Тепловой расчет паровых котлов малой мощности
Федеральное
государственное бюджетное образовательное учреждение
высшего
профессионального образования "Ивановский государственный политехнический
университет"
Институт
информационных технологий и инженерных систем
Кафедра:
Гидравлики, теплотехники и инженерных сетей
ПОЯСНИТЕЛЬНАЯ
ЗАПИСКА
к
курсовой работе по дисциплине «Теплогенерирующие установки»
на
тему: «Тепловой расчет паровых котлов малой мощности»
Выполнил:
ст. группы бТГВ-31
Семеновой В.А.
Проверил:
ст. пр. Зиновьева Е.В.
Иваново 2013
СОДЕРЖАНИЕ
Исходные данные
. Состав и характеристика топлива
. Определение состава и энтальпий
дымовых газов
2.1
Расчёт при коэффициенте расхода воздуха
=1
.2
Расчёт при коэффициенте расхода воздуха
>1
.3
Расчёт энтальпий
.
Тепловой баланс
.
Расчёт топки
.1
Определение конструктивных размеров и характеристик топочной камеры
.2
Расчёт теплообмена в топке
.Определение
тепловосприятий
.1
Тепловосприятие пароперегревателя
.2
Тепловосприятие котельного пучка
.3
Тепловосприятие водяного экономайзера
.4
Сведение теплового баланса котла
.
Проверочно-конструктивный расчёт пароперегревателя
.
Проверочно-конструктивный расчёт котельного пучка
.
Проверочно-конструктивный расчёт водяного экономайзера
.
Аэродинамический расчёт газового тракта котла
Библиографический
список
ПРИЛОЖЕНИЕ:
Распределение температур и энтальпий по газоходам котла
ИСХОДНЫЕ ДАННЫЕ
Газопровод: Бухара-Урал

%

%

%

%

%

%

%
1.
СОСТАВ И ХАРАКТЕРИСТИКА ТОПЛИВА
Энергетическая характеристика топлива
определяется его теплотой сгорания.
Различают низшую (
) и высшую (
) теплоту сгорания топлива, которые
находят по формулам (для газообразного топлива):
Содержание компонентов рабочего
топлива имеет размерность в процентах.
Для сравнения эффективности
различных топлив используют понятия условного топлива и топливного эквивалента.
Условным называется топливо, имеющее
теплоту сгорания 29,3 
(
).
Топливный эквивалент находят по
формуле:
где 
низшая теплота сгорания топлива, 
(
).
Высококалорийными топливами
считаются такие, у которых 
В нашем случае:
2.
ОПРЕДЕЛЕНИЕ СОСТАВА И ЭНТАЛЬПИЙ ДЫМОВЫХ ГАЗОВ
2.1 Расчет при коэффициенте расхода
воздуха 
пароперегреватель
котельный экономайзер топочный
Дымовые газы образуются в результате горения
горючих компонентов топлива: углерода, водорода, серы. Кислород топлива
используется для горения. Азот не участвует в горении. Зола топлива также не
участвует в горении а выпадает в осадок, и частично уносится с дымовыми газами.
Влага топлива при его горении используется и в виде водяного пара присутствует
в дымовых газах.
В результате горения образуются 
, 
и водяной пар. Кислород,
необходимый для горения, подаётся в составе воздуха, где он занимает объем
равный 21%.
По реакциям горения можно рассчитать
необходимое количество кислорода, а через него и необходимое количество
воздуха. Расчет количества продуктов сгорания и воздуха производится на 1 кг
твердого или жидкого топлива и на 1 м3 газообразного топлива.
Теоретическое количество воздуха:
Теоретическое количество трехатомных газов:
Теоретическое количество водяных паров:
Теоретическое количество азота в дымовых газах:
Теоретический объем дымовых газов:
Процентный состав дымовых газов при сжигании
любого топлива находят по формуле:

где 
теоретическое количество
соответствующего газа в дымовых газах, 
или
.
2.2 Расчет при коэффициенте расхода
воздуха 
Для обеспечения полного сжигания
топлива необходимо подавать воздух на горение в большем количестве, чем
требуется его теоретически.
Газовый тракт котельного агрегата
работает под разрежением, и поэтому окружающий котел воздух, находящийся под
атмосферным давлением, стремится в газоходы котла. Попадая в газоходы котла,
атмосферный воздух снижает температуру дымовых газов, изменяет их состав,
увеличивая долю азота и водяных паров и снижая долю трехатомных газов.
Атмосферный воздух, попавший в газоходы котла, снижает его КПД. Для борьбы с
присосами атмосферного воздуха:
поддерживают разрежение в топке
котла не более 15÷20
Па;
весь котел по попериметру снаружи
обшивают стальными листами, снижая воздухопроницаемость тепловой изоляции;
делают минимальное количество
отверстий в обмуровке котла, необходимых для наблюдения за его работой, и
предусматривают их плотное заерытие.
Но, несмотря на эти рекомендуемые
мероприятия, подсосов воздуха в газоходы котла избежать не удается.
Пользуясь вышеприведенными рекомендациями,
можно определить коэффициенты расхода воздуха последовательно по всему газовому
тракту котла по формуле: 
а также среднее значение
коэффициента избытка воздуха в соответствующем газоходе: 
где 
начальный и конечный коэффициенты
расхода воздуха в газоходе.
Для топки
Для факельной топки при сжигании
газа необходим начальный коэффициент расхода воздуха 
Рекомендуемый подсос равен 
.
Из-за изменения количества воздуха в
газоходе котла изменяется и соотношение компонентов в данных газах. Количество
трехатомных газов остается постоянным.
Количество водяных паров:
Количество азота:
Количество кислорода:
Действительное количество дымовых
газов при средней величине коэффициента избытка воздуха 
в газоходе будет:
Действительное процентное соотношение
компонентов в дымовых газах находят также как и для теоретического, но только
для действительных количеств соответствующих газов:

При сжигании газового топлива массу дымовых
газов рассчитывают по формуле:

где 
плотность газового топлива,
(
)

влажность газового топлива, равная
10
Плотность дымовых газов находят по формуле:
Среднюю объемную теплоемкость продуктов сгорания
при постоянном давлении определяют по формуле:

,
где 

,
средние объемные теплоемкости при
постоянном давлении соответствующих газов

объемные доли в процентах.

:
Для определения средней массовой
теплоемкости продуктов сгорания применяют формулу:
Для пароперегревателя
Начальный коэффициент расхода
воздуха для пароперегревателя 
Рекомендуемый подсос равен 
.
Из-за изменения количества воздуха в
газоходе котла изменяется и соотношение компонентов в данных газах. Количество
трехатомных газов остается постоянным.
Количество водяных паров:
Количество азота:
Количество кислорода:
Действительное количество дымовых
газов при средней величине коэффициента избытка воздуха 
в газоходе будет:
Действительное процентное
соотношение компонентов в дымовых газах находят также как и для теоретического,
но только для действительных количеств соответствующих газов: 
При сжигании газового топлива массу дымовых
газов рассчитывают по формуле:

где 
плотность газового топлива,
(
)

влажность газового топлива, равная
10
Плотность дымовых газов находят по формуле:
Среднюю объемную теплоемкость продуктов сгорания
при постоянном давлении определяют по формуле:

,
где 

,
средние объемные теплоемкости при
постоянном давлении соответствующих газов

объемные доли в процентах.
Для определения средней массовой
теплоемкости продуктов сгорания применяют формулу:
Для котельного пучка
Начальный коэффициент расхода
воздуха для котельного пучка 
Рекомендуемый подсос равен 
.
Из-за изменения количества воздуха в
газоходе котла изменяется и соотношение компонентов в данных газах. Количество
трехатомных газов остается постоянным.
Количество водяных паров:
Количество азота:
Количество кислорода:
Действительное количество дымовых
газов при средней величине коэффициента избытка воздуха 
в газоходе будет:
Действительное процентное соотношение
компонентов в дымовых газах находят также как и для теоретического, но только
для действительных количеств соответствующих газов:

При сжигании газового топлива массу дымовых
газов рассчитывают по формуле:

где 
плотность газового топлива,
(
)

влажность газового топлива, равная
10
Плотность дымовых газов находят по формуле:
Среднюю объемную теплоемкость продуктов сгорания
при постоянном давлении определяют по формуле:

,
где 

,
средние объемные теплоемкости при
постоянном давлении соответствующих газов

объемные доли в процентах.
Для определения средней массовой
теплоемкости продуктов сгорания применяют формулу:
Для экономайзера
Начальный коэффициент расхода
воздуха для экономайзера 
Рекомендуемый подсос равен 
.
Из-за изменения количества воздуха в
газоходе котла изменяется и соотношение компонентов в данных газах. Количество
трехатомных газов остается постоянным.
Количество водяных паров:
Количество азота:
Количество кислорода:
Действительное количество дымовых
газов при средней величине коэффициента избытка воздуха 
в газоходе будет:
Действительное процентное
соотношение компонентов в дымовых газах находят также как и для теоретического,
но только для действительных количеств соответствующих газов: 
При сжигании газового топлива массу дымовых
газов рассчитывают по формуле:

где 
плотность газового топлива,
(
)

влажность газового топлива, равная
10
Плотность дымовых газов находят по формуле:
Среднюю объемную теплоемкость продуктов сгорания
при постоянном давлении определяют по формуле:

,
где 

,
средние объемные теплоемкости при
постоянном давлении соответствующих газов

объемные доли в процентах.
Для определения средней массовой
теплоемкости продуктов сгорания применяют формулу:
Результаты обработки данных
Таблица 2.2.1.
|
№
п/п
|
Величины
|
Размерность
|
|
|
|
|
|
|
|
Газоходы
|
|
|
|
Топка
|
Пароперегрев
|
Котел
пучок
|
Экономайзер
|
1 Коэффициент избытка
воздуха перед газоходом, 
2 Коэффициент избытка
воздуха за газоходом,
|
-1,151,201,251,35
|
|
|
|
|
|
|
|
3
|
Присос, -0,050,050,050,10
|
|
|
|
|
|
4 Средний коэффициент
избытка воздуха в газоходе, 
,125
,175
,225
5 Количество
трехатомных газов,
,017
,017
,017
6 Количество водяных
паров,
|
2,1642,1722,182,191
|
|
|
|
|
|
7 Количество азота,
|
8,5468,9249,303
|
|
|
|
|
|
8 Количество
кислорода,
|
0,25150,3520,453
|
|
|
|
|
|
9 Количество
продуктов сгорания,
,9785
,465
,953
10 Объемное содержание
трехатомных газов,
%
,49
,16
,85
|
7,43
|
|
|
|
|
|
|
|
11
|
Объемное
содержание водяных паров, %18,06617,4316,8316,02
|
|
|
|
|
|
|
12
|
Объемное
содержание азота, %71,34471,5971,8272,16
|
|
|
|
|
|
|
13
|
Объемное
содержание кислорода, %2,12,823,54,39
|
|
|
|
|
|
|
14
|
Суммарное
объемное содержание трехатомных газов и паров воды,  %26,55625,5924,6823,45
|
|
|
|
|
|
15 Масса дымовых газов,
|
14,805415,43116,06
|
|
|
|
|
|
16 Плотность дымовых
газов,
|
1,2361,2381,240
|
|
|
|
|
|
17 Средняя объемная
теплоемкость продуктов сгорания,
,11692
,113
,109
.3 Расчет энтальпий
Расчет энтальпий продуктов сгорания
для всех видов топлива при 
проводят по формуле:
где 
энтальпии соответственно трехатомных
газов, водяных паров, азота и золы.
Энтальпии газов вычисляются по формулам:

;

;

.
При 300


;

.
При 400

;

;

.
При 500

;

;

.
При 600

;

;

.
При 700

;

;

.
При 800

;

;

.
При 900

;

;

.
При 1000

;

;

.
При 1100

;

;

.
При 1200

;

;

.
При 1300

;

;

.
При 1400

;

;

.
При 1500

;

;

.
При 1600

;

;

.
При 1700

;

;

.
При 1800

;

;

.
При 1900

;

;

.
При 2000

;

;

.
При 2100

;

;

.
При 2200

;

;

