Разработка информационной системы принятия решений в исследованиях туристского продукта
Содержание
Введение
.
Маркетинговые исследования туристского продукта
.1
Характеристика отрасли туризм
.2
Маркетинг в туризме
.3
Уровни маркетинга в туризме
.4
Туристское предприятие - основное звено реализации концепции маркетинга
.5
Маркетинговые исследования туристского продукта
.5.1
Характеристика туристского продукта
.5.2
Жизненный цикл туристского продукта
.5.3
Оценка конкурентоспособности туристского продукта
.
Выбор математических методов и инструментальных средств, используемых при
разработке системы
.1
Математические методы
.1.1
Обоснование применения теории нечетких множеств
.1.2
Нечеткий логический вывод
.1.3
Нечеткие базы знаний
.1.4
Нечеткий логический вывод Мамдани
.1.5
Нечеткий логический вывод Сугено
.1.6
Нечеткий вывод при нечетких исходных данных
.1.7
Иерархические системы нечеткого вывода
.2
Выбор коэффициентов в заключениях правил базы знаний Сугено
.2.1
Интуитивное обоснование метода нахождения количественной интерпретации суждений
по рассматриваемым объектам
.2.2
Численное нахождение коэффициентов в заключениях правил базы знаний Сугено
.3
Описание выбранного инструментального средства
.
Постановка задач системы
.1
Характеристика задач нечеткой системы оценки конкурентоспособности
туристского
продукта
.2
Общая характеристика нечеткой системы оценки конкурентоспособности
туристского
продукта
.2.1
Факторы, влияющие на конкурентоспособность туристского продукта
.2.2
Нечеткие базы знаний, на основе которых осуществляется вывод
.2.3
Нечеткий логический вывод при оценке конкурентоспособности туристического
продукта
.3
Выходная информация
.4
Входная информация
.5
Информационная взаимосвязь задач системы
.
Описание программно-математического обеспечения
.1
Структура системы оценки конкурентоспособности туристского продукта
.2
Структура файла системы нечеткого вывода
.3
Формат файла .fis (на примере y1.fis)
.4
Реализация вывода при нечетких исходных данных
.5
Контрольный пример
Заключение
Список
использованных источников
Введение
Туризм принадлежит к сфере услуг и является
одной из крупнейших и динамичных отраслей экономики. Высокие темпы его
развития, большие объемы валютных поступлений активно влияют на различные
сектора экономики, что способствует формированию собственной туристской
индустрии.
Одним из важных моментов ведения дел в
туристском бизнесе являются маркетинговые исследования, в частности
исследования туристского продукта. Для туристских предприятий представляет
интерес такое направление маркетинговых исследований, как определение
конкурентоспособности туристского продукта, поскольку именно его
конкурентоспособности определяется успех коммерческой деятельности предприятия
на рынке туризма. Стратегические решения по туристским продуктам являются
главенствующими в рамках общей маркетинговой стратегии туристского предприятия.
Конкурентоспособность туристского продукта
означает лояльность потребителей, не желающих отказываться от определенного
продукта, даже при наличии других, возможно, более выгодных, предложений
аналогичного товара для конкретной целевой аудитории.
В туристском бизнесе традиционно решения
принимаются интуитивно и их качество, в основном, определяется квалификацией,
опытом, даром предвидения и другими деловыми характеристиками менеджера. Однако
современные достижения теории управления и информатики дают возможность менеджеру
значительно усилить свою неформализованную деятельность по принятию решений
путем использования интеллектуальных систем, построенных на базе современных
математических методов, алгоритмов и приемов.
Основной функцией данной работы является
разработка такой системы, которая бы позволяла менеджерам туристского
предприятия (или приглашенным экспертам) при проведении маркетинговых
исследований моделировать конкурентоспособность туристского продукта.
На этапе формирования туристских продуктов
туристскому предприятию необходимо отдавать предпочтения наилучшим вариантам,
поскольку таким образом достигается компромисс между обеим сторонами. С одной
стороны будут удовлетворены потребности клиентов (турагентств и частных лиц), с
другой - туристское предприятие закрепляет за собой твердые позиции на рынке и
получает стабильную прибыль.
Таким образом целью проекта является разработка
программного средства поддержки деятельности менеджеров туристского предприятия
(туроператора) при определении конкурентоспособности турпродукта на рынке для
того, чтобы правильно формировать предложение.
