Мембранные способы переработки молочного сырья
ФЕДЕРАЛЬНОЕ ГОСУДАРСТВЕННОЕ БЮДЖЕТНОЕ
ОБРАЗОВАТЕЛЬНОЕ УЧРЕЖДЕНИЕ ВЫСШЕГО
ПРОФЕССИОНАЛЬНОГО ОБРАЗОВАНИЯ
Кафедра технология сырья и продуктов
животного происхождения
КУРСОВАЯ РАБОТА
По дисциплине: Общая технология
отрасли
на тему: Мембранные способы
переработки молочного сырья
Выполнила:
Проверила:
Дата сдачи на кафедру
Дата защиты
Оценка
Введение
Методы мембранной фильтрации - микрофильтрация, ультрафильтрация (УФ),
нанофильтрация (НФ) и обратный осмос - это процессы, применяемые для фракционирования
растворов, протекающие под давлением с использованием пористых полупроницаемых
полимерных или неорганических материалов[4]. Технологии баромембранной
фильтрации нашли широкое применение в различных отраслях промышленности для
очистки или концентрирования жидких сред. Молочная промышленность была одной из
первых отраслей, в которой методы мембранной фильтрации стали широко
использоваться для разделения жидких компонентов систем. Внедрение процессов УФ
и обратного осмоса в мировой практике началось в 1960-е годы после создания
полимерных мембран I поколения (на основе ацетатцеллюлозы). Совершенствование
технологий происходило в первую очередь за счет создания мембран нового
поколения. Так, в 1970-е годы были созданы мембраны II поколения (на основе полисульфона),
а затем мембраны III поколения (металлокерамические).
Отечественные научные исследования в области разработки и применения
мембранных технологий в молочной промышленности были начаты во второй половине
1970-х годов, и уже в 1977 г. были выданы исходные требования на проектирование
УФ-установок на мембранах I поколения [2]. Первые промышленные установки
отечественного производства для УФ молока и сыворотки появились в середине
1980-х годов на нескольких заводах: ПЭЗ НПО «Углич», Владимирском молочном
комбинате, Воронежском городском молочном заводе,
производственно-экспериментальном заводе ВНИМИ, Александровском маслосырзаводе
и др. Однако при разработке нового оборудования сказались недостаточность
фундаментальных исследований в области мембранных процессов и отсутствие опыта
конструирования. Одним из основных направлений считалась технология получения
белковых концентратов для пищевых целей, что приводило к нерациональному
использованию молочного сырья, к тому же промышленное производство моющих
средств для мембранного оборудования так и не было организовано. В силу
вышеперечисленных причин в то время, как отечественные разработчики
конструировали установки с мембранами II поколения, в мире уже успешно
внедрялись установки с керамическими мембранами. В начале 1990-х годов работы
по внедрению технологии ультрафильтрации на молочных предприятиях практически
прекратились вследствие сокращения бюджетного финансирования и разразившихся в
стране политического и финансового кризисов. Начиная с 2000 г. отечественные
производители молочных продуктов вновь стали проявлять интерес к мембранным
технологиям, претерпевшим за прошедшее десятилетие значительные изменения.
Баромембранная фильтрация позволяет разделять жидкость на два потока -
пермеат и ретентат. В зависимости от задачи определенные компоненты молочного
сырья либо концентрируются, либо удаляются [8]. Процессы характеризуются низким
энергопотреблением, например, за счет экономии пара, поскольку являются
альтернативой вакуум-выпарному концентрированию, могут осуществляться при
низких температурах (8-10 °С), что обеспечивает микробиологическую безопасность
и позволяет сохранить ряд полезных веществ перерабатываемого сырья [12] (белки,
в том числе сывороточные, в нативном состоянии, витамины, ферменты, гормоны).
Основным компонентом баромембранного оборудования являются
полупроницаемые мембраны, которые можно разделить на две большие группы: из
органических материалов (полимерные); из неорганических материалов
(керамические). Мембраны обеих групп имеют свои преимущества и недостатки.
Преимущества керамических мембран: длительный срок эксплуатации (до 10
лет), высокая механическая прочность, устойчивость к воздействию химических
веществ, щелочных и кислотных сред (рН 0-14), высокой температуре (до 300 °С).
На начальных этапах разработки оборудования керамические элементы позволили
оптимизировать конструкцию и создать новые технологии переработки молочного
сырья. Основными недостатками керамических мембран являются: ограниченный
диаметр пор, небольшая площадь активной поверхности мембранного элемента,
повышенный расход моющих средств и энергии, как следствие, увеличение стоимости
и сроков окупаемости оборудования.
В отличие от керамических, спиральные полимерные мембраны имеют большую
площадь активной поверхности и более низкую стоимость, что обусловливает
уменьшение размера и удешевление установки. Благодаря широкому диапазону
размеров пор полимерные мембраны применяют в большинстве технологических
процессов молочной промышленности. Недостаток полимерных мембран по сравнению с
керамическими - более короткий срок службы (от 1 до 3 лет). В настоящее время
полимерные элементы оказались более конкурентоспособными и получили широкое
распространение в большинстве технологических процессов.
Применение методов мембранного концентрирования при переработке молочного
сырья открывает для молоко-перерабатывающего предприятия значительные
возможности со стороны как создания новых технологий и увеличения
рентабельности производства, так и обеспечения экологической безопасности [11]
.
мембранный переработка
молочный
Мембранные способы обработки молочного сырья
Мембранные процессы находят широкое применение для фракционирования и
концентрирования жидких молочных продуктов. Использование этих процессов
позволяет по новому решать вопросы переработки сырья и открывает возможности в
разработке новых видов продуктов питания.
