Тунельний ефект та його застосування
Міністерство
освіти і науки України
Національний
педагогічний університет імені М.П.Драгоманова
Фізико
- математичний інститут
Кафедра
експериментальної і теоретичної фізики та астрономії
Курсова
робота
з
теоретичної фізики
"Тунельний
ефект та його застосування"
Виконала:
Дика Оксана
Олександрівна
Науковий
керівник:
Павлова
Наталія Юріївна
Київ
2014
Зміст
Вступ
.
Тунельний ефект та його застосування
.1
Проходження
частинки через потенціальний бар̛ єр
1.2 Холодна емісія електронів з
металу
.3 Α-
розпад
важких ядер
.4 Термоядерні реакції
.5 Скануючий тунельний
мікроскоп
. Вивчення квантової механіки в
курсі фізики середньої школи
.1 План-конспект заняття гуртка
Висновки
Література
Вступ
емісія електрон розпад
квантовий
Тунельний ефект - квантово-
механічне явище проходження мікрочастинки крізь потенціальний бар'єр при її
повній енергії, меншій за потенціальну енергію всередині бар'єра. Зумовлений
хвильовими властивостями мікрочастинок. Характеризується коефіцієнтом
прозорості бар'єра, який визначається відношенням потоку мікрочастинок, що
проходять крізь бар'єр, до потоку частинок, що падають на нього. Тунельний
ефект
лежить в основі багатьох явиш мікросвіту, зокрема іонізації атомів в електричних
полях,
автоелектронної емісії, альфа-розпаду радіоактивних ядер; він впливає на
проходження термоядерних реакцій тощо. Також за
допомогою явища тунельного ефекту можна пояснити принцип роботи скануючого
тунельного мікроскопу та іонного проектора.
Мета роботи полягає у розробці
методичних підходів при вивченні квантової механіки в середній школі.
Об ̓ єкт дослідження: явище
тунельного ефекту.
Предмет дослідження : вивчення
квантової механіки в курсі фізики середньої школи.
Завдання роботи:
‒ вивести формулу
коефіцієнта прозорості бар̓ єра;
‒ розглянути явища, які
є наслідком тунельного ефекту;
‒ розробити план-
конспект вступного заняття при вивченні розділу "Квантова механіка" в
11 класі.
1. Тунельний ефект та
його застосування
1.1 Проходження частинки через
потенціальний бар̛ єр
У класичній механіці рух частинки є
неможливим, якщо різниця між її повною енергією Е та потенціальною U
є від̛ ємною величиною, - це означає, що
кінетична енергія, за означенням величина додатна, стала б від̛ ємною. У
квантовій механіці ймовірність перебування частинки в області , де E-U<0,
відмінна від нуля. Це видно, зокрема, із розв̛язку
задачі для гармонічного осцилятора: хвильова функція у цій області
експотенціально спадає, але відмінна від нуля. Це, зрозуміло, не означає, що
кінетична енергія частинки є від ̛ ємною. Легко переконатись, що її
середнє значення ( а саме середнє значення є вимірювальною величиною) величина
додатна.
Розглянемо рух частинки для
одновимірного випадку з потенціальною енергією U=U(x),
яка зображена на рис. 1.
Якщо частинка, яка рухається зліва
направо, має енергію Е, меншу від максимального значення U(x),
то у класичному випадку вона не зможе подолати цього потенціального бар̛
єра, а зупиниться в точці х1,коли E
= U(x1),
після чого буде рухатись у протилежному напрямку - тобто відіб̛
ється від бар̛ єра. Координату х1 називають
класичною точкою повороту. У квантовій механіці можливим є рух і в ˮзабороненій
зоніˮ між класичними точками повороту х1≤ х ≤ х2,
тому що хвильова фунція в цій області, хоча й значно зменшується, однак є
відмінною від нуля, отже, і ймовірність перебування частинки у цій ˮзабороненій
зоніˮ відмінна від нуля. Виникає цікава задача розрахунку ймовірності
проходження частинки крізь такий потенціальний бар̓ єр. Це інший тип
задач, ніж задача на власні значення та власні функції: енергія частинки є
відмою величиною, вона нам задана, необхідно знайти лише хвильову фунцію.
Рис. 1.
Потенціальний
бар'єр.
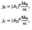
Припустимо, зліва на бар'єр налітає
частинка з заданою густиною потоку ймовірності j0. Нехай частина j1
цього потоку описує рух після відбивання частинки від бар'єра, а j2
- це потік справа від бар'єра, тобто в області х ˃ х2
. Очевидно, згідно з законом збереження потоку,
j0 = j1 + j2.
