Проблема потребления алкоголя

  • Вид работы:
    Курсовая работа (т)
  • Предмет:
    Социология
  • Язык:
    Русский
    ,
    Формат файла:
    MS Word
    72,6 Кб
  • Опубликовано:
    2016-07-07
Вы можете узнать стоимость помощи в написании студенческой работы.
Помощь в написании работы, которую точно примут!

Проблема потребления алкоголя

Оглавление

Введение

. Теоретическое обоснование

. Постановка исследовательской задачи

. Методология исследования

. Описание результатов

Заключение

Список литературы

Приложения

Введение

Проблема потребления алкоголя остро стоит в России. Согласно Global Status Report on Alcohol and Health, проведенному World Health Organization в 2011 году, Россия занимает 4 место по потреблению алкоголя в возрасте от 15 лет и старше (World Health Organization, 2011). Так же существование проблемы подтверждается многочисленными сообщениями, появляющимися в средствах массовой информации, о повышенной смертности по причине злоупотребления алкоголя или наркотическими веществами, а также о различных правонарушениях и преступлениях. Российская статистика фиксирует серьезные негативные последствия влияния алкоголя на здоровье населения: от отравления алкоголем умерло свыше 70 тыс. человек за прошлое десятилетие. Кроме того по официальным данным Росминздрава в среднем совокупное потребление алкоголя в 2012 году достигло 18 литров чистого алкоголя на одного жителя старше 15 лет. Для сравнения, потребление алкоголя в этом же году в США и Канаде составило 9 литров, в Австралии - 10 литров, а в Китае - 5 литров.

Цель данной работы: как и на какие факторы потребления алкоголя можно будет воздействовать, чтобы снизить его негативное влияние на здоровье населения РФ.

Для достижения цели работы были поставлены следующие задачи:

·        рассмотрение различных исследований, проводившихся по данной тематике;

·        анализ работ и методов, используемых различными исследователями для оценки влияния потребления алкоголя на здоровье индивидов;

·        сбор первичных данных, основанных на базе данных Российского мониторинга экономического положения и здоровья населения НИУ-ВШЭ (RLMS-HSE);

·        анализ влияния потребления алкоголя на здоровье индивидов;

·        анализ влияния первичных данных на выбор индивидов в потреблении алкоголя;

·        построение эконометрических моделей - о влиянии потребления алкоголя на здоровье, и о факторах, влияющих на потребление алкоголя;

·        выбор наилучших моделей и построение на их основе выводов о возможных мерах, направленных на снижение потребления алкоголя.

Данное исследование было проведено на основе ряда работ. Во-первых, большой труд на тему факторов, влияющих на потребление алкоголя, написала А.А. Демьянова. Многие гипотезы, подтвержденные автором, были проанализированы в работах П.О. Зотовой, В.С. Тапилиной и Д.Б. Крайнова. Например, во всех работах выдвигается гипотеза о том, что мужчины больше склонны к потреблению алкоголя, чем женщины. Однако, гипотеза о повышении потребления алкоголя из-за возраста была выдвинута только у Д.Б. Крайнова, в других работах она не подтвердилась. В связи с этим в работе будет рассмотрена нелинейная зависимость - можно предположить, что потребление алкоголя зависит параболически, и пик потребления приходится на люде среднего возраста. Благодаря исследованиям П.О. Зотовой и Т. Лауфи за зависимую переменную в одном типе модели была взята частота потребления алкоголя. Как подтверждается работами, она более точно и реально оценивает факторы, влияющие на потребление алкоголя. С помощью статьи Дж. Холта была выдвинута гипотеза о наличии связи между потреблением алкоголя и удовлетворенностью жизнью.

Полученные результаты о факторах, оказывающих влияние на потребление алкоголя и о негативном влиянии такого потребления на здоровье индивидов, были рассмотрены меры, позволяющие снизить потребление алкоголя. За основу были взяты работы Т. Бабора и Е. Остерберга, объясняющие суть ценовой политики. В работах этих авторов были указаны плюсы и минусы введения акцизов на алкогольную продукцию, что позволило применить данные знания для России. Также работы П. Макелы и Г. Эдвардса помогли понять и оценить положительные стороны государственной монополии по продаже и производству алкоголя.

Однако, в российской и зарубежной практике не очень много работ, направленных одновременно на оценку влияния потребления алкоголя на здоровье населения и на меры, способные снизить данное потребление. Именно поэтому данная работа будет интересна как с экономической, так и с социологической точки зрения.

Данная работа будет разделена на четыре части. Первая часть содержит теоретический обзор работ о влиянии потребления алкоголя на здоровье население в России и в других странах. Также будут рассмотрены факторы, которые влияют на потребление алкоголя. Вторая часть содержит постановку исследовательской задачи. В ней будет описан алгоритм исследования работы, показаны цели и методы ее достижения. Так же будет дано обоснование гипотез и обоснование методов проведения исследования. В третьей части описывается методология исследования, содержащая в себе эконометрические модели о влиянии потребления алкоголя на здоровье населения РФ и о факторах, влияющих на это потребление. В данной части будут выбраны и проанализированы лучшие модели, с помощью которых можно будет доказать состоятельность гипотез. В заключительной части буду сделаны выводы по полученным результатам, благодаря которым будут предложены меры по снижению потребления алкоголя населением РФ.

алкоголь доход курение здоровье

1. Теоретическое обоснование

На протяжении многих десятилетий ученые, социологи и экономисты исследуют проблему потребления алкоголя, что свидетельствует о важности ее решения. Не менее остро данная проблема стоит в России.

По данным Росстата в 2012 году смертность по причинам, связанным с употреблением алкоголя, является одной из самых высоких в мире - на 100 тысяч человек регистрируется 37 случаев летального исхода (Федеральная служба …, 2012). Однако, согласно исследованию Д. Заридзе и его коллег, неумеренное потребление алкоголя в России обуславливает более половины летальных исходов, так как в данной работе учитываются не только такие причины, как отравление алкоголем, алкогольные психозы, алкогольная миопатия и другие, но и смерти в ДТП в результате алкогольного опьянения, несчастные случаи, убийства и другое (Zaridze et al, 2009).

Так же по данным Росстата в 2012 году около 2 миллионов человек состояло на учете в ЛПУ с диагнозом алкоголизм и алкогольные психозы (Федеральная служба …, 2012). Однако, согласно исследованию Г. Г. Онищенко, «реальное потребление алкоголя … составляет около 18 литров чистого спирта на человека в год. По данным медицинской статистики около 3 миллионов россиян вовлечены в тяжелое болезненное пьянство» (Онищенко, 2012).

Согласно European Health for All database по средней продолжительности жизни среди стран Россия занимает 113 место с показателем 69,8 лет (для сравнения - в Андорре, занимающей первое место, этот показатель равен 82,75) (European Health …, 2013).

Все это свидетельствует о крайне негативном влиянии потребления алкоголя на здоровье индивидов.

Дж. Даффи в своей работе акцентирует внимание на негативном влиянии потребления алкоголя на печень. Автор замечает, что за счет окисления этанола, содержащегося в печени, разрушаются ее клетки, на мечте которых образуется рубцы, приводящие к нарушению обменом веществ в организме человека (Daffy, 1993). Кроме того, Р. О’шиа рассматривает в своем исследовании такое заболевание, как цирроз печени. Из-за потребления алкоголя печень уменьшается в размерах, что приводит к сдавливанию сосудов, и, следовательно, к повышению давления в них. Это, в свою очередь, приводит к разрыву сосудов и кровотечению, что вызывает смерть (O'Shea et al, 2010).

В исследовании Дж. Рехма исследуется негативное влияние потребления алкоголя на органы пищеварительного тракта. Алкоголь приводит к разрушению клеток внутренней поверхности органов, ожогу и омертвению тканей (Rehm et al, 2009). Под большим негативным влиянием оказывается сердечнососудистая система. При разрушении эритроцитов, которое вызывает алкоголь, возникает кислородное голодание, что приводит к таким болезням, как атеросклероз и аритмия (O’Keefe et al, 2007).

Больше всего от потребления алкоголя в организме человека страдают мозг и неравная система. В работе Е. Кунтше исследуются анализы индивидов со всей Европы, страдающих от чрезмерного потребления алкоголя. В ходе исследования было выявлено, что алкоголь приводит к разрушению коры головного мозга, и, следовательно, отмиранию его частей. Кроме того, уменьшается объем мозга, на нем образуются рубцы, язвы и кисты. Все это приводит к проблемам с памятью, потери внимания, умственному отставанию в развитии и многому другому. В конце работы было сказано, что большая доза алкоголя (около полутора литров) в четырех случаях из десяти приводит к коматозному состоянию, заканчивающимся смертельным исходом (Kuntsche, 2004).

Исходя из данных, представленных в исследованиях, следует рассмотреть вопрос о факторах, влияющих на потребление алкоголя, и что необходимо сделать, чтобы уменьшить его.

В 2007 году Brown Forum провел исследование «Binge Drinking», в котором рассмотрели различные факторы, влияющие на потребление алкоголя, для таких стран, как Бразилия, Китай, Италия, Нигерия, Россия, Южная Африка и Шотландия.

