Особенности строения клетки

  • Вид работы:
    Курсовая работа (т)
  • Предмет:
    Биология
  • Язык:
    Русский
    ,
    Формат файла:
    MS Word
    231,72 Кб
  • Опубликовано:
    2015-06-24
Вы можете узнать стоимость помощи в написании студенческой работы.
Помощь в написании работы, которую точно примут!

Особенности строения клетки

Содержание

 

1. Клетка как элементарная структурная единица организма. Основные компоненты клетки

2. Нуклеиновые кислоты, их структура. Функциональные группы нуклеиновых кислот

3. Транспирация и ее биологическое значение. Особенности верхнего "двигателя" водного потока

4. Структура и функции устьичного аппарата растений. Роль кутикулярной транспирации

5. Понятие об углеродном питании растений. Физиологическая сущность углеродного питания

6. Влияние внутренних и внешних факторов на фотосинтез

7. Факторы, влияющие на интенсивность дыхания

Литература

1. Клетка как элементарная структурная единица организма. Основные компоненты клетки

Клетка - основная структурная и функциональная единица жизни, ограниченная полупроницаемой мембраной и способная к самовоспроизведению. В растительной клетке, прежде всего, нужно различать клеточную оболочку и содержимое.


Основные жизненные свойства присущи именно содержимому клетки - протопласту. Кроме того, для взрослой растительной клетки характерно наличие вакуоли-полости, заполненной клеточным соком. Протопласт состоит из ядра, цитоплазмы и включенных в нее крупных органелл, видимых в световой микроскоп: пластид, митохондрий. В свою очередь цитоплазма представляет собой сложную систему с многочисленными мембранными структурами, такими, как аппарат Гольджи, эндоплазматический ретикулум, лизосомы, и немембранными структурами-микротрубочки, рибосомы и др. Все указанные органеллы погружены в матрикс цитоплазмы - гиалоплазму, или основную плазму. Характерной особенностью растительной клетки является наличие жесткой (твердой) клеточной стенки. Клеточная оболочка определяет форму клетки, придает клеткам и тканям растений механическую прочность и опору, защищает цитоплазматическую мембрану от разрушения под влиянием гидростатического давления, развиваемого внутри клетки. Клеточная оболочка обладает такими свойствами, которые позволяют противостоять давлению воды внутри клетки, и в то же время обладает растяжимостью и способностью к росту. В состав клеточной оболочки входят целлюлоза, гемицеллюлозы, пектиновые вещества, липиды и небольшое количество белка. Средний состав первичной клеточной стенки высших растений таков: целлюлоза - 25 % от сухой массы, пектиновые вещества - 30, гемицеллюлозы - 40, белки и другие вещества - 5 %. Остов клеточной оболочки составляют переплетенные микро - и макрофибриллы целлюлозы. Целлюлоза, или клетчатка (С6Н10О5), представляет собой длинные неразветаленные цепочки, состоящие из 3-10 тыс. остатков (3-D-глюкозы, соединенных (3-1,4-гликозидными связями. Микро - и макрофибридды целлюлозы в клеточной оболочке погружены в аморфную желеобразную массу-матрикс. Матрикс состоит из гемицеллюлоз, пектиновых веществ и белка. Гемицеллюлозы, или полуклетчатки, - это производные пентоз и гексоз. Пектиновые вещества - это полимерные соединения углеводного типа. Они обусловливают высокую оводненностъ клеточной оболочки. Клеточная стенка растительной клетки пронизана плазмодесмами. В клеточной стенке они могут располагаться равномерно или группами. Плазмодесма представляет собой канал (пору) шириной до 1 мкм, выстланный плазмалеммой. В центре поры имеется десмотрубка, которая образована мембранами эндоплазматической сети соседних клеток. Десмотрубка окружена белками и слоем цитоплазмы, которая соединяется с цитоплазмами соседних клеток. Благодаря плазмодесмам цитоплазма всех клеток объединена в единое целое - симпласт. Взаимосвязанная система клеточных стенок и межклеточных промежутков называется апопласт (свободное пространство). Симпласт и апопласт являются важнейшими путями передвижения воды и минеральных веществ между клетками.

клетка нуклеиновая кислота растение

Цитоплазма - сложная многокомпонентная, пластичная, дифференцированная система, включающая ряд мембранных и немембранных структур. Именно в цитоплазме протекают основные процессы метаболизма. Надосадочная жидкость и будет представлять основное вещество цитоплазмы - гиалоплазму.

Гиалоплазма - не бесструктурная масса. Она имеет дифференцированную сложную, но легко перестраивающуюся структуру, от состояния которой зависят такие процессы жизнедеятельности, как внутриклеточный транспорт везикул и органелл, активность ферментативных процессов, их пространственная локализация. Гиалоплазма включает сложную сеть белков (цитоскелет), состоящую из микрофиламентов и микротрубочек. Цитоскелет играет важную роль в процессах митоза, мейоза, внутриклеточного движения цитоплазмы (циклоза), образования клеточных стенок, транспорте воды и др.

Микрофиламенты - тонкие белковые нити диаметром 5-7 нм, представляющие собой длинные цепочки глобулярного белка актина. Обнаружены также особые белки, связывающие между собой микрофиламенты с образованием сети.

Микротрубочки - полые цилиндрические органеллы диаметром 20-25 нм, достигающие в длину нескольких микрометров. Предполагают, что стенки микротрубочек толщиной 5-8 нм состоят из цепочек глобулярного белка тубулина, свернутых спирально. С микротрубочками связано движение цитоплазмы, участие в различного рода перемещениях органелл. Предполагается участие микротрубочек в построении клеточных стенок.