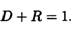
Уведемо експерементально
вимірювальні величини: відношення
яке бедемо називати коефіцієнтом
проходження крізь бар̓ єр або коефіцієнтом прозорості бар̓ єра, та
величину
- коефіцієнт
відбивання від бар̓ єра. Очевидно, що
Нагадаємо також, що густина потоку
ймовірності розраховується за загальним виразом
Для розрахунку величини D
та R
необхідно знайти хвильову функцію частинки зліва
від бар̓ єра х ˂ х1, справа від нього х ˃ х2
та всередині бар̓ єра х1 ≤ х ≤ х2 з
урахуванням неперервності хвильової функції та її першої похідної (потоку) в
класичниї точках повороту х1 та х2.
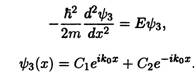
Спростимо нашу задачу і візьмемо як
модель прямокутний бар̓ єр (рис. 2), коли потенціальна енергія
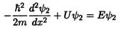
У першій області х ˂ 0
для хвильової функції
маємо рівняння Шредінгера:
а розв̓ язок
Рис. 2. Елементарний прямокутний бар̓
єр
У другій області 0 ≤ х ≤
а хвильову функцію визначаємо з рівняння
Нарешті, у третій області для
отримуємо:

Тепере знаходимо потоки у
відповідних областях:
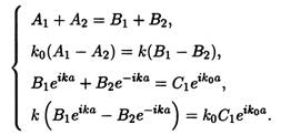
Коефіцієнти прозорості та відбивання
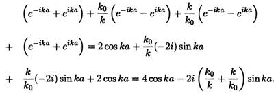
Урахуємо тепер умови неперервності
хвильової функції та її першої похідної в точках х =0 та х = а:
Використовуючи явний вигляд
хвильових функцій, знаходимо рівняння для коефіцієнтів А2 , В1
, В2 та С1 (коефіцієнт А1
задається падаючим потоком j0 ):
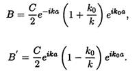
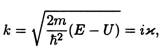
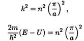
Розглянемо спочатку випадок E
˃U,
коли величина k
є
дійсною.
Поділимо всі рівняння на А1
і позначаючи
Так що
Тепер система рівнянь набуває
вигляду
Додамо третє і четверте рівняння
цієї системи, попередньо помноживши останнє на
та візьмемо їхню різницю
Отже отримаємо
Підставимо ці вирази у два перших
рівняння, попередньо помноживши друге на
Додамо ці вирази і знайдемо
Вираз у фігурних дужках
Тепер
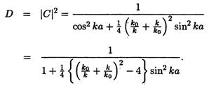
Отже,коефіцієнт прозорості
Або
Урахуємо тепер явний вигляд величини
k та k0
і остаточно для
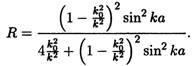
Для коефіцієнта відбивання
знаходимо
Ці результати легко перенести на
випадок
,
зробивши аналітичне продовження. Маємо
дійсна величина. Це
дає
Або
У випадку, коли енергія частинки, що
налітає на бар̓ єр, дорівнює його висоті, коефіцієнт прозорості
Якщо ж енергія то коефіцієнт
прозорості також прямуватиме до нуля:
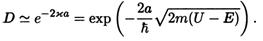
З виразу для коефіцієнта прозорості
при випливає, що
З цього ж виразу видно також, що при
величина
Стани
з такими значеннями енергії частинки називають резонансними станами:
Отже, якщо частинка має резонансне
значення енергії, то коефіцієнт прозорості бар̓ єра точно дорівнює
одиниці. У цьому випадку на ширині бар̓єра вкладається ціле число
півдовжин хвилі де Бройля:
Цікаво, що ці
значення енергії збігаються (враховучи зсув на постійну U)
з енергетичними рівнями частинки, що рухається в
прямокутній поненціальній ямі з безмежно високими стінками. На рис.3 зображено
графік залежності коефіцієнта прозорості від енергії.
Рис.3. Залежність коефіцієнта
прозорості від енергії для прямокутного бар̓єра.
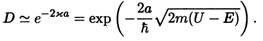
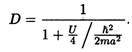
Розглянемо тепер випадок бар̓
єра значної ширини та висоти, коли
У результаті
де величина
причому так що
На підставі цих формул розглянемо
тепер потенціальний бар̓ єр довільної форми
,
який розіб̓ ємо на сукупність прямокутних потенціальних
бар̓єрів
(див. рис. 4).
Рис. 4. Розбиття бар̓ єра на
елементарні прямокутні бар̓ єри.