Результаты данного исследования показали ключевые культурные различия между странами:

.        Для нигерийской, русской, шотландской и южноафриканской групп было выявлено, что люди время от времени употребляют алкоголь с целью прийти к состоянию алкогольного опьянения, или, как говорят в России - «напиться».

.        В Италии и Бразилии главной причиной потребления алкоголя являлась встреча с друзьями.

.        В Китае же потребление алкоголя связано только с некими праздниками и торжествами, потому что дойти до точки интоксикации считается позорным для любого человека, проживающего в данной стране (Brown Forum, 2007).

В работе «Alcohol and Labor Supply: The Case of Iceland» согласно проведенному исследованию выявлены интересные особенности страны. Человек, не являющийся безработным, употребляет больше алкоголя, чем безработный. Авторы объясняют это тем, что у данного индивида есть работа, а, значит, он испытывает гораздо больше стрессов, у него много обязанностей, он сильнее подвержен усталости, а, значит, у него больше желания потребить алкоголь и расслабиться (Laufey et al, 2009).

Многие иностранные исследователи берут во внимание такой фактор, как религия. Так, в одном из исследований рассматривалось влияние географических особенностей религиозных принадлежностей в США на географический характер потребления алкоголя. Выявлено, что штат с большей религиозной приверженностью имеет более высокий процент пьющих людей. Так же было выявлено, что государство с высоким уровнем приверженности к католическому вероисповеданию, как правило, имеет более высокий уровень питья, в то время как государство с приверженностью к протестантскому вероисповеданию, имеет более низкие показатели (Holt et al, 2006).

Исследования в России показывают, что самым сильным и значимым фактором, оказывающим влияние на потребление алкоголя, является пол. Так, согласно полученным сведениям, основанным на исследовании В.С. Тапилиной, на 2002 год среди мужчин потребляли алкоголь 82-88%, среди женщин - 63-71% (Тапилина, 2006). Это подтверждают исследования Д. Б. Крайнова и А.А. Демьяновой.

Вторым значимым фактором является возраст респондентов. Например, Д. Б. Крайнов утверждает, что при увеличении возраста индивида, последний начинает употреблять больше алкоголя (Крайнов, 2007). А.А. Демьянова же, наоборот, в ходе своего исследования получила обратную зависимость - ее гипотеза о большем употреблении алкоголя в связи с большим возрастом не подтвердилась (Демьянова, 2005).

Кроме того, часто в работах рассматривают частоту потребления алкоголя. Например, в ходе исследования П. О. Зотовой, было выявлено, что 81,8% молодых людей так или иначе потребляют алкоголь. Среди них «5,4% распивают алкогольные напитки ежедневно, 21,1% - 1 раз в 2-3 дня, 26,3% - 1 раз в неделю, 20,1% - 2-3 раза в месяц, 8,9% - очень редко» [Зотова, 2011].

Значительное влияние на потребление алкоголя оказывают различные социальные условия. Во многих работах выдвигается гипотеза о том, что неблагоприятные социальные условия (нищета, бездомность, безработица, экономическая нестабильность) положительно влияют на потребление алкоголя. Так, например, «наибольший объем потребления алкоголя характерен для людей с низким материально-экономическим статусом» [Тапилина, 2006]. Также М. Гроссман в своей работе говорит о том, что доход индивида прямо связан с потреблением алкоголя (Grossman et al, 1993). Кроме того, зависимым оказывается такой фактор, как степень удовлетворения жизнью в целом - полностью удовлетворенные жизнью индивиды потребляли меньше алкоголя, чем совсем неудовлетворенные.

Исследователи выдвигают гипотезы о том, что существует обратная зависимость между уровнем образования и избыточным потреблением алкоголя - чем выше уровень образования, тем меньше доля потребления алкоголя индивидами (Тапилина, 2006, Демьянова, 2005).

Еще один фактор - курение. Выдвигаются гипотезы, что «потребление алкоголя и сигарет взаимосвязаны: те, кто потребляет спиртные напитки, с более высокой вероятностью являются курящими и наоборот» [Демьянова, 2005]. Так же это подтверждается в работе Р. Джессора и С. Джессора (Jessor, Jessor, 1977). Кроме того, Д. Кэндел в своем исследовании говорит о том, что одно аддитивное поведение тесно связано с другим (алкоголь и курение) (Kandel, 1975).

Важным моментом в исследованиях является тип потребления. От состава напитков, крепости и качества зависит влияние потребления алкоголя на здоровье населения. В исследовании Д. Кастелнуово говорится, что «риск сосудистых заболеваний у тех, кто выпивает стакан вина в день в среднем на 32% ниже, по сравнению с теми, кто совсем не пьет». Для пива этот показатель равен 22% (Castelnuovo et al, 2002). А. Немцов замечает, что «соотношение, которое минимизирует негативные последствия - это потребление алкогольных напитков, в котором пиво составляет 50%, вино - 35%, а крепкие напитки - 15%» (Немцов А., 2009). Данные показатели говорят о важности рассмотрения качества и количества потребляемого алкоголя на здоровье индивидов.

Исследования, проводимые в данной области, обращают свое внимание на проблему чрезмерного потребления алкоголя. Для того, чтобы ее решить, уже многие десятилетия разные страны пытаются сформулировать меры для снижения потребления алкоголя.

Во многих работах в качестве мер рассматривает политика ценообразования (Babor et al, 2003, Osterberg, 2001, Edwards et al, 1994). Такая мера направлена на увеличение акцизов на алкогольную продукцию, что позволит уменьшить спрос на алкогольную продукцию. Еще одна мера направлена на запрет розничной продажи алкоголя в ночное время суток (Babor et al, 2003).

Такие меры помогут снизить потребление алкоголя населением, что положительно скажется на здоровье всего населения страны.

Таким образом, многие исследователи рассматривают проблему негативного влияния потребления алкоголя на здоровье населения. В качестве факторов, которые могут влиять на потребление алкоголя, авторы выделяют следующие: встреча с друзьями, религия, пол, возраст, неблагоприятные социальные условия, уровень образования и курение. Результаты данных исследований помогут сформулировать различные гипотезы в работе, а также выдвинуть меры по снижению потребления алкоголя.

. Постановка исследовательской задачи

В первую очередь, следует рассмотреть влияние потребления алкоголя на здоровье индивидов РФ. Исходя из полученных данных, следует установить, почему люди потребляют алкоголь, не смотря на то, что он негативно влияет на здоровье. На основе полученных результатов, а также с учетом ранее полученных результатов, анализ которых представлен в теоретическом обзоре, будут представлены меры, которые могут снизить потребление алкоголя.

Для достижения данных условий, первоначально следует сформулировать гипотезы.

Исходя из статистических данных, рассмотренных ранее (Федеральная служба …, 2012, Онищенко, 2012), можно говорить о пагубном влиянии потребляемого алкоголя на здоровье населения РФ. Следовательно, первая выдвигаемая гипотеза звучит следующим образом: потребление алкоголя негативно влияет на здоровье индивида.

Вторая гипотеза основана на типе населенного пункта: тип населенного пункта, где проживает индивид, оказывает влияние на потребление алкоголя: чем малонаселённей пункт, и чем хуже в нем развита инфраструктура, тем ниже вероятность потребления индивидом алкоголя.

Третья гипотеза: пол индивида оказывает влияние на потребление алкоголя: у мужчин выше вероятность потребления алкоголя, чем у женщин. Во многих исследованиях говорится, что мужчины потребляют алкоголь чаще, чем женщины (Тапилина, 2006, Крайнов, 2007, Демьянова, 2005). Кроме того, в статье М. Е. Поздняковой говориться, что аддитивное поведение больше свойственно мужчинам, чем женщинам. Соотношение между женщинами и мужчинами, склонными к потреблению алкоголя и других наркотических веществ в России составляет 1:7 (Позднякова, 2001). Так же, согласно экономическим исследованием, мужчины, в отличие от женщин, чаще тратят сбережения именно в отделах с алкогольной продукцией.

Согласно прошлым исследованиям выдвигались разные гипотезы, связанные с возрастом индивида. Д.Б. Крайнов в своем исследовании получил прямую зависимость между возрастом и потреблением алкоголя - с увеличением возраста индивида, вероятность и частота потребления алкоголя увеличивается (Крайнов, 2007). А.А. Демьянова же в своей работе говорит об обратной зависимости - чем выше возраст индивида, тем меньше он потребляет алкоголь (Демьянова, 2005). Исходя из данных результатов, можно выдвинуть гипотезу о том, что возраст индивида оказывает влияние на потребление алкоголя: индивид средних лет потребляет алкоголь чаще, чем индивид малых или старших лет. Таким образом, пик потребления алкоголя придется на 30-45 лет.

Следует выдвинуть гипотезу о связи количества детей у индивида и потребления алкоголя: чем больше у индивида детей, тем ниже вероятность потребления алкоголя. Предполагается, что количество детей является сдерживающим фактором - чем больше у индивида детей, тем выше его ответственность.

