Промышленный транспорт

  • Вид работы:
    Контрольная работа
  • Предмет:
    Транспорт, грузоперевозки
  • Язык:
    Русский
    ,
    Формат файла:
    MS Word
    138,98 Кб
  • Опубликовано:
    2015-10-16
Вы можете узнать стоимость помощи в написании студенческой работы.
Помощь в написании работы, которую точно примут!

Промышленный транспорт

Федеральное государственное бюджетное образовательное учреждение

высшего образования

"Московский государственный университет путей сообщения" (МИИТ)

Российская открытая академия транспорта (РОАТ)

Факультет: "Управление процессами перевозок"

Кафедра: "Эксплуатация железных дорог"







Контрольная работа

Промышленный транспорт


Выполнил: Лысенко Д.С.

Шифр: 1132-пЭЖс-0062

Проверил: Орлов А.М.




Москва

/2016

1. Теоретический вопрос


Промышленно-транспортные системы металлургических и угледобывающих предприятий.

Транспортная системология - это наука о транспортной системе, целью которой является обеспечение цельности, всестороннего подхода к решению сложных проблем развития и эксплуатации промышленного транспорта. В основе понятий системного подхода к транспорту положен понятийный аппарат, заимствованный из общей теории систем, базой которого является понятие "система" и связанные с ним системные категории (системные связи и отношения, системные свойства}.

Структурные образования системных понятий: система (сисистемообразующий компонент; системный объект; границы системы; состав системы); системные связи и отношения (технические, технологические, экономические, правовые, социальные, специальные, информационные, материальные, энергетические); системные свойства (большая, искусственная, открытая, техническая, социальная, целостная, обособленная, централизованная, децентрализованная, управляемая; детерминированная, вероятностная, динамическая, самоорганизующаяся, эмерджентности).

Системное представление о промышленном транспорте предприятия предполагает выделение системных объектов, к которым относятся вход, процесс, выход, цель, критерии, обратная связь и ограничения.

Вход транспортной системы обусловливается системообразующим компонентом, а именно предъявляемым количеством (объемом) грузов, подлежащих перевозке различными видами транспорта. Это характеризует промышленную транспортную систему как систему потоковую, определяет ее внутреннюю структуру, сослав и содержание процесса.

Процесс функционирования транспортной системы характеризуется чрезвычайной сложностью, определяемой многообразием вариантов возможного удовлетворения потребностей предприятия в перемещении грузов, а также исключительно высоким динамизмом материальных потоков, их большим разнообразием по характеру и свойствам. Процесс транспортной системы характеризуется набором соответствующих параметров.

Выход транспортной системы характеризует результат ее деятельности, является функцией совокупности факторов, обусловленных входом и процессом системы. Деятельность системы предполагает наличие цели, ради достижения которой она функционирует и осуществляется процесс управления ею.

Цель транспортной системы определена как необходимость более полного и своевременного удовлетворения, потребностей в перевозке грузов. Естественно, эта цель должна быть достигнута при определенном критерии.

Критерий - показатель, экстремальное значение которого характеризует степень соответствия хода функционирования транспортной системы поставленной цели; может быть оценен достигнутым значением функционала.

Обратная связь - важнейшее понятие кибернетики, означающее воздействие результатов управления на процесс этого управления. Для обеспечения целенаправленного функционирования транспорта как системы с заданными значениями на ее выходе необходимо постоянно воздействовать на процесс, изменяя параметры системы через влияние на ее вход с учетом действующих ограничений. Это требует организации управления материальными потоками в границах всей транспортной систему (от входа до выхода), т. е. "от двери до двери". Такое управление может быть основано на использовании принципа обратной связи. Это обусловливает необходимость четкого установления границ транспортной системы, в пределах которых, и Должен проявляться этот принцип в управлении транспортом как системой.

Ограничения отображают внутренние свойства системы в процессе их взаимоотношения с внешними ограничивающими факторами. В экономических системах ограничения увязывают их технико-экономические характеристики и планы действий с ресурсами, предназначенными к потреблению. Учитывая, что транспортная система является частью экономической, большим потребителем материальных, энергетических, финансовых и людских ресурсов, ее развитие находится под прямым воздействием ограничений по этим видам ресурсов.