Зліва від точки повороту х1
і справа від точки повороту х2 коефіцієнт прозорості близький
до одиниці, оскільки енергія налітаючої частинки є більшою за потенціальну
енергію. Це дає змогу зробити оцінку коефіцієнта прозорості, якщо прийняти, що
коефіцієнт прозорості крізь і-тий прямокутний бар̓ єр ширино 
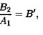
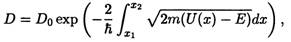
Повний кофіцієнт прозорості D
дорівнює добуткові парціальних коефіцієнтів
прозорості
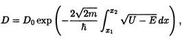
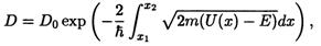
У границі безмежно вузьких
парціальних прямокутних бар̓ єрів
сума
Дарбу в показнику експоненти переходить в інтеграл і в результаті
Де точки повороту х1, х2
визначаємо з рівнянь
Передекспонентний множник D0
має слабку залежність від енергії Е, і в наведеній оцінці коефіцієнта
прозорості його можна вважати величиною сталою. Задачі, що розглядаються на
основі такого підходу: α-розпад,
холодна місія електронів з металу під дією зовнішнього електричного поля, явище
перезарядження йонів у плазмі, хімічні реакції, дисоціація молекул.
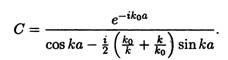
.2 Холодна емісія електронів з
металу
Явище виривання електронів з металу
сильним електричним полем називать холодною емісією на відміну від
термоелектроннної емісії, коли залежність сили струму від різниці потенціалів
між анодом і катодом у вакуумному діоді визначається ˮзаконом 3/2ˮ.
Розглянемо просту модель вільних
електронів, коли потенціальна енергія електрона в металі є постійною й меншою
за її значення поза металом на величину роботи виходу U0.
Електрон у металі має перед собою потеціальний бар̓ єр висотою U0,
але безмежної ширини, і тому коефіцієнт прозорості
Іншу
ситуацію маємо, коли прикладаємо постійне електричне поле напруженості
в
напрямку до поверхні металу. До потенціальної енергії додається величина
де
заряд електрона
- координата, що
відраховується від поверхні металу. Сила
що
діє на електрон, за величиною дорівнює
причому
вектор
має
напрямок, протилежний до напрямку осі х, а повна потенціальна енергія
У результаті утворюється
потеціальний бар̓ єр, ширина якого є скінченною і тим меншою, чим більша
напруженість поля (див. рис. 5)
Рис. 5. Потенціальний бар̓ єр
для електрона в металі: штрихова лінія - без поля, суцільна - з полем.
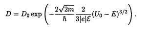
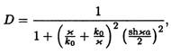
Отже, коефіцієнт прозорості, що
визначає силу струму холодної емісії,
Де точки повороту
Інтеграл
Тепер для коефіцієнта прозорості
маємо:
Якщо ввести постійну величину
що залежить лише від фундаментальних
констант та сорту металу, то сила струму холодної емісії, яка є пропорційною до
величини D,
Таку залежність і спостерігаємо на
досліді. Строга теорія повинна вруховувати як потенціал зображення
електрона, що має притягувальний характер, так і розподіл електронів за
енергіями відповідно до статистики Фермі- Дірака.
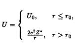
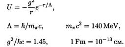
.3 α-
розпад важких ядер
Прикладом явища проходження частинки
крізь потенціальний бар̓ єр є
α-розпад
важких ядер. Добре відомо, що важкі ядра нестабільні щодо
α-розпаду.
Причому ймовірність розпаду, як показує дослід, сильно залежить від енергії α-частинок,
що вилітають з ядра.
Теорію цього явища запропонував Г. Ґамов
у 1928 році. Припускається, що в ядрі вже існує як ціле α-частинка,
потенціальна енергія якої зображена на рис. 6.
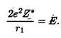
Отже, на малих відстанях r
маємо потенціал ядерних сил, який різко спадає на відстанях - це кулонівська
взаємодія α-частинки
(із зарядом 2׀е׀) ³ç
çàëèøêîì
ÿäðà, çàðÿä
ÿêîãî
(Z
-заряд ядра, що розпадається). Для прикладу, на рис. 6а зображено потенціальний
бар̓ єр для розпаду ядра урану
Суцільна
крива - сума енергій кулонівського відштовхування
та
притягання в полі потенціалу Юкави, зумовленого обміном π-
мезонами масою mπ:
Рис. 6. Потенціальний бар̓ єр
для α- частинки в теорії
розпаду важких ядер: а
- для розпаду урану
, б - модуль.
