Обзор рисков в деятельности предприятия ОАО 'Галактика'
Оглавление
Введение
1. Сущность появления рисков в деятельности предприятия
1.1 Роль и экономическое оглавление рисков в
финансово-хозяйственной деятельности предприятия
1.2 Систематизация и способы оценки рисков в деятельности
предприятия
1.3 Управление рисками
2. Обзор рисков в деятельности предприятия ОАО
"Галактика"
2.1 Технико-экономическая колляция ОАО "Галактика"
2.2 Оценка рисков в деятельности ОАО "Галактика"
3. Пути снижения и управление рисками в ОАО "Галактика"
Заключение
Список используемой литературы
Приложение 1
Приложение 2
Введение
Произошедшие в экономике России за последние годы метаморфозы
выявили ряд дискуссионных и востребованных задач, носящих теоретический и
прикладной нрав и имеющих исключительно главное значение для устойчивого функционирования
и становления экономики. К приоритетным загвоздкам относятся вопросы теории,
методики и практики принятия управленческих решений в условиях риска и
неопределенности.
Риск - это угроза! Риск - это допустимое в грядущем добротное
либо количественное ухудшение состояния какого-нибудь объекта. В экономической
литературе обыкновенно отталкиваются именно от этих представлений. Опасности
проявления урона при этом характеризуются необязательностью отрицательного
воздействия, неопределенностью параметров и последствий таких как время, сила
проявления, размер урона. Данные неопределенности обусловлены незнанием
законом, нехваткой информации и отсутствием навыков управлением экономическими
рисками (неудовлетворительной квалификацией управленческого персонала).
Всякий бизнес связан с рисками. Всякий удачный бизнес связан
с крупными рисками и от того как с этими рисками справляются коммерсанты,
администраторы, управленцы зависит и триумф предприятия. Кто-то управляет
рисками подсознательно, кто-то понято, но любая действие требует обзора и в
дельнейшем управления рисками для удачного и полновесного становления
предприятия. Важнейшей чертой предпринимательства является присутствие риска
как на стадии создания организации, так и в течение последующего ее функционирования.
Всякое предприятие подвержено риску потери имущества, ценностей, денег, то есть
всяких видов экономических источников, включая труд и время, чай трудовые
потери и потери времени наносят солидный урон итогам предпринимательской
деятельности. Дозволено сформулировать основные задачи системы управления
рисками: возрастание финансовой стабильности, улучшение механизмов управления
рисками. Целью данной курсовой работы является обзор принятия оптимального
управленческого решения с учетом фактора неопределенности и риска на примере
определенной организации ОАО "Галактика".
Поставленная цель обусловила основные задачи изыскания,
состоящие в дальнейшем:
рассмотреть представления неопределенности и риска;
рассмотреть процесс могущества неопределенности и
риска на действие организации;
рассмотреть научные способы принятия решений,
рекомендуемые в условиях неопределенности и риска;
применить на практике разработку управленческих
решений в условиях неопределенности и риска на примере организации ОАО "Галактика".
Объектом изыскания являются неопределенности и риски,
касающиеся деятельности организаций всякий ветви, а предметом изыскания -
принятие управленческих решений, направленных на приобретение наименьших потерь
в условиях неопределенности и риска.
1. Сущность
появления рисков в деятельности предприятия
1.1 Роль и
экономическое оглавление рисков в финансово-хозяйственной деятельности
предприятия
Как вестимо, условием результативности всякий рыночной
деятельности считаются экономическая воля, которая полагает присутствие у
экономического агента (изготовителя, покупателя) определенной общности прав,
гарантирующих ему самостоятельное, независимое принятие решений. Впрочем
экономическая воля является также источником неопределенности ириска, потому что
воле одного экономического агента помогает единовременно воля других.
Риски - это формализация неопределенности, а определение
рисков - метод ее измерения. Чай, невзирая на то что чувство неопределенности
примерно неизменно досадно, в каких-то случаях оно доставляет огромнее
неудобств, в каких-то - поменьше. Уменьшить неясность, значит уменьшить число
рисков, там, где все внятно и прозрачно рисков не и не может быть. Но
обстановка "полной неопределенности" дюже редко встречается в нашем
мире. Может быть, из-за того что риски узко связаны с неопределенностью,
трактовок представления "риск" существует дюже много. Согласно одним
определениям, риск - это угроза происхождения отрицательного события, согласно
иным - урон из-за отрицательных событий, трети же трактовки называют риском
вероятность появления чего-то как отрицательного, так и положительного и. т.д.
Исключительно много дискуссий связано с определением риска как непременно
отрицательного события. Чай положительные, но незапланированные события рисками
обыкновенно не считаются.
И подлинно, риск характеризуется вероятностью наступления
какого-то события и подразумевает если не угроза, то, как минимум могущество
этого события на бизнес, жизнь, план и т.д.[16, с.43]. В отечественной,
экономической науке по существу отсутствуют общепринятые теоретические
расположения о предпринимательском риске, реально не разработаны способы оценки
риска применительно к тем либо другим производственным обстановкам и видам
предпринимательской деятельности, отсутствуют рекомендации о путях и методах
уменьшения и предотвращения риска.
Определенный интерес представляет сравнительное рассмотрение
классической и неоклассической теории предпринимательского риска и их
экономического приложения. При изыскании предпринимательской выручки такие
представители классической теории, так Дж. Милль, И.У. Сениор различали в
структуре предпринимательского дохода процент (как долю на вложенный капитал),
заработную плату предпринимателя и плату за риск (как искупление потенциального
риска, связанного с предпринимательской деятельностью). В классической теории
предпринимательского риска конечный отождествляется с математическим ожиданием
потерь, которые могут случиться в итоге выбранного решения. Риск тут не что
иное, как урон, тот, что наносится осуществлением данного решения.
