|
1
.3 Очікувана дата завершення проекту - 29.09.2011
р.
.4 Для розрахунку напруженості сітьового графіка
перш за все обчислюються коефіцієнти напруженості робіт згідно з наведеною
нижче формулою:
де t|Lmax| - тривалість
максимального шляху, який проходить через дану роботу;
t1|Lкр| - частина
максимального шляху t|Lmax|, яка співпадає з критичним
шляхом, за винятком тривалості роботи і, яка розглядається;
t|Lкр| - тривалість критичного
шляху.
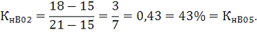
Аналогічним чином розраховано  ,  ,  ,  ,  .
Далі роботи розподіляються згідно з коефіцієнтами
напруженості по зонах у таких інтервалах:
· критична зона: 1 ≥ kHi≥
0,95;
· субкритична зона: 0,95 ≥
kHi≥ 0,8;
· резервна зона: 0,8 ≥
kHi.
Отже, роботи В01, В03, В08 і В10 відносяться до
критичної зони, а всі інші - до резервної зони. Субкритичної зони серед даних
робіт немає.
Питома вага робіт кожної зони - критичної С
(%), субкритичної S (%), резервної R (%) - знаходяться за
формулами:
,
,
коефіцієнт напруженості всього сітьового графіка
за формулою:
Виходячи з отриманих результатів, можна сказати,
що графікреалізації проекту є доволі напружений, оскільки
максимально допустиме значення коефіцієнта напруженості становить 25%.
.5 Враховуючи, що розподіл часу завершення
проекту є нормальним, і маючи цей розподіл, можемо обчислити ймовірність
завершення проекту у обумовлений термін Тдир за формулою:
 (6)
де Ф (Х) - значення функції Лапласа для нормального
розподілу ймовірностей;
Тдир - директивний термін виконання всього
комплексу робіт проекту;
Х - аргумент функції Лапласа.
Відповідно до завдання
Тдир = Т + 4, отже Тдир - Т = 4.
Імовірність Р1 = 78,8% свідчить про те,
що в критичній зоні знаходиться відносно мала кількість робіт, тобто є значні
резерви. Необхідно переглянути сітьовий графік і зменшити тривалість виконання
робіт.
.6. Наявних ресурсів для реалізації проекту вистачає по
наступних позиціях: керівник проекту (к), інженер (і), технік (т). При цьому
завантаженість проекту досить велика. Недостатня кількість техніків, інженерів
та керівників проекту. Перевищення потреби техніків відбувається з 06.09.11 по
09.09.11; інженерів - з 12.09.11 по 14.09.11 та з 19.09.11 по 20.09.11;
керівників проекту - з 06.09.11 по 09.09.11, а також 14.09.11, 15.09.11 та
28.09.11.
.7 Відповідно до графіка Ганта та графіка використання
ресурсів пропонується вирівняти завантаженість ресурсами шляхом зменшення
кількості критичних робіт В02, В03 та В05. Внаслідок чого очікується
використання ресурсів у визначених проектом лімітах.
Побудована базова модель проекту в представленнях График
Гантта, Сетевой График, Лист ресурсов, Лист задач, График ресурсов до
початку його оптимізації наведені нижче.
Графік Ганта
Лист ресурсів
оптимізація проект модель бюджет
Розділ
ІІ. Модель після оптимізації
2.1 Основною причиною проведення оптимізації
проекту виступила недостатня кількість техніків. Перевищення потреби техніків
на 1 чол. відбувається з 06.09.11 по 09.09.11; інженерів на 1 чол. - з 12.09.11
по 14.09.11 та на 2 чол. з 19.09.11 по 20.09.11; керівників проекту на 1 чол. -
з 06.09.11 по 09.09.11, а також 14.09.11, 15.09.11 та 28.09.11.
.2-2.3 Проект був оптимізований з розрахунку на
фіксовану тривалість ресурсів та ліміту перевищення тривалості проекту більше
ніж на 4 робочі дні відносно початкової тривалості проекту (відповідно до
завдання роботи: директивний термін реалізації проекту Тдир = Т +
4).
.4 Після оптимізації термін реалізації проекту
збільшився на 6 днів із розрахунком завершення робіт по проекту 05.10.11.
.5 Після оптимізації проекту збільшився термін
виконання робіт В02 на 1 день та В03 на 3 дні.
.6 Внаслідок оптимізації роботи В04-1, В04-2
стали критичними, а роботи В03 та В08 - некритичними.
Визначимо рівень напруженості проекту після
оптимізації.
Відповідно до формули (1) визначаємо критичні,
субкритичні та резервні зони. До критичної зони відносяться роботи В01, В04-1
та В04-2. Інші роботи є резервними.
Питома вага робіт кожної зони розраховуємо за
формулами (2) - (4). Відповідно отримаємо:
коефіцієнт напруженості всього сітьового графіка
за формулою (5):
Відповідно до розрахунків коефіцієнт напруженості
після оптимізації зменшився на 10%.
.7 Імовірність завершення проекту у обумовлений
термін складатиме
Таким чином, імовірність виконання проекту зміниться
несуттєво -  І імовірність Р = 81,6% свідчить про те, що існує серйозна
небезпека зриву проекту у визначений термін.
Побудована базова модель проекту після оптимізації наведена
нижче.
Графік Ганта після оптимізації
Розділ
ІІІ. Звіти по проекту
Огляд витрат
Висновки
Тривалість реалізації проекту склала 22 робочих
дні та 30 календарних. Після оптимізації вона триватиме 26 робочих днів і 36
календарних. В ході розробки проекту було виявлено пере використання наявних
ресурсів по статтях "керівник проекту", "інженер" та
"технік" у кількості 1 чол. Це стало причиною оптимізації проекту.
Проект був оптимізований з розрахунку на фіксовану тривалість ресурсів.
Після оптимізації проекту збільшився термін
виконання робіт В02 на 1 день та В03 на 3 дні. Внаслідок оптимізації роботи
В04-1, В04-2 стали критичними, а роботи В03 та В08 - некритичними.
Відповідно до проведеної оптимізації термін його
завершення збільшився на 4 дні і склав 26 днів. Датою завершення проекту є
05.10.11.
Бюджет проекту склав 7690 грн.
Імовірність завершення проекту після оптимізації
складає 81,6%, що говорить про загрозу закінчення проекту точно у визначений
термін.
Похожие работы на - Створення і оптимізація проекту за допомогою Microsoft Project
|