Надежность автоматизированных систем
Оглавление
Структурная
надежность
Задача 1
Матричный
метод расчета надежности
Задача 2
Оптимальное
резервирование
Задача 3
Классификация
ошибок оперативного персонала
Список
использованной литературы
Структурная надежность
Надёжность системы по рис. 1 составляет
Р
= р1р2…рn =
= рin
, (1)
где n - число последовательно соединённых
элементов.
Система, изображенная на рисунке 2 - это параллельное соединение двух
подсистем, каждая из которых состоит из двух последовательно соединённых
элементов. Надёжность каждой подсистемы определяется по формуле (1),
вероятность отказа 1 - Р, тогда получают:
. (2)
где
m - число параллельно соединённых подсистем.
ВБР
системы по рисунку 3 находят как надёжность двух последовательно соединённых
подсистем. Надёжность каждой подсистемы из двух параллельно соединённых
элементов равна 1 - qn, составит:
(3)
Рисунок
1 - Последовательное соединение элементов
Рисунок
2 - Система с общим резервирование
Рисунок
3 - Система с раздельным резервированием
Задача 1
Система состоит из двух последовательно соединённых элементов (рис. 1),
интенсивности отказа которых равны λ1 = λ2, время работы системы t.
Сравнить надёжность такой системы с надёжностью резервированных систем:
при общем резервировании (рис. 2); раздельном резервировании (рис. 3).
λ1 = λ2 = 0.32
t = 3500(ч)
1. P1=e-λ*t
P1=e-0.32*10^-5*3500=
=0.988
2. Pобщ=1-(1-
)m
3. Pразд=(1-qn)m
q=1-P, = 1-0,988=0,012
Ответ: Рассчитав надежность всех трех систем можно их сравнить и увидеть,
что надежность второй системы с общим резервированием и третьей системы с
раздельным резервированием получились, меньше и больше чем в системе без
резервирования.
Матричный метод расчета надежности
Сущность метода состоит в том, что для определения вероятности
безотказной работы ЭВМ от внезапных отказов с учетом последствия отказов
составляется матрица всевозможных несовместимых событий х1, х2,
…, хN, вычисляются вероятности всех этих
событий, затем суммируются вероятности благоприятных гипотез, при которых
система находится в работоспособном состоянии.
В общем случае матрица несовместимых событий для аппаратуры, состоящей из
N элементов, за период t имеет следующий вид:
В этой матрице хi-
состояние i - го элемента; `хi означает, что i - тый элемент отказал; Н0 - гипотеза,
заключающаяся в том, что ни один из элементов не отказал; Нi - гипотеза, заключающаяся в том, что
i -тый элемент отказал; Нab - гипотеза отказа двух элементов a и b, причем вначале отказывает элемент a, а потом b.
Так как матрица образует полную группу несовместимых событий, то их можно
принять за соответствующий гипотезы. Среди гипотез матрицы есть благоприятные с
точки зрения работоспособности системы и неблагоприятные. Сумма вероятностей
всех гипотез равна единице.
Сумма вероятностей благоприятных гипотез определяет надежность системы,
т. е. вероятность безотказной работы за некоторое заданное время
где
m - число благоприятных гипотез.
Наиболее трудоемкой частью расчета является определение вероятностей
гипотез (состояний), особенно для сложных устройств.
Вероятность отсутствия отказов элементов определяется произведением
вероятностей безотказной работы всех элементов:
Вероятности
остальных гипотез имеют более сложные выражения и определяются через условные
вероятности частных событий. Приведем без вывода формулу для расчета
вероятности отказа элемента `хa:
где
n¹a, lna-
изменение интенсивности отказов n - го отказа
вследствие отказа a - го элемента.
Таким
образом, для выполнения расчета надежности с помощью данного метода необходимо
знать интенсивности отказов элементов l при нормальных
режимах работы устройства и их изменения, вызванные сменой режимов за счет
отказов различных элементов.
Матричный
метод расчета надежности не накладывает никаких ограничений на структуру и
способы соединения. В этом его достоинство.
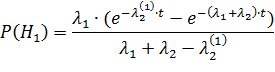
Задача 2
Узел аппаратуры состоит из двух параллельно включенных блоков, имеющих
интенсивность отказов l1=0,27·10-5
(1/ч) иl2=0,32·10-5 (1/ч).