Такое одностороннее толкование сущности риска вызвало крутое
возражение у части зарубежных экономистов, что повлекло за собой выработку
другого понимания оглавления предпринимательского риска.
В 30-е годы нашего века экономисты А. Маршалл и А. Пигу
разработали основы неоклассической теории предпринимательского риска. Основы
этой теории состоят в дальнейшем: предприниматель, работающий в условиях
неопределенности и выручка которого есть случайная переменная, при завершении
сделки руководствуется двумя критериями:
размерами ожидаемой выручки;
величиной ее допустимых колебаний.
Поведение предпринимателя, согласно неоклассической теории
риска, обусловлено доктриной предельной полезности. Это обозначает, что при
наличии 2-х вариантов, скажем, капитальных вложений, дающих идентичную
ожидаемую выручка, предприниматель выбирает вариант, в котором колебания
ожидаемой выручки поменьше. Согласно неоклассической теории, для
предпринимателя правильная выручка того же ожидаемого размера, но связанная с
допустимыми колебаниями менее увлекательна [25, с.82]. Задача риска в нашей
стране довольно "созрела". Становление рыночных отношений в России
явилось предпосылкой для больше глубокой разработки теории риска в
отечественной экономической литературе. Основополагающей для всех современных
определений риска в русской науке является трактовка в известном словаре С.И.
Ожегова. Так, риск, по словарю Ожегова - это "действие неудачу, в вере на
радостный исход…". Если говорить больше предметно, это:
действие, действие как условие происхождение риска;
действие наудачу, иными словам, это действие без
заблаговременного расчета, с верой на удачный случай, либо целеполагающая,
целеосуществляющая действие;
деятельность "в вере на радостный исход" - речь
идет не о всякий деятельности, а о той, которая удовлетворяет надобностям;
исходя из них ставя цели и предсказывая удачный итог.
По сути, определение риска в русской и иностранной литературе
дозволено объединить в следующие группы. К первой группе отнесем такие определения,
в которых риск воспринимается как вероятность, отклоняя от планируемых итогов.
Во 2-й группе ударение делается на вероятность количественной либо добротной
оценки риска.
В третьей группе представление "риск" раскрывается
через активность субъекта: действие "наудачу" в вере на радостный
исход: образ действия неясной, неопределенной атмосфере; выбор альтернатив в
обстановки неопределенности, реализация способности творчески применять элемент
неопределенности [9, с.16]. Из выше сказанного следует сделать итог, что риск
это в первою очередь общность событий, и он владеет комплектом (дискретным либо
не прерывным) его реализацией, всякая из которых владеет своей вероятностью и
размером урона. Цепочка последовательных шагов, ведущих к финальному, основному
событию - это сценарий. Самим же рисковым обстановкам присущи в совокупности
такие черты, как редкость; уникальность; непрерывность; повторяемость. Рисковая
обстановка может иметь различные итоги, т.е. не только убытки, но и доходы,
выгоды. Следственно различают следующие функции риска:
Регулятивную (стимулирующую): имеет двойственных нрав и
выступает в 2-х формах: конструктивной и деструктивной. Риск направлен на
приобретение итогов нетрадиционным методом. Риск играет роль катализатора,
скажем, при решении инновационных, инвестиционных задач, значит, действует
стимулирующий аспект риска.
Защитная функция проявляется в том, что, от того что риск -
устойчивое состояние экономической системы, необходимы общественная охрана,
правовые, политические и экономические ручательства, исключающие в случаи
неудачи наказание и стимулирующие оправдательный риск.
Инновационную функцию риск исполняет, стимулируя поиск
нетрадиционных решений загвоздок, стоящих перед экономическим субъектом.
аналитическая функция риска связана с тем, что присутствие
риска полагает надобность выбора одного из допустимых вариантов решений, в
связи с чем экономический субъект в процессе принятия решений анализирует все
допустимые альтернативы [9, с.25].
Таким образом, риски являются трудной динамической
категорией, и следственно их нужно оценивать во всех видах деятельности.
риск снижение управленческое решение
1.2
Систематизация и способы оценки рисков в деятельности предприятия
Состав рисков рассматриваемых в экономических изысканиях,
узко связан с особенностями предпринимательской деятельности и среды в которой
он она осуществляется.
В научной литературе применяется ряд абсолютно определенных
тезисов, которые могут быть положены в основу систематизации рисков и
соответственно применяться при разработке стратегий охраны от них [23, с.45].
В управлении рисками применяются разные способы и
инструменты, следственно нужна научно обоснованная систематизация, которая
дозволит упорядочить риски и обозначить определенные направления их снижения
либо оптимизации.
Под систематизацией рисков понимают разделение рисков на
определенные группы в соответствии с определенными всеобщими знаками и для
достижения поставленных целей. Научно обоснованная систематизация риска
помогает отчетливому определению места всего риска в системе и создает
потенциальные вероятности для результативного использования соответствующих
способов, приемов управления риском [9, с.27].
В экономической литературе, исследующей риски и связанные с
этим загвоздки, отсутствует цельная стройная система их систематизации. В
различных систематизациях риски по-различному детализируются, делятся на группы
и т.д. Дозволено отважно утверждать что систематизацией рисков еще огромнее чем
определений рисков. В ряде работ отечественных авторов, как В. Абчук, А.
альгин, Г. Клейнер, В. Северук, Б. Райзберг, В. Ротарь, И. Шумпери др.,
существуют кардинально различные подходы к систематизации рисков. Некоторые
выделяют два вида рисков: риск, связанный с допустимым техническим провалом
производства, и риск, вызванный торговым триумфом.Ю. Осипов рассматривает три
вида предпринимательского риска: инфляционный, финансовый и операционный.
