Лечение бронхиальной астмы
ОПРЕДЕЛЕНИЕ И ДИАГНОСТИКА
Практическим врачам хорошо
известно, как остро стоит проблема бронхиальной астмы (БА). До 90-х годов не
было единой концепции этого сложного заболевания, что нередко приводило к
поздней диагностике, неправильной терапии и ранней инвалидизации больных.
Из года в год растет
заболеваемость БА и смертность от этой болезни. Так, заболеваемость БА (на 1000
населения) в Свердловской области и в г. Екатеринбурге увеличилась
соответственно с 3,2 (1992) до 3,6 (1996) и с 3,3 (1992) до 5,6 (1997),
смертность (на 100000 населения) возросла соответственно с 8,3 (1993) до 8,9
(1996) и с 4,2 (1993) до 5,3 (1997).
Анализ амбулаторных карт больных
с бронхообструктивными заболеваниями легких в поликлиниках г.Екатеринбурга
показал, что только у 30,6% больных участковыми врачами установлен правильный
диагноз, из них у 92% БА 111-IV ступеней. Среди больных БА, пролеченных в
стационарах Свердловской области, 89% составили пациенты со среднетяжелой и
тяжелой степенями болезни. За последние годы отмечается рост инвалидизации у
больных БА. В 1995 и 1996 годах в области была определена группа инвалидности
соответственно у 2154 ( 18,2%) и 2855 (22,5%) больных БА, из них у 72,0 и 70,0%
определена II группа инвалидности. Все это свидетельствует о несвоевременной
диагностике БА.
Проведенные в 1997 году
эпидемиологические исследования с использованием международного опросника
ILJATLD показали, что распространенность БА среди взрослого населения области
составляет в среднем 7,0%. Симптомы БА чаще встречаются у женщин в возрасте
34-50 лет и у мужчин в возрасте 51-64 года (Лещенко И.В., 1997 г.).
Одной из основных задач
практического здравоохранения является своевременная диагностика БА. В постановке
диагноза БА необходимо руководствоваться тезисом о том, что "все, что
сопровождается свистящими хрипами, следует считать астмой до тех пор,
пока не будет доказано обратное".
Итак, в соответствии с принятой
концепцией, БА - это хроническое воспалительное заболевание дыхательных путей,
характеризующееся обратимой бронхиальной обструкцией (БО) и гиперреактивностью
бронхов (ГРБ). Воспалительная природа заболевания, связанная с воздействием
специфических и неспецифических факторов, проявляется в морфологических
изменениях стенки бронхов, инфильтрации клеточными элементами, прежде всего эозинофилами,
дисфункции ресничек мерцательного эпителия, деструкции эпителиальных клеток
вплоть до десквамации, дезорганизации основного вещества, гиперплазии и
гипертрофии слизистых желез и бокаловидных клеток. В воспалительном процессе
участвуют также другие клеточные элементы, в том числе тучные клетки, лимфоциты,
макрофаги.
С позиций клинициста, БА -
заболевание, характеризующееся хроническим воспалением дыхательных путей,
которое приводит к гиперреактивности бронхов, бронхиальной обструкции и респираторным
симптомам (эпизоды кашля, одышки, хрипов, тяжести в грудной клетке, особенно
ночью и/или рано утром).
Длительное течение воспаления
приводит к необратимым морфофункциональным изменениям, характеризующимся резким
утолщением базальной мембраны с нарушением микроциркуляции, и склерозу стенки
бронхов.
Основным патофизиологическим
признаком служит наличие ГРБ, являющейся следствием воспалительного
процесса в бронхиальной стенке и определяемой как повышенная
чувствительность дыхательных путей к стимулам, индифферентным для здоровых лиц.
Под специфической ГРБ понимают повышенную чувствительность бронхиального дерева
к определенным аллергенам, под неспецифической - к разнообразным стимулам
неаллергенной природы.
В ответ на воздействие
специфических и неспецифических стимулов формируется БО, которая
характеризуется бронхоконстрикцией, отеком слизистой, дискринией и, в
конечном итоге, склеротическими изменениями.
Процесс диагностики БА требует
понимания тех процессов, которые ведут к появлению симптомов болезни: врач
должен уметь распознать это состояние на основе данных анамнеза, клинического
обследования, исследования функции легких и аллергологического статуса.
Астма более не рассматривается
как состояние с изолированными острыми эпизодами бронхоспазма. Сейчас ее
принято характеризовать как хроническое воспаление дыхательных путей, из-за
которого бронхиальное дерево становится постоянно чувствительным или
гиперреактивным. При воздействии различных стимулов (триггеров) и при наличии
гиперреактивности наступает обструкция бронхиального дерева, возникают
обострения (или приступы) болезни, проявляющиеся кашлем, хрипами, чувством
сдавления в груди и затрудненным дыханием. Приступы могут быть легкими, средней
тяжести, тяжелыми или даже угрожающими жизни. Таким образом, БА - это
хроническое персистирующее воспалительное заболевание дыхательных путей вне
зависимости от степени тяжести заболевания.
В настоящее время наиболее
важным предраспологающим к астме фактором считается атопия - врожденная
наследственная склонность к аллергическим реакциям. Наиболее распространенные
аллергены, являющиеся факторами риска в развитии болезни, - это домашний
пылевой клещ, животные, тараканы, пыльца и плесень. Мощным фактором риска,
особенно у детей младшего возраста, является пассивное курение. Сенсибилизировать
дыхательные пути и приводить к БА могут химические и воздушные поллютанты.
Развитию астмы нередко способствуют респираторная вирусная инфекция,
недоношенность и плохое питание.
Многие из этих факторов риска
(домашний клещ, пыльца, животные, аэрополлютанты, табачный дым, вирусная
респираторная инфекция) могут вызывать обострения БА, поэтому их также называют
триггерами. Кроме того, триггерами являются дым от сжигания дерева, физическая
активность (включая бег и другие виды физических упражнений), чрезмерные
эмоциональные нагрузки (смех, сильный плач), холодный воздух, изменения погоды,
пищевые добавки и аспирин. Для больного бронхиальной астмой могут иметь
значение один или несколько триггеров.
Исключение контакта с триггером
позволяет снизить риск возникновения раздражения дыхательных путей.
Клинический диагноз астмы часто
основан на наличии таких симптомов, как эпизодическая одышка, хрипы, чувство
сдавления в груди и кашель, в особенности ночью или ранним утром. Однако данные
симптомы сами по себе не могут быть единственным диагностическим критерием, как
и не могут быть основой для определения степени тяжести заболевания. Изучая
анамнез, важно установить зависимость появления симптомов от воздействия одного
или нескольких триггеров. Исчезновение симптоматики после применения
бронходилататоров может означать, что врач имеет дело с бронхиальной астмой. В
табл. 1 приведены вопросы для уточнения диагноза бронхиальной астмы.
Если больной отвечает
"да" на любой из вопросов, следует подозревать астму. Однако
важно помнить и о других причинах появления респираторных симптомов.
Так как проявления астмы
варьируют в течение дня, врач может не выявить при осмотре признаков, характерных
для данной болезни. Таким образом, отсутствие симптомов во время
обследования не исключает диагноз астмы. При клиническом обследовании во
время приступа могут определяться симптомы БА и сопутствующие внелегочные
проявления аллергии (табл. 2).
Для специфической диагностики БА
применяются кожные пробы с аллергенами и определяется специфический
иммуноглобулин Е в сыворотке крови. Положительные кожные пробы при
сопоставлении с данными анамнеза позволят определить триггеры астмы, что
способствует разработке эффективного плана ведения больного.
Помощь в диагностике астмы
оказывает эозинофилия крови и мокроты. БА следует отличать от хронического
обструктивного бронхита (ХОБ) (табл. 3).
У больных нередко трудно выявить
симптомы болезни и точно установить тяжесть заболевания. Данные о наличии
кашля, хрипов и характере дыхания могут быть недостаточно полными. Исследование
функции легких с помощью спирометра или пикфлоуметра обеспечивает
непосредственное определение бронхиальной обструкции, ее колебаний и
обратимости. Такие процедуры необходимы для постановки диагноза и мониторирования
течения заболевания.
Спирометры измеряют жизненную емкость
легких, форсированную жизненную емкость легких, а также объем форсированного
выдоха за 1 с (ОФВ1), который является лучшим функциональным параметром для
определения степени тяжести заболевания.
Пикфлоуметры измеряют пиковую скорость
выдоха (ПСВ), т.е. максимальную скорость, с которой воздух может выходить из
дыхательных путей во время форсированного выдоха после полного вдоха. Значения
ПСВ тесно коррелируют со значениями ОФВ1. Пикфлоуметры - портативные, удобные и
недорогие приборы. Они могут применяться не только в условиях поликлиник и
больниц, но также дома и на работе, что помогает установить диагноз, определить
тяжесть болезни и реакцию на лечение.
На рис.1 представлены различные
типы пикфлоуметров. Все они соответствуют установленным стандартам и при их
применении следует соблюдать определенные правила:
1. Присоединить загубник к
пикфлоуметру.
2. Встать и держать пикфлоуметр
горизонтально таким образом, чтобы не препятствовать движению стрелки и
воздуха.
3. Сделать глубокий вдох, плотно
обхватить губами мундштук и сделать как можно более резкий выдох (детям следует
сказать, чтобы они сделали выдох так, как будто задувают свечку или надувают
воздушный шар).
4. Записать результат.
5. Повторить шаги 2, 3 и 4 еще 2
раза. Из трех значений выбрать лучшее.
КЛАССИФИКАЦИЯ
БА классифицируют по этиологии и
степени тяжести. По этиологии выделяется:
• атоническая (экзогенная,
аллергическая, иммунологическая);
• неатопическая (эндогенная,
неиммунологическая) астма. Под атопическим механизмом развития болезни подразумевают
иммунологическую реакцию в ответ на воздействие аллергена, опосредуемую специфическим
иммуноглобулином Е. У детей этот механизм развития болезни является основным.
Показано, что атопия может наследоваться более чем в 30% случаев.
Под неатопическим вариантом
подразумевают заболевание, не имеющее механизма аллергической сенсибилизации.
При этой форме болезни пусковыми агентами могут выступать респираторные
инфекции, нарушения метаболизма арахидоновой кислоты (аспириновая астма),
эндокринные и нервно-психические расстройства, нарушения рецепторного баланса и
электролитного гомеостаза дыхательных
путей, профессиональные факторы и аэрополлютанты неаллергенной природы.
Механизмы формирования этой формы заболевания до конца не изучены. В последние
годы особое значение в формировании неатопической БА придается загрязнению
атмосферы продуктами деятельности человека, в том числе диоксидами азота и
серы, озоном.
По нашим данным (Лещенко И.В., 1997
г.), имеется корреляционная связь между частотой симптомов БА и содержанием N0„
и СО в атмосферном воздухе ( r =0,64).
По степени тяжести течения
выделяют легкую (1 и 2 ступени), среднетяжелую (3 ступень) и
тяжелую (4 ступень) БА (табл. 4).
Тяжесть течения определяется
врачом на основании комплекса функциональных и клинических признаков,
включающих в себя частоту, тяжесть и продолжительность приступов диспноэ, а
также состояние больного в периоды, свободные от приступов. Обострения,
приступы БА также следует классифицировать по степени тяжести (табл. 5).
ПИКФЛОУМЕТРИЯ
Мониторирование астмы с помощью
пикфлоуметра дает следующие возможности врачу, которые позволяют в целом
оптимизировать лечение больных бронхиальной астмой:
Определение обратимости БО. Оценка
тяжести заболевания. Оценка ГРБ.
Прогнозирование обострений
астмы. Идентификация механизмов, провоцирующих бронхоспазм. Определение
профессиональной астмы. Оценка эффективности лечения. Планирование лечения.
МЕТОДИКА ИССЛЕДОВАНИЯ
ПСВ измеряется пациентом
самостоятельно утром сразу же после сна до приема бронходилататоров или рано
утром, если пациент просыпается от удушья, и вечером перед сном. Измеренные
значения наносятся на график. Важным диагностическим признаком является разница
между утренним и вечерним значением ПСВ. В одних случаях (при норме или хорошо
контролируемой астме) утренние и вечерние значения почти одинаковые, в других
случаях сильно различаются. Это свидетельствует об изменении ПСВ в течение дня,
называемом суточными колебаниями. Нормальный график ПСВ должен быть почти
прямым (рис. 2). На рис. 3 изображен график ПСВ, который представляет собой
кривую с большими колебаниями, что свидетельствует о неконтролируемой астме.
График изменения ПСВ оценивается
по нескольким параметрам: визуально оценивается форма графика, вычисляется
максимальное значение ПСВ и суточное колебание ПСВ. Очень важно оценить
нормальное значение ПСВ для данного пациента. Во многих пособиях
рекомендуется брать должное значение ПСВ, которое определяется по росту, возрасту
и полу (табл. 6). Однако рассчитанное значение для популяции в целом может не
соответствовать конкретному больному. Поэтому лучше в качестве нормального
значения брать усредненное наилучшее, которое измеряется в период ремиссии, в
период наилучшего стабильного самочувствия пациента. Хотя при первом
посещении больного в качестве нормального значения можно взять должное, а затем
его скорректировать.
Параметр ПСВ имеет только один
недостаток — он зависит от усилий пациента. Поэтому пациента обязательно нужно
четко инструктировать о том, как выполняется маневр форсированного выдоха.
1. Определение обратимости
бронхиальной обструкции. Тест проводится с помощью пикфлоуметра и (З.-агониста короткого
действия, например, сальбутамола. Методика выполнения теста следующая:
• Измерить исходное значение ПСВ
(ПСВ1).
• Провести ингаляцию
(3,-агонистом короткого действия, например, пациент должен вдохнуть 200 мкг
сальбутамола. Необходимо обратить внимание на правильное проведение ингаляции:
снять защитный колпачок с ингалятора; несколько раз тщательно встряхнуть
баллончик ингалятора; сделать полный выдох, держа ингалятор вертикально вверх
дном; плотно обхватить губами мундштук и начать медленный вдох ртом, в этот
момент сильно нажать на дно баллончика (при этом происходит подача дозы
аэрозоля); продолжить максимально глубокий вдох, задержать дыхание не менее чем
на 10 секунд; вынуть ингалятор изо рта и медленно выдохнуть.
• Через 15 минут повторить
измерение ПСВ с помощью пикфлоуметра (ПСВ2).
