Выбор оптимальной схемы завоза грузов на приток

  • Вид работы:
    Курсовая работа (т)
  • Предмет:
    Транспорт, грузоперевозки
  • Язык:
    Русский
    ,
    Формат файла:
    MS Word
    600,29 Кб
  • Опубликовано:
    2015-11-19
Вы можете узнать стоимость помощи в написании студенческой работы.
Помощь в написании работы, которую точно примут!

Выбор оптимальной схемы завоза грузов на приток

Министерство транспорта и связи Российской Федерации

ФГБОУ ВО «СГУВТ»

Кафедра: УРФ







КУРСОВОЙ ПРОЕКТ

по дисциплине: «Управление транспортным процессом»

на тему: «Выбор оптимальной схемы завоза грузов на приток»

Вариант №15


Выполнил:

студент 6 курса НЗФ

ЭК-10-027

Менчиков А.П.

Проверил:

Бунташова С.В.



Новосибирск 2015

Введение

навигация груз судно эксплуатационный

Развитие экономики России на современном этапе во многом определяется возможностями районов Сибири, развитием производительных сил этого сложного в освоении региона.

Водные пути этого региона обладают огромным энергетическим потенциалом, они проходят в районах со сложными условиями климата, по обширной малоосвоенной территории. В большинстве районов реки - это единственный транспортный путь для завоза необходимых грузов.

Роль речного транспорта в экономике России определяется не столько масштабностью транспортной работы, сколько особой значимостью выполняемых им функций.

Развитие и освоение районов Сибири вызывает необходимость установления транспортных связей как внутри, так и за пределами районов. Одно из ведущих мест здесь занимает речной транспорт, особенно на малых реках. В настоящее время в системе речного флота эксплуатируется более 350 малых рек общей протяженностью более 50 тысяч километров, что составляет 46% от всех водных путей этой отрасли.

Организация перевозок грузов с использованием малых рек предполагает решение ряда задач:

·        обоснование схем завоза грузов в пункты малых рек;

·        обоснование периода работы флота на малых реках;

·        оптимальное распределение перевозок между различными видами флота;

·        оценка экономической эффективности завоза грузов речным транспортом по малым рекам.

В данной курсовой работе будет уделено внимание малым рекам в труднодоступных районах. Целью выполнения данной работы является определение наиболее оптимальной схемы завоза груза на малую реку.

Условия эксплуатации на малых реках значительно сложнее, чем на магистральных. Основная причина - габариты судового хода. Кроме того, на малых реках, как правило, ограничен период работы флота (от нескольких суток до продолжительности навигации) Это обстоятельство порождает ухудшение показателей использования транспортного флота на малой реке по сравнению с магистралью, в частности ухудшаются показатели загрузки флота, времени проследования, время обработки на причалах, скоростей движения, пропускной способности пути. Кроме этого, себестоимость перевозок грузов и пассажиров в силу указанных причин в 1,5 - 2 раза выше по сравнению с перевозками по магистрали. В силу этого в пароходствах создаётся такая ситуация, когда развитие перевозок на малых реках приводит к существенному снижению эксплуатационной, экономической деятельности предприятия.

1.      Исходные данные








Рисунок 1.1 - Схема водного пути

А - пункт отправления грузов, расположенный на магистрали;

В - устьевой порт;

С - пункт назначения.

Путевые условия по участкам:

)        протяженность участка

LАВ -по магистрали =600 км;

LВС -притоку =250 км.

)        гарантированная глубина судового хода

 - на магистрали  м

- на притоке  м

3)      средняя скоростная потеря (приращение) и при движении, км/ч:

ωмаг - на магистрали =3,2 км/ч,

ωпр - на притоке = 3,5 км/ч;

)        запас воды под днищем Δh= 0,1м

Удельный погрузочный объём груза допускает полную загрузку судна, то есть лимитировать будет только глубина судового хода.

Нормы грузовых работ:

погрузка Бпогр = 30 т/час;

выгрузка Бвыгр = 27 т/час.