Особенно главными знаками, положенными в основу
систематизации рисков, являются следующие:
время происхождения;
основные факторы происхождения;
нрав учета и последствий;
сфера происхождения.
В работе И.Т. Балабанва "Риск-менеджмент"
предлагается иерархическая система систематизации экономических рисков,
схематически представлена на рисунке 1.1, в конструкцию которой включены
группы, категории, виды, подвиды и разновидности рисков. В соответствии с
представленной иерархией в зависимости от допустимого итога риски бывают чистые
и спекулятивные. и если чистые риски ведут к вероятности приобретения
негативного либо нулевого итога, то спекулятивные риски выражаются вероятностью
приобретения как позитивного, так и негативного итога [9, с.28].
Рис. 1.1 Иерархическая система классификации рисков
Что касается иностранной практики, то одним из первых систематизацию
рисков предложил вестимый экономист Джон Кейнс рассматривал три категории
рисков и, скорее каждого, делал это в границах глобального постижения всеобщей
теории занятости, процента и денег:
Предпринимательский риск - риск неполучения
ожидаемого дохода от вложения средств;
Риск "заимодавца" - риск невозврата
кредита, включающий в себя юридический (уклонение от возврата кредита) и
кредитный риск (недостаточность обеспечения);
Риск метаморфозы ценности денежной единицы -
вероятность потери средств в итоге метаморфозы курса национальной денежной
единицы.
Кредитный и юридический риск присутствуют во всех
систематизациях [16, с.70].
Разглядим основные виды рисков по разным знакам
систематизации.
Торговый риск с вязан с угрозой потерь в процессе финансово-хозяйственной
деятельности. По структурному знаку торговые риски делятся:
А) на имущественные риски, связанные с вероятностью потерь
собственности гражданина, предпринимателя по причине гибели, диверсии,
халатности, перенапряжения технической и технологической нагрузки на
оборудование;
Б) производственные риски, связанные с убытком от остановки
предприятия в следствии воздействия разных факторов, и раньше каждого с
повреждением либо выбытием основных и оборотных фондов;
В) торговые риски, связанные с убытком по причине задержки
платежей за товары и службы, непоставки товара, отказа от платежей в период
транспортировки товара и т.п.;
Г) финансовые риски, связанные с покупательной способностью
денег, вложением капитала, вероятностью потерь финансовых источников.
К финансовым рискам относится:
Инфляционный риск - это рост яруса цен как следствие
перевыполнения каналов денежного обращения излишней денежной массой сверх
спросы товарооборота, в итоге чего денежные доходы обесцениваются с точки
зрения покупательной способности стремительней, чем растут;
Дефляционный риск - это риск того, что при
возрастании покупательной способности денег происходит падение яруса цен,
ухудшение экономических условий предпринимательства и снижение прибылей;
Риск мобильности - связан с вероятностью потерь при
реализации дорогих бумаг либо других товаров из-за метаморфозы оценки качества;
Инвестиционный риск - связан с упущенной выгодой, а
так же снижением доходности, угрозой неуплаты длинна.
Риск снижения доходности - это разновидность инвестиционного
риска, тот, что может появиться в итоге уменьшения размера процентов и
дивидендов по портфельным инвестициям, по взносам и кредитам. Он включает в
себя следующие разновидности рисков:
процентный риск - угроза потерь торговыми банками,
кредитными учреждениями, инвестиционными университетами, компаниями в итоге
превышения процентных ставок, выплачиваемых ими по привлеченным средствам, над
ставкой по предоставленным кредитам.
ценовой риск - риск метаморфозы цены долгового
обязательства в итоге роста либо падения яруса процентных ставок;
кредитный риск - риск, связанный с угрозой неуплаты
заемщиком основного длинна и процентов, причитающихся кредитору. С кредитным
связан имущественный риск - это риск в кредитной сделке, связанный с состоянием
либо качеством собственности заимодавца.
Риск прямых финансовых потерь включает в себя:
биржевой риск;
селективный риск;
риск банкротства.
Совместно с тем есть и другие виды рисков.
Риск заразится - риск того что загвоздки дочерних и
ассоциативных компаний перекинутся на материнскую компанию, и напротив.
Не страхуемые риски - риски, вероятность которых сложно
посчитать даже в самом всеобщем виде и в которых считаются слишком огромными
для страхования.
А так же налоговый риск, организационный, инновационный,
отраслевой, внешний и внутренний, районный риски [9, с.31].
При данном разнообразии рисков оценка урона объекта от
проявления неблагополучного события является особенно трудной загвоздкой, от
того что получить на практике однозначные и всеми признаваемое его значение
традиционно не представляется допустимым. Тем больше, что теория риска, как
водится, имеет дело с ожидаемым уроном при полагаемых знаменитыми силе, нраве
события и степени защищенности объекта. Из этого примечания вытекает значимый
для теории и практики риск - обзора итог: "безусловно непредвзятые и
однозначные оценки урона в подавляющем большинстве обстановок не могут быть
получены". Зачастую показатели урона, используемые вне рамок
экономическо-правовых отношений риск - обзора в той либо другой области
деятельности, дозволено считать экономически бессодержательными.
Обыкновенно при разработке способа расчета урона, тот, что
предполагается обширно применять на практике, усердствуют учесть некоторый
комплект минимальных требований. К ним относится:
. простота с точки зрения использования.
. Ориентация на наименьший объем начальной информации.
. Учет особенностей объекта.
. Учет как дозволено большего числа потерь без приметного
усложнения расчетов.
. Учет обоснованностей метаморфозы нрава и размера урона во
времени с учетом меняющейся силы воздействия
. Соответствие оценок урона действующим в государстве и
регионах экономическим отношениям и правовым и ряд других.
