Расчёт токов короткого замыкания

  • Вид работы:
    Курсовая работа (т)
  • Предмет:
    Физика
  • Язык:
    Русский
    ,
    Формат файла:
    MS Word
    69,07 Кб
  • Опубликовано:
    2015-06-29
Вы можете узнать стоимость помощи в написании студенческой работы.
Помощь в написании работы, которую точно примут!

Расчёт токов короткого замыкания

Оглавление

Введение

. Исходные данные для определения токов короткого замыкания и ударных токов короткого замыкания

. Расчёт токов короткого замыкания

.1Определим ток короткого замыкания в точке К-1

.2Определим ток короткого замыкания в точке К-2

.3Определим ток короткого замыкания в точке К-3

2.4Определим ток короткого замыкания в точке К-41

. Расчёт ударных токов короткого замыкания

.1Расчет ударного тока при коротком замыкании в точке К-1

.2Расчет ударного тока при коротком замыкании в точке К-2

.3Расчет ударного тока при коротком замыкании в точке К-3

.4Расчет ударного тока при коротком замыкании в точке К-4

Вывод

Библиографический список


Введение

Для электроустановок характерны четыре режима: нормальный, аварийный, послеаварийный и ремонтный, причем аварийный режим является кратковременным режимом, а остальные - продолжительными режимами. При переходе от одного режима работы системы к другому изменяется электромагнитное состояние элементов системы и нарушается баланс между механическим и электромагнитным моментами на валах генераторов и двигателей. Переходный процесс характеризуется совокупностью электромагнитных и механических изменений в системе, которые взаимно связаны и представляют собой единое целое.

Наиболее частой причиной возникновения аварийных переходных процессов является короткое замыкание.

Причины возникновения коротких замыканий:

нарушение изоляции электрооборудования;

механические повреждения элементов электрической сети;

преднамеренные короткие замыкания;

перекрытия токоведущих частей животными или птицами;

ошибки персонала подстанций при проведении переключений.

Статистика повреждений показывает, что для сетей с глухозаземленной нейтралью вероятность различных К.З. распределяется следующим образом: трехфазное - 5 %; двухфазное - 10 %; однофазное - 65 %; двухфазное на землю - 20 %. Очень часто в процессе развития аварии первоначальный вид К.З. переходит в другой вид короткого замыкания.

В зависимости от места возникновения и продолжительности повреждения его последствия могут иметь местный характер или, напротив, могут отражаться на всей системе.

Последствия коротких замыканий:

системная авария, вызванная нарушением устойчивости системы.

термическое повреждение электрооборудования, связанное с его недопустимым нагревом токами КЗ.

механическое повреждение электрооборудования, вызываемое воздействием больших электромагнитных сил между токоведущими частями.

ухудшение условий работы потребителей.

наведение при несимметричных КЗ в соседних линиях связи и сигнализации ЭДС, опасных для обслуживающего персонала.

Поэтому электрооборудование выбирается по параметрам продолжительных режимов и проверяется по параметрам кратковременных режимов, определяющим из которых является режим короткого замыкания.

Расчет токов короткого замыкания необходим:

для выбора и проверки электрооборудования по условиям короткого замыкания (КЗ);

для выбора уставок и оценки возможного действия релейной защиты и автоматики;

для определения влияния токов нулевой последовательности линий электропередачи на линии связи;

для выбора заземляющих устройств.

Короткие замыкания есть случайные события. Совокупность параметров режима короткого замыкания образует множество вероятностных параметров. Расчетные условия КЗ, т.е. наиболее тяжелые, но достаточно вероятные условия КЗ, формируются на основе опыта эксплуатации электроустановок, анализа отказов электрооборудования и последствий КЗ, использования соотношений параметров режима КЗ, вытекающих из теории переходных процессов в электроустановках. Расчетные условия КЗ определяются индивидуально для каждого элемента электроустановки.

Исходные данные для определения токов короткого замыкания и ударных токов короткого замыкания

Дана схема системы электроснабжения, приведённая в приложении 1, со следующими значениями:

Таблица 1 - Исходные данные

наименование

значение

наименование

значение

Iк(3)

9,5 кА

U1

220 кВ

U2

0,4 кВ

U3

6 кВ

Т1

5,6 МВА

Т2

5,6 МВА

Т4

160 кВА

Т3

400 кВА

Uк - Т1,Т2

7,5%

Uк - Т3,Т4

5,5%

W1 (ААБ 3х70)

2 км

W2 (СБ 3х25)

2,1 км

К числу таких допущений относятся:

отсутствие насыщения магнитных систем. При этом все схемы оказываются линейными, расчет которых значительно проще;

пренебрежение токами намагничивания трансформаторов. Единственным исключением из этого допущения является случай, когда трехстержневой трансформатор с соединением обмоток Y0/Y0 включен на напряжение нулевой последовательности;

сохранение симметрии трехфазной системы;

пренебрежение емкостными проводимостями;

приближенный учет нагрузок. В зависимости от стадии переходного процесса нагрузку приближенно характеризуют некоторым постоянным сопротивлением, обычно чисто индуктивным;

отсутствие активных сопротивлений;

все источники, участвующие в питании рассматриваемой точки К.З., работают одновременно с номинальной нагрузкой;

К.З. наступает в такой момент времени, при котором ток К.З, имеет наибольшее значение;

электродвижущие силы всех источников питания совпадают по фазе;

расчетное напряжение каждой ступени принимают на 5 % выше

номинального напряжения сети;

необходимо учитывать влияние на токи К.З. присоединенных к данной сети синхронных компенсаторов, синхронных и асинхронных электродвигателей. Влияние асинхронных электродвигателей на токи К.З. не учитывают при мощности электродвигателей до 100 кВт в единице, если электродвигатели отделены от места К.З. одной ступенью трансформации, а также при любой мощности, если они отделены от места К.З. двумя или более ступенями трансформации или если ток от них может поступать к месту К.З. только через те элементы, через которые проходит основной ток К. З. от сети и которые имеют существенное сопротивление (линии, трансформаторы и т. п.);

в электроустановках напряжением выше 1000 В следует учитывать индуктивные сопротивления электрических машин, силовых трансформаторов, реакторов, воздушных линий и кабельных линий. Активное сопротивление следует учитывать только для воздушных линий с проводами малых сечений и стальными проводами, а также для протяженных кабельных сетей малых площадей сечений с большим активным сопротивлением. 

. Расчёт токов короткого замыкания

Расчет в относительных единицах более удобен при исследовании сложных схем с несколькими ступенями напряжения.

Расчет начнем с нумерации сопротивлений с первого номера и определим сопротивления схемы замещения при выбранной базовой мощности Sб = 100 МВА.Определим сопротивление системы:

 (1)

где:  - базовый ток энергосистемы, найдём из формулы:

 (2)

 кА

сопротивление системы будет:


Определим сопротивление трансформаторов из формулы:

(3)

Сопротивление трансформаторов Т1, Т2 в относительных единицах:

 о.е.

Сопротивление трансформаторов Т3 в относительных единицах:

 о.е.

Определим сопротивление кабельной линии из формулы:

(4)

где:  - удельное сопротивление выбираем из таблице 2;

Таблица 2 - Активные и индуктивные сопротивления кабелей

Сечение жил, мм2

Индуктивное сопротивление, Ом/км, при Uном


1 кВ

6 кВ

10 кВ

25

0,0662

0,091

0,099

35

0,0637

0,087

0,095

50

0,0625

0,083

0,090

70

0,0612

0,080

0,086

95

0,0602

0,078

0,083

120

0,0602

0,076

0,081

150

0,0596

0,074

0,079

ср - среднее напряжение в месте установки данного элемента, найдём из формулы:

ср = Uном + 5% (5)

- длина линии.

Найдём среднее напряжение для места установки данного элемента :


Сопротивление кабельной линии ААБ 3х70 в относительных единицах:

 о.е.

Сопротивление кабельной линии СБ 3х25 в относительных единицах:

 о.е.

.1Определим ток короткого замыкания в точке К-1

Схема замещения для К.З. в точке К-1 будет иметь показанный на рисунке 1, далее займемся упрощением схемы замещения.

Рисунок 1 - Схема замещения для К.З. в точке К-1 и её упрощение.

Результирующее сопротивление цепи одинаковых трансформаторов найдём из формулы:

  (6)

 о.е.

Начальное значение периодической составляющей тока короткого замыкания определим по выражению:

 (7)

где:  - базовый ток, который определяется из формулы:

 (8)

 кА

И ток короткого замыкания в точке К-1будет:

 кА.

.2Определим ток короткого замыкания в точке К-2

Схема замещения для К.З. в точке К-2 будет иметь показанный на рисунке 2, далее займемся упрощением схемы замещения.

Рисунок 2 - Схема замещения для К.З. в точке К-2 и её упрощение.

Результирующее сопротивление цепи найдём из формулы:

 (9)

 о.е.

Начальное значение периодической составляющей тока короткого замыкания в точке К-2 определим по формуле 7:

 кА.