.
При коэффициенте расхода воздуха 
расчет энтальпий проводят по
формуле:
где 
энтальпии воздуха, подсасываемого в
газоход
При 300 
При 400 
При 500 
При 600 
При 700 
При 800 
При 900 
При 1000 
При 1100 
При 1200 
При 1300 
При 1400 
При 1500 
При 1600 
При 1700 
При 1800 
При 1900 
При 2000 
При 2100 
При 2200 
Подставим в формулу:
Для топки
При 800
:
При 900
:
При 1000
:
При 1100
:
При 1200
:
При 1300
:
При 1400
:
При 1500
:
При 1600
:
При 1700
:
При 1800
:
При 1900
:
При 2000
:
При 2100
:
При 2200
:
Для пароперегревателя
При 700
:
При 800
:
При 900
:
При 1000
:
При 1100
:
При 1200
:
Для котельного пучка
При 500
:
При 600
:
При 700
:
При 800
:
При 900
:
При 1000
:
Для экономайзера
При 300
:
При 400
:
При 500
:
При 600
:
При 700
:
Результаты вычислений занесены в таблице 2.3.1.
По результатам вычислений строим график Iг
- tг (рис. 2.3.1.)
Энтальпии продуктов сгорания по
газоходам котла, 
топ.
Таблица 2.3.1
t,
|
Газоход
|
|
|
Топка
|
Пароперегрев
|
Котел
пучок
|
Экономайзер
|
|
300
|
|
|
|
5687,436744
|
|
400
|
|
|
|
7676,162032
|
|
500
|
|
|
9203,283548
|
9692,826338
|
|
600
|
|
|
11195,91243
|
11790,57177
|
|
700
|
|
12759,71659
|
13228,23602
|
13931,01517
|
|
800
|
14233,31382
|
14773,91322
|
15314,51262
|
|
|
900
|
16211,44866
|
16824,12798
|
17436,8073
|
|
|
1000
|
18225,73841
|
18912,49987
|
19599,26133
|
|
|
1100
|
20249,28477
|
21012,13059
|
|
|
|
1200
|
22286,04829
|
23124,97847
|
|
|
|
1300
|
24372,51201
|
|
|
|
|
1400
|
26500,19194
|
|
|
|
|
1500
|
28613,19687
|
|
|
|
|
1600
|
30759,0734
|
|
|
|
|
1700
|
32917,71109
|
|
|
|
|
1800
|
35085,31488
|
|
|
|
|
1900
|
37289,69222
|
|
|
|
|
2000
|
39484,48482
|
|
|
|
|
2100
|
41702,07932
|
|
|
|
|
2200
|
43928,63992
|
|
|
|
Рис. 2.3.1. «Диаграмма
Iг
- tг »
.
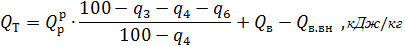
ТЕПЛОВОЙ БАЛАНС
Для газообразного топлива располагаемая теплота
равна его теплоте сгорания, т. е.
Уравнение теплового баланса:
100 = 
где 
располагаемая теплота топлива;

полезно затраченная теплота на
выработку пара;

теплота уходящих газов;

теплота, потерянная из-за
химической неполноты горения топлива (
);

теплота, потерянная из-за
физической неполноты горения топлива (
);

потери теплоты котлом в окружающую
среду(
);

потери теплоты со шлаком и золой (
);
В таком виде удобнее оценивать
величины, составляющие правую часть уравнения.

паропроизводительность котла 
;

энтальпия перегретого пара (
);

энтальпия питательной воды
;

энтальпия кипящей воды 
;

процент непрерывной продувки, равной
3;

расход топлива на котельный агрегат,
.

энтальпия уходящих газов при
коэффициенте расхода воздуха за котлом 
и температуре уходящих газов 
;

энтальпия воздуха, теоретически
необходимого для горения, при температуре, с которой он поступает в котельный
агрегат, 
;
В котельный агрегат газ поступает
при 20
, следовательно:
При коэффициенте расхода воздуха за
котлом 
и температуре 300
уходящих газов энтальпия уходящих
газов будет равна:

= 
В тепловом расчете котельного
агрегата большое значение имеет коэффициент сохранения тепла, который находится
по формуле:
4.
РАСЧЕТ ТОПКИ
.1 Определение конструктивных размеров и
характеристик топочной камеры
Конструктивные размеры топки котла типа
ДЕ-16-1,4 ГМ
Таблица 4.1
|
Наименование
величин
|
обозначение
|
Ед.
изм.
|
Топочные
экраны
|
|
|
|
|
фронтальный
|
задний
|
левый
боковой
|
Правый
боковой
|
потолочный
|
На
поду
|
|
|
Расчетная
ширина экранной стены
|
|
м
|
1,79
|
1,79
|
4,535
|
5,35
|
5,35
|
5,35
|
|
|
Освещенная
длина стены
|
|
м
|
1,80
|
2,3
|
1,75
|
2,00
|
1,8
|
1,8
|
|
|
Площадь
участка стены не закрытого экраном
|
|
|
5,10
|
-
|
-
|
-
|
-
|
|
|
Площадь
стены
|
|
|
|
|
|
|
|
|
|
|
Наружный
диаметр труб
|
|
м
|
0,051
|
0,051
|
0,051
|
0,051
|
0,051
|
0,051
|
|
|
Число
труб в экране
|
|
шт
|
|
|
|
|
|
|
|
|
Шаг
экранных труб
|
S
|
м
|
0,055
|
0,055
|
0,0525
|
0,055
|
0,055
|
0,055
|
|
|
Расстояние
от оси трубы до обмуровки
|
е
|
м
|
0,076
|
0,076
|
0
|
0,076
|
0,076
|
0,076
|
|
|
Относительный
шаг труб
|
|
|
1,0784
|
1,0784
|
1,0294
|
1,0784
|
1,0784
|
1,0784
|
|
|
Относительное
расстояние до обмуровки
|
|
|
1,49
|
1,49
|
0
|
1,49
|
1,49
|
1,49
|
|
Угловой
коэффициент экрана
|
|
|
0,98
|
0,98
|
0,99
|
0,98
|
0,98
|
0,98
|
|
Коэффициент,
учитывающий загрязнение
|
|
|
0,6
|
0,6
|
0,6
|
0,6
|
0,6
|
0,6
|
|
Коэффициент
тепловой эффективности экрана
|
|
|
0,588
|
0,588
|
0,594
|
0,588
|
0,588
|
0,588
|
|
|
|
|
|
|
|
|
|
|
|
Площадь стен экранов находим по формуле:
Суммарная площадь всех поверхностей будет равна
Число труб в экране:

, шт.

, шт.

, шт.

, шт.

, шт.

, шт.

, шт.
Коэффициент тепловой эффективности экрана:
Среднее значение коэффициента тепловой
эффективности для топки в целом определяют по формуле:
Активный объем топочной камеры находят по
формуле:
Эффективная толщина излучающего слоя газов в
топке рассчитывается по формуле:
.2 Расчет теплообмена в топке
Используя теорию теплового подобия,
температуру на выходе из топки 
вычисляют по формуле:

степень черноты топки;

адиабатная температура сгорания
топлива, 
;

параметр, характеризующий температурное
поле по высоте топки;

средняя теплоемкость продуктов
сгорания, кДж/кг
К .
Из расчетов сделанных ранее знаем,
что:

Задаемся температурой 
Полезное тепловыделение в топке
вычисляют по формуле:

количество тепла, сообщенное
воздуху при его подогреве вне котла в специальных калориферах. При отсутствии
таких 
.
Количество тепла, вносимое в топку с
воздухом 
, рассчитывают по формуле:

энтальпия теоретического объема
горячего воздуха, поступающего в топку,
определяют при температуре горячего
воздуха.

энтальпия холодного воздуха,
поступающего в топку в результате подсосов,
определяют при температуре
помещения котельной.

соответственно коэффициенты расхода
воздуха за топкой и величин подсоса, определенные ранее.
Параметр М для факельного сжигания топлива
находят по формуле:
где А и В - опытные коэффициенты, значения
которых зависит от способа и типа сжигаемого топлива. Для газа, сжигаемого
камерным способом, А = 0,52 ; В = 0,3.

относительное положение максимума
температур факела в топке:

поправка на отклонение максимума
температур, равна 0,15;

относительный уровень расположения
горелок;

высота расположения горелок от пода
(
);

высота топки, определяемая от уровня
пода или колосниковой решетки до середины выходного окна из топки (
).
Степень черноты 
для камерного способа сжигания
топлива определяют по формуле:


эффективная степень черноты факела;

степень черноты, которой обладал бы
факел при заполнении всей топки соответственно только светящимся пламенем или
только несветящимся трехатомными газами;

коэффициент усреднения, зависящий
от теплового напряжения топочного объема, принимают для газового топлива равным
0,1.
Величины 
находят по формулам:

основание натуральных логарифмов;

эффективная толщина излучаемого
слоя в топке;

коэффициент ослабления лучей
топочной средой (
;
P 
давление в топке, равно
атмосферному 1 кг/см
;
К

коэффициент ослабления лучей
сажистыми частицами;

парциальное давление трехатомных
газов и водяных паров в долях единицы (для топки 
0,26556).
Коэффициент К
определяют
по формуле:
К
=0,3
К
=0,3·(2 
1,15)· (1,6·
1,462
Средняя суммарная теплоёмкость
продуктов сгорания 1 кг топлива в интервале температур от t
до
вычисляют:
,кДж/кг·К

кДж/кг·К
Вычисляем
=1100°С
Количество теплоты, переданное
излучением в топке, определяют по формуле:

кДж/кг

кДж/кг
5.
ОПРЕДЕЛЕНИЕ ТЕПЛОВОСПРИЯТИЙ
.1 Тепловосприятие пароперегревателя
Тепловосприятие пароперегревателя определяют по
формуле:
, кДж/кг
где iпп и i
- энтальпии
перегретого и сухого насыщенного пара, кДж/кг;
Dк -
паропроизводительность котла, т/ч;
Вр - расчётный расход топлива на
котёл, кг/ч;

кДж/кг
Энтальпия дымовых газов за пароперегревателем
определяют по формуле
где 
энтальпия газов после топки;

коэффициент сохранения тепла;


средний присос воздуха в
пароперегреватель;

энтальпия холодного воздуха.
По найденной энтальпии 
находим
:
.2 Тепловосприятие котельного пучка
Тепловосприятие котельного пучка
определяют через тепловосприятие дымовых газов, задаваясь по рекомендациям
литературы температуры газов на выходе из котельного пучка:

кДж/кг

энтальпия дымовых газов за котельным
пучком при температуре газов за котлом. 