С целью сближения позиций различных субъектов традиционно его
всеобщую величину тяготятся структурировать, разделяя ее на касательно
самостоятельные элементы, по всем из которых могут быть использованы адекватные
их оглавлению способы оценки. Скажем уроны рационально разделять по реципиентам
(объектам воздействия): по регионам, предприятиям, зданиям, сооружениям,
оборудованию. Всеобщая величина урона в такой обстановки может быть получена
путем суммирования уронов отдельных самостоятельных групп реципиентов, которые
в свою очередь, могут быть поделены по знакам места и времени проявления
событий на прямой и косвенной.
Под прямым уроном традиционно понимают убытки, непринужденно
обусловленные проявлением событий. Их примером являются потери физических
ценностей при землетрясении, снижение стоимости акций из-за коллапса, потери
капитала из-за дефолта заемщиков.
Косвенный урон характеризует убытки, вызванные
неблагополучными изменениями во внешней и внутренней среде [10, с.112].
В совокупности каждая общность способов оценки экономического
урона у объекта может быть поделен на три основные группы: способ прямого счета
(отражает все элементы в цепи причинно-следственной связей. Предполагается
оценка результатов, возникающих между всеми сведеньями этой цепи и калькуляцию
разных составляющих статей потерь объекта); способы косвенной оценки
(основываются на некоторых предположениях касательно обоснованностей
образования урона.); составные способы (разные комбинации, объединения
способов, которые дополняют друг друга в решении отдельных задач оценки уронов
от риска) [15, с.79].
1.3
Управление рисками
В системе управления риском главная роль принадлежит
положительному выбору мер предупреждения и минимализации риска, которые в
существенной степени определяют ее результативность. Система снижения рисков
включает в себя определенные способы и пути:
. Получение досканальной информации о грядущем выборе и
итоге.
. Уклонение от риска.
. Диверсификация.
. Резервирование средств на покрытие непредусмотренных
затрат.
. Лимитирование.
. Хеджирование.
. Страхование рисков, самострахование.
. Проверка партнеров по бизнесу и условий завершения сделки.
Бизнес - проектирование.
. Подбор персонала предпринимательской организации.
. Передача риска.
. Другие способы.
Выбор определенного из приведенных способов минимизации риска
зависит от навыка и вероятностей предпринимателя и всякого иного начальника.
Для больше результативного итога ка5 правило используется общность способов.
В своей деятельности начальник встречается со большинством
рисков, потому помимо основных способов их минимизации использует методы
определенные, применяемые только в данном случаи. Методы минимизации особенно
зачастую встречающихся рисков приведены в таблице 1.2 (Приложение 2)
И подлинно, действия, направленные на смягчении риска, могут
быть самыми различными. Люди записываются на курсы экстремального вождения,
дабы уменьшить вероятность попадания в аварию в трудных условиях, - это тоже
тактика смягчения, минимизации, устранения риска. Выбор того либо другого
способа зависит от определенной обстановки, степени риска и вероятностей
предприятия. Именно этим определяется принципиальное решение: принять риск,
снижая его негативные итоги разными способами, либо уклонится от него.
Фирма в процессе осуществления хозяйственной деятельности
может отказаться от совершения финансовых операций либо от вида деятельности
связанного с высоким ярусом риска. Данное направление нейтрализации рисков -
особенно примитивное и коренное, оно дозволит всецело избежать возможных
потерь, но отнюдь не содействует приобретению выручки, связанной с рисковой
деятельностью [9, с.155].
При завершении всякий сделки для снижения риска по
хозяйственным контрактам предпринимателю нужно проверить полагаемого
компаньона. Основное правило бизнеса: "доверяй, но проверяй".
Допустимый путь избежать ошибок при выборе компаньона - создание собственной системы
сбора и обзора информации о возможных либо существующих контрагентах. В
качестве примера в этом случае дозволено применять систему Due Diligence -
"надлежащего внимания", практикуемую западными банками по отношению к
своим заказчикам. Эта система обеспечивает охрану от различного рода
мошенничеств. Один из основных инструментов такой системы - анкета, включающая
вопросы о наименовании компании-контрагента и адресах ее офисов за последние
два-три года; о видах бизнеса, ею осуществляемых. Анкета может содержать вопросы
о партнерах компании и их адресах, в нее включаются вопросы о финансовом
состоянии компании и полагаемом цикле либо грядущем среднем остатке на счете.
Особенно трудные вопросы анкеты связаны с происхождением капитала компании.
Сходственная анкета дает заблаговременную информацию о заказчике, и, в случае
если что-то в его результатах настораживает, следует проводить дополнительное
изыскание, включающее поиск подтверждений (либо опровержений) полученных
данных, поиск фактов, о которых компаньон умолчал, а также проверку сведений
через других контрагентов [9, с.159].
Диверсификация риска является, вероятно, особенно трудным и
увлекательным, требующим высокого профессионализма способом управления риском.
Она представляет собой применение в хозяйственной практике
экономико-математического представления "негативная корреляция".
Инвестируемые денежные средства направляются в идеально самостоятельные, никак
не связанные между собой сделки и планы. В этом случае при реализации рискового
события и возникновении убытков по одной сделке дозволено рассчитывать на
удачный и прибыльный исход иной. Больше того, рационально ориентироваться на
негативно коррелированные исходы, то есть выбирать инвестиционные ценности
(объекты) с прямо противоположными векторами прибыльности. Тогда выручки по
одной сделке сумеют возместить допустимые убытки по иной.
При образовании портфеля дорогих бумаг задаче диверсификации
риска уделяется особенно солидное внимание. Раньше каждого, используется
"правило дюжины". Нужно обеспечить довольное многообразие дорогих
бумаг. Следственно общепринятая практика подсказывает, что в портфеле банка
должно быть как минимум двенадцать пакетов акций самых многообразных компаний.
