Проектирование насосной станции первого подъема

  • Вид работы:
    Курсовая работа (т)
  • Предмет:
    Физика
  • Язык:
    Русский
    ,
    Формат файла:
    MS Word
    351,26 Кб
  • Опубликовано:
    2015-06-23
Вы можете узнать стоимость помощи в написании студенческой работы.
Помощь в написании работы, которую точно примут!

Проектирование насосной станции первого подъема

Министерство образования и науки Российской Федерации

Федеральное государственное бюджетное образовательное учреждение высшего профессионального образования

«Санкт-Петербургский государственный архитектурно-строительный университет»

Факультет инженерной экологии и городского хозяйства

Кафедра водопользования и экологии






Дисциплина: Насосы и насосные станции

ПОЯСНИТЕЛЬНАЯ ЗАПИСКА

К курсовому проекту:

«Проектирование насосной станции первого подъема»

Выполнил:

студент группы В-3

Семенов В.В.

Руководитель:

Д. т. н., проф.

Васильев В. М.

Санкт-Петербург

Содержание

1. Определение расчетного расхода

. Определение противопожарного запаса воды

. Определение диаметров всасывающих и напорных водоводов

. Определение потерь напора во всасывающих и напорных водоводах и внутри насосной станции

. Определение потребного напора насосной станции

. Подбор насосов и уточнение их параметров

. Определение геометрически допустимой высоты всасывания

. Составление предварительной вертикальной схемы насосной станции

. Составление плана насосной станции

. Уточнение потерь напора, создаваемого насосом

. Уточнение потребного напора и геометрической высоты всасывания

. Подбор вакуумных насосов

. График совместной работы насосов и сети

. Подбор дренажного насоса

. Подбор грузоподъемных устройств

. Определение высоты насосной станции(машинного зала)

. Компоновка остальных помещений насосной станции

. Определение удельной нормы расхода электроэнергии для насосных агрегатов и электродвигателей

. Определение суточного и годового расхода электроэнергии насосных агрегатов

. Список использованной литературы

1. Определение расчетного расхода

Определяем расчётный расход, то есть подача, которая должна быть обеспечена насосной станцией первого подъёма:


Где α - коэфф учитывающий расход воды на собственные нужды в водоочистных сооружениях.

При суточном расходе более 20000 м3/сут, α=1,05.


Где Т - время работы очистных сооружений (24часа)

2. Определение противопожарного запаса воды


Где:

QППЗ - пополнение противопожарного запаса

qП - расход воды на один наружный пожар (определяется из количества жителей по снипу)

При наличии внутреннего пожара qП +5 л/с - > 2струи по 2,5л/с

m - расчетное число пожаров

Qчас max - расход воды за 3 часа смежных с максимальными при коэффициенте k = 1,35


3 - продолжительность пожара (в часах).

Qчас ср - средняя часовая подача насосной станцией первого подъема. Т. е. расход, поступающий с насосной станции.

Т1 - время пополнения противопожарного запаса. По СНиП 2.04.02-84* принимается 24 часа.



Так как k = 7,5 > 7%, то QППЗ необходимо учитывать при подборе насосного оборудования:


3. Определение диаметров всасывающих и напорных водоводов

насосный станция вода напор

Для насосной станции I категории надежности количество напорных водоводов должно быть не менее 2. При подборе диаметров пользуются таблицами Шевелева и рекомендациями СНиП.

Диаметр на всасывающей линии принимаю по половине расхода 705м3/ч = 196л/с и скорости 0,8-1,5м/с по СНиП

dу = 500мм

i = 2,568

v = 0,979м/с

При поломке 1 водовода и расходе 100%:

i = 9,965

v = 1,957м/с

Диаметр на напорной линии принимаю по половинному расходу 705м3/ч = 196л/с и скорости 1-3м/с по СНиП

dу = 350мм

i = 14,978

v = 1,926м/с

При поломке 1 водовода и расходе 70%:

i = 29,485

v = 2,702м/с

Также по таблицам Шевелева принимаю водоводы:

На участке насос - напорная линия:

Q = 196л/с

dу = 350мм

i = 14,978

v = 1,926м/с

На участке всасывающий водовод - насос:

Q = 196л/с

dу = 400мм

i = 8,236

v = 1,537м /с

4. Определение потерь напора во всасывающих и напорных водоводах и внутри насосной станции

Потери в водоводах:

 

 

Где:

β-коэффициент, учитывающий местные потери на водоводах;

i-гидравлический уклон водоводов;

Lн.в. - длина напорной линии;

Lвс.в. - длина всасывающей линии;

.

Потери внутри насосной станции на данном этапе проектирования принимаем hн ст = 2,5м.

Это значение будет уточнено после установки оборудования внутри насосной станции.