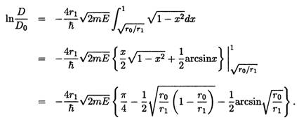
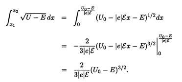
Для розрахунків розглянемо спрощену
модель. При r˂r0
явний вигляд потенціальної енергії в нашій
задачі є несуттєвим, будемо вважати її сталою величиною U0.
Отже,
потенціальна енергія (див. рис. 6 б)
і коефіцієнт прозорості такого
потенціального бар̓ єра
Де Е - енергія α-
частинки,
що покидає ядро, а класичну точку повороту r1
визначаємо
з рівняння
Використання цієї формули для
коефіцієнта прозорості бар̓ єра в тривимірному випадку вимагає пояснення.
По-перше,ми розглядаємо лише радіальний рух, для якого рівняння Шредінгера
формально зводиться до одновимірного. По-друге, приймаємо, що орбітальний
момент кількості руху α- частинки
рівний нулеві.
Уведемо нову змінну інтегрування х
таку, що
Тепер
Цілком природно, що r1
˃˃
r0,
тому, зберігаючи перші члени розкладу за цією малою величиною,
маємо
Де швидкість α-
частинки,
що вилітає з ядра,
а величина
нагадаємо, що тут m - маса α-
частинки.
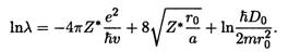
Ще у 1911 році Г. Гайгер та Дж. Неттол встановили емпіричну формулу для
постійної λ,
що визначає залежність кількості атомів N, які не розпалися, від часу в
законі
Величина λ
пропорційна
до коефіцієнта прозорості D:
Де швидкість α-
частинки
всередині ядра
Таким чином, ми отримали, що
Саме таку залежність величини λ
від
швидкості υ
частинки, що вилітає з ядра, і спостерігали Г. Гайгер та Дж. Неттол.
.4 Термоядерні раекції
Розглянемо явище, в якомусь значенні
протилежне α-розпаду,
- синтез важких ядер, в якому тунельний ефект відіграє таку ж велику роль як і
в α- розпаді.
При α-
розпаді
маса та заряд вихідного ядра зменшується за рахунок вильоту з нього ядра Гелію.
При цьому виділяється досить велика енергія. Потенціальна енергія частинок
зменшується, тобто вони більш глибоко опускаються в відповідних потенціальих
ямах. Це означає, що зростає енергія звязку ядерних частинок, так як тепер, щоб
розділити частинки, потрібно затратити більше енергії. Але якщо потенціальна
енергія зменшується, то кінетична енергія частинок ядра збільшується. Ці
частинки, стикаючись з іншими частинками речовини, поступово втрачають свою
кінетичну енергію, а речовина нагрівається. Таким чином, кінетична енергія
продуктів реакції переходить в теплову енергію речовини. Саме в цьому значенні
і говорять про виділення енергії при реакціях.
Ми розглянули розпад складних ядер.
Але можлива і реакція синтезу важких ядер із більш легких. В таких реакціях
може виділятися дуже велика енергія. Якби вийшло поєднати в ядро Гелія чотири
протони
(при цьому два протони
перетворюються в нейтрони, випускаючи позитивно заряджені β-
частинки
- позитрони), то кінетична енергія, що виділилася, сладала б близько 25 МеВ.
Проте таку реакцію в земних умовах провести поки що не можливо.
Більш доступна і дуже енергетично
вигідна реакція синтезу, проведенню якої присвячені зусилля величезних наукових
колективів в різних країнах світу, реакція злиття тяжкого та надважкого
ізотопів Водню.
Кінетична енергія продуктів цієї
реакції складає 17,6 МеВ, виділення енергії в кілька міліонів разів більше, ніж
при спалюванні такої ж маси Водню в Кисні. Питання в тому, щоб здійснити цю
реакцію контролюючим способом.
Для того щоб відбулася реакція, ядра
тритія і дейтерія повинні наблизитися до відстані, на якій починають діяти
ядерні сили. На великих відстанях ядра відштовхуються великими силами, графік
їх потенціальної енергії виглядає так:
Рис.7
Графік потенціальної енергії
взаємодії заряджених ядерних
частинок
Висота потенціального бар ̓єра,
виникаючого через кулонівське відштовхування , виявляється наближена до 1 МеВ.
Такою повинна бути кінетична енергія класичної частинки, дейтона, щоб він міг
проникнути до ядра тритія.
Середня кінетична енергія частинки в
газі дорівнює 3/2 Т
Неважко порахувати,якою повинна бути
температура, щоб середня енергія частинки рівнялась 1 МеВ=1,6 * 10-6
ерг.