Мембранные
методы <javascript:c_word[1]=fchng(1)> обработки молочного сырья обычно
классифицируют в соответствии <javascript:c_word[8]=fchng(8)> с размером
удерживаемых <javascript:c_word[13]=fchng(13)> или пропускаемых фильтром
частиц. Можно отметить <javascript:c_word[19]=fchng(19)> 2 основных
<javascript:c_word[21]=fchng(21)> класса процессов: мембранный процесс
фильтрации и обычная <javascript:c_word[25]=fchng(25)> фильтрация частиц.
Обычная фильтрация частиц употребляется <javascript:c_word[36]=fchng(36)>
при выделении взвешенных частиц более <javascript:c_word[41]=fchng(41)>
чем 10 мкм, в то время как мембранная фильтрация изолирует <javascript:c_word[52]=fchng(52)>
частички <javascript:c_word[53]=fchng(53)>, величина
<javascript:c_word[55]=fchng(55)> которых меньше
<javascript:c_word[57]=fchng(57)>, чем 10 микрон. Между обычной
<javascript:c_word[64]=fchng(64)> фильтрацией и мембранной фильтрацией
имеется некоторое количество <javascript:c_word[70]=fchng(70)>
немаловажных <javascript:c_word[71]=fchng(71)> различий:
Структура
фильтрационного материала. Фильтрационный материал с раскрытой
<javascript:c_word[83]=fchng(83)> и образованный
<javascript:c_word[85]=fchng(85)> структурой употребляется
<javascript:c_word[87]=fchng(87)> при обычной фильтрации, а при
мембранной фильтрации используется <javascript:c_word[96]=fchng(96)>
узкая <javascript:c_word[97]=fchng(97)> мембрана с контролируемым размером
пор.
Воздействие
давления. При мембранной фильтрации, влияние
<javascript:c_word[113]=fchng(113)>-движущая сила
<javascript:c_word[115]=fchng(115)> процесса, а при обычной
<javascript:c_word[120]=fchng(120)> фильтрации влияние
<javascript:c_word[122]=fchng(122)> используется
<javascript:c_word[123]=fchng(123)> лишь
<javascript:c_word[124]=fchng(124)>, чтоб
<javascript:c_word[126]=fchng(126)> ускорить
<javascript:c_word[127]=fchng(127)> процесс.
Конструктивное
оформление процесса. При обычной фильтрации поток фильтруемой среды
ориентирован <javascript:c_word[142]=fchng(142)> перпендикулярно
поверхности фильтра, в то время как фильтрация может проводиться в раскрытой
<javascript:c_word[155]=fchng(155)> системе. При мембранной фильтрации,
поток фильтруемой среды направляется параллельно поверхности фильтра, а поток,
проникающий <javascript:c_word[173]=fchng(173)> через
<javascript:c_word[174]=fchng(174)> мембрану (пермеат) движется
перпендикулярно поверхности фильтра. Это так называемая фильтрация в поперечном
потоке или тангенциальная фильтрация. Мембранная фильтрация обязана
<javascript:c_word[197]=fchng(197)> проводится в замкнутой системе.
Степень
разделения <javascript:c_word[206]=fchng(206)>. При обычной фильтрации
выделяемые частички <javascript:c_word[212]=fchng(212)> могут быть
отсоединены полностью от жидкости, а мембранная фильтрация дозволяет
<javascript:c_word[224]=fchng(224)> лишь
<javascript:c_word[225]=fchng(225)> концентрировать
<javascript:c_word[226]=fchng(226)> выделяемые частички <javascript:c_word[228]=fchng(228)>
в меньшем <javascript:c_word[230]=fchng(230)> объеме относительного
начального <javascript:c_word[233]=fchng(233)> размера
<javascript:c_word[234]=fchng(234)> жидкости .
Схема переработки с помощью мембранных методов на рисунке 1
Рисунок 1-схема переработки с помощью мембранных методов
Достоинства мембранных способов:
невысокая энергоемкость
разделение многокомпонентных систем без фазовых превращений отдельных
компонентов
возможность ведения технологического процесса при низких температурах,
что исключает потерю свойств некоторых компонентов
возможность получения продукта заданных размеров и свойств
Мембранная фильтрация позволяет отсоединять частицы диаметром меньше, чем
диаметры пор мембраны от жидкого сырья с помощью давления в мембране.
Подаваемое сырье разделено на 2 потока: пермеат- содержащий воду, и частички
меньше мембранных пор. Ретентат- содержащий воду, и частички крупнее мембранных
пор. Мембранные методы обработки подразделяются на:
) Ультрафильтрация- это процесс фильтрации под давлением 0,1-0,5 МПа с
помощью полупроницаемых мембран, с размерами пор 50-100 нм. Концентрат включает
все сывороточные белки.
) Обратный осмос-разделение растворов через полупроницаемые мембраны с
порами размером меньше 50 нм при давлении 1-10 МПа. Через мембрану проходит
вода, а все остальные части задерживаются мембраной.
) Нанофильтрация - это процесс обратного осмоса с использованием
сравнительно открытой мембраны, пропускающей воду и маленькие одновалентные
ионы (Na+, Cl).
) Микрофильтрация - это процесс разделения компонентов в поточном режиме,
давление не превышает 0,3Мпа, через полупроницаемую мембрану с диаметром пор до
1000 нм [2].
Основная характеристика мембранных процессов разделения молока
представлена в таблице 1.