• Рассчитать процентное соотношение
параметров ВО, которое будет отображать выраженность бронхиальной обструкции:
Критерии выраженности
обратимости бронхиальной обструкции Степень выраженности БО %
Значительная
> 25
Умеренная
5-24
Незначительная
10-14
Отрицательная реакция
<10
2. Оценка ГРБ. ГРБ оценивается методом
суточной пикфлоуметрии. Признаком наличия гиперреактивности является снижение
утреннего значения ПСВ относительно вечернего более, чем на 20% (рис. 4). Такое
снижение называется "утренним провалом". Необходимо отметить, что
"утренние провалы" могут наблюдаться на графике не каждый день.
Поэтому следует осуществлять мониторирование ПСВ в течение недели. Наличие даже
одного "утреннего провала" в неделю будет свидетельствовать о гиперреактивности
бронхов.
На практике величина
"утренних провалов" показывает, насколько правильно подобрано
лечение. При правильном лечении "утренние провалы" устраняются.
3. Оценка тяжести заболевания. Оценка тяжести заболевания
определяется в соответствии с глобальной инициативой по профилактике и лечению
больных бронхиальной астмой (табл. 4) на основании нескольких параметров, самым
важным из которых являются колебания ПСВ.
Для определения значения
колебания ПСВ необходимо взять недельные измерения ПСВ, определить их
наименьшее и наибольшее значения и вычислить колебания по формуле:
В некоторых пособиях
рекомендуется измерять колебания ПСВ с использованием утреннего и вечернего
значений за одни сутки, при этом утреннее значение будет наименьшим, а вечернее
- наибольшим. Однако необходимо обратить внимание на то, что "утренние
провалы", которые и приводят к появлению колебания ПСВ, могут наблюдаться
не каждый день и при использовании суточного измерения наименьшего и наибольшего
значений ПСВ можно получить неверное значение его колебания.
4. Прогнозирование обострения
астмы. Около
15% обследуемых больных бронхиальной астмой не имеют ощущения развивающегося
бронхоспазма во время теста с метахолином, хотя параметр ОФВ1 при этом падает
более чем на 50% от исходной величины. Часто субъективное восприятие
значительно отстает от реального развития БО. Начало развития бронхоспазма
объективно регистрируется на графике ПСВ либо как падение значений относительно
наилучшего, либо как появление "утренних провалов" (рис. 4). Часто
падение показателя наблюдается за несколько дней до возникновения симптомов. В
таких случаях появляется возможность заранее принять решение об усилении
терапии, чтобы предотвратить приступ. При самоконтроле пациент должен расценить
это как предупреждение, что его астма выходит из-под контроля и лучше сразу же
обратиться к врачу. Своевременное назначение беклометазона улучшает
клиническую картину, график ПСВ выравнивается и показатели ПСВ улучшаются (рис.
5).
5. Идентификация факторов,
провоцирующих бронхоспазм. С этой целью используют суточные графики ПСВ, на которых отмечаются
измеряемые значения через каждые 2 часа. На временной оси графика отмечаются
моменты наступления предполагаемых врачом и пациентом провоцирующих факторов
(уборка квартиры, физическая или эмоциональная нагрузка, прием определенной
пищи и т.д.). По изменению графика можно определить, приводит ли предполагаемый
фактор к развитию приступа астмы или необходимо исследовать другой фактор.
6. Определение профессиональной
астмы. Для
этого строятся двухнедельные или месячные графики ПСВ. У пациентов с
профессиональной астмой на графике будет четко видно увеличение значения ПСВ в
субботу и воскресенье (или в дни отдыха) и снижение в рабочие дни.
7. Оценка эффективности лечения. Если лечение подобрано
правильно, то значение ПСВ поднимается до наилучшего и исчезает "утренний
провал" (рис. 5).
8. Планирование лечения. При достижении хорошей
кооперации врача с пациентом врач может разработать план лечения в соответствии
с изменениями ПСВ, что позволит пациенту самостоятельно корригировать лечение.
План лечения строится на основе допустимых значений изменения ПСВ для больного.
Как правило, выделяют три уровня: уровень нормальных значений ПСВ; уровень,
который требует усиления терапии: уровень, который требует госпитализации
пациента. Значения ПСВ для каждого уровня рассчитываются относительно
наилучшего значения ПСВ. Наиболее часто первый уровень составляет от 100 до 80%
наилучшего значения ПСВ, второй уровень —от 80 до 60% и третий уровень — менее
60%. При составлении плана самоконтроля врач назначает для каждого уровня ПСВ
соответствующее лечение. Пользоваться этим планом пациент может самостоятельно.
Необходимо помнить, что указанные уровни - это лишь рекомендуемые значения. В
каждом конкретном случае они будут зависеть от состояния пациента и снижения
текущего значения ПСВ относительно наилучшего.
ПОКАЗАНИЯ И ПРОТИВОПОКАЗАНИЯ ПРИ
ПИКФЛОУМЕТРИИ
Метод мониторирования ПСВ может
использоваться как в клинических условиях для оптимизации лечения больных БА,
так и самостоятельно пациентами для самоконтроля и выполнения плана лечения.
Нет определенного возраста, с
которого ребенок может начинать пользоваться пикфлоуметром. Некоторые дети
способны им пользоваться в 4 года, другие после 5 или 6 лет.
ДЛИТЕЛЬНАЯ ТЕРАПИЯ
Программа длительной терапии с
использованием ступенчатого подхода и метода оптимизации антиастматичсской
терапии должна сопровождаться:
10
• образовательной программой и
подготовкой индивидуального плана лечения, самоконтроля астмы
• программой элиминации или
контроля причинных факторов, триггеров (профилактика астмы). ЦЕЛЬ ДЛИТЕЛЬНОЙ
ТЕРАПИИ - КОНТРОЛЬ АСТМЫ
Длительный контроль астмы
требует письменного плана лечения, в котором отражена стратегия ведения
больного, регламентированы действия, необходимые для профилактики симптомов и
приступов, а также в случае приступа. В письменный план лечения должны быть
включены:
• индивидуальная ежедневная доза
профилактических препаратов длительной терапии для контроля астмы и
профилактики симптомов
• индивидуальные триггеры астмы,
которых больной должен избегать
• действия при ухудшении течения
астмы, включая название и дозу бронхо-дилататора, который следует принять
немедленно для быстрого облегчения симптомов болезни.
• признаки ухудшения контроля:
усиливающийся кашель, чувство сдавления в груди, затрудненное дыхание,
нарушение ночного сна в связи с симптомами астмы, использование
быстродействующих препаратов более часто или с меньшим эффектом
• действия при обострении астмы
и при первых признаках простуды
• описание ситуаций, когда
необходима медицинская помощь. Рекомендуется ступенчатый подход к терапии
астмы, поскольку тяжесть ее течения у разных людей и у одного и того же
пациента в разные временные периоды значительно варьирует. Целью этого подхода
является контроль терапии астмы с использованием наилюнынего количества
препаратов. Количество препаратов и частота их приема увеличиваются
(ступень вверх), если состояние больного ухудшается, и уменьшаются (ступень вниз),
если астма хорошо контролируется. Ступенчатый подход также предполагает
необходимость избегать или контролировать воздействие индивидуальных триггеров
на каждой ступени.
После определения тяжести астмы
у больного (табл. 4) врач должен решить вопрос о том, стоит ли назначать
вначале максимальный объем лечения для наиболее быстрого достижения контроля
над астмой с последующим снижением количества и дозы препаратов (ступень вниз)
или начать лечение с небольшого объема лекарств, а затем при необходимости
усиливать терапию (ступень вверх).
В любом случае, если симптомы
астмы удается контролировать в течение 3-х месяцев, то можно подумать об
уменьшении объема лечения или переходе на более низкую ступень. Таким образом
определяют наименьший объем препаратов, необходимый для контроля астмы.
Результатом длительной ступенчатой терапии является контроль астмы,
характеризующийся следующими признаками:
• Хронические симптомы астмы,
включая ночные , — минимальные или отсутствуют
• Обострения — минимальные
(крайне редкие)
• Необходимость в экстренных
визитах к врачу — отсутствует
• Потребность в р.-агонистах -
минимальная
• Ограничений активности,
включая физическую нагрузку, — нет
• Суточные колебания ПСВ менее
20%
• Показатели ПСВ - нормальные
или близкие к ним
• Побочные действия лекарств -
минимальные или отсутствуют При этом необходимо руководствоваться следующими
принципами:
1) больным следует назначать
лечение с учетом исходной тяжести состояния;
2) короткие курсы лечения
преднизолоном при необходимости проводятся на любой ступени;
1
1
3) больные должны избегать
контакта с триггерами или контролировать их воздействие;
4) терапия на любой ступени
должна включать обучение больных и применение спейсера для повышения
эффективности дозированных ингаляторов и снижения побочного действия
ингаляционных препаратов.
Авторами методических
рекомендаций на основании фармакоэкономических расчетов разработан перечень
лекарственных средств (ЛС) для лечения амбулаторных больных БА, отпускаемых по
бесплатным и льготным рецептам. ЛС разделены на основные (базисные) препараты,
к которым относятся противовоспалительные и пролонгированные бронхорасширяющие
ЛС; препараты короткого действия, купирующие приступ; системные стероиды;
комбинированные, сочетающие препараты разных групп и сведены в формуляр (табл.
7). Помимо ЛС, отпускаемых по бесплатным и льготным рецептам, сведенных в
формуляр, существует ряд ЛС, в т. ч. дорогостоящих, для лечения БА, отпускаемых
по обычным рецептам. С учетом этого предлагается следующая схема длительной
ступенчатой терапии астмы с комментариями (табл. 8).
Ступень 1 соответствует
наименьшей тяжести астмы, ступень 4 - наибольшей. Если контроля астмы не
удается достичь или он недостаточен, следует перейти к следующей ступени,
однако необходимо проверить, правильно ли больной принимает лекарства
соответствующей ступени. Контроль считается неполным, если у больного:
• симптомы кашля, свистящего или
затрудненного дыхания возникают более 3 раз в неделю;
• симптомы возникают ночью или в
ранние утренние часы;
• увеличивается потребность в
бронходилататарах короткого действия;
• увеличивается разброс
показателей ПСВ. При выборе ЛС для ступенчатой терапии БА следует пользоваться
табл. 7 и 8. Ступень 1. Легкое интермиттирующее течение астмы: симптомы
астмы появляются только при экспозиции триггера (например, пыльцы или шерсти
животных) или обусловлены физической нагрузкой; у младенцев и детей свистящее
дыхание возникает во время респираторной вирусной инфекции нижних дыхательных
путей.
При интермиттирующей астме
тяжесть обострений может быть различной у разных больных в разное время. Такие
обострения, хотя и редко, даже могут быть угрожающими для жизни.
Постоянная терапия
противовоспалительными препаратами таким больным не показана. Лечение включает
профилактический прием лекарств перед вероятным воздействием триггеров
(ингаляционные р„-агонисты или кромогликат, или недокромил). В качестве
альтернативы ингаляционным р.-агонистам короткого действия могут быть
предложены антихолинергические препараты (ипратропиум бромид), особенно при
наличии у пациента сердечно-сосудистой патологии.
Если астма проявляется более
частыми симптомами, увеличением потребности в бронходилататорах или снижением
ПСВ (табл.4), то следует перейти к ступени 2.
Ступень 2. Больные с легким
персистирующим течением астмы нуждаются в ежедневном длительном профилактическом
приеме лекарств для достижения и поддержания контроля астмы. Терапия включает
прием противовоспалительных препаратов. Лечение можно начать с ингаляционных
кромогликата или недокромила натрия. При отсутствии эффекта в течение 3-4
недель или ухудшении состояния назначают ингаляционные гормональные препараты -
беклометазона дипропионат или другой эквивалент в дозе 200-500 мкг в день.
Дополнительно при обострении может быть предложена терапия теофиллинами, (b2-агонистами пролонгированного
действия. При необходимости для облегчения симптомов можно использовать короткодействующие ингаляционные b2-агонисты, но частота их приема
не должна превышать 3-4 раза в сутки. В качестве альтернативы ингаляционным
р.-агонистам короткого действия могут быть предложены комбинированные препараты
(антихолинергические и b2-агонисты короткого действия) (табл. 7,8).
Если симптомы персистируют,
несмотря на начальную дозу ингаляционных кортикостероидов, и врач уверен в том,
что больной правильно использует препараты, дозу беклометазона дипропионата или
эквивалентного препарата следует увеличить с 200-500 до 750-800 мкг в день.
Если имеет место снижение показателей ПСВ и ухудшение клинической картины, то
следует перейти к ступени 3.
Ступень 3. Больным со средней
тяжестью течения астмы требуется ежедневный прием профилактических противовоспалительных
препаратов для установления и поддержания контроля над астмой. Доза ингаляционных
кортикостероидов должна составлять 800-2000 мкг беклометазона дипропионата или
его эквивалента в сутки.
Бронходилататоры длительного
действия также могут быть назначены в дополнение к ингаляционным
кортикостероидам, особенно для контроля ночных симптомов. Можно применять
пролонгированные теофиллины, пероральные и ингаляционные (3,-агонисты
длительного действия, М-холинолитики.
Для купирования симптомов
назначают b2-агонисты
короткого действия или комбинированные ЛС (табл.7, 8).
Если контроля астмы не удается
достичь (учащение симптомов, увеличение потребности в бронходилататорах или
снижение показателей ПСВ), то следует перейти к ступени 4.
Ступень 4. У больных с тяжелой
бронхиальной астмой заболевание не всегда поддается контролю. Целью лечения становится
достижение лучших возможных результатов: минимальное количество симптомов,
минимальная потребность в р,-агонистах короткого действия, лучшие возможные
показатели ПСВ, минимальный разброс значений ПСВ и минимальные побочные явления
при приеме препаратов.
Лечение обычно проводят с
помощью сочетания большого количества препаратов, контролирующих течение астмы.
Первичное лечение включает ингаляционные кортикостероиды в высоких дозах (от
800 до 2000 мкг в день беклометазона дипропионата или его эквивалента).
В дополнение к ингаляционным
кортикостероидам рекомендуются бронходилататоры пролонгированного действия.
Можно применить ипратропиум
бромид, особенно у больных, у которых отмечаются побочные явления при приеме
р-агонистов.
При необходимости для облегчения
симптомов можно использовать ингаляционные (3 -агонисты короткого действия, но
частота их приема не должна превышать 3-4 раза в сутки. При гормонозависимой
астме пероральные кортикостероиды для длительного лечения следует назначать в
минимальных дозах и если возможно, через день.