При такій температурі майже кожне
зіткнення приводило б до ядерної реакції, але на Землі такі умови недосяжні і
непотрібні.
Завдяки тунельному ефекту реакція
стає можливою при більш низьких температурах. Процес злиття ядер аналогічний α
- розпаду, повернутому назад в часі. При α-
розпаді
частинка проникала через бар ̓ єр з ядра назовні, а при злитті ядер дейтон
повинен проникнути через бар ̓ єр зовні всередину ядра. Проникність бар ̓
єра одна і та ж сама в обох випадках, вона може бути розрахована за формую.
Проте тепер ситуація змінюється.
Якщо при розрахунку ймовірності α-розпаду
енергія α- частинки
була точно відома, то тепер потрібно оцінити ефективність зіштовхування при
довільних енергіях частинок, які зіштовхуються. Якщо енергія відносного руху
ядер Н12 та Н13 рівна Е, то
доля р зіткнень, які приводять до реакції, визначається ймовірністю
тунельного проникнення через бар ̓ єр
Де замість т потрібно
підставити ефективну масу частинок, які зіштовхуються т= т1т2/(т1+т2),
яка рівна ~1,2 маси протона. Щоб оцінити долю р при всх можливих
енергіях, потрібно помножити ω
на ймовірність для частинки мати енергію Е
ехр(-Е/κТ)
- і просумувати по всім можливим енергіям
Підінтегральні функції - дві
експоненти - ведуть себе по-різному. Перша різко зменшується з енергією, і тим
скоріше, чим нижча температура. Це означає, що чим більша енергія, тим все
менша доля частинок має таку енергію. Друга експонента різко зростає зі
збільшенням енергії, так як при цьому збільшується ймовірність тунелювання.
Похідна двох експонент - повна підінтегральна функція досягає максимума при
деякій проміжній енергії, яка позначена Ееф. Саме з цією ефективною енергією
і проходять зазвичай зіткнення, які приводять до ядерного синтезу. Можна
показати що Ееф~T2/3,
а частина таких зіткнень
Бачимо, що доля успішних зіткнень
завдяки тунельному ефекту стає більш м ̓ якою функцією температури і різко
збільшується, так що можна отримати помітні
величини для р вже при температурах, набагато менших, ніж розрахована
класична
температура в 7*109 К. дійсно, при температурі всього в сто
мільйонів градусів р~10-4 , тобто кожне десятитисячне
зіткнення ядер приводить до реакції, в той час як при класичному процесі частка
таких зіткнень була
б порядку е-70 ~10-30 .
Такі реакції прийнято називати
термоядерними, щоб підчеркнути що вони можуть проходити тільки при досить
значному підігріві вихідних реагентів. Хоча завдяки тунельному ефекту
температура, при якій може пройти реакція, значно знижується, вона все-таки
залишається дуже високою. Речовина, нагріта до таких високих температур, являє
собою повністю іонізовану розжарену плазму.
Для того щоб термоядерна проблема
була вирішена, необхідно досягти таких умов, щоб під час реакції поступання
енергії від реакції ядерного синтезу перебільшило втрати енергії з об ̓
єму речовини, які проходять в основному за рахунок випромінювання.
Зіткнення ядер дейтерія і тритія
можна характеризувати перетином зіткнення - площею того циліндра, в якому
повинні летіти ядра, щоб у них була можливість підійти на відстань, достаню для
ядерної рекції. Цей перетин σ в
даному випадку складає ~10-24 cм2
. За час t
дейтрон проходить відстань υt
і зіштовхується з усіма ядрами тритія, які потраплять в циліндр з висотою υt
і площе основи σ.
Таких ядер буде nυtσ,
де n
- плотність ядер тритія. З усіх цих зіткнень
тільки частина, виражена раніше введеним числом р, приведе до ядерного синтезу.
Добуток nυtσр
є ймовірність того, що ядро дейтерія вступить в
реакцію за час t.
Якщо С=1, то за час t
на кожне ядро дейтерія майже напевно вступить в
реакцію. Тоді за час t
на кожне ядро дейтерія виділиться енергія ∆Е = 14,6 МеВ nυtσр.
Щоб термоядерну реакцію можна було використовувати для отримання енергії, ∆Е
повинна перевищувати Ез - енергію, затрачеу для отримання та
нагрів плазми, віднесену на один дейтон. Звідси можна отримати так званий
критерій утримання (плазми в потрібному стані) в термоядерному реакторі
Частка зіткнень, які приводять до
реакції р, значно залежить від температури. Здавалось би, чим більша
температура, тим більше р і тим меншим можна зробити критерій утримання.
