|
Груз
|
Картофель поздний
|
|
Маршрут
|
Саратов - Москва (910км)
|
|
Масса груза
|
4 тыс. тонн
|
|
Время
|
31 день
|
На рисунке 1 изображен маршрут перевозки.
Рис. 1 - Саратов - Москва.
. ФИЗИКО-ХИМИЧЕСКИЕ СВОЙСТВА ГРУЗА
Картофель - многолетнее растение, относящееся к семейству пасленовых.
Возделывается с целью получения клубней, которые используются для питания
человека, в качестве сырья для перерабатывающей промышленности, а также на корм
животным. Картофель в зависимости от срока заготовки и отгрузки подразделяют
на ранний (картофель урожая текущего года, который заготовляют и отгружают до 1
сентября) и поздний (который заготовляют и отгружают с 1сентября).
С точки зрения груза, картофель представляет собой клубень округлой
формы. Приблизительный диаметр клубня 4-7 см.
Картофель как и любой овощ - скоропортящийся продукт. Поздний картофель
меньше подвержен риску испортиться в результате транспортировки, нежели ранний,
но это не избавляет нас от обязанности соблюдения некоторых норм не только со
стороны перевозки и погрузочно-разгрузочных работ, но и контроль состояния
самого картофеля и тары на момент погрузки.
Характеристические нормы к состоянию картофеля
позднего
- внешний вид - клубни целые, сухие, незагрязненные, здоровые,
непроросшие, неувядшие; однородные и разнородные по форме; зрелые с плотной
кожурой; - содержание раздавленных клубней, половинок и частей клубней не
допускается;
- содержание клубней подмороженных, запаренных, с
признаками “удушья” не допускается; - наличие земли, прилипшей к клубням - не
более 1%; - наличие органической и минеральной примеси (солома, ботва, камни
и др.) не допускается.
Так как картофель относится к скоропортящимся грузам,
при его перевозке действуют «Правила перевозок скоропортящихся грузов». К
скоропортящимся грузам относятся такие грузы, которые при перевозке требуют мер
защиты (охлаждения, отопления, вентилирования) от действия на них высоких или
низких температур, ухода или обслуживания. Скоропортящиеся грузы должны
предъявляться отправителем к перевозке только в надлежащем состоянии по
качеству (в том числе по температуре) в соответствии с нормативными
требованиями страны отправления. При перевозке картофеля и других овощей
перевозчики, грузоотправители и грузополучатели должны принимать меры по
предохранению картофеля и других овощей от механических повреждений,
атмосферных осадков, воздействия низких и высоких температур.
Основная задача хранения и перевозки скоропортящихся
грузов - соблюдение условий, при которых они не подвергались бы вредному
воздействию физико-химических и биологических факторов.
Предупредительные меры при перевозке:
. Ограничить высоту падения картофеля: максимум
40 см;
. Все острые и жесткие места следует покрыть
резиной;
. Количество перевозок снизить до минимума.
Картофель транспортируют всеми видами транспорта в
соответствии с правилами перевозки скоропортящихся грузов, действующими на данном
виде транспорта. В каждом транспортном средстве следует размещать одну партию
картофеля. Допускают в период массовых заготовок транспортирование позднего
картофеля навалом, кроме позднего картофеля высокоценных сортов.
. ВЫБОР УПАКОВОЧНОЙ ТАРЫ
По данным курсовой работы для картофеля в качестве упаковки используется
мешок. Из всего многообразия выбран джутовый мешок.
Со стародавних времен, основное назначение мешка джутового было
сельскохозяйственное, а конкретнее мешок тканевый джутовый использовался в
качестве мешка под картошку. Все дело в том, что тканевый мешок джутовый лучше
всех упаковочных изделий может хранить картошку. Хранение картошки в таком
мешке наиболее долговечно по причине природных свойств этих тканевых мешков из
джута. В таком мешке собранная в поле картошка чувствует себя прекрасно. Мешок
дышащий, позволяет картошке находиться в благоприятных условиях. Джутовая ткань