Ступень вниз. Уменьшение поддерживающей
терапии
целесообразно, если астма остается под контролем не менее 3 месяцев. Это
помогает уменьшить риск побочного действия и повышает восприимчивость больного
к планируемому лечению. Уменьшать лечение следует постепенно, снижая (отменяя)
последнюю дозу или дополнительные препараты. Необходимо наблюдать за
симптомами, клиническими проявлениями и показателями функции внешнего дыхания.
Ступень вверх. Если контроль не достигнут,
следует рассмотреть возможность "шага вверх". Но вначале проверьте, правильно
ли больной пользуется лекарственными препаратами, тщательно ли выполняет план
лечения и избегает ли контактов с аллергенами или другими триггерами.
При выборе препаратов в
соответствии со степенью тяжести астмы следует учитывать индивидуальную переносимость,
возможные побочные эффекты, биодоступность,
селективность и клиническую эффективность.
Специфическая гипосенсибилизация
(лечение аллергенами) - специфическая иммунотерапия астмы (СИТ) - относится к
базисной терапии.
Следует помнить, что СИТ проводится
врачом-аллергологом лишь у небольшой части больных атопической БА молодого
возраста в стадии ремиссии с доказанной повышенной чувствительностью к
пыльцевым или бытовым аллергенам. Показания и противопоказания к СИТ определяет
врач-аллерголог.
Немедикаментозные методы лечения
БА (сорбционные методы, плазмафорез, квантовая гемотерапия, лечебное голодание
и др.) имеют очень ограниченное значение. Показания и противопоказания к этим
методам определяет врач, специализирующийся на лечении астмы. НАРОДНЫЕ
МЕТОДЫ ЛЕЧЕНИЯ
Наиболее известными народными
методами лечения являются акупунктура, гомеопатия, траволечение и аюрведическая
медицина. Эти методы могут быть популярны среди некоторых больных, однако они
недостаточно изучены и их эффективность не доказана. Некоторые вещества,
применяемые в народной медицине (например, травы, такие как окопник), известны
как потенциально опасные; другие, наоборот, могут оказаться полезными. Народные
методы лечения следует иметь в виду, однако применяться они должны только как
дополнение к рекомендациям по лечению, изложенным в данном пособии. Научного
подтверждения эффективности народных методов лечения БА нет. ПРАВИЛЬНОЕ
ИСПОЛЬЗОВАНИЕ ПРЕПАРАТОВ
Для достижения необходимого
эффекта препараты нужно правильно применять. Очень важно научить больных
правильно принимать лекарства, назначаемые в виде ингаляций, таблеток, сиропов
или инъекций. Ингаляционные противоаст-матические препараты имеют
первостепенное значение, но некоторые пациенты испытывают затруднения при их
использовании. Следует показать больному правильную технику ингаляции с тем,
чтобы он повторял необходимые действия сам до тех пор, пока врач и пациент не
убедятся в том, что ингалятор используется правильно.
Ингаляционные препараты
выпускают в виде дозированных аэрозольных ингаляторов, ингаляторов, в которых
лекарственное вещество находится в виде сухой пудры, дозированных аэрозолей,
активируемых дыханием, и в виде раствора для ингаляций, применяемого через
небулайзер. Каждая форма имеет свои особенности при использовании.
Баллонные дозированные
аэрозольные препараты применяются наиболее часто; ингаляция препарата в необходимой дозе и
достижение наилучшего эффекта зависят от правильной техники ингаляции и применения
спейсера ( рис.6,7).
Обратите внимание больного на
важность медленного вдоха во время нажатия на баллончик. Очень часто при
использовании аэрозольных дозированных препаратов больной вдыхает быстро или
забывает нажать на баллончик.
Для устранения недостатков
дозированного аэрозольного ингалятора применяют специальную насадку —
спейсер (рис.7).
Насадка для аэрозольтерапии —
спейсер — позволяет более эффективно использовать дозированные ингаляторы для
профилактики и лечения БА. За счет создания дополнительного пространства
происходит полное превращение впрыскиваемого раствора в аэрозоль, что более чем
вдвое повышает проникновение препарата в легкие по сравнению с традиционным
методом ингаляции дозированных аэрозолей. Достигается экономия лекарства, кроме
того уменьшается опасность передозировки бронхорасширяющих препаратов и их
токсического действия на центральную
нервную и сердечно-сосудистую системы. Снижается риск возникновения кандидоза
полости рта и осиплости голоса, связанных с принятием ингаляционных
кортикостероидов. Отсутствие необходимости синхронизации вдоха с впрыскиванием
из ингалятора позволяет особенно эффективно применять систему "спейсер -
дозированный аэрозоль" детям и лицам пожилого возраста.
Спейсер состоит из разборного
пластмассового корпуса, обеспечивающего доступ к внутренней поверхности для промывки.
Со стороны широкой части корпуса изделия имеется мундштук, со стороны узкой
части - стыковочное отверстие для мундштука дозированного аэрозоля.
Стыковочное отверстие спейсера,
выпускаемого в Свердловской области, универсально и соответствует стандартам
мундштука дозированных аэрозолей фирм «Нортон Хелскэа» (саламол, беклазон,
кромоген), «Берингер Ингельхайм» (беротек, атровент, беродуал, ингакорт,
дитэк), «Глаксо» (вентолин, бекотид, серевент, фликсотид), «Рон-Пуленк»
(тайлед, интал, интал плюс) и др. Техника применения спейсера:
1. Снять защитный колпачок с
мундштука дозированного ингалятора.
2. Встряхнуть дозированный
ингалятор.
3. Вставить мундштук ингалятора
в стыковочное отверстие спейсера.
4. Сделать глубокий выдох. • 5.
Плотно обхватить мундштук спейсера губами.
6. Произвести впрыскивание
препарата в спейсер и затем сделать глубокий вдох. Задержать дыхание на 10
секунд и сделать медленный выдох.
7. Допускается произвольное (в
несколько приемов) вдыхание препарата из спейсера, например при выраженных
нарушениях функции дыхания и у детей.
Спейсер в разобранном виде может
использоваться как мундштук для паровлажных ингаляций в домашних условиях.
Спейсер всегда следует содержать
в чистоте, периодически промывая его теплой водой с мылом или синтетическими
моющими средствами.
Аэрозоли, которые активируются
дыханием, могут
применяться больными, испытывающими трудности при использовании дозированных
аэрозолей.
Ингаляторы, содержащие
лекарственное вещество в виде сухой пудры, по эффективности аналогичны дозированным
аэрозолям. Для вдыхания сухой пудры требуется значительное усилие, поэтому
могут наблюдаться затруднения в их использовании при приступах удушья, а также
почти у всех детей до 5 лет. Определенные сложности вызывает хранение этих
препаратов во влажном климате.
Небулайзеры, или "влажные
распылители", представляют собой компрессоры со специальным устройством, в
котором жидкий препарат превращается в туманное облачко (рис.8). Для вдыхания
облака служат лицевая маска или мундштук, при этом дыхание обычное, без усилий.
Небулайзеры предназначены для детей до 2 лет, а также детей старшего возраста и
пожилых пациентов, которые испытывают затруднения при использовании
дозированных ингаляторов. Кроме того, применение небулайзеров показано больным
с тяжелым приступом удушья, у которых дыхательные расстройства не позволяют
использовать дозированные аэрозоли и ингаляторы, содержащие лекарственное
вещество в виде сухой пудры.
Технику применения ингаляторов,
спейсеров, небулайзеров и всех препаратов следует проверять при каждом визите
пациента. КУПИРОВАНИЕ ПРИСТУПОВ УДУШЬЯ
Приступы астмы — это эпизоды
нарастания одышки, кашля, свистящих хрипов, затрудненного дыхания, чувства
сдавления в грудной клетке или сочетание этих симптомов.
Приступы также характеризуются уменьшением
ОФВ1 или ПСВ, которое можно определить при помощи спирометрии и пикфлоуметрии.
Тяжесть острого астматического приступа часто
недооценивается как самими больными и их родственниками, так и медицинскими
работниками, если ранние признаки обострения не распознаны или измерения
показателей функции дыхания не проводятся. Оценка тяжести приступа
Тяжелые приступы удушья могут
быть опасны для жизни. Для определения тяжести астматического приступа
необходимо пользоваться табл. 5. Ухудшение обычно прогрессирует в течение
нескольких часов или дней, но иногда может произойти буквально за несколько
минут. Поэтому больные должны знать, какие меры следует предпринять при ранних
признаках ухудшения до того, как возникнет необходимость в неотложной терапии
или госпитализации.
Амбулаторное лечение приступов
астмы (табл. 9)
Лечение должно проводиться в
течение нескольких дней до полного исчезнования симптомов и улучшения
показателей ПСВ.
Легкий приступ БА можно
купировать дома бронходилататорами короткого действия.
Приступы средней тяжести и
тяжелые требуют
не только адекватных доз бронходилататоров короткого действия (ингаляционных b2-агонистов короткого действия, в
т.ч. в растворе: стеринеб саламол, беродуал), но часто раннего назначения
системных кортикостероидов. Бронходилататоры следует применять часто в виде
дозированного ингалятора со спейсером или через небулайзер.
Среднетяжелые и тяжелые приступы
могут потребовать вызова скорой помощи и/или госпитализации больного. В
Екатеринбурге на станциях СМП внедрен метод небулайзер - терапии при приступах
астмы. В результате снизилось число госпитализаций и соответственно уменьшились
затраты на стационарное лечение.
При выборе препаратов для
купирования приступов удушья необходимо учитывать предшествующее лечение. Если
больной получал препараты, содержащие теофиллин, не следует купировать приступ
с использованием препаратов теофиллина в связи с высокой вероятностью развития
интоксикации теофиллином.
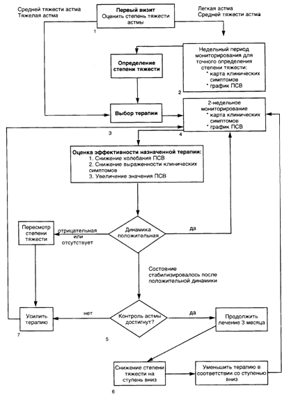
МЕТОД ОПТИМИЗАЦИИ
АНТИАСТМАТИЧЕСКОЙ ТЕРАПИИ
Метод оптимизации антиастматической
терапии представляет собой последовательное выполнение определенных процедур,
которые можно описать в виде блоков (рис.9). Метод предложен и успешно апробирован
сотрудниками НИИ пульмонологии (Москва, 1997).
Блок 1. Первый визит пациента к врачу,
оценка степени тяжести, определение тактики ведения больного.
Блок 2. Вводный недельный период
мониторирования. Блок 3.
1. Определение степени тяжести
астмы.
2. Выбор медикаментозной
терапии.
Блок 4. Двухнедельный период
мониторирования на фоне проводимой терапии. Блок 5. Оценка эффективности
терапии. Блок 6.
1. Пересмотр степени тяжести в
сторону уменьшения.
2. Пересмотр терапии в
соответствии с новой степенью тяжести (ступень вниз). Блок 7.
1. Пересмотр степени тяжести в
сторону увеличения.
2. Пересмотр терапии в
соответствии с новой степенью тяжести (ступень вверх).
1
В
Блок 1. Основная цель этого блока
заключается в том, чтобы по имеющимся клиническим симптомам, анамнестическим
данным и значению ПСВ оценить возможную степень тяжести астмы и выбрать дальнейшую
тактику ведения больного. Если состояние больного тяжелое и требует экстренной
помощи, то лучше его госпитализировать.
При первом визите пациента точно
установить степень тяжести астмы сложно, поскольку для этого необходимо оценить
колебания ПСВ в течение недели и выраженность клинических симптомов. Для этого
назначается недельный вводный период мониторирования астмы (блок 2). При этом,
если пациент уже получает поддерживающую терапию, ее необходимо продолжить на
период мониторирования. Можно рекомендовать дополнительный прием (3,-агонистов
короткого действия при необходимости.
Назначать вводный период
мониторирования можно только в тех случаях, когда позволяет состояние больного,
т.е. предположительно у больного астма легкой степени или средней тяжести, не
требующая экстренного назначения терапии в полном объеме. В противном случае
необходимо назначить терапию в полном объеме (блок 3) и перейти к блоку 4.
Итак, во время первого визита
следует определить значения возможно большего числа параметров, по которым
устанавливают степень тяжести астмы (табл.4), оценить •степень тяжести и
выбрать тактику ведения больного, т.е. перейти к недельному периоду
мониторирования или сразу назначить лечение в полном объеме. Кроме того, при
обследовании больного необходимо провести тест с бронхолитическими препаратами
для определения обратимости обструкции. Этот параметр не используется
непосредственно при определении степени тяжести астмы, но он будет важен в
дальнейшем при оценке эффективности терапии.
Блок 2. Вводный период мониторирования.
Основная цель этого блока -
получение информации, необходимой для точного определения степени тяжести
астмы. Для этого пациент должен ежедневно заполнять таблицу клинических
симптомов и график утренних и вечерних значений ПСВ (рис. 10). Кроме того, если
из анамнеза можно предположить наличие для пациента факторов, провоцирующих
бронхоспазм, то можно назначить ему ведение суточных графиков с измерением ПСВ
через 2 часа. Для этого необходимо выбрать определенные дни недели, в которые
влияние этих факторов наиболее вероятно. Более подробно об этом написано в
разделе "Пикфлоуметрия".
Блок 3. Блок предполагает выполнение
двух процедур:
1. Определение степени тяжести
астмы.
2. Выбор терапии.
Определение степени тяжести
проводится по клиническим и функциональным параметрам, которые рассчитываются
по данным вводного недельного мониторирования:
1. Количество ночных и дневных
симптомов в неделю, кратность применения (3,-агонистов короткого действия
рассчитываются из таблицы клинических симптомов, которую заполнял пациент
самостоятельно.
2. Выраженность нарушения
физической активности и сна пациент определяет субъективно:
— физическая активность снижена
и сон нарушен постоянно: это характерно для тяжелой астмы;
— физическая активность и сон
нарушаются обязательно при обострениях астмы средней тяжести и часто при легкой
астме.
3. Колебания пиковой скорости
выдоха рассчитываются за всю неделю мониторирования следующим образом. Разность
между наибольшим ПСВ за неделю и наименьшим ПСВ за неделю поделить на
наибольшее ПСВ за неделю и умножить на 100. Как уже указывалось в главе
"Пикфлоуметрия", использование недельного колебания ПСВ более
оправданно, чем суточного, поскольку "утренние провалы" могут
проявляться не каждый день, в связи с чем суточное колебание ПСВ может не
отражать действительное состояние пациента.