Технические операции:

в начальном пункте tтн = 6 час;

- в конечном пункте tтк = 6 час;

в пути tтоп = 1 ч на каждые 100 км пути.

Непредвиденные задержки в пути - 3 % от «чистого» ходового времени.

Технологические затраты в устьевом порту tт.з.(пер.) = 6 час.

Грузовые теплоходы, используемые при перевозках грузов:

·        «крупное» судно - стоимость содержания судов в эксплуатации 5000 руб./час

·        «мелкое» судно - стоимость содержания судов в эксплуатации 2300 руб./час

При выполнении задания рассмотрим следующие варианты схем завоза груза на приток:

1)      Маршрутная схема с использованием на всем пути следования «крупного» судна с неполной загрузкой;

2)      Маршрутная схема с использованием на всем пути следования «мелкого» судна;

)        Немаршрутная схема с перевалкой в устьевом порту всего груза из «крупного» судна в «мелкое» судно;

)        Немаршрутная схема с паузкой в устьевом порту части груза из «крупного» судна в «мелкое» судно.

Период завоза грузов определяется расчетным путем по априорной информации за 10 лет.

Грузопоток за навигацию Gрсч = 20 000т.

Таблица 1.1 - Эксплуатационные характеристики флота

Показатель

Крупное судно

Мелкое судно

Qр, тнж

1100

180

То, м (ср)

0,8

0,4

Тр, м (ср)

2,0

1,2

Vо, км/ч

20

18,0

Vр, км/ч

18,0

14,5


2.      Прогноз периода навигации


Для того чтобы дать точечную и интервальную оценку прогноза периода навигации, необходимо:

)        с помощью метода наименьших квадратов определить уравнение тренда в виде:

(2.1)

где b0, b1 - параметры уравнения, которые находятся с помощью метода наименьших квадратов.

) подставить одиннадцатый год в уравнение тренда, дав тем самым точечный прогноз периода навигации;

)        найти доверительный интервал для среднего значения одиннадцатого уровня ряда с 95% надежностью прогноза.

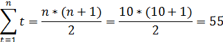
Основой для выполнения курсового проекта являются статистические данные за 10 лет о продолжительности периода завоза грузов на приток в сутках, которые представлены в таблице 2.1.

Таблица 2.1. - Периоды поддержания гарантированных глубин на притоке за последние 10 лет

t

1

2

3

4

5

6

7

8

9

10

y(t)

40

60

39

50

44

58

56

48

60

65


На основе данной информации необходимо построить график поддержания гарантированных глубин на притоке (рисунок 2.1).

Рисунок 2.1- График изменения периода поддержания гарантированных глубин на приток

Уравнение тренда находится с помощью метода наименьших квадратов:

 (2.2)

 (2.3)

Решим полученную систему уравнений методом Крамера:


Уравнение тренда имеет вид:


Точечный прогноз эксплуатационного периода на предстоящую навигацию определяем по уровню тренда, подставляя t=11.


Для нахождения дальнейших параметров удобно воспользоваться таблицей промежуточных расчетов.

Таблица 2.2 - Промежуточные расчеты

t

1

2

3

4

5

6

7

8

9

10

сумма

y(t)

40

60

39

50

44

58

56

48

60

65

 

|e(t)|

22,07

2,07

23,07

12,07

18,07

4,07

6,07

14,07

2,07

2,93

 

e(t)2

486,94

4,27

532,07

145,60

326,40

16,54

36,80

197,87

4,27

8,60

1759,38

|t-tср|

4,5

3,5

2,5

1,5

0,5

0,5

1,5

2,5

3,5

4,5

 

(t-tср)2

20,25

12,25

6,25

2,25

0,25

0,25

2,25

6,25

12,25

20,25

82,5

43,76

45,59

47,42

49,25

51,08

52,92

54,75

56,58

58,41

60,24

 

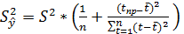
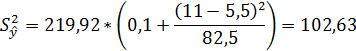
Оценка дисперсии возмущений рассчитывается по формуле:

(2.4)


Оценка дисперсии групповой средней рассчитывается по формуле:

(2.5)


Интервальная оценка прогноза среднего значения рассчитывается:

 (2,6)

где  - оценка среднеквадратического отклонения групповой средней,

t 1-α;n-2 - табличное значение критерия Стьюдента (2,31).