Рибосомы - это компактные рибонуклеопротеидные частицы диаметром около 20 нм, лишенные мембран. Они состоят из белка и особого типа рибонуклеиновой кислоты - рибосомальной (рРНК).

Мембраны. Мембраны отделяют внутреннюю среду от внешней, разделяют клетку на отдельные компартменты (отсеки). Мембраны определяют возможность проникновения в клетку и выход из нее и отдельных органелл различных веществ (проницаемость). На поверхности мембран локализованы различные рецепторы, в том числе и рецепторы гормонов. Мембраны представляют собой тонкие (6-10 нм) замкнутые липопротеидные пласты. Вследствие этого у них нет свободных концов, и гидрофобные участки фосфолипидов не контактируют с водой. С этим же связано спонтанное образование различных везикул (пузырьков). Поверхностная одинарная мембрана - плазмалемма - отграничивает толщу цитоплазмы от пектоцеллюлозной оболочки. Вся поверхность плазмалеммы покрыта глобулярными частицами. Полагают, что в этих частицах сосредоточены ферменты, участвующие в образовании клеточной оболочки. Плазмалемма обладает полупроницаемостью, хотя и не идеальной. Мембранные белки, образующие внутри мембраны каналы, проницаемые для воды, носят название аквапорины. Ряд белков плазмалеммы осуществляет рецепторную функцию, в частности, связываясь с гормонами.

Эндоплазматический ретикулум (ЭПР) или эндоплазматическая сеть - сложная система каналов, окруженных мембранами (6-7 нм), пронизывающая всю толщу цитоплазмы. Каналы имеют расширения - цистерны, которые могут обособляться в крупные пузырьки и сливаться в вакуоли. Каналы и цистерны ЭПР заполнены электронно-прозрачной жидкостью, содержащей растворимые белки и другие соединения. К мембране ЭПР могут быть прикреплены рибосомы.

Аппарат Гольджи представляет собой стопки цистерн - уплощенных мешочков, окруженных мембранами. Кроме цистерн имеется ряд сферических пузырьков диаметром до 60 нм, связанных с цистернами, и крупные прозрачные вакуоли - везикулы. Белки, составляющие цистерны аппарата Гольджи, связываются между собой и образуют диктиосомы, которые распределены в растительной клетке по всей цитоплазме. Аппарат Гольджи имеет два конца, два полюса: на одном полюсе, формирующем, образуются новые цистерны, на втором полюсе, секретирующем, происходит образование пузырьков.

Вакуоль - полость, заполненная клеточным соком и окруженная мембраной (тонопластом). В молодой клетке обычно имеется несколько мелких вакуолей (провакуолей). В процессе роста клетки образуется одна центральная вакуоль, которая может занимать до 90% объема клетки. В образовании вакуоли могут участвовать пузырьки, отделяющиеся от аппарата Гольджи. Тонопласт обладает избирательной проницаемостью, в нем локализована система активного транспорта веществ. Во многих случаях вещества, проникающие через плазмалемму, не проникают через тонопласт и не попадают в вакуоль. Вакуоль содержит клеточный сок, в котором растворены соли, органические кислоты, сахара, ферменты, метаболиты (алкалоиды, фенолы) и другие соединения. В вакуоль также экскретируются различные клеточные отбросы, которые затем могут там перерабатываться и обезвреживаться. Тонопласт может образовывать инвагинации. При этом часть цитоплазмы включается в вакуоль и там подвергается действию различных ферментов (переваривается).

Лизосомы - органеллы диаметром до 2 мкм - окружены мембраной, возникшей из мембран эндоплазматической сети или аппарата Гольджи. Внутренняя полость лизосом заполнена жидкостью, в которой содержатся ферменты, главным образом гидролитические (протеазы, нуклеазы, липазы и др.). Ферменты, катализирующие процессы распада и сосредоточенные в лизосомах, благодаря мембране оказываются изолированными от остальной содержимой клетки. Это имеет большое значение, так как предупреждает распад веществ, в частности белков, находящихся вне лизосом. Вместе с тем в лизосомах может происходить разрушение чужеродных веществ, попавших в клетку.

Микротельца - это окруженные одинарной мембраной пузырьки сферической формы, более мелкие, чем лизосомы. Их диаметр равен 0,5-1,5 мкм. Микротельца возникают из ЭПР. Основная функция - накопление и изоляция ферментов. Пероксисомы содержат ряд окислительных ферментов (каталаза, гликолатоксидаза и др.) и осуществляют окисление различных соединений с образованием перекиси водорода. В пероксисомах проходят отдельные этапы процесса фотодыхания. Другой тип микротелец глиоксисомы встречаются в масличных семенах и в других тканях растений, накапливающих масла. В растительной клетке масла собираются в специальные органеллы, которые иногда называют липидными тельцами или олеосомами. Они окружены однослойной мембраной, состоящей из фосфолипидов, которые гидрофобной частью повернуты внутрь к полости органеллы. В мембране имеются специальные белки олеосины.