Пример. Пациент Д. , 39 лет, болеет
бронхиальной астмой средней тяжести 1 год 3 месяца.
На рис. II представлены данные
вводного периода мониторирования. Из графика ПСВ видно, что у больного неконтролируемая
бронхиальная астма. Ее особенностями является то, что "утренние
провалы" наблюдаются не каждый день и суточные колебания ПСВ находятся в
интервале от 2 до 23%, не соответствуя клиническим проявлениям астмы. Например,
29.04 во время визита к врачу, на котором определялась степень тяжести астмы,
суточное колебание ПСВ составило 14%, недельное колебание ПСВ — 31%, что полностью
соответствует клиническому проявлению астмы.
Процентное отношение ПСВ от
должного рассчитывается следующим образом: максимальное значение ПСВ за неделю
делится на должное ПСВ и полученный результат умножается на 100. Как уже
отмечалось в главе "Пикфлоуметрия", не всегда нормальное или
идеальное ПСВ для данного пациента соответствует должному табличному ПСВ,
определяемому по росту, полу и возрасту. Оно может быть как выше, так и ниже
табличного. В связи с этим процентное отношение измеряемого ПСВ к должному
может не соответствовать степени тяжести астмы. Например, если нормальное
значение ПСВ будет выше должного, то процентное отношение будет также выше, чем
указанное в классификации для данной степени тяжести. В связи с этим при
расчете этого параметра необходимо использовать не должное ПСВ, а наилучшее
ПСВ, которое вычисляется как усредненное максимальное ПСВ в период стабильного
наилучшего самочувствия. Если оно неизвестно, то при определении степени
тяжести этот параметр лучше не использовать, особенно если это значение явно не
соответствует другим параметрам. Если оно соответствует астме более легкой
степени тяжести, чем другие параметры, то можно предположить, что наилучшее
значение для пациента выше должного, в противном случае - ниже. Эта оценка
может быть важна в дальнейшем при определении эффективности терапии.
Пример. Больной Б., 40 лет, болеет
астмой. На рис. 12 представлены данные мониторирования состояния пациента за
вводный период и подбор эффективной терапии. В таблице клинических симптомов
суммированы данные за неделю. По данным вводного периода, у пациента астма
средней тяжести. Врач назначил беклометазон в дозе 800 мкг. В течение 2 недель
мониторирования наблюдалась положительная динамика состояния. По алгоритму врач
должен продолжить лечение пациента в прежнем объеме. Однако он принимает
решение увеличить дозу беклометазона до 1000 мкг с тем, чтобы поднять максимальное
значение ПСВ до должного. Врач делает ошибку, приняв должное значение за
наилучшее для данного больного, не проанализировав динамику других параметров.
В течение следующих двух недель состояние пациента улучшается и стабилизируется
с признаками полностью контролируемой астмы. Максимальное значение ПСВ
стабильно остается ниже 80% от должного. Это является признаком того, что
наилучшее значение ПСВ у данного пациента ниже должного. Тем не менее врач
расценивает эту ситуацию как неэффективное лечение и увеличивает дозу беклометазона до 1200 мкг. Таким образом,
неправильная оценка наилучшего значения ПСВ привела к необоснованному усилению
терапии.
Итак, степень тяжести астмы
определяется по перечисленным параметрам в соответствии с табл.4 для пациентов,
которые не получали ранее лечения по поводу астмы, и в соответствии с табл.4 и
8 для пациентов, которые получают поддерживающую терапию.
Выбор терапии определяется после
установления степени тяжести астмы. Для определения эффективности проводимого
лечения назначается двухнедельное мониторирование — блок 4.
Блок 4. Включает двухнедельное
мониторирование состояния пациента с целью последующего определения
эффективности назначенной терапии (блок 5). Так же как и во время вводного
недельного периода мониторирования, пациент заполняет ежедневно карту
клинических симптомов и рисует график ПСВ.
Блок 5. Оценка эффективности терапии.
Проводится по клиническим и функциональным параметрам, которые рассчитываются
по данным двухнедельного мониторирования (блок 4), а также по данным теста с
бронхолитиками. Принцип расчета параметров представлен при описании блока 3.
Необходимо оценить динамику следующих параметров:
1. Снижение значения колебания
ПСВ.
2. Снижение выраженности
клинических симптомов.
3. Увеличение максимального
значения ПСВ.
4. Снижение значения показателя
обратимости БО.
При отсутствии динамики
параметров или при отрицательной динамике необходимо усилить медикаментозное
лечение, если это возможно в рамках установленной степени тяжести. Если пациент
уже получает максимально возможный объем терапии для данной степени тяжести, то
необходимо пересмотреть степень тяжести и выбрать соответствующую ей терапию
(блок 7). В случае положительной динамики следует продолжить лечение в том же
объеме в течение 2 недель (блок 4).
Если после положительной
динамики наступает стабилизация состояния, то по значениям клинических и
функциональных параметров врач должен решить, достигнут ли контроль над астмой.
При этом в первую очередь необходимо оценить значение колебания ПСВ и выраженность
клинических симптомов. Их значения должны полиостью соответствовать состоянию
контролируемой астмы. Более сложно дать оценку динамики абсолютных значений ПСВ. Если у
пациента известно его наилучшее значение, то при контролируемой астме текущее
значение ПСВ должно максимально приблизиться к нему. Если у пациента известно
только его должное значение, то стабилизация текущего значения ПСВ ниже
должного может свидетельствовать о том, что его наилучшее значение ниже
должного и в процессе лечения оно достигнуто (рис. 12). Косвенным доказательством
этого будет динамика результатов теста с бронхолитиком. В этом случае не
следует усиливать терапию с целью достижения должного значения ПСВ. Это приведет
только к неоправданному увеличению объема лечения, а должное значение нс будет
достигнуто. Если обратимая обструкция остается, тогда можно усилить терапию и
вернуться к блоку 4.
Пример 3. Больная П., 29 лет, болеет
бронхиальной астмой 9 лет. На рис. 13 представлены данные мониторирования
состояния больной за время, включающее вводный период и выбор эффективной
терапии. По данным вводного периода у больной - астма тяжелого течения. Врач назначает беклометазон в дозе 800
мкг. Наблюдается положительная динамика состояния больной с последующим двухнедельным
периодом стабильного состояния. Клинические симптомы и колебания ПСВ
свидетельствуют о плохом контроле над астмой, несмотря на достижение стабильного
состояния. Врач увеличивает дозу беклометазона до 1000 мкг. В течение следующих
5 недель лечения у больной наблюдается положительная динамика состояния. В дальнейшем
состояние стабилизируется с признаками полного контроля над астмой.
Итак, если после положительной
динамики у пациента наблюдается стабилизация состояния с признаками
контролируемой астмы, то необходимо продолжить лечение в течение 3 месяцев и
перейти к блоку 6 - снижение степени тяжести на ступень вниз.
Блок 6. Блок предполагает выполнение
двух процедур:
1. Пересмотр степени тяжести в
сторону уменьшения.
2. Пересмотр терапии в
соответствии с новой степенью тяжести (ступень вниз). Степень тяжести устанавливается
в соответствии с табл. 4 и 8 на ступень ниже и производится корректировка
лечения в сторону уменьшения терапии. Для оценки эффективности терапии
назначается двухнедельный период мониторирования (блок 4).
Блок 7. Блок предполагает
выполнение двух процедур:
1. Пересмотр степени тяжести
астмы (ступень вверх).
2. Усиление терапии.
Подобные процедуры более
подробно описаны в блоке 5. Таким образом, с помощью этого метода подбирается
рациональная поддерживающая терапия, причем начинать лечение можно с минимальных
доз стероидных ингаляционных препаратов для данной степени тяжести астмы.
Пациенту определяется его наилучшее значение ПСВ и 20%-й допустимый интервал
его колебания. В дальнейшем больной должен проводить самоконтроль по графику
ПСВ. Как только значения ПСВ начинают опускаться ниже отмеченного на графике интервала
(даже единичные падения), пациент должен усилить терапию самостоятельно в
соответствии с назначением врача. Если после этого график вернется в отмеченный
интервал, то следует продолжить поддерживающую терапию в предыдущем объеме. Если
падение значений ПСВ будет продолжаться, то необходимо срочно обратиться к
врачу.
ОБУЧЕНИЕ БОЛЬНЫХ
Обучение больных бронхиальной
астмой можно разделить на индивидуальное и коллективное.
Коллективное образование больных осуществляется в рамках
астма-школы специалистами по бронхиальной астме, а также с помощью специальных
изданий, например, журнала «Астма и аллергия».
Индивидуальное обучение проводится медицинским
работником, который ведет больного астмой.
Люди, страдающие бронхиальной
астмой, могут не знать о появлении новых методов лечения своей болезни, которые
позволили бы им предотвращать обострения, нс иметь симптомов астмы днем и ночью
и жить полноценной активной жизнью. С помощью лечащего врача они могут
научиться контролировать астму, быстро купировать легкие приступы в домашних
условиях и предотвращать тяжелые приступы. Больным в этом случае не нужно
экстренно обращаться к врачу.
20
Плановые посещения врача
позволяют регулярно обсуждать и решать проблемы и выработать план длительного
лечения. Этого можно достичь, если пациент будет занимать активную позицию,
чему способствует план самоведения (рис. 14). План самоведения позволяет
больному бронхиальной астмой:
• правильно принимать лекарства
• знать разницу между
ситуационными препаратами и профилактическими лекарствами длительного действия
• избегать триггеров астмы
• следить за своим состоянием,
ориентируясь на симптомы и, если возможно, показатели пикфлоуметрии
• распознавать признаки
ухудшения бронхиальной астмы и принимать меры по их устранению
• вовремя обращаться за
медицинской помощью для купирования тяжелых приступов болезни.
Обучение очень важно, если есть
необходимость ежедневно контролировать симптомы астмы. Больным нужны не только
базисные информация и навыки, но умение приспособить свой план лечения БА к конкретной
ситуации. Следует учитывать проблемы пациентов и определять уровень их владения
навыками, чтобы выявить необходимость обучения. Нужно побуждать больных к
сотрудничеству. Необходимо предоставлять точную информацию, используя понятную
для пациента терминологию, а также дать ответы на все вопросы больных, выявить
все страхи и опасения и обсудить их, так как многие пациенты не могут следовать
советам врача до тех пор, пока все их вопросы не будут разрешены.
Целью обучения является создание
плана длительного лечения бронхиальной астмы, включая план самоведения,
приемлемого как для медицинских работников, так и для больного.
Система зон в лечении
бронхиальной астмы эффективна для самоведения и должна быть включена в план лечения. Эта
система подразделяет уровни контроля бронхиальной астмы на различные зоны в зависимости
от частоты возникновения и тяжести симптомов и показателей ПСВ (если пикфлоуметр
используется). Каждой зоне соответствует определенная схема лечения. Система
зон помогает больным понять хронический и переменчивый характер астмы, следить
за своим состоянием, распознавать самые ранние симптомы ухудшения состояния,
принимать быстрые меры для восстановления контроля астмы. При использовании
пикфлоуметра результаты пикфлоуметрии нужно сравнивать с наивысшими
индивидуальными показателями ПСВ. Лучший, наивысший показатель ПСВ,
достигаемый, если астма находится под контролем, является критерием контроля
астмы. Затем больной следует установленной схеме действий соответственно каждой
из трех зон.
Зеленая зона. — все в порядке. Астма под
контролем, симптомы отсутствуют и не препятствуют деятельности или сну.
Показания пикфлоуметра обычно составляют 80-100% от лучших индивидуальных показателей.
Их вариабельность менее 20%. Если больной находится в зеленой зоне по крайней
мере 3 мес., следует подумать о возможности осторожного перехода на более
низкую ступень лечения.
Желтая зона — необходима осторожность.
Присутствуют некоторые легкие симптомы астмы. ПСВ составляет 60-80% от лучших
индивидуальных показателей, ее вариабельность — 20 — 30%. Желтая зона означает,
что:
• имеет место острый приступ,
при котором показано временное усиление лечения, особенно ингаляционными
р-агонистами для быстрого снятия симптомов: больной должен следовать плану
лечения, разработанному с врачом
• возможно, произошло общее
ухудшение течения астмы, что требует дальнейшего лечения, которое должно быть
назначено врачом. Рекомендуют проведение короткого курса лечения пероральными
кортикостероидами в таблетках (от 30 до 60 мг в день в 1 или 2 приема) до тех пор, пока показатели
пикфлоуметра не вернутся в Зеленую зону. Затем следует прекратить прием
пероральных кортикостероидов, часто путем постепенного снижения дозы. У больных
, уже принимающих ингаляционные глюкокортикостероиды, их обычные дозы можно
удвоить на 1-2 нед. до улучшения показателей пикфлоуметрии и симптоматики
астмы.
Частые возвращения в Желтую зону
могут означать, что астма контролируется недостаточно и требуется усиление
лечения в Зеленой зоне.
Красная зона обозначает тревогу. Симптомы
астмы присутствуют даже в покое или мешают деятельности больного. Показания
пикфлоуметра составляют менее 60% от индивидуальных лучших значений. Пациент
должен следовать плану лечения. Ингаляционные р^-агонисты короткого действия
нужно принять незамедлительно. Больные, члены семьи и медицинский персонал
должны уметь распознавать признаки опасности, которые требуют оказания немедленной
медицинской помощи (см."Купирование приступов удушья"). Если
показания пикфлоуметра после применения бронходилататоров улучшаются,
необходимо следовать схеме действий, выработанной для Желтой зоны. После того,
как приступ купирован, терапия Зеленой зоны и тщательность выполнения больным
плана лечения должны быть пересмотрены и при необходимости изменены.
Для успешного лечения
бронхиальной астмы обучение пациентов должно быть длительным. Больной и
медицинский работник должны регулярно оценивать эффективность лечения, навыки
самоведения и обсуждать все опасения пациента, связанные с лечением. Если
необходимо, план лечения следует пересмотреть, обучение продолжить и побудить
больного приложить соответствующие усилия. К обучению пациентов полезно привлекать
всех членов медицинской команды (врачи, фельдшеры, медсестры). Обсуждение,
демонстрации, групповые занятия и инсценировки помогают больным приобрести
навыки самоведения. Наиболее эффективный метод обучения — устная информация,
демонстрация техники, а затем поощрение активности больного различными путями.