мешка свободно пропускает воздух к картошке и забирает в себя излишки влаги,
которые могут привести картошку к гниению.
Размеры мешка: длина:96 см ширина: 52 см плотность: 450 г/см2, 400 г/см2
сорт: I разрывная нагрузка ткани: 70 кгс, 65 кгс разрывная нагрузка шва: 51
кгс, 45 кгс. Он вмещает 50 килограмм груза что удобно для погрузки,
транспортирования и формирования в пакеты.
Для перевозки пакетами картофеля, применяют ящичные поддоны УКС-ПЯ-8
ГОСТ21133-87. Поддоны изготовляются с металлическим каркасом, деревянными
решетчатыми стенками и дном, без крышки или с крышкой, с запорными устройствами
или без запорных устройств, складными или разборными. На рисунке 2 представлено
изображения поддона. Габаритные размеры, а также масса и вместимость поддона
приведены в таблице 1.
Пакетированный в поддоны картофель будем перевозить в термоизолированных
40 футовых контейнерах. Параметры контейнера приведены в таблице 2.
Рисунок 2 - Поддон для перевозки картофеля.
Таблица 1 Параметры поддона УКС-ПЯ-8 ГОСТ21133-87
|
Наименование параметра
|
Значение параметра
|
|
Объем древесины на 1
поддон, м3
|
0,0512
|
|
Масса металлических
деталей, кг
|
51,7
|
|
Габаритные размеры внешние,
мм
|
1240 х 835 х 720
|
|
Габаритные размеры
внутренние, мм
|
1150 х 740 х 580
|
|
Вместимость, м2
|
0,50
|
|
Масса поддона, не более, кг
|
75
|
|
Масса брутто, т
|
0,45
|
|
Стоимость поддона, руб.
|
6500
|
Таблица 2 - Параметры контейнера
|
Вес контейнера, кг
|
7180
|
|
Максимальный вес груза, кг
|
37620
|
|
Погрузочный объем, м3
|
62
|
|
Размеры, м
|
Длина
|
Ширина
|
Высота
|
|
Внутренние
|
2,45
|
2,14
|
|
Наружные
|
12,19
|
2,89
|
2,43
|
|
Дверного проема
|
-
|
2,28
|
2,08
|
|
Стоимость, руб.
|
80 000
|
Для перевозки контейнера будем применять полуприцеп-контейнеровоз ТСМ
9939 5А, предназначенный для перевозки одного 40 футового или двух 20 футовых
контейнеров, грузоподъемность полуприцепа 30 тонн. Стоимость полуприцепа - 400
000 р.
На рисунке 3 показаны габаритные размеры полуприцепа.
Рисунок 3 - Полуприцеп-контейнеровоз ТСМ 9939 5А.
. ВЫБОР ТРАНСПОРТНОГО СРЕДСТВА
Для перевозки полуприцепа будем использовать седельный тягач. Рассмотрим
седельные тягачи Freightliner Сentury Class FLC 112 и Mercedes Benz «Actros» 2540. Проведем сравнение этих двух
автомобилей. Для этого составим сравнительную таблицу (Таблица 4).
Таблица 4 - Сравнительная таблица седельных тягачей
|
Характеристика
|
Freightliner Сentury Class FLC 112
|
Mercedes Benz «Actros» 2540
|
|
Цена , р.
|
1 600 000
|
2 000 000
|
|
Двигатель
|
Дизель
|
Дизель
|
|
Тип Двигателя
|
Euro - 3
|
Euro - 3
|
|
Мощность, л. с.
|
450
|
494
|
|
Максимальная скорость ,
км/ч
|
120,8
|
162 (85 с ограничителем)
|
|
Габаритные размеры, мм
|
8250/2500/4000
|
9456/2469/3040
|
|
Грузоподъемность, т
|
40
|
42
|
|
Колесная формула
|
6х4
|
4х2
|
|
Масса авто, кг
|
7350
|
7100
|
|
Вместимость топливного
бака, л
|
756
|
500
|
|
Расход топлива , литров на
100 км
|
31
|
34
|
|
Полная масса автопоезда, кг
|
36300
|
40000
|
На рисунках 4 и 5 соответственно изображены соответственно седельные
тягачи Freightliner и Mersedes.
Рисунок 4 - Freightliner Century Class.
Рисунок 5 - Mercedes-Benz Actros.
Исходя из размеров пакетированного картофеля (1240х840х720) можно
рассчитать, что в контейнер помещается:
Qпак=14*3*3 =126
Однако вес одного пакета составляет 450 кг, поэтому вес всей партии будет
составлять более 56 тонн, что превышает максимально возможное значение для
контейнера.
В этом случае мы уложим пакеты в 2 ряда по высоте вместо трех рядов, и в
12 рядов по длине контейнера. Таким образом получается:
Qпак=12*3*2=72
Mпак=72*450=32400
Нас устраивает данная масса груза. Прибавим к этой массе массу
контейнера:
Масса загруженного контейнера не превышает грузоподъемности тягача.
Рисунок 6 - Расположение пакетов на первом ярусе.