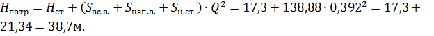
5. Определение потребного напора насосной станции


где Нст - статический напор.

1 - отметка уровня воды в смесителе очистных сооружений (резервуаре)

Z2 - отметка наинизшего уровня воды в водозаборном колодце.

hвс.вод - потери напора во всасывающем водоводе/

hвдм - потери напора на водомере (сужающем устройстве); предварительно принимаются равными 0,5-1,5 м;

hнс - потери внутри насосной станции; предварительно принимаются равными 2,0-2,5 м;

hнап.вод - гидравлические потери в напорном водоводе;из - запас напора на излив, учитывающий потери при выходе из трубы в резервуар;

принимается hиз = 0,5 м.


6. Подбор насосов и уточнение их параметров

При определении количества резервных агрегатов руководствуются рекомендациями СНиП, в зависимости от категории надежности станции и количества рабочих насосов.

В нашем случае, для 2 рабочих агрегатов будет предусмотрено 2 резервных насоса.

Выбор насоса осуществляется при следующих параметрах:

Расход:

Напор:

На станции будут использоваться насосы фирмы Grundfos HS 250-200-381/357

Характеристики:

Расход:

Напор:

Доп. кав. запас NPSH:

КПД составляет 83,4%

Мощность на валу: P2 = 87,8 кВт

(полная характеристика находится в приложении)

Рабочее колесо стачивается с 226мм до 223мм

7. Определение геометрически допустимой высоты всасывания

 

Где:

Допустимый кавитационный запас

Потери во всасывающем трубопроводе:

Атмосферное давление Pа/ρg = 10,33м.

Парциальное давление Pпарц/ρg = 0,24м.

,5 - запас, который рекомендует учитывать Grundfos.

Насосы устанавливаю не под залив, так как разница отметок земли и воды в колодце велика. В связи с этим придется подобрать вакуум-насосы для залива насосов.

Допустимая положительная высота всасывания составляет 4,5м. Устанавливать ось насоса выше этой высоты запрещается, так как это ведёт к разрыву сплошности потока и появлению пузырей, следовательно, к кавитации, что категорически недопустимо.


Ось насоса проходит на отметке 32,7м.

8. Составление предварительной вертикальной схемы насосной станции

·        Напорный трубопровод прокладывается ниже глубины промерзания (для Ленинградской обл. 1,4м) на величину 0,5d.

·        Отметка оси насоса должна быть выше отметки пола на 0,5 - 0,7м.

·        Уровень пола должен превышать на 0,1-0,3м отметку земли, чтобы исключить попадание дождевой воды.


Расчет основания под насосы.

Масса насоса Grundfos HS 250-200-381/357 по паспорту составляет 2070кг. Если масса фундамента m составляет 2-3 массы насоса то, зная габариты опорной плиты насоса, мы можем определить объем и глубину заложения фундамента.

Масса фундамента принимаю порядка 5000кг. Значит, объем бетонной смеси:

 

Высота фундамента:

 

Учитывая то, что высота фундамента от пола должна составлять около 0,3м. заглубление фундамента составит 0,90м.

9. Составление плана насосной станции

Рассмотрены 2 варианта плана станции: А, В.

Вариант А.

Компоновка насосов типа Д в один ряд и установка напорной флейты выше оси насоса.

Крупных недостатков не имеет. Длина машинного зала больше, чем в варианте В.

Вариант В.

Компоновка насосов типа Д в два ряда и установка напорной флейты на определенной отметке. Тяжело организовать обслуживание насосов и запорной арматуры. Но более компактна, чем вариант А.

Из них наиболее рациональным представляется вариант А.

Все планы представлены в приложении

Размер монтажной площадки определяем исходя из размеров транспортного средства, заводящего оборудование внутрь станции +0,7 м вокруг него.

Размер монтажной площадки принимаем: 9,0x3,6м.

10. Уточнение потерь напора, создаваемого насосом

Схема к определению потерь напора

Сводная таблица потерь напора

Поз.