При отказе одного из блоков узел еще продолжает функционировать, но
коэффициент электрической нагрузки второго увеличивается, вследствие чего
интенсивность отказов возрастает до величины l1(2) =l2(1) = 10-4
(1/ч).
Требуется рассчитать вероятность безотказной работы звена на этих
условиях за время t = 35000 (ч).
Решение:
Из общего числа состояний узла выбираем следующие три благоприятные
гипотезы:
) оба элемента исправны (Н0),
) отказал первый элемент (Н1),
) отказал второй элемент (Н2).
Остальные состояния, когда отказали оба элемента в различной временной
последовательности, соответствует неблагоприятным гипотезам (отказ узла).
Вероятность первого состояния:
Вероятность второго состояния
Вероятность третьего состояния
Вероятность безотказной работы узла

Сравнив результаты, примем вероятность безотказной работы узла равной
0,862, т.к.
завышенное значение.
Ответ: P(t)=0,862.
Оптимальное резервирование
Практическая реализация резервирования всегда сталкивается с проблемой
ограничений, накладываемых на общий вес, стоимость, габариты, потребляемую
мощность резервируемой системы. В связи с этим возникает вопрос об оптимальном
резервировании, т. е. об обеспечении максимума выбранного критерия надежности
при заданных ограничениях на характеристики системы.
Проблема оптимального резервирования включает в себя задачу наилучшего
разбиения исходной нерезервированной системы на участки, подлежащие
резервированию, и задачу определения оптимальных значений кратностей
резервирования этих участков.
Решение этой задачи осуществляется следующим образом:
а) по формуле
aj = Gj/ ln(1/qj)
для каждого блока вычисляют коэффициенты;
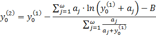
б) находят у0 - корень уравнения
Это
трудоемкая задача. Поэтому можно использовать следующий прием:
где
.
Данное приближение можно уточнить, используя, например, метод Ньютона:
Среднее
арифметическое значений у0(1) и у0(2) дает
корень у0(3) .
в)
определяют
которые
могут иметь любые значения. Но представляют интерес лишь те sj*, которые
дают максимум функции Рр(s) и удовлетворяют условию
;
г)
среди целых чисел, отличающихся от sj0 не более чем на единицу, находят такие sj*, которые по сравнению с
другими возможными системами целых чисел отвечали бы следующим условиям:
Если
несколько наборов {sj*} обеспечивают
одинаковый минимум
,
то
необходимо выбрать систему, которая минимизирует сумму
д)
определяют вероятность безотказной работы резервированной системы
Для
сравнения при дробныхsjвычислим
Это получается, если в выражение Рmax подставить
.
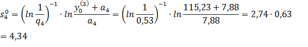
Задача 3
Имеется нерезервированная система, состоящая из пяти блоков.
Вероятности отказа блоков будут q1=0,36; q2=0,29; q3=0,46; q4=0,53; q5=0,27;а их веса G1=3, G2=1, G3=4, G4=5, G5=1.
Требуется резервировать систему так, чтобы вес ее не превышал Gдоп. = 56 кг, а вероятность безотказной
работы была бы максимальной.
Решение:
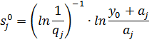
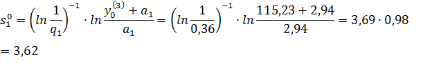
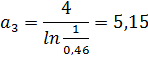
а) по формуле
aj = Gj/ ln(1/qj)
для каждого блока вычисляют коэффициенты;
б)
находят у0 - корень уравнения
Это
трудоемкая задача. Поэтому можно использовать следующий прием:
Данное приближение можно уточнить, используя, например, метод Ньютона:
Среднее арифметическое значений у0(1) и у0(2)
дает корень у0(3) .