Рисунок 7 - Расположение пакетов на втором ярусе.
За максимальный срок в 1 месяц необходимо перевезти 400 т груза.
Количество машин для того чтобы выполнить план:
ТС=Qсут/Qт, (3.1)
где т - грузоподъемность одного ТС,
Qсут -
суточная производительность для выполнения плана.
Qт=4000/31=129 т.
ТС=129/39,58=4
авт. Freightliner
ТС=129/39,58=4
авт. Mercedes
Следовательно, нам понадобится 4 автомобилей в сутки для выполнения
плана.
Рассчитаем количество рейсов. Так как грузоподъемность 39,58 т, а
перевезти нужно 4000 т :
/39,58= 101 рейс.
Сравниваемые автомобили работают на дизельном топливе. Стоимость
дизельного топлива 32 рубля за 1 литр. Расстояние между Саратовом и Москвой -
910 км.
Для сравниваемых автомобилей:
Средний расход топлива Freightliner (без груза) - 31 л/ 100 км
Средний расход топлива Freightliner (с грузом) - 37 л/ 100 км
Рассчитаем расход топлива в одну сторону (с грузом):
37*910/100=336,7 л
Тогда, за 134 рейса в одну сторону уйдет количество топлива:
,7*101=34006 л
Денежные затраты на топливо в одну сторону с грузом составляют:
*32=1088214 руб.
Теперь рассчитаем количество топлива на обратный путь, так как ТС
расходует немного меньше топлива, проезжая путь без груза, чем с грузом.
Количество топлива, расходуемое в одну сторону (без груза):
*910/100=282 л.
Количество топлива за 20 рейсов:
*101=28492л.
Денежные затраты на топливо в одну сторону без груза составляют:
*32=911747 руб.
Итого, общие затраты на топливо в обе стороны за 134 рейса составляют:
+911747=1999961 руб.
Аналогично рассчитываем расход и стоимость топлива для ТС Mercedes-Benz Actros
Средний расход топлива Mercedes-Benz (без груза) - 34 л/ 100 км
Средний расход топлива Mercedes-Benz (с грузом) - 39 л/ 100 км
С грузом:
*910/100=355 л
*101=35845 л
*32=1147360 руб.
Без груза:
*910/100=310 л
*101=31249 л
*32=999980 руб.
Общие затраты на топлива в обе стороны за 134 рейса составляют:
+999980=2147340 руб.
Исходя из того, что расстояние от Москвы до Саратова - 910 км, на дорогу
уходит 14-15 часов. В две стороны это занимает порядка 30 часов, поэтому 4
автомобиля, отравившиеся в одну сторону, вернутся обратно только через сутки.
Для этого необходимо иметь минимум 8 автомобилей.
Складываем затраты на топливо, стоимость всех приобретенных автомобилей:
Merxedes-Benz Actros 2540=2 147 340+2 000 000*8=18 147 340р.Century Class FLC 112= 1 999 961+ 1
600 000*8=13 999 961р.
Из сравнительных расчетов затрат на топливо можно сделать вывод, что
более эффективным ТС является Freightliner Century
Class FLC 112, также себестоимость данного автомобиля оказалась
гораздо ниже. Следует отметить, что, заботясь о состоянии дорог, также следует
выбрать автомобиль Freightliner Century Class FLC 112 из-за конструкции его шасси. Будучи 3-осным,
нагрузки на каждую из осей значительно снижаются, что уменьшает разрушительное
воздействие на дорогу.
Прибавим к получившимся затратам стоимость полуприцепа, контейнеров и
поддонов.
Стоимость поддона - 6500. Необходимо потратить:
*10*6500=472 680р.
Стоимость контейнера - 80 000. Необходимо потратить:
*80 000=800 000р.
Стоимость полуприцепа-контейнеровоза:
*400 000=3 200 000р.
. ВЫБОР ПОГРУЗОЧНО-РАЗГРУЗОЧНОГО СРЕДСТВА
Для погрузки поддонов в ТС целесообразнее всего использовать
электропогрузчик. Можно выделить целый ряд неоспоримых достоинств,
которыми обладает электрический вилочный погрузчик.
длительный срок службы электрического погрузчика;
высокая производительность при минимальных эксплуатационных расходах;
экологическая безопасность: при работе электропогрузчик практически не
загрязняет окружающую среду;
маневренность, благодаря которой вилочный электропогрузчик подходит для
работы на любых, даже самых маленьких складах.
Сравним электропогрузчики HC CPD10J-C1 и Heli CPD15 LA. Сравнение приведено в таблице 6.