кДж/кг
.3 Тепловосприятие водяного экономайзера
Тепловосприятие водяного экономайзера
вычисляется по формуле:

кДж/кг
где 
средняя массовая теплоемкость
питательной воды при постоянном давлении (
);

температура питательной воды
соответственно на входе и выходе из экономайзера (
).

кДж/кг
Искомая величина 
рассчитывается:
По найденному значению
определяем температуру дымовых
газов за экономайзером.
.4 Сведение теплового баланса котла
Для сведение теплового баланса котла
определяют его невязку по формуле:



условие выполняется
6.
ПРОВЕРОЧНО-КОНСТРУКТИВНЫЙ РАСЧЁТ ПАРОПЕРЕГРЕВАТЕЛЯ
Для теплового расчета пароперегревателя
необходимо определить его конструктивные характеристики и живые сечения для
прохода газов и пара. Все результаты сводятся в таблицу.
Конструктивные размеры пароперегревателя котла
ДЕ-16-1,4 ГМ
Таблица 6.1
|
Наименование
величин
|
Обозначение
|
Единица
изм.
|
Величина
|
|
Наружный
диаметр труб
|
|
м
|
0,032
|
|
Внутренний
диаметр труб
|
|
м
|
0,026
|
|
Число
труб в ряду
|
|
шт
|
6
|
|
Число
рядов по ходу газа
|
|
шт
|
30
|
|
Средний
поперечный шаг труб
|
|
м
|
0,052
|
|
Средний
продольный шаг труб
|
|
м
|
0,075
|
|
Средний
относительный поперечный шаг труб
|
|
-
|
1,625
|
|
Средний
относительный продольный шаг труб
|
|
-
|
2,344
|
|
Расположение
труб
|
Шахматное,
коридорное
|
коридорное
|
|
Длина
трубы змеевика
|
|
м
|
1,7
|
|
Высота
газохода
|
|
м
|
1,8
|
|
Ширина
газохода
|
|
м
|
0,33
|
|
Площадь
живого сечения для прохода газов
|
|
м2
|
|
|
Количество
змеевиков, включенных параллельно по пару
|
n
|
шт
|
30
|
|
Живое
сечение для прохода пара
|
|
м2
|
0,016
|
|
Площадь
нагрева пароперегревателя (предварительная)
|
|
м2
|
0,93
|
Живое сечение для прохода газов по вычисляют
формуле:
, м²
Живое сечение для прохода пара
определяются формуле:
м²
Исходные данные для теплового
расчета пароперегревателя котла ДЕ-16-1,4 ГМ
Таблица 6.2
|
Наименование
величин
|
Обозначение
|
Единица
изм.
|
Величина
|
|
Температура
газов перед пароперегревателем
|
|
|
|
|
Температура
газов за пароперегревателем
|
|
|
|
|
Средняя
температура газов в пароперегревателе
|
|
|
|
|
Температура
пара перед пароперегревателем
|
|
|
195,04
|
|
Температура
пара после пароперегревателя
|
|
|
225
|
|
Средняя
температура пара в пароперегревателе
|
|
|
210,02
|
|
Средний
удельный объем пара в пароперегревателе
|
|
|
0,141
|
|
Средний
объемный расход газов в пароперегревателе
|
|
|
3,952
|
|
Средняя
скорость пара в пароперегревателе
|
|
|
39,17
|
|
Средняя
скорость газов в пароперегревателе
|
|
|
71,4
|
|
Объемная
доля водяных паров
|
доли
единицы
|
0,1743
|
|
Объемная
доля тех атомных газов и водяных паров
|
|
доли
единицы
|
0,2559
|
Средний объемный расход газа в пароперегревателе
определяют по формуле:
м³/с
V