Многими работами подтверждается, что различные виды аддитивного поведения взаимосвязаны. Например, Р. Джессор и С. Джессор в своей работе подтвердили гипотезу о том, что курящие индивиды с большей вероятностью, чем остальные, чрезмерно потребляют алкоголь. (Jessor, Jessor, 1977). Д. Кэндел в своем исследовании говорит о том, что аддитивное поведение одного типа переходит в другое со временем - первоначально это потребление пива и вина, затем потребление сигарет и крепких алкогольных напитков, затем потребление марихуаны, и потом потребление других нелегальных наркотиков. (Kandel, 1975). Следовательно, можно выдвинуть следующую гипотезу: курение влияет на потребление алкоголя: чем больше вероятность того, что индивид курит, тем больше вероятность потребления им алкоголя.

В некоторых исследованиях говорится, что на потребление алкоголя оказывают влияние различные социальные условия.

Седьмая выдвинутая гипотеза: семейное положение оказывает влияние на потребление алкоголя: чем выше вероятность того, что индивид состоит в браке, тем ниже вероятность потребления им алкоголя. В данном случае брак так же является сдерживающим фактором.

Восьмая гипотеза говорит о доходе индивида: чем выше доход, тем выше вероятность потребления алкоголя индивидом. Это подтверждается работой Гроссмана, в которой говорится, что повышение цен отрицательно влияет на потребление алкоголя. (Grossman et al, 1993) Об этом говорят и различные политики. Например, в Финляндии в 2004 году были повышены акцизы на алкоголь на 33%, что привело к снижению потребления алкоголя, особенно у безработных индивидов с низким уровнем дохода. В данных примерах говорится о том, что люди с высоким доходом менее чувствительны к цене на алкогольную продукцию, следовательно, более склонны к потреблению алкоголя.

Также удовлетворенность индивидом жизнью в настоящий момент влияет на потребление алкоголя: чем больше индивид удовлетворен своей жизнью, тем меньше вероятность потребления им алкогольной продукции. Этот тезис подтверждается в работе А. А. Демьяновой.

Для подтверждения перечисленных гипотез, следует провести эконометрический анализ

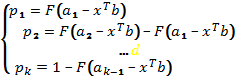
Исходя из знаний, что зависимые переменные в модели будут бинарными или ранговыми, следует рассматривать в ходе исследования два вида моделей: модель упорядоченного выбора и модель бинарного выбора, а именно пробит-модель. В данном случае невозможно использование обычной регрессии, основанной на методе наименьших квадратов, так как оценки от такой модели из-за специфики зависимых переменных будут смещены. Важно использовать правильный вид модели, так как именно от этого зависит возможность и точность интерпретации полученных результатов.

Модель упорядоченного выбора применяется, если в качестве зависимой переменной выступает ранговая переменная - например, оценка здоровья по пятибалльной шкале. В связи с тем, что в модели будет использована именно такая зависимая переменная, то экономически верно будет использовать данный вид модели.

Если предположить, что некая переменная y является зависимой переменной с k возможными упорядоченными значениями (от 0 до k), то оценка y* проводится следующим образом:

(1)

Если при этом обозначить вероятность:

(2)

,

то получим, что:

,(3)

где ,

.

Для оценки скрытой переменной y* предполагается следующая модель регрессии: . Если обозначать интегральную функцию распределения случайной ошибки за F, то:

(4)

,

где x - вектор факторов влияние.

Так как , и , то модель упорядоченного выбора можно представить следующим образом:

(5)

Следует отметить, что в качестве F-распределения будет использовано нормальное распределение, то есть данная модель будет упорядоченным пробитом. Оценка параметром модели производится методом максимального правдоподобия.

Таки образом, данная модель способна показать влияние факторов на зависимую переменную, представленную в вид рангового конечного значения. Такая модель очень полезна в экономических исследованиях, проводимых на основе базы данных RLMS. В данной базе многие вопросы требуют ответа по пятибалльной шкале. С помощью метода МНК возможно оценить в качестве зависимых только количественные переменные, такие, как возраст и доход. Однако, если в качестве зависимой переменной выступает оценка здоровья индивида, оцененная по пятибалльной шкале, или ранжированный по шестибалльной шкале показатель частоты потребления алкоголя, то единственным экономически верным выходом будет использование модели упорядоченного выбора.

Модель бинарного выбора, а именно пробит-модель, применяется, если в качестве зависимой переменной выступает бинарная переменная, принимающая значения 0 и 1. Данная модель позволяет оценить, с какой вероятностью зависимая переменная примет значение 1 или 0 при заданных факторах влияния. Такой зависимой переменной может оказаться ответ на вопрос - были ли у индивида проблемы со здоровьем в течение последних 30 дней. Ответ да кодируется как 0, нет - как 1.

Если предположить, что некоторая зависимая переменная Y принимает значения 0 и 1, а в роли X выступает вектор факторов влияния, то при условии, что в данной модели вероятность того, что Y=1 распределено нормально, то пробит-модель имеет следующий вид:

,(6)

где Ф - интегральная функция распределения,

b - параметры перед оцениваемыми факторами.

В зависимости от оценки Y*, зависимая переменная Y принимает различные значения:

(7)

Для оценки скрытой переменной y* предполагается следующая модель регрессии: . Случайная ошибка в данном случае имеет стандартное нормальное распределение. Получаем, что:

(8)

Оценка параметров в данном случае так же производится методом максимального правдоподобия. Данная модель позволяет узнать, каким образом различные факторы могу влиять на выбор индивида, состоящий из двух значений. В базе данных RLMS, наряду с ранговыми переменными, существует множество бинарных, важных для экономических исследований. На вопросы, связанные с курением, потреблением алкоголя и здоровьем, в основном можно дать только однозначный ответ - да или нет. На некоторые вопросы, связанные с доходом, учебой и работой так же возможны только эти ответы. Именно из-за этого данная модель является лучшим выбором, если в качестве зависимой переменной будет выступать ответ на вопрос - потребляли ли вы в последнее время алкоголь.

Для того, чтобы из полученного множества моделей выделить наилучшие, следует посмотреть на информационные критерии. Так, например, лучшая модель это та, в которой критерий Акаике является наименьшим. То же самое касается и критерия Шварца. Также, - в модели упорядоченного пробита, - следует смотреть на псевдо коэффициент детерминации, показывающий, насколько правильно и точно можно интерпретировать полученные значения. В пробит-модели следует проверять условия Гауса-Маркова о том, что математическое ожидание остатков равно нулю, об отсутствии мультиколлинеарности, отсутствии гетероскедастичности и отсутствии автокорреляции. Выбор лучшей модели позволит наиболее точно и верно ее оценить. Такая модель дает наиболее реалистичные показатели, которые можно интерпретировать, и их интерпретация не будет идти в разрез с экономическими знаниями.

3. Методология исследования


Проведенный анализ теоретических работ российских и иностранных исследователей показал, что существует зависимость между здоровьем и потреблением алкоголя. На основе опросника и базы данных Российского мониторинга экономического положения и здоровья населения НИУ-ВШЭ (RLMS-HSE), были выбраны факторы, которые оказывают влияние на здоровье индивида, одним из которых являлось потребление алкоголя. Кроме того в ходе работы будет рассмотрена взаимосвязь между потреблением алкоголя и факторами, которые могут его вызвать.

Работы была выполнена на базе данных 21-й волны Российского мониторинга экономического положения и здоровья населения НИУ-ВШЭ (RLMS-HSE), проводившегося в 2012 году.

В данной работе были проанализированы индивидуальные карточки членов домашних хозяйств. При этом было введено ограничение на возраст: в выборке участвовали индивиды возрастом от 13 лет. В ходе обработки данных были выявлены выбросы и наложены обоснованные фильтры, что сократило выборку, но не повлияло на качество нашего исследования, потому что объем выборки после наложения фильтров составил 19034 наблюдений.

В качестве фильтра было наложено ограничение по доходу за один месяц в размере 400000 рублей. Это было сделано, так как на данный вопросы некоторые индивиды отвечали «затрудняюсь ответить», что кодировалось программой как очень большое число, в связи с чем возникали выбросы, которые могли навредить исследованию.

В ходе работы будут построены два типа моделей.

В качестве зависимых переменных для перового типа выступают переменные:

-       ql5 - есть ли проблемы со здоровьем, а именно, часто ли в последнее время индивиды обращались к врачу;

-       qm3 -оценка индивидами своего здоровья по пятибалльной шкале.

Факторами, которые могут оказать влияние на зависимые переменные в моделях, были выделены следующие переменные:

-       q_diplom - уровень образования;

-       qh5 - пол респондента;

-       qh6 - возраст индивида;

-       qj61 - оптимизм по отношению к дальнейшему уровню жизни;

-       qj65 - удовлетворенность жизнью;

-       qj72.172 - количество детей;

-       qm80 - употреблял ли индивид алкоголь в течение последних 30 дней;

-       qm81 - частота потребления алкогольных напитков в течение последних 30 дней;

-       qm152 - удается ли опрашиваемому питаться регулярно

-       qm114 - занимается ли индивид спортом и с какой частотой.

Более подробное описание переменных и их интерпретация представлены в Приложении 1.