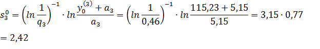
в) определяем
которые могут иметь любые значения. Но представляют интерес лишь те sj, которые дают максимум функции Рр(s)
и удовлетворяют условию
;
4,01
г)
среди целых чисел, отличающихся от sj0 не более чем на единицу, находим такие sj*, которые по сравнению с
другими возможными системами целых чисел отвечали бы следующим условиям:
|
|

|
|
|
|
1
|
3
|
4
|
2
|
5
|
3
|
|
2
|
4
|
5
|
2
|
4
|
3
|
|
3
|
3
|
4
|
2
|
5
|
4
|
|
4
|
4
|
5
|
3
|
4
|
3
|
|
5
|
3
|
4
|
2
|
4
|
4
|

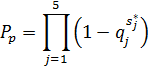
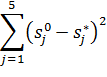
Рассмотрим
пять условий:
Определили
минимум равный
Проверяем
удовлетворяют ли условию
д)
определяем вероятность безотказной работы резервированной системы
Ответ: максимальная вероятность безотказной работы резервированной
системы составляет
надежность
автоматизированный отказ персонал
Классификация ошибок оперативного персонала
ГОСТ 26387-84 Система «человек-машина» определяет отказ
человека-оператора, не связанный с прекращением деятельности как ошибку. Ряд
авторов также выделяет ошибку как особый вид отказа, не связанного с потерей
работоспособности. Например, ошибочное действие такое, которое не адекватно
объективным, социально заданным целям управления. В то же время оно адекватно
субъективной цели человека и в этом смысле должно рассматриваться как
закономерное. Кроме того, ошибку определяют как кратковременное непроизвольное
отклонение от нормы деятельности или однократное неправильное формирование
нормы.
Рассматриваются три вида ошибочных действий (или бездействий) оператора:
оператор выполнил что-то не то; не так; не вовремя. Согласно другой
классификации ошибок присутствует еще неверное целеобразование. Классификация в
инженерной психологии дополнительно рассматривает такой признак различия
ошибок, как структурный уровень деятельности, на котором они совершаются.
По разным оценкам по вине оператора происходит от 20 до 80% всех нарушений
в работе АС и от 15 до 40% всех аварий. Экспериментальные статистические
исследования, проведенные в условиях швейного производства, показали, что из
всех проанализированных отказов технологического оборудования 26,4% являются
следствием ошибок персонала. Простои оборудования в устранении отказов
вследствие ошибок персонала составляют около 28% от общего времени простоев, а
неисправимый брак 18,5% от всех случает возникновения брака.
Анализ различных подходов и классификаций ошибок персонала позволил
выделить следующие возможные ошибки операторов:
· неправильная последовательность выполнения рабочих приемов
· неправильное выполнение рабочих приемов;
· неправильный выбор режима работы оборудования;
· неправильная установка режима работы оборудования;
· неправильная ориентация изделия в процессе выполнения
операции;
· ошибка выбора инструмента или приспособления;
· ошибка установки (настройки) инструмента и приспособления;
· работа неисправным инструментом или приспособлением;
· работа на неисправном оборудовании;
· неправильная передача обрабатываемого изделия;
· ошибка в оценке технического состояния оборудования;
· несоблюдение технических параметров обрабатываемого изделия;
· неправильная комплектация изделия.
Список использованной литературы
1. Атовмян И.
О., Вайрадян А. С. и др. «Надежность автоматизированных систем управления» М.:
Высш. шк., 1979. - 287 с., ил.
.
Александровская Л. Н., Афанасьев А. П., Лисов А. А. « Современные методы
обеспечения безотказности сложных технических систем: Учебник» - М.: Логос,
2003. - 208 с.: ил.
. Дружинин Г.
В. «Надежность автоматизированных производственных систем» - 4-е изд., перераб.
И доп. - М.: Энергоатомиздат, 1986. - 480 с.: ил.
. Каган Б.
М., Макртумян И. Б.«Основы эксплуатации ЭВМ» - М.: Энергоатомиздат, 1988. - 432
с.: ил.
.
Мозгалевский А. В., Койда А. Н. Вопросы проектирования систем диагностирования,
Ленингр. отд-ние, 1985. - 112 с., ил.
. Орлов И. А.
и др. «Эксплуатация и ремонт ЭВМ, организация работы вычислительного центра» -
М.: Энергоатомиздат, 1989. - 400с.: ил.
.
Острейковский В. А. «Теория надежности» М.: Высш. шк., 2003. - 463 с., ил.
. Сотсков Б.
С. «Основы теории и расчета надежности элементов и устройств автоматики и
вычислительной техники» М.: Высш. шк., 1970. - 272 с., ил.