1. Маркетинговые исследования
туристского продукта
Прежде чем перейти к рассмотрению особенностей
маркетинговых исследований туристского продукта, в частности, особенностей
такого направления, как оценка его конкурентоспособности необходимо
охарактеризовать отрасль туризма и туристский рынок, определить сущность
маркетинга в туризме, а также понятие туристского продукта и его жизненный
цикл.
1.1 Характеристика отрасли туризма
Туризм по своим основным характеристикам не
имеет каких-либо принципиальных отличий от других форм хозяйственной
деятельности. Поэтому все существенные положения современного маркетинга могут
быть в полной мере применены в туризме.
В то же в туризме имеется своя специфика,
отличающая не только от торговли товарами, но и от других форм торговли
услугами. Здесь имеет место как торговля услугами, так и торговля товарами (по
оценкам специалистов, доля услуг в туризме составляет 75%, товаров - 25%), а
также особый характер потребления туристских услуг и товаров в месте их
производства, более того, в определенной ситуации.
Рынок туризма можно определить как
общественно-экономическое явление, объединяющее спрос и предложение, для
обеспечения процесса купли-продажи туристского продукта в данное время и в
определенном месте.
Из особенностей российского рынка туризма
следует отметить дополнительную конкуренцию, возникающую среди туристских
продуктов, вследствие переизбытка турфирм их производящих, а также недостаток
хороших кадров. Данные особенности влияют на конкурентоспособность конкретного
продукта.
1.2 Маркетинг в туризме
В традиционном производстве, имеющем конкретный
результат труда (товар в материально-вещественной форме), понятие маркетинга
имеет более конкретное содержание. В туризме же результат деятельности сводится
к туристскому продукту.
Как нет однозначного определения маркетинга в
целом, так отсутствует единое толкование маркетинга туризма. Исходя из понятия
«турист», данного Всемирной туристской организаций (ВТО), французские
специалисты Р. Ланкар и Р. Оллье отмечают, что туристский маркетинг - это
«серия основных методов и приемов, выработанных для исследования, анализа и
решения поставленных задач. Главное, на что должны быть направлены эти методы и
приемы… на определение способов наиболее рационального ведения дел туристскими
организациями, позволяющие учитывать выявленные или скрытые потребности в
туристских услугах».
Маркетинг в туризме - это система непрерывного
согласования услуг с услугами, пользующимся спросом на рынке, и которые
туристское предприятие способно предложить с прибылью для себя и более
эффективно, чем это делают конкуренты.
В соответствии с современной концепцией
маркетинга вся деятельность фирмы должна осуществляться с постоянным учетом состояния
рынка и основываться на точном знании нужд и потребностей потенциальных
покупателей. Поэтому использование маркетинга - непременная составляющая
современного подхода к представлению и разработке туристского предложения.
Маркетинг - современная система управления
производственно-сбытовой деятельностью, основанная на комплексном анализе рынка
и включающая изучение нужд, потребностей, запросов потребителей в товарах и
услугах, приобретения их путем сделки.
Нужды людей многообразны и сложны: физиологические
нужда в пище, одежде, тепле и безопасности, социальные нужды духовной близости,
влияния и привязанности, личные нужды в знаниях и самовыражении. Они не
формируются усилиями рекламных агентов, а обусловлены природой человека.
Человеческая потребность - это нужда, принявшая
специфическую форму в соответствии с культурным уровнем и личностью человека.
Потребности выражаются в объектах, которые могут удовлетворить нужду способом,
присущим культурному укладу и экономическому уровню развития данного общества.
По мере развития общества растут потребности его членов; они сталкиваются со
все большим количеством объектов, пробуждающих их любопытство, интерес и
желание. Поэтому туристские организации предпринимают целенаправленные действия
для стимулирования желания совершить туристское путешествие, формируя связь
между тем, что они предлагают, и потребностями людей. Услуга пропагандируется
как спредство удовлетворения одной или ряда специфических потребностей.
Запрос на туристское предложение - это
потребность совершить туристское путешествие, подкрепленная покупательской
способность. Потребности людей практически безграничны, а ресурсы для их
удовлетворения ограничены. Человек будет выбирать те товары и услуги, которые
доставят ему наибольшее удовлетворение при его финансовых возможностях.
Товары и услуги - это по сути дела наборы
свойств, и лицо, осуществляющее выбор, останавливается на тех продуктах,
которые обеспечивают получение лучшего набора выгод за свои деньги.