Наименование сопротивления

Расчетная формула

Q, л/с

d, мм

v, м/с

ξ

1000i

Кол-во

Величина потерь, м

Потери по длине

-

Участок длиной 5,9м

392

500

1,99

-

10,34

1

0,061

-

Участок длиной 3,1м


196

500

0,99

-

2,67

1

0,008

-

Участок длиной 2,2м


196

400

1,55

-

8,46

1

0,019

-

Участок длиной 8,2м


196

350

1,97

-

15,892

1

0,130

Местные сопротивления

1

колено 90град

392

500

1,99

0,5

-

1

0,101

2,4

Задвижка


392

500

1,99

0,2

-

2

0,081

3

тройник в прямом направлении


392

-

1,99

0,1

-

1

0,020

5

тройник в прямом направлении


196

-

0,99

0,1

-

1

0,005

6

Задвижка


196

500

1,15

0,2

-

1

0,013

7

тройник с разде-лением потоков


196

-

1,55

1,28

-

1

0,157

7

Задвижка


196

400

1,55

0,1

-

1

0,012

-

Вибровставка


196

400

1,55

0,7

-

1

0,086

9

Переход суживающийся


196

-

4,00

0,21

-

1

0,171

10

Переход расширяющийся


196

-

6,24

0,15

-

1

0,298

-

Вибровставка


197

-

1,97

0,7

-

1

0,138

11

клапан обратный


196

350

1,97

1,7

-

1

0,336

12,14,16

Задвижка


196

350

1,97

0,2

-

3

0,119

-

колено 90град


196

350

1,97

0,19

-

1

0,042

13

тройник с соединием потоков


196

350

1,97

0,91

-

0,030

15

тройник в прямом направлении


196

350

1,97

0,1

-

1

0,336

17

колено 90град


196

350

1,97

0,5

-

1

0,099








Итого


2,262


Определение потерь в водомере.

Чаще всего на насосных станциях в качестве водомеров ставятся сужающие устройства.

Для заданного расхода 707м3/ч находим подходящий диафрагменный водомер с соотношением диаметров d/dy = 0,67. (водомер ставится на напорном трубопроводе).

Относительное сужение потока:


Перепад напора в сужающем устройстве составляет:


Потери напора в диафрагменном водомере составят:

11. Уточнение потребного напора и геометрической высоты всасывания


Таким образом, разница в потребном напоре составляет 0,82м. Можно сделать вывод, что подобранный насос нам подходит с незначительным запасом, не превышающем 1м.

Уточним геометрически допустимую высоту всасывания насоса.

 

 

Из за того, что высота изменилась, требуется уточнить отметку оси насоса и пола насосной станции:


12. Подбор вакуумных насосов

Производительность вакуумных насосов:


где k - коэффициент запаса, принимается k=1,05 - 1,1;тр - объем всасывающего трубопровода от всасывающего патрубка насоса до зеркала воды

н - объем всасывающей полости насоса, принимается Wн = 0,4 м3;- Время заливки насоса водой, принимается 4 мин;

Ра - атмосферное давление, 10,33 м.

Устанавливается один рабочий и один запасной насос фирмы Sigma Zavadka 80-SZO-244-125-LC-00.

13. График совместной работы насосов и сети

При нормальном режиме (работе одного всасывающего и двух напорных водоводов):

 

Где:

Статический напор -

Потери напора в системе -

 

 - суммарный коэффициент удельного сопротивления.

Статический напор Hст равен:

 

Отметка подачи воды на очистные сооружения ZОС = 45,5м.

 

Принимаем по таблицам Шевелева [табл.2] удельное сопротивление единицы длины А в зависимости от диаметров:

 

 

Коэффициенты удельного сопротивления:

 

Где:

β - коэффициент, учитывающий местные потери на водоводах;

lвс.в. - длина всасывающей линии;

 

 

 

Проверка:

 

(разница в 0,8м объясняется тем, что при расчете не были учтены потери в водомере и запас на излив 0,5м.)

Таблица для построения линии сети при нормальном режиме.

Q, л/с

0

40

80

120

160

200

240

280

320

360

400

440

Н, м

17,30

17,51

18,16

19,23

20,72

22,65

25,00

27,79

31,00

34,63

38,70

43,19


При аварийном режиме (работе одного всасывающего и одного напорного водовода):

При выходе из строя одного водовода насосная станция должна обеспечивать не менее 70% расчетного расхода (не менее 275л/с).

Статический напор Hст равен:

 

Удельные сопротивления единицы длины:

 

 

Коэффициенты удельного сопротивления:

 

 

Проверка:

 

Выходит, при аварии станция не будет обеспечивать потребный напор. Для устранения подобной проблемы следует сделать перемычку.

Разделим напорный водовод на 4 равных участка по 275м.

В случае аварии на каком либо участке:

 

 

 

Проверка:

 

Потребный напор обеспечен.

Таблица для построения линии сети при аварийном режиме.

Q, л/с

0

40

80

120

160

200

240

280

320

Н, м

17,30

17,67

18,78

20,63

23,22

26,55

30,62

35,43

40,98


На основании строим график характеристики сети.

- характеристика (H-Q) работы 1 насоса Grundfos HS 250-200-381/357

- характеристика (H-Q) работы совместно 2 насосов Grundfos HS 250-200-381/357

- характеристика (H-Q) сети при работе одного всасывающего водовода и двух напорных (нормальная работа)

- характеристика (H-Q) сети при работе одного всасывающего водовода и одного напорного (авария на участке)



14. Подбор дренажного насоса

В подземную часть насосной станции вода поступает из грунтовых вод, фильтрующих через стены здания, через сальники насосов и при ремонте оборудования, изливом. Для ее удаления предусматривается установка дренажного насоса.