Митохондрии - "силовые" станции клетки, в них локализована большая часть реакций дыхания (аэробная фаза). В митохондриях происходит аккумуляция энергии дыхания в аденозинтрифосфате (АТФ). Энергия, запасаемая в АТФ, служит основным источником для физиологической деятельности клетки. Митохондрии обычно имеют удлиненную палочковидную форму длиной 4-7 мкм и диаметром 0,5-2 мкм. Химический состав митохондрий несколько колеблется. В основном это белково-липидные органеллы. Содержание белка в них составляет 60-65%, причем структурные и ферментативные белки содержатся примерно в равной пропорции, а также около 30% липидов. Очень важно, что митохондрии содержат нуклеиновые кислоты: РНК - 1 % и ДНК-0,5%. В митохондриях имеется не только ДНК, но и вся система синтеза белка, в том числе рибосомы. Митохондрии окружены двойной мембраной. Толщина мембран составляет 6-10 нм. Мембраны митохондрий на 70% состоят из белка. Фосфолипиды мембран представлены фосфатидтилхолином, фосфатидилэтаноламином, а также специфическими фосфолипидами, например, кардиолипином. Между мембранами находится заполненное жидкостью перимитохоцдриальное пространство, равное 10 нм. Внутренняя мембрана дает выросты - кристы, расположенные перпендикулярно продольной оси органеллы и перегораживающие все внутреннее пространство митохондрий на отдельные отсеки. Мембраны митохондрий обладают большой прочностью и гибкостью.

Ядро открыто Р. Брауном в 1831 г. Значение ядра определяется, прежде всего, наличием в нем дезоксирибонуклеиновой кислоты (ДНК). Обычно в клетке одно ядро. Однако бывают и многоядерные клетки. Диаметр ядра колеблется от 5 до 20 мкм; благодаря относительно большому размеру эта клеточная структура хорошо видна в световой микроскоп. Форма ядра бывает различной: сферической, удлиненной, дисковидной. Расположение ядра в клетке непостоянно. В молодой растительной клетке чаще всего ядро расположено ближе к ее центру. Химический состав ядра представлен, главным образом, нуклеиновыми кислотами и белками. Так, изолированные ядра клеток гороха содержат ДНК - 14%, РНК - 12%, основных белков - 22,6%, прочих белков - 51,3%. Ядерная оболочка состоит из двух мембран толщиной около 8 нм каждая, разделенных между собой перинуклеарным пространством шириной 20-30 нм, которое заполнено жидкостью. Внешняя мембрана на поверхности имеет сложную складчатую структуру, местами соединенную с эндоплазматической сетью. На внешней мембране расположено большое количество рибосом. Внутренняя мембрана может давать впячивания. Ядерная оболочка имеет поры. На 1 мкм2 ядерной оболочки насчитывается от 10 до 100 пор диаметром около 20 нм. Поры - сложное образование; они имеют форму часового стекла, которое окружено как бы ободком. Ободок состоит из отдельных белковых гранул. В центре поры расположена центральная гранула, соединенная нитями с гранулами ободка. Поры ядра - динамичные образования, они могут открываться и закрываться. Таким путем может осуществляться регуляция обмена между ядром и цитоплазмой.

 

2. Нуклеиновые кислоты, их структура. Функциональные группы нуклеиновых кислот


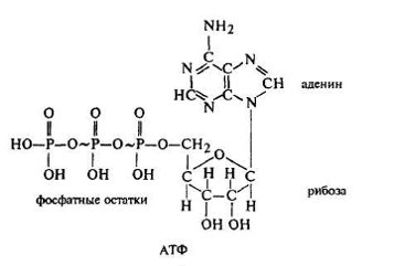
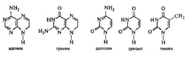
Нуклеиновые кислоты (НК) представляют собой гетерополимеры, мономерами которых являются нуклеотиды. Нуклеотид состоит из азотистого основания, связанного с ним пятиуглеродного сахара и остатка ортофосфорной кислоты (Р). В НК присутствуют азотистые основания двух типов - производные пурина (пуриновые) и производные пиримидина (пиримидиновые). К пуриновым основаниям относятся аденин (А), гуанин (Г), к пиримидиновым - цитозин (Ц), урацил (У) и тимин (Т).


Каждый нуклеотид получает название по входящему в него азотистому основанию, например адениловая кислота (или аденозинмонофосфат - АМФ): аденин - рибоза - Р.

АМФ может фосфорилироваться с образованием аденозиндифосфата - АДФ (аденин-рибоза-Р ~ Р); фосфорилирование последнего приводит к образованию аденозинтрифосфата (АТФ):


При гидролитическом отщеплении остатка фосфорной кислоты от АМФ высвобождается 12,6 кДж, гидролиз же второй или третьей фосфатной связи в АТФ дает около 33,6 кДж. Универсальным энергетическим аккумулятором в клетке является АТФ. Присоединение остатка фосфорной кислоты к АДФ с использованием энергии окисления (при дыхании) или света (при фотосинтезе) представляет "зарядку". Отщепление фосфата от АТФ с образованием АДФ сопровождается выходом энергии - "разрядка":

АДФ + Фнеорг + энергия →АТФ + Н2О - "зарядка";

АТФ + Н2О → АДФ + Фнеорг + энергия - "разрядка".

Энергия макроэргической связи АТФ расходуется в клетке на самые разные виды работ.

Не только АТФ, но и другие трифосфатнуклеотиды (ГТФ, ЦТФ, УТФ, ТТФ) являются макроэргическими соединениями, способными при гидролизе концевой фосфатной связи освобождать большое количество энергии.