Однак це не так. З ростом температури дуже швидко збільшуються втрати плазми на
випромінювання, тобто росте ∆Ез. тому існує деяка
оптимальна температура, при якій nt
виходить найменшим. Вище неї сильно зростає
чисельник дробу ∆Ез, нище - різко спадає знаменник за
рахунок зменшення р. Виявляється, що для дейтерієво-тритерієвої плазми
ця оптимальна температура складає ~108K,
при цьому nt
~3*1014 с/см3.
З тих пір як академік І. В. Курчатов
у своїй історичній доповіді в англійському атомному центрі в Харуелі розповів
про роботи, які проводяться в Радянському Союзі по проблемі керуючого
термоядерного синтезу, і тим самим інтернаціоналізував цю важливу для людства
задачу, пройшло кілька десятків років. За цей час в термоядерній проблемі
утворилося кілька напрямків. В одному при збереженні достатньо малої плотності
плазми (~1013 - 1014см-3, тобто плотність
порядку декількох мільйонних частин плотності атмосферного тиску) старвються
збільшити час утримання плазми в об ̓ ємі реактора, в іншому - при дуже
малому часі утримання (~10-7 - 10-8 с) збільшують
плотність плазми.
До першого типу обладнання
відносяться різні установки, в яких розріджена плазма утримується магнітними
пастками. Тут найближче підійшли до критичного значення критерія утримання на
установках типу ТОКАМАК, які вперше розроблені в Інституті атомної енергетики
ім.
І. В. Курчатова.
У іншому типі обладнання
використовується інший шлях отримання плазми. Маленькі шарики, наповнені
дейтерієво-тритієвою плазмою, зжимаються направленими з усіх сторін потужними
лазерними або електронними імпульсами. Яке із цих направлень вийде економічно
більш вигідним, покаже час.
У проблемі терояда є ще одне
питання: де взяти важкі ізотопи Водню? Тритій, який не зустрічається в природі,
можна отримати в самому термоядерному реакторі, якщо використовувати потужні
потоки нейтронів.
Li36+n01→H13+He24
В наш час тритій
отримують за допомогою нейтронів самого ядерного уранового реактора. Дейтерій є
в природньому Водні, і його можна отримати, розділивши ізотопи Водню.
.5 Скануючий тунельний мікроскоп
Скануючий рух голки вздовж поверхні
контролюється двома п ̓ єзо- електричними елементами, третій контролює
відстань між емітером і зразком. При такому русі голка огинає виступи і
впадини, які зустрічаються на поверхні - адсорбовані атоми, дефекти поверхні,
порушення періодичності. Зміна профіля поверхні на один ангстрем відповідає
приблизно одному сантиметрі на екрані дисплея - тунельний мікроскоп збільшує
мікрооб ̓ єкти у сто разів. Зрозуміло, феноменальні можливості тунельного
мікроскопа стимулювали його широке використання в фізиці поверхні, хімії,
біології. З його допомогою було отримано немало фундаментальних результатів. В
першу чергу була вивчена мікротопографія багатьох чистих поверхонь металів і
напівпровідників у вакуумі, частково були знайдені картини реконстуйованої
поверхні і деталі розміщення на ній атомів. Тунельний мікроскоп дозволив
зрозуміти куди в дійсності зміщуються атоми при реконструкції, наприклад, при
перебудові 7х7 поверхні кремнія - вправо, вліво, вперед, назад - і виключити
досить багато теоретичних моделей, претендуючих на правильне описання цього
явища. Дуже великий інтерес для фізики має випромінення динаміки реконструкції
- самого процесу переходу поверхні від однієї кристалічної решітки до іншої. Це
перетворення можна вважати фазовим переходом в "поверхнісній
речовині", який відбувається як звичайний фазовий перехід (наприклад,
плавлення льоду), при заданій температурі і тиску. Повільно підвищуючи
температуру близько до точки фазового переходу , за допомогою тунельного мікроскопа
можна "своїми очима" спостерігати, як зникає реконструкція
поверхнісної решітки і по якому закону народжується нова фаза. Іншими словами,
можна побачити, як поверхнісні атоми об ̓ єднуються в кристалічну решітку.
Оскільки тунельний мікроскоп
дозволяє розглядати окремі атоми і молекули на поверхні, то його можна
використовувати для вивчення їхньої геометрії. Справа в тому, що розміри
адсорбованих атомів і
молекул, як правило, змінюються при взаємодії з поверхнею. Реєстрація цієї
зміни дає інформацію про характер звязку адсорбованих атомів і їх невеликих
груп з поверхнею. Ця задача дуже важлива для хімічного каталізу і в процесі її
вирішення тунельний мікроскоп привів до розуміння механізма деяких хімічних
реакцій.
