Принципы перевозки
Введение
маршрут договор перевозка груз
Грузовой транспорт - одна из
важнейших отраслей народного хозяйства. Значение транспорта определяется
объективной необходимостью перемещения грузов от места производства к месту
потребления. В экономическом смысле произведенный «товар» не является полностью
готовым, пока он не доставлен конечному потребителю. Поэтому роль транспорта
заключается в выполнении необходимого производственного процесса по сохранению
потребительной стоимости созданного товара.
В настоящее время в период всеобщей
глобализации дальнейшее успешное развитие экономики невозможно без хорошо
налаженного транспортного обслуживания. Четкая и надежная работа транспорта во
многом определяет трудовой ритм предприятий промышленности, строительства и сельского
хозяйства, а так же сферы заготовок сырья и продвижения готовой продукции,
настроение людей и их работоспособность. В связи с этим одним из важных
вопросов является выбор целесообразного вида транспорта для перевозки груза
потребителям и определение принадлежности транспортных средств Современная
концепция управления перевозками грузов привела к смене приоритетов, когда
основой деятельности взаимосвязанных производственных и транспортных
предприятий и организаций становится не получение максимальной прибыли для
каждого участника в отдельности, а ее совокупная максимизация и справедливое
распределение. Происходят изменения в понимании экономической выгоды в связи с
заменой традиционной практики «от двери к двери» на систему сквозной перевозки
«от места происхождения груза до места его окончательного назначения».
На данное время, в Казахстане с
ростом экономики и городов растут темпы строительства, как жилых зданий, так и
предприятий. Строительные перевозки являются важной составной частью этого
процесса и должны быть правильно организованны с учетом характеристик груза,
подвижного состава и средств механизации погрузки-разгрузки.
1. Исследовательская
часть
.1 Характеристика
перевозимого груза
Фундаментные блоки
стеновые (ФБС).
Блоки ФБС - это
традиционный материал в строительстве. Они успешно себя зарекомендовали как в
массовом высотном домостроении, так и в частном малоэтажном строительстве.
Блоки используются
при возведении фундаментов, а также для строительства стен для подземных и
цокольных частей зданий и сооружений.
Стеновые
фундаментные блоки имеют следующие стандартные размеры:
- высота - 300, 600 мм;
- ширина - 300, 400, 500 и 600 мм;
- длина - 600, 800, 900, 1200 и 2400 мм.
Минимальный вес -
230 кг, максимальный - 1,47 т.
В зависимости от способа погрузки и
разгрузки ФБС относятся к штучным грузам, от использования грузоподъемности
подвижного состава относится к первому классу.
При транспортировке и хранении
фундаментных блоков каждое изделие должно устанавливаться вплотную друг к другу
на деревянные прокладки толщиной не менее 30 мм. на ровной поверхности. Прокладки под нижний ряд блоков
должны быть сплошными как при транспортировке, так и при хранении.
Фундаментные блоки
должны быть рассортированы по партиям и маркам и уложены вплотную друг другу.
Высота штабеля согласно ГОСТ не должна превышать 2,5 метра. При транспортировке
фундаментные блоки должны быть надежно закреплены. Погрузку и разгрузку блоков
необходимо выполнять с помощью подъемного крана за специально предусмотренные
монтажные петли.
Самый оптимальный
вариант использовать машины с манипулятором. Они имеют достаточно хорошую
грузоподъемность и маневренность, что позволяет перевезти фундаментные блоки в
кратчайшие сроки на объект. При перевозке фундаментных блоков манипулятором вы
получаете две единицы спецтехники в одном лице.
Чтобы правильно
выбрать манипулятор, нужно знать:
¾ Габаритные размеры груза (учитываются все выступающие детали).
¾ Вес груза, нужно знать подойдет ли манипулятор 5 тонн, 7 тонн, 10
тонн, 12 тонн, 15 тонн, 20 тонн.
¾ Маршрут транспортировки (адреса погрузки и выгрузки), от этого
будет зависеть цена.
¾ Качество дорог (требуется ли автомобиль повышенной проходимости),
так как грузоперевозки манипулятором, довольно сложный процесс.
¾ Наличие помех на погрузочной и разгрузочной площадках (ветки
деревьев, провода и т.п.).
¾ Минимальное расстояние от оси крана до груза (для расчета вылета
стрелы и грузоподъемности крана).
1.2 Анализ грузопунктов
по кварталам года
Годовой объем перевозок и
грузооборот обычно неравномерно распределяются по отдельным месяцам и
кварталам. Эти колебания обусловлены спецификой производства, обслуживающего
автомобильного транспорта, климатическими и дорожными условиями местности.
Степень неравномерности
характеризуется коэффициентом неравномерности объема перевозок:
η=
(1.1)
где 𝑄max - максимальный объем
перевозимого груза за какой-то период времени (в курсовом проекте за квартал),
т;
𝑄ср - средняя величина
объема перевозимого груза за этот период времени, т.
В курсовом проекте даны суточный
объем перевозок по грузоотправителям и грузополучателям и срок вывозки грузов,
поэтому следует первоначально определить годовой объем перевозимого груза.
Qгод=Qсут*Д (1.2)
где Qсут - суммарный суточный объем перевозок грузов, т;
Дэ - режим работы
автопредприятия, срок вывозки грузов (дни в эксплуатации).
Коэффициент неравномерности в этом
случае будет равен:
Qср=
(1.3)
где Qср - максимальный объем перевозки грузов за квартал, т.
Qср I-IV = Qср* K (1.4)
K - поправочный коэффициент
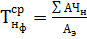
Среднесуточный объем перевозок
определяется по формуле:
𝑄сут =
220+188+132+220+440=1000т.
