
|
|
всего
|
в т.ч. осн. з/пл.
|
|
Прайс ООО Балт промкомплекс Ц-8 4802
|
Монтаж двигатель вентилятора АIS160М6
|
1
|
15979,56
|
394.22
|
175.54
|
15979,56
|
394,22
|
175,54
|
|
Прайс ООО Балт промкомплекс Ц-8 4802
|
Монтаж двигатель задвижки 5АИ112М4У3
|
1
|
8420
|
391.22
|
175.54
|
8420
|
394,22
|
175,54
|
|
Прайс ООО Эталон Ц-8 5763
|
Монтаж автомата двигателя вентилятора AE20-40
|
1
|
500
|
172.61
|
83.38
|
500
|
172,61
|
83,38
|
|
Прайс ООО Эталон Ц-8 5763
|
Монтаж автомата двигателя задвижки AE20-40
|
1
|
500
|
172.61
|
83.38
|
500
|
172,61
|
89,38
|
|
Прайс ООО Эталон Ц-8 5763
|
Монтаж магнитного пускателя для двигателя в-ра ПМЛ1500
|
1
|
916
|
80.45
|
36.57
|
916
|
80,45
|
36,57
|
|
Прайс ООО Эталон Ц-8 5763
|
Монтаж контакторов КМЭ 6511
|
6
|
2224,0
|
295.49
|
111.9
|
13344
|
1772,94
|
671,4
|
|
Прайс ООО Эталон Ц-8 5763
|
Монтаж магнитного пускателя для Двигателя з-ки ПМЛ1500
|
2
|
916
|
80.45
|
36.57
|
1832
|
160,9
|
73,14
|
|
Прайс ООО Эталон Ц-8 5763
|
Монтаж теплового реле РТЛ100
|
2
|
350
|
92.89
|
33.64
|
700
|
185,78
|
67,28
|
|
Прайс ООО Эталон Ц-8 5763
|
Монтаж Реле максимального тока ПМТ-101
|
2
|
2449
|
92.89
|
33.64
|
4898
|
185,78
|
67,28
|
|
Прайс ООО Эталон Ц-8 5763
|
Монтаж Реле промежуточное ПТЭ-20
|
3
|
50
|
92.89
|
33.64
|
150
|
185,78
|
67,28
|
|
Прайс ООО Эталон Ц-8 5763
|
Монтаж переключателя режимов управления КА-21-17
|
1
|
700
|
79.72
|
29.26
|
700
|
79,72
|
29,26
|
|
Прайс ООО Эталон Ц-8 5763
|
Монтаж конечного выключателя ВП-100
|
2
|
650
|
79.72
|
29.26
|
1300
|
159,44
|
58,52
|
|
Прайс ООО Эталон Ц-8 5763
|
Монтаж кнопки стоп МП-20
|
2
|
300
|
43.88
|
19.75
|
600
|
87,76
|
39,5
|
|
Прайс ООО Эталон Ц-8 5763
|
Монтаж провода АПР- 3x2.5
|
51.262
|
145,07
|
3.24
|
1.1
|
145,07
|
166,09
|
56,39
|
|
Итого
|
|
|
|
|
|
49981,63
|
4198,1
|
1684,46
|
Сметные расчеты выполняются
следующим образом:
. Умножением цен и расценок,
проставленных в графах4, 5, 6 на объемы работ, указанные в графе 3, получают
данные для заполнения соответствующих граф 7, 8, 9.
. Сложением полученных результатов в
соответствующих графах определяют итоговые суммы и проставляют их в строке
«Итого» в конце сметы.
Таблица 15.
|
Наименование статей
|
Сумма, руб.
|
|
1. Сырье и материалы. 2. Возвратные отходы 3. Оборудование и
комплектующие 4. Топливо и электроэнергия 5. Основная заработная плата 6.
Отчисления по ЕСН 7. Цеховые расходы 8. Общезаводские расходы 9.
Внепроизводственные расходы 10. Полная себестоимость 11. Прибыль 12. Акциз
13. Налог на добавленную стоимость 14. Отпускная цена с учетом НДС
|
145,07 53325,1192 179617,245 3638,43 1273,45 5457,65 3274,59 19738,52
266470,07 133235,04 159882,04 100725,69 660312,84
|
Методика расчета статей сводной
сметы.
В статью 1 «Сырье и материалы»
включают все затраты на используемые материалы согласно технологическому
процессу. В статью 2 «Возвратные отходы» включаем все затраты на материалы,
которые неоднократно используются в производстве. В данной курсовой работе
расчет не производим.