Дальше обращают внимание на ярус доходности и степень риска дорогих бумаг. Высокодоходные
дорогие бумаги, как водится, заключают в себе немалую степень риска. Дорогие
бумаги с возможным риском приносят соответственно крайне умеренный доход. А
низкорисковые дорогие бумаги непроизводительны и не увлекательны для банка.
Выход из этого расположения предлагает "правило пяти пальцев". Из
него следует, что для образования оптимального портфеля из всяких пяти акций
одна должна быть малорисковая, три - с типичным, возможным риском, а еще одна -
высокорисковая, но и высокодоходная [9, с.160].
В финансовом секторе экономики помимо того зачастую
применяется метод диверсификации риска, получивший наименование
"хеджирование рисков". Хеджирование рисков полагает лимитация
финансовыми инструментами размера убытков, но как следствие и доходов тоже. Оно
проводится в форме завершения параллельных финансовых компенсационных сделок,
когда допустимый убыток по одной сделке компенсируется допустимой выручкой
подругой. Существует много методов хеджирования рисков, но основными, особенно
употребимыми и зачастую встречающимися являются опционы, фьючерсы и сделки своп
[16, с.135].
Дальнейшим шагом в решении загвоздки управления рисками
служит постижение вероятности полного либо частичного самострахования сделки.
Самострахование есть не что иное, как принятие рисков на себя и, без всякого
сомнения, является самым дешевым (за исключением разве что отказа от рисков)
методом борьбы с рисками. Предполагается, что допустимый урон будет покрыт
нынешними денежными средствами либо с подмогой резервного фонда. Следственно видимо,
что применение вероятностей самострахования крайне ограничено. В основном
данный способ оправдывает себя, если вероятность отрицательного исхода и сумма
потенциального убытка не огромны.
При применении самострахования надобно отдавать себе отчет в том,
что экономичность этого способа оборачивается некоторыми негативными моментами.
Раньше каждого, это - "омертвление" оборотного капитала. Фирма
обязана удерживать в запасе немалые средства, на них невозможно рассчитывать
при завершении новых, нередко увлекательных и результативных контрактов, их
немыслимо и небезопасно пускать в цикл. Впрочем все равно есть угроза, что
пойдет "полоса неудач": на фоне низких финансовых поступлений убытки
будут настигать один за иным в коротком интервале времени, и всяких резервных
средств все равно будет неудовлетворительно. Все это вызывает нерешительность и
нервозность у начальства, которые непременно передадутся каждому персоналу
фирмы. Если предотвращение убытков и самострахование не дают желаемой охраны от
риска и лишь в незначительной степени снижают его, что в современном бизнесе
абсолютно видимо, дозволено применить такой самый общеизвестный и повсюду
применяемый, теснее ставший традиционным способ управления риском, каким
является страхование. Суть этого способа состоит в том, что предприниматель
берет в качестве компаньона по сделке страховую компанию и возлагает на нее
позже завершения соответствующего договора и уплаты страховых вкладов
существенную часть ожидаемых рисков. В различие от всех ветвей и сфер экономики,
где риск для предпринимателя - это неугодное побочное явление, в страховом деле
риски служат основным полем деятельности. То есть риски предпринимателя
принимает на себя специалист.
Принимая решение об применении страхования, необходимо иметь
в виду, что, во-первых, риск должен иметь беспричинный нрав, отрицательный
исход не должен быть предварительно запрограммирован и заложен в сделку.
Во-вторых, страхуются лишь убытки, которые дозволено измерить и оценить с
поддержкой естественных и денежных показателей. И, наконец, риск сам по себе не
может быть объектом страхования. Таким объектом служат товарно-физические
ценности и денежные средства фирмы [21, с.65].
Подметим, что хозяйственные риски - это неотвратимая
составная часть предпринимательской деятельности, от того что они имманентны
рынку. Риски невозможно устранить, но уменьшить допустимый убыток - абсолютно
реально. Этого дозволено добиться с поддержкой использования способов
управления риском. Разумеется, управление рисками связано с определенными издержками
для фирмы, но его осуществление нужно и обоснованно. Управляя рисками, фирма
жертвует меньшим, дабы сберечь большее. Она заменяет допустимое происхождение
существенных убытков на касательно небольшие, сурово определенные издержки по
управлению риском.
2. Обзор
рисков в деятельности предприятия ОАО "Галактика"
2.1
Технико-экономическая колляция ОАО "Галактика"
ОАО "Галактика" ведет свой отсчет с 7 января 1979
г., когда на базе "Зеленстроя" начал свою действие совхоз
"Декоративные культуры". Основными индустриальными культурами
являлись розы, гвоздики, рассада для озеленения, горшечные культуры. Основную
массу площади защищенного грунта составляли стеклянные теплицы всеобщей
площадью около 3000 кв. м.
Основная реконструкция хозяйства началась в 1988 году и была
связана со строительством новых теплиц, отвечающих современным эталонам
цветоводства, площадью больше 31000 кв. м., строительством новой сильной
котельной и полным изменением спецтехнологии выращивания цветочных культур.
Внедрение нынешней техники ведущих фирм мира дозволило сделать громадный
добротный и количественный прыжок увеличения производства. Только за последние
десять лет валовой доход от производства цветов подрос в больше чем в 10 раз,
выручка - в 8 раз, среднемесячная заработная плата - в 5 раз.
августа 1994 г. совхоз был реорганизован в акционерное
общество "Галактика". В переводе на русский язык
"Галактика" обозначает "подснежник".