количество дымовых газов на 1 кг
топки в пароперегревателе.
Средняя скорость пара вычисляется по
формуле:
м/с
Средняя скорость газов в пароперегревателе
определяют по формуле:
м/с
Порядок расчета поверхности нагрева
пароперегревателя не отличается от расчёта поверхности нагрева теплообменных
аппаратов и заключается в следующем:
Вт
Тепловая мощность пароперегревателя
определяется по формуле:
°С
где ∆t

большая разность температур между
дымовыми газами и паром
(∆t

891,76°С);
∆t

меньшая разность температур между
дымовыми газами и паром
(∆t

785,85°С);
β-
коэффициент, учитывающий характер движения газов и пара в пароперегревателе,
равен 1.
Поверхность теплопередачи в
пароперегревателе определяют из уравнений теплообмена:
Коэффициент теплопередачи определяют
по формуле:
Вт/м²·К
Коэффициент теплоотдачи от газов к
стенке α1
вычисляют
по формуле:
Вт/м²·К
где

коэффициент основания, равен 0,9.
Коэффициент теплоотдачи конвекцией αК при
шахматном расположении гладких труб в пучке определяют по формуле:
Коэффициент теплоотдачи излучением
для не запыленного потока, вычисляют по формуле:
Значение Тст вычисляется по формуле
:
Тст = tп + 273 +
(80 ÷
100), °К
Тст = 210,02 + 273 + 90 = 573,02 °К
Вт/м²·К
Коэффициент теплоотдачи от
внутренней стенки трубы к пару α2 находится по формуле, где αн находим по
номограмме:
α2 = αн ·Сd = 
· 0,98 = 1372 Вт/м²·К
αн - коэффициент теплоотдачи,
определяемый по номограмме;
Сd -
коэффициент, учитывающий влияние величины внутреннего диаметра трубы на
коэффициент теплоотдачи.
Вт/м²·К
м2
Количество труб поверхности нагрева:
шт
Число рядов по ходу газа z2 будет
равно:
шт
7. ПРОВЕРОЧНО-КОНСТРУКТИВНЫЙ РАСЧЁТ
КОТЕЛЬНОГО ПУЧКА
Конструктивные размеры котельного
пучка котла ДЕ-16-1,4 ГМ
Таблица 7.1
|
Наименование
величин
|
Обозначение
|
Единица
изм.
|
Величина
|
|
Наружный
диаметр труб
|
|
м
|
0,051
|
|
Число
труб в ряду
|
|
шт
|
7
|
|
Число
рядов по ходу газа
|
|
шт
|
11
|
|
Средний
поперечный шаг труб
|
|
м
|
0,11
|
|
Средний
продольный шаг труб
|
|
м
|
0,09
|
|
Средний
относительный поперечный шаг труб
|
|
-
|
2,157
|
|
Средний
относительный продольный шаг труб
|
|
-
|
1,765
|
|
Длина
трубы змеевика
|
|
м
|
1,75
|
|
Высота
газохода
|
|
м
|
1,75
|
|
Ширина
газохода
|
|
м
|
0,85
|
|
Площадь
живого сечения для прохода газов
|
|
м2
|
0,863
|
|
Площадь
нагрева котельного пучка (предварительная)
|
|
м2
|
156
|
Площадь живого сечения для прохода газов
определяют по формуле:
Исходные данные для теплового
расчета
Таблица 7.2
|
Наименование
величин
|
Обозначение
|
Единица
изм.
|
Величина
|
|
Температура
газов перед котельным пучком
|
|
|
|
|
Температура
газов за котельным пучком
|
|
|
|
|
Средняя
температура газов в котельном пучке
|
|
|
|
|
Температура
пара перед котельным пучком
|
|
|
195,04
|
|
Средний
объемный расход газов в котельном пучке
|
|
|
4,11
|
|
Средняя
скорость газов в котельном пучке
|
|
|
16,11
|
|
Объемная
доля водяных паров
|
|
доли
единицы
|
0,1683
|
|
Объемная
доля тех атомных газов и водяных паров
|
|
доли
единицы
|
0,2468
|
Средний объёмный расход газов
вычисляем по
формуле:
м³/с
Средняя скорость газов в котельном
пучке рассчитывается по формуле:
м/с
Тепловая мощность передаваемая в
котельном пучке рассчитывается по формуле:
, Вт
Вт
Поверхность нагрева пучка:
, м²
Средний логарифмический
температурный напор
вычисляется:
°С
