Расчёт и конструирование электрической машины
Курсовая
работа
по
электрическим машинам
Содержание
1. Исходные
данные
. Определение
главных размеров электромагнитных нагрузок
. Определение
числа пазов статора, числа витков в фазе обмотки статора и расчет зубцовой зоны
статора
. Определение
числа пазов ротора. Расчет короткозамкнутой обмотки и зубцовой зоны ротора
. Расчет
магнитной цепи статора и ротора
. Параметры
асинхронного двигателя для номинального режима
. Определение
потерь и коэффициента полезного действия
. Расчет
рабочих характеристик
. Результаты
расчетов
Список
использованной литературы
1. Исходные данные
Номинальная
мощность Р2= 90 кВт
Исполнение -
закрытое обдуваемое
Линейное напряжение питания сети U1 =380 В
Соединение обмотки статора - "треугольник"
Синхронная частота вращения n1 =750 об/мин
Обмотка ротора - короткозамкнутая
Частота питания f1=50Гц
. Определение главных размеров электромагнитных нагрузок
Внутренний диаметр статора непосредственно связан определенными
размерными соотношениями, зависящими от числа полюсов, с наружным диаметром
статора, в свою очередь определяющим высоту оси вращения, значение которой при
проектировании должно быть принято только из стандартных высот, установленных
по ГОСТ 13267-73 для серии 4А.
Находим число пар полюсов машины:
(2.1)
Высоту оси вращения предварительно определяем для заданных значений Р2 и
2р в зависимости от исполнения двигателя и принимаем равной h=100 мм. [1].
В зависимости от оси вращения выбираем наружный диаметр статора
и внутренний диаметр статора
[1].
Находим полюсное значение:
Определяем расчетную мощность асинхронного двигателя по заданной
номинальной мощности
:
где
(большее значение соответствует меньшему числу полюсов).
Предварительные значения коэффициента полезного действия и коэффициента
мощности выбираем равным:
[1].
Выбираем предварительные значения электромагнитных нагрузок: линейная
токовая нагрузка
, магнитная индукция в воздушном зазоре
[2].
Значения коэффициента полюсного перекрытия и коэффициента формы поля
предварительно принимаются равными [2]:
Для двухслойных обмоток при полюсности
предварительное значение обмоточного
коэффициента принимаем равным:
[2].
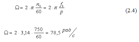
Синхронная угловая скорость вала двигателя:
Расчётная длина воздушного зазора:
Правильность выбранных главных размеров и доказываем отношением:
которое находится в заданных пределах для двигателя со степенью защиты
IP44 [2].
Для расчётов магнитной цепи определяем полную конструктивную длину стали
и длину сердечников статора
и ротора
.
3. Определение числа пазов статора, числа витков в фазе обмотки статора и
расчет зубцовой зоны статора
Число витков фазы обмотки должно быть таким, чтобы линейная нагрузка и
индукция в воздушном зазоре как можно ближе совпадали с их значениями,
принятыми предварительно при определении главных размеров, а число пазов
статора обеспечивало достаточно равномерное распределение катушек обмотки.
Тип обмотки и формы пазов статора выбираются следующими: обмотка статора
- однослойная всыпная, пазы статора - трапецеидальные, магнитная индукция при
исполнении двигателя со степенью защиты IP44:
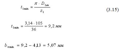
Предварительное значение зубцового деления для h=100 мм, выбираем равным
t1=0,01 м [2].
Число пазов статора:
выбираем ближайшее стандартное пазов
[2]
Число пазов на полюс и фазу:
где
число фаз статора
Окончательное значение зубцового деления:
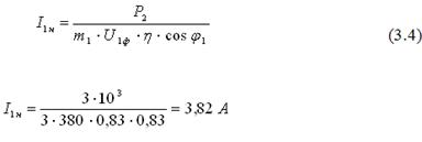
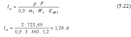
Номинальный фазный ток обмотки статора:
Число эффективных проводников на паз:
где
число параллельных ветвей
округляем до ближайшего целого
Число витков в фазе обмотки статора:
Окончательное значение линейной нагрузки:
Плотность тока в обмотке статора (предварительно):

Сечение эффективного проводника (предварительно):
Подбираем сечение элементарного проводника
и диаметр
[3].