Основная характеристика мембранных процессов разделения молока
|
Показатель
|
Микрофильтрация
|
Ультрафильтрация
|
Обратный осмос
|
|
Средний диаметр частиц, мкм
|
10-0,1
|
0,1-0,003
|
0,003-0,0001
|
|
Рабочее давление, МПа
|
0,02-0,2
|
0,2-1,0
|
3,5-8,0
|
|
Частицы концентрата
|
Микрочастицы
|
Макромолекулы, коллоидные
частицы
|
Гидратированные ионы
|
|
Задерживаемые частицы
|
Кишечная палочка,
стафилококки, молочнокислые бактерии
|
Сывороточные белки, мицеллы
казеина, бактериофаги
|
Ионы натрия, калия, кальция
|
|
Загрязнения полупроницаемых
мембран
|
Осадок микрочастиц
|
Гель
|
Слой слаборастворимых солей
|
Эффективность мембранных способов в значительной мере зависит от рН
среды, ионной силы, прилагаемого давления и величины потока жидкости.
Успешно применяется УФ для концентрации сывороточных белков творожной
сыворотки. Сывороточно-белковые концентраты и фильтраты, главным образом,
используются при выработке традиционных и новых видов продуктов питания,
отличающихся повышенной биологической ценностью, а в частности при производстве
продуктов диетического, лечебного и детского питания [10].
Микрофильтрация
Микрофильтрация - это процесс разделения компонентов в поточном режиме,
давление не превышает 0,3Мпа, через полупроницаемую мембрану с диаметром пор до
1000 нм. Основные направления применения микрофильтрации: снижение количества
микроорганизмов и фракционирование молочных белков.
Снижение количества микроорганизмов в сырье оказывает положительное
влияние в следующих случаях:
Подготовка молока для производства сыров. Природное содержание в молоке
анаэробных спор, таких как клостридии, выдерживающих общепринятые режимы
пастеризации и вызывающих вспучивание сыров на заключительной стадии
созревания, снижается при микрофильтрации. Более того, микрофильтрация
позволяет избежать или значительно снизить использование ингибиторов (например,
нитратов), обеспечивая получение сыворотки без консервантов.
Производство сухого молока и сухой сыворотки. Микрофильтрация значительно
улучшает качество сухого молока и сыворотки посредством снижения количества
бактерий и спор в жидком сырье, при этом тепловая обработка сводится к
минимуму, что способствует сохранению функциональных свойств сывороточных
белков в сухом продукте.
Санация сырного рассола. Рассол для посолки сыров может содержать
нежелательные микроорганизмы, и его на предприятиях традиционно подвергают
различным видам обработки: тепловой, обработке ультрафиолетом, добавлению
консервантов и т.п. Микрофильтрация является альтернативой этим видам
обработки, так как предотвращает нежелательные последствия микробиологического
загрязнения.
Фракционирование молочных белков. Целесообразно осуществлять для решения
ряда технологических задач.
Стандартизация количества белка в молоке при производстве сыра.
Нормализация состава сырья в сыроделии является одним из важнейших условий
стабильности процесса производства и постоянства качества готовой продукции.
Микрофильтрация позволяет фракционировать казеин и сывороточные белки, таким
образом, поддерживать нужный уровень казеина в молоке для достижения
постоянного соотношения казеин/молочный жир. Это также позволяет сгладить
сезонные изменения белкового состава молока, снизить потери белка и количество
получаемой сыворотки, повысить эффективность работы оборудования и персонала.
Производство казеина и изолятов сывороточных белков (ИСБ).
Микрофильтрация позволяет разделять казеин и сывороточные белки.
Фракционированный казеин используется для производства высококачественного
казеина и казеинатов, а также в производстве специальных молочных продуктов,
обогащенных казеином. Побочный продукт фракционирования (пермеат) содержит
нативные сывороточные белки, не подвергавшиеся тепловой обработке и ферментативному
(сычужный фермент) или бактериальному (закваски) воздействию. Также
используется для получения жидкого стабилизатора, концентрата сывороточных
белков (КСБ), микропартикулированных сывороточных белков (МСБ) [7].
Схема переработки молока с использованием микрофильтрации представлена на
рисунке 2.
Рисунок 2. Схема переработки молока с использованием микрофильтрации
Ультрафильтрация
Ультрафильтрация (УФ)- это процесс фильтрации под давлением 0,1-0,5 Мпа,
с помощью полупроницаемых мембран, с размерами пор 50-100 нм. Концентрат
включает в себя все сывороточные белки. К большим молекулам относятся
казеиновые мицеллы с размером частиц от 0,01 до 0,1 мкм и молекулярной массой
10 000-100 000. К макромолекулам относятся сывороточные белки с размером частиц
от 0,001 до 0,01 мкм и молекулярной массой от 1000 до 10 000. Кроме того, к
макромолекулам можно отнести витамины, имеющие почти такие же размеры и
молекулярную массу, что и сывороточные белки, а также лактозу с частицами размером
от 0,0001 до 0,001 мкм и молекулярной массой от 100 до 1000.
Рисунок 3. Пример схемы переработки молока с использованием метода
ультрафильтрации
В молочной промышленности УФ используют для выделения белков из молока
или молочной сыворотки. В процессе УФ, некоторая часть сыворотки (фильтрат)
проходит через мембраны, оставляя при этом на фильтре сывороточные белки.
Полученный фильтрат состоит, главным образом, из воды, лактозы и минеральных
солей. Другая часть сыворотки (концентрат) проходит между мембранами, унося при
этом и выделившиеся белки. Таким образом, концентрат включает все сывороточные
белки и ту оставшуюся часть воды, лактозы и минеральных солей, которая не
прошла через мембраны. Отношение размера концентрата и сыворотки, поступившей
на УФ, составляет обычно 1 : 5 [12].
УФ используют для стандартизации молока по белку при производстве сыра,
творога и сухих продуктов, для производства свежего сыра, концентрирования
белка и декальцинирования пермеата, снижения концентрации лактозы в молоке
(рис. 3)
Регулирование концентрации белка
Нормализация уровня белка в молоке. УФ исключает необходимость внесения
сухого молока или других белковых добавок. Молоко, обогащенное собственным
нативным белком, имеет лучший вкус и отлично подходит для производства
кисломолочных продуктов.