𝑄год = 1000*305=305000т.
Qср =
= 61000т.
Распределение объема перевозок по
кварталам года определяется с учетом расчетного коэффициента.
Qср Ι-ΙV = Qср* K
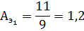
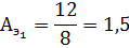
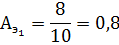
QсрI= Qср * 0,7=
61000*0,7=42700т.
QсрII = Qср * 1,0= 61000*1,0=61000т.
QсрIII = Qср * 1,2=61000*1,2=73200т.
QсрIV = Qср * 1,1=61000*1,1=67100т.
Следовательно, коэффициент
неравномерности составляет
η =
= 1,2
Исходя из особенностей перевозки
грузов, разбиваем годовой объем по кварталам года. Анализ неравномерности
объема перевозок оформляется в виде графика.
Рисунок 1 -
Распределение годового объема перевозок по кварталам года
1.3 Требования по
организации грузопунктов
От правильной
организации работы грузопунктов зависит безопасность труда при погрузке и
разгрузке подвижного состава.
Погрузочно-разгрузочным
пунктом называется объект, где принимают и отправляют, подготавливают,
сортируют, погружают, разгружают грузы и оформляют документы.
Основными
элементами постоянно действующих погрузочно-разгрузочных пунктов являются:
закрытое или открытое складское хозяйство, весовые устройства, погрузочное
разгрузочные средства (механизмы, приспособления), сеть подъездных путей к
местам погрузки-разгрузки, наружное освещение, служебные и бытовые помещения,
средства связи.
Движение
автомобилей на погрузочно - разгрузочных площадках должно быть поточным с
минимальным маневрированием перед установкой на место работ. Перед въездными
воротами должна находится схема размещения складов, пакгаузов и должно быть
указано направление к ним. На больших складах движение регулируют дорожными
знаками и указателями.
На пересечениях
подъездных путей и пешеходных проходов с канавами, ж/д путями и траншеями
устраивают настилы мосты.
Ширина подъездных
путей для одностороннего движения не должна быть менее 3,5 м, а для
двустороннего 6,2 м с соответствующими расширениями на поворотах.
Весовое хозяйство
погрузочно-разгрузочного пункта должно иметь автомобильные весы (для
взвешивания автомобиля с грузом и без него) Масса груза при взвешивании на
автомобильных весах равняется разности между общей массой автомобиля с грузом и
массой автомобиля до погрузки (или после разгрузки). Подъездные пути должны
иметь твердое покрытие (включая площадки для временной стоянки) и содержаться в
исправном состоянии.
Чтобы обеспечить
требуемую производительность, погрузочно-разгрузочный пункт оборудуется
необходимым числом постов - площадок, на которых выполняется непосредственно
погрузка или разгрузка.
Группа
территориально объединенных постов на пункте образует погрузочно-разгрузочный
фронт. Одним из основных его параметров является длина, которая зависит от
характера расстановки подвижного состава: Поточная расстановка позволяет
осуществлять погрузочно-разгрузочные работы через боковой борт, значительно
больший, чем задний, что позволяет увеличить производительность труда при
выполнении погрузочно-разгрузочных работ. К тому же этот способ расстановки
сводит к минимуму затраты времени на маневрирование подвижного состава.
2. Расчетно-техническая
часть
.1 Выбор подвижного
состава
Подвижной состав
должен обеспечивать:
сохранность
перевозимых грузов,
наиболее полное
использование своей грузоподъемности,
удобство выполнения
погрузочно-разгрузочных работ.
При выборе подвижного состава
необходимо учитывать:
Вид перевозимого груза - ФБС
Расстояние перевозки - 4, 6, 8, 10,
12, 16
Физико-механические особенности
груза - штучный
Класс груза - 1к
Таблица 2.1 Техническая
характеристика автомобиля
|
Модель
|
Dong Feng
|
|
Мощность двигателя
|
300 (л.с.)
|
|
Колёсная формула
|
8x4
|
|
Коробка передач
|
9МТ
|
|
Снаряженная масса
|
37140 (кг.)
|
|
Грузоподъемность шасси
|
20000 (кг.)
|
|
Длина машины
|
6350 (мм.)
|
|
Ширина машины
|
2294 (мм.)
|
|
Высота машины
|
550 (мм.)
|
Автомобиль Dong Feng
Выбор подвижного состава
осуществляется с учетом типа груза, перевозку которого необходимо обеспечить
(ФБС). Для наиболее рационального выбора подвижного состава, производится
сравнительная характеристика автомобилей в таблице №2.
Таблица 2.2 Выбор подвижного состава
|
Подвижной состав
|
Номинальная грузоподъемность, т
|
Время простоя, мин
|
Техническая скорость, км/ч
|
Часовая производительность, т/ч
|
Рейтинг
|
|
Dong Feng
|
20
|
30
|
85
|
0,7
|
1
|
|
Daf 85 CF 430
|
17
|
35
|
80
|
0,6
|
2
|
|
МАЗ 5336
|
11
|
35
|
70
|
0,4
|
3
|
Полная фактическая масса не должна
превышать максимальное значение и определять путем суммирования собственной
снаряженной массы подвижного состава и фактической массы груза.
Фактическая масса груза определяется
по формуле:
qф=qн*γс (2.1)
ф=20*1=20 т
где qн - номинальная
грузоподъемность автомобиля (автопоезда), т;
γс - коэффициент
статического использования грузоподъемности.