Окончательное значение плотности тока в обмотке статора:
где
число элементарных проводников
В двигателях серии 4А с высотой оси h=100 мм принимаем систему изоляции
класса нагревостойкости - В [2].
По допустимому значению магнитной индукции в зубце статора определяем
ширину зубцов:
где
коэффициент заполнения сталью магнитопровода статора и
ротора:
Высота спинки статора:
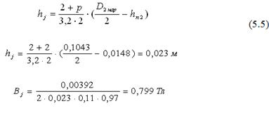
Высота зуба:
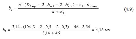
Наименьшая ширина трапецеидального паза в штампе:
где минимальное значение зубчатого деления:
Наибольшая ширина паза в штампе:
где максимальное значение зубчатого деления:
Среднее значение ширины паза:
Ширину шлица, высоту шлица и угол выбираем следующими:
Высота клиновой части паза при
Площадь поперечного сечения паза в штампе:
где высота паза:
Размеры паза в свету определяются с учётом припусков на шихтовку и сборку
сердечников
и
где
Площадь поперечного сечения паза, занятая обмоткой:
Площадь поперечного сечения корпусной изоляции:
где
односторонняя толщина корпусной изоляции
При однослойной обмотке площадь прокладок в пазу:
Коэффициент заполнения паза:
где
Одним из важнейших параметров обмотки статора является обмоточный
коэффициент, который для основной группы гармоник ЭДС обмотки статора равен:
где
коэффициент укорочения, учитывающий уменьшение ЭДС,
обусловленное укорочением шага обмотки:
где
и
коэффициент распределения, учитывающий уменьшение ЭДС,
обусловленное распределением обмотки в пазах:
где зубцовый угол:
Магнитная индукция в воздушном зазоре (уточнённая):
где магнитный поток:
Воздушный зазор для двигателей мощностью
при
Размеры катушек статора.
среднее зубцовое деление:
средняя длина катушки:
где
среднее значение шага обмотки статора в зубцовых делениях
электромагнитный двигатель статор ротор
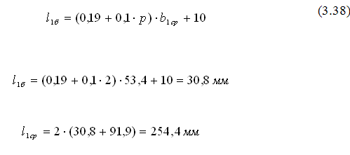
средняя длина лобовой части катушки:
средняя длина витка обмотки статора:
где длина лобовой части обмотки при h=100 мм:
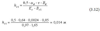
. Определение числа пазов ротора. Расчет короткозамкнутой обмотки и
зубцовой зоны ротора
В
двигателе при
и 
[3].
При
исполнении двигателя по способу защиты IP44 при h=100 мм, 2p=4 определяем
рекомендуемые значения магнитной индукции:
Ширина
зубца ротора:
где
зубцовое деление определяем по наружному диаметру ротора:
наружный диаметр ротора:
Длина ротора принимается равной длине статора:
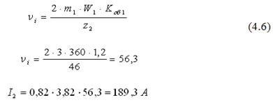
Ток в стержне ротора:
где
коэффициент, учитывающий влияние тока намагничивания от
сопротивления обмоток
коэффициент приведения токов:
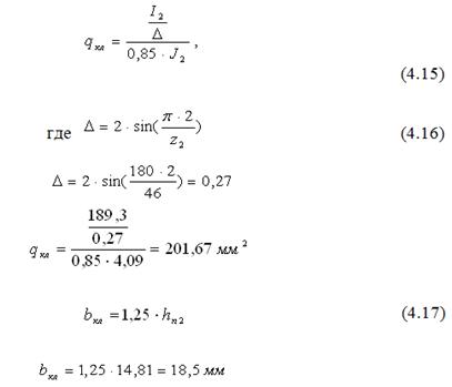
Площадь поперечного сечения стержня:
где
плотность тока в стержнях ротора машин закрытого обдуваемого
исполнения при заливке пазов алюминием, выбираем равной -
В асинхронных двигателях с короткозамкнутым роторам серии 4А с высотой
оси h=100 мм - пазы имеют узкую прорезь:
Высота перемычки над зазором в двигателях с 2р=4 выполняют равной
Допустимая ширина зуба:
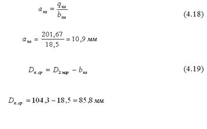
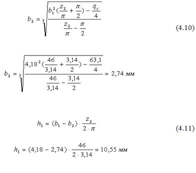
Размеры паза.