Индивидуальные методы должны быть выбраны с учетом культурного уровня и личных
особенностей пациента.
Для некоторых больных более
приемлемо посещение астма-клубов и групп самоподдержки. Эти группы имеют
различия, но, в основном, располагают информационными материалами, обеспечивают
групповое обучение и взаимную поддержку пациентов. Члены группы обмениваются
личными приемами лечения астмы, обсуждают перемены домашней обстановки и
способы преодоления стрессов внутри семьи. Обучение больных — ключ к
успеху любого вида лечения и профилактики астмы.
ПРОФИЛАКТИКА
Первичная профилактика БА включает изменение состояния
окружающей среды с целью уменьшения воздействия аллергенов (особенно домашнего
клеша, тараканов, кошек), исключение пассивного курения (особенно у младенцев),
снижение воздействия сенсибилизирующих профессиональных факторов.
Большое значение придается
медико-генетическим консультациям, т.к. БА чаще всего имеет наследственную
предрасположенность. Однако вероятность проявления этой предрасположенности к
астме и аллергии зависит от воздействий окружающей среды во время вынашивания
ребенка и, особенно, в первые шесть месяцев после рождения. Так, например, если
кто-либо из родителей страдает аллергией к пыльце, то, естественно, рождение
ребенка в сезон цветения "виновных" растений наименее желательно.
Если у одного из родителей аллергия на животных, то вероятность развития
аналогичного заболевания у ребенка в 8-10 раз выше, если в первый год жизни в
квартире будет жить кошка или собака. То же самое можно сказать об аллергии к
домашней пыли, плесневым грибам, тараканам, и , конечно, бронхиальная астма
более вероятна , если родители курят, особенно мать во время беременности. Если
в семье курит только отец, вероятность развития астмы у предрасположенного к
ней ребенка в 3-4 раза выше по сравнению с семьями, где нет курящего. Важно
также стараться предотвратить контакт новорожденного с пищевыми аллергенами.
Поэтому в семьях, где один из родителей страдает аллергией, особенно тщательно
надо следить за диетой кормящей матери, чтобы исключить поступление пищевых
аллергенов через грудное молоко. Рекомендуется грудное вскармливание минимум до
шести месяцев. Использовать смеси, содержащие препараты гидролизованных белков,
а также продукты, обладающие сильными аллергенными свойствами (коровье молоко,
рыба, цитрусовые), можно не ранее второго года жизни.
Вторичная профилактика подразумевает проведение
мероприятий по выявлению и контролю факторов риска, триггеров у больных БА и
медикаментозную профилактику.
ВЫЯВЛЕНИЕ ФАКТОРОВ РИСКА И
ОСУЩЕСТВЛЕНИЕ КОНТРОЛЯ ЗА НИМИ
Обнаружение и контроль триггеров
(факторов риска, вызывающих обострение астмы) очень важны для успешного лечения
астмы. Исключение факторов риска (.таких, как аллергены или ирританты),
вызывающих обострения астмы, из окружения больного способствует профилактике
появления симптомов заболевания и предотвращает возникновение необходимости
госпитализации, а также уменьшает потребность в применении медикаментов. Среди
аллергенов и ирритантов, рассматриваемых как триггеры, наиболее распространенными
являются домашний пылевой клещ, табачный дым, шерсть животных, аллергены
тараканов, пыльца, а также дым от сгорания дров. К другим частым триггерам
относят вирусную инфекцию, физическую нагрузку, пищевые аллергены, аспирин и
его дериваты.
Домашний пылевой клещ — наиболее важный компонент
домашней пыли. Клещи имеют очень маленькие размеры и не видны невооруженным
глазом. Они не вызывают и не передают никаких болезней, питаются выделениями
кожи человека и обнаруживаются в матрасах, диванах, стульях, креслах и т.п. Особенно
быстро они размножаются в сыром и душном помещении. Экспозиция аллергенов
домашней пыли в раннем детском возрасте способствует развитию астмы.
Профилактика: постельное белье и одеяла
следует регулярно (раз в неделю) стирать в горячей воде (температура — более 60
С) или просушивать на солнце. Необходимо убедиться, что матрасы и подушки имеют
воздухонепроницаемые покрытия, не позволяющие клещу проникать через них. Нужно
убрать ковры, особенно из спален, убрать обитую тканью мебель, стирать занавеси
и мягкие игрушки ребенка. Необходимо пользоваться воздухоочистителями(рис.15),
противоаллергенными чехлами.
Аллергены животных, покрытых
шерстью
(грызуны, кошки, собаки), могут явиться факторами риска астмы.
Профилактика: необходимо удалить животных из
дома или хотя бы из спальни, сделать тщательную влажную уборку, пользоваться
воздухоочистителем.
Табачный дым является фактором риска, если
больной курит или вдыхает табачный дым от окружающих. Табачный дым увеличивает
риск сенсибилизации у детей (особенно у детей до года) и может усиливать
тяжесть симптомов у детей, которые уже больны астмой.
Профилактика: не курить. Родители больных
астмой детей не должны курить, по крайней мере в комнате ребенка. Не брать
ребенка в общественные места, где курят. Естественно, больные астмой не должны
курить. Аллерген таракана нередко является триггером астмы.
Профилактика: регулярно и тщательно убирать
квартиру, использовать пестициды, но больной БА не должен присутствовать при
распылении пестицидов в аэрозолях; проветривать квартиру до прихода больного,
использовать воздухоочиститель.
Плесень, другие грибковые споры
и пыльца растений являются частицами растений, которые часто вызывают симптомы астмы.
Профилактика: при высокой концентрации пыльцы
и спор в воздухе закрыть окна и двери и находиться в помещении. Эти меры
помогают, особенно при наличии воздухоочистителя, хотя полностью избежать
контакта с пыльцой и плесенью невозможно.
Дым при сжигании дров и другие
домашние воздушные поллютанты являются источниками раздражающих частиц.
Профилактика: выводить все дымоходы наружу и
хорошо проветривать комнаты; избегать использования бытовых аэрозолей, в том
числе для полировки, пользоваться воздухоочистителем.
Простуды и респираторные
вирусные инфекции могут вызывать обострения бронхиальной астмы, особенно у детей.
Профилактика: общепринятые меры профилактики
ОРВИ, закаливание, обеспечивать ежегодную противогриппозную вакцинацию больных
среднетяжелой и тяжелой астмой. При первых симптомах простуды лечить
ингаляционными р^-агонистами короткого действия, рано начинать терапию
пероральными глюкокортикостероидами. Продолжать противовоспалительное лечение в
течение нескольких недель, чтобы обеспечить полный контроль симптомов
заболевания. Усиление симптомов бронхиальной астмы может сохраняться в течение
нескольких недель после перенесенной инфекции.
Физическая активность является частым триггером у
большинства больных БА. Профилактика: при правильно подобранном
лечении большинство больных бронхиальной астмой могут в полной мере переносить
физические нагрузки, включая бег и другие спортивные упражнения.
Предварительный прием ингаляционных р-агонистов короткого или длительного
действия или хромогликата натрия перед физическими нагрузками является наиболее
эффективным способом профилактики симптомов астмы. Разминки и тренировки также
способствуют уменьшению симптомов астмы. В отличие от других триггеров
физической активности избегать не следует.
Производные пенициллина и
р-адреноблокаторы могут быть причиной обострения БА, что требует исключить назначение этих
препаратов.
Пищевые аллергены и производные
ацетилсалициловой кислоты нередко являются причиной БА или ее обострений. Выявлению этих факторов
риска помогает ведение пищевого дневника с последующей элиминацией
"виновного" продукта или лекарственного средства.
Уменьшение контакта с триггерами
связано с изменением стиля жизни, что может быть трудно для некоторых больных
или их семей. Необходима индивидуальная работа с пациентом для поиска наиболее
подходящего способа уменьшения контакта с триггерами астмы. Расставание с
домашним животным может стать проблемой для всей семьи, но животное можно по
крайней мере переместить во двор или удалить из спальни. Контакт новорожденного
с клещом может вызвать развитие астмы, но так как рождение ребенка в любом
случае изменяет домашний уклад, в это время легче принять необходимые меры,
хотя бы в первые полгода-год жизни ребенка. Удаление животных, использование
воздухоочистителя, противоаллергенных чехлов для матрасов и частые стирки
постельного белья в горячей воде нередко трудновыполнимы, тем не менее семьи
должны придерживаться такого образа жизни.
Медикаментозная профилактика БА подразумевает длительную
ступенчатую терапию базисными препаратами, которая предупреждает обострение
астмы (табл.8). Непременными условиями успешной профилактики БА являются образование,
обучение больных астмой и тщательный контроль заболевания, осуществляемый как
самим пациентом, так и его лечащим врачом.
ОРГАНИЗАЦИЯ ПОМОЩИ БОЛЬНЫМ
АСТМОЙ В СВЕРДЛОВСКОЙ ОБЛАСТИ
РЕГИОНАЛЬНАЯ ПРОГРАММА
«БРОНХИАЛЬНАЯ АСТМА» (основные положения)
Авторами данного пособия с
участием представителей Департамента здравоохранения, УрГМА и практического
здравоохранения разработана региональная программа "Бронхиальная
астма".
В программе отражены общие
вопросы эпидемиологии, профилактики, лечения и образования больных БА.
Произведены экономические расчеты эффективности длительной профилактической
терапии астмы.
Фармацевтическим центром ТФОМС
определен перечень лекарственных средств, отпускаемых по бесплатным и льготным
рецептам для лечения БА в амбулаторных условиях; разработан формуляр ЛС по ступеням
БА; даны краткая характеристика свойств ЛС и критерии их рационального выбора;
с помощью собственных компьютерных программ выполнены расчеты затрат на лечение
амбулаторных больных БА в Свердловской области; разрабатывается система
экспертизы фармакотерапии БА в амбулаторных и стационарных условиях.
Намечено создание сети
астма-кабинетов и астма-школ в Екатеринбурге и области для оказания специализированной
помощи больным БА.
Предусмотрено проведение
эпидемиологических исследований и научно-практических конференций по
бронхиальной астме.
Координаторами программы
являются Областной аллергологический центр, кафедра терапии ФУВ УрГМА и
Екатеринбургский филиал НИИ пульмонологии. Научный руководитель программы
доцент УрГМА И.В. Лещенко.
СИСТЕМА ОКАЗАНИЯ ПОМОЩИ БОЛЬНЫМ
БА
Первый уровень оказания помощи
больным БА — врач общей практики (участковый терапевт):
• постоянно наблюдает больных БА
(в среднем 1 р. в месяц); выписывает рецепты;
• вновь выявленных больных
астмой направляет к пульмонологу (аллергологу) поликлиники (астма-кабинета) для
уточнения диагноза и разработки плана длительной терапии и профилактики астмы с
использованием метода оптимизации антиастматической терапии;
• при контрольных посещениях
больных БА с установленным диагнозом и разработанным планом лечения проверяет
правильность применения ингаляторов, спейсеров, небулайзеров, пикфлоуметров;
определяет степень тяжести астмы и соответствие терапии установленной степени
тяжести; при необходимости направляет больного БА на консультацию к
пульмонологу (аллергологу) или в стационар, или сам оказывает неотложную
помощь;
• обучает больных БА правилам
пользования ингаляторами, спейсерами, небулайзерами, пикфлоуметрами; •
контролирует выполнение плана самоведения больного БА;
• совместно с больным определяет
факторы риска (триггеры) и дает рекомендации
по их устранению; • направляет
больных БА на консультацию к пульмонологу (аллергологу) в среднем
1 р. в 3 мес. для решения
вопросов тактики и стратегии ведения. Второй уровень помощи больным БА -
специалист по бронхиальной астме —
пульмонолог (аллерголог)
поликлиники (астма-кабинета), прошедший
специализацию по БА: •
консультирует вновь выявленных больных БА, больных, у которых диагноз БА
требует подтверждения, и больных
с установленным диагнозом;
• решает вопрос экспертизы;
• уточняет диагноз, используя
метод пикфлоуметрии, бронходилатационную
пробу, при необходимости
консультирует больного в консультативном центре; • разрабатывает план длительной
терапии и профилактики астмы с
использованием метода
оптимизации антиастматической терапии, план самоведения
больных БА и контролирует их
выполнение при повторных посещениях; • проверяет правильность применения
ингаляторов, спейсера, небулайзера,
пикфлоуметра и при необходимости
обучает правилам пользования;
• организует и проводит
астма-школы, индивидуальное обучение больных БА;
• совместно с больным определяет
факторы риска (триггеры) и дает рекомендации
по их устранению; • решает
вопросы стратегии и тактики ведения больных БА, при затруднении
направляет больных к специалисту
по БА консультативного центра; • сам ведет тяжелых больных БА; беременных
женщин, больных БА; подростков,
больных БА, подлежащих призыву в
армию; больных с эндогенной БА; • при необходимости сам оказывает неотложную
помощь больным БА, направляет
их в стационар;
• консультирует больных БА в
стационаре;
• разбирает клинические ситуации,
осложняющие течение астмы (синусит,
полипы носа, тяжелый ринит и
аспергиллез);
• обучает участковых врачей и
контролирует ведение ими больных;
• ведет учет больных и
анализирует заболеваемость астмой. Третий уровень помощи больным БА — специалист
по бронхиальной астме —
пульмонолог ( аллерголог)
консультативного центра, прошедший специализацию
по БА:
• консультирует больных,
направленных для уточнения диагноза; толерантных к
проводимой базисной терапии;
требующих дифференциальной диагностики;
• решает вопрос об иммунотерапии
астмы;
• проводит компьютерную
спирографию, бронходилатационную пробу,
провокационные тесты,
пикфлоуметрию;
• осуществляет аллергологическую
диагностику;
• решает вопросы экспертизы;
• проверяет правильность
применения ингаляторов, спейсеров.небулайзеров,
пикфлоуметров и при
необходимости обучает правилам пользования; • при необходимости сам оказывает
неотложную помощь больным БА,
направляет их в стационар;
• консультирует больных БА в
стационаре, в других лечебных учреждениях;
• организует и проводит
астма-школы, индивидуальное обучение больных БА;
• обучает участковых врачей,
пульмонологов (аллергологов) поликлиник
(астма-кабинетов) и контролирует
ведение ими больных БА; • участвует в организации и работе семинаров,
конференций, симпозиумов по
проблемам бронхиальной астмы; •
проводит эпидемиологические исследования по бронхиальной астме.