При образовании НК нуклеотиды соединяются друг с другом с помощью фосфорно-эфирной связи, возникающей между остатком фосфорной кислоты у пятого атома рибозы или дезоксирибозы и гидроксилом третьего атома сахара следующего нуклеотида:


Образующаяся полинуклеотидная цепочка имеет два конца - 5', где расположена несвязанная фосфатная группа, и 3', у которой находится свободная группа ОН при третьем атоме пентозы.

НК подразделяют на рибонуклеиновые (РНК) и дезоксирибо-нуклеиновые (ДНК). Их состав различен. В РНК входят нуклеотиды с А, Г, Ц, У, сахар - рибоза. ДНК содержит А, Г, Ц, Т, сахар - дезоксирибоза. Последовательность нуклеотидов определяет первичную структуру НК.

Как и белки, НК имеют сложную специфическую структуру, в основе которой лежит принцип комплементарности. Комплементарность проявляется в том, что азотистые основания взаимодействуют друг с другом посредством образования водородных связей строго попарно - А с Т или У, а Г с Ц. Между комплементарными основаниями возникают две или три водородные связи (….):


Трехмерная структура ядерной ДНК представляет собой двойную спираль: две правозакрученные спирали переплетены друг с другом, при этом 3' - конец одной из них соответствует 5' - концу другой. Структура двойной спирали стабилизируется водородными связями между комплементарными нуклеотидами. Молекула ДНК хлоропластов и митохондрий (как и ДНК прокариот) замкнута в кольцо.

В интерфазе клеточного деления ДНК входит в состав особого ядерного вещества - хроматина, в котором также присутствуют белки - основные (гистоны) и неосновные, а также небольшое количество РНК и липидов. Основой структуры хроматина являются нуклеосомы, которые представляют собой белковые диски из 8 молекул гистонов, по окружности которых намотана часть ДНК (140 пар оснований). Нуклеосомы соединяются участками ДНК (линкерами), состоящими приблизительно из 60 нуклеотидных пар. Нуклеосомная укладка ДНК способствует ее компактизации, степень которой увеличивается в митотическом ядре. В период митоза хроматин формирует хромосомы, число и форма которых являются важнейшим критерием вида. При образовании хромосомы 8-10 нуклеосом объединяются в виде глобул. В дальнейшем уплотненная таким образом структура образует петли. Сближаясь между собой, они формируют толстые (0,1-0,2 мкм) хромосомные нити (хромонемы), которые, в свою очередь, образуют видимые в микроскоп хромосомы. Все это обеспечивает концентрацию в небольшом ядре Огромного количества наследственной информации, а также облегчает абсолютно точное ее распределение между дочерними клетками. Структура молекул РНК достаточно разнообразна, что связано с многообразием их функций. Так, матричная (информационная) РНК представляет собой одинарную спираль, для транспортной РНК характерно сочетание одинарных и спаренных участков, рибосомальная РНК имеет более сложную структуру.

 

3. Транспирация и ее биологическое значение. Особенности верхнего "двигателя" водного потока


В основе расходования воды растительным организмом лежит процесс испарения - переход воды из жидкого в парообразное состояние, происходящий при соприкосновении органов растения с ненасыщенной водой атмосферой. Однако этот процесс осложнен физиологическими и анатомическими особенностями растения, и его называют транспирацией. Назначение транспирации заключается в следующем:

)        Транспирация спасает растение от перегрева, который ему грозит на прямом солнечном свете. Температура сильно транспирирующего листа может примерно на 7 º С быть ниже температуры листа завядающего, нетранспирирующего. Это особенно важно в связи с тем, что перегрев, разрушая хлоропласты, резко снижает процесс фотосинтеза (оптимальная температура для процесса фотосинтеза 20-25°С). Именно благодаря высокой транспирирующей способности многие растения хорошо переносят повышенную температуру.

2)      Транспирация создает непрерывный ток воды из корневой системы к листьям, который связывает все органы растения в единое целое.

)        С транспирационным током передвигаются растворимые минеральные и частично органические питательные вещества, при этом чем интенсивнее транспирация, тем быстрее идет этот процесс.

Основной силой, вызывающей поступление и передвижение воды в растении, является процесс транспирации, в результате которого возникает градиент водного потенциала. Водный потенциал - это мера энергии, используемой водой для передвижения. Чем меньше насыщенность водой данной системы, тем меньше (более отрицателен) ее водный потенциал. При потере воды растением в процессе транспирации создается ненасыщенностъ клеток листа водой, как следствие, водный потенциал становится более отрицательным. Поступление воды идет в сторону более отрицательного водного потенциала. Так называемый верхний концевой двигатель водного тока в растении - это транспирация листьев. Однако опыты показали, что вода может поступать в побеги и через мертвую корневую систему, причем в этом случае поглощение воды даже ускоряется.

Водный потенциал имеет размерность энергии, деленной на объем, поэтому его выражают в барах или паскалях (1 атмосфера = 1,013 бар = 105 Па.106Па равны 1 мегаПа). Химический потенциал воды - µw - это величина, производная от активности воды. Она выражает максимальное количество внутренней энергии молекул воды, которое может быть превращено в работу, измеряется в ДЖ. моль-1 и рассчитывается по уравнению:

µw = µw 0 + RT ln aw, где

µw 0 - химический потенциал чистой воды (принят равным нулю), R - газовая постоянная, T - абсолютная температура, aw - активность воды в системе.