Предварительное концентрирование молока в традиционной технологии
сыроделия. Такая технологическая операция способствует оптимизации работы
оборудования, увеличению выхода готового продукта за счет снижения потерь белка
и сокращения количества сыворотки, позволяет компенсировать влияние сезонного
колебания содержания белка в молоке.
Получение КСБ. В результате УФ обработки различных видов сыворотки
(подсырная, творожная, казеиновая) или пермеата после микрофильтрации молока
получают концентрат сывороточного белка. В данном процессе могут применяться
как классическая технология УФ, так и диафильтрация (повторное концентрирование
с предварительным разбавлением ретентата умягченной водой).
Пермеат. Побочным продуктом УФ обезжиренного молока является пермеат: он
идеально подходит для нормализации питьевого молока по белку, восстановления
сухих молочных продуктов. Кроме того, пермеат - отличная основа для получения
различных освежающих напитков: прозрачных «тихих» и газированных,
сокосодержащих и ароматизированных, а также для производства лактозы и ее
производных.
Декальцинирование. При производстве лактозы значительное внимание
уделяется очистке раствора от солей кальция. УФ применяется в качестве основного
метода для декальцинирования пермеата, предварительно подсгущенного на
установке обратного осмоса или, что более предпочтительно, на НФ установке.
Фосфат кальция является нерастворимым соединением, поэтому легко удаляется в
ходе УФ, следующей за процессом термического осаждения. Эта технология
гарантирует получение высококачественной лактозы с низким содержанием
минеральных солей, увеличение выхода готового продукта и сокращение времени
работы вакуум-выпарного оборудования. Полученный концентрат может быть очищен
до отдельного продукта-натурального фосфата кальция.
Свежие ферментированные продукты. УФ широко используется при производстве
свежих сыров: цельное молоко концентрируют до 34-40 % сухих веществ. В
пастеризованный ретентат (концентрат) вносят закваску и сычужный фермент, затем
фасуют. Процесс формирования структуры и органолептических свойств сыра
происходит непосредственно в упаковке. Технология довольно проста, а выход сыра
увеличивается на 20 % по сравнению с традиционным способом производства .
Концентрирование белков в обезжиренном молоке без увеличения лактозы и
солей, позволяет нормализовать содержание в молоке белка и жира. Концентрат с
завышенным содержанием белка используют для получения, сухого молока,
обезжиренного молока сыра и творога. Содержащуюся в фильтрате лактозу
концентрируют способом обратного осмоса и высушивают. УФ применяют также для
концентрирования обезжиренного молока, к примеру, в производстве сыров,
позволяет повысить выход готового продукта на 15 - 20% [4].
Направления использования продуктов УФ-обработки и достоинства этого
метода приведены в таблице 2.1, 2.2
Направления использования ультрафильтрата, полученного при УФ-обработке
молочных продуктов.
|
Вид обработки
|
Область применения
|
Достоинства метода
|
|
УФ-обработка цельного и
обезжиренного молока, пахты и подсырной сыворотки
|
Производство напитков и
сиропа Изготовление молочного сахара Производство кондитерских и
хлебобулочных изделий
|
Использование компонентов
молока для выпуска продуктов питания при экономном расходовании
энергоресурсов. Совпадение максимума в объемах получения сыворотки с периодом
наибольшего потребления напитков Хорошая степень отделения сыворотки от
белков и других несахаров и в результате высокое качество готового продукта
Рациональное использование углеводов молока
|
|
УФ-обработка творожной
сыворотки
|
Изготовление
глюкозо-галактозных сиропов с использованием иммобилизованной
бета-галактозидазы Производство напитков и сиропов
|
Замена в мороженом,
сгущенном молоке и других пищевых продуктах сахарозы, снижение вероятности
появления кариеса зубов у потребителей. Удешевление готовой продукции
Использование компонентов молока для выпуска продуктов питания при экономном
расходовании энергоресурсов
|
Направления использования концентрата, полученного при УФ-обработке
молочного сырья
|
Вид обработки
|
Область применения
|
Достоинства метода
|
|
УФ-обработка цельного
молока при факторе концентрации менее 2
|
Производство сычужных сыров
по традиционной технологии Производство кисломолочных продуктов
|
Увеличение выхода готового
продукта на 1-3 %.Экономия молоко свертывающего фермента 20-80%. Стабилизация
технологических процессов изготовления сыра и качества зрелых сыров.
Улучшение консистенции и предотвращение выделения сыворотки. Повышение
пищевой ценности
|
|
УФ-обработка цельного и
обезжиренного молока при факторе концентрации более 2
|
Производство творога,
мягких и рассольных сыров
|
Увеличение выхода на 8-20%.
Снижение расхода молоко свертывающего фермента. Получение менее кислой
сыворотки
|
|
УФ-обработка сыворотки
|
Добавление к цельному
питьевому молоку Введение в состав кисломолочных продуктов Производство
сметаны Выпуск плавленых сыров. Приготовление напитков, жидких основ и сухих
концентратов для напитков. Производство заменителей цельного молока
Производство майонеза. Использование при производстве кондитерских и
хлебобулочных изделий
|
Повышение биологической и
пищевой ценности питьевого молока. Приближение по составу к женскому молоку.
Стабилизация белковой системы, связывание водной фазы. Повышение
биологической и пищевой ценности. Достижение плотной консистенции при
пониженной жирности. Повышение потребительской ценности Улучшение
консистенции и вкуса. Использование компонентов сыворотки в пищевых целях.
Обогащение вкуса напитков Высвобождение ресурсов обезжиренного молока для
производства продуктов питания Улучшение качества. Рациональное использование
компонентов молока. Повышение усвояемости белковой части хлебобулочных
изделий
|
|
УФ-обработка пахты
|
Производство сметаны.