В качестве зависимых переменных для второго типа моделей выступают переменные:

-       qm80 - употреблял ли индивид алкоголь в течение последних 30 дней;

-       qm81 - частота потребления алкогольных напитков в течение последних 30 дней;

Факторы, оказывающие влияние на потребления алкоголя индивидами:

-       status - тип населенного пункта;

-       q_marst - семейное положение индивида;

-       qh5 - пол респондента;

-       qh6 - возраст индивида;

-       q10 - доход от основной и дополнительной работы;

-       qj65 - удовлетворенность жизнью;

-       qj72.172 - количество детей;

-       qm71 - курит ли индивид в настоящее время;

-       qm152 - удается ли опрашиваемому питаться регулярно

-       qm114 - занимается ли индивид спортом и с какой частотой.

Чтобы доказать гипотезы, выдвинутые ранее, были построены регрессионные уравнения, описывающие связь между переменными, отвечающими за здоровье индивида, и рядом факторов, а так же между переменными потребления алкоголя и различными факторами.

Перед тем как строить регрессионные уравнения следует построить матрицу корреляции по Спирмену, поскольку выборка содержит много ранговых переменных. С помощью данной функции можно выявить зависимость между рассматриваемыми зависимыми переменными и другими факторами. Результаты анализа представлены в Приложении 2.

Согласно полученным данным потребление алкоголя оказывает влияние на здоровье. Это видно из коэффициентов, стоящих перед переменными, связанными с потреблением алкоголя (qm80 и qm81). Видно, что примерно коэффициенты равны 0,03 по модулю, что говорит о наличии связи между данными переменными и переменными здоровья (ql5 и qm3). Так же можно сказать, что наиболее сильное влияние на потребление алкоголя оказывают такие факторы, как пол индивида (значение коэффициента 0,33 перед переменной пола qh5) и курение (значение коэффициента 0,28 перед переменной qm71).

В качестве факторов, которые могут влиять на здоровье и потребление алкоголя, часто встречаются ранговые переменные, в связи с чем были введены фиктивные переменные. Так, например, переменная «пол» принимает значения 0, если индивид является мужчиной и 1, если женщиной. Следовательно, в интерпретации можно будет говорить о том, что по сравнению с мужчинами, женщины потребляют алкоголь на некий коэффициент больше или меньше. Для ранговых переменных было создано несколько фиктивных переменных. Например, для переменной status - тип населенного пункта, были созданы переменные status0, status1, status2, status3, status4. Переменная status принимает значение от 0 до 3: 0 - областной центр; 1 - город; 2 - поселок городского типа; 3 - село. Следовательно, новые вводимые переменные будут следующими:

·        status0 принимает значение 1, если индивид проживает в областном центре, и 0 в иных случаях;

·        status1 принимает значение 1, если индивид проживает в городе, и 0 в иных случаях;

·        status2 принимает значение 1, если индивид проживает в поселке городского типа, и 0 в иных случаях; и

·        status4 принимает значение 1, если индивид проживает в селе, и 0 в иных случаях. Таким образом, можно будет точно говорить о влиянии места жительства на потребление алкоголя.

Первая группа моделей показывает влияние потребления алкоголя на здоровье населения РФ.

В качестве зависимых переменных выступали:

·        qm3 (показывает оценку индивидами собственного здоровья, от 0 - очень хорошее до 4 - совсем плохое);

·        ql5 (отвечает на вопрос о проблемах со здоровьем в течение последних 30 дней, 0 - да, есть проблемы, 1 - нет проблем).

При построении ряда регрессий, в каждой из которых использовались различные зависимые переменные и факторы, на основе критериев достоверности и возможности интерпретации полученных результатов была выбрана лучшая модель. В качестве зависимой переменной используется qm3 - оценка индивидом собственного здоровья по пятибалльной шкале (табл. 1).

Таблица 1

Нелинейная модель упорядоченного пробита

Факторы

Коэффициент

Вероятность (значимость)

Пол

0.180167

0.0000

Возраст

0.033217

0.0000

Оптимизм к дальнейшей жизни

0.108440

0.0000

Удовлетворенность жизнью

0.240830

0.0000

Регулярное питание

0.069191

0.0000

Потребление алкоголя

-0.073758

0.0001

Занятие спортом

-0.007412

0.0000

Законченное образование

-0.081821

0.0000

Проблемы со здоровьем недавно

-0.771348

0.0000

Частота посещения врача

-0.394240

0.0000


Значение статистики

Pseudo R-squared

0.429261

Akaike info criterion

1.633018

Schwarz criterion

1.639096

Approximation coefficient

0.445620


Проведенный регрессионный анализ описывает приблизительно 42,92% выборки. Это означает, что приблизительно в 42,92% случаях модель показывает верное влияние факторов.

Такое значение коэффициента детерминации показывает, что модель можно улучшить. Однако данная модель была получена путем различных нелинейных преобразований, и улучшить ее не представляется возможным. Кроме того, в исследованиях других авторов, посвященных данной теме, данный коэффициент получался примерно таким же. Так, например, в работах А.А. Демьяновой, В.В. Ким, С.Ю. Рощина, А.В. Немцова и некоторых других коэффициент детерминации варьируется от 0,19 до 0,51. Все эти работы были проведены на основе базы данных RLMS по темам, связанным с потреблением алкоголя. Полученный коэффициент и его сравнение с другими работами показывает, что выборка не является совершенной, и данные имеют пропущенные переменные. Однако на сегодняшний момент данная база является наиболее репрезентативной и полной, что позволяет проводить исследования похожего рода. Следовательно, можно сделать допущение, что модели, связанные с темой потребления алкоголя, могут быть оценены, если скорректированный коэффициент детерминации составляет более 20%.

Согласно коэффициенту, стоящему перед переменной «потребление алкоголя» в модели, можно говорить, что чем выше вероятность того, что индивид не потреблял алкоголь в течение последних 30 дней (увеличение данного фактора на единицу), тем выше его здоровье (уменьшение на 0,07 значения qm3 - то есть приближение к значению «очень хорошее здоровье»). То есть, гипотеза 1 подтвердилась.

Также была построена модель, зависимой переменной в которой выступает ql5 - есть или нет у индивида проблемы со здоровьем в настоящее время (табл. 2).

Таблица 2

Нелинейная пробит-модель

Факторы

Коэффициент

Вероятность (значимость)

Пол

-0.048444

0.0205

Возраст

-0.000118

0.0000

Удовлетворенность жизнью

-0.016335

0.0945

Количество детей

0.082703

0.0000

Потребление алкоголя

0.238864

0.0000

Регулярное питание

-0.081742

0.0000

Занятие спортом

-0.003642

0.0541

Частота посещения врача

0.763891

0.0000

Оценка здоровья

-0.373611

0.0000


Значение статистики

Akaike info criterion

1.105508

Schwarz criterion

1.109411

Approximation coefficient

0.373036

Согласно данной модели можно говорить, что увеличение коэффициента при переменной «потребление алкоголя» на единицу приводит к увеличению на 0,24 значения переменной здоровья. Это означает, что чем выше вероятность того, что индивид потреблял алкоголь в течение последних 30 дней, тем выше вероятность того, что у индивида были в последнее время проблемы со здоровьем. Следовательно, гипотеза 1 о негативном влиянии потребления алкоголя на проблемы со здоровьем была подтверждена.

Вторая группа моделей показывает влияние факторов на потребление алкоголя населением РФ.

В качестве зависимых переменных выступали:

·        qm80 (потребление алкогольных напитков в течение последних 30 дней - да или нет);

·        qm81 (частота потребления алкогольных напитков в течение последних 30 дней, от 0 - каждый день до 5 - один раз в течение 30 дней).

При построении ряда регрессий, в каждой из которых использовались различные зависимые переменные и факторы, на основе критериев достоверности и возможности интерпретации полученных результатов была выбрана лучшая модель.

В качестве зависимой переменной используется qm80 - потребление алкогольных напитков в течение последних 30 дней (да или нет) (табл. 3):

Таблица 3

Нелинейная пробит-модель

Факторы

Коэффициент

Вероятность (значимость)

Пол

0.168210

0.0000

Тип населенного пункта (город)

0.140576

0.0000

Тип населенного пункта (ПГТ)

0.329430

0.0000

Тип населенного пункта (село)

0.386459

0.0000

Курение

0.677649

0.0000

Семейное положение

-0.293922

0.0000

Доход

-3.55E-09

0.0397

Возраст

6.25E-05

0.0000

Количество детей

-0.262219

0.0000

Константа

-0.311624

0.0000


Значение статистики

Akaike info criterion

1.243979

Schwarz criterion

1.248112

Approximation coefficient

0.431752


Согласно данной модели подтвердились гипотезы 2, 3, 4, 6 и 8. Согласно коэффициентам, стоящим перед переменными «тип населенного пункта», «пол», «возраст», «курение» и «доход», можно говорить о направлении влияния данных факторов на потребление алкоголя. Так, например, по сравнению с областным центром, при прочих равных условиях, в городе вероятность потребления алкоголя ниже на 0,14, в поселке городского типа ниже на 0,33, в селе ниже на 0,39. Так же по сравнению с мужчинами, вероятность того, что в течение последних 30 дней женщины употребляли алкоголь ниже на 0,17. Нелинейная зависимость от переменной возраста показывает, что индивиды среднего возраста потребляют больше алкоголя, чем молодые и пожилые индивиды. Согласно коэффициенту, стоящему перед переменной «курение», увеличение вероятности того, что индивид курит, повышает вероятность потребления им алкоголя на 0,68. Так же коэффициент при переменной «доход» показывает, что с увеличением дохода вероятность потребления алкоголя увеличивается.