4. Структура и функции устьичного аппарата растений. Роль кутикулярной транспирации


Для соприкосновения листа с атмосферой имеются поры-устьица. Устьице - это отверстие (щель), ограниченное двумя замыкающими клетками. Устьица встречаются у всех наземных органов растения, но больше всего у листьев. Каждая замыкающая клетка устьица имеет хлоропласты, в отличие от клеток эпидермиса, и в них осуществляется фотосинтез.

Устьица являются оригинальным приспособлением, обладающим способностью открываться и закрываться в зависимости от насыщенности замыкающих клеток водой. Стенки замыкающих устьица клеток утолщены неравномерно. У двудольных растений замыкающие клетки бобовидной или полулунной формы; при этом их внутренние прилегающие друг к другу стенки более толстые, а внешние - более тонкие. Когда воды мало, замыкающие клетки плотно прилегают друг к другу и устьичная щель закрыта. Когда воды в замыкающих клетках много, то она давит на стенки, и более тонкие стенки растягиваются сильнее, а более толстые втягиваются внутрь, между замыкающими клетками появляется щель.

Замыкающие клетки устьиц у злаков представлены двумя удлиненными клетками, на концах которых стенки тонкие. При насыщении водой более тонкие стенки растягиваются, благодаря чему образуется щель.

Диаметр устьичных щелей составляет 3-12 мкм.

Устьица соединяют внутреннее пространство листа с внешней средой. Возможны три пути испарения: через устьица - устьичная транспирация, через кутикулу - кутикулярная и через чечевички - лентикулярная.

Кутикулярная транспирация обычно составляет от 10 до 50% от общей потери воды листом. Это зависит от вида растения и возраста листа. Молодые листья имеют слабую тонкую кутикулу и, следовательно, более интенсивную кутикулярную транспирацию. У старых листьев доля кутикулярной транспирации снова возрастает, так как, хотя кутикула и сохраняет достаточную толщину, в ней появляются трещины, через которые легко проходят пары воды, такое явление может наблюдаться и при завядании листьев.

У молодых листьев преобладает кутикулярная транспирация, у взрослых - устьичная.

При кутикулярной транспирации сопротивление диффузии водяного пара у теневыносливых растений составляет 20 с/см и меньше, а у световыносливых - 200 с/см и больше. Это обусловливается различной толщиной и формой кутикулярной поверхности у ксерофитов и мезофитов. В среднем у сельскохозяйственных культур сопротивление диффузии пара колеблется от 20 до 80 с/см.

Устьичная транспирация в большой мере осуществляет водообмен между растением и атмосферой. При открытых устьицах сопротивление диффузии водяного пара у пшеницы составляет 0,5 с/см, у кукурузы - 0,8, у хлопчатника - 32Д у репы - 3,2, у томата и фасоли - более 4 с/см; при закрытых устьицах сопротивление увеличивается во много раз.

Таким образом, устьице регулирует транспирацию в соответствии с условиями среды и уровнем физиолого-биохимических процессов у растений. Это подтверждается относительной транспирацией - транспирацией, отнесенной к испарению со свободной водной поверхности, равной по площади листу.

Поскольку через устьичные щели осуществляется газообмен фотосинтеза и дыхания, то устьице поддерживает эти процессы в соответствии с жизнедеятельностью растения, определяемой транспирационным коэффициентом - количеством воды, использованной растением на биосинтез единицы массы сухого вещества. У растений он бывает от 125 до 1000, а в среднем равен 300 единицам, то есть на 1 т урожая затрачивается 300 т воды. Условия выращивания растений оказывают большое влияние на значение транспирационного коэффициента.

Исследования показали, что на неудобренной почве растения расходуют воду менее продуктивно, чем на удобренной. В последнем случае количество воды, необходимое для создания единицы сухого вещества растения (пшеница), уменьшилось почти в 2 раза. При большом содержании воды в растении и удобрении создается и большая масса урожая. Следовательно, при обеспечении растений питательными веществами они более продуктивно расходуют воду. При прямом солнечном свете на создание единицы сухой массы растением затрачивается наименьшее количество воды, а при рассеянном - намного больше, что объясняют слабой интенсивностью фотосинтеза. С восходом солнца устьице открывается, так как понижается концентрация СО2 в межклетниках листа, используемая в фотосинтезе. За счет образующихся сахаров клетки оводнены, тургорное давление максимальное, и вследствие искривления стенок двух замыкающих устьичных клеток образуется щель, через которую из листа выходит пар и кислород, а в лист поступает СО2. Во второй половине дня устьице закрывается из-за обезвоживания растения. Когда жара спадает, устьице вновь открывается, фотосинтез преобладает над дыханием и осуществляется транспирация. С наступлением ночи дыхание преобладает над фотосинтезом, устьице закрывается до восхода солнца.

Различная морфоструктура листьев растения сказывается на их водообмене: у подсолнечника транспирация 10-го листа составляла 189 мг/дм2·ч, 18-го - 245, 24-го - 339 кг/ дм2·ч. Количество воды в листьях также различно: у яровой пшеницы сорта Цезиум 0111 2-й лист содержал 63,7 % воды от сырой массы, 3-й - 85,0, 4-й - 82,0, 5-й - 78,0, 6-й - 77,3% (пониженное содержание воды во 2-м листе объясняется начавшимся подсыханием). Такое, казалось бы, несоответствие между содержанием воды и ее транспирацией объясняется законом В.Р. Заленского (1984), согласно которому анатомическое строение листьев побега является функцией их удаления от корневой системы. По мере удаления листьев от корневой системы в них наблюдаются следующие анатомические изменения: в большей степени выражены длина сосудистых пучков, число устьиц и число волосков на единицу поверхности, толщина наружных оболочек клеток эпидермиса, развитие воскового налета, типичность развития палисадной паренхимы, степень развития механической ткани; в меньшей степени выражены размерность клеток эпидермиса и мезофилла, волосков, устьиц, извилистость боковых стенок клеток эпидермиса, типичность губчатой паренхимы, степень развития межклетников. Такая морфоструктура листьев обусловливает адаптивную реакцию растения на временное обезвоживание, после которого живыми остаются лишь верхние листья, обладающие ксероморфной структурой.