Изготовление низкокалорийных разновидностей сливочного масла
|
Улучшение консистенции и
вкуса. Сохранение вкусового букета сливочного масла традиционного состава
|
Нанофильтрация
Нанофильтрация (НФ) - процесс, промежуточный между УФ и обратным осмосом.
Данный процесс позволяет, как сконцентрировать молочное сырье, так и частично
выделить из него минеральные вещества, т. е. произвести частичную
деминерализацию до 30 %.
Концентрация молекул и макромолекул молочного сырья - происходит при
пропускании его под давлением через полупроницаемые мембраны. Размеры пор данных
мембран составляют от 0,01 до 0,001 мкм, поэтому на них концентрируются
молочный жир, казеиновые мицеллы и сывороточные белки, а также лактоза и
частично минеральные соли; размер частиц до 0,001 мкм и молекулярная масса до
1000. Чаще только используют НФ, после УФ молочного сырья для частичного
обессоливания (деминерализации) подсырной сыворотки, а также частичной
деминерализации фильтрата, полученного после ультрафильтрации. НФ проводят под
давлением 2-4 МПа и температуре 50 °С.
Рисунок 4. Схема переработки молочной сыворотки с использованием
технологий НФ или обратного осмоса
В молочной промышленности НФ используют для получения частично
деминерализованной (уровень деминерализации до 30 %) концентрированной молочной
сыворотки. Ретентат включает часть минеральных веществ, белковые и углеводные
компоненты, а пермеат представляет собой водный раствор солей низкой
концентрации. Объединение частичной деминерализации и концентрирования в одной
технологии имеет широкий спектр преимуществ: уменьшение объемов сыворотки или
пермеата и за счет этого сокращение транспортных расходов; повышение
органолептических показателей сухой сыворотки за счет улучшения кристаллизации
и сушки; улучшение процессов кристаллизации и отделения кристаллов лактозы;
повышение качества готового продукта[2]. Ретентат используют при производстве
концентратов, сгущенных и сухих продуктов, а пермеат может быть использован на
технологические нужды предприятия (рис. 4).
Как и при обратном осмосе, механизмом переноса при НФ является диффузия.
НФ мембраны очень схожи по химии поверхностных свойств с обратноосмотическими,
но допускают диффузию не только воды, но и некоторых ионов, в основном,
одновалентных (например, натрия и хлора). Более крупные ионы, включая двух- и
многовалентные, и более сложные молекулы задерживаются.
Поскольку одновалентные ионы диффундируют через НФ мембрану вместе с
водой, перепад осмотического давления на мембране меньше, чем при обратном
осмосе, поэтому НФ обычно проводится под меньшим давлением.
Типичные применения НФ в пищевой промышленности:
. Опреснение пищевых и молочных продуктов, напитков, побочных продуктов.
. Частичное опреснение сыворотки, УФ пермеата или ретентата.
. Снижение цветности и обработка пищевых продуктов.
. Концентрирование пищевых и молочных продуктов, напитков, побочных
продуктов.
. Концентрирование побочных продуктов брожения.
Компактные, удобные в управлении и надежные в работе НФ-установки
позволяют осуществлять одновременно концентрирование и деминерализацию
сыворотки. На выходе, в зависимости от способа реализации НФ-процесса, получают
сывороточные концентраты с массовой долей сухих веществ в диапазоне 16-35% и
уровнем деминерализации 20-70%. Хорошие органолептические показатели
сывороточных НФ-концентратов позволяют хорошо использовать их как в составе
традиционных продуктов питания, в частности молочных, так и при разработке
других пищевых композиций. За границей, в странах с развитой молочной
промышленностью, сывороточные концентраты, полученные с применением мембранных
технологий, широко используются в производстве мороженого, кисломолочных
напитков, сливочных сыров, майонезов, кондитерских изделий и т.д., а также
применяются в составе детских, диетических и специальных продуктов с повышенной
биологической и физиологической ценностью.
В России, особенно важным является использование НФ в переработке
творожной сыворотки, составляющей более 50% всей сыворотки, производимой
отечественной молочной отраслью. В 2010 году, при техническом содействии ООО
«Альтаир» (г.Владимир) в Вологодской государственной молочнохозяйственной
академии в результате проведения системных исследований была разработана
оригинальная технология концентрирования, деминерализации и раскисления
творожной сыворотки с помощью НФ.
Полученные сывороточные НФ-концентраты обладают хорошими
органолептическими показателями, что обеспечивает возможность их включения в
разнообразные технологические схемы получения как традиционных, так и
оригинальных пищевых продуктов. Расчеты показывают, что в зависимости от вида
конечного продукта применение НФ-обработки творожной сыворотки позволяет
получать от 4 до 6 тыс. руб. дополнительной прибыли в пересчете на 1 т
натуральной сыворотки [3].
В целом, внедрение нанотехнологий в молочную отрасль России позволит:
− исключить слив сыворотки в окружающую среду, что понизит общий
уровень экологической опасности в стране;
− максимально полно использовать все составные части молока -
уникального продукта, созданного природой;
− дать возможность небольшим молочным заводам России получать
дополнительную прибыль, необходимую для развития, а зачастую и для выживания.
В настоящее время в России сложилась благоприятная ситуация для быстрого
и усиленного внедрения НФ-технологий переработки молочной сыворотки. С одной
стороны, из-за дефицита резко повысились цены на молоко заготовляемое, а,
следовательно, и на молочные продукты. Поэтому, включение в состав последних
дешевых и качественных сывороточных НФ-концентратов может принести значительную
прибыль. С другой стороны, ряд отечественных машиностроительных организаций
успешно освоили производство современного баромембранного оборудования, в том
числе и НФ-установок, не уступающих по качеству зарубежным аналогам, но
значительно более дешевых [2].