Диаметр в верхней части паза:
Диаметр в нижней части паза:
Полная высота паза:
Сечение стержня:
Плотность тока в стержне:
Размеры коротко замыкающего кольца литой клетки ротора определяются
выражениями:
площадь поперечного сечения:
. Расчет магнитной цепи статора и ротора
Магнитная цепь четырех полюсной машины состоит из пяти последовательно
соединённых участков: воздушного зазора
, зубцовых слоёв статора и ротора,
спинки статора
. МДС обмотки статора на пару полюсов определяется как сумма
магнитных напряжений всех перечисленных участков магнитной цепи:
где
МДС воздушного зазора;
МДС зубцовой зоны статора;
МДС зубцовой зоны ротора;
МДС ярм статора и ротора.
Магнитная индукция в зубце статора:
Магнитная индукция в зубце ротора:
Магнитная индукция ярма статора:
Магнитная индукция ярма статора:
Расчётная высота ярма ротора при посадке сердечника непосредственно на
вал в двигателях с
Магнитное напряжение воздушного зазора:
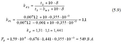
где коэффициент воздушного зазора:
коэффициент воздушного зазора статора:
коэффициент воздушного зазора ротора:
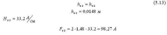
Магнитное напряжение зубцовых зон статора:
где расчётная высота зубца статора:
Значение напряжённости поля в зубцах находим в соответствии с индукцией
по кривой намагничивания для зубцов
марки стали - 2013 [3].
Магнитное напряжение зубцовой зоны ротора:
где
расчётная высота зубца ротора:
Коэффициент насыщения зубцовой зоны:
Выбранные значения размерных соотношений и обмоточных данных машины
являются правильными.
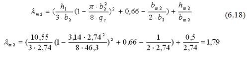
Магнитное напряжение ярма статора:
где длина средней магнитной линии ярма статора:
высота ярма статора:
Значение напряжённости поля в спинке асинхронных двигателей находим в
соответствии с индукцией по кривой намагничивания для спинки марки стали -
2013.
Магнитное напряжение ярма ротора:
где длина средней магнитной линии потока в ярме ротора для двигателей
Магнитное напряжение на пару полюсов:
Коэффициент насыщения магнитной индукции:
Намагничивающий ток:
Относительное значение намагничивающего тока:
. Параметры асинхронного двигателя для номинального режима
Активное сопротивление фазы обмотки статора, приведённое к расчётной
рабочей температуре:
где
удельное электрическое сопротивление меди при температуре
750 С [4]
где
коэффициент катушки статора при изолированных лентой лобовых
частей.
длина вылета прямолинейной части катушек
Средняя длина катушки:
где относительное укорочение обмотки статора
Относительное значение активного сопротивления:
Активное сопротивление фазы обмотки ротора:
где сопротивление стержня:
- удельное электрическое сопротивление литого алюминия при
температуре 750С.
полная длина стержня
сопротивление участка, замыкающего кольца между двумя
замыкающими стержнями:
Средний диаметр замыкающих колец:
Приведённое активное сопротивление ротора
к числу витков обмотки статора:
Относительное значение:
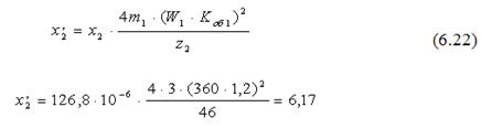
Индуктивное сопротивление фазы обмотки статора:
где коэффициент магнитной проводимости пазового рассеяния фазных обмоток
для однослойной обмотки [4].
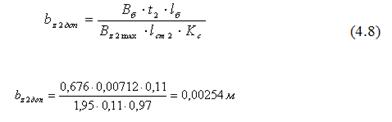
коэффициент магнитной проводимости лобового рассеяния:

при открытых пазах статора и отсутствии скоса пазов статора или ротора:
где
Относительное значение индуктивного сопротивления:
Индуктивное сопротивление фазы обмотки ротора:
коэффициент магнитной проводимости пазового рассеяния короткозамкнутых
обмоток [4].