Атоми та їхні, налипаючи на
поверхність, можуть бути зарадженими - тоді їх називають зарядженими дефектами.
Тунельний мікроскоп дозволяє вимірювати перерозподіл рівнісного електричного
заряду на поверхні, внесеній зарадженим дефектом. Такі досліди важливі з точки
зору дизайну мікроелектронних компонентів, для якісної роботи яких необхідно
точне знання поверхнісної плотності електронних станів. Ці плотності
пропорційні числу електронів, які знаходяться на поверхні, і, відповідно,
приросту тунельного струму при збільшенні напруги між голкою та зразком. Таким
чином, скануючий тунельний мікроскоп можна опосередковано використовувати для
поверхнісної електронної спектроскопії. Пряме випромінювання електронних
станів дозволяє краще зрозуміти надпровідність - явище, здавалось, не маюче
відношення до фізики поверхонь. В деяких надпровідниках ( так званих другого
роду) можуть існувати своєрідні електронні структури - вихрові нитки. Близько
до цих ниток зосереджене магнітне поле ( яке з великими труднощами проникає у
надпровідник), а також охоплюють їхні кільцеві надпровідні струми. За допомогою
тунельного мікроскопу, працюючого при низьких температурах, була отримана
картина, яка показала розміщення надпровідних електронів всередині вихрів. Це
дало додаткові відомості про граничні значення магнітних полів і струмів, які
витримує надпровідник, без руйнування надпровідності.
Взагалі неруйнівні властивості
тунельного мікроскопа дуже приваблюють дослідників. Інші мікроскопи в тій чи
іншій степені "псують" досліджуваний об ̓ єкт. В електронній
мікроскопії, наприклад, зразки покривають тонким шаром металу, щоб
"призупинити" швидкі електрони.
2. Вивчення
тунельного ефекту в школі
Згідно діючої програми розділ
"Квантова механіка" в школі не вивчається, але за програмою 11 класу
у розділі "Атомна та ядерна фізика" вивчається тема "Способи
звільнення ядерної енергії: синтез легких і поділ важких ядер. Ланцюгова
реакція поділу ядер Урану". Як ми знаємо, вказані процеси неможливі без
явища тунельного ефекту. Тому для чіткого розуміння процесів синтезу легких та
поділу важких ядер можна відкрити для учнів явище тунельного ефекту.(Для школи
з поглибленим вивченням природничих наук).
2.1 План- конспект заняття гуртка з
фізики для учнів 11 класу
Тема: "Тунельний ефект та його
застосування"
Мета уроку :
навчальна
- розкрити фізичний зміст явища тунельного ефекту, ввести поняття коефіцієтта
прозорості бар̓ єра, розібратися в сутності процесів холодної емісії
електронів, α- розпадів,
термоядерних реакцій, вказати межі застосування явища тунельного ефекту;
розвиваюча - розвивати
практичні навички учнів, пізнавальний інтерес до предмету, уміння логічно
мислити, аналізувати і співставляти фізичні явища та процеси на атомному рівні.
Виховна - виховувати
і формувати фізичний світогляд.
Тип заняття: комбінований.
План заняття
Актуалізація опорних знань 7 хв.
Будова атома, синтез легких ядер, поділ важких ядер, ланцюгові реакції.
Вивчення нового матеріалу 28 хв.
Презентація "Тунельний ефект та його застосування"
Закріплення вивченого матеріалу 10
хв. Контрольні запитання
Актуалізація опорних знань
1. Яку будову має атом? З чого
складається ядро?
2. Розкажіть як відбувається
синтез легких ядер. Запишіть приклад.
. Опишіть процес поділу
важких ядер. Запишіть приклад.
. Хто здійснив першу штучну
ядерну реакцію?
. Як відбуваються ланцюгові
реакції поділу ядер Урану? Запишіть приклад.
. Які сили діють на електрон
у електромагнітному полі?
Вивчення нового матеріалу.
Давайте спробуємо заглянути
всередину атома і подивитися як насправді поводять себе електрони у ньому. (
Запускаємо презентацію).
Запишемо визначення : Тунельний
ефект лежить в основі багатьох явиш мікросвіту, зокрема іонізації атомів в
електричних полях, автоелектронної емісії, альфа-розпаду радіоактивних ядер;
він впливає на проходження термоядерних реакцій тощо.