Таблица 1
АСТМА ЛИ ЭТО? - ВОПРОСЫ ДЛЯ
УТОЧНЕНИЯ ДИАГНОЗА БА
(Задайте больному или родителям
эти ключевые
вопросы пои подозрении на астму)
•Были ли у больного приступы или
повторяющиеся эпизоды хрипов
(высокотональные свистящие звуки
на выдохе)?
•Беспокоит ли больного кашель,
ухудшающийся в особенности ночью или при пробуждении?
•Просыпается ли больной от кашля
или затрудненного дыхания?
•Появляются ли у больного кашель
или хрипы после физической нагрузки, включая бег и другие физические
упражнения?
•Затруднено ли у больного
дыхание в определенные сезоны?
•Бывают ли у больного кашель,
хрипы или чувство сдавления в грудной клетке при вдыхании аллергенов или
раздражающих веществ?
•"Опускается" ли
простуда в грудь, требуется ли для выздоровления более 10 дней?
•Принимает ли больной какие-либо
медикаменты при появлении симптомов?
Как часто?
•Проходят ли симптомы после
приема лекарств?
Если больной отвечает
"да" на любой из вопросов, следует подозревать астму. Однако
важно помнить и о других причинах появления респираторных симптомов.
Таблица 2
КЛИНИЧЕСКИЕ СИМПТОМЫ БА И
СОПУТСТВУЮЩИЕ СОСТОЯНИЯ
Одышка
•Хрипы, особенно на выдохе
• Раздутие крыльев носа при
вдохе (особенно у детей)
•Прерывистая речь
•Возбуждение
•Острая эмфизема (использование
вспомогательной дыхательной мускулатуры, поднятые плечи, наклон туловища
вперед, нежелание лежать — положение ортопноэ)
Кашель
•Постоянный или повторяющийся
•Усиливающийся ночью или ранним
утром, нарушающий сон
Сопутствующие состояния
•Экзема
•Ринит
• Конъюнктивит
•Сенная лихорадка
Таблица 3
ДИАГНОСТИЧЕСКИЕ РАЗЛИЧИЯ БА И
ХОБ
|
Признаки
|
БА
|
ХОБ
|
|
1. Аллергия
|
нехарактерна
|
|
2. Курение
|
нехарактерно
|
характерно
|
|
3. Возраст
|
до 40 лет
|
старше 40 лет
|
|
4. Пол
|
женский
|
мужской
|
|
5. Связь с профвредностью
|
нехарактерна
|
характерна
|
|
6. Кашель
|
приступообразный
|
постоянный
|
|
7. Одышка
|
приступообразная,
|
постоянная
|
|
"свистящее" дыхание
|
|
|
8. Эозинофилия крови и мокроты
|
характерна
|
нехарактерна
|
|
9. Суточные колебания
|
|
|
|
ОФВ1 или ПСВ
|
более 15%
|
менее 10%
|
|
10. Обратимость бронхиальной
|
|
|
|
обструкции (проба с
(^-агонистом)
|
прирост более 15%
|
прирост менее 10%
|
|
11. Начало развития
заболевания
|
быстрое
|
постепенное
|
Таблица 4
КЛАССИФИКАЦИЯ БА ПО ТЯЖЕСТИ
ТЕЧЕНИЯ
|
Ступень 4.
|
Постоянные симптомы
|
|
Тяжелая
|
Частые обострения
|
|
персистирующая астма
|
Частые ночные симптомы
|
|
Физическая активность
ограничена проявлениями
|
|
бронхиальной астмы
|
|
ПСВ или ОФВ1
|
|
60% от нормы
|
|
колебания > 30%
|
|
Ступень 3.
|
Ежедневные симптомы
|
|
Средней тяжести
|
Обострения нарушают активность
и сон
|
|
персистирующая астма
|
Ночные симптомы астмы
возникают более 1 раза в неделю
|
|
Ежедневный прием р -агонистов
короткого действия
|
|
ПСВ или ОФВ1
|
|
60—80% от нормы
|
|
колебания > 30%
|
|
Ступень 2.
|
Симптомы 1 раз в неделю или
чаще, но реже 1 раза в день
|
|
Легкая
|
Обострения заболевания могут
нарушать активность и сон
|
|
персистирующая астма
|
Ночные симптомы астмы
возникают чаще 2 раз в месяц
|
|
ПСВ или ОФВ1
|
|
80% от нормы
|
|
колебания 20-30%
|
|
Ступень 1.
|
Симптомы реже 1 раза в неделю
|
|
Интермиттирующая
|
Короткие обострения
заболевания (от нескольких часов
|
|
астма
|
до нескольких дней)
|
|
Ночные симптомы 2 раза в месяц
или реже
|
|
Отсутствие симптомов и
нормальная функция легких между
|
|
обострениями
|
|
ПСВ или ОФВ1
|
|
80% от нормы
|
|
колебания < 20%
|
Таблица 5
СТЕПЕНЬ ТЯЖЕСТИ ОБОСТРЕНИЯ
АСТМЫ*
|
Легкая
|
Среднетяжелая
|
Тяжелая
|
Угроза
|
|
|
|
|
остановки дыхания
|
|
1 Затруднение дыхания
|
Ходят
|
Разговаривают,
|
Без движения,
|
|
|
|
дети тихо всхлипывают,
|
дети перестают ходить
|
|
|
|
с трудом едят
|
|
|
|
Могут лежать
|
Предпочитают сидеть
|
Двигаются с трудом
|
|
|
2 Разговор
|
Предложения
|
Фразы
|
Слова
|
|
|
3 Сфера сознания
|
Может быть возбуждена
|
Обычно возбуждена
|
Обычно возбуждена
|
Спутанность сознания
|
|
4 Частота дыхания
|
Повышена, до 24/мин
|
Повышена, до ЗО/мин
|
Чаще ЗО/мин
|
|
|
5 Участие
|
Обычно нет
|
Обычно да
|
Обычно да
|
Парадоксальные
|
|
вспомогательной
|
|
|
|
торакоабдоминальные
|
|
мускулатуры в акте
|
|
|
|
движения
|
|
дыхания и втяжение
|
|
|
|
|
|
яремной ямки
|
|
|
|
|
|
6 Свистящее дыхание
|
Умеренное, обычно
|
Громкое
|
Обычно громкое
|
Отсутствие свистов
|
|
в конце выдоха
|
|
|
|
|
7 Пульс/мин
|
<100
|
100-120
|
>120
|
Брад и кард ия
|
|
8 Парадоксальный пульс
|
Отсутствует
|
Может быть
|
Часто бывает
|
Отсутствие говорит о
|
|
|
|
|
мышечном утомлении
|
|
9 Пикфлоуметрия (ПСВ) после
приема бронхо-
|
> 80
|
60-80
|
<60 или < 100 л/м и и
|
|
|
дилататора (% от нормы
|
|
|
или 01 вет длится
|
|
|
или % от лучших значении
|
|
|
^2 часов
|
|
|
у больного)
|
|
|
|
|
|
10 Sa0„%
|
>95%
|
91-95%
|
<90%
|
|
|
(насыщение крови 0,
|
|
|
|
|
|
на воздухе)
|
|
|
|
|
Таблица 6
ДОЛЖНЫЕ ВЕЛИЧИНЫ ПСВ (Л/МИН)*
Для мужчин
|
рост,
|
|
ВОЗРАСТ
|
, лет
|
|
|
|
|
|
|
|
|
|
|
|
|
|
|
см
|
|
|
|
|
|
|
|
|
|
|
|
|
|
|
|
|
|
5
|
8 11
|
15
|
20
|
25
|
30
|
35
|
40
|
45
|
50
|
55
|
60
|
65
|
70
|
75 80
|
85
|
|
100
|
24
|
24 24
|
|
|
|
|
|
|
|
|
|
|
|
|
|
|
|
105
|
51
|
51 51
|
|
|
|
|
|
|
|
|
|
|
|
|
|
|
|
110
|
77
|
77 77
|
|
|
|
|
|
|
|
|
|
|
|
|
|
|
|
115
|
104
|
104 104
|
|
|
|
|
|
|
|
|
|
|
|
|
|
|
|
120
|
130
|
130 130
|
|
|
|
|
|
|
|
|
|
|
|
|
|
|
|
125
|
156
|
156 156
|
|
|
|
|
|
|
|
|
|
|
|
|
|
|
|
130
|
183
|
183 183
|
|
|
|
|
|
|
|
|
|
|
|
|
|
|
|
135
|
209
|
209 209
|
|
|
|
|
|
|
|
|
|
|
|
|
|
|
|
140
|
236
|
236 236
|
414
|
456
|
481
|
494
|
499
|
497
|
491
|
480
|
467
|
452
|
436
|
418
|
400 381
|
362
|
|
145
|
262
|
262 262
|
423
|
466
|
491
|
504
|
509
|
508
|
501
|
491
|
477
|
462
|
445
|
427
|
408 389
|
370
|
|
150
|
289
|
280 260
|
432
|
475
|
501
|
514
|
519
|
518
|
511
|
500
|
487
|
471
|
454
|
436
|
417 397
|
378
|
|
155
|
315
|
315 315
|
440
|
484
|
510
|
524
|
529
|
527
|
520
|
510
|
496
|
480
|
463
|
444
|
425 405
|
385
|
|
160
|
342
|
342 342
|
448
|
492
|
519
|
533
|
536
|
536
|
530
|
519
|
505
|
489
|
471
|
452
|
432 412
|
392
|
|
165
|
368
|
368 368
|
456
|
500
|
527
|
542
|
547
|
545
|
538
|
527
|
513
|
497
|
479
|
460
|
440 419
|
399
|
|
170
|
394
|
394 394
|
463
|
508
|
536
|
550
|
555
|
554
|
546
|
535
|
521
|
504
|
486
|
467
|
447 426
|
406
|
|
175
|
421
|
421 421
|
469
|
515
|
543
|
558
|
563
|
561
|
554
|
543
|
528
|
512
|
493
|
474
|
453 432
|
411
|
|
180
|
|
|
476
|
522
|
551
|
566
|
571
|
569
|
562
|
550
|
536
|
519
|
500
|
480
|
459 438
|
417
|
|
|
482
|
529
|
558
|
573
|
578
|
576
|
569
|
557
|
543
|
525
|
506
|
486
|
465 444
|
422
|
|
190
|
|
|
488
|
536
|
564
|
580
|
585
|
583
|
576
|
564
|
549
|
532
|
513
|
492
|
471 450
|
428
|
Для женщин
|
рост,
|
ВОЗРАСТ, лет
|
|
|
|
|
|
|
|
|
|
|
|
|
|
|
|
см
|
|
|
|
|
|
|
|
|
|
|
|
|
|
|
|
|
5 8 11
|
15
|
20
|
25
|
30
|
35
|
40
|
45
|
50
|
55
|
60
|
65
|
70
|
75 80
|
85
|
|
100
|
39 39 39
|
|
|
|
|
|
|
|
|
|
|
|
|
|
|
|
105
|
65 65 65
|
|
|
|
|
|
|
|
|
|
|
|
|
|
|
|
110
|
92 92 92
|
|
|
|
|
|
|
|
|
|
|
|
|
|
|
|
115
|
118 118 118
|
|
|
|
|
|
|
|
|
|
|
|
|
|
|
|
120
|
145 145 145
|
|
|
|
|
|
|
|
|
|
|
|
|
|
|
|
125
|
171 171 171
|
|
|
|
|
|
|
|
|
|
|
|
|
|
|
|
130
|
197 197 197
|
|
|
|
|
|
|
|
|
|
|
|
|
|
|
|
135
|
224 224 224
|
|
|
|
|
|
|
|
|
|
|
|
|
|
|
|
140
|
250 225 250
|
348
|
369
|
380
|
384
|
383
|
379
|
371
|
362
|
352
|
340
|
328
|
316
|
302 2S9
|
276
|
|
145
|
276 276 276
|
355
|
376
|
387
|
391
|
390
|
385
|
378
|
369
|
358
|
347
|
334
|
321
|
308 294
|
281
|
|
150
|
303 303 303
|
360
|
382
|
393
|
397
|
396
|
391
|
384
|
375
|
364
|
352
|
340
|
327
|
313 300
|
286
|
|
155
|
329 329 329
|
366
|
388
|
399
|
403
|
402
|
397
|
390
|
381
|
370
|
358
|
345
|
332
|
318 304
|
290
|
|
160
|
356 356 356
|
371
|
393
|
405
|
409
|
408
|
403
|
396
|
386
|
375
|
363
|
350
|
337
|
323 309
|
295
|
|
165
|
382 3S2 382
|
376
|
398
|
410
|
414
|
413
|
408
|
401
|
391
|
380
|
368
|
355
|
341
|
327 313
|
299
|
|
170
|
408 408 408
|
381
|
403
|
415
|
419
|
418
|
413
|
406
|
396
|
385
|
372
|
359
|
346
|
331 317
|
303
|
|
175
|
435 435 435
|
385
|
408
|
420
|
424
|
423
|
418
|
411
|
401
|
389
|
377
|
364
|
350
|
335 321
|
307
|
|
180
|
|
390
|
413
|
425
|
429
|
428
|
423
|
415
|
405
|
394
|
381
|
368
|
354
|
339 325
|
310
|
|
185
|
|
394
|
417
|
429
|
433
|
432
|
427
|
419
|
409
|
398
|
385
|
372
|
358
|
343 328
|
314
|
|
190
|
|
398
|
421
|
433
|
438
|
436
|
432
|
424
|
414
|
402
|
389
|
375
|
361
|
347 332
|
317
|
*LIN VALUES TAKEN FROM STUDIES:
For Children: Godfrey et al. Brit. J. Dis. Chest. 64, 15 (1970) For Adults: 1.