Разделить ВМС и НМС трудно, деление это часто условно, поэтому нельзя
четко разграничить процесс ультрафильтрации и обратного осмоса. В обоих случаях
требуется преодолевать осмотическое давление раствора, т. к. растворитель
переносится в направлении, противоположном возрастанию концентрации
растворимого вещества. Практически обратный осмос сводится к сгущению раствора.
Преимущество его - возможность проведения процесса при любых температурах,
меньшие энергетические затраты и расход тепловой энергии. Это особенно важно
при выработке пищевых продуктов, где выпаривание при повышенных температурах
приводит к нежелательным последствиям.
Обратноосмотическая обработка молока и молочных продуктов в основном
используется для концентрирования, однако, возможны и другие области
применения. Предварительное удаление половины водной фазы молока и сыворотки на
обратноосмотической установке позволяет в 14 раз снизить энергозатраты и в
2,5-3,0 раза увеличить производительность вакуум-выпарных установок по выпуску
сгущенных молочных продуктов.
Применение агрегатов с мембранами 3-го поколения для изготовления жидких
концентратов обычной и гидролизованной сыворотки целесообразно на заводах малой
мощности и предприятиях с недостаточным обеспечением паром. В дальнейшем эти
концентраты транспортируют на специализированные заводы [7].
Применение обратного осмоса в пищевой промышленности довольно
распространено и включает в себя обработку мясных побочных продуктов, жиров и
масел, молока, напитков, а также фруктовых и овощных соков. Обратноосмотическая
технология используется либо самостоятельно, либо в сочетании с
микрофильтрацией, УФ и/или выпариванием для концентрации, очищения или восстановления
ценных компонентов из пищевых растворов.
Одно из основных преимуществ обратного осмоса при использовании в пищевой
промышленности - это уменьшение затрат из-за уменьшения расхода энергии или
полное устранение энергоемкого процесса выпаривания.
Энергия, потребляемая технологией обратного осмоса, составляет примерно
110 кДж/кг воды. С другой стороны, наиболее эффективный выпариватель для
пищевой промышленности потребляет 700 кДж/кг.
Существуют и другие преимущества обратного осмоса:
· способность производить сепарацию без теплового воздействия,
сохраняя качество продукта;
· уменьшение объема потребляемой воды - благодаря повторному
использованию отработанной воды;
· потенциал системы больше - благодаря возможности получения
новых продуктов;
· уменьшение объема отходов;
· сравнительно небольшое занимаемое пространство и невысокие
капиталовложения из-за устранения необходимости установки парогенератора.
Недостатки заключаются в:
· необходимости затрачивать время и средства для подтверждения
безопасности продукции и получения разрешения от управления по пище и
лекарствам на использование новых мембранных материалов в пищевой
промышленности;
· отсутствие определенных сведений об износостойкости мембран,
продолжительности срока эффективной эксплуатации и стоимости их замены;
· чувствительность к уровню рН и химическая инертность;
· ограничение величины рабочего давления в определенных
конструкциях;
· проблемы загрязнения мембран при переработке определенных
жидкостей.
· Постоянные улучшения обратноосмотических мембран и развитие
передового технического оборудования привели к широкому применению технологии
обратного осмоса в молочной промышленности [1,2].
Особые случаи применения обратного осмоса в молочной промышленности
представляют собой концентрацию сыворотки при приготовлении сыра, концентрацию
молока, обессоливание сыворотки.
Для концентрации сыворотки применяют обратный осмос в сочетании с другими
процессами. Пермеат сыворотки после УФ используют для производства
сывороточного протеина, лактозы, а отходы содержат сниженное количество
биологического кислорода.
В молочной промышленности чаще всего используются цилиндрические и
тарельчато-рамочные конфигурации, однако вследствие высоких капитальных и
эксплуатационных затрат этих конфигураций, они заменяются спиральными модулями
для тех продуктов, которые требуют более низких концентраций (менее 15%) [5].
Электродиализ
Электродиализ - это перенос ионов из одного раствора в другой, который
осуществляется через мембрану, под действием электрического поля, которое
создается электронами, расположенными по обе части мембран. Электродиализу
подвержены только те вещества, которые при растворении диссоциируют на ионы или
образуют заряженные комплексы. Электро-нейтральные вещества(лактоза) в процессе
не участвуют.
Электродиализ - один из наиболее эффективных способов деминерализации МС.
Суть этого процесса - селективная ионитовая мембрана, находясь в контакте с
раствором, под влиянием электрического поля пропускает ионы одного заряда и
служит барьером для ионов противоположного заряда.
В настоящий момент в молочной промышленности электродиализной обработке
подвергают молочную сыворотку с целью ее деминерализации, что снижает
количество находящихся в сыворотке минеральных солей. В ней, кроме белков и
лактозы, содержится большое количество минеральных солей, что затрудняет ее
переработку на продукты питания, особенно для детей. Отделение сыворотки от
минеральных солей при помощи электродиализа в 8-10 раз дешевле, чем при
использовании для этой цели ионообменных смол.
Биологическая ценность сыворотки обусловлена содержащимися в ней
белковыми азотистыми веществами, углеводами, липидами, минеральными солями,
витаминами, органическими кислотами, что характеризует ее, как биологически
активную жидкость. Сывороточные белки богаты дефицитными незаменимыми
аминокислотами, что позволяет отнести их к наиболее биологически ценной части
белков молока. Находящийся в сыворотке в количестве 0,1-0,3 % жир более
диспергирован, чем в молоке, что положительно влияет на его усвояемость.