Рисунок 8 - Электропогрузчик HC CPD10J-C1

Рисунок 8 - Погрузчик Heli CPD15 LA.
Таблица 6 - Сравнение характеристик электропогрузчиков .
|
Параметр
|
Модель
|
|
HC CPD10J-C1
|
Heli CPD15 L-A
|
|
1
|
2
|
3
|
4
|
4
|
|
Грузоподъемность, кг
|
1000
|
1000
|
|
Мощность двигателя
(силового агрегата), кВт (л.с.)
|
5,4
|
7,5
|
|
Скорость движения
погрузчика, км/ч
|
14/14
|
13/13
|
|
Скорость подъема вил с
грузом, м/с
|
0,45
|
0,45
|
|
Аккумуляторы
(напряжение/емкость) , В/Ач
|
48/420
|
48/450
|
|
Внешний радиус поворота, мм
|
1780
|
1956
|
|
Вид шасси
|
Колёса
|
Колёса
|
|
Вид рабочего органа
|
Вилы
|
Вилы
|
|
Высота подъёма рабочего
органа, мм
|
3000
|
3000
|
|
Габаритные размеры, мм
|
2080x1060x2075
|
2140x1080x2130
|
|
Себестоимость, руб.
|
456000
|
631000
|
|
Страна производитель
|
Россия
|
Китай
|
6. СХЕМЫ МЕХАНИЗАЦИИ ПОГРУЗОЧНО-РАЗГРУЗОЧНЫХ РАБОТ
Сравним две механизированные схемы погрузочно-разгрузочных работ:
перегрузку груза из склада в ТС со въездом во внутрь полуприцепа
электропогрузчиком Heli CPD15 L-A, представленную на Схеме 1, с перегрузкой
груза сначала погрузчиком HC CPD10J-C1 в контейнер со
въездом внутрь, а затем перегрузка контейнеров козловым краном на полуприцеп
ТС, представленную на Схеме 2.
|
Схема технологического
процесса
|
|
Высота дебаркадера склада и
уровень пола АТС совпадают. Погрузчик беспрепятственно попадает внутрь
контейнера.
|
|
|
|
|
Грузозахватное устройство
|
|
Захват груза осуществляется
вилами электропогрузчика
|
|
Перерабатываемый груз -
картофель (4000 тонн)
|
|
Перерабатываемый груз:
поздний картофель, упакованный в джутовые мешки и пакетированный в поддоны. 1
поддон с картофелем - 450кг.
|
|
Перегрузка груза
осуществляется электропогрузчиком с въездом в полуприцеп. Склад приподнят по
отношению к дороге и оборудован дебаркадером. Уровень пола склада и АТС
практически совпадают. Механизатор на электропогрузчике захватывает груз и
заезжает в полуприцеп, устанавливает, выезжает задним ходом, разворачивается
и едет обратно за новым поддоном.
|
|
Указания по технике
безопасности: к работе на электропогрузчике допускаются лица не моложе 18
лет, прошедшиевводный инструктаж.
|
|
Количество ПРС:
|
Электропогрузчик - 1 шт.
|
Захватывающие устройство -
1 шт.
|
|
Количество человек, занятых
на схеме
|
Механизатор - 1 человек;
Такелажники - 2 человека.
|
|
Производительность на
схеме: 2,73 т/ч
|
Капитальные затраты 9145,17
руб/т.
|
Уровень механизации - 37,5%
|
Степень механизации - 33,3%
|
|
Схема технологического
процесса
|
|
Перегрузка груза
осуществляется электропогрузчиком с въездом в полуприцеп. Чтобы
электропогрузчик заехал в АТС, необходима аппарель, с уклоном менее 15% .
Механизатор на электропогрузчике захватывает груз и заезжает в полуприцеп,
устанавливает, выезжает задним ходом, разворачивается и едет обратно за новым
поддоном
|
|
|
|
|
Грузозахватное устройство
|
|
Захват груза осуществляется
вилами электропогрузчика.
|
|
Перерабатываемый груз -
картофель (4000 тонн)
|