 

5. Понятие об углеродном питании растений. Физиологическая сущность углеродного питания


Из всех перечисленных типов питания углеродом фотосинтез зеленых растений, при котором построение органических соединений идет за счет простых неорганических веществ (С02 и Н20) с использованием энергии солнечного света, занимает совершенно особое место. Общее уравнение фотосинтеза:

6С02 + 12Н20 - > С6Н1206 + 602 + 6Н20

Фотосинтез - это процесс, при котором энергия солнечного света превращается в химическую энергию. В самом общем виде это можно представить следующим образом: квант света (hv) поглощается хлорофиллом, молекула которого переходит в возбужденное состояние, при этом электрон переходит на более высокий энергетический уровень. В клетках зеленых растений в процессе эволюции выработался механизм, при котором энергия электрона, возвращающегося на основной энергетический уровень, превращается в химическую энергию. Только с помощью зеленых растений энергия Солнца может накапливаться в виде энергии химических связей. Большая часть энергии, используемой человеком на заводах и фабриках, т.е. энергия, благодаря которой происходит движение различных механизмов, машин и самолетов, - это все энергия Солнца, преобразованная в зеленом листе. Запасание энергии в результате фотосинтеза происходит на различные промежутки времени: от минут, часов до сотен миллионов лет (достаточно вспомнить образование торфа и каменного угля в результате разложения растений).

Физический смысл фотосинтеза состоит в том, что в этом процессе происходит электронная перестройка молекул. В целом фотосинтез - окислительно-восстановительный процесс, в ходе которого электроны от воды (редокс-потенциал Н2О/О2 Е = +0,81 В) переносятся к пиридиннуклеотидам (редокс-потенциал НАДФ+/НАДФН Е = - 0,32 В), где электроны находятся на более высоком энергетическом уровне. Перенос электрона идет против термодинамического потенциала и требует энергии. Разность окислительно-восстановительных потенциалов окисления воды и восстановления НАДФ+ равна 1,2 В. Следовательно, для переноса одного электрона термодинамически "вверх" (против термодинамического потенциала) необходимо затратить 1,2 эВ энергии. В итоге электронной перестройки компонентов и образования восстановленных соединений (НАДФН) накапливаются электроны с высоким энергетическим потенциалом. Таким образом, в световых реакциях фотосинтеза при поглощении энергии фотонов создается мощный восходящий поток электронов против градиента термодинамического потенциала. В результате создается большой фонд богатых энергией электронов с запасом энергии 1,5-2 эВ. Эта редокс-энергия в процессах фотосинтетического и окислительного фосфорилирования преобразуется в другие виды химической энергии (электрохимический потенциал, энергия фосфатных связей АТФ). Соединения, образующиеся в результате работы ЭТЦ, имеют высокий восстановительный потенциал (-0,43 В, - 0,6 В). создание мощного восстановительного потенциала в фотосинтезе имеет решающее значение для осуществления важнейших метаболических процессов (прежде всего - восстановление СО2). Образующийся восстановительный потенциал используется также для восстановления нитрита, сульфита и ряда соединений, участвующих в регуляции ферментов углеродного цикла.

 

6. Влияние внутренних и внешних факторов на фотосинтез


Фотосинтез осуществляется в полуавтономных органеллах - хлоропластах. Однако он в значительной мере контролируется процессами, происходящими в растении, и факторами внешней среды.

Отток ассимилятов. Накопление фотоассимилятов в хлоропластах и в околопластидном пространстве приводит к ингибированию ферментов, участвующих в фотосинтезе.

Содержание хлорофилла. С увеличением содержания в клетке хлорофилла увеличивается интенсивность фотосинтеза.

Возраст листа и растения. В ходе роста листа интенсивность фотосинтеза увеличивается. После окончания роста листа она постепенно снижается. У многих однолетних растений интенсивность фотосинтеза достигает максимума в фазу бутонизации и цветения, а затем снижается.

Свет. Имеется нижний порог освещенности, при котором растения начинают фотосинтезировать. Затем зависимость интенсивности фотосинтеза от освещенности имеет логарифмический характер с последующим выходом на плато. Угол наклона кривой зависимости интенсивности фотосинтеза от освещенности зависит от влияния других факторов. Так, у светолюбивых растений она выходит на плато при значительно более высокой освещенности, чем у теневыносливых растений. Уровень освещения, при котором поглощение СО2 в ходе фотосинтеза равно выделению СО2 в процессе дыхания, называется компенсационным пунктом. Важен и спектральный состав света. При освещении красным светом образуются преимущественно углеводы, синим - амино - и органические кислоты.

