Синтез управления методом АКАР
Министерство образования и науки
Российской Федерации
Федеральное агентство по образованию
Государственное бюджетное
образовательное учреждение
высшего профессионального образования
«Самарский государственный
технический университет»
Факультет автоматики и информационных
технологий
Кафедра «Автоматика и управление в
технических системах»
КУРСОВая
работа
по дисциплине: «Оптимальные и
адаптивные системы управления»
на тему: «Синтез управления методом
АКАР»
Вариант № 2
Выполнил:
студент IV-АИТ-1
Бураев А.А.
Проверил:
Вохрышев В.Е.
Самара 2014 г.
Реферат
Пояснительная записка содержит 15 с., 8 рис., 1 источник.
ПЕРЕДАТОЧНАЯ ФУНКЦИЯ, АКАР, АГРЕГИРОВАННАЯ МАКРОПЕРЕМЕННАЯ.
Объектом исследования является передаточная функция объекта управления.
Цель работы - по передаточной функции объекта синтезировать методом АКАР
управление.
В процессе работы проводился выбор в качестве агрегированной
макропеременной линейной комбинации фазовых координат; исследование системы
методом цифрового моделирования; параметрическая оптимизация управления.
В результате разработки была разработана цифровая модель системы в среде
Мathcad.
Содержание
Содержание
Введение:
Задание на курсовой проект:
Синтез управления методом АКАР
Разработка цифровой модели системы в среде Мathcad.
Разработка цифровой модели системы в среде Мathcad с учетом
ограничений на фазовую координату X3
Заключение
Список использованных источников:
Введение
Задача курсового проекта - углубление и закрепление знаний по дисциплине
«Оптимальные и адаптивные системы управления», полученных при изучении
лекционного материала.
В рамках выполнения курсовой работы произведен синтез управления с
использованием линейной агрегированной макропеременной и нелинейной
агрегированной макропеременной, произведено графическое построение реакции
данной системы на синтезированное управление, произведено сравнение полученных
результатов.
Метод
синтеза управления на основе функционала
получил
название аналитического конструирования агрегированных регуляторов (АКАР).
Агрегированные
макропеременные выбираются из соображений, связанных с желаемыми переходными
процессами и установившимися режимами движения объекта, степень близости
которых проверяется обычно моделированием.
В
терминах синергетики макропеременные
- это
задаваемые параметры порядка, путем оптимизации которых можно добиваться
желаемого поведения динамических систем. Они определяют протекание процессов
самоорганизации в синтезируемых системах. А отношение весовых коэффициентов g= m/c =
1/T функционала следует рассматривать как управляющие
параметры.
Под
эффективностью системы в синергетике понимают скорость изменения так называемой
меры макроскопического действия при изменении управляющих параметров, равную
квадрату параметра порядка.
Притягивающие
многообразия могут быть интерпретированы как задаваемые целевые множества, к
которым неизбежно должна притягиваться изображающие точки из произвольного
начального состояния, а затем двигаться вдоль него.
Задание на курсовой проект:
) По заданной преподавателем передаточной функции объекта
синтезировать методом АКАР управление, выбрав в качестве агрегированной
макропеременной линейную комбинацию фазовых координат.
) Разработать цифровую модель системы в среде МСАD, исследовать систему методом
цифрового моделирования, выполнить параметрическую оптимизацию управления.
) Выполнить пункт 2 задания с учетом ограничений на фазовую
координату X3.
По условию заданная передаточная функция имеет вид:
где Т1=2, Т2=1, К=2, тогда передаточная функция принимает вид:
;
Линейная
комбинация фазовых координат имеет вид:
)
,
, где Т=0.5
)
,
, где
Т=0.5 (Т=с/m)
Граничные
условия:
Х(0))=(20,0,0),
Х(
)=(0,0,0)
Расчет синтеза
Синтез оптимального управления методом АКАР
Согласно определению передаточной функции, принимая за Y(p)изображение по Лапласу выходного сигнала, за U(p) - изображение по Лапласу входного сигнала, справедливо
следующее выражение:
W(p) =
=
=>
X(p)·(
) = 2U(p);
На
основе данного выражения получим следующее дифференциальное уравнение:
Представим
данное дифференциальное уравнение в виде системы:
Критерий
качества образуем при помощи следующего сопровождающего функционала:
J=
;
В данном выражении ψ(x) -агрегированная макропеременная.