коэффициент магнитной проводимости лобового рассеяния:
коэффициент магнитной проводимости:
где
Приведённое к числу витков статора:
Относительное значение индуктивного сопротивления:
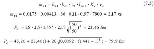
7. Определение потерь и коэффициента полезного действия
Потери в асинхронной машине подразделяются на потери в стали,
электрические, механические и добавочные потери.
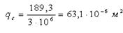
Основные потери в стали:
где
потери в стали спинки статора:
удельные потери в стали [4].
масса стали спинки статора:
удельная масса стали
потери в стали зубцов статора:
масса стали зубцов статора:
Механические потери:
при
и
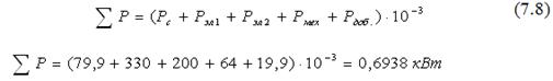
Добавочные потери асинхронного двигателя принимаются равными 0,5%
потребляемой мощности:
Суммарные потери в двигателе:
Коэффициент полезного действия:
. Расчет рабочих характеристик
Сопротивление схемы замещения:
где
Коэффициент схемы замещения:
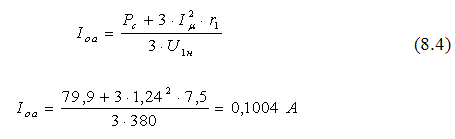
Активная составляющая тока холостого хода:
Определяем расчётные величины, для построения характеристики:
Для расчёта рабочих характеристик задаём скольжение от 0,005; 0,015;
0,035; 0,045;
. Результаты расчетов
|
№ п/п
|
Расчётная формула
|
Ед. изм.
|
Скольжение
|
|
|
|
0,005
|
0,015
|
0,035
|
0,045
|
0,056
|
0,065
|
|
1
|
|
|
|
|
|
|
|
|
2
|
Ом000000
|
|
|
|
|
|
|
|
|
3
|
Ом1163,8393172,8136,14110,8796,58
|
|
|
|
|
|
|
|
|
4
|
Ом11,7211,7211,7211,7211,7211,72
|
|
|
|
|
|
|
|
|
5
|
Ом1163,9393,2173,2136,6111,4997,29
|
|
|
|
|
|
|
|
|
6
|
А0,3260,9662,192,783,43,9
|
|
|
|
|
|
|
|
|
7
|
-110,9980,9970,9940,993
|
|
|
|
|
|
|
|
|
8
|
-0,010,030,0680,0860,1050,12
|
|
|
|
|
|
|
|
|
9
|
А0,4261,0662,292,873,483,97
|
|
|
|
|
|
|
|
|
10
|
А1,2431,271,391,481,5971,71
|
|
|
|
|
|
|
|
|
11
|
А1,311,662,683,233,834,32
|
|
|
|
|
|
|
|
|
12
|
А0,3320,982,232,833,463,97
|
|
|
|
|
|
|
|
|
13
|
кВт0,4861,2152,613,273,974,53
|
|
|
|
|
|
|
|
|
14
|
кВт0,0390,0620,1620,2350,330,42
|
|
|
|
|
|
|
|
|
15
|
кВт0,00180,0160,0830,1340,20,264
|
|
|
|
|
|
|
|
|
16
|
кВт0,00230,00380,00980,0140,020,025
|
|
|
|
|
|
|
|
|
17
|
кВт0,1870,2260,990,5270,6940,853
|
|
|
|
|
|
|
|
|
18
|
кВт0,2990,9892,212,743,283,68
|
|
|
|
|
|
|
|
|
19
|
-0,6150,8140,8470,8390,8250,812
|
|
|
|
|
|
|
|
|
20
|
-0,3250,6420,8540,890,9090,92
|
|
|
|
|
|
|
|
Список использованной литературы
1.
Проектирование электрических машин. Под. ред. И.Н. Копылова. - М.: Энергия,
1980.
. М.М.
Кацман. Расчёт и конструирование электрических машин. - М.: Энергоатомиздат,
1984.
. Гольдберг
О.Д., Гурин Я.С., Свириденко И.С. Проектирование электрических машин. - М.:
Высшая школа, 1984.
. Кравчик
А.Э., Шлаф М.М., Афонин В.И., Соболевская Е.А. Справочник. Асинхронные
двигатели серии 4А. - М.: Энергоиздат, 1982.
. Алексеев
А.Е. Конструкция электрических машин. - Л.: Госэнергоиздат, 1985.