Ассортиментом выбора в сфере туризма называют все
туристские услуги, способные удовлетворять нужды потребителя. Чем полнее
соответствует услуга желаниям потребителя, тем большего успеха добьется
туристская организация. С этой целью она должна находить потенциальных
потребителей, выяснить их потребности, а затем создавать услугу, как можно
полнее удовлетворяющую эти потребности.
Таким образом, маркетинг - это комплексный
системный подход к управлению организацией, направленный на решение рыночных
проблем и охватывающий все стадии движения товара и услуги от производителя -
изучение спроса, разработку программы производства товаров и создания услуг, их
продажу и потребление.
Основу маркетинга в туризме составляют
разработка программы производства туристской услуги, исследование рынка,
налаживание коммуникаций, организация доставки предлагаемых услуг и процесса их
производства, установление цены, развертывание вспомогательных служб и т.п.
1.3 Уровни маркетинга в туризме
Туризм обладает рядом важных особенностей с токи
зрения характеристик туристского продукта, сервиса и организации производства.
В систему индустрии туризма входят специализированные предприятия, организации
и учреждения (туристские фирмы по разработке и реализации туристского продукта,
предприятия, предоставляющие услуги по размещению, предприятия питания,
торговля, сферы досуга, транспортные и т.д.). Практически все они в той или
иной степени должны заниматься маркетингом. Вышеизложенное позволяет выделить
следующие уровни использования маркетинга в сфере туризма:
маркетинг туристских предприятий;
маркетинг производителей туристских услуг;
маркетинг туристских организаций;
маркетинг территорий и регионов.
Результатом маркетинга туристских предприятий
является предоставления услуг, удовлетворяющих потребности клиентов и
достижение коммерческой цели, а именно: получение прибыли, необходимой для его
развития.
1.4 Туристское предприятие -
основное звено реализации концепции маркетинга
Туристские предприятия (фирмы) играют важнейшую
роль в развитии туризма. Экспертные оценки свидетельствуют, что в большинстве
стран около 40% всех туристов, выезжающих за границу, организуют свои поездки
через туристские фирмы.
По содержанию и характеру своей основной
деятельности туристская фирма является своего рода посредником между
потребителем (туристом) и производителем (гостиница, транспорт, ресторан)
туристских услуг.
В деятельности туристских фирм наблюдаются
определенные различия, которые определяются их отношением к потребителям и
производителям туристских услуг. В соответствии с данным признаком выделяют:
фирмы-туроператоры;
фирмы-турагенты.
Туроператор осуществляет планирование и создание
маршрутов, программ и пакетов услуг для поездок туристов на индивидуальной или
групповой основе.
Коммерческие операции туроператоров обычно
квалифицируются как оптовые, так как создаваемый ими турпродукт подлежит, как
правило, перепродаже турагентам.
Турагент выступает в качестве продавца
туристского продукта на основе договора, сформированного туроператорами.
Коммерческие операции турагенстов определяются
как розничные, поскольку они осуществляют продажу туров непосредственно
конечному потребителю.
Вместе с тем на практике наблюдаются различные
сочетания вышеуказанных функций и операций в рамках одной туристской фирмы.
Так, туроператор, может продавать туры непосредственно конечному потребителю
через собственную сбытовую сеть. Он также может выступать в качестве розничного
продавца туристского продуктов, разработанных другими фирмами.
Можно говорить об образовании рынка покупателя в
сфере туризма и о конкурентной борьбе за клиентов. Успех будет обеспечен тем
фирмам, которые сумеют найти конкретные преимущества, индивидуальность и
клиентуру в туристских услугах.
В этих условиях туристская фирма должна строить
свою деятельность на принципах маркетинга, что позволит ей получить необходимую
степень согласования производителей туристских услуг с потребительским спросом.
1.5 Маркетинговые исследования
туристского продукта
.5.1 Характеристика туристского
продукта
По сути, туристский продукт - это любая услуга,
удовлетворяющая те или иные потребности туристов и подлежащая оплате с их
стороны. Это гостиничные, транспортные, экскурсионные, переводческие, бытовые,
коммунальные, посреднические и другие услуги. Основным туристским продуктом
является комплексное обслуживание, то есть стандартный набор услуг в одном
«пакете».
Туристскому продукту наряду с общим
специфическими характеристиками услуг, такими как неосязаемость, неразрывность
производства и потребления, неспособность к хранению, изменчивость качества и
т.д., присущи свои отличительные особенности.
Во-первых, спрос на туристские услуги
чрезвычайно эластичен по отношению к ценам и доходам, но во многом зависит от
политических и социальных условий.