В молочной сыворотке разнообразный минеральный состав. В ней содержатся
практически все соли и микроэлементы молока, преобладают калий, натрий,
кальций, магний, железо, и микроэлементы. Минеральные вещества в сыворотке
находятся в состоянии молекулярного раствора или в коллоидном - в виде солей
органических и неорганических кислот. Значительна витаминная ценность
сыворотки. В ней остаются почти все водорастворимые витамины молока, а в
некоторых случаях их оказывается больше, чем в молоке, за счет синтеза молочнокислыми
бактериями. В молочную сыворотку переходит примерно до 50% жирорастворимых
витаминов молока [12].
Однако, при использовании сыворотки возникают недостатки, такие как
повышенная титруемая кислотность, большое количество соли, но решить данную проблему
возможно подвергнув молочную сыворотку электродиализу. В странах с развитой
молочной промышленностью все более широко применяется электродиализная
обработка сыворотки. Использование этого процесса в технологии молока дает
возможность получить дополнительный источник углеводсодержащего сырья, при
правильной переработке которого значительно повышается эффективность работы
молокоперерабатывающих предприятий, организуется безотходное производство
молочного сырья, а так же расширяется ассортимент вырабатываемых продуктов.
Основные направления переработки и использования деминерализованной молочной
сыворотки на основе электродиализа: детское питание, молочно-белковые
концентраты, сиропы, напитки, лечебные и диетические продукты, мороженое, сыры
и др.
В отличие от НФ электродиализ позволяет проводить деминерализацию
молочного сырья до уровня 95 %. При этом большим преимуществом процесса
электродиализа является возможность регулирования кислотности молочного сырья,
что очень актуально при переработке кислой молочной сыворотки - творожной,
казеиновой.
Показатели подсырной сыворотки до деминерализации
|
Сырье
|
Массовая доля, %
|
Кислотность
|
|
Сухих веществ
|
в том числе, %
|
титруемая
|
активная
|
|
|
белка
|
жира
|
лактозы
|
Т
|
рН
|
|
Сыворотка подсырная
|
5,6+0,15
|
0,68+0,3
|
0,3+0,02
|
4,4+0,01
|
13+0,5
|
5,8+0,01
|
Показатели подсырной сыворотки после деминерализации
|
Сырье
|
Массовая доля, %
|
Кислотность
|
|
Сухих веществ
|
в том числе, %
|
титруемая
|
активная
|
|
|
белка
|
жира
|
лактозы
|
Т
|
рН
|
|
Сыворотка подсырная
|
5,5+0,15
|
0,67+0,3
|
0,3+0,02
|
4,4+0,01
|
12+0,5
|
6,3+0,01
Применение электродиализа в разработанной технологии позволяет
использовать любую сыворотку, в т.ч. и кислую, что открывает широкие
возможности по ее применению [6].
Прошедшая необходимую обработку молочная сыворотка используется для
нормализации молока, полученное при этом нормализованное молоко может быть
использовано при производстве таких молочных продуктов как молоко питьевое,
кисломолочные напитки, творог и творожные изделия. При этом получаемые продукты
по своим органолептическим показателям идентичны молочным продуктам,
вырабатываемым по классической технологии, а их биологическая ценность
значительно выше за счет увеличения содержания сывороточных белков молока [13]
.
Следует отметить, что регулирование кислотности молочной сыворотки
методом электродиализа позволяет значительно улучшить ее технологические
свойства с целью дальнейшей переработки и использовании. Удаление молочной
кислоты обеспечивает снижение времени кристаллизации и улучшение процесса
сушки, понижение гигроскопичности сухой сыворотки, повышение степени ее
растворимости. Использование процесса электродиализа позволяет организовать на
молочном предприятии переработку на пищевые цели любого вида молочной сыворотки
как сладкой или соленой подсырной, так и кислой - творожной и казеиновой.
Преимущества переработки молочной сыворотки с использованием
электродиализа:
· Стандартизация сырья по минеральному составу;
· Стандартизация сырья по кислотности (не зависимо от вида
сыворотки ее кислотность будет не более 16 °Т);
· Улучшение органолептических показателей - что расширяет
спектр ее использования;
· Снижение гидроскопичности сыворотки;
· Повышение степени растворимости;
· Снижение времени кристаллизации лактозы в сыворотке;
· Улучшение процесса сушки;
· Снижение себестоимости продукта за счет уменьшения времени
кристаллизации;
· Повышение рентабельности производства;
Продукты, получаемые с использованием деминерализованной молочной
сыворотки:
· Сгущенные молочные продукты;
· Цельномолочные продукты;
· Лактоза, лактулоза;
· Напитки на основе сыворотки;
· Заменители женского молока;
· Продукты детского питания;
· Смеси для мороженого [5,6].
Диафильтрация
Диафильтрация - это вариант мембранного разделения, при котором
происходит очистка одного или нескольких компонентов раствора от примесей
другого (других) компонентов. При диафильтрации в раствор вводится растворитель
(обычно - чистая вода) с расходом, равным расходу отбираемого пермеата. Тот из
компонентов, по отношению к которому мембрана высокоселективна, задерживается
мембраной и очищается от компонента, по отношению к которому мембрана
низкоселективна, поскольку он переходит вместе с растворителем в пермеат.
Для более полной очистки белкового концентрата, получаемого в результате
УФ, от лактозы применяют диафильтрацию. Это частный случай УФ, при котором
полученный в результате УФ белковый концентрат разбавляют деминерализованной
водой и вновь подвергают УФ до исходной массовой доли сухих веществ. Некоторая
часть лактозы и минеральных веществ при этом вымывается из белкового
концентрата и проходит вместе с растворителем через мембрану. Сывороточный
белковый концентрат, полученный методом УФ, имеет высокую растворимость в воде,
хорошие эмульгирующие, пенообразующие и гелеобразующие свойства.