Gregg, A. J. Nunn, BMJ 1969; 298; 1068-70 LLN is the lover 90% confidence level
Таблица 7
ФОРМУЛЯР ЛЕКАРСТВЕННЫХ СРЕДСТВ
(ЛС), РЕКОМЕНДОВАННЫХ К ИСПОЛЬЗОВАНИЮ ПРИ БРОНХИАЛЬНОЙ АСТМЕ,
ОТПУСКАЕМЫХ ПО БЕСПЛАТНЫМ И ЛЬГОТНЫМ РЕЦЕПТАМ
|
Фармако-
логическая
группа
|
Наименование ЛС и форма выпуска
|
Количество
доэ
на прием
|
Количество
доз
в сутки
|
Максимальный
месячный курс
в разовых дозах
|
|
|
|
|
Комментарии
|
|
Ступень бронх
|
иальной астмы
|
|
по использованию
|
|
—
|
|
|
|
препаратов
|
|
|
|
(с учетом упак.)
|
1
|
11
|
III
|
IV
|
|
|
Базисная терам
|
чя (направленная на про
|
филактику при
|
ступав)
|
|
|
|
|
|
|
|
Противо-
|
Интал (кромогликат
|
1 -2
|
4-8
|
240
|
Показан
|
Показан
|
Не показан
|
Не показан
|
Порошковая (1)орма интала
|
|
воспалительная
|
натрия), капс. 20 мг
|
|
|
|
эпизодически
|
постоянно
|
|
|
используется в случае
|
|
негор.мональная
|
|
|
|
|
|
|
|
|
отсутствия симптомов
|
|
ингаляционная
|
|
|
|
|
|
|
|
|
раздражения дыхательных
|
|
терапия
|
|
|
|
|
|
|
|
|
путей частицами понюшка при
|
|
|
|
|
|
|
|
|
|
его вдыхании и при
|
|
|
|
|
|
|
|
|
|
непереносимости аэрозольной
|
|
|
|
|
|
|
|
|
|
(1)ормы кромогликата натрия
|
|
Интал., фл. аэр.
|
1-2
|
4-S
|
224
|
Показан
|
Показан
|
Не показан
|
Не показан
|
|
|
1 мг ч дозе
|
|
|
|
эпизодичсски
|
постоянно
|
|
|
|
|
Кромоген
|
1-2
|
4-S
|
224
|
Показан
|
Показан
|
Не показан
|
Нс показан
|
Более низкая цена по
|
|
(кромогликат натрия),
|
|
|
|
эпизодически
|
постоянно
|
|
|
сравнению с инталом и
|
|
фл. аэр. 5 мг в дозе
|
|
|
|
|
|
|
|
тайледом
|
|
Тайлед (недокромил
|
2
|
4
|
112
|
Показан
|
Показан
|
Не показан
|
Нс показан
|
Э(1х1)ективнее кромогликата
|
|
натрия)
|
|
|
|
эпизодически
|
постоянно
|
|
|
натрия и 4-10 раз. Особенно
|
|
|
|
|
|
|
|
|
|
э(1х1)ективсн при выраженном
|
|
|
|
|
|
|
|
|
|
кашлевом синдроме. Дорог.
|
|
|
|
|
|
|
|
|
|
Планируется к включению в
|
|
|
|
|
|
|
|
|
|
перечень. Выписка рецептов
|
|
|
|
|
|
|
|
|
|
только после выхода
|
|
|
|
|
|
|
|
|
|
дополнительной информации
|
|
|
|
|
|
|
|
|
|
о включении в перечень
|
|
Противовоспа-
|
Дитэк (фенотерол 50
|
1-2
|
4-8
|
200
|
Показан
|
Не показан
|
Нс показан
|
Удобен в применении из-за
|
|
лительная не-
|
мкг, кромогликат
|
|
|
|
эпизодически
|
постоянно
|
|
|
сочетанного действия.
|
|
гормональная
|
натрия 1 мг),
|
|
|
|
|
|
|
|
Показан перед ожидаемым
|
|
терапия, соче-
|
фл. аэр.
|
|
|
|
|
|
|
|
контактом с триггером
|
|
танная с брон-
|
|
|
|
|
|
|
|
|
|
|
хорасширяюшей
|
|
|
|
|
|
|
|
|
|
|
терапией
|
|
|
|
|
|
|
|
|
|
|
Интал плюс
|
1-2
|
4-S
|
224
|
Показан
|
Показан
|
Не показан
|
Не показан
|
Удобен в применении из-за
|
|
(сальбутамол 100 мкг.
|
|
|
|
эпизодичсски
|
постоянно
|
|
|
сочетанного действия.
|
|
кромогликат натрия
|
|
|
|
|
|
|
|
Показан перед ожидаемым
|
|
1 мг), фл. аэр.
|
|
|
|
|
|
|
|
контактом с триггером
|
Продолжение табл. 7
|
Фармакологическая
|
Наименование ЛС и форма
выпуска
|
Количество Д01
|
Количество доз
|
Максимальный месячный курс
|
|
Ступень бронх
|
нальной астмы
|
|
Комментарии по использованию
|
|
группа
|
|
на прием
|
в сутки
|
в разовых дозах
|
|
|
|
|
препаратов
|
|
|
|
|
(с учетом упак.)
|
|
|
|
|
|
|
|
|
|
|
1
|
11
|
III
|
IV
|
|
|
Протипопо-
|
Ачьдецин
|
2 4
|
4-12
|
400
|
He
|
Показан
|
Не показан
|
Не показан
|
Из-за ма1снькои разовои
|
|
Ln^nilTCIbH.lil
|
(бектомста ioii)
|
|
|
|
показан
|
|
из-за
|
из-за
|
дозы предпочтитеэен при
|
|
гормональная
|
(1)1 aJp
|
|
|
|
|
|
маченькои
|
маленьком
|
легкой степени тяжести БА
|
|
ингаляционная
|
50 мкг в дозе
|
|
|
|
|
|
разопон
|
разовой
|
Альдецин имеет
|
|
терапия -
|
|
|
|
|
|
|
дозы
|
дозы
|
дополнительную
|
|
препараты
|
|
|
|
|
|
|
|
|
насадку для эндоназального
|
|
перного
|
|
|
|
|
|
|
|
|
применения
|
|
ряда ныбора
|
|
|
|
|
|
|
|
|
|
|
при БА
|
Бсктаюн
|
1-4
|
2-12
|
400
|
He
|
Показан
|
Показан
|
|
Более низкая цена по
|
|
11 III ступенеи
|
(беклометазон)
|
|
|
|
показан
|
|
|
Показан
|
сравнению с аналогичными
|
|
фт аэр 100
|
|
|
|
|
|
|
|
препаратами
|
|
мкг в дозе
|
|
|
|
|
|
|
|
|
|
Бскпазон
|
1-4
|
1-8
|
200
|
Не
|
Показан
|
Показан
|
|
Более низкая цена по
|
|
(беклометазон),
|
|
|
|
показан
|
|
|
Показан
|
сравнению с аналогичными
|
|
(1)1 аэр 250
|
|
|
|
|
|
|
|
препаратами Удобен из-за
|
|
мкг в дозе
|
|
|
|
|
|
|
|
высокой разовои дозы при
|
|
|
|
|
|
|
|
|
|
среднетяжедои и тяжелой БА
|
|
Бекотид
|
2-4
|
4-12
|
400
|
He
|
Показан
|
Не показан
|
|
Из-за маленькой разовой
|
|
(беклометазон),
|
|
|
|
показан
|
|
из-за
|
Нс показан
|
дозы предпочтителен при
|
|
(1)1 аэр 50 мкг
|
|
|
|
|
|
маленькой
|
из-за
|
легкой степени тяжести БА
|
|
в дозе
|
|
|
|
|
|
разовой
|
маленькой
|
|
|
|
|
|
|
|
|
дозы
|
разовои
|
|
|
|
|
|
|
|
|
|
дозы
|
|
|
Бенакорт
|
1-4
|
1-S
|
200
|
Нс
|
Показан
|
Показан
|
|
Предпочтителен при
|
|
(будесонид),
|
|
|
|
показан
|
|
|
|
среднетяжелой БА, при
|
|
контеинер
|
|
|
|
|
|
|
Показан
|
непереносимости аэрозольных
|
|
пор
|
|
|
|
|
|
|
|
форм Планируется к
|
|
200 мкг в дозе
|
|
|
|
|
|
|
|
включению в перечень
|
|
|
|
|
|
|
|
|
|
Выписка возможна только
|
|
|
|
|
|
|
|
|
|
после дополнительной
|
|
|
|
|
|
|
|
|
|
информации о включении в
|
|
|
|
|
|
|
|
|
|
перечень
|
|
|
1-4
|
1-8
|
240
|
Нс
|
Показан
|
Показан
|
|
Предпочтителен при
|
|
Ингакорт
|
|
|
|
показан
|
|
|
|
среднетяжелой
|
|
(флунизолид),
|
|
|
|
|
|
|
Показан
|
и тяжелой БА Дорог
|
|
фл аэр
|
|
|
|
|
|
|
|
|
|
250 мкг в дозе
|
|
|
|
|
|
|
|
|
|
Фармако-
|
Наименование ЛС
|
Количество
|
Количество
|
Максимальный
|
|
|
|
|
Комментарии
|
|
логическая
|
и форма выпуска
|
дод
|
доз
|
месячный курс
|
|
Ступень бровхиал
|
ьной астмы
|
|
по использованию
|
|
группа
|
|
на прием
|
в сутки
|
в разовых дозах
|
|
|
|
|
препаратов
|
|
|
|
|
(с учетом упак.^
|
|
|
|
|
|
|
|
|
|
|
1
|
11
|
III
|
IV
|
|
|
Противо-
|
Преднизолон,
|
0.5-6
|
0,5-8
|
200
|
Показан при
|
Показан при
|
Показан при
|
Показан
|
Наиболее часто
|
|
воспалительная
|
таб. 5 мг
|
|
|
|
обострении
|
обострении
|
обострении
|
|
назначаемый препарат
|
|
гормональная
|
|
|
|
|
|
|
|
|
|
|
системная
|
Метипрсд
|
0,5-8
|
0,5-10
|
200
|
Показан при
|
Показан при
|
Показан при
|
Показан
|
Наименьшее количество
|
|
терапия
|
(метил преднизолон),
|
|
|
|
обострении
|
обострении
|
обострении
|
|
побочных эффектов по
|
|
(короткие
|
таб. 4 мг
|
|
|
|
|
|
|
|
сравнению с
|
|
курсы при
|
|
|
|
|
|
|
|
|
аналогичными
|
|
необходимости
|
|
|
|
|
|
|
|
|
препаратами
|
|
проводятся
|
Берликорт
|
0,5-8
|
0,5-10
|
200
|
Показан при
|
Показан при
|
Показан при
|
Показан
|
|
|
на любой
|
(триамциналон),
|
|
|
|
обострении
|
обострении
|
обострении
|
|
|
|
ступени БА)
|
таб. 4 мг
|
|
|
|
|
|
|
|
|
|
Целестон
|
1-10
|
1-12
|
480
|
Показан при
|
Показан при
|
Показан при
|
Показан
|
|
|
(бетаметазон),
|
|
|
|
обострении
|
обострении
|
обострении
|
|
Обладает выраженным
|
|
таб. 0,5 мг
|
|
|
|
|
|
|
|
противовоспалительным
|
|
|
|
|
|
|
|
|
|
эффектом
|
|
Бронхо-
|
Сальметр
|
1-4
|
2-8
|
240
|
Не показан
|
Показан
|
Показан
|
Показан
|
|
|
расширяющая
|
(сальметерол),
|
|
|
|
|
|
|
|
Обеспечивает длительный
|
|
терапия
|
фл. аэр. 25 мкг
|
|
|
|
|
|
|
|
бронхорасширяющий
|
|
пролонги-
|
в дозе
|
|
|
|
|
|
|
|
эффект в течение 12 часов
|
|
рованными
|
|
|
|
|
|
|
|
|
|
|
бронходи-
|
Спиропент
|
1
|
2-3
|
100
|
Не показан
|
Может быть
|
Показан
|
Показан
|
|
|
лататорами
|
(клен буте рол),
|
|
|
|
|
использован на
|
|
|
Обеспечивает длительный
|
|
таб. 0,02 мг
|
|
|
|
|
период
|
|
|
бронхорасширяющий
|
|
|
|
|
|
|
обострения
|
|
|
эффект в течение 12 часов
|
|
Сальтос
|
1
|
1-2
|
60
|
Не показан
|
Может быть
|
Показан
|
Показан
|
|
|
(сальбутпмола
|
|
|
|
|
использован на
|
|
|
Обеспечивает длительный
|
|
гемисукцинат),
|
|
|
|
|
период
|
|
|
бронхорасширяющий
|
|
таб. 7,2 мг
|
|
|
|
|
обострения
|
|
|
эффект в течение 24 часов.
|
|
|
|
|
|
|
|
|
|
Пик концентрации через 9
|
|
|
|
|
|
|
|
|
|
часов. Эффективен при
|
|
|
|
|
|
|
|
|
|
ночной астме
|
|
Теопэк
|
0,5-1
|
2
|
60
|
Нс показан
|
Показан при
|
Показан
|
Показан
|
|
|
(теофиллин,
|
|
|
|
|
обострениях
|
|
|
Обеспечивает длительный
|
|
пролонгированная
|
|
|
|
|
|
|
|
бронхорасширяющий
|
|
форма ),
|
|
таб. 0,3
|
|
|
|
|
|
|
|
часов. Предпочтителен
|
|
|
|
|
|
|
|
|
|
при ночной астме
|
Продолжение табл. 7
|
Фармакологическая
|
Наименование ЛС и форма выпуска
|
Количество доз
|
Количество доэ
|
Максимальный месячный курс
|
С
|
тулень бронхиа
|
альной астмы
|
|
Комментарии по использованию
|
|
группа
|
|
на прием
|
в сутки
|
i разовых дозах
|
|
|
|
|
препаратов
|
|
|
|
|
|
|
11
|
III
|
IV
|
|
|
Симптоматиче
|
ское лечение (бронходил
|
ататоры для
|
быстрого купл
|
1рования симптъ
|
чмов)
|
|
|
|
|
|
Бронхо-
|
Беротск
|
1-2
|
1-8
|
300
|
Для
|
Показан
|
Показан
|
Показан
|
Обладает меньшей
|
|
расширяющая
|
(фенотерол),
|
|
|
|
купирования
|
|
|
|
селективностью,
|
|
терапия
|
фл. аэр. 100 мкг
|
|
|
|
приступов
|
|
|
|
чем вентолин или саламол.
|
|
л^я быстрого
|
в дозе
|
|
|
|
|
|
|
|
По сравнению с беротеком
|
|
купирования
|
|
|
|
|
|
|
|
|
(200 мкг) реже дает
|
|
приступа
|
|
|
|
|
|
|
|
|
побочные эффекты
|
|
(ингаляционные
|
|
|
|
|
|
|
|
|
|
|
Р -агонисты
|
Беротек
|
1
|
1-4
|
150
|
Для
|
Показан
|
Показан
|
Показан
|
Дорог
|
|
короткого
|
(фенотерол),
|
|
|
|
купирования
|
|
|
|
|
|
действия)
|
фл. аэр. 200 мкг
|
|
|
|
приступов
|
|
|
|
|
|
в дозе
|
|
|
|
|
|
|
|
|
|
Вентолин
|
1-2
|
1-8
|
200
|
Для
|
Показан
|
Показан
|
Показан
|
Предпочтителен
|
|
(сальбутамол),
|
|
|
|
купирования
|
|
|
|
при сопутствующей
|
|
фл. аэр. 100 мкг
|
|
|
|
приступов
|
|
|
|
сердечно-сосудистой
|
|
в дозе
|
|
|
|
|
|
|
|
патологии.