Во-вторых, предложение отличается негибким
производством. Они могут потребляться только непосредственно на месте.
Гостиница, аэропорт, база отдыха не могут быть перенесены в конце сезона в
другой регион. Они не могут приспособиться во времени пространстве к изменению
спроса.
В-третьих, туристский продукт создается усилиями
многих предприятий, каждое из которых имеет собственные методы работы,
специфические потребности и различные коммерческие цели.
В-четвертых, не может быть достигнуто высокое
качество туристских услуг при наличии незначительных недостатков.
Эти особенности оказывают существенное влияние
на маркетинг в туризме.
В туризме продукт одновременно представляет
собой совокупность весьма сложных разнородных элементов: природных ресурсов,
исторических, культурных, архитектурных достопримечательностей, оборудование
(средства размещения туристов, оборудование для отдыха и т.д.), возможности
передвижения.
Туристские продукты можно разделить на
индивидуальные, когда для конкретного клиента создается специальная программа,
учитывающая его интересы и массовые, когда один и тот же определенный набор
услуг продают разным людям. Чаще всего массовым турпродуктом является турпакет,
который заказчик может расширить, необходимыми для него товарами и услугами.
Кроме того, турпродукты можно классифицировать по стоимости, сезонности, виду
туризма, к которому они принадлежат (санаторно-курортный, рекреационный,
экологический, спортивный), по массовости, по временной продолжительности и
т.д.
В общем случае турпродукт должен обладать
следующими потребительскими свойствами:
обоснованность - предоставление всех услуг
должно быть обусловлено целью путешествия и соответствующими условиями,
основанными на потребностях туриста;
надежность - соответствие реального содержания
продукта рекламе, достоверность информации;
эффективность - достижение наибольшего эффекта
для туриста при наименьших расходах с его стороны;
целостность - завершенность продукта, его
способность полностью удовлетворять туристские потребности;
ясность - потребление продукта, его
направленность должны быть понятны как туристу, так и обслуживающему персоналу;
простота в эксплуатации;
гибкость - способность продукта в системе
обслуживания приспособиться к другому типу потребления и быть невосприимчивым к
замене обслуживающего персонала;
полезность - способность служить достижению
одной или нескольких целей (например, отдыха и познания), удовлетворять те или
иные потребности туриста.
Начальная стадия разработки турпродукта -
маркетинговый анализ рынка, выявление потребностей потенциальных клиентов,
поиск партнеров и составление туристского пакета.
Процесс проектирования тура состоит из
нескольких этапов. На начальном этапе разрабатывается замысел тура,
определяется его целевая направленность с ориентацией на определенного
потребителя, выбирается сезон, направление по странам и примерное наполнение
основного комплекса услуг.
Состав и структура туристского продукта
формируется с точки зрения их соответствия потребностям туристов в зависимости
от форм обслуживания (групповое или индивидуальное), видов туризма
(рекреационный, научно-познавательный, деловой, научный, религиозный,
этнический), класса обслуживания (люкс, первый, туристский, экономический),
набора услуг (основные и дополнительные).
1.5.2 Жизненный цикл туристского
продукта
Концепция жизненного цикла продуктов исходит из
того, что любой продукт, какими бы великолепными потребительскими свойствами не
обладал, рано или поздно вытесняется с рынка другим, более совершенным
продуктом. Постоянно только наличие потребностей, а средства их удовлетворения
изменяются. Каждый предложенный на рынок продукт имеет определенный цикл жизни,
в течение которого он находит своих покупателей.
Туристский продукт приходит в своем развитии ряд
последовательных стадий, характеризующихся колебаниями объема продаж и прибыли,
величины которые необходимо анализировать в динамике.
Началом стадии внедрения продукта на рынок
считается момент, когда туристское предприятие впервые предложило данный
продукт целевой аудитории. Основной характерной чертой этой стадии является
медленный темп сбыта продукта и, как следствие, полное отсутствие или наличие
незначительной прибыли. Преимуществом считается практически полное отсутствие
конкуренции.
Длительность стадии внедрения продукта на рынок
может варьироваться в широких пределах и определяется качеством продукта, его
соответствием потребностям потребителей, правильно выбранной стратегией
маркетинга и последовательным ее осуществлением.
Стадия роста характеризуется быстрым увеличением
объема сбыта и, как следствие, прибыли. Стадия роста связана со значительным
усилением конкуренции.