Рис. 2. Елементарний прямокутний бар̓
єр
Явище виривання електронів з металу
сильним електричним полем називать холодною емісією на відміну від
термоелектроннної емісії, коли залежність сили струму від різниці потенціалів
між анодом і катодом у вакуумному діоді визначається ˮзаконом 3/2ˮ.
Рис. 5. Потенціальний бар̓ єр
для електрона в металі: штрихова лінія - без поля, суцільна - з полем.
Розглянемо явище, в якомусь значенні
протилежне α-розпаду,
- синтез важких ядер, в якому тунельний ефект відіграє таку ж велику роль як і
в α- розпаді.
Давайте розглянемо скануючу зондову
мікроскопію.
В скануюючих зондових мікроскопах
дослідження мікрорельферу поверхні і її локальних властивостей проводиться за
допомогою спеціально приготованих зондів у вигляді голок. Робоча частина таких
зондів має розміри порядку десяти нанометрів. Характерна відстань між зондом і
поверхнею зразків в зондових мікроскопах по порядку величин складає 0,1 - 10нм.
Робота тунельного мікроскопу заснована на явищі протікання тунельного струму
між мелалевою голкою та проводячим зразком; різні типи силової взаємодії лежать
в основі роботи атомно-силового, магнітно- силового и електро- силового
мікроскопів.
Для отримання зображення дійснюють
спеціальним чином організований процес сканування зразка. При скануванні зонд
спочатку рухається над зразком вздовж деякої лінії, при цьому величина
звукового сигналу на виконуючому елементі, пропорційна рельєфу поверхні,
записується в пам̓ ять комп̓ ютера. Записаний таким чином сигнал
обробляється комп̓ ютером, потім будується зображення поверхні за
допомогою засобів комп̓ ютерної графіки.
Закріплення нового матеріалу.
2. Які сили діють на електрон у
електричному полі?
. Що таке потенціальний бар̓
єр?
. Від чого залежить
прозорість бар̓ єра?
. Запишіть формулу для
прямокутного бар̓ єра.
. Запишіть формулу для бар̓
єра довільної форми.
. Для чого потрібне вивчення
явище тунельго ефекту?
. Де застосовується це явище?
9. Скануюча зондова
мікроскопія.
Висновки
Коефіцієнт прозорості бар̓ єра
При Е˂U частинки можуть
проникати крізь бар̓ єр. Ймовірність проникнення досить мала і тим менша
чим більша маса частинки,чим ширший і вищий бар̓ єр.
Для довільного бар̓ єра
межі інтегрування визначається з
умови U(х)=Е. тунельний ефект лежить в основі таких фізичних процесів,
як холодна емісія електронів з металу під дією електричного поля, α
- розпад, іонізація атомів в сильних магнітних
полях, дисоціація молекул.
Тема тунельного ефекту у шкільній
програмі не вивчається, проте її можна розглянути на додаткових уроках чи
заняттях гуртків. Мною запрпоновано план-конспект заняття гуртка на тему
"Тунельний ефект та його застосування".
Література
1. Бахтизин Р. З.,
Сканирующая туннельная микроскопия.: Соровский образовательный журнал. Том 6
№11, 2000.
2. Блохинцев Д. И., Основы
квантовой механики. Учебное пособие, издание пятое, переработанное. Главная
редакция физико -математической литературы издательства "Наука",1976.
. Вакарчук І. О.,
Квантова механіка: Підручник.- Львів: ЛДУ ім. І. Франка, 1998.- 616с.: 73 іл.
. Венгер Є. Ф. та ін.,
Основи квантової механіки: Навч. Посіб./ Є. Ф. Венгер, В. М. Грибань, О. В.
Мельничук. - К.:Вища школа.,
2002. - 286 с.:іл.
5. Кожушнер М. А.,
Тунельные явления. - М.: Знание, 1983. - 64с. - (Новое в жизни, науке, технике.
Сер. "Физика"; №3).
6. Матвеев А. Н.,
Квантовая механика и строение атома. - М.: Высшая школа,- 1985.- 356 с.
. Миронов В. Л., Основы
сканирующей зондовой микроскопии. Учебное пособие для студентов старших курсов
высших учебных заведений.:Российская академия наук, институт физики
микроструктур.:Нижний Новгород, 2004 г.
. Мултановский В. В.,
Василевский А. С., Курс теоретической физики: Квантовая механика: Учеб. Пособие
для студентов физ- мат. Фак. Ин-тов. - М.: Просвещение, 1991. - 320 с.:ил.
9. Осадчук Л.А. Методика
преподавания физики: Дидактические основы.- К.; Одесса: Вища школа, 1984.- 350
с.