Границы промышленно-транспортной системы обусловливаются тем, что промышленный транспорт является составной частью сферы обращения и обеспечивает перемещение готового продукта и сферы непрерывного производства в сферу потребления. Границы транспортной системы вытекают из экономических границ перемещения грузов сфере обращения. При этом основу транспортной сферы обращении составляют магистральные виды. Однако при существующей форме организации распорядительства техническими средствами отдельные виды магистрального транспорта и как правило, не обеспечивают полностью перевозочный процесс грузов в сфере обращения, т.е. "от двери до двери". Подвоз грузов из сферы производства к магистральным видам транспорта и подача грузов с магистральных видов транспорта в сферу потребления осуществляются по подъездным путям к промышленным предприятиям, строительным и торговым организациям. Эти перевозки относятся к сфере обращения независимо от того, чьими средствами (функции распоряжения) они выполняются - отправителя или получателя грузов или средствами транспорта общего пользования. Связь внешнего промышленного транспорта с магистральными осуществляется через так называемые стыковые пункты, которые размещаются на железнодорожных станциях, в речных и морских портах, аэропортах и др.

Под единой транспортной системой понимается комплекс технических средств, коммуникаций и обустройств различных видов транспорта и совокупность отношений, обеспечивающих полное, своевременное и качественное удовлетворение потребностей в перевозки грузов в сфере обращения.

Транспортно-технологический комплекс углеперерабатывающих предприятий. Этот комплекс имеет ряд существенных особенностей. К их числу можно отнести следующие:

большие размеры системы. Угольный район, обслуживаемый ми одним погрузочно-транспортным управлением (ПТУ), включает до 20-30 шахт. Иногда в состав района входят также несколько угольных и закладочных карьеров, пять-шесть обогатительных фабрик (в том числе и фабрики, работающие на привозном ном угле), несколько станций примыкания к сети МПС, до 20-25 углесборочных и углепогрузочных станций, 100-300 км железнодорожных путей, 10-30 локомотивов, сотни вагонов собственного парка. Объем погрузки в наиболее мощных ПТУ превышает 20-25 млн. т в год и в перспективе с учетом растущих перевозок закладочных материалов возрастет в 1,5-2 раза;

сложность технологии и высокие требования к точности реализации. Железнодорожный транспорт района выполняет перевозку коксующегося угля с шахт на обогатительные фабрики, энергетического и коксующегося угля с шахт, разрезом и обогатительных фабрик на внешнюю сеть; обеспечивает доставку материалов с центрального закладочного комплекса, а так же лесоматериалов на шахты, вывозку породы с шахт на внешние отвалы; обслуживает десятки предприятий других отраслей промышленности, расположенных в угольном районе;

необходимость четкого согласования и взаимной увязки во времени элементов технологического процесса в связи с отсутствием, недостаточным развитием или нежелательностью использования межоперационных заделов и буферных емкостей;

многофазность системы. Как правило, транспортные средства в пределах района проходят через несколько обслуживающих устройств, существенно меняя при этом свои качественные характеристики;

ограниченный объем ресурсов (как правило, меньше потребности в них). Ограничения прежде всего относятся к числу вагонов. Нехватка порожняка и неравномерность его поступления выдвигают чрезвычайно жесткие требования к оперативному планированию погрузки. Недостаточная пропускная способность транспортной сети играет весьма существенную роль в ряде районов, где рост путевого развития района значительно отстает от роста объема перевозок;

большой объем информации, необходимой для оперативного правления системой, и короткое время, на ее обработку. Загрузка диспетчера составляет шесть-семь сообщений в минуту, перерабатываемая им за смену информация насчитывает несколько тысяч сообщений;

высокая степень неопределенности системы, вызываемая как неопределенностью внешней среды (нерегулярностью подхода порожних и груженых вагонов с внешней сети, неритмичностью выпуска продукции предприятиями, особенно шахтами, и др.), так и неопределенностью элементов самой системы.