В статью 3 «Оборудование и
комплектующие» включают затраты на их приобретение с учетом
транспортно-заготовительных расходов (7%). Для расчета используем данные
таблицы 14 графы 7. 49981,63*1,07=53325,1192
В статью 4 «Топливо и
электроэнергия» вносятся затраты исходя из количества потребляемой энергии и
стоимости 1 кВт/ч. Объем работ берем в нормо-часах из таблицы Х4 по графе 8.
Для расчета: стоимость 1 кВт/ч = 5,87 руб. 4198,1*5,87=179617,245
Статья 5 «Основная заработная плата»
включает в себя заработную плату по тарифу, дополнительную заработную плату
(25%), доплату (10%) и районный коэффициент (60%). Для расчета берем заработную
плату из таблицы 14 по графе 9.
(1684,46+1684,46*0,25+1684,46+1684,46*0,1)*1,6=3638,43
Статья 6 «Отчисления по ЕСН»
рассчитывается в процентном отношении от статьи 5 (35%). 3638,43*0,35=1273,45
Статья 7 «Цеховые расходы» включает
в себя расходы на содержание административно-управленческого персонала цеха,
общецеховые расходы и расходы на содержание оборудования цеха. Рассчитывается в
процентном отношении от статьи 5 (150%). 36,38,43*150=5457,645
Статья 8 «Общезаводские расходы»
включает расходы на содержание административно-управленческого персонала
предприятия, зарплату работников АТС, содержание складских помещений,
амортизацию основных фондов заводоуправления и другие общезаводские платежи..
Рассчитывается в процентном отношении от статьи 5 (90%). 3638,43*0,9=3274,587
Статья 9 «Внепроизводственные
расходы» включает расходы, связанные со сбытом продукции: упаковкой, хранением,
транспортировкой, рекламой в пределах установленных норм расходов и т.д.
Рассчитывается в процентном отношении от общезаводской себестоимости (8%).
(145,07+53325,1192+179617,245+3638,43+1273,45+5457,65+3274,59)*0,08=
,52
Статья 10 «Полная себестоимость»
включает затраты предприятия, связанные с производством т реализацией
продукции. Рассчитывается как сумма статей с 1 по 9 включительно. (145,07+53325,1192+179617,245+3638,43+1273,45+5457,65+3274,59+19738,52)=266470,07
Статья 11 «Прибыль» рассчитывается с
учетом уровня рентабельности (50%) от полной себестоимости.
266470,07*0,5=133235,04
Статья 12 «Акциз» - налог на товары
монопольного производства и товары массового спроса. Рассчитывается в
процентном отношении от суммы статей «Полная себестоимость» и «Прибыль» (40%).
266470,07+133235,04=399705,11
Статья 13 «Налог на добавленную
стоимость» - налог на все товары и услуги, производимые в стране. Рассчитывается
в процентном отношении от суммы статей «Полная себестоимость», «Прибыль» и
«Акциз» (18%). (266470,07+133235,04+399705,11)*0,18=100735,688
Статья 14 «Отпускная цена с учетом
НДС» - цена, по которой предприятие реализует свою продукцию. Рассчитывается
как сумма статей с 10 по 13 включительно.
266470,07+133235,04+399705,11+100735,688=660312,84
Заключение
В ходе выполнения данного курсового
проекта была разработана расчетно-техническая часть, описание установки, выбор
системы электропривода и рабочих напряжений, расчет мощности и выбор двигателя
вентилятора, проверка двигателя, расчет электрических нагрузок, а так же выбор
пускорегулирующей аппаратуры, рассчитана экономическая часть данного курсового
проекта.
Список рекомендуемой
литературы
1. Молчанов Б.С. «Проектирование промышленной вентиляции» -
Ленинград: Стройиздат. Ленинградское отделение, 1970. - 228 с.
. Кнышова, Е.Н., Панфилова, Е.Е. «Экономика организации» [Текст]/
Е.Н. Кнышова, Е.Е. Панфилова. - М.: ИНФРА, 2009 г.- 371 с.
. Горфинкель, В.Я., Швандар, В.А. «Экономика предприятия»
[Текст]/В.Я. Горфинкель, В.А. Швандар - М., «ЮНИТИ», 2006 г. - 289 с.
. Миронов, М.Г., Загородников, С.В. «Экономика отрасли»
[Текст]/М.Г. Миронов, С.В. Загородников - М., «ФОРУМ-ИНФРА-М», 2005 г. - 325 с.