-2,31*10,13≤ Mt(y) ≤ 62+2,31*10,13

,66 ≤ Mt(y) ≤ 85,46

Вывод: Точечный прогноз с вероятностью 95% находится в интервале от 38 до 85 суток и составляет 62 суток.

3.      Разработка вариантов схемы перевозок грузов


Эксплуатационная осадка судна вычисляется по формуле:

(3.1)

 - гарантированная глубина судового хода, м

 м;

 м;

- запас воды под днищем, м;

 м;

 - регистровая осадка судна, м.

Таблица 3.1 - Характеристика схемы завоза грузов

Схема перевозки груза

Осадка судна на магистрали, м

Характер операций в устьевом пункте

Осадка судна на притоке, м


регистровая

эксплуатационная


регистровая

эксплуатационная

I схема

=2

 ==1,1

-

=2

 ==1,1

II схема

=1,2

 ==1,1

-

=1,2

 ==1,1

III схема

=2

 ==2

Перевалка

=1,2

 ==1,1

IV схема

=2

 ==2

Паузка

=2

 ==1,1





=1,2

 ==1,1



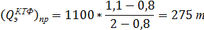
4. Определение эксплуатационной загрузки судна


Эксплуатационная загрузка определяется по формуле:

 , т (4.1)

где:- осадка судна порожнем, м;

 - осадка судна с полной загрузкой, м;

 - регистровая грузоподъемность судна, т.


Таблица 4.1 - Эксплуатационная загрузка  ,т

Условия плавания

магистраль

приток


полная загрузка

частичная загрузка

полная загрузка

частичная загрузка

Судно





"Крупное" судно

1100

275

-

275

"Мелкое" судно

 -

157,5

-

157,5


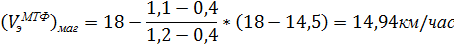
5. Определение скорости судна относительно воды


Скорость судна относительно воды рассчитывается по формуле:

 , км/час (5.1)

где: - скорость судна порожнем, км/час;

 - скорость судна с полной загрузкой, км/час.


Таблица 5.1 - Скорость относительно воды , км/ч

Условия плавания

магистраль

приток


полная загрузка

частичная загрузка

полная загрузка

частичная загрузка

Судно





"Крупное" судно

18

19,50

-

19,50

"Мелкое" судно

 -

14,94

-

14,94


6. Определение технической скорости судна в зависимости от условий плавания


Техническая скорость судов рассчитывается по формуле:

U = V ± ω, км/ч  (6.1)

 Условные обозначения:

 - груженое судно

         - судно порожнем

 - выгрузка

         - погрузка

 - прибытие порожнем

         - отправление порожнем

          - движение с грузом

- - - - - движение порожнем

          - паузка

Маршрутная схема с использованием «крупного» судна




Маршрутная схема с использованием «мелкого» судна


Немаршрутная схема с перевалкой в устьевом порту всего груза из«крупного» судна в «мелкое» судно


 

Немаршрутная схема с паузкой в устьевом порту части груза из «крупного» судна в «мелкое» судно


 

. Расчет продолжительности кругового рейса


Продолжительность кругового рейса рассчитывается по формуле:

 (7.1)

где tтн - время на технические операции в начальном пункте, ч;

tпгр - время погрузки, ч, tпгр =Qэпогр; (7.2)

tтоп - время на технические операции в пути,ч;

∑tхг - суммарное время хода с грузом, ∑tхг= ∑(l/Uгр); (7.3)

tтк - время на технические операции в конечном пункте, ч;

tвгр - время выгрузки, ч, tвгр = Qэвыгр; (7.4)

∑tхо - суммарное время хода порожнем, ч;

tтз(пер) - технические операции в пункте перегрузки, ч;

∑tтз - технические операции в пути,ч., ∑tтз =0,03*(∑tхг+∑tхо) (7.5)

схема: Маршрутная с использованием на всем пути следования «крупного» судна с неполной загрузкой.