|
|
|
|
|
|
|
|
|
|
Имеет меньше
|
|
|
|
|
|
|
|
|
|
побочных эффектов в
|
|
|
|
|
|
|
|
|
|
сравнении с беротеком.
|
|
|
|
|
|
|
|
|
|
Обладает большей
|
|
|
|
|
|
|
|
|
|
селективностью
|
|
Сал а мол
|
1-2
|
1-8
|
200
|
Для
|
Показан
|
Показан
|
Показан
|
Предпочтителен при
|
|
(сальбутамол),
|
|
|
|
купирования
|
|
|
|
сопутствующей сердечно-
|
|
фл. аэр. 100 мкг
|
|
|
|
приступов
|
|
|
|
сосудистой патологии.
|
|
в дозе
|
|
|
|
|
|
|
|
Имеет меньше
|
|
|
|
|
|
|
|
|
|
побочных эффектов
|
|
|
|
|
|
|
|
|
|
в сравнении с беротеком.
|
|
|
|
|
|
|
|
|
|
Обладает большей
|
|
|
|
|
|
|
|
|
|
селективностью
|
|
Сальбутамол,
|
i
|
3
|
90
|
Может
|
Может
|
Может
|
Может
|
Назначается
|
|
таб. 2 мг
|
|
|
|
быть
|
быть
|
быть
|
быть
|
эпизодически
|
|
|
|
|
|
исполь-
|
исполь-
|
исполь-
|
исполь-
|
для купирования приступов,
|
|
|
|
|
|
зован
|
зован
|
зован
|
зован
|
когда невозможно
|
|
|
|
|
|
эпизо-
|
эпизо-
|
эпизо-
|
эпизо-
|
использование
|
|
|
|
|
|
дически
|
дически
|
дически
|
дичсски
|
ингаляторов
|
Продолжение табл. 7
|
Фармако-
|
Наименование ЛС
|
Количество
|
Количество
|
Максимальный
|
|
|
|
|
Комментарии
|
|
логическая
|
и форма выпуска
|
доз
|
доз
|
месячный курс
|
|
Ступень бронхиа.
|
льной астмы
|
|
по использованию
|
|
группа
|
|
на прием
|
в сутки
|
в разовых дозах
|
|
|
|
|
препаратов
|
|
|
|
|
(с учетом упак.)
|
|
|
|
|
|
|
|
|
|
|
|
|
|
|
|
|
|
|
|
|
1
|
11
|
III
|
IV
|
|
|
Бронхо-
|
Атровент
|
1-3
|
3-9
|
300
|
Показан
|
Показан
|
Показан
|
Показан
|
Для предупреждения БА
|
|
рдеширяющая
|
(ипратропиум
|
|
|
|
|
|
|
|
физического усилия и ночных
|
|
терапия ляп
|
бромид),
|
|
|
|
|
|
|
|
приступов Используется
|
|
предупреждения
|
фл аэр 20 мкг
|
|
|
|
|
|
|
|
для усиления терапии
|
|
и купирования
|
в дозе
|
|
|
|
|
|
|
|
р^-агонистами Препарат
|
|
приступа
|
|
|
|
|
|
|
|
|
выбора у пожилых больных с
|
|
(холинолитики
|
|
|
|
|
|
|
|
|
сопутствующей сердечно-
|
|
или их сочетание
|
|
|
|
|
|
|
|
|
сосудистой патологией
|
|
с р,-агонистами)
|
|
|
|
|
|
|
|
|
Бронхорасширяющии эффект
|
|
|
|
|
|
|
|
|
|
начинает проявляться через
|
|
|
|
|
|
|
|
|
|
40-60 минут после ингаляций и
|
|
|
|
|
|
|
|
|
|
сохраняется до 8 часов
|
|
Беродуал
|
1-3
|
3-9
|
300
|
Показан
|
Показан
|
Показан
|
Показан
|
Для предупреждения и
|
|
(фенотерол 50 мкг,
|
|
|
|
|
|
|
|
купирования приступов БА
|
|
ипратропиум
|
|
|
|
|
|
|
|
Бронхорасширяющии эффект
|
|
бромид 20 мкг),
|
|
|
|
|
|
|
|
наступает быстрее, чем у
|
|
фл аэр
|
|
|
|
|
|
|
|
атровента, и сохраняется
|
|
|
|
|
|
|
|
|
|
дольше, чем после беротека
|
|
Бронхо-
|
Эуфиллин
|
i
|
1
|
20
|
Эпизо-
|
Эпизо-
|
Эпизо-
|
Эпизо-
|
В амбулаторных условиях не
|
|
расширяющая
|
(теофиллин),
|
|
|
|
дически
|
дически
|
дичсски
|
дически
|
должен использоваться В
|
|
терапия для
|
амп 10 мл
|
|
|
|
показан
|
показан
|
показан
|
показан
|
качестве исключения может
|
|
быстрого
|
2,4% р-ра
|
|
|
|
при
|
при
|
при
|
при
|
назначаться на короткий период
|
|
купирования
|
|
|
|
|
обострении
|
обострении
|
обострении
|
обострении
|
под врачебным наблюдением
|
|
приступа
|
|
|
|
|
|
|
|
|
Применение
|
|
(теофиллины)
|
|
|
|
|
|
|
|
|
недопустимо в случае приема
|
|
|
|
|
|
|
|
|
|
пролонгированного теофиллина
|
|
Эуфиллин,
|
1
|
2-4
|
120
|
Может
|
Может
|
Может
|
Может
|
Назначается эпизодически для
|
|
таб 0,15
|
|
|
|
быть
|
быть
|
быть
|
быть
|
купирования приступа при
|
|
|
|
|
|
исполь-
|
исполь-
|
исполь-
|
исполь-
|
передозировке р,-агонистов
|
|
|
|
|
|
зован
|
зован
|
зован
|
зован
|
Применение недопустимо в
|
|
|
|
|
|
|
|
|
|
случае приема пролонгиро-
|
|
|
|
|
|
|
|
|
|
ванного теофиллина
|
|
Теофедрин
|
i
|
3
|
90
|
Может
|
Может
|
|
|
Применение должно быть
|
|
(бел амидопирина),
|
|
|
|
быть
|
быть
|
|
|
сведено к минимуму из-за
|
|
таб
|
|
|
|
использован
|
использован
|
|
|
значительного числа побочных
|
|
|
|
|
|
при
|
при
|
|
|
эффектов и развития
|
|
|
|
|
|
обострении
|
обострении
|
|
|
зависимости Применение
|
|
|
|
|
|
|
|
|
|
недопустимо в случае приема
|
|
|
|
|
|
|
|
|
|
пролонгированного теофиллина
|
|
|
|
|
|
|
|
|
|
и передозировки р-агонистов
|
Таблица 8 СХЕМА ДЛИТЕЛЬНОЙ СТУПЕНЧАТОЙ
ТЕРАПИИ БРОНХИАЛЬНОЙ АСТМЫ
|
Ступени
|
Базисные (основные) препара
ты, профилактические
|
Препараты короткого действия,
|
|
противовоспалительные
|
пролонгированные бронходилататоры
|
бронходилататоры, быстро облегчающие
состояние и купирующие приступ
|
|
4. Тяжелая
|
Беклазон 400-500 мкг 2-4
р./сут. или
|
Серевент 50 мкг 2 р./сут.,
|
Саламол, вентолин или сальбен,
|
|
персистирующая
|
ингакорт 500-750 мкг 2-3
р./сут., или бенакорт
|
сальметр 50-100 мкг 2 р./сут.,
|
или беротек 200 мкг до 3-4
р./сут.,
|
|
астма
|
400-600 мкг 2-3 р./сут., или
|
спиропент 0,02 мг 2-3 р./сут.,
|
или беродуал 2 ингал. до 3-4
р./сут.,
|
|
фликсотид 250-500 мкг 2-3
р./сут.
|
сальтос 7,2 мг 2р./сут.,
|
или сальбутамол 2 мг внутрь до
3 р./
|
|
Суточная доза ингал. стероидов
|
теопэк 150-200 мг 2 р./сут.
|
сут.
|
|
800-2000 мкг
|
Атровент 40-60 мкг 3 р./сут.
|
|
|
Системные стероиды: постоянно
при
|
|
|
гормонозависимости и/или
короткими
|
бронходилататоров
|
|
|
курсами 0,5-1 мг/кг массы тела
/сут.
|
|
|
|
1-2 недели
|
|
|
|
3. Средней тяжести
|
Беклазон 400-500 мкг 2-4
р./сут. или
|
Серевент 50 мкг 2 р./сут.,
|
|
|
персистирующая
|
ингакорт 500 мкг 2-4 р./сут.,
или бенакорт 400-
|
сальметр 50-100 мкг 2 р./сут.,
|
Саламол, вентолин или сальбен,
|
|
астма
|
600 мкг 2-3 р./сут., или
|
спиропент 0,02 мг 2 р./сут.,
|
или беротек 100-200 мкг, или
|
|
фликсотид 250-375 мкг 2-3
р./сут.
|
сальтос 7,2 мг 1-2 р./сут.,
|
беродуал 1-2 ингал. до 3-4
р./сут., или
|
|
Системные стероиды: короткие
курсы при
|
теопэк 150-200 мг 2 р./сут.
|
сальбутамол 2 мг внутрь
|
|
обострении
|
Атровент 40 мкг 3 р./сут.
|
до 3 р./сут.
|
|
|
Монотерапия или сочетание
разных
|
|
|
|
групп бронходилататоров
|
|
|
2. Легкая
|
Беклазон или бекотид
(альдецин)
|
Серевент 25 мкг 2 р./сут.,
|
|
|
персистирующая
|
100-200 мкг 2-4 р./сут.,
|
сальметр 50-75 мкг 2 р./сут.,
|
Саламол, вентолин или сальбен,
|
|
астма
|
или ингакорт 250 мкг 1-3
р./сут., или бенакорт
|
сальтос 7,2 мг 1 р. вечером
|
или беротек 100-200 мкг, или
|
|
200 мкг 1-3 р./сут., или
|
при ночных симптомах,
|
беродуал 1-2 ингал. до 3-4
р./сут., или
|
|
фликсотид 125-250 мкг 1-2
р/сут.
|
теопэк 150-200 мг 2 р./сут.
|
сальбутамол 2 мг внутрь
|
|
Негормональные ингал.
препараты выбора:
|
Атровент 20 мкг 3 р./сут.
|
до 3 р./сут.
|
|
кромоген 5-10 мг 4 р./сут. или
|
Монотерапия или сочетание
|
|
|
интал (пор.) 20 мг 4р./сут.,
или
|
разных групп бронходилататоров
|
|
|
тайлед 4 мг 2р./сут., или
|
|
|
|
интал плюс (дитэк) 2 ингал. 4
р./сут.
|
|
|
|
Системные стероиды: короткие
курсы при
|
|
|
|
обострении
|
|
|
|
1.Интермит-
|
Длительная базисная терапия не
показана.
|
|
|
|
тирующая астма
|
Перед воздействием триггера
(аллерген,
|
|
Саламол, вентолин или сальбен,
|
|
физическая нагрузка и др.) —
|
|
или беротек, или беродуал, или
|
|
кромоген 5 мг или тайлед 4 мг,
или
|
|
сальбутамол, таб.-
|
|
интал плюс (дитэк) 1-2 ингал.
|
|
ситуационно при наличии симптомов
|
|
Системные стероиды: короткие
курсы при
|
|
БА или профилактически
|
|
обострении
|
|
|
Таблица 9 АМБУЛАТОРНОЕ ЛЕЧЕНИЕ ПРИСТУПОВ
АСТМЫ
Начальная терапия
Ингаляционные (b2-агонисты короткого действия — 2
дозы через спейсер через 20 минут в течение 1 часа или небулайзер-терапия — 1-2
мл раствора стери-неб саламола или беродуала. Повторять через
каждый час в течение трех часов, затем 3-4 раза в сутки в зависимости от
степени тяжести приступа и ответа на начальную терапию.
Больные, у которых имеется
угроза смерти от астмы, должны связаться с врачом незамедлительно после приема
начальной дозы препарата.
Ответ на начальную терапию
|
хороший
|
НЕПОЛНЫЙ
|
ПЛОХОЙ
|
|
Симптоматика
|
Выраженность
|
Симптомы не
|
|
улучшилась после
|
симптомов
|
проходят или
|
|
приема р.-агонистов и
|
уменьшилась,
|
состояние
|
|
ответ сохраняется
|
но эффект
|
ухудшается,
|
|
в течение 4 ч; ПСВ
|
от приема
|
несмотря на лечение
|
|
>80% от нормальных
|
р^-агонистов
|
р^-агонистами:
|
|
или лучших значений
|
сохраняется менее 3
|
ПСВ <60% от
|
|
ч. ПСВ 60-80%
|
нормальных или
|
|
от должных или
|
лучших значений
|
|
лучших значений
|
|
|
Можно продолжить
|
Добавьте
|
Добавьте
|
|
прием р,-агонистов
|
пероральные
|
пероральные
|
|
каждые 4-5 ч
|
кортикостероиды.
|
кортикостероиды.
|
|
в течение 1—2 дней
|
Продолжите прием
|
Немедленно
|
|
р,-агон истов.
|
повторите прием
|
|
Повторяйте через
|
р.-агонистов.
|
|
каждый час, в т.ч.
|
Повторяйте через
|
|
небулайзер-терапию
|
каждый час, в т.ч.
|
|
|
небулайзер-терапию
|
|
Проконсультируйтесь с
|
Незамедлительно
|
Немедленно
|
|
врачом для получения
|
проконсультируй-
|
обратитесь
|
|
дальнейших
|
тесь с врачом
|
в отделение
|
|
инструкций
|
для получения
|
неотложной терапии
|
|
инструкций
|
или вызовите скорую
|
|
|
помощь
|
Примечание, данную схему необходимо
использовать для составления индивидуальных планов самоведения больных БА.
Рис.9 Блок-схема метода
оптимизации антиастматической терапии.