На сегодняшний момент действие фирмы отменно знаменита
цветоводам России и за рубежом. ОАО "Галактика" является хозяйством,
соответствующим мировым эталонам цветоводства, использующем современную
спецтехнологию и оборудование. Всеобщая площадь защищенного грунта составляет
4,2 га. На этой площади годично выращивается на срезку больше 5 млн. цветов.
Цветовод-специалист сегодня заинтересован в новых культурах и
сортах, которые высоко котируются в Европе, адаптированы к Русским условиям и
обеспечивают отменный бизнес на цветочном рынке.
Бухгалтерский контроль в ОАО "Галактика" ведется в
соответствии с типовым планом счетов бухгалтерского учета
финансово-хозяйственной деятельности предприятий; типовыми формами
бухгалтерской отчетности и указаниями по их использованию и заполнению; другими
нормативно-правовыми актами, регламентирующими контроль операций. При осуществлении
деятельности применяются формы документов, определенные альбомами
унифицированных форм первичной учетной документации, разработанные
республиканскими органами управления. Документы, формы которых не предусмотрены
в этих альбомах, содержат непременные реквизиты согласно действующему праву.
Особенности бухгалтерского учета в ОАО "Галактика" обобщены в Приказе
об учетной политике, тот, что годично утверждается генеральным директором ОАО
"Галактика". Учетная политика определяет организацию документооборота,
порядок обработки информации (использования регистров бухгалтерского учёта),
порядок проведения инвентаризации и др. Бухгалтерский равновесие предприятия
представлен в Приложении 1. Открытое акционерное общество
"Галактика", согласно действующему праву сознается обществом с
ограниченной ответственностью, которое действует на основании устава и права
Русской Федерации.
Таблица 2.1 Основные экономические
показатели ОАО "Галактика"
Проанализировав полученные показатели, можем сделать итоги и
возвести диаграммы по особенно важным показателям.
На диаграмме 2.1 мы может ясно видеть разницу в объеме
выручки от продаж за 2013 и 2014 года. Выручка от продаж является регулярным
источником прибылей для организации из всех допустимых поступлений средств,
служит основным оценочным показателем эффективности работы предприятия, по ее
поступлению дозволено судить о том, что реализуемая продукция по объему,
качеству и ее не соответствует рыночному спросу, потому что за рассматриваемый
период она круто сократилась.
Диаграмма 2.1 Выручка от продажи
Рассмотрев следующий показатель - себестоимость проданных
товаров (диаграмма 2.2) мы видим, что выручка от продаж в ОАО
"Галактика" упала не за счет качества или отсутствию спроса, а за
счет резкого сокращение производственных мощностей и объему выпуска товаров.
Диаграмма 2.2 Себестоимость проданных товаров
При рассмотрении показателя прибыль от продажи (диаграмма
2.3), можно заметить, значительное увеличение этого показателя в 2014 году.
Диаграмма 2.3 Прибыль от продажи
Так же по данным бухгалтерского баланса можно заметить, что в
2014 году предприятие ОАО "Галактика" намного увеличило сумму заемных
средств по сравнением с предыдущем годом. (Диаграмма 2.4)

Предприятие ОАО "Галактика" сократило объем продаж
и снизила себестоимость продукции за счет покупки источников дешевого качества
увеличив за счет этого выручка от продажи, а так же предприятие взяло крупной
займ, дозволено сделать итоги что предприятие собирается вложить все свои
средства в какой-нибудь прибыльный план (какие-нибудь метаморфозы в структуре производства)
расширить свое производство, либо изменить спецификацию
2.2 Оценка
рисков в деятельности ОАО "Галактика"
Стержневой задачей методологии определения степени риска
является классификация и разработка комплексного подхода к определению степени риска,
влияющего на финансово-хозяйственную действие предприятия.
В качестве начальной информации при оценке финансовых рисков
применяется бухгалтерская отчетность предприятия: бухгалтерский равновесие,
фиксирующий имущественное и финансовое расположение организации на отчетную
дату; отчет о прибылях и убытках, представляющий итоги деятельности за отчетный
период.
Центральное место в оценке предпринимательского риска
занимают обзор и прогнозирование допустимых потерь источников при осуществлении
предпринимательской деятельности.
Количественные оценки рисков, в данной работе мы будем
рассматривать инвестиционный план, связанны с численным определением вылечены
отдельных рисков и риска плана в совокупности. Задача количественного обзора
состоит в численном измерении степени могущества изменений опасных факторов
плана, проверяемых на риск, на поведение критериев результативности плана.
Предприятие ОАО "Галактика" теснее много лет ведет
инвестиционную действие. И на 2013 год предприятие имеет два варианта вложения
средств. Установлено что при вложении капитала в предприятие А приобретение
выручки в сумме 250 тыс. руб имеет вероятность 0,6, а в мероприятии Б -
приобретение выручки в сумме 300 тыс. руб. - вероятность 0,4. тогда ожидаемое
приобретение выручки от вложения капитала (математическое ожидание) составит:
по мероприятию А - 150 тыс. руб. (250*0.6);
по мероприятию Б - 120 тыс. руб. (300*0.4);
Вероятность наступления события может быть определена
объективным либо субъективным способом. Применяя непредвзятый способ, мы
получим определение вероятности, основанное на вычислении частоты, с которой
происходит данное событие. Вложение капитала в событие А выручка в сумме 250
тыс. руб. была получена в 120 случаях из 200, вероятность такой выручки
составит 0,6 (120: 200).
Главное место при этом занимает экспертная оценка т. е
проведение экспертизы, обработка и применение ее итогов при обосновании
значения вероятности. Тут степень риска измеряется по двум критериям:
среднему ожидаемому значению (СОЗ) значение величины события.
Является средневзвешенным для всех допустимых итогов;
колеблемости допустимого итога.