Насос подбираем по следующим параметрам:

Расход:

Напор:

Принимаем к установке

насоса Unilift KP 350

Один рабочий, другой резервный

Расположим дренажный колодец под лестницей, ведущей в машинный зал. Вода к колодцу будет подводиться по лотку, расположенному у стены. Пол делается с уклоном 0,002 в сторону лотка.


15. Подбор грузоподъемных устройств

Для транспортировки и монтажа оборудования насосной станции используем грузоподъёмное устройство в зависимости от веса самого тяжёлого элемента оборудования, расположенного внутри насосной станции (Магр = 2070 кг - насос с электродвигателем), умноженного на поправочный коэффициент 1,1, т.е. 2070- 1,1 = 2277 кг.

Характеристики:

Пролет крана Lk……..….7,5m

База крана Bk…………..…1,7m

Полная длинна крана L….8,3m

Масса…………………….1684kg

Размеры, mm

Lo

B

C

D

H1

H2

K

Sk

Lh1

Lh2

Hmin

Bh

500

250

42

Ø175

680

200

2100

503

915

980

1160

645


Базовый телфер МТ410Н...V12/1EN20

Высота на подъем телфера Н……9m

16. Определение высоты насосной станции (машинного зала)


Высота станции определяется по формуле:

 

Где:

 - погрузочная высота платформы;

0,5 - высота от груза до т/с;

 - высота наиболее высокого груза;

 - высота строповки;

 - высота крана от крюка до верха.

Таким образом,

минимальная высота станции:

 

Принимаю высоту станции:

17. Компоновка остальных помещений насосной станции

Монтажная площадка:

Размер монтажной площадки определяем исходя из размеров транспортного средства, +0,7м. вокруг.

Габариты площадки 3,6х9,0м

Размеры ворот 3,0х3,0м

Для определения габаритов трансформаторной требуется определить мощность трансформаторов.

 

Где:

 - коэффициент спроса по мощности, при 2 работающих двигателях равен 1

 - паспортная мощность электродвигателей основных насосов.

 - КПД электродвигателя.

 - коэффициент мощности электродвигателя.

Предусматриваем 2 трансформатора мощностью 250кВА(понижение с 10 до 6,3кВ) и один трансформатор для нужд станции мощностью 160кВА(понижение с 6,3 до 0,4кВ)

При выходе из строя одного трансформатора перегрузка другого составит

 

Допустимое время 64% перегрузки для масляного трансформатора составляет порядка 40 минут.

Таблица размеров помещений насосной станции:

Название помещения

Габариты, м

площадь, м2


A

B


Помещение РУ

4,2

8,7

36,54

Щитовая

10,3

3,5

36,05

Трансформаторная

2,9

4,2

12,18

Диспетчерская

3,4

3,5

11,90

Комната персонала

4,0

3,0

12,00

Санузел

2,6

1,8

4,68

Холл

2,5

5,0

15,02


18. Определение удельной нормы расхода электроэнергии для насосных агрегатов и электродвигателей

 

Анализируя полученный результат можно сказать, что насос и электродвигатель к нему подобраны экономично.

19. Определение суточного и годового расхода электроэнергии насосных агрегатов

 

Где:

 - плотность воды

 - КПД электродвигателя

 - КПД насосов при i-й ступени.

 - время работы в течение суток в режиме i-й ступени (в часах).

 и  - соответственно, суммарная подача м3/с и напор, м.

n - число ступеней.

 

Годовой расход электроэнергии с учетом того, что насосная станция не каждый день работает с максимальной подачей, определяют по формуле:

 

20. Список использованной литературы

1. Залуцкий Э.В., Петрухно А.И. Насосные станции. Курсовое проектирование. - К. Вища шк. Головное изд-во, 1987. - 167 с.

. Кораблев А.И., Черкасов Г.Н., Учебное пособие к выполнению курсового проекта: Проектирование водопроводных и канализационных насосных станций. Ленинград, 1985г.

. Карелин В.Я., Минаев А.В. Насосы и насосные станции. Учебник для вызов - 2-е издание, переработано и дополнено - М.: Стройиздат, 1986.

. Шевелев Ф. А., Шевелев А. Ф. Таблицы для гидравлического расчета водопроводных труб. М.: Стройиздат, 1984. 116 с.

. Справочник монтажника: Оборудование водопроводно-канализационных сооружений, М.: Стройиздат, 1979 . 430 с.

Похожие работы на - Проектирование насосной станции первого подъема

 

Не нашли материал для своей работы?
Поможем написать уникальную работу
Без плагиата!
Без нейросетей!