Транспортная система металлургического завода. К числу важнейших признаков этой транспортной системы можно отнести следующие:

разнообразие грузопотоков и их жесткая связь с технологией основного производства. По сравнению с подсистемами транспорта предприятий добывающей промышленности, где: приходится иметь дело с массовыми потоками однородных грузов, на металлургическом заводе резко возрастает число невзаимозаменяемых потоков, различающихся родом груза, направлениями перевозок, условиями и срочностью доставки, типом используемого подвижного состава и др.;

большой объем перевозок и значительное число управляемых объектов. На крупном современном металлургическом заводе объем перевозок достигает 100 млн. т/год, что превышает объем перевозок на предприятиях других отраслей промышленности. Железнодорожная сеть завода включает 300-500 км путей, 20-30 железнодорожных, станций и постов. На заводе одновременно находятся 1-1,5 тыс. вагонов, 2-3 тыс. вагонов местного парка, 2-2,5 тыс. единиц специального подвижного состава (чугуновозных и шлаковозных ковшей, слитковозных тележек), несколько десятков локомотивов, а погрузочно-разгрузочные работы с вагонами осуществляются на сотнях грузовых фронтов;

жесткая регламентация перевозок во времени в соответствии с требованиями технологического процесса. В одних случаях эти требования определены заранее и зафиксированы в плановых документах (график выпуска чугуна, контактный график перевозок в.вагонах заводского парка), в других случаях возникают оперативно (требования мартеновских цехов на подачу плавочных составов, потребность пунктов погрузки готовой продукции в вагонах и др.);

декомпозиция объекта управления. В технологическом цикле металлургического производства выделяется ряд участков (производств), транспортные подсистемы которых слабо взаимодействуют друг с другом. Автономные транспортные участки формируются дли перевозок сырья с аглофабрик в доменный цех; угля внутри коксохимического производства; кокса в доменный цех; груженых и порожних слитковозных составов; чугуновозных ковшей; доменного шлака и др. В связи с этим по является возможность выделить в системе управления транспортом металлургического завода ряд независимых или взаимодействующих подсистем;

сложное построение подсистем управления транспортом. Большой объем перевозок, технологическая взаимозависимость с основным производством и декомпозиция управления транспортом порождают сложную иерархическую структуру, в которой отдельные управляющие органы разделены функционально, территориально, по уровню, рангу и другим признакам.

2. Практическое задание

 

.1 Исходные данные


Расчетная схема для решения задачи по определению пропускной способности транспорта промышленного предприятия приведена на рисунке 1.

Рисунок 1. Схема подъездного пути промышленного предприятия:

ст. Г - приемо-сдаточный парк;

ст. В - основная промышленная станция;

ст. А и ст. Б - грузовые станции с одним сортировочным устройством; перегон Г-В - двухпутный;

перегоны IYIII - однопутные;

а, б, в, г, д, е - погрузочно-выгрузочные фронты.

Исходные данные для расчета представлены в таблице 1.

Таблица 1

Исходные данные к задаче по расчету пропускной способности транспорта промышленного предприятия

Показатель

Значение

1

2

Среднее число вагонов в поезде и расчетной группе

30

Количество путей на основной расчетной станции В

5

Количество путей в приемо-сдаточном парке Г

2

Количество путей на грузовых станциях: А Б

 3 2

Время занятия пути поездом с вагонами, мин: общесетевого парка заводского парка

 50 50

Доля внешнего грузопотока в общем грузопотоке предприятия

0,5

Среднее время занятия горловины одним расчетным поездом: на станции А на станции Б на станции В

 4 4 4

Время сдачи подъездному пути одного поезда, мин

Время приема от подъездного пути одного поезда, мин

30

Время расформирования-формирования одного состава, мин: на станции В на станции А и Б

 20 25

Количество сортировочных устройств: на станции В на станции А и Б

 1 1

Время хода поезда в четном направлении на перегонах, мин: I II III IY Y YI YII YIII

 20 20 15 15 15 15 20 15

Время хода поезда в нечетном направлении на перегонах, мин: I II III IY Y YI YII YIII

 18 18 15 15 14 15 18 15

Максимальное время хода поезда по перегону Г-В, мин

14

Время работы грузовых фронтов, ч: а б в г д е

 16 24 24 12 16 14

Число подач на фронты: а б в г д е

 3 4 4 3 4 2

Время подачи вагонов на грузовые фронты, мин: а б в г д е

 15 10 15 10 10 15

Статическая нагрузка вагона

55

Количество механизмов на грузовых фронтах: а б в г д е

 3 3 4 3 3 3

Производительность механизмов на грузовых фронтах, т/ч: а б в г д е

 55 55 50 65 60 55


Требуется:

Определить пропускную способность транспорта промышленного предприятия

2.2 Методика расчета


Общие условия и принципы расчёта пропускной способности транспорта предприятия

Необходимость в расчёте пропускной способности железнодорожного промышленного транспорта определяется тем, что выполнение производственной программы каждым промышленным предприятием, имеющим железнодорожный транспорт, в значительной мере зависит от технической оснащенности последнего. Кроме того, пропускная способность путей необщего пользования и железнодорожного транспорта предприятия в целом может оказать существенное влияние на величину пропускной способности магистрального железнодорожного транспорта, так как определяет размеры вагонопотока (грузопотока), который может быть освоен станцией примыкания.

Методы расчёта пропускной способности устройств промышленного транспорта отличаются от аналогичных, разработанных для магистрального транспорта. Это отличие вызвано разными технологиями и задачами функционирования указанных систем.

Прежде всего железнодорожные пути ряда предприятий выполняют работу не только по освоению внешнего грузооборота (внешние перевозки), но и по осуществлению транспортных связей внутри предприятия (внутризаводские перевозки).

Для выполнения как внешних, так и внутризаводских перевозок могут быть использованы одни и те же элементы железнодорожного транспорта предприятия. Поэтому, помимо определения пропускной способности по внешним перевозкам, непосредственно влияющей на пропускную способность грузовой станции, необходимо подсчитать и общую пропускную способность железнодорожного транспорта предприятия. Эта пропускная способность определяет общий объём перевозочной работы, который может быть освоен при данном техническом оснащении и принятой технологии.

При определении пропускной способности транспорта предприятий должна быть определена общая пропускная способность, в том числе и по внешним перевозкам. В тех случаях, когда внутризаводских перевозок на предприятии нет или они совершаются по обособленным путям, эти два вида пропускной способности совпадают.

При расчёте пропускной способности по внешним перевозкам следует учесть возможное повторное занятие элементов промышленного транспорта одним и тем же вагоном. Так, например, по перегону, соединяющему станцию примыкания с промышленным транспортом предприятия, имеющим тупиковую схему развития, одни и те же вагоны пройдут дважды: при подаче на предприятие и при уборке с него. Поэтому фактическая, или действительная, пропускная способность транспорта предприятия по внешним перевозкам будет меньше расчётной; в данном примере она для соединительного перегона равна половине расчётной пропускной способности.

Повторность выполнения работ с одними и теми же вагонами должна быть учтена и при определении пропускной способности по внутризаводским перевозкам, так как здесь одни и те же вагоны в течение расчетного периода также могут занимать элемент несколько раз. Однако такая повторность переработки для вагонов внутризаводского парка должна приниматься к расчёту только в пределах их оборота, так как после следующей загрузки, которая может быть произведена в пределах того же расчётного периода, этот вагон фактически уже используется для перевозки другого груза, т.е. для расчёта пропускной способности не является тем же вагоном.

В отличие от магистрального транспорта исчисление пропускной способности элементов промышленного транспорта в поездах не отразит возможной их загрузки, так как весовые нормы поездов, подаваемых на предприятие, обращающихся на путях предприятия и отправляемых с них, различны. Многие поезда и передачи, особенно при подаче на фронты погрузки-выгрузки, вообще не имеют установленных весовых норм.

В связи с этим наиболее приемлемой единицей исчисления пропускной способности промышленного транспорта является физический вагон. Приняв в качестве основной такую расчётную единицу, необходимо также соизмерить пропускную способность:

-  транспорта предприятия и станции примыкания, для чего нужно чтобы обе величины были отражены в одинаковых единицах;

-  других элементов транспорта предприятия с перерабатывающей способностью фронтов погрузки-выгрузки, которая исчисляется в тоннах.

Первая задача решается переводом пропускной способности транспорта предприятия, исчисленной в физических вагонах, в условные поезда по установленной для станции примыкания среднему составу поезда. Для решения второй задачи необходимо расчётную перерабатывающую способность фронтов погрузки-выгрузки определить не только в тоннах, но и в вагонах.