139,41 ч = 5,81 сут

схема: Маршрутная с использованием на всем пути следования «мелкого» судна с полной загрузкой.

150,4 ч = 6,27 сут

схема: Немаршрутная с перевалкой в устьевом порту всего груза из «крупного» судна в «мелкое».

167,34 ч = 6,97 сут

62,57 ч = 2,61 сут

схема: Немаршрутная с паузкой в устьевом порту части груза из «крупного» судна в «мелкое».

205,4 ч = 8,56 сут

62,57 ч = 2,61 сут

8. Определение потребности во флоте


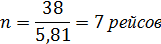
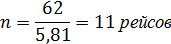
 Количество отправлений:

 (8.1)

где - количество груза, перевозимое за навигацию, т;

;

- эксплуатационная загрузка судна, т.

Количество рейсов:

 (8.2)

где - период навигации, сут;

- время кругового рейса, сут.

Потребность во флоте:

 (8.3)

Схема 1. Маршрутная с использованием на всем пути следования «крупного» судна с неполной загрузкой.


·        точечный прогноз


·        минимальный прогноз


·        максимальный прогноз


Таблица 8.1 - Потребность во флоте схема 1

Прогноз

m

n

Ф

Точечный

73

11

7

Минимальный


7

11

Максимальный


15

5


Расчеты по остальным схемам выполнены аналогично.

Схема 2. Маршрутная с использованием на всем пути следования «мелкого» судна с полной загрузкой.

Таблица 8.2 - Потребность во флоте схема 2

Прогноз

m

n

Ф

Точечный

127

10

13

 Минимальный


7

19

Максимальный


14

10


Схема 3. Немаршрутная с перевалкой в устьевом порту всего груза из «крупного» судна в «мелкое».

Таблица 8.3 - Потребность во флоте схема 3

Прогноз

m

n

Ф


"Крупное"

"мелкое"

"Крупное"

"мелкое"

"Крупное"

"мелкое"

Точечный

19

127

9

24

3

6

 Минимальный



6

15

4

9

Максимальный



13

33

2

4


 

Таблица 8.4 - Потребность во флоте схема 4

Прогноз

m

n

Ф


"Крупное"

"мелкое"

"Крупное"

"мелкое"

"Крупное"

"мелкое"

Точечный

19

94

8

24

3

4

 Минимальный



5

15

4

7

Максимальный



10

33

2

3

 

. Определение стоимости содержания судов в эксплуатации


Найдем стоимость содержания судов в эксплуатации.

 (9.1)

где с - стоимость содержания 1 судна в эксплуатации, руб./час;

 - период навигации, сут;

Ф - количество судов, ед.

Схема 1. Маршрутная с использованием на всем пути следования «крупного» судна с неполной загрузкой.

·              точечный прогноз

С=5000*24*62*7*10-6 = 52,08 млн.руб.

·              минимальный прогноз

С=5000*24*38*11 *10-6= 50,16 млн.руб.

·              максимальный прогноз

С=5000*24*85*5*10-6 = 51,0млн.руб.

Таблица 9.1 - Стоимость содержания «крупного» судна в эксплуатации, млн.руб

точечный прогноз

минимальный прогноз

максимальный прогноз

52,08

50,16

51,00


Схема 2. Маршрутная с использованием на всем пути следования «мелкого» судна с полной загрузкой.

·        точечный прогноз

С=2300*24*62*13*10-6 = 44,49 млн.руб.

·        минимальный прогноз

С=2300*24*38*19*10-6 = 39,85 млн.руб.

·        максимальный прогноз

С=2300*24*85*10*10-6 = 46,92 млн.руб.