Часовая производительность
подвижного состава определяется по формуле:
Wч =
(2.3)
где Wч - часовая производительность подвижного состава, т/ч
β - коэффициент
использования пробега;
Vт - среднее значение
технической скорости на маршруте с заданными дорожными условиями, км/ч;
ler - длина ездки с грузом, км;
tпр - время простоя
подвижного состава под погрузкой и разгрузкой, ч.
Wч=
т/ч
В общем случае значение коэффициента
использования пробега определяется по формуле:
β=
(2.4)
β=
Рейтинг определяет приоритетную
последовательность применения вариантов подвижного состава.
Таблица 2.3 Рекомендуемый подвижной
состав
|
Наименование груза
|
Модель автомобиля
|
Модель крана - манипулятора
|
Вид тары, контейнера или средства пакетирования
|
|
ФБС
|
Dong Feng
|
HIAB XS 600EP-5 HiPro
|
-
|
2.2 Механизация
погрузочно-разгрузочных работ при перевозке грузов
Погрузочно-разгрузочные
работы представляют собой комплекс мероприятий, определяющих сразу несколько
функций. К ним относятся определение места, состава, последовательности,
продолжительности выполнения погрузки и разгрузки, рода грузов, способа
установки грузов. Такие работы представляют собой две группы операций. К первой
относят основные операции, ко второй - вспомогательные. Основные представляют
собой захват груза, подачу груза к месту складирования либо же на транспортное
средство. Вспомогательные - те, которые не связаны с процессом перемещения
груза. Включают в себя закрепление стропующих устройств, освобождение, наводку,
укладку грузов, а также подготовка места складирования, транспортных средств,
которые доставят груз к местам складирования и так далее.
Манипулятор - это
особый вид погрузочной спецтехники, который на своей базе имеет гидравлический
кран манипулятор, с помощью которого можно легко произвести загрузку
автомобиля, практически любого материала или товара за короткое время.
Использование манипулятора позволяет перевезти строительные материалы,
контейнеры, гаражи, спецтехнику, бытовки, киоски, вагончики, павильоны и
конструкции, где требуется автокран. Также применение манипуляторов незаменимо
при перевозке и монтаже, демонтаже рекламных щитов, различных станков,
агрегатов, трансформаторов, котлов. Кран будет полезен при перевозке и
установка столбов, заборов, ворот и ограждений.
Погрузочно-разгрузочные работы
осуществляет звено из 3-х человек:
оператор (машинист)
крана-манипулятора 4 разряда - 1 чел.
стропальщик 2 разряда - 2 чел.
Таблица 2.4 Рекомендуемые
погрузочно-разгрузочные механизмы
|
Наименование груза
|
Подвижной состав
|
Фактическая грузоподъемность, т.
|
Масса единицы груза, т.
|
Погрузочная (разгрузочная) машина
|
|
|
|
|
тип
|
модель
|
грузоподъемность
|
|
ФБС
|
Автомобиль Dong Feng
|
20
|
0,97
|
Кран - манипулятор
|
HIAB XS 600EP-5 HiPro
|
3,3 - 15,9 т
|
Таблица 2.5 Основные
технико-эксплуатационные показатели погрузочно-разгрузочных машин
|
Полное название
|
Манипулятор HIAB XS 600EP-5 HiPro
|
|
Вылет - грузоподъемность
|
м-кг
|
3,2 - 15900 4,7 - 11400 8,2 - 6200 10,2 - 4900 14,7 - 3300
|
|
Рекомендуемый поток масла
|
л/мин
|
90 - 140
|
|
Рабочее давление
|
Мра
|
32,0
|
|
Угол поворота
|
Ø
|
бесконечный
|
|
Максимальный уклон при полной нагрузке
|
°
|
5
|
|
Крутящий момент, брутто
|
кНм
|
60,0
|
|
Скорость поворота
|
°/с
|
10
|
|
Скорость подъема при стандартном вылете гидравлических секций
|
м/с
|
1,1
|
|
Высота в сложенном положении
|
мм
|
2 555
|
|
Ширина в сложенном положении
|
мм
|
2 500
|
|
Масса крана в стандартной версии без опор
|
кг
|
5 550
|
|
Масса опор
|
кг
|
1 120 - 1 245
|
Конструкция
кран-манипулятора (краново-манипуляторной установки) состоит из привода,
устройства управления, механической руки и устройства-захвата. Управление
осуществляется дистанционно оператором при помощи пульта управлнеия.
Исполнительный орган крана-манипулятора имеет различное строение в зависимости
от выполняемых им функций. В качестве привода может использоваться ручной
(используется при поднятии и перемещении грузов на небольшие расстояния),
электрический (на основе двигателя постоянного или переменного тока),
гидравлический, пневматический и двигатель внутреннего сгорания. Последний
используются в кранах, работающих независимо от электросети в передвижном
транспорте.
=
, мин (2.5)
где tп-р - время погрузки-разгрузки автомобиля
Важным параметром
погрузочно-разгрузочного пункта является пропускная способность. Пропускная
способность каждого поста зависит от степени оснащения его
погрузочно-разгрузочными средствами, уровня механизации.
µ =
, m/ч (2.6)
µ - пропускная способность поста
Число постов погрузки-выгрузки
=
*
(2.7)
где Qсут -суточный объем
груза который необходимо погрузить (выгрузить) в одном из грузопунктов.
2.3 Обоснование
маршрутов перевозки грузов
Выбор маршрута перевозок играет
большую роль в повышении производительности подвижного состава и снижении
себестоимости перевозок. Маршрутом движения называется путь следования ПС при
выполнении перевозок. Выбор того или иного маршрута определяется в основном
вариантом организации транспортного процесса.