Температура. При низкой освещенности фотосинтез идет с одинаковой скоростью при 15 и 25оС. Это объясняется тем, что при низкой освещенности интенсивность фотосинтеза зависит от скорости световых реакций. При высокой освещенности интенсивность фотосинтеза лимитируется скоростью темновых реакций и Q10 примерно равен 2. Для большинства растения С3-типа оптимальная температура 20-25оС, для растений С4-типа она равна 25-40оС. При температуре выше оптимальной интенсивность фотосинтеза снижается из-за инактивации хлоропластов и закрытия устьиц.

Содержание СО2 в воздухе. Повышение содержания СО2 с 0,03 % до 0,3 % вызывает увеличение интенсивности фотосинтеза. Дальнейшее возрастание концентрации СО2 до 1 % не сказывается на фотосинтезе, но более высокий уровень СО2 в воздухе приводит к депрессии фотосинтеза. Высокие концентрации СО2 особенно неблагоприятны при высокой освещенности, так как происходит ингибирование темновых реакций. Влияние содержания углекислого газа на фотосинтез зависит от вида растения.

Снабжение водой. При большом водном дефиците интенсивность фотосинтеза снижается из-за закрытия устьиц, что уменьшает поступление СО2 в листья, снижает транспирацию и приводит к повышению температуры листа. Кроме того, обезвоживание изменяет конформацию и, следовательно, активность ферментов.

Содержание кислорода в воздухе, в среднем, равно 21 %. Повышение концентрации или отсутствие кислорода для фотосинтеза неблагоприятны. Кислород снижает активность рибулозодифосфаткарбоксилазы.

Минеральное питание. Исключение любого элемента минерального питания отрицательно сказывается на фотосинтезе. Особенно важны такие элементы как фосфор, магний, железо, марганец, медь, калий и азот. На всех этапах фотосинтеза участвуют фосфорилированные соединения. Калий активирует процессы фосфорилирования и участвует в открывании устьиц. Магний входит в состав хлорофиллов, активирует реакции карбоксилирования и восстановления НАДФ. Железо необходимо для синтеза хлорофиллов. Марганец участвует в фоторазложении воды. Медь входит в состав пластоцианина. Азот необходим для формирования хлоропластов и образования пигментов.

 

7. Факторы, влияющие на интенсивность дыхания


Дыхание, подобно другим процессам жизнедеятельности, зависит от факторов среды: температуры, влажности, содержания кислорода, степени освещенности и др.

Для протекания процессов дыхания требуются определенные температурные условия, причем они разные у каждого вида растений и его органов. У большинства растений для дыхания наиболее благоприятна температура 25 - 30°С. У некоторых видов растений дыхание происходит и при отрицательных температурах, хотя этот процесс протекает очень слабо. Например, почки лиственных и иглы хвойных деревьев дышат и при температуре - 20 - 25°С. У арктических растений даже при низких температурах интенсивность дыхания высокая.

Интенсивность дыхания растений зависит от содержания воды в клетках. Чем меньше воды в клетках, тем слабее идет в них дыхание. С увеличением влажности дыхание семян возрастает в сотни и тысячи раз. Это отрицательно сказывается на хранении семян, так как они сильно разогреваются и погибают. Повышение интенсивности дыхания имеет огромное биологические значение для прорастания семян, поскольку усиление дыхания сопровождается освобождением большого количества энергии, необходимой для роста и развития зародыша.

На дыхание растений влияет содержание кислорода в окружающей среде. Угнетение дыхания начинается при уменьшении содержания кислорода до 5%. Недостаток кислорода испытывают подземные органы (корни и корневища) растений, обитающих на заболоченных и глинистых почвах. В растениеводстве применяются различные агротехнические приемы для улучшения дыхания корней. Так, проводят комплексную обработку посевов машинами, чтобы сократить число обработок и уменьшить уплотненность почвы. Специальными культиваторами почву рыхлят и таким путем улучшают доступ воздуха к корням, при этом срезают сорняки, подкармливают культурные растения. Сильно увлажненные земли осушают, создают дренаж.

На дыхание растений влияет и свет, хотя дышат они днем и ночью, на свету и в темноте. Свет вызывает повышение температуры растения, отчего дыхание его усиливается. У светолюбивых растений, дыхание более интенсивное, чем у теневыносливых. Изменения в окружающей среде, связанные с деятельностью человека, также воздействуют на дыхание растений. Отрицательно влияют на дыхание вредные примеси, пыль, выделяемые промышленными предприятиями. Наиболее интенсивно дышат молодые органы и ткани растений, находящиеся в состоянии активного роста. Цветение и плодоношение сопровождаются усилением дыхания развивающихся цветков и плодов, что связано с образованием новых органов и тканей, обладающих высоким уровнем обмена веществ.

Содержание углекислого газа. СО2 является конечным продуктом как брожения, так и аэробного дыхания. При довольно высоких концентрациях С02, значительно превышающих те, которые обычно окружают растительный организм (выше 40%), процесс дыхания тормозится. Торможение вызывается несколькими причинами:

) высокая концентрация С02 может оказывать общее анестезирующее влияние на растительный организм;

) С02 тормозит активность ряда дыхательных ферментов;

) повышение содержания С02 вызывает закрытие устьиц, что затрудняет доступ кислорода и косвенно тормозит процесс дыхания.