°С
°С
Коэффициент теплопередачи
определяют
по формуле:
Вт/м²·К
Коэффициент теплоотдачи от газов к
стенке α1
вычисляют
по формуле:
Вт/м²·К
где
- коэффициент основания, равен 0,9.
Коэффициент теплоотдачи конвекцией αК при
шахматном расположении гладких труб в пучке определяют по формуле:
Живое сечение для прохода пара
определяются формуле:
м²
Средняя скорость пара вычисляется по
формуле:
м/с
Коэффициент теплоотдачи излучением
для чистого газового потока, вычисляют по формуле:
Значение Тст вычисляется по формуле
:
Тст =tп+273+(80÷100), °К
Тст = 195,04 + 273+ 90 = 558,04 °К
= 609,93 Вт/м²·К
Вт/м²·К
Поверхность нагрева пучка:
м²
Количество труб в котельном пучке
находят по формуле:
шт.
Число рядов по ходу газа определяем
по формуле:
шт
8. ПРОВЕРОЧНО-КОНСТРУКТИВНЫЙ РАСЧЁТ
ВОДЯНОГО ЭКОНОМАЙЗЕРА
Конструктивные характеристики
чугунного водяного экономайзера
Таблица 8.1
|
Наименование
величин
|
Обозначение
|
Единица
изм.
|
Величина
|
|
Наружный
диаметр труб
|
|
м
|
0,06
|
|
Число
труб в ряду
|
|
шт
|
7
|
|
Число
рядов по ходу газа
|
|
шт
|
16
|
|
Длина
трубы
|
|
м
|
3,0
|
|
Живое
сечение трубы со стороны дымовых газов
|
|
м2
|
0,184
|
|
Площадь
нагрева одной трубы
|
|
м2
|
4,49
|
|
Площадь
нагрева
|
|
м2
|
330
|
Живое сечение для прохода воды определяют по
формуле:
Исходные данные для теплового
расчета водяного экономайзера
Таблица 8.2
|
Наименование
величин
|
Обозначение
|
Единица
изм.
|
Величина
|
|
Температура
газов перед экономайзером
|
|
|
|
|
Температура
газов за экономайзером
|
|
|
|
|
Средняя
температура газов в экономайзере
|
|
|
269,405
|
|
Температура
насыщения при рабочем давлении в котле
|
|
|
195,04
|
|
Средняя
скорость газов в экономайзере
|
|
|
46,82
|
Вычисляем среднюю скорость воды в экономайзере:
Вычисляем среднюю скорость газов в
экономайзере:
Средний логарифмический
температурный напор
вычисляется:
°С
°С
°С
Тепловая мощность передаваемая в
котельном пучке рассчитывается по формуле:
, Вт
Вт
Коэффициент теплопередачи для
чугунного ребристого экономайзера определяется:
Кэк = Кн · Сv , Вт/м²·К
Сv = 1,02°С
Кн = 46 Вт/м²·К
Кэк = 46· 1,02 = 46,92 Вт/м²·К
Площадь нагрева экономайзера
определяется из уравнений теплообмена:
Количество ребристых труб:
9. АЭРОДИНАМИЧЕСКИЙ РАСЧЁТ ГАЗОВОГО ТРАКТА КОТЛА
,Па
Известно, что ∆Рт = 20 Па
Расчёт для пароперегревателя.
∆P
Па,
Wir - средняя
скорость газов в соответствующем газоходе, м/с;
ρir - средняя
плотность газов в газоходе, кг/м3;
ξi -
коэффициент аэродинамического сопротивления газохода.
Эквивалентный диаметр газохода d
:
d
=
м
где S-площадь
поперечного сечения канала, м;
Р-периметр дымового канала, м.

критерий Рейинольдса, определяется
по формуле:
Re =
т. к. ( S
≤ S
), то:
Поперечно омываемый гладкотрубный
пучок с коридорным расположением труб:
∆P
Па
Расчёт для котельного пучка.
∆P
,Па
,
К =
Вычислим число Рейннольдса:
Re=
Для его определения необходимо найти
эквивалентный диаметр:
d
=
м
Теперь можно определить число
Рейннольдса:
Re =
= 
т. к. ( S

S
), то:
∆P
Па
Расчёт для экономайзера.
∆P
,Па
∆P
Па
= 
Так как сопротивление газового тракта > 500
Па, следует установить дополнительное оборудование.
БИБЛИОГРАФИЧЕСКИЙ СПИСОК
1. Учебное
пособие “Тепловой расчет паровых котлов малой мощности”,
Курилов
В.К., Иваново 1994 ИИСИ.
2. Делягин
Г.Н., Лебедев В.И., Переников Б.А. ”Теплогенерирующие установки”,М 1986.