Таблица 2.6 Первоначальное
распределение ездок автомобиля с грузом
|
Грузополучатели
|
Вспомогательные
|
Грузоотправители
|
Количество ездок
|
|
α β
|
А1
|
А2
|
А3
|
|
|
|
|
|
|
|
|
Б1
|
|
6 11
|
|
3
|
|
5
|
11
|
|
|
Б2
|
|
6
|
5 7
|
2
|
7
|
|
|
Б3
|
|
4 9
|
3 11
|
3
|
20
|
|
|
Б4
|
|
4
|
6
|
4 22
|
22
|
|
|
|
|
|
|
|
|
|
Количество поездок
|
|
20
|
18
|
22
|
60
|
|
|
|
|
|
|
|
|
|
|
Полученные маршруты перевозок
грузов:
) Маятниковые:
А1Б1*11
А2Б3*2
А2Б3*8
А3Б4*12
) Кольцевые:
А2Б3Б3А3А3Б4
Б4А2*3
А1Б2Б2А2А2Б4Б4А3А3Б3Б3А1*7
После нахождения рациональных
маршрутов перевозки следует дать анализ выбора первоначальных пунктов погрузки
автомобилей на кольцевых маршрутах.
(2.8)
где
- расстояние от АТП до первого пункта погрузки, км;
-
расстояние от последнего пункта разгрузки до АТП, км;
-
последняя холостая ездка на маршруте, расстояние между первым пунктом погрузки
и последним пунктом разгрузки, которое автомобиль на последнем обороте не
проходит, а возвращается в АТП, км.
После решения матрицы на минимум
холостых пробегов получили следующий первый кольцевой маршрут: А2Б3Б3А3А3Б4
Б4А2
2.4 Определение основных
технико-эксплуатационных показателей по маршрутам перевозки грузов
Время, затрачиваемое автомобилем на
оборот, ч:
(2.9)
где
- длина маршрута, путь, проходимый автомобилем за оборот, км;
-
среднетехническая скорость автомобиля, км/ч;
-
число груженых ездок за оборот;
-
простой автомобиля под погрузкой-разгрузкой за одну ездку, ч;
Количество возможных оборотов за
сутки по маршруту:
(2.10)
где
- время в наряде, ч;
-
первый нулевой пробег, км;
-
второй нулевой пробег, км;
-
последняя порожняя ездка на маршруте, км;
Суточная производительность
автомобиля, т:
(2.11)
где
- номинальная грузоподъемность автомобиля, т;
-
статистические коэффициенты использования грузоподъемности автомобиля по
участкам маршрута.
Суточная производительность
автомобиля, т*км;
(2.12)
где
+
-груженые
ездки автомобиля за оборот, км;
Суточный пробег автомобиля по
маршруту, км:
(2.13)
Груженый пробег автомобиля по
маршруту за сутки, км:
(2.14)
Коэффициент использования пробега
автомобиля:
(2.15)
Фактическое время в наряде
автомобиля, ч:
(2.16)
Эксплуатационная скорость
автомобиля, км/ч:
(2.18)
Эксплуатационное количество автомобилей,
работающих на маршруте, ед;
(2.19)
где
- плановое число оборотов, которое необходимо выполнить по
данному маршруту.
Количество автомобиле-часов в наряде
на маршруте за сутки:
(2.20)
Автомобиле - дни в эксплуатации по
маршруту:
(2.21)
где
- дни в эксплуатации принимаются в зависимости от режима работы
автопредприятия.
Общий пробег автомобилей по маршруту
за расчетный период, км:
(2.22)
Груженый пробег автомобилей по
маршруту за расчетный период, км:
(2.23)
Объем перевозок, т:
(2.24)
Грузооборот, т*км:
(2.25)
1) Маятниковый маршрут: А1Б1Б1А1*11
Время, затрачиваемое автомобилем на
оборот:
Количество возможных оборотов
автомобиля за сутки по маршруту:
Суточная производительность
автомобиля, т:
Суточная производительность
автомобиля, т*км:
,
Суточный пробег автомобиля по
маршруту, км:
Груженый пробег автомобиля по
маршруту за сутки, км:
72
Коэффициент использования пробега
автомобиля:
Фактическое время в наряде
автомобиля, ч:
Эксплуатационная скорость
автомобиля, км/ч:
Эксплуатационное количество
автомобилей, работающих на маршруте, ед:
Количество автомобиле - часов в
наряде на маршруте за сутки:
Автомобиле - дни в эксплуатации по
маршруту:
Общий пробег автомобилей по маршруту
за расчетный период, км:

Объем перевозок, т:
Грузооборот, т*км:
2) Маятниковый маршрут: А1Б3Б3А1*2
Время, затрачиваемое автомобилем на
оборот:
Количество возможных оборотов
автомобиля за сутки по маршруту:
Суточная производительность
автомобиля, т:
Суточная производительность
автомобиля, т*км:
,
Суточный пробег автомобиля по
маршруту, км:
Груженый пробег автомобиля по
маршруту за сутки, км:
112
Коэффициент использования пробега
автомобиля:
Фактическое время в наряде
автомобиля, ч:
Эксплуатационная скорость
автомобиля, км/ч:
