Надежность изделий

  • Вид работы:
    Контрольная работа
  • Предмет:
    Другое
  • Язык:
    Русский
    ,
    Формат файла:
    MS Word
    320,16 kb
  • Опубликовано:
    2011-11-09
Вы можете узнать стоимость помощи в написании студенческой работы.
Помощь в написании работы, которую точно примут!

Надежность изделий

Вариант № 10

1. Надежность дублированных элементов

2. Вероятность безотказной работы по заданному критерию

. Надежность резьбовых соединений

Список литературы

Вопрос 1. Надежности дублированных элементов

Под надежностью системы (технического изделия) понимают свойство удовлетворять цели применения при определенных условиях эксплуатации в течение определенного промежутка времени. Надежность означает, таким образом, «качество во времени».

Требования, предъявляемые к надежности изделия, не просто выполнить для современных состоящих из множества элементов и в значительной степени автоматизированных систем. В отличие от простых устройств прошлых лет надежность современных изделий зачастую является решающим критерием при оценке их целесообразности. Вот почему в середине прошлого столетия объективной необходимостью явились возникновение и развитие науки надежности как инженерной дисциплины.

Та надежность, которая в действительности реализуется у изделия, зависит от концепции разработки, культуры производства и последующей грамотной эксплуатации до некоторого предельного состояния (износа). Обеспечение надежности включает обнаружение всех видов возможных отказов изделия, установление их причин и планирование мероприятий, ограничивающих число отказов до приемлемого уровня. Разумеется, что расчеты по надежности представляют собой лишь малую часть объема работ в рамках целого комплекса практической деятельности по обеспечению надежности, но без «математики по надежности» не обойтись.

Анализ надежности дублированных систем.

В природе и технике часто встречаются дублированные системы. Функционирование дублированной системы осуществляется ёё элементами х1 и х2, которые равнозначно реализуют функцию системы в соответствии с принятым направлением переключения и (рис. 1).

Рис. 1

Проведем анализ надежности функционирования дублированных систем при различных предположениях.

Дублированная система без восстановления с идеальным переключающим устройством.

Предположим, что на надежность дублированной системы переключающее устройство не оказывает никакого влияния. Пусть в момент времени t = О оба элемента дублированной системы х1 и х2 работоспособны и функционируют (начальное состояние z1). Интенсивности отказов элементов х1 и х2 равны соответственно λ1 и λ2. При отказе одного из элементов система с дублированием переходит в состояние z2 или z3. С отказом одного компонента системы может измениться интенсивность отказов другого компонента, например, по причине изменения электрических

Рис. 2.

или механических нагрузок. Пусть после отказа х1 или х2 интенсивность отказов х2 или х1 будет иметь значение или . После отказа обоих своих компонентов система теряет свою работоспособность (состояние z4). На рис. 2 представлена диаграмма состояний описанной дублированной системы.

Согласно теореме, поведение дублированной системы описывается системой дифференциальных уравнений


с начальными условиями


Вследствие треугольной структуры матрицы коэффициентов А систему можно решить элементарным методом - «построчно». При этом получаем


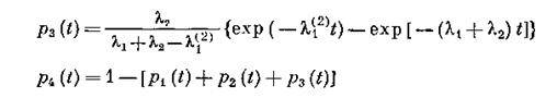
Вероятность безотказной работы Rs (t) дублированной системы получается в виде


Зная вероятность безотказной работы дублированной системы, можно вычислить все другие ее характеристики надежности по формулам. В частности, математическое ожидание и моменты более высоких порядков можно получить из формулы


где v = 2, 3, . . . .

Рекомендуется эти характеристики рассчитывать непосредственно по формулам, для чего собственно решение системы дифференциальных уравнений не требуется. В самом деле, из соотношения следует


Вопрос 2. Вероятность безотказной работы по заданному критерию

Вероятность безотказной работы оценивается относительным количеством работоспособных элементов

.

Так как безотказная работа и отказ - взаимно противоположные события, то сумма их вероятностей равна 1:

.

Это же следует из приведенных выше зависимостей.

При  ,  и .

При  ,  и .

Распределение отказов по времени характеризуется функцией плотности распределения  наработки до отказа. В статистической трактовке

,

в вероятностной трактовке

.

Здесь  и  - приращение числа отказавших объектов и соответственно вероятности отказов за время .

Вероятности отказов и безотказной работы в функции плотности  выражаются зависимостями

,

причем при

.

Тогда имеет место равенство

.

Интенсивность отказов  в отличие от плотности распределения относится к числу объектов , оставшихся работоспособными, а не к общему числу объектов. Соответственно в статистической трактовке


и в вероятностной трактовке, учитывая, что ,

.

Получим выражение для вероятности безотказной работы в зависимости от интенсивности отказов. Для этого в предыдущее выражение подставим

,

разделим переменные и произведем интегрирование

; ;

.

Это соотношение является одним из основных уравнений теории надежности.

К числу важнейших общих зависимостей надежности относятся зависимости надежности систем от надежности элементов.

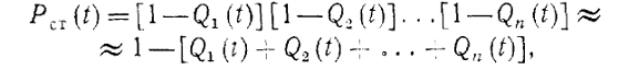
Рассмотрим надежность простейшей расчетной модели системы из последовательно соединенных элементов (рис. 2.1), у которой отказ каждого элемента вызывает отказ системы, а отказы элементов принимаются независимыми.


Рис. 2.1.

Используем известную теорему теории вероятностей, согласно которой вероятность произведения, т. е. совместного проявления независимых событий, равна произведению вероятностей этих событий. Следовательно, вероятность безотказной работы системы равна произведению вероятностей безотказной работы отдельных элементов, т.е.