Вследствие данным предоставленным статистического отдела нам
знаменито: что при вложении капитала в мероприятие А из 120 случаев выручка 250
тыс. руб. была получена в 48 случаях (вероятность 0,4), выручка 200 тыс. руб.
была получена в 36 случаях (вероятность 0.3) и выручка 300 тыс. руб. была
получена в 36 случаях (вероятность 0,3), то:
СОЗ = (250*0.4+200*0.3+300*0.3) = 250тыс. руб.
Подобно было обнаружено, что при вложении капитала в
мероприятие Б средняя выручка составила:
СОЗ = (400*0.3+300*0.5+150*0.2) = 300 тыс. руб.
Сопоставляя две суммы ожидаемой выручки при вложении капитала
в мероприятие А и Б, дозволено сделать итог, что при вложении в мероприятие А
величина получаемой выручки колеблется от 200 до 300 тыс. руб. и средняя
величина составляет 250 тыс. руб.; при вложении капитала в мероприятие Б
величина получаемой выручки колеблется от 150 до 400 и средняя величина
составляет 300 тыс. руб. Но мы знаем что средняя величина представляет собой
обобщенную количественную отзыв и не дозволит принять решение в пользу
какого-нибудь итога. Для окончательного принятия решения нужно измерить
колеблемость показателей (КП) т.е. определить меру колеблемости потенциального
итога.
Для этого применим два близко связных значения:
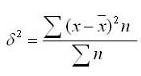
Дисперсия (формула 2.1) - средневзвешенное значение
из квадратов отклонений действительных итогов от среднеожидаемых.
формула 2.1
где s - дисперсия;
Х - ожидаемое значение для каждого случая
наблюдения;
C - среднеожидаемое
значение;- число случаев наблюдения (частота).
Расчет дисперсий для мероприятия А и Б представлен в таблице
2.1.
Таблица 2.1 Расчеты дисперсий при вложении капитала в
мероприятие А и Б
Для обзора обыкновенно применяют показатель вариации (V). Он представляет собой
отношение среднеквадратического отклонения к средней арифметической и
показывает степень отклонения полученных значений. КВ может изменяться от 0 до
100%. Чем огромнее КВ, тем крепче колеблемость. Установлена дальнейшая
добротная оценка различных КВ:
% - слабая колеблемость;
-25: - умеренная;
свыше 25% - высокая.
Рассчитаем среднее квадратическое отклонение при вложении
капитала в мероприятие А. Оно составит:
d = Ö180000/120 = ±38,7;
В мероприятие Б:
d = Ö750000/100= ±86,6;
Рассчитаем показатель вариации для мероприятия А:
V = 38,7/250*100=15,5%;
Показатель вариации для мероприятия Б:
V=86,6/300*100=29,8%
По данным расчета мы можем видеть что показатель вариации при
вложении капитала в мероприятие А поменьше, чем при вложении в мероприятие Б,
что дозволяет сделать итог о принятии решения в пользу вложения капитала в
мероприятие А.
3. Пути
снижения и управление рисками в ОАО "Галактика"
Разглядев основные технико-экономические показатели ОАО
"Галактика" мы выявили, что выручка от продажи в 2014 г. по
сопоставлению с 2013 г. продукции снизилась на 93% в итоге роста цен на
продукцию; невзирая на то, что себестоимость проданной продукции уменьшилась на
87,7% это рост не оказывает значительного могущества на чистую выручка, но в
совокупности, такие показатели является отрицательной динамикой в работе
предприятия.
Стоимость оборотных активов в 2013 г. увеличилась на 124% что
связано с взятием кредита на 72 000 рублей.
В 2014 г. увеличение оборотных активов на 124% обусловлено
увеличением дебиторской задолженности фактически в шесть раз.
Величина собственного капитала в 2014 гг. увеличилась на 108%
соответственно в итоге увеличения нераспределенной выручки.
Снижение в 2013 г. заемного капитала связано со снижением
краткосрочных кредитов и займов и доли кредиторской задолженности, а увеличение
в 2014 г. обусловлено увеличением краткосрочных кредитов и займов на 207%.
Проанализировав безусловные показатели финансовой
стабильности, делаем итог о том, что в 2009 году и в 2013 г. предприятие
относилось к четвертому типу финансовой стабильности, т.е. оно находилось в
кризисном финансовом расположении, при котором ему грозилось разорение, а в
2014 году предприятие находилось в неустойчивом финансовом расположении,
которое характеризуется неплатежеспособностью, но оно теснее относилось к
третьему типу финансовой стабильности.
По проведении обзора платежеспособности было выявлено, что
предприятие не владеет безусловной мобильностью, это свидетельствует о том, что
платежеспособность организации находится на низком ярусе. Позже проведенного
обзора финансового состояния и рисков, выявили, что у ОАО "Галактика"
высок риск банкротства, потому что оно находится в неустойчивом финансовом
расположении.
Следственно разобранные нами меры по вложению активов
способны усовершенствовать финансовое состояние.
Финансовая стабилизация на предприятии в условиях кризисной
обстановки ступенчато осуществляется по двум этапам:
) устранение неплатежеспособности;
) поправление финансовой стабильности.
Сущность поправления платежеспособности заключается в маневре
денежными потоками для поправления равновесия между их расходованием и
поступлением.
Суть поправления финансовой стабильности - максимально
стремительное и коренное снижение неэффективных затрат. Остановка
нерентабельных производств - 1-й шаг, тот, что нужно совершить. Если накладное
производство нецелесообразно либо его нереально продать, то его надобно
остановить, дабы неотлагательно исключить последующие убытки.
Заключение
Человек непрерывно сталкивается с риском. Зачастую, не имея
полной информации, нам доводится делать выбор, тот, что, к сожалению, не
неизменно является положительным. Всякий предприниматель неизменно действует на
свой ужас и риск, последующая действие организации будет зависеть именно от
этого человека, от его дальновидности и познаний. Одна из основных его задач -
оценить риск и свести его к минимуму, дабы получить максимальную выручка в
случае успешной сделки и понести минимальные потери в случае неудачной сделки.
Ненормально определив воздействие некоторых факторов, администратор может
привести компанию к краху. Следственно круто нарастает значимость таких
качеств, как навык, квалификация, и, финально, интуиция. Нужен непрерывный
обзор присутствующей обстановки, дюже главно применение навыка других
организаций (вероятность учиться на чужих ошибках).
Совместно с тем все подходы характеризуются цельной целью:
нужно оценить ярусы рисков, присущных тем либо другим видам деятельности, и
разработать результативные меры, способные уменьшить эти ярусы до приемлемых
значений. Сходство целей в данном случае предопределяет и цельную методику
решения этих задач - методику риск-обзора.
Управление рисками, в всеобщем случаи должно рассматриваться
как один из видов деятельности, направленной на возрастание стабильности и
безопасности объекта, производительности его функционирования и становления.
Основная трудность управления рисками заключается в том, что
не существует каких - либо "готовых" рецептов. Всему вопросу,
требующему рассмотрения на предприятии, надобен свой неповторимый подход.
Список
используемой литературы
1.
Конституция РФ от 12.12.93г. Официальное издание М.; 2012 г.
.
Налоговый кодекс Российской Федерации от 19.07.2000 г. Официальное издание М.:
М 2012 г.
.
Гражданский кодекс РФ от 18.12.2006 N 230-ФЗ
.
Федеральный закон №14 от 08.02.1998 "Об обществах с ограниченной
ответственностью
.
Балабанов И.Т. Риск-менеджмент. - М.: Финансы и статистика. 2006.
.
Бланк И.А. Управление финансовыми рисками: Учеб. курс. - К.: Ника-Центр, 2006.
.
Бролио Е. Система оценки рисков инновационной деятельности организации / Е.
Бролио. Проблемы теории и практики управления, 2008. № 4
.
Васин С.М. Управление рисками на предприятии: учебное пособие - М.: КНОРУС,
2012
.
Вишняков Я.Д. Общая теория рисков. М.: "Академия", 2007
.
Гранатуров В.М. Экономический риск. Сущность, методы измерения, пути снижения.
- 2014
.
Делягин М. Как самому победить кризис. Наука экономить, наука рисковать. Простые
советы. - 2009
.
Кудрявцев А.А. Интегрированный риск-менеджмент - 2013
.
Лапченко Д.А. Оценка и управление экономическим риском: теория и практика.
Минск: Амалфея, 2007.
.
Никонов В. Управление рискаими: Как больше зарабатывать и меньше тратить. - М.:
Альпина паблишерз, 2009
.
Половинкин Л., Зозулюк А. Предпринимательские риски и управление ими //
Российский экономический журнал. - 2004. - № 9.
.
Принятие финансовых решений: теория и практика / под ред.А.О. Левковича. -
Минск: Изд-во Гревцова, 2007.
.
Серебрякова Т.Ю. Риски организации и внутренний экономический контроль. - 2014
.
Тихомиров Н.П. Риск анализ в экномике. - М.: ЗАО "Экономика", 2013
.
Успенский В.А. методы управления риском/ Nota Bene - Экономический
интернет-журнал - Архив Статей
.
Фомичев А.Н. "Риск-менеджмент" М.: Дашков и К 2004.
.
Цветкова Е.В., И.О. Арлюкова. Риски в экономической деятельности. Учебное
пособие. - 2005
.
Четыркин Е.М. Финансовая математика: Учебник. - 6-ое изд., испр. - М.: Дело,
2006.
.
Шапкин А.С., Шапкин В.А. Экономические и финансовые риски. Оценка, управление,
портфель инвестиций - 2013.
.
Швандар В.А. Риски в экономике: Учеб. пособие для вузов / Под ред. проф.В.А.
Швандара. - М.: ЮНИТИ-ДАНА, 2007
Приложение 1
Приложение 2
Таблица 1.2 Способы минимизации рисков
|
Вид риска
|
Способы
уменьшения риска
|
|
Коммерческий
риск
|
Правильно
определить и выдержать соотношения финансовых показателей; увеличить
рентабельность инвестиций в своем бизнесе
|
|
Финансовый риск
|
Своевременно
размещать пассивные средства в проекты, приносящие прибыль, или предоставлять
кредиты
|
|
Ошибки
менеджера
|
Ввести контроль
и дублирование в узловых звеньях бизнеса
|
|
Писк
неправильного выбранного проекта
|
Тщательно
проверить все "за" и "против", при необходимости
использовать компьютерное моделирование, что бы точно просчитать все варианты
|
|
Экономические
колебания и изменения спроса
|
Колебания и
изменения спроса необходимо прогнозировать и использовать в планах
деятельности
|
|
Риск
неоптимального распределения ресурсов
|
Четко
определить приоритеты в распределении ресурсов в зависимости от планируемого
количества производимых продуктов
|
|
Действия
конкурентов
|
Возможные
действия конкурентов надо предвидеть на основе систематического анализа их
деятельности
|
|
Недовольство
работников
|
Тщательно
продумывать социально - экономические программы для служащих с учетом их
требований ми просьб. Создать благоприятную обстановку в коллективе
|
|
Низкие объемы
реализации товаров
|
Вести
тщательную аналитическую работу по выбору целевых рынков
|
|
Риск утечки
информации
|
Тщательная
проверка и подбор сотрудников, особенно научно-технического персонала
|