Эксплуатационное количество
автомобилей, работающих на маршруте, ед:
Количество автомобиле - часов в
наряде на маршруте за сутки:
Автомобиле - дни в эксплуатации по
маршруту:
Общий пробег автомобилей по маршруту
за расчетный период, км:
Груженый пробег автомобилей по
маршруту за расчетный период, км:
Объем перевозок, т:
Грузооборот, т*км:
) Маятниковый маршрут: А2Б3Б3А2*8
Время, затрачиваемое автомобилем на
оборот:
Количество возможных оборотов
автомобиля за сутки по маршруту:
Суточная производительность
автомобиля, т:
Суточная производительность
автомобиля, т*км:
,
Суточный пробег автомобиля по
маршруту, км:
Груженый пробег автомобиля по
маршруту за сутки, км:
60
Коэффициент использования пробега
автомобиля:
Фактическое время в наряде
автомобиля, ч:
Эксплуатационная скорость
автомобиля, км/ч:
Эксплуатационное количество
автомобилей, работающих на маршруте, ед:
Количество автомобиле - часов в
наряде на маршруте за сутки:
Автомобиле - дни в эксплуатации по
маршруту:
Общий пробег автомобилей по маршруту
за расчетный период, км:
Груженый пробег автомобилей по
маршруту за расчетный период, км:
Объем перевозок, т:
Грузооборот, т*км:
) Маятниковый маршрут: А3Б4Б4А3*12
Время, затрачиваемое автомобилем на
оборот:
Количество возможных оборотов
автомобиля за сутки по маршруту:
Суточная производительность
автомобиля, т:
Суточная производительность
автомобиля, т*км:
,
Суточный пробег автомобиля по
маршруту, км:
Груженый пробег автомобиля по
маршруту за сутки, км:
96
Коэффициент использования пробега
автомобиля:
Фактическое время в наряде
автомобиля, ч:
Эксплуатационная скорость
автомобиля, км/ч:
Эксплуатационное количество
автомобилей, работающих на маршруте, ед:
Количество автомобиле - часов в
наряде на маршруте за сутки:
Автомобиле - дни в эксплуатации по
маршруту:
Общий пробег автомобилей по маршруту
за расчетный период, км:
Груженый пробег автомобилей по
маршруту за расчетный период, км:
Объем перевозок, т:
Грузооборот, т*км:
) Кольцевой маршрут: А3Б4Б4А2А2Б3Б3А3*3
Время, затрачиваемое автомобилем на
оборот:
Количество возможных оборотов
автомобиля за сутки по маршруту:
Суточная производительность
автомобиля, т:
Суточная производительность
автомобиля, т*км:
,
Суточный пробег автомобиля по
маршруту, км:
Груженый пробег автомобиля по
маршруту за сутки, км:
50
Коэффициент использования пробега
автомобиля:
Фактическое время в наряде
автомобиля, ч:
Эксплуатационная скорость
автомобиля, км/ч:
Эксплуатационное количество
автомобилей, работающих на маршруте, ед:
Количество автомобиле - часов в
наряде на маршруте за сутки:
Автомобиле - дни в эксплуатации по
маршруту:
Общий пробег автомобилей по маршруту
за расчетный период, км:
Груженый пробег автомобилей по
маршруту за расчетный период, км:
Объем перевозок, т:
Грузооборот, т*км:
2) Кольцевой маршрут: А3Б3Б3А1А1Б2Б2А2А2Б4Б4А3*7
Время, затрачиваемое автомобилем на
оборот:
Количество возможных оборотов
автомобиля за сутки по маршруту:
Суточная производительность
автомобиля, т:
Суточная производительность
автомобиля, т*км:
,
Суточный пробег автомобиля по
маршруту, км:
Груженый пробег автомобиля по
маршруту за сутки, км:
48
Коэффициент использования пробега
автомобиля:
Фактическое время в наряде
автомобиля, ч:
Эксплуатационная скорость
автомобиля, км/ч:
Эксплуатационное количество
автомобилей, работающих на маршруте, ед:
Количество автомобиле - часов в
наряде на маршруте за сутки:
Автомобиле - дни в эксплуатации по
маршруту:
Общий пробег автомобилей по маршруту
за расчетный период, км:
Груженый пробег автомобилей по
маршруту за расчетный период, км:
Объем перевозок, т:
Грузооборот, т*км:
2.5 Производственная
программа по эксплуатации
Эксплуатационное число автомобилей
по всем маршрутам, ед:
,
(2.26)
где к - индекс маршрутов
Списочное число автомобилей по
маршрутам, ед:
,
(2.27)
где αв - суточный коэффициент
выпуска автомобилей.
Автомобиле - дни в хозяйстве:
,
(2.28)
где Дк - календарный
период времени, за который определяются технико-эксплуатационные показатели.