В качестве агрегированной макропеременной введем функцию в виде линейной
комбинации фазовых координат:
Закон
управления
, который обеспечивает перевод изображающей точки
системы из произвольного начального состояния сначала в окрестность
притягивающего многообразия
, а затем
вдоль этого многообразия в начало координат пространства состояний, обеспечивая
при этом минимум сопровождающего функционала, имеет следующий вид:
.
Полагая
Т=0.5, а
, тогда
, получим
следующее выражение для закона управления:

или
в виде одного дифференциального уравнения
.
Корни
его характеристического уравнения равны
Примем
k2=2 и k1=0.5. Система асимптотически устойчива в целом, если вещественная
часть корней отрицательна.
Сравним
характер движения изображающей точки на фазовой плоскости, если в качестве
агрегированной макропеременной введем функцию в виде нелинейной комбинации
фазовых координат:
, а
. Т=0.5.
В
этом случае закон управления будет иметь вид:
Закон
управления обеспечивает движение изображающей точки в фазовом пространстве
системы в окрестность многообразия
,
. Дифференциальные уравнения, описывающие движение
вдоль него, имеют вид:
или
в виде одного дифференциального уравнения
Запишем
характеристическое уравнение системы:
.
Примем
k2=2 и k1=0.5. Система асимптотически устойчива в целом, если вещественная
часть корней отрицательна.
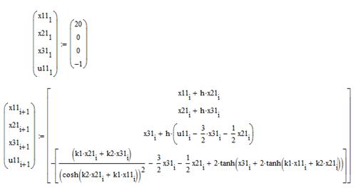
Разработка цифровой модели системы в среде Мathcad.
Для исследования системы методом цифрового моделирования в Mathcad необходимо ввести следующий код:
Для
,
, Т=0.5 он имеет вид:
Результаты
цифрового моделирования во временной области представлены на рисунке 1:
Рисунок
1 - Результаты цифрового моделирования во временной области
Результаты
цифрового моделирования на фазовой плоскости представлены на рисунке 2:
Рисунок
2 - Результаты цифрового моделирования на фазовой плоскости
Результаты
цифрового моделирования в фазовом пространстве представлены на рисунке 3:
Рисунок
3 - Результаты цифрового моделирования в фазовом пространстве
Для
,
, Т=0.5
он имеет вид:
Результаты
цифрового моделирования во временной области представлены на рисунке 4:
Рисунок
4 - Результаты цифрового моделирования во временной области
Результаты
цифрового моделирования на фазовой плоскости представлены на рисунке 5:
Рисунок
5 - Результаты цифрового моделирования на фазовой плоскости
Результаты
цифрового моделирования в фазовом пространстве представлены на рисунке 6:
Рисунок
6 - Результаты цифрового моделирования в фазовом пространстве
Сравним
фазовые плоскости для
,
и Т=0.5 соответствует график, изображенный пунктиром;
Для
,
, Т=0.5
соответствует график, изображенный сплошной линией на рисунке 7:
Рисунок
7 - Сравнение фазовых плоскостей
Разработка цифровой модели системы в среде Мathcad с учетом
ограничений на фазовую координату X3
Построим
график зависимости X3 от i*h для
,
Т=0.5 (см. рисунок 8):
Рисунок 8 - График фазовой координаты X3
цифровой моделирование система управление
Исходя
из дифференциального уравнения
, можно
сделать вывод, что фазовая координата X3 по модулю должна быть не
больше 1.
Выполнение
этого условия наблюдается на графике, фазовая координата X3
имеет множество значений (0.7; -1).
Заключение
В данной курсовой работе, я по заданной передаточной функции объекта
синтезировал методом АКАР управление, выбрав в качестве агрегированной
макропеременной линейную комбинацию фазовых координат.
Так же я разработал цифровую модель системы в среде Мathcad, исследовав систему методом
цифрового моделирования, выполнил параметрическую оптимизацию управления, а
также это же только с учетом ограничений на фазовую координату X3.
Список используемой литературы и программного обеспечения
1. Колесников А. А., «Синергетическая
теория управления», 1994;
2. Колесников А. А., «Прикладная
современная теория управления. Синергетический подход», часть 2, М., 2000;
3. Никулин Е.А., «Теория автоматического
управления», СПб., 2004;
4. Курс лекций по «Оптимально адаптивным
системам управления»;
5. Курс лекций по «Высшей математике»;
6. Курс лекций по «Теории
автоматического управления»;
7. Windows 7;
8. Microsoft Office Word 2003;
9. Mathcad 13.