Как известно, пропускную способность магистрального транспорта определяют по следующим элементам технического оснащения железнодорожного участка: станциям, перегонам, водоснабжению, топливо- и энергоснабжению, деповским устройствам для ремонта локомотивов. На пропускную способность промышленного транспорта последние три элемента не влияют. В то же время непосредственное влияние на неё оказывает перерабатывающая способность погрузочно-выгрузочных фронтов и весовых устройств. Кроме того, перегоны по условиям расчёта их пропускной способности нужно разделить на соединительные (соединяющие станцию примыкания подъездного пути и промышленную станцию) и внутренние (межстанционные).

Таким образом, расчёт пропускной способности промышленного транспорта нужно производить по следующим элементам: соединительному перегону, промышленным станциям, межстанционным перегонам, погрузочно-разгрузочным фронтам, весовым и дозировочным устройствам. Соединительные перегоны и погрузочно-разгрузочные фронты имеются на транспорте каждого предприятия, а остальные элементы могут отсутствовать.

Пропускная и перерабатывающая способность промышленных станций

Пропускная и перерабатывающая способность станций определяется для каждой группы станций по отдельным элементам и в зависимости от их специализации.

На основных станциях выполняется сортировочная работа, а иногда и грузовая. По характеру функционирования такие станции близки к станциям магистральных железных дорог и их пропускную способность аналогично этим станциям следует определять по трём элементам: путевому развитию, горловинам и сортировочным устройствам.

Грузовые станции обычно вместо приёмо-отправочных имеют выставочные пути. Специальные сортировочные устройства на таких станциях, как правило, отсутствуют, поэтому расчёту подлежат два элемента: выставочные пути и стрелочные горловины.

Промежуточные станции, как правило, производят только приём, отправление и пропуск поездов. Исходя из технологического процесса работы этих станций расчёт пропускной способности производят также по двум элементам: приёмо-отправочным путям и стрелочным горловинам.

Наконец, передаточные станции, которые по сути являются парками, расположенными на территории станции примыкания, производят только операции по передаче вагонов с дороги на предприятие и обратно. Поэтому на таких станциях расчёту подлежит только один элемент - приёмо-сдаточные пути.

Результативную пропускную способность промышленной станции определяют по элементу с наименьшей пропускной способностью с учётом возможного перераспределения работы между отдельными элементами для увеличения общей пропускной способности. При этом результативную пропускную способность определяют не по расчётной, а по действительной величине пропускной способности с учётом повторности обработки вагонов.

Рассмотрим расчет пропускной способности отдельных элементов промышленных станций.

Расчетную пропускную способность приемо-сдаточного парка определяют только по внешним перевозкам предприятия, подъездной путь которого примыкает к станции:

 (1)

где:  количество путей в приемо-сдаточном парке;

суммарное время перерывов в использовании путей за сутки, затрачиваемое на постоянные операции (ремонт и др.); в расчетах можно принимать

средневзвешенное количество вагонов в поезде или расчетной группе;

 затрата времени соответственно на сдачу подъездному пути станцией примыкания и на прием последней от подъездного пути одного расчетного поезда, мин;

При расчете пропускной способности по путевому развитию необходимо учитывать, что одной из основных особенностей многих промышленных станций является отсутствие на них твердой специализации путей. Поэтому пропускную способность следует определять суммарно по всему путевому развитию, используемому для приема, отправления и сортировки вагонов. Пропускная способность (в вагонах) может быть рассчитана по той же формуле, что и для станций магистрального транспорта


где:  количество путей на станции или в парке;

полное время занятия пути по приему, обработке и отправлению одним поездом или группой вагонов, мин.

При пропуске по тем же путям вагонов как общесетевого, так и внутризаводского парка полное время занятия пути составит:

 (3)

где:  продолжительность занятия пути одним поездом с вагонами общесетевого парка, мин;

 продолжительность занятия пути одним поездом с вагонами заводского парка, мин;

доля грузопотока соответственно внешнего и внутреннего в общем грузопотоке предприятия().

