Расчет деталей электроизмерительного прибора. Спираль
Федеральное
государственное бюджетное образовательное учреждение высшего профессионального
образования
«Алтайский
государственный технический университет им. И.И. Ползунова»
Факультет
информационных технологий
Кафедра
информационных технологий
Отчёт
по лабораторной работе №1
«Расчет
деталей электроизмерительного прибора»
по
дисциплине «Детали приборов и основы конструирования»
БАРНАУЛ
2012
Цель работы:
Исследовать свойства и суть работы спирали
амперметра.
Задание:
. Сконструировать механизм
противодействия с использованием спирали
. Подать на прибор ток
. Довести спираль до поворота на 120о
. Найти электромагнитный момент
Рисунок 1 - Устройство амперметра с указанием
изучаемого элемента - спирали
Условные обозначения:
- шкала амперметра
- спираль
- катушка
- вал
B - магнитная
индукция
F - сила Лоренца
N - северный полюс
магнита
S - южный полюс
магнита
Дано:
dk=hk=10мм=10-3м
nк=100
витков
B=2Тл
Iн=100нА
Материал упругого элемента (спирали) - слав
бронзы:
Е=110 ГПА
Сечение:
b/h=12
dp=40
мм
Рисунок 2 - Измеряемые параметры спирали - шаг
спирали
Найдем длину спирали:
L=nk*hk=0,1
Сила Лоренца вычисляется по следующей формуле:

,
так как sinα=1, α=90.
Рассчитаем электромагнитный момент
спирали:
амперметр спираль электромагнитный инерция
где dk
-диаметр
катушки, hk
-высота катушки
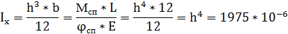
Определим угол скручивания спирали:
где 
Исходя из этого, найдем ширину и
высоту заданной спирали, зная, что b/h=12
Рисунок 3 - Поперечный срез спирали
Осевой момент инерции найдем из
формулы 
=6.7 микрон=80 микрон
В данной работе была исследована
конструкция амперметра на спирали.
Определены параметры спирали h=6.7
микрон и b=80 микрон.