Диафильтрацию проводят с целью более полного удаления лактозы и зольных
элементов из сывороточного концентрата. Для этого концентрат разбавляют водой
из расчета 9 объемов воды на 1 объем концентрата. В процессе диафильтрации
концентрацию сухих веществ доводят до 22-25%. Процесс диафильтрации ведут
аналогично процессу УФ. Массовую долю сухих веществ в УФ концентрате, как и в
белковом (после диафильтрации), определяют на анализаторе молока АМ-2
(разведение концентрата в 2 раза) или на рефрактометре [9].
Индивиндуальное задание
Определить теоретический и нормативный расход обезжиренного молока с
содержанием сухих веществ 8,4% на выработку 1 т нежирного творога с содержанием
сухих веществ 20%. Определить степень использования молока и сухих веществ в
производстве творога, сухие вещества в сыворотке 6,0%, потери 0,7.
Вычислим массу обезжиренного молока Моб.м. по формуле 1:
 (1)
Найдем выход теоретический Вт по формуле 2:
 (2)
Найдем
выход нормативный Вн по формуле 3:
 (3)
Найдем выход фактический Вф по формуле 4:
 (4)
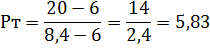
Расчитали теоретический расход Рт по формуле 5:
Рассчитали нормативный расход Рн по формуле 6:
 (6)
Рассчитали фактический расход Рф по формуле 7:
 (7)
Определили
степень использования по формуле 8:
 (8)
Заключение
Достижения в технологии фракционирования и модификации компонентов молока
путем УФ, электродиализа, обратного осмоса обусловили более широкое применение
молочных ингредиентов в различных отраслях промышленности (хлебопекарной,
кондитерской, мясной). Применение мембранных процессов в молочной
промышленности привело к созданию малоотходного производства, позволяющего
повысить эффективность использования сырья на пищевые цели. В результате
применения мембранных процессов все сухие вещества молока оказываются полностью
переработанными в полноценные продукты питания. Это позволяет увеличить
выработку товарной продукции из единицы сырья и снизить ее себестоимость.
Продукты УФ нашли применение в производстве молочных напитков, сыров и творога.
Внедрение УФ на сыродельных заводах позволяет увеличить выход сыров на 15-20 %
за счет использования сывороточных белков концентрата сыворотки, сократить
расход сычужного фермента на 75-80%.
Мембранные процессы открывают широкие возможности для производителей
молочной продукции:
· регулировать состав сырья, концентрируя желаемые и удаляя
нежелательные компоненты;
· обеспечивать микробиологическую безопасность и сохранение
нативных свойств;
· максимально увеличить степень переработки сырья;
· дают возможность экономить энергоресурсы, воду и расходные
материалы;
· оптимизировать и повышать эффективность производства.
Очевидна перспектива использования мембранных методов для переработки
молочной сыворотки с целью извлечения отдельных компонентов, в первую очередь
белков и лактозы. Комплексное использование различных методов мембранной
фильтрации на предприятиях открываетширокие возможности как в производстве
новых видов молочных продуктов, так и в совершенствовании традиционных сыров,
творога, ферментированных продуктов и напитков.
Таким образом, применение мембранных процессов в молочной промышленности
дает возможность по-новому взглянуть на традиционные технологии переработки
молочного сырья. Технические характеристики мембранного оборудования способствуют
снижению себестоимости готовой продукции и повышению ее качества, а
технологически грамотное применение данного оборудования открывает перед
переработчиками молока новые возможности в совершенствовании технологических
процессов и создании новых видов продукции.
Литература
.Берговин А.М. Мембранная фильтрация в молочной отрасли //
Переработка молока. 2009. № 10.
.Двинский Б.М. «Второе пришествие» нанотехнологий в молочную
промышленность России // Молочная промышленность. 2010. № 1.
. Евдокимов И.А., Володин Д.Н. Гибридные мембранные
технологии молочной сыворотки // материалы Международной научно-практической
конференции «Обеспечение качества и хранимоспособности продуктов сыроделия и
маслоделия в современных условиях». - Углич: ВНИИМС, 2011.
.Евдокимов И.А., Володин Д.Н., Бессонов А.С., Золоторева
М.С., Поверин А.П. Реальные мембранные технологии // Молочная промышленность.
2010. № 1.
.Евдокимов И.А. Технологии переработки молочной сыворотки для
получения продуктов функционального питания // Сб. матер. VIспециализир.конгр.
-Барнаул, 2008. - С.45-47.
.Евдокимов И.А. Трансформация научных исследований в области
деминерализации молочной сыворотки в промышленное производство / И.А.Евдокимов
// Науч. практ. конф. «Трансформация научных исследований в производство -
основа перехода молочной отрасли на инновационную модель развития». - Адлер,
2008. - С. 34-35
.Крусь Г.Н., Храмцов А.Г., Волотикина З.В., Карпычев С.В.
Технология молока и молочных продуктов//Под редакцией Шалыгиной А.М..-М.:
КолосС, 2007.-455 с.
. Продукты, получаемые с помощью методов мембранной
фильтрации // Молочная промышленность. 2010. № 1.
.Храмцов А.Г. Адаптация доктрины нанобиомембранных технологий
на основе кластеров молочной сыворотки// Молочная промышленность. 2010. № 1.
.Шалыгина А. М., Калинина Л.В. Общая технология молока и
молочных продуктов.-М.:КолосС, 2007.-199 с
.Шейфель О.А. «БИОХИМИЯ». МОЛОКА И МОЛОЧНЫХ ПРОДУКТОВ
КОНСПЕКТ ЛЕКЦИЙ. Для студентов ССУЗов- Кемерово 2010.-126 с
13.<http://gendocs.ru/v5385/лекции_-_биотехнология_продуктов_из_молочного_белково-углеводного_сырья>.
Похожие работы на - Мембранные способы переработки молочного сырья
|