|
|
Указания по технике
безопасности: к работе на электропогрузчике допускаются лица не моложе 18
лет, прошедшиевводный инструктаж.
|
|
Количество ПРС:
|
Электропогрузчик - 1 шт.
Козловой кран - 1 шт.
|
Захватывающие устройство -
2 шт.
|
|
Количество человек, занятых
на схеме
|
Механизатор - 1 человек;
Такелажники - 2 человека.
|
|
Производительность на
схеме: 20 т/ч
|
Капитальные затраты 9145,17
руб/т.
|
Уровень механизации - 37,5%
|
Степень механизации - 33,3%
|
|
|
|
|
|
|
|
|
|
Схема 1 - Схема механизации ПРС Heli CPD15 L-A.
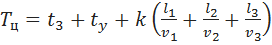
Время одного рабочего цикла:

(2)
где
tз - время захвата, с;
tу
- время установки груза, с ;
K
- коэффициент, учитывающий совмещения
во времени элементов работы (1);

,

-
расстояние перемещения груза, м;

-
скорость поднятия, м/с;

-
скорость опускания, м/с;

-
скорость разворота груза, м/с;
По формуле (2) рассчитаем время 1 рабочего цикла:
Рассчитаем расчетная производительность грузоподъемных машин обоих
вариантов.
Пр = 3600*Q/Тц,
где Q - расчётный объём за один цикл (450
кг);

-
теоретическое время цикла, сек.
Пр1
= 3600*0,45/16.5=98,2 т/ч
Пр2
= 3600*0,45/16=101,3 т/ч
Рассчитаем
количество груза, которое сможет погрузить/разгрузить электропогрузчик за
смену:
*3600/16,5=1745
поддонов
*3600/16=1800
поддонов
Общая
масса за смену:1=0,45*1745=785 т2=0,45*1800=810 т
Эксплуатационная производительность:
Пэ=Q(общ)/(T(общ)-Т(пр)), где
Q(общ) - объём перевезённого груза, тонн;
T(общ) -
время схемы, час;
T(пр) - время
простоя (2 часа).
Пэ1=785/(8-6)=130 т/ч
Пэ2=17/(8-6)=135 т/ч
Техническая производительность:
Пт=(3600*Q)/Tср.ц
где