Общие принципы определения пропускной способности горловин на промышленных станциях те же, что и на станциях магистральных железных дорог.

Пропускную способность горловин можно рассчитывать по формуле:

 (4)

где: общее время перерывов в использовании горловины за сутки в связи с враждебностью маршрутов. Можно принимать

суммарное время перерывов в использовании горловины за сутки, затрачиваемые на постоянные операции. Можно принимать

средневзвешенное время занятия горловины одним расчетным поездом, мин.


 (5)

где: время, затрачиваемое за сутки на экипировку маневровых локомотивов при отсутствии подмены и на смену локомотивных бригад. Можно принимать ;

 средняя продолжительность расформирования-формирования одного расчетного состава, с учетом потерь на возможную повторную переработку вагонов, мин.

 коэффициент повторной переработки вагонов, 2.

При наличии на промышленной станции нескольких сортировочных устройств их перерабатывающая способность суммируется.

Результативная перерабатывающая способность промышленной станции принимается равной минимальной из трех сравниваемых: по путевому развитию, по горловинам и по сортировочному устройству.

Пропускная способность подъездного пути и межстанционных перегонов прежде всего зависит от условий пропуска поездов и передач, т.е. типа графика движения поездов. На соединительном перегоне, как правило, внутризаводские перевозки отсутствуют, поэтому общая пропускная способность перегона совпадает с его пропускной способностью по внешним перевозкам.

При параллельном графике расчетную пропускную способность однопутного перегона (в вагонах) можно определить по формуле

 (6)

где:  продолжительность "окна" на рассматриваемом перегоне. На двухпутных перегонах можно принимать ; На однопутном перегоне -;

время хода поезда по перегону соответственно в одном и другом направлениях, мин;

станционные интервалы соответственно по промышленной станции и станции примыкания. Можно принимать .

На двухпутном соединительном перегоне, а также на однопутном перегоне, при кольцевой и сквозной схемах развития транспорта предприятия, пропускную способность соединительного перегона рассчитывают по формуле:

 (7)

где: максимальное время хода поезда по перегону в одном или в другом направлении, мин;

 станционный интервал попутного следования. Можно принимать мин.

Для определения пропускной способности перегонов, имеющих вспомогательные посты, следует применять графо-аналитический способ расчёта путем сопоставления совмещенного графика движения поездов по основному перегону и примыканию на принятый период расчета. При расчёте необходимо учесть влияние на пропускную способность маневровых передвижений на вспомогательном посту, если они производятся с выходом на основной перегон, и закрытие его для пропуска поездов на время, затрачиваемое на производство маневров.

Перерабатывающая способность фронтов погрузки и выгрузки

В общем комплексе мероприятий, обеспечивающих чёткое взаимодействие магистрального и промышленного железнодорожного транспорта, большое значение имеет соответствие грузовых фронтов по их протяжённости и техническому оснащению, перерабатывающей способности и размерам грузооборота промышленного предприятия.

Общепринятая структура единого технологического процесса работы пути необщего пользования и станции примыкания предусматривает необходимость включения в нёго подробной характеристики фронтов погрузки-выгрузки с данными о их специализации, протяженности и вместимости, а также производительности механизмов и устройств, которыми оснащен фронт.

Для расчёта технической оснащенности все грузовые фронты можно классифицировать по следующим основным группам:

·        фронты, оборудованные стационарными погрузочно-разгрузочными машинами и установками (вагоноопрокидывателями, механическими лопатами, инерционными и бульдозерными разгрузочными машинами, бурофрезерными машинами, конвейерами и др.);

·        фронты, оснащённые передвижными погрузочно-разгрузочными машинами (кранами, погрузчиками);

·        эстакадные и траншейные фронты (эстакады, повышенные пути, разгрузочные пути с грузоприемными траншеями);

·        фронты, имеющие бункерные устройства.

·        при расчёте технического оснащения грузового фронта определяют следующие его параметры: количество и суммарную производительность средств механизации и автоматизации погрузочно-разгрузочных работ;

·        производительность средств транспортировки грузов от фронта и к фронту работ;

·        ёмкость складов;

·        длину погрузочно-разгрузочных путей;

·        перерабатывающую способность грузового фронта, т.е. наибольшее количество груза (в тоннах или вагонах), которое может быть погружено или выгружено за сутки или рабочую смену при имеющемся техническом оснащении и прогрессивной технологии его использования.