Стадия зрелости характеризуется замедлением
роста сбыта и его стабилизацией. Это объясняется тем, что: изменяются
потребности клиентов, происходит выход на рынок новых, более совершенных
продуктов, усиливается конкуренция.
На данной стадии круг потребителей практически
не расширяется. Но в то же время отчетливо проявляется так называемый феномен
верности, который в большинстве случаев побуждает еще раз воспользоваться
предлагаемым продуктом (например, посетить определенную страну).
Объем получаемой прибыли на стадии зрелости
начинает несколько снижаться, хотя и остается достаточно высоким. Поэтому
туристское предприятие заинтересовано в максимальном ее продлении.
Стадия спада означает наступление того момента,
когда туристская сфера начинает насыщаться данным продуктом. Происходит
устойчивое падение объемов сбыта и снижение, возможно до нулевой отметки,
размера получаемой прибыли. Объем реализации на стадии спада чрезвычайно низок.
Таким образом, существование жизненного цикла
туристского продукта означает, что перед фирмой встают три крупные проблемы.
Во-первых, она должна своевременно изыскивать новые продукты для замены
находящихся в стадии спада (проблема разработки новинок). Во-вторых, фирма
должна уметь эффективно организовать работу с ныне существующими продуктами на
каждой из стадий (проблема стратегического подхода). Третья, не менее важная
задача состоит в оптимизации структуры предлагаемых фирмой продуктов с точки
зрения принадлежности их к различным стадиям жизненного цикла.
1.5.3 Оценка конкурентоспособности
туристского продукта
Важным направлением маркетинговых исследований
туристского продукта является определение его конкурентоспособности. Полученные
при этом результаты могут быть использованы для решения следующих задач:
обоснования необходимости совершенствования и
обновления продуктов;
оценки возможного объема сбыта продуктов,
обладающих определенным уровнем конкурентоспособности;
управления процессами реализации туристского
продукта;
выбора ценовой стратегии на конкретном рынке;
формирования и совершенствования системы
управления конкурентоспособностью продуктов на предприятии и т.д.
Определение конкурентоспособности туристского
продукта на практике осложняется слабой научной проработкой проблемы.
Конкурентоспособность услуг в экономической литературе рассматривается с самых
общих позиций и чаще всего определяется как возможность сбыта этих услуг в
условиях конкуренции. Данное определение не раскрывает сущности рассматриваемой
категории, констатируя очевидную зависимость сбыта продукта от его конкурентоспособности
конкретного туристского продукта, которая обусловливает распределение спроса
между ним и другими обращающимися на рынке продуктами-конкурентами.
Достаточно распространенным является подход к
конкурентоспособности как к комплексу потребительских свойств продукта
безотносительно к его стоимости. При этом предполагается, что низкая
конкурентоспособность ведет к снижению цен на продукты и наоборот. В данном
случае происходит отождествление последней с качеством продуктов (в широком его
смысле), хотя качество - лишь один из факторов конкурентоспособности.
Встречаются попытки подойти к определению
конкурентоспособности продуктов через из цену как универсальную характеристику
продукта, в которой отражаются все его потребительские свойства. Причем
развитие таких свойств у конкурирующих продуктов должно проявляться в различии
цен, которые, как ошибочно предполагается, и
есть конкурентоспособность этих продуктов по отношению друг к другу.
Для того, чтобы выявить сущность категории
«конкурентоспособность», необходимо учесть, что она должна рассматриваться с
точки зрения потребителя.
Рынок представляет собой ту сферу общественных
отношений, где продукты, конкурируя между собой, проходят сравнение и проверку
на соответствие требованиям потребителей и где выявляется их отклонение от этих
требований. При совершении покупки каждый индивидуальный покупатель
осуществляет процесс выбора необходимого ему продукта среди ряда аналогов и
приобретает только наиболее удовлетворяющий его потребности.
В масштабе общества наибольшее признание среди
продуктов, предназначенных для удовлетворения общественной потребности,
получает тот, который более полно соответствует ей по сравнению с
продуктами-конкурентами. Это и выделяет его из общей товарной массы,
обеспечивая успех в конкурентной борьбе, другими словами, позволяет говорить,
что он является конкурентоспособным.
На основании сказанного выше можно сделать
следующие выводы:
конкурентоспособность может быть выявлена только
в результате сравнения продуктов и является относительной характеристикой;
конкурентоспособность выражает различие
сравниваемых продуктов по степени соответствия требованиям рынка.
При выборе туристского продукта потребитель
ориентируется только на такие его особенности, которые представляют для него существенный
интерес.