-
среднее реальное время цикла, сек.
Пт1=(3600*0,45)/20=81
т/ч
Пт2=(3600*0,45)/19=85
т/ч
Таким
образом, стоимость погрузчика Heli CPD15 L-A не оправдывает себя, его
производительность и время не настолько сильно разнятся с альтернативным. При
таком объёме груза разница в цене не окупится.
Коэффициенты: Коэффициент использования по времени:
Кв=Т/Тобщ=6/8=0,75
Кт1=Пт/Пр=85/101,3=0,83
Кт2=Пт/Пр=81/98=0,84
Кэ1=Пэ/Пт=130/81=1,6
Кэ2=Пэ/Пт=135/85=1,6
Кп1=Кт*Кв=0,83*0,75=0,62
Кп2=Кт*Кв=0,84*0,75=0,63
Уровень механизации:
Ум=(ΣАм/( ΣАм+
ΣАр))*100,
где ΣАм - объём механизированных работ по схеме,
тонно-операции;
ΣАр - объём работ,
выполненных вручную по схеме, тонно-операция;
Gгр.м - количество грузовых машин;
kм
- коэффициент
механизации;
kр - коэффицент ручного труда;
nм
и nр - это количество основных элементов, выполненных
вручную.
Для обеих схем расчёты аналогичны схемы:
Ам1=1*1/3=0,33;
Ар1=1*2/3=0,67;
Ум1=(0,33,(0,33+0,67))*100=33,3%.
Экономические показатели:
Капитальные затраты:
Кт1=
/Gмес.
Кт1=.(18 147 340 + 3 200 000 +800 000 + 472 680 +
456000)/400000=57,69 руб./т
Кт2=(13 999 961+3 200 000 +800 000 + 472 680
+631000)/40000=47,75 руб./т
Себестоимость перегрузки для одной тонны груза по формуле:
Ст1=Эмес/Gмес=456000/400000=1,14
руб./ т
Ст2=Эмес/Gмес=631000/400000=1,57
руб./т
Степень механизации:
См=ΣТм/(ΣTM+ΣTp)*100
См1=1/(1+0)*100=100%
См2=1/(1+0)*100=100%
Сравнение двух схем приведено в таблице 4.
Таблица 4 - Сравнение двух вариантов схем механизации
|
Показатель
|
Схема 1
|
Схема 2
|
|
1.Грузооборот, т
|
400
|
400
|
|
2.Общая сумма капитальных
затрат, тыс. руб.
|
23300
|
18600
|
|
3.Производительность по
схеме, т/ч.
|
81
|
85
|
|
4.Капитальные затраты на 1
т перегружаемого груза, руб./т
|
57,69
|
47,75
|
|
5.Удельные капитальные затраты
на 1 т перегружаемого груза за время службы машины, руб./т
|
¾-
|
¾-
|
|
6.Себестоимость перегрузки
1 т груза, руб./т
|
1,14
|
1,57
|
|
7.Количество механизаторов,
чел
|
1
|
1
|
|
8.Количество
вспомогательных рабочих, чел.
|
2
|
2
|
|
9.Затраты труда на 1 т
перегружаемого груза, чел.
|
¾-
|
-¾
|
|
10.Выработка на 1 рабочего
и механизатора, т/чел., ч
|
-¾
|
¾-
|
|
11.Уровень механизации, %
|
33,3
|
33,3
|
|
12.Степень механизации, %
|
100
|
100
|
|
13.Рост производительности
труда
|
-¾
|
-¾
|
|
14.Снижение занятости
рабочей силы, %
|
-¾
|
-¾
|
|
15.Окупаемость капитальных
затрат, лет
|
-¾
|
-¾
|
ЗАКЛЮЧЕНИЕ
В данной работе была рассмотрена организация перевозки картофеля. Изучены
различные виды систем механизации и погрузочно-разгрузочных работ.
Были произведены расчеты производительностей, технических и экономических
показателей. Выбран подвижной состав, рассчитаны затраты времени и материальных
средств на транспортировку груза.
По результатам работы выбрано сочетание седельного тягача Freightliner Century Class и полуприцепа, как наиболее оптимального в данной
ситуации. Также, сравнение схем механизации показало, что 1 схема, по своим
стоимостным показателям является наиболее выгодной. Таким образам выбран
электропогрузчик Maximal
FB10-MQJZ2.
СПИСОК ИСПОЛЬЗОВАННЫХ ИСТОЧНИКОВ
1. СпецТехСити [Электронный ресурс] - Режим доступа:
http://spectechcity.ru
. Автомобили Freightliner [Электронный ресурс] - Режим
доступа: http://www. freightliner.drom.ru /
. Mersedes-Benz [Электронный ресурс] - Режим
доступа: http://www. Mersedes-Benz.ru/