Содержание воды. Небольшой водный дефицит растущих тканей увеличивает интенсивность дыхания. Это связано с тем, что водный дефицит и даже подвядание листьев усиливают процессы распада сложных углеводов (крахмала) на более простые (сахара). Увеличение содержания Сахаров (основного субстрата дыхания) усиливает сам процесс. Вместе с тем при водном дефиците нарушается сопряжение окисления и фосфорилирования. Дыхание в этих условиях представляет в основном бесполезную трату сухого вещества. При длительном завядании растение расходует сахара, и интенсивность дыхания падает. Иная закономерность характерна для органов, находящихся в состоянии покоя. Увеличение содержания воды в семенах с 12 до 18% уже увеличивает интенсивность дыхания в 4 раза. Дальнейшее повышение содержания воды до 33% приводит к увеличению интенсивности дыхания примерно в 100 раз. При перемещении растения или ткани из воды в раствор солей дыхание усиливается - это так называемое солевое дыхание.

Свет. Вопрос о влиянии света на интенсивность дыхания изучался многими физиологами. Решение этого вопроса осложнено методическими трудностями, поскольку на свету трудно разграничить процессы фотосинтеза и дыхания, прямое и косвенное влияние света. В свою очередь, влияние фотосинтеза на дыхание может быть различным и даже противоположным. Так, в процессе фотосинтеза образуются основные субстраты дыхания - углеводы. Вместе с тем промежуточные продукты, образовавшиеся при дыхании, могут вовлекаться в фотосинтетический цикл. Установлено, что свет стимулирует процесс фотодыхания. Все же применение метода меченых атомов позволило, хотя и не полностью, отграничить процесс фотосинтеза от дыхания. В настоящее время полагают, что влияние света на процесс дыхания многообразно. Под влиянием света, особенно коротковолновых сине-фиолетовых лучей, интенсивность обычного темнового дыхания возрастает. Активация дыхания светом показана на бесхлорофилльных растениях. Возможно также, что свет активирует дыхательные ферменты (оксидазы).

Питательные соли. Интенсивность дыхания сильно зависит от снабжения растения элементами минерального питания. Такие элементы, как фосфор, сера, железо, медь, марганец, принимают непосредственное участие в процессе дыхания, входя в промежуточные продукты (фосфор) или являясь составной частью дыхательных ферментов.

Поранение. Поранение органов и тканей растения усиливает интенсивность дыхания. Это связано с разрушением клеток, из-за чего повышается соприкосновение дыхательных субстратов и ферментов. Частично поранение может вызывать переход клеток в меристематическую фазу роста. Интенсивность дыхания делящихся клеток всегда выше по сравнению с клетками, закончившими рост.

Показатели интенсивности дыхания прямо противоположны показателям интенсивности фотосинтеза. Интенсивность дыхания можно определить:

·        по количеству выделенного С02;

·        по количеству поглощенного кислорода;

·        по убыли сухой массы.

Все эти три показателя рассчитываются на единицу массы в единицу времени. Различные виды и экологические формы растений дышат с разной интенсивностью. Как уже упоминалось, светолюбивые растения характеризуются более высокой интенсивностью дыхания по сравнению с теневыносливыми. Растения северных широт по сравнению с растениями, произрастающими на юге, дышат более интенсивно, особенно при пониженной температуре.

Интенсивность дыхания зависит от возраста. Как правило, более молодые растущие органы и ткани дышат более интенсивно. Интенсивность дыхания проростков обычно резко возрастает в течение периода их наибольшего роста (первые 4-5 суток после начала прорастания), а затем начинает падать.

По-видимому, это связано с образованием закончивших рост тканей.

Определенным закономерным образом изменяется интенсивность дыхания листьев. После появления листа в первые дни его роста интенсивность дыхания возрастает, а затем резко падает, а в период пожелтения часто вновь немного повышается. Такое же явление наблюдается у плодов перед их созреванием (климактерический период). Перед отмиранием организма или органа обычно наступает кратковременное усиление процесса дыхания. Это связано, по-видимому, с какими-то необратимыми процессами дегенерации тканей, при которых сложные соединения распадаются на более простые, что увеличивает количество субстратов дыхания. В этот период дыхание не сопровождается фосфорилированием. Коэффициент Р/О резко падает.

Изменение возраста всего растительного организма также сказывается на интенсивности дыхания. Наивысшей интенсивностью дыхания обладают растения перед началом цветения. Низкой интенсивностью дыхания отличаются органы растения, закончившие рост или находящиеся в состоянии покоя. Очень низкое дыхание характерно для сухих семян, завершивших рост плодов, тканей, в которых имеется большой процент мертвых клеток. Низкая интенсивность дыхания у покровных тканей. Высокой интенсивностью дыхания характеризуются цветки (особенно тычинки и пестики), клетки флоэмы и камбия. Как уже упоминалось, различные органы и ткани растения сильно различаются по условиям снабжения их кислородом. В листе кислород свободно поступает практически к каждой клетке. Сочные плоды, корнеплоды, клубни вентилируются очень плохо; они слабо проницаемы для газов, не только для кислорода, но и для углекислого газа. Естественно, в этих органах процесс дыхания сдвигается в анаэробную сторону, дыхательный коэффициент возрастает. Возрастание дыхательного коэффициента и сдвиг процесса дыхания в анаэробную сторону наблюдаются в меристематических тканях. Таким образом, разные органы характеризуются не только различной интенсивностью, но и неодинаковым качеством дыхательного процесса.

Литература


1.      Якушкина Н.И. Физиология растений. Учебник. - М.: Владос, 2004. - 464 с.

Похожие работы на - Особенности строения клетки

 

Не нашли материал для своей работы?
Поможем написать уникальную работу
Без плагиата!
Без нейросетей!