Во-первых, это параметры, отражающие качество и
полезность продукта, так как важнейшим условием его выбора является совпадение
свойств и характеристик, которым потребитель отдает предпочтение.
Во-вторых, для определения конкурентоспособности
существенным является не только сравнение продуктов по степени соответствия
конкретной потребности, но и учет связанных с ними затрат потребителя.
Конкурентоспособность представляет собой
комплексную характеристику туристского продукта, определяющую его предпочтение
на рынке по сравнению с аналогичными продуктами.
Фактическая (рыночная) оценка
конкурентоспособности дается потребителем в процессе купли-продажи туристского
продукта. Вместе с тем в процессе управления маркетингом не менее важна оценка
потенциальной, расчетной конкурентоспособности продукта. Именно последняя
является основной для разработки новых продуктов, обоснования решений о
необходимости модификации существующих, формирования ценовой стратегии и
тактики.
Оценка потенциальной конкурентоспособности
туристского продукта включает ряд этапов.
Этап I. Формирование требований к туристскому
продукту и определение перечня показателей, подлежащих оценке.
Требования к туристскому продукту определяются
исходя из маркетинговых исследований потребителей. Для обоснования перечня
показателей, необходимых для оценки, важно учитывать, что конкурентоспособность
туристского продукта тесно привязана к конкурентному рынку и требованиям строго
определенных групп потребителей (рыночных сегментов). Поэтому она
обусловливается только показателями, представляющими существенный интерес для
покупателя (и тем самым обеспечивающими удовлетворения его потребностей).
Показатели продукта, входящие за данные границы не должны рассматриваться при
оценке конкурентоспособности как не имеющие к ней отношения в конкретных
условиях.
Показатели конкурентоспособности подразделяются
на классификационные и оценочные. Первые выражают принадлежность к тому или
иному виду услуг, определяют группу потребителей и используются на исходных
этапах оценки конкурентоспособности для формирования группы аналогов
оцениваемого продукта.
Оценочные показатели количественно характеризуют
те свойства, которые определяют качество туристского продукта. По роли,
выполняемой при оценке конкурентоспособности, оценочные показатели разделены на
две группы:
используемые для проверки выполнения
обязательных требований, которым должен удовлетворять туристский продукт;
используемые для сопоставления продуктов,
конкурирующих на рынке, по степени удовлетворения потребителей теми или иными
характеристиками.
Данные группы показателей пока не имеют
устоявшихся наименований. Будем называть их регламентируемыми и
сопоставительными. Регламентируемые показатели обуславливают принципиальную
возможность реализации продукта на конкретном рынке. В соответствии с ГОСТ Р
50690 - 2000 «Туристские услуги. Общие требования», обязательными для всех
видов туристских услуг являются следующие требования: безопасность жизни и
здоровья; сохранность имущества туристов; охрана окружающей среды. Если хотя бы
одни из рекомендуемых показателей, определяющих эти требования, не
соответствует нормативам, дальнейшая оценка конкурентоспособности
нецелесообразна.
Сопоставительные показатели подразделяются на
следующие группы:
целостность - завершенность продукта и его
способность удовлетворить определенные потребности туристов;
обоснованность - соответствие всех услуг
тематике тура;
полезность - способность продукта служить
достижению одной или нескольким целей;
гибкость - способность продукта и системы
обслуживания приспособиться к индивидуальным запросам потребителя;
надежность - соответствие содержания продукта и
рекламы, способность предприятия предоставить продукт в соответствии с
условиями договора.
Указанные показатели по сути характеризуют техническую
сторону туристского продукта. В то же время особенностью туризма являются
условия, воздействующие на оценку туристского продукта потребителем. Это,
прежде всего, субъективность, определяемая эмоциональным состоянием клиента.
Этап II. Определение значимости (весомости)
единичных показателей конкурентоспособности.
Перечень показателей, определяющих
конкурентоспособность, относительно стабилен. В то же время значимость их
меняется в зависимости от сложившихся на рынке условий. Для этого
устанавливается иерархия показателей. На первый план выдвигаются показатели,
имеющие наибольшую значимость для потребителей.
Этап III. Формирование группы аналогов и выбор
базового продукта для сравнения.
Включаемые в группу аналогов туристские продукты
должны характеризоваться одинаковыми значениями классификационных показателей и
иметь принадлежность к одному и тому же сегменту рынка. Из группы аналогов
выбирается базовый продукт для сравнения (например, продукт, который стабильно
реализуется на конкретном рынке в больших объемах).