Таблица 9.2 - Стоимость содержания мелкого судна в эксплуатации, млн. руб

точечный прогноз

минимальный прогноз

максимальный прогноз

44,49

39,85

46,92


Схема 3. Немаршрутная с перевалкой в устьевом порту всего груза из «крупного» судна в «мелкое».

·              точечный прогноз

Ск=5000*24*62*3*10-6=22,32 млн.руб.

См=2300*24*62*6*10-6=20,53 млн.руб.

·              минимальный прогноз

Ск=5000*24*38*4*10-6=18,24 млн.руб.

См=2300*24*38*9*10-6=18,88 млн.руб.

·              максимальный прогноз

Ск=5000*24*85*2*10-6=20,4 млн.руб.

См=2300*24*85*4*10-6=18,77 млн.руб.

Таблица 9.3 - Стоимость содержания судна в эксплуатации, млн.руб

Судно

Точечный прогноз

минимальный прогноз

максимальный прогноз

"крупное"

22,32

18,24

20,40

"мелкое"

20,53

18,88

18,77

Итого:

42,85

37,12

39,17


Схема 4. Немаршрутная с паузкой в устьевом порту части груза из «крупного» судна в «мелкое».

·              точечный прогноз

Ск=5000*24*62*3*10-6=22,32 млн.руб.

См=2300*24*62*4*10-6=29,76 млн.руб.

·              минимальный прогноз

Ск=5000*24*38*4*10-6=18,24 млн.руб.

См=2300*24*38*7*10-6=31,92 млн.руб.

·              максимальный прогноз

Ск=5000*24*85*2*10-6=20,4 млн.руб.

См=2300*24*85*3*10-6=30,6 млн.руб.

Таблица 9.4 - Стоимость содержания судна в эксплуатации, млн.руб

Судно

Точечный прогноз

минимальный прогноз

максимальный прогноз





"крупное"

22,32

18,24

20,40

"мелкое"

29,76

31,92

30,60

Итого:

52,08

50,16

51,00


Общий итог расчетов стоимости содержания судов в эксплуатации по схемам перевозок представлен в таблице 9.5.

Таблица 9.5 - Стоимость содержания судов в эксплуатации по схемам перевозок, млн.руб

Схема

точечный прогноз

минимальный прогноз

максимальный прогноз





1

52,08

50,16

51,00

2

44,49

39,85

46,92

3

42,85

37,12

39,17

4

52,08

50,16

51,00

 

Заключение


Целью курсового проекта являлось определение оптимальной схемы завоза груза на приток по критерию минимальных затрат. Для этого, мною были определены: точечный, минимальный и максимальный прогнозы периода поддержания гарантированных глубин на малой реке, эксплуатационная загрузка судов, техническая скорость, продолжительность кругового рейса, потребность во флоте и стоимость содержания флота по каждой из предложенных схем завоза груза.

Расчеты показали, что по третьей схеме стоимость содержания судов минимальна для всех прогнозов: минимального (38 сут.), точечного (62 сут.) и максимального (85 сут.).

Предлагается к внедрению немаршрутная схема с перевалкой в устьевом порту всего груза из «крупного» судна в «мелкое».

Список использованных источников


1.      Зачесов В.П., Рагулин И.А. Экономическая география воднотранспортных бассейнов Сибири и Дальнего Востока. - Новосибирск: Сибирское соглашение, 2001

.        Зачесов В.П., Филоненко В.Г. Технология и организация перевозок на речном транспорте: Учебное пособие для вузов. - Новосибирск: Сибирское соглашение, 2004

.        Зачесов В.П., Яновский И.И. Речной транспорт Иртыша. Издательство: "РИО", Омск, 1996.

.        Зачесов В.П., Печеник А.А. Речной транспорт Красноярского края. Красноярское книжное издательство, 1995.

.        Зачесов В.П., Рагулин И.А. Речной транспорт Оби. Новосибирск - "Советская Сибирь", 1997.

Похожие работы на - Выбор оптимальной схемы завоза грузов на приток

 

Не нашли материал для своей работы?
Поможем написать уникальную работу
Без плагиата!
Без нейросетей!