.3Определим ток короткого замыкания в точке К-3

Схема замещения для К.З. в точке К-3 будет иметь показанный на рисунке 3, далее займемся упрощением схемы замещения

Рисунок 3 - Схема замещения для К.З. в точке К-3 и её упрощение

Результирующее сопротивление цепи найдём из формулы:

 (10)

 о.е.

Начальное значение периодической составляющей тока короткого замыкания в точке К-3 определим по формуле 7:

 кА.

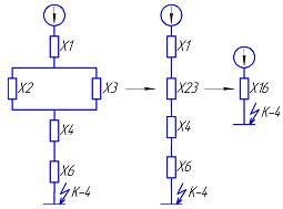
2.4Определим ток короткого замыкания в точке К-4

Схема замещения для К.З. в точке К-4 будет иметь показанный на рисунке 4, далее займемся упрощением схемы замещения.

Рисунок 4 - Схема замещения для К.З. в точке К-4 и её упрощение.

Результирующее сопротивление цепи найдём из формулы:

 (11)

 о.е.

Начальное значение периодической составляющей тока короткого замыкания определим формулы 7.

Среднее напряжение в точке К-4 найдём из формулы 5:

ср3 = 0,4 + 0,02 = 0,42 кВ

Базовый ток в точке К-4 определим из формулы 8:

 кА

Начальное значение периодической составляющей тока короткого замыкания в точке К-4 определим по формуле 5:

 кА.

ток короткое замыкание

. Расчёт ударных токов короткого замыкания

Ударный ток обычно имеет место через 0.01 с после начала короткого замыкания. Его значение определяется по формуле:

(12)

где: 𝑘у - ударный коэффициент, зависящий от постоянной времени затухания апериодической составляющей тока короткого замыкания Та.

Если расчет сопротивлений ведется без учета активных сопротивлений, то обычно принимают следующие значения ударного коэффициента:

при КЗ на шинах, питаемых непосредственно от генераторов средней и большей мощности - 1,9;

при КЗ на стороне вторичного напряжения понижающих трансформаторов мощностью 1000 кBA и менее - 1,3.

Из этого выбираем коэффициент 𝑘у для  и  𝑘у = 1,9 ,а для  𝑘у = 1,3

.1Расчет ударного тока при коротком замыкании в точке К-1

Используя формулу 10 определим ударный ток:

 кА

.2Расчет ударного тока при коротком замыкании в точке К-2

Используя формулу 10 определим ударный ток:

 кА

.3Расчет ударного тока при коротком замыкании в точке К-3

Используя формулу 10 определим ударный ток:

кА

.4Расчет ударного тока при коротком замыкании в точке К-4

Используя формулу 10 определим ударный ток:



Вывод

Выполнив задание курсового проекта, освоил методы практического определения токов короткого замыкания в разных точках цепи.

Основываясь на исходных данных по энергосистеме и подстанции, и используя методические указания и литературу, была произведена работа:

по расчёту токов короткого замыкания для четырёх точек;

по расчёту ударного тока при коротком замыкании.

Таблица 2 - Данные полученные после расчётов


К-1

К-2

К-3

К-4

12,39

8,04

5,66

8,49

33,29

21,6

15,21

15,61



Библиографический список

Идельчик, В.И. Электрические системы и сети: Учебник для вузов / В.И. Идельчик.- М.: Энергоатомиздат, 1989.

Куликов, Ю.А. Переходные процессы в электрических системах / Ю.А. Куликов. - М. Мир, 2003.

Неклепаев, Б.Н. Электрическая часть электростанций и подстанций: учебное пособие для вузов/ Б.Н. Неклепаев, И.П. Крючков. - М.: Энергоатомиздат, 1989.

Разыграев, С.Н. Переходные процессы в системах электроснабжения: методические указания по выполнению курсовой работы / С.Н. Разыграев, Д.П. Химичева; под ред. А.В. Прохорова. - Челябинск: Издательский центр ЮУрГУ, 2014. - 40 с.

Ульянов, С.А. Электромагнитные переходные процессы в электрических системах / С.А. Ульянов. - М.: Энергия, 1970.

Федоров, А.А. Справочник по электроснабжению и электрооборудованию / А.А. Федорова. - М.: Энергоатомиздат, 1986.

Хавроничев, С.В. Расчет токов коротких замыканий и проверка электрооборудования / С.В. Хавроничев, И. Ю. Рыбкина. - Волгоград: Учитель, 2012.

Похожие работы на - Расчёт токов короткого замыкания

 

Не нашли материал для своей работы?
Поможем написать уникальную работу
Без плагиата!
Без нейросетей!