При этом учитываются обоснованные технологические перерывы, связанные с подачей и уборкой вагонов.

Определение технического оснащения грузовых фронтов основывается на сравнении различных вариантов по техникоэкономическим показателям. Из сравниваемых вариантов выбирают тот, при котором обеспечивается устойчивая переработка всего расчётного грузопотока при наилучших технико-экономических показателях.

Для расчёта технического оснащения грузового фронта необходима следующая исходная информация: среднесуточный грузооборот склада в вагонах и тоннах, характер поступления вагонов под погрузку и выгрузку (группами или маршрутами), время, затрачиваемое на подачу и уборку одной группы вагонов, время работы грузового фронта в течение суток, тип и производительность погрузочно-разгрузочных машин, установок и перегрузочных устройств, вид и режим работы промышленного транспорта, соединяющего прирельсовый склад с цеховыми складами предприятия, статическая нагрузка вагонов и автомобилей.

При известных параметрах грузового фронта его перерабатывающая способность (в вагонах) может быть рассчитана по формуле:

 (8)

где: M - число механизмов, обслуживающих грузовой фронт;- часовая производительность одного механизма, т/ч;

 время работы грузового фронта за сутки, ч;

время подачи и уборки вагонов на грузовой фронт, мин;- количество подач вагонов за время работы грузового фронта;

средняя статическая нагрузка вагона, т.

Для механизмов непрерывного действия вычитаемое в формуле (8) принимается равным нулю.

Результативная пропускная способность транспорта предприятия

После подсчёта пропускной способности каждого элемента определяют результативную пропускную способность транспорта предприятия в целом.

При определении результативной пропускной способности, помимо общей её величины, должны быть выделены размеры перерабатывающей способности по основным родам грузов. Кроме того, если транспорт предприятия имеет несколько ответвлений, то пропускную способность необходимо определять путём сопоставления её по общим устройствам и по сумме раздельных устройств.

Необходимо учитывать также возможность в ряде случаев переноса одной и той же работы, например связанной с пропуском поездов или переработкой вагонов, с одного более загруженного элемента на другой менее загруженный. Работа может быть перераспределена как между отдельными элементами транспортного предприятия, так и между ним и станцией примыкания. В связи с этим для определения пропускной способности транспорта предприятия в целом необходимо рассмотреть возможности перераспределения работы между элементами с целью увеличения общей пропускной способности.

После определения результативной пропускной способности на основе её анализа и технологии работы путей необщего пользования предприятия студент должен предложить меры по уменьшению эксплуатационных расходов на содержание технических устройств за счёт демонтирования и законсервирования тех устройств, которые имеют излишний запас пропускной способности. После проведения предложенных мероприятий выполнить необходимые расчёты пропускной и перерабатывающей способности и определить результативную.

2.3 Решение


При схеме подъездного пути, приведенной на рис.1, рассчитаем пропускную и перерабатывающие способности следующих отдельных элементов:

Приемо-сдаточный парк Г выполняет функции по обеспечению приемо-сдаточных операций с поступающими поездами и группами вагонов как по прибытию, так и по отправлению.

Перерабатывающая способность парка Г определяется количеством приемо-сдаточных путей и рассчитывается по формуле 1 измеряется в ваг/сут.

промышленный транспорт угледобывающий грузопоток

На 1 этапе определим перерабатывающую способность промышленной сортировочной станции В по трем элементам:

.        Горловина станции

.        Перерабатывающая способность сортировочной горки

.        Перерабатывающая способность сортировочных путей.

Затем определим результативную перерабатывающую способность промышленной сортировочной станции В.

Пропускная способность горловины:


Суточная перерабатывающая способность сортировочного устройства промышленной станции:


При пропуске по тем же путям вагонов как общественного, так и заводского парка полное время занятия пути составит:


Основная промышленная станция В

По путевому развитию:


Вывод: результативная перерабатывающая способность промышленной станции принимается равной минимальной из трех сравниваемых: по путевому развитию, по горловинам и по сортировочному устройству, и равна 975 ваг/сут.