Однако некоторые гипотезы не были подтверждены. Например, отвергается гипотеза 7, связанная с семейным положением. Это следует из коэффициента, стоящего перед переменной «семейное положение» - он имеет отрицательную направленность. То есть, согласно модели, при увеличении вероятности того, что индивид состоит в браке на единицу, вероятность потребления им алкоголя повышается на 0,29. Если посмотреть на статистику данной волны, то индивиды в браке, потребляющие алкоголь в течение последних 30 дней, составили 72%, а те, кто не состоит в браке - 53%.

Так же не подтвердилась гипотеза 5, связанная с количеством детей в семье. Согласно полученным данным, чем больше у индивида детей, тем выше вероятность потребления им алкоголя (увеличение на 0,26). Коэффициент перед данным фактором так же имеет отрицательный знак, что опровергает поставленную гипотезу о положительной связи между наличием у индивида детей и его не потреблении алкоголя.

Данные две гипотезы не находят подтверждения и в работах А.А. Демьяновой, В.С. Тапилиной и Д.Б. Крайнова. Авторы, предполагающие, что данные факторы являются сдерживающими, не смогли подтвердить это с помощью эконометрических моделей (Демьянова, 2005, Крайнов, 2007, Тапилина, 2006). Такой характер связи характерен не только для России. Дж. Холт в работе так же не нашел подтверждения гипотезе об обратной зависимости между количеством детей в семье и потреблением алкоголя (Holt, 2006). Ни один автор не смог объяснить такое явление с точки зрения экономики.

Среди моделей с зависимой переменной qm81, отвечающей за частоту потребления алкоголя, лучшей является следующая модель (табл.4):

Таблица 4

Нелинейная модель упорядоченного пробита

Факторы

Коэффициент

Вероятность (значимость)

Пол

0.610876

0.0000

Доход

-9.22E-10

0.0450

Удовлетворенность жизнью (скорее да)

0.029249

0.0998

Удовлетворенность жизнью (и да и нет)

-0.005251

0.0097

Удовлетворенность жизнью (не очень)

-0.024928

0.0040

Удовлетворенность жизнью (совсем нет)

-0.155853

0.0157

Занятие спортом

-0.007840

0.0001

Регулярное питание

-0.127260

0.0000

Курение

0.387181

0.0000

Потребление алкоголя

0.327769

0.0000

Тип населенного пункта (город)

0.172835

0.0000

Тип населенного пункта (ПГТ)

0.047881

0.0470

Тип населенного пункта (село)

0.248319

0.0000


Значение статистики

Pseudo R-squared

0.190599

Akaike info criterion

2.802023

Schwarz criterion

2.816837

Approximation coefficient

0.769982


Проведенный регрессионный анализ описывает приблизительно 19,06% выборки. Данный псевдо коэффициент детерминации является наименьшим из построенных моделей, что говорит о том, что лишь в 19,06% случаях модель покажет верное влияние факторов, а это очень маленький показатель.

Согласно данной модели подтвердились гипотезы 2, 3, 6, 8 и 9. Коэффициенты, стоящие перед такими показателями, как «тип населенного пункта», «пол», «курение», «доход» и «удовлетворенность жизнью», доказывают состоятельность выдвигаемых гипотез. Например, по сравнению с областным центром, при прочих равных условиях, в городе частота потребления алкоголя ниже на 0,17, в поселке городского типа ниже на 0,05, в селе ниже на 0,25. По сравнению с мужчинами женщины употребляли алкоголь в течение последних 30 дней реже на 0,617. Согласно коэффициенту, стоящему перед переменной «курение», увеличение вероятности того, что индивид курит, повышает частоту потребления им алкоголя на 0,39. Также коэффициент при переменной «доход» показывает, что с увеличением дохода вероятность потребления алкоголя увеличивается. Кроме того, коэффициенты, стоящие перед фиктивными переменными показывают влияние удовлетворенности жизнью на потребление алкоголя. Так, по сравнению с индивидами, полностью удовлетворенными жизнью, при прочих равных условиях, индивиды, которые скорее удовлетворенные жизнью, потребляют алкоголь реже на 0,03; те же, кто не очень удовлетворен жизнью, потребляют алкоголь чаще на 0,02; а те, кто совсем не удовлетворен - потребляют чаще на 0,16, чем полностью удовлетворенные жизнью индивиды.

В ходе работы возникла проблема несопоставимости логических и экономических выводов с полученными результатами, то есть не подтверждение гипотез. Это могло произойти из-за недостаточности данных, или же из-за неприменимости к России выдвинутых на основе теоретических работ гипотез. Недостаточность данных объясняется следующим образом. В анкетировании, проводимом RLMS, участвуют ежегодно около 25000 респондентов. При наложении фильтров количество индивидов в выборке уменьшилось до 19000. В целом в России проживает порядка 143 миллионов жителей, которые и составляют генеральную совокупность, на которую направленно данное исследование. Для применимых к генеральной совокупности результатов, выборка должна составлять хотя бы один процент от общего количества жителей, что составит примерно полтора миллиона человек. Двадцать пять тысяч респондентов не составляют одного процента от генеральной совокупности, в связи с чем выборка, предоставляемая базой данных RLMS, может быть применима не ко всем индивидам. Однако, на сегодняшний момент данная база является наиболее полной, и воспользоваться другими данными не представляется возможным. Кроме того, большую роль в сборе данных играет человеческий фактор. База данных, на основе которой проводится данное исследование, составлена людьми. Участвуя в опросе, индивиды могли невнимательно прочитать вопросы, или же отказаться от ответа на вопрос. Все это могло привести к смещению в ответах.

4. Описание результатов


Следует проинтерпретировать полученные данные, рассмотреть, какие гипотезы были подтверждены, и объяснить с точки зрения экономики, почему некоторые гипотезы не нашли подтверждения. Так же следует выяснить, какие меры, исходя из полученных результатов и прошлых исследований, можно применить на практике.

На начальном этапе работы были выдвинуты девять гипотез, и семь из них нашли подтверждение в построенных моделях.

Во-первых, потребление алкоголя действительно негативно влияет на здоровье индивида. Это подтвердили первые две построенные модели. Первая показала, что индивид хуже оценивает свое здоровье, если потребляет алкоголь. Вторая модель показала, что у индивида были проблемы со здоровьем, если он потреблял алкоголь. В моделях были рассмотрены и другие факторы, чтобы исключить нерепрезентативность данных. В ходе построения моделей было показано, что даже с другими факторами, потребление алкоголя влияет на здоровье индивидов, и влияет отрицательно.

Во-вторых, тип населенного пункта влияет на потребление алкоголя. Первая модель показала, что чем малонаселеннее пункт, и чем хуже в нем развита инфраструктура, тем ниже вероятность потребления индивидом алкоголя в течение последних 30 дней. Вторая модель показала, что чем больше населенный пункт, тем чаще индивид потребляет алкогольные напитки. Это связано с более низким доходом сельских жителей. У индивидов, проживающих в городах доход значительно больше, следовательно, больше возможностей приобрести алкогольную продукцию.

В-третьих, пол индивида влияет на потребление алкоголя. Мужчины больше склонны к данному аддитивному поведению, чем женщины. Действительно, с точки зрения психологии и социологии, в нашем обществе присутствует негативное отношение к тому, что женщины употребляют алкогольные напитки.

В-четвертых, возраст оказывает значительное влияние на потребление алкоголя. В ходе исследования было выявлено, что пик потребления индивидами алкоголя приходится на 35-45 лет, тогда как до этого возраста и после него наблюдается меньшая вероятность потребления алкогольной продукции. Логично предположить, что в юном возрасте индивиды не имеют достаточных средств и прав для покупки алкоголя. В дальнейшем, при достижении совершеннолетнего возраста и способности к зарабатыванию, индивиды увеличивают свое потребление. После пика наступает пора пенсий, ухудшается здоровье и снижается доход, что не позволяет тратить денежные средства на покупку алкогольной продукции.

В-пятых, курение влияет на потребление алкоголя. Согласно первой модели, если индивид курит, то вероятнее всего он будет потреблять алкоголь. Так же, согласно второй модели, курящий индивид чаще потребляет алкоголь, чем некурящий.

В-шестых, доход индивида оказывает влияние на потребления алкоголя. Если индивид имеет достаточно средств, он вероятнее будет тратить свой доход на алкогольную продукцию, чем бедный индивид. Так как индивид с хорошим доходом может себе это позволить, он будет чаще потреблять алкогольную продукцию.