Автомобиле - дни в эксплуатации:
,
(2.29)
Коэффициент использования парка
(выпуска)
,
(2.30)
Автомобиле - часы в наряде по всем
маршрутам за сутки:
,
(2.31)
Среднее фактическое время в наряде,
ч:
,
(2.32)
Общий пробег автомобилей по всем
маршрутам, км:
,
(2.33)
Груженый пробег автомобилей по всем
маршрутам, км:
,
(2.34)
Коэффициент использования пробега с
учетом всех маршрутов:
,
(2.35)
Среднесуточный пробег автомобилей,
км:
,
(2.36)
Объем перевозки грузов по всем
маршрутам, т:
,
(2.37)
Грузооборот по всем маршрутам, т*км:
,
(2.38)
Таблица 2.7 Технико-эксплуатационные
показатели
|
Наименование показателей
|
маршрут 1
|
маршрут 2
|
маршрут 3
|
маршрут 4
|
маршрут 5
|
маршрут6
|
Итоговые и средние показатели
|
|
1
|
Объем перевозок грузов, т
|
65880
|
11956
|
48800
|
91500
|
73200
|
252540
|
90646
|
|
2
|
Грузооборот, т*км
|
527040
|
191296
|
292800
|
549000
|
183000
|
673440
|
402762
|
|
3
|
Эксплуатационное число автомобилей, ед
|
1,2
|
0,28
|
0,8
|
1,5
|
0,6
|
2,3
|
0,8
|
|
4
|
Автомобиле - дни в эксплуатации
|
366
|
85,4
|
244
|
457,5
|
183
|
701,5
|
565,8
|
|
5
|
Автомобиле - часы в наряде, ч
|
19,2
|
4,6
|
12,8
|
24
|
9,6
|
39,7
|
18,3
|
|
6
|
Коэффициент использования парка
|
|
|
|
|
|
|
0,6
|
|
7
|
Фактическое время в наряде, ч
|
15,5
|
15,3
|
15,3
|
16,16
|
18,66
|
17,26
|
16,4
|
|
8
|
Коэффициент использования пробега
|
0,5
|
0,5
|
0,5
|
0,5
|
0,37
|
0,3
|
0,5
|
|
9
|
Суточный пробег автомобиля, км
|
150
|
222
|
128
|
196
|
136
|
160
|
165
|
|
10
|
Груженый пробег автомобиля, км
|
72
|
112
|
60
|
96
|
50
|
48
|
73
|
|
11
|
Общий пробег автомобиля, км
|
54900
|
18958,8
|
31232
|
58560
|
24888
|
112240
|
50129,8
|
3. Организационная часть
.1 Годовой договор,
порядок его заключения
На основании утвержденного плана
перевозок автотранспортное предприятие или организация заключает с
грузоотправителями или грузополучателями годовые договоры на перевозку грузов
автомобильным транспортом. Перечень указанных грузоотправителей и
грузополучателей устанавливается в системе автомобильного транспорта общего
пользования транспортными управлениями (специализированными управлениями
автомобильного транспорта) с участием вышестоящих по отношению к
грузоотправителям и грузополучателям организаций, а в системе ведомственного
автомобильного транспорта - вышестоящей по отношению к автотранспортному
предприятию организацией.
В годовом договоре на перевозку
грузов автомобильным транспортом устанавливаются объемы перевозок по
утвержденной номенклатуре, условия перевозок (режим работы по приему и выдаче
грузов, обеспечение сохранности грузов, выполнение погрузочно - разгрузочных
работ в установленное время и т.д.), порядок расчетов за перевозку,
определяются рациональные маршруты и схемы грузопотоков. В годовом договоре на
перевозку грузов автомобильным транспортом устанавливаются объемы перевозок по
утвержденной номенклатуре, условия перевозок (режим работы по приему и выдаче
грузов, обеспечение сохранности грузов, выполнение погрузочно - разгрузочных
работ в установленное время и т.д.), порядок расчетов за перевозку,
определяются рациональные маршруты и схемы грузопотоков.
Предприятия и организации - грузоотправители
в соответствии с установленными для них вышестоящими организациями годовыми
планами перевозок грузов автомобильным транспортом общего пользования обязаны
до 15 марта планируемого года заключить с соответствующими автотранспортными
предприятиями или организациями годовые договоры на перевозку грузов
автомобильным транспортом.
Автотранспортное предприятие или
организация после получения от вышестоящей организации утвержденного годового
плана перевозок по предприятиям и организациям министерств и ведомств обязаны в
10-дневный срок выслать грузоотправителю 2 экземпляра подписанного годового
договора на перевозку грузов автомобильным транспортом, а грузоотправитель не
позднее 10 дней с момента получения обязан подписать договор, один экземпляр
которого возвратить автотранспортному предприятию или организации.
При наличии разногласий по договору
грузоотправитель в 10-дневный срок обязан подписать договор, составить протокол
разногласий и направить его в 2 экземплярах автотранспортному предприятию или
организации вместе с подписанным договором.
При несогласии с замечаниями
грузоотправителя к договору, указанными в протоколе разногласий,
автотранспортное предприятие или организация обязана рассмотреть разногласия
совместно с грузоотправителем. О дне рассмотрения разногласий автотранспортное
предприятие или организация должна известить грузоотправителя в 10-дневный срок
после получения протокола разногласий и не позднее, чем за 10 дней до
назначенной даты рассмотрения. Если автотранспортное предприятие или организация
в 10-дневный срок не назначит дату рассмотрения разногласий, предложения
грузоотправителя считаются принятыми.
Оставшиеся неурегулированными (в том
числе вследствие неявки представителя грузоотправителя для рассмотрения
разногласий) условия договора передаются автотранспортным предприятием или
организацией на разрешение соответствующего Госарбитража в 10-дневный срок
после рассмотрения разногласий сторонами.
3.2 Оперативно-суточное
планирование и управление перевозками грузов
Работа по оперативно-суточному
планированию, управлению перевозками грузов и контролю за работой подвижного
состава возлагается на службу эксплуатации автотранспортного предприятия (или
другое структурное подразделение, ее заменяющее).
Оперативно-суточное
планирование и контроль за перевозками включает в себя прием и систематизацию
заявок от заказчиков транспорта, разработку сменно-суточных планов перевозок,
организацию и проведение выпуска подвижного состава на линию и прием его при
возвращении с линии, осуществление руководства и контроль за работой подвижного
с става на линии, организацию оперативного учета и анализа работы подвижного
состава.
Во много облегчить
эту работу позволяет использование компьютерной техники с набором специальных
программ.