.

Если

,

то


Поэтому надежность сложных систем получается низкой. Например, если система состоит из 10 элементов с вероятностью безотказной работы 0,9 (как в подшипниках качения), то общая вероятность получается

Обычно вероятность безотказной работы элементов достаточно высокая, поэтому, выразив , , … ,  через вероятности отказов и пользуясь теорией приближенных вычислений, получаем


так как произведениями двух малых величин можно пренебречь.

При

,

получаем

.

Пусть в системе из шести одинаковых последовательных элементов . Тогда  и .

Вероятность безотказной работы нужно уметь определять для любого промежутка времени. По теореме умножения вероятностей


где  и  - вероятности безотказной работы за время  и  соответственно;  - условная вероятность безотказной работы за время  (термин «условная» здесь введен, поскольку вероятность определяется в предположении, что изделия не имели отказа до начала интервала времени или наработки).

Вопрос 3. Надежность резьбовых соединений

надежность изделие резьбовой соединение

Резьбовые соединения.

Резьбовые соединения, осуществляемые резьбовыми крепежными деталями (болтами, винтами, шпильками) или путем непосредственного свинчивания деталей с резьбой, представляют собой наиболее распространенную категорию разъемных соединений.

Благодаря удобству сборки и разборки и высокой надежности они получили большое распространение в машино- и приборостроении.

Основой резьбового соединения, так же как и передачи винт - гайка, является резьба.

Расчет резьбовых соединений

. Основы расчета резьбовых соединений при постоянной нагрузке

Подавляющее большинство болтов, винтов и шпилек работают со значительной предварительной затяжкой. В результате затяжки болта (винта, шпильки) в его поперечном сечении возникает продольная сила и крутящий момент. Таким образом, стержень винта испытывает растяжение и кручение. Резьба винта подвергается срезу, изгибу и смятию.

При стандартизации резьбовых изделий устанавливают высоту головок болтов и гаек, исходя из них равнопрочности со стержнем болта (винта, шпильки) по резьбе. Поэтому для стандартных крепежных изделий, работающих при статических нагрузках, можно ограничиться расчетом по главному критерию работоспособности - прочности стержня болта при совместном действии растяжения и кручения.

За расчетную площадь болта (винта, шпильки), работающего на растяжение или растяжение и кручение, принимают наименьшую площадь сечения (Fmln) резьбы болта. Болт, как правило, рассчитывают только на растяжение, а влияние кручения, возникающего при затяжке, учитывают коэффициентом kзат, величина которого зависит от соотношения параметров резьбы dt; d2; ψ и приведенного угла трения σ`.

При расчетах для метрической резьбы можно принимать - kзат =1,3

. РАСЧЕТ БОЛТОВЫХ СОЕДИНЕНИЙ С ОСЕВОЙ И ПОПЕРЕЧНОЙ НАГРУЗКАМИ.

При расчете конструкция, нагрузки и материал резьбового соединения бывают выбраны или заданы, а номинальный диаметр резьбы (d) болта и число болтов (z) неизвестны. Поэтому расчет болтового соединения, как правило, заключается в определении из условия прочности требуемого диаметра резьбы и числа болтов. В некоторых случаях числом болтов задаются и из расчета определяют лишь диаметр их резьбы.

Основные случаи расчета одиночных болтов.

.        Незатянутые (ненапряженные) болты с осевой нагрузкой встречаются крайне редко, например, болт для подвески грузовой скобы (рис. 1, а).

Рис. 1

Как незатянутый болт можно рассматривать хвостовик грузового крюка (рис. 1, б). Незатянутые болты рассчитывают только на растяжение по формуле


где Q - осевая нагрузка, растягивающая болт;- число болтов;


F- наименьшая площадь сечения болта.

Диаметр болта определяют с помощью справочных таблиц по условию


. Болты для поперечной нагрузки имеют две конструктивные разновидности:

а) Болт, поставленный в отверстие с зазором (рис. 2, а) и затянутый так, чтобы сила трения, возникающая между поверхностями соприкасающихся деталей, обеспечила нормальную работу соединения без относительного смещения деталей:


Здесь K = 1,2 - 1,5 - коэффициент запаса против взаимного сдвига деталей.

Такой болт работает на растяжение и кручение. Учитывая работу болта на кручение коэффициентом затяжки kзат = 1,3, получим следующую расчетную зависимость:


где f - коэффициент трения между поверхностями соединяемых деталей.

рис. 2.

Здесь расчетное напряжение обозначено σэкв, так как оно учитывает совместное влияние нормальных напряжений от растяжения болта и касательных напряжений, возникающих от его кручения.

б) Болт, поставленный в отверстие без зазора (рис. 2, б, в); его диаметр определяют из расчетов

на срез

и смятие


площадь сечения стержня болта в том месте,

где он подвергается срезу; d0 = d + (1  2) мм диаметр ненарезанной части болта (см. рис. 2, б);

d - номинальный диаметр резьбы болта;

δmin - наименьшая толщина соединяемых деталей

i - число плоскостей среза (см. рис. 2, б, в);

z - число болтов.

Список литературы

1. Решетов Д.И., Иванов А.С., Фадеев В.З. Надежность машин. М.: Высшая школа, 1988.

. Черкесов Г.М. Надежность программно-аппаратных комплексов. М.: 1986.

. Острейковский В.А. Теория надежности. М., 2003 г.

. Райншке К. Модели надежности и чувствительности систем. М.Мир.

. Коловко А.М., Гурув А.Н. Основы теории надежности. 2006 г.

Похожие работы на - Надежность изделий

 

Не нашли материал для своей работы?
Поможем написать уникальную работу
Без плагиата!
Без нейросетей!