В-седьмых, удовлетворенность жизнью обратно зависит от потребления алкоголя. Индивиды, которые оценивают свою жизнь очень хорошо, не склонны к частому потреблению алкоголя. Люди же, которые охарактеризовали свою жизнь крайне неудовлетворительно, потребляют алкоголь чаще. Это связано с их психологией - они стараются хотя бы ненадолго забыть о тяготах жизни.

Так, например, индивид, в семье которого большое количество детей, склонен потреблять алкоголь. Возможно, на такой показатель влияют различные социальные аспекты жизни индивида - чем больше детей, тем больше ответственность, и тем больше требуется средств для обеспечения жизни. Это приводит к необходимости больше работать, что может вызвать усталость и неудовлетворенность своей жизнью, что, как было доказано, влияет на увеличение потребления алкоголя.

Кроме того, не подтвердилась гипотеза о семейном положении. Если индивид состоит в браке, вероятность потребления им алкоголя выше, чем индивида, не состоящего в нем.

Согласно полученным результатам выявлено, что потребление алкоголя негативно влияет на здоровье населения РФ. Многие факторы, оказывающие влияние на само потребление алкоголя, не в силах изменить - пол, возраст. На некоторые же можно оказать влияние, тем самым снижая потребление алкоголя. Например, возможно провести политику по снижению курения. Так как аддитивное поведение связано между собой, данная политика может привести к снижению потребления алкоголя.

Однако стоит остановиться на тех мерах, которые можно принять непосредственно по отношению к алкогольной продукции.

В настоящее время существует огромный опыт различных стран в попытках снизить потребление алкоголя народом.

Первая мера основана на факторе «доход», рассматриваемом ранее в модели. Как было доказано, чем выше доход, тем больше индивид потребляет алкоголя. В рассмотренных ранее исследованиях говорится, что при снижении цен на алкоголь, потребление может снизиться. В первую очередь это произойдет благодаря индивидам с низким доходом - у таких индивидов будет наблюдаться нехватка денежных средств на покупку алкогольной продукции. Следовательно, первая мера - это ценовая политика.

Согласно множеству исследований, посвящённых вопросам ценообразования, алкоголь относится к нормальным товарам, то есть при повышении цены на товар, спрос на него снижается (Babor et al, 2003). Однако эластичность спроса на алкоголь зависит от времени, типа напитка и региона потребления, что приводит к тому, что единого решения ценовых мер не существует (Osterberg, 2001). Следовательно, стоит рассмотреть меры, направленные не только на изменение цены, но и на изменение времени и точек продажи.

Первоначально следует рассмотреть изменение цены на алкогольную продукцию. Некоторые социальные исследования показывают, что алкогольные напитки являются взаимозаменяемыми (Osterberg, 2001, Edwards, 1994). Таким образом, можно предположить, что при увеличении акцизной ставки на крепкие алкогольные напитки - водку, коньяк, виски, - индивиды перейдут на более дешевый, а, соответственно, и менее крепкий алкогольный напиток - пиво или вино. Потребление менее крепких алкогольных напитков лучше для здоровья, чем крепких. Однако в исследовании Г. Эдвардса говорится о том, что не для всех потребителей и регионов данное правило подходит. В некоторых случаях происходит нежелательное замещение продукции на нелегальные субституты, такие как самогон (Edwards et al, 1994). Увеличение же акцизов на всю алкогольную продукцию может привести к некоторому снижению спроса на алкоголь. Так, например, согласно Федеральному закону №16703-6 от 13.11.2012 «О внесении изменения в статью 193 части второй Налогового кодекса Российской Федерации» минимальная акцизная ставка в 2014 году на алкогольную продукцию свыше 9% крепости варьируется от 200 до 500 рублей за литр. Для пива и вина эти цифры составляют от 8 до 31 рубля за литр. Установление минимальной цены на алкогольную продукцию не принято в других странах, так как это не является рыночной мерой. Однако, у ближайшего соседа России - Украины, была введена похожая мера, и как заметил Михаил Блинов, председатель экспертного совета Госдумы по регулированию алкогольного рынка, установление минимальной стоимости алкогольной продукции оказалась эффективной мерой по борьбе с потреблением алкоголя. При введении налога на потребление алкоголя следует учитывать, что это может привести к возникновению нелегальной продукции, следовательно, следует вводить не одну меру, а несколько. Так, например, вместе с введением более высоких налогов на алкогольную продукцию, следует ввести запрет на самогоноварение. Государство должно показать свою позицию - различными средствами добиваться снижения нелегального производства алкоголя. Кроме того, снижение спроса на алкогольную продукцию может привести к сокращению бюджетной части страны, однако оно снизит расходы на возмещение ущерба, связанного с потреблением алкоголя, что может сбалансировать результаты данной меры.

Еще одной мерой может послужить запрет на продажу алкогольной продукции по времени суток и короткие промежутки времени. Например, в Таиланде, США, Великобритании, Египте и ряде других стран действует запрет на продажу алкогольной продукции во время праздников, выборов и некоторых других значимых событиях страны, таких как проведение ярмарок и футбольных матчей. В России в последнее время также распространяется данная мера. Так, в связи с Федеральным законом №218 «О внесении изменений в Федеральный закон «О государственном регулировании производства и оборота этилового спирта, алкогольной и спиртосодержащей продукции» и отдельные законодательные акты Российской Федерации и признании утратившим силу Федерального закона «Об ограничениях розничной продажи и потребления (распития) пива и напитков, изготавливаемых на его основе»», запрещается продажа алкогольной продукции с одиннадцати вечера до восьми утра (Федеральный закон от 18.07.2011 …, 2011). В некоторых районах России данный закон ужесточен. Например, в Дагестане, закон «Об установлении дополнительных ограничений времени розничной продажи алкогольной продукции на территории республики Дагестан» запрещает продажу алкогольной продукции во время проведения дня знаний, дня молодежи и дня защиты детей. В остальное время существует запрет на продажу алкоголя с восьми вечера до десяти утра (Закон республики Дагестан …, 2013). В Ульяновской области так же существует закон «О лицензировании и декларировании розничной продажи алкогольной продукции» о запрете к продаже крепких спиртных напитков по выходным, и ежедневно после восьми вечера (Закон Ульяновской области …, 2011). Некоторые исследования доказывают, что существует связь между запретом продажи алкогольной продукции в ночное время суток и уменьшением потребления алкоголя (Babor et al, 2003).

Кроме этого, можно сократить количество торговых точек, предоставляющих алкогольную продукцию. Если до ближайшей точки продажи алкоголя будет далеко, многие индивиды предпочтут остаться дома. В настоящее время в России почти в каждом магазине, предоставляющем продовольственные услуги, можно найти отдел с алкогольной продукцией. В Норвегии, например, одна торговая точка по продаже алкоголя приходится на 30 тыс. индивидов, а в России - на 500 человек.

Одной из самых известных мер по сокращению потребления алкоголя является введение государственного регулирования на продажу алкоголя. Данное регулирование розничной продажи распространена в таких странах, как США, Канада, Норвегия, Швеция, Финляндия, Исландия и некоторые другие страны. Форма регулирования может быть совершенно различной. Например, государственное регулирование розничной продажи подразумевает продажу алкогольных напитков только в специальных магазинах. Количество таких магазинов ограничено, так же ограничено время продажи и установлены высокие цены на продукцию. Положительной стороной данного регулирования является поступление дохода от продажи непосредственно в бюджет государства. Согласно исследованию Д.А. Халтуриной и А.В. Коротаева, поступления в бюджет от продажи алкогольной продукции в странах с государственным регулированием выше, чем в странах такого же экономического уровня без регулирования оборота алкогольной продукции (Халтурина, Коротаев, 2008). В ходе различных исследований было выяснено, что при частичной отмене государственного регулирования, потребление спиртных напитков увеличивается (Makela et al, 2002). Возврат же к государственному регулированию уменьшает потребление алкоголя индивидами (Edwards, 1994).

С высоким уровнем потребления алкоголя можно бороться с помощью рекламы. В данном случае так же выделяется несколько видов. Первый - проведение рекламных компаний за здоровый образ жизни. Сюда входят различные агитации, лекции и семинары о вреде потребления алкоголя в школах, университетах и на работе. Второй вид - запрет или ограничение на рекламу спиртных напитков. Реклама такого рода запрещена по телевидению, на радио, в интернете, на билбордах и во многих других местах. Так, в России разрешено показывать рекламу, связанную с алкоголем, по телевидению только с десяти вечера до семи утра. Во Франции существует запрет на рекламу с пяти вечера до полуночи. Во многих странах, в том числе и России, запрещено использовать в рекламе алкогольной продукции всего, что связано со здоровьем, детьми и спортом. Пропаганда здорового образа жизни и негативного влияния на здоровье индивида алкогольной продукции, а также запрет на рекламу дает положительные результаты. Исследования показали, что данные меры оказывают воздействие на людей и сокращают тем самым потребление алкоголя (Второй доклад …, 2007).