В своей
деятельности служба эксплуатации постоянно взаимодействует с другими службами
автопредприятия. Плановый отдел рассчитывает плановые показатели работы
предприятия и принимает участие в составлении планов перевозок, бухгалтерия на
основании принятых в отделе эксплуатации товарно-транспортных документов
рассчитывает заработную плату водителям и выставляет клиентуре счета для оплаты
транспортных услуг. Кадровая служба осуществляет прием на работу водителей, а
служба безопасности проводит профилактическую работу по обеспечению
безопасности перевозочного процесса. Наиболее важное место при оперативном
планировании и выпуске автомобилей на линию занимает взаимодействие с
технической службой автопредприятия, основная задача которой - обеспечение
технической готовности подвижного состава к выполнению перевозок.
По результатам сменно-суточного
планирования с использованием ЭВМ, оснащенных быстродействующими печатающими
устройствами, оформляется ряд документов в виде сменных заданий водителям,
диспетчерских карт вывоза грузов со складов, товарно-транспортных накладных и
т.д.
При централизованной системе
управления перевозками в условиях АСУ в транспортных и
территориально-транспортных управлениях подсистема оперативного планирования и
управления грузовыми перевозками включает в себя три основные службы:
планирования перевозок, центрально-диспетчерскую службу (ЦДС) и службу учета и
анализа, - связанные между собой информационно-вычислительным центром (ИВЦ).
Подсистема оперативного планирования
и управления грузовыми перевозками осуществляет прием заявок, сменно-суточное
планирование, контроль выполнения сменно-суточного задания, комплексную
обработку путевых листов, выдачу рекомендаций по организации работ и
планированию перевозок. Информация в службу планирования перевозок поступает в виде
заказов клиентуры на централизованную перевозку грузов, сведений о состоянии
парка подвижного состава, а также рекомендаций по планированию, которые
поступают из службы учета и анализа.
Из службы планирования заказы на
перевозку поступают в ИВЦ, где на ЭВМ решаются задачи оперативного планирования
перевозок грузов. В результате решения задач маршрутизации перевозок ИВЦ выдает
информацию по заданию водителям, планы выпуска автомобилей на линию,
диспетчерскую карту, а также картотеки неиспользованных заявок, которые будут
использоваться ЦДС в качестве резервов объемов перевозок.
3.3 Документация,
применяемая при организации перевозки грузов
В процессе
организации перевозок, при планировании, управлении и учёте перевозок грузов
автомобильным транспортом применяется различная автотранспортная документация
(заявка на перевозку грузов, разнарядка подвижного состава, путевые листы,
товарно-транспортные накладные, счёт за автотранспортные услуги, сведения по
выпуску подвижного состава и т.д.).
При перевозки грузов
применяются путевые листы по форме №4-с (сдельная) и №4-п (повременная).
Путевой лист и
товарно-транспортная накладная оформляются в соответствии с * Инструкцией о
порядке расчётов за перевозки автомобильным транспортом*.
Перевозка грузов
товарного характера должна оформляться товарно - транспортной накладной (как
правило в 4х экземплярах). Она является основным перевозочным документом, по
которому производится списание груза грузоотправителем и принятие его
грузополучателем.
Перевозка груза
нетоварного характера должна оформляться актом замера или актом взвешивания.
Использование
автомобиля с оплатой по повременному тарифу должно оформляться записями в
путевом листе с указаниями пробега и времени нахождения автомобиля в
распоряжении заказчика.
Важная роль в
обеспечении учёта выполнений транспортной работы отводится путевым листам. В
зависимости от поставленных задач применяются компьютерные программы по
обработке путевых листов с различными выходными данными по итогам работы. Это
даёт возможность получать оперативную отчётность и проводить анализ
деятельности предприятия.
Товарно-транспортная
накладная (ТТН).
Состоит из двух
разделов.
товарного,
определяющего взаимоотношения грузоотправителя и грузополучателя и служащего
для списания товарно-материальных ценностей у грузоотправителей и оприходования
их у грузополучателей.
транспортного,
определяющие взаимоотношения грузоотправителей заказчиков автотранспорта с
организациями-владельцами автотранспорта, выполнившими перевозку грузов, и
служащими для учёта транспортной работы и расчетов грузоотправителей или
грузополучателей организациями-владельцами автотранспорта за оказанные им
услуги по перевозки грузов.
ТТН в 4-х
экземплярах.
первый остаётся у
грузоотправителей для списания ТМЦ, второй, третий и четвёртый экземпляры.
заверяемые подписями и печатями (штампами) грузоотправителя и подписью
водителя, вручаются водителю.
второй, сдаётся
водителем грузополучателю и предназначается для оприходования ТМЦ у получателя
груза, третий и четвёртый экземпляры, заверяемые подписями и печатями
грузополучателя, сдаются организации-владельцу автотранспорта.
третий экземпляр,
служащий основанием для расчётов, транспортная организация прилагает к счёту за
перевозку и высылает плательщику-заказчику.
четвёртый
прилагается к путевому листу и служит основанием для учёта транспортной работы
и начисления заработной платы водителю.
Путевой лист грузового автомобиля
является основным документом первичного учёта, определяющим
товарно-транспортной накладной при перевозки товарных грузов показатели для
учёта работы подвижного состава и водителя, а также для начисления заработной
платы водителю и осуществления расчётов за перевозку грузов.