2. Выбор математических методов и
инструментальных средств, используемых при разработке системы
.1 Математические методы
.1.1 Обоснование применения теории
нечетких множеств
Для принятия решений в условиях неопределенности
профессиональные математики и специалисты по теории управления обычно
рекомендуют использовать вероятностно-статистические методы или их различные
модификации. Однако эти методы достаточно сложны, имеются трудности в
интерпретации получаемых решений в адекватных экономических терминах, некоторые
из этих методов чувствительны к отклонениям от постулируемых базовых аксиом.
В последние годы в самых разных сферах
деятельности с успехом используется различные методы нечеткой логики, по
сравнению с традиционными методами анализа и вероятностным подходом эти методы
позволяют быстро производить анализ задачи и получать результаты с приемлемой
точностью.
Кроме того, характерной особенностью выбора
туристских продуктов потребителями (турагентствами) является субъективность.
Она выражается в том, что оценку и подбор продуктов производят люди со своими
стереотипами и предпочтениями, которые иногда могут идти вразрез с целями
предприятия.
Для оценки таких показателей зачастую
применяются экспертные оценки, например, «дешевый продукт», «слабый имидж»,
«отличный сервис». Такая неопределенность исходных данных тесно связана с
невозможностью дорогих полномасштабных маркетинговых исследований, а также с
ограниченным доступом к правдивой финансовой отчетности производителей. Это
обусловлено тем, что туристический рынок в России является достаточно
непрозрачным: абсолютное большинство участников рынка не открывает истинные
цифры своего оборота и турпотока. Рейтинг же «открытых» компаний не отразил бы
реальную ситуацию на всем туристическом рынке. Наиболее достоверную информацию
можно получить путем исследования мнений турагентств.
Поэтому целесообразна разработка адекватной
математической модели, учитывающей доступные экспертные знания. Следует
заметить, что менеджеры действуют на основе лингвистических правил, например:
«Если цена средняя, и качество высокое, и имидж высокий, то
конкурентоспособность продукта очень высокая». В таких правилах
сконцентрированы теоретические знания и личный опыт. Превращать подобные
правила в математическую модель удобно в помощью теории нечетких множеств,
позволяющей формализовать свойства субъективности и неопределенности.
2.1.2 Нечеткий логический вывод
Нечетким логическим выводом называется
аппроксимация зависимости «входы - выход» на основе лингвистических высказываний
<Если - то> и логических операций над нечеткими множествами.
Нечеткий логический вывод может быть при
моделировании объектов как с непрерывным, так и дискретным выводом.
Основной для проведения операции нечеткого
логического вывода является база правил, которая содержит лингвистические
высказывания и функции принадлежности соответствующих лингвистических термов.
При этом должны соблюдаться следующие условия. Существует хотя бы одно правило
для каждого лингвистического терма выходной переменной. Для этот терм
используется в левой части. В противном случае база нечетких правил будет
неполной.
В общем случае система нечеткого логического
вывода включает модули:
фаззификатор, который преобразует фиксированный
вектор влияющих факторов (X) в вектор нечетких множеств
,
необходимых для нечеткого вывода;
нечеткая база знаний, которая содержит
информацию о зависимости
в виде
лингвистических правил <Если - то>;
машина нечеткого логического вывода, которая на
основе правил базы знаний определяет значение выходной переменной в виде
нечеткого множества
, соответствующего
нечетким значениям входных переменных (
);
дефаззификатор, который преобразует выходное
нечеткое множество
в четкое число Y.
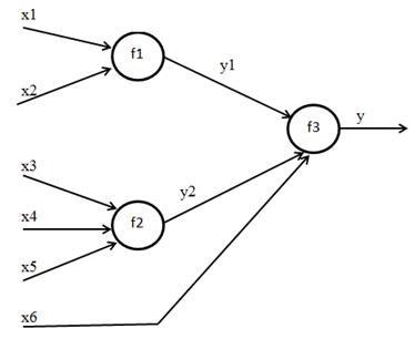
Типовая структура системы нечеткого вывода
представлена на рисунке 2.1.
Рисунок 2.1 - Типовая структура системы
нечеткого вывода
Разработаны модели нечеткого вывода Мамдани,
Сугено, Ларсена, Цукамото. Наиболее распространенный способ логического вывода
в нечетких системах - механизм Мамдани (Mamdani).