В ходе исследования было выяснено, что пик потребления алкоголя приходится на людей 35-45 лет. В основном это работающие люди. Следовательно, можно вводить меры не только государственного и муниципального масштаба, но и в рамках учреждения, в котором работают индивиды. Так, например, можно ввести ограничительные меры, которые были введены во время сухого закона в СССР. В то время индивидов, замеченных за употреблением спиртного на рабочем месте, увольняли и исключали из партии (Dletant, 2012). В настоящее время возможно увольнение или же введение штрафов.

Многие исследователи склонны считать, что только в случае применения сразу нескольких мер возможно достижение положительного эффекта При этом следует учитывать, что большинство ограничительных мер вносят вероятность возникновения нелегального производства алкогольной продукции.

Таким образом, можно выделить несколько групп мер по снижению потребления алкоголя населением РФ. Первая - ценовая политика, связанная с увеличением акцизов. Как доказано многими странами, данная мера действенна, но может иметь негативные последствия в виде распространения продажи нелегальной алкогольной продукции. Вторая мера - запрет на продажу алкоголя по времени суток. Данная мера действует в России на данный момент, однако некоторые регионы ужесточают существующий закон, что приводит к снижению потребления алкоголя. Третья мера - социальная реклама, направленная на объяснение индивидам вреда потребления алкоголя на здоровье. Так же сюда входит запрет на рекламу самой алкогольной продукции. Четвертая мера - государственная монополия. Можно сокращать количество точек продажи алкоголя. Благодаря таким мерам, вводимым в общество, возможно сократить потребление алкоголя населением.

алкоголь доход курение здоровье

Заключение


Проведенное исследование подтвердило выдвинутую проблему о том, что потребление алкоголя среди населения в России распространено, и данное ее решение является достаточно актуальным.

Цель данной работы состояла в том, чтобы понять, как и на какие факторы потребления алкоголя следует воздействовать, чтобы снизить его негативное влияние на здоровье населения РФ. Для этого в ходе работы были решены такие задачи, как анализ исследований по данной теме, сбор первичных данных, выдвижение гипотез, построение эконометрических моделей и интерпретация полученных результатов.

В ходе работы были проанализированы работы, посвященные данной теме. В ряде работ рассматривалось негативное влияние потребления алкоголя на здоровье населения (O'Shea, 2010, Rehm, 2009, etc.). В других работах тестировались различные гипотезы, влияния на потребление алкоголя различных факторов (Демьянова, 2005, Зотова, 2011, Тапиилина, 2006 и др.).

В ходе выполнения исследования были построены эконометрические модели двух типов: первый тип показывал влияние потребления алкоголя на здоровье индивидов; второй тип - влияние факторов на потребление алкоголя. Для построения данных моделей были использованы модели бинарного (probit-model) и упорядоченного выбора (ordered probit model). Оценивание моделей производилось методом максимального правдоподобия. Далее, для интерпретации результатов, с помощью критериев достоверности были выбраны наилучшие модели.

Полученные результаты показали негативное влияние потребления алкоголя на здоровье индивидов. Кроме того, такие факторы, как тип населенного пункта, пол, возраст индивида, курение, доход и удовлетворенность жизнью влияет на потребление индивидом алкоголя. Так, чем малонаселеннее пункт, тем ниже вероятность потребления индивидом алкоголя в течение последних 30 дней. Мужчины больше склонны к потреблению алкоголя, чем женщины. В среднем, потребление алкоголя приходится на индивидов от 35 до 45 лет. Курение, как еще один вид аддитивного поведения, прямо связан с потреблением алкоголя. Доход так же влияет на потребление - чем он выше, тем чаще индивид потребляет алкоголь. Удовлетворенность жизнью же обратно зависит от потребления алкоголя.

Таким образом, в ходе работы были доказаны семь из девяти гипотез. Две же гипотезы не нашли подтверждений - это гипотеза, связанная с количеством детей в семье, а также гипотеза о том, состоят или не состоят исследуемые индивиды либо в официальном, либо гражданском браке. Возможной причиной, объясняющей данный факт, является неоднозначная трактовка влияния рассмотренных факторов. К тому же, часть факторов носит психологический и оценочный характер, которых довольно сложно оценить.

Можно с уверенностью сказать, что полученные данные не противоречат ранним исследованиям по данной проблеме. Многие исследователи получали такие же или схожие зависимости и влияния.

На основе полученных результатов были выдвинуты меры по снижению потребления алкоголя. В число таких мер входит ценовая политика (повышение акцизов), запрет на продажу в определенное время, разрешение на продажу в строго определенных местах, социальная антиреклама и усиление мер государственного регулирования производства и продажи алкоголя.

В ходе исследования было выявлено, что политика, направленная на снижение потребления алкоголя, должна включать в себя как меры ценовой политики, так и неценовой политики. При повышении акцизов на всю алкогольную продукцию и еще большее повышение, направленное на крепкие алкогольные напитки, можно добиться снижения потребления алкоголя. Кроме того, данную ценовую политику необходимо балансировать с помощью неценовой политики, такой, как ограничение времени продажи алкоголя, ограничение точек продаж, запрет на рекламу и многое другое.

Сложность проведения данного исследования состояла в спецификации готовой выборки - некоторые переменные необходимо было создавать на основе нескольких вопросов анкеты. Кроме того, многие ответы на вопросы, связанные с потреблением алкоголя, содержали большое количество пропущенных данных.

Список литературы


1.    Второй доклад комитета экспертов всемирной организации здравоохранения по проблемам, связанным с потреблением алкоголя (2007)

2.         Демьянова А. А. (2005) Факторы и типы потребления алкоголя и табака в России // Экономическая социология. Том 6. №: 78-94.

3.         Денисова И. Потребления алкоголя в России: влияние на здоровье и смертность // Центр экономических и финансовых исследований и разработок при Российской экономической школе. - март 2010. - №31

4.         Закон Республики Дагестан от 29 апреля 2013 г. N 27 "Об установлении дополнительных ограничений времени розничной продажи алкогольной продукции на территории Республики Дагестан"

5.         Закон Ульяновской области от 5 мая 2011 г. «О лицензировании и декларировании розничной продажи алкогольной продукции»

6.         Зотова П.О. Факторы, влияющие на потребление алкоголя личностью современного Российского общества // Вестник ПНИПУ. Социально-экономические науки. 2011.

7.         Крайнов, Д.Б. Алкоголь, курение и доходы / Д.Б. Крайнов // Финансы и бизнес. -2007. - № 2. - С. 133-145.

8.         Немцов А. Алкогольная история России: Новейший период // Книжный дом «ЛИБРОКОМ». - 2009. - с. 320

9.         Онищенко Г. Г. (2012) Постановление главного государственного санитарного врача Г. Онищенко № 46 от 29.06.2012г. «О надзоре за алкогольной продукцией»

10.       Позднякова М. Е. (2001) Социальные и психологические предпосылки наркотизации // Россия: трансформирующееся общество // Под ред. В. А. Ядова. М: Канон-пресс-Ц. - с. 532-545

11.       Тапилина В.С. Сколько пьет Россия? Объем, динамика и дифференциация потребления алкоголя // Социологические исследования. 2006.

12.       Халтурина Д. А., Коротаев А. В. (2008) Алкогольная катастфроыа и возмоности государственной политики в преодолении алкогольной сверхсмертности в России / М.:ЛЕНАНД - с. 376

13.       Федеральный закон от 18.07.2011 N 218-ФЗ (ред. от 30.06.2012) "О внесении изменений в Федеральный закон "О государственном регулировании производства и оборота этилового спирта, алкогольной и спиртосодержащей продукции" и отдельные законодательные акты Российской Федерации и признании утратившим силу Федерального закона "Об ограничениях розничной продажи и потребления (распития) пива и напитков, изготавливаемых на его основе"

14.       Федеральная служба государственной статистики // Демография. [Эл. ресурс]. Режим доступа: http://www.gks.ru/wps/wcm/connect/rosstat_main/rosstat/ru/statistics/population/demography/#

15.       Babor, T. F., Caetano, R., Caswell, S., Edwards, G., Giesbrecht, N., Graham, K., et al (2003) Alcohol: No ordinary commodity. Research and public policy. Oxford, United Kingdom: Oxford University Press.

16.       Brown Forum. Our Thinking About Drinking. Binge Drinking. [Эл. ресурс]. Режим доступа: http://www.ourthinkingaboutdrinking.com/Issues.aspx?id=242

17.       Di Castelnuovo, Augusto, Serenella Rotondo, Licia Iacoviello, Maria Benedetta Donati, Giovanni de Gaetano. Meta-Analysis of Wine and Beer Consumption in Relation to Vascular Risk // Circulation. - 2002. - 105, 2836-2844.

18.       Diletant: журнал (2012) Статья: «Сухой закон в СССР - как это было?» Edwards, G., Anderson, P., Babor, T. F., Casswell, S., Ferrence, R., Giesbrecht, N., Godfrey, C., Holder, H.D., Lemmens, P., Mäkelä, K., Midanik, L., Norström, T., Österberg, E., Romelsjö, A., Room, R., Simpura, J. & Skog, O. (1994) Alcohol Policy and the Public Good (Oxford, Oxford University Press).

19.       Edwards G. et al. (1994) Alcohol policy and the public good. Oxford: Oxford University Press

20.       European health for all database (HFA-DB) World Health Organization Regional Office for Europe (Updated: July 2013). [Эл. ресурс].

21.       Grossman M., Sindelar J.L., Mullahy J., Anderson R. (1993) Policy Watch: Alcohol and Cigarette Taxes // Journal of Economic Perspectives. Vol. 7. No. 4. - pp. 211-222

22.       James B. Holt, Jacqueline W. Miller, Timothy S. Naimi and Daniel Z. Sui: Religious Affiliation and Alcohol Consumption in the United States // Geographical Review, Vol. 96, No. 4 (Oct., 2006), pp. 523-542

23.       Jessor R. Jessor S.L. (1977) Problem Behavior and Psychosocial Development - A Longitudinal Study of Youth. New York: Academic Press

24.       John C. Duffy (1993) Alcohol Consumption and Control Policy // Journal of the Royal Statistical Society. Series A (Statistics in Society), Vol. 156, No. 2, pp. 225-230

25.       Kandel D.B. (1975) Stages in Adolescent Involvement in Drug Use // Science. Vol. 190. - pp. 912- 914

26.       Makela P., K. Tryggvesson, and I. Rossow (2002) Who drinks more or less when policies change? The evidence from 50 years of Nordic studies. The effects of Nordic alcohol policies: Analyses of changes in control systems. Ed. by R. Room, pp. 17-70. Helsinki, Nordic Council for Alcohol and Drug Research.

27.       O’Keefe J. H., Bybee K. A., Lavie C.J. (2007) Alcohol and cardiovascular health: the razor-sharp double-edged sword. J Am Coll Cardiol: pp 1009-1014.

28.       O'Shea R. S., Dasarathy S., McCullough A. J. (2010) Alcoholic Liver Disease. Hepatology 51(1), pp 307-328.

29.       Osterberg E. (2001). Pricing and Taxation. Handbook on alcohol dependence and related problems / Ed. by N. Heather, T. Peters, T. Stockwell, pp. 685-698. London: Wiley.

30.       Rehm J, Mathers C, Popova S, Thavorncharoensap M, Teerawattananon Y, Patra J. (2009) Global burden of disease and injury and economic cost attributable to alcohol use and alcohol-use disorders, Lancet: pp 2223-2233.

31.       Tinna Laufey Asgeirsdottir and Kerry Anne McGeary: Alcohol and Labor Supply: The Case of Iceland // The European Journal of Health Economics, Vol. 10, No. 4 (Oct., 2009), pp. 455-465

World Health Organization: Global status report on alcohol and health, 2011.

32.  Zaridze D., Brennan P., Boreham J., Boroda A., Karpov R., Lazarev A., Konobeevskaya I., Igitov V., Terechova T., Boffetta P., Peto R. (2009) The Lancet. Alcohol and cause-specific mortality in Russia: a retrospective case-control study of 48 557 adult.

Приложение 1

Таблица 5

Описательные статистики данных

Переменная

Определение

Mean

Std.dev

Var

Интерпретация

Status

Тип населенного пункта: 0 - областной центр; 1- город; 2- поселок городского типа; 3- село

1.143

1.216

0.566

В основном опрошенные индивиды проживали в городе.

q_diplom

Законченное образование: 0-незаконченное среднее; 1-среднее; 2-среднее специальное; 3-высшее образование

1.427

1.092

0.139

В основном опрошенные индивиды имели среднее образование.

q_marst

Семейное положение: 0-не состоит в браке; 1-состоит в браке

0.617

0.486

0.479

В основном опрошенные индивиды состояли в браке.

qh5

Пол: 0-мужской; 1-женский

0.576

0.494

0.306

Количество женщин в выборке больше.

qh6

Возраст индивидов

44.974

19.170

0.305

В основном индивидам от 25 до 45 лет.

q10

 Доход от основной деятельности и дополнительной работы

9720.702

15510.11

4.837

В основном, опрошенные индивиды зарабатывают от 15 до 20 тысяч рублей

qj61

Оптимизм в отношении дальнейшего уровня жизни: 0-будет намного лучше; 1-ненамного лучше; 2-не изменится; 3-немного хуже; 4-намного хуже

1.747

0.755

0.003

В основном, опрошенные индивиды думают, что их жизнь не изменится через год.

qj65

Удовлетворенность жизнью: 0-полностью удовлетворены; 1-скорее удовлетворены; 2-и да и нет; 3-не очень удовлетворены; 4-совсем не удовлетворены

1.465

1.072

0.485

В основном опрошенные индивиды скорее удовлетворены своей жизнью.

qj72.172

Количество детей

1.530

1.057

0.879

В среднем у индивидов 2 ребенка

ql5

Проблемы со здоровьем в последнее время: 0-да; 1-нет

0.621

0.484

0.501

В основном у опрошенных индивидов нет проблем со здоровьем.

qm3

Оценка своего здоровья: 0 -очень хорошее; 1-хорошее; 2-среднее; 3-плохое; 4-совсем плохое

1.727

0.732

0.377

В среднем, индивиды оценивают свой уровень здоровья как средний

qm71

Курение в настоящее время: 0-да; 1-нет

0.706

0.455

0.904

В среднем индивиды не курят

qm80.0

Когда-либо потреблял алкоголь: 0-да; 1-нет

0.346

0.475

0.646

В среднем больше индивидов, когда-либо употребляющих алкоголь

qm80

Употреблял алкогольные напитки в течение последних 30 дней: 0-да; 1-нет

0.552

0.497

0.212

В среднем ответы разделены поровну.

qm81

Частота потребления алкогольных напитков: 0-каждый день; 1-4-6 раз в неделю; 2-2-3 раза в неделю; 3-один раз в неделю; 4-2-3 раза в течение 30 дней; 5-1 раз в течение 30 дней

3.624

1.169

0.763

В среднем, большинство индивидов потребляли алкоголь 2-3 раза в течение последних 30 дней.

qm152

Регулярное питание (удается ли): 0-да; 1-скорее да; 2-скорее нет; 3-никогда не удается

0.664

0.853

0.998

В среднем, опрошенным индивидом удается питаться регулярно

qm114

Занятие спортом: 0-легкие нагрузки менее 3 раз в неделю; 1-средние и тяжелые менее 3 раз в недел.; 2-высокие 3 раза в неделю; 3-ежедневные минимум 30 минут в день; 4-не занимаюсь

3.272

1.392

1.657

В среднем, опрошенные индивиды не занимаются спортом, или же занимаются с легкими нагрузками менее 3 раз в неделю.


Приложение 2

Таблица 6

Ковариационный анализ данных

Covariance Analysis: Spearman rank-order

Date: 04/11/14 Time: 17:17


Sample (adjusted): 1 19423




Correlation

Probability

QL5

Q_DIPLOM

-0.010464

0.3381

QL5

QH5

-0.153800

0.0000

QL5

QH6

-0.232983

0.0000

QL5

QJ61

-0.063022

0.0000

QL5

QJ65

-0.107711

0.0000

QL5

QJ66_1

-0.037608

0.0006

QL5

QJ72_172

-0.069881

0.0000

QL5

QM114

0.024204

0.0267

QL5

QM152

0.059083

0.0000

QL5

QM80

0.033218

0.0024

QL5

QM81

-0.082828

0.0000

QM3

Q_DIPLOM

-0.047409

0.0000

QM3

QH5

0.104071

0.0000

QM3

QH6

0.412755

0.0000

QM3

QJ61

0.211506

0.0000

QM3

QJ65

0.240016

0.0000

QM3

QJ66_1

0.144136

0.0000

QM3

QJ72_172

0.171942

0.0000

QM3

QM114

0.068578

0.0000

QM3

QM152

-0.066321

0.0000

QM3

QM80

-0.024336

0.0259

QM3

QM81

0.024643

0.0240

QM80

Q_MARST

-0.010357

0.3430

QM80

QH5

-0.042839

0.0001

QM80

QH6

-0.059213

0.0000

QM80

QJ10

0.001326

0.9034

QM80

QJ65

0.034461

0.0016

QM80

QJ66_1

0.024522

0.0247

QM80

QJ72_172

-0.039446

0.0003

QM80

QM114

-0.006712

0.5389

QM80

QM152

0.031838

0.0036

QM80

QM71

-0.025067

0.0217

QM80

STATUS

0.013040

0.2325

QM81

Q_MARST

-0.064708

0.0000

QM81

QH5

0.333093

0.0000

QM81

QH6

0.026217

0.0164

QM81

QJ10

-0.010605

0.3316

QM81

QJ65

-0.033637

0.0021

QM81

QJ66_1

0.014290

0.1908

QM81

QJ72_172

0.029774

0.0064

QM81

QM114

-0.062165

0.0000

QM81

QM152

-0.110198

0.0000

QM81

QM71

0.279069

0.0000

STATUS

0.040396

0.0002


Похожие работы на - Проблема потребления алкоголя

 

Не нашли материал для своей работы?
Поможем написать уникальную работу
Без плагиата!
Без нейросетей!