3.4 Организация труда
водителей
Эффективность
транспортного процесса во многом зависит от организации работы водителя. Работа
всего управленческого персонала службы организации перевозок должна быть
направлена на создание условий высокопроизводительного и экономичного труда
водителя. Труд водителя протекает в напряженных условиях. На его здоровье
неблагоприятно сказываются повышенный уровень шума, загазованность, вибрации на
рабочем месте, колебания температуры в зимнее время. Водитель выполняет
ответственные функции в процессе перевозок, принимает груз у грузоотправителя,
сопровождает его в пути, сдает грузополучателю. На него возлагается
ответственность за сохранность груза и транспортного средства. Длительность
ежедневной работы определяется длительностью рабочей недели (6 или 7 дней),
правилами внутреннего распорядка и графиками сменности. Для водителей,
работающих на пятидневной рабочей неделе с двумя выходными днями,
продолжительность ежедневной работы (смены) не может превышать 8 часов, а для
работающих на шестидневной рабочей неделе с одним выходным днем - 7 часов.
Если продолжительность рабочей смены
водителя не меняется в течение рабочих дней, то используют поденный учет
рабочего времени, то есть отработанное время учитывается по дням работы.
Сверхурочные часы учитываются отдельно и не компенсируются недоработкой в
другие дни.
Плановый месячный фонд рабочего
времени обычно подсчитывается по 6-дневной рабочей неделе независимо от режима
работы АТП по формуле:
(3.1)
где Дк - календарные дни
месяца
Дв - выходные дни за
месяц
Дп - праздничные дни за месяц
Тсм - продолжительность
смены при 6-дневной рабочей неделе (Тсм= 7 часов).
Планируемое число смен водителя за
месяц:
(3.2)
Фактически месячный фонд рабочего
времени водителя можно подсчитать по формуле:
(3.3)
где nсм - число смен водителя за месяц;
tп-з -
подготовительно-заключительное время, ч;
Tнсм - время в наряде автомобиля за смену;
Переработка
водителем составляет:
По Трудовому Кодексу РК допускается
переработка не более 10 часов в месяц, поэтому вводим подменного водителя.
График работы водителей нужно
строить так, чтобы автомобили независимо от длительности нахождения их на линии
и режима эксплуатации были закреплены за определенной бригадой водителей -
бригадный метод организации работы водителей.
3.5 Доходы от перевозки
грузов
Доходы от перевозки грузов зависят
от величины тарифов принятых при перевозках, а так же от количества грузов и
дальности поездки.
Для определения
доходов использовала прейскурант №13 - 01 - 01 тарифы на перевозку грузов и
другие услуги, выполняемые автомобильным транспортом
Требуется определить доходы за весь
рассматриваемый период времени. Вначале необходимо рассчитать сумму доходов по
каждой заявке заказчика автотранспорта. Задания на курсовой проект, затем
полученную сумму умножить на количество дней работы автомобилей в течение года.
Расчеты по экономической прибыли при
организации перевозок грузов выполняются по участкам перевозки.
Расчетная масса отправки (р.м.о.)
определяется делением фактической массы отправки на средний коэффициент
использования грузоподъемности автомобиля (автопоезда):
(3.4)
Рассчитываем число отправок:
Суточная производительность
автомобилей при перевозке кирпича составляет:
(3.5)
Тариф за 1 отправку:
Стоимость перевозки:
Расходы на перевозку ФБС:
(3.6)
Прибыль от перевезенного груза
составляет:
(3.7)
Заключение
Основными мероприятиями, проводимыми
на транспорте являются меры по улучшению использования транспортных средств,
снижение себестоимости перевозок, сокращение времени простоя подвижного состава
под погрузкой - разгрузкой, которое достигается путем повышения уровня
механизации погрузочно-разгрузочных работ, применением высокопроизводительных
машин и механизмов, полное использование грузоподъемности автомобилей и их
вместимости и сокращение порожних пробегов.
При разработке курсового проекта в
исследовательской части были указаны характеристики перевозимого груза. Далее
выполнено решение анализа грузопотоков по кварталам года и по полученным данным
построена эпюра распределения годового объема перевозок по кварталам года.
Указаны требования по организации работ грузопунктов.
Во второй части курсового проекта
осуществлен выбор подвижного состава. Выполнение погрузочно-разгрузочных работ
должно производиться механизированным способом, с этой целью выбираем тип
погрузочно-разгрузочных машин, учетом подобранного подвижного состава, а также
рассчитываем их потребное число. Обоснование маршрута перевозок произведено с
помощью экономико-математического методов планирования перевозок, путем решения
матрицы. После определения маршрутов движения были рассчитаны основных
технико-эксплуатационные показатели по каждому маршруту перевозки грузов.
Результаты расчета производственной программы по эксплуатации были сведены в
общую таблицу.
В третьей части курсового проекта
дона описание годового договора, порядке его заключения, выполнение
оперативно-суточного планирования, рассмотрены обязанности службы эксплуатации
и документация, применяемая при перевозках.
При рассмотрении организации труда
водителей было рассчитано количество смен, определено, имеется ли переработка у
водителей и организована работа по сменам, после составлен график работы
водителей. В завершении курсовой работы выполнили расчет доходов от перевозки
грузов.
Список литературы
1. Ходош М.С. Грузовые автомобильные перевозки. М. Транспорт,
1986
2. Прейскурант 13-01-01. Тарифы на перевозку грузов и другие
услуги, выполняемые автотранспортом. - Москва, 1989
. Краткий автомобильный справочник - М.: Транспорт 1985.
. Батищев И.И. Организация и механизация
погрузочно-разгрузочных работ на автомобильном транспорте, М.: Транспорт, 1988.
. Геронимус В.Л. Экономико-математические методы в
планировании на автомобильном транспорте: Учебник - М.: Транспорт, 1982
. 8. Ходош М.С, Дасновский Б.А. Организация, экономика и
управление перевозками грузов автомобильным транспортом. - М.: Транспорт, 1989.