Грузовая станция А

По путевому развитию:


Пропускная способность горловины:


Суточная перерабатывающая способность сортировочного устройства промышленной станции:


Вывод: результативная перерабатывающая способность промышленной станции принимается равной минимальной из трех сравниваемых: по путевому развитию, по горловинам и по сортировочному устройству, и равна 780 ваг/сут.

Грузовая станция Б

По путевому развитию:


Пропускная способность горловины:


Суточная перерабатывающая способность сортировочного устройства промышленной станции:


Вывод: результативная перерабатывающая способность промышленной станции принимается равной минимальной из трех сравниваемых: по путевому развитию, по горловинам и по сортировочному устройству, и равна 780 ваг/сут.

Соединительный перегон Г-В


Перегон I


Перегон II


Перегон III


Перегон IV


Перегон V


Перегон VI


Перегон VII


Перегон VIII


Фронт погрузки-выгрузки "а"


Фронт погрузки-выгрузки "б"


Фронт погрузки-выгрузки "в"


Фронт погрузки-выгрузки "г"


Фронт погрузки-выгрузки "д"


Фронт погрузки-выгрузки "е"


Вывод: результативная перерабатывающая способность всей транспортной системы промышленного предприятия будет определятся суммарной перерабатывающей способностью грузовых фронтов и равна 328 ваг/сут.

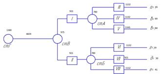
Сопоставляем пропускную способность отдельных элементов:

Приемо-сдаточный парк Г 1380 ваг/сут

Основная промышленная станция В 975 ваг/сут

Перегон I 921 ваг/сут

Грузовая станция А 780 ваг/сут

Перегон III 1132 ваг/сут

Фронт погрузки-выгрузки "а" 45 ваг/сут

Перегон IY 1132 ваг/сут

Фронт погрузки-выгрузки "б" 69 ваг/сут

Перегон Y 1165 ваг/сут

Фронт погрузки-выгрузки "в" 84 ваг/сут

Перегон II 921 ваг/сут

Грузовая станция Б 780 ваг/сут

Перегон YI 1132 ваг/сут

Фронт погрузки-выгрузки "г" 39 ваг/сут

Перегон YII 921 ваг/сут

Фронт погрузки-выгрузки "д" 50 ваг/сут

Перегон YIII 1132 ваг/сут

Фронт погрузки-выгрузки "е" 41 ваг/сут

Таким образом, пропускная способность всех элементов железнодорожного транспорта промышленного предприятия составляет:

Приемо-сдаточный парк 1380 ваг/сут

Соединительный перегон 4659 ваг/сут

Перегоны I и II 921+921=1842 ваг/сут

Основная промышленная станция 975 ваг/сут

Грузовые станции А и Б 780+780=1560 ваг/сут

Погрузочно-выгрузочные фронты

а, б, в, г, д, е 45+69+84+39+50+41=328 ваг/сут


Следовательно, результативной является пропускная способность 328 ваг/сут, т.е. то количество вагонов, которое могут проработать грузовые фронты.

Вывод: некоторые элементы имеют излишний запас пропускной способности, для уменьшения эксплуатационных расходов на содержание технических устройств можно принять следующие меры:

Соединительный перегон сделать однопутным, тогда


Законсервировать один путь по ст. А, тогда:

По путевому развитию:


Таким образом, изменится пропускная способность на перегонах, а результативная пропускная способность не изменится, и составит 328 ваг/сут.

Список литературы

1.      Орлов А.М., Кузнецова Т.Г. Промышленный транспорт: Уч. пос. - М.: РГОТУПС, 2007.

2.      Губенко В.К., Парунакян В.Э. Общий курс промышленного транспорта. - М.: Транспорт, 1994.

.        Малыбаев С.К., Данияров А.Н. Специальные виды промышленного транспорта. - М.: Транспорт, 1993.

.        Промышленный транспорт / Под общ. ред. А.Т. Дерибаса. - М.: Транспорт, 1974.

.        Задание на контрольную работу с методическими указаниями для студентов V курса

Похожие работы на - Промышленный транспорт

 

Не нашли материал для своей работы?
Поможем написать уникальную работу
Без плагиата!
Без нейросетей!