2.1.3 Нечеткие базы знаний
Нечеткой базой знаний называется совокупность
нечетких правил <Если - то>, задающих взаимосвязь между входами и
выходами исследуемого объекта. Формат нечетких правил следующий:
ЕСЛИ <посылка правила>, ТО <заключение
правила>.
Посылка правила (антецедент) представляет собой
утверждение, например « х есть средний», где «средний» - терм, заданный
нечетким множеством на универсальном множестве лингвистической переменной х.
Для модификации термов антецедента могут использоваться квантификаторы «очень»,
«не», «почти», «более-менее» и т.д.
Заключение правила (консеквент) - это факт типа
« y есть d », где значение выходной переменной d может задаваться нечетким
термом, например, « y есть средний», классом решений, например, « y есть
бронхит», четкой константой, например, « y=10», четкой от входных переменных,
например, « y =5+2х ».
В случае, если выходная переменная задана
нечетким множеством, правило можно представить нечетким отношением. Например,
для нечеткого правила «Если х есть
,
то у есть
» нечеткое
отношение
задается на
декартовом произведении
, где
есть
универсальные множества входной и выходной переменной. Для расчета нечеткого
отношения применяется нечеткая импликация или t-норма.
Многомерные зависимости «входы - выходы» задают
нечеткими правилами с логическими операциями И и ИЛИ. Нечеткая база знаний,
связывающим входы
с выходом у
представляется следующим образом:
,
где
-
нечеткий терм, которым оценивается переменная
в
j-м правиле;
- заключение j-го
правила; m - количество правил в базе знаний;
-
логическая операция И и ИЛИ;
- нечеткая
импликация.
Если правила содержат только логическую операцию
И, тогда нечеткую базу знаний удобно представлять в виде таблицы 2.1.
Таблица 2.1
|
ЕСЛИ
|
ТО
|
|
|
|
…
|
|
y
|
|
…
|
…
|
…
… … …
|
…
|
…
|
2.1.4 Нечеткий логический вывод Мамдани
Нечеткий логический вывод Мамдани выполняется по
следующей базе знаний:
,
в короткой все значения входных и выходной
переменных заданы нечеткими множествами.
База знаний Мамдани может трактоваться как
разбиение пространства влияющих факторов на подобласти с размытыми границами,
внутри которых функция отклика принимает нечеткое значение.
Введем обозначения:
- функция
принадлежности входа
нечеткому терму
,
т.е.
;
- функция
принадлежности выхода
нечеткому терму
,
т.е.
.
Степень выполнения посылки j-го правила для
текущего входного вектора
рассчитывается
следующим образом:
,
где
обозначает
t-норму, если в j-м правиле базы знаний используется логическая операция И (
=И),
и соответствует s-норме при
=ИЛИ.
Результат нечеткого вывода обычно можно
представить в виде:
.
Особенность этого нечеткого множества в том, что
его носителем является множество нечетких термов
.
Для перехода к нечеткому множеству на носителе
выполняются
операции импликации и агрегирования.
В результате логического вывода по j-му правилу
базы знаний получаем нечеткое значение выходной переменной y:
,
где imp - импликация, которая обычно в нечетком
выводе реализуется операцией минимума, т.е. «срезанием» функции принадлежности
по
уровню
.
Результат логического вывода по всей базе знаний
находится путем агрегирования нечетких множеств:
agg
,
где agg - агрегирование нечетких множеств
(обычно реализуется операцией максимума).
2.1.5 Нечеткий логический вывод
Сугено
Нечеткий логический вывод Сугено выполняется по
следующей нечеткой базе знаний:
,
где
-
некоторые действительные числа.
База знаний аналогична базе знаний Мамдани, за
исключение правил, которые задаются линейной функцией от входов, а нечеткими
термами:
.
Правила являются «переключателями» с одного
линейного закона «входы - выход» на другой, также линейный. Границы подобластей
размытые, поэтому одновременно могут выполняться несколько линейных законов, но
различными степенями. Весовых коэффициентов в базе знаний Сугено нет, тогда они
были бы линейно зависимы с заключениями правил.
Степени принадлежности входного вектора
к
значениям
рассчитываются
следующим образом:
Наиболее часто в алгоритме Сугено применяется
вероятностное ИЛИ как s-норма и произведение как t-норма. В результате вывода
по всей базе знаний получаем нечеткое множество
,
соответствующее входному вектору
:
.
Результирующее значение выхода y находят как
суперпозицию линейных законов, выполняемых в данной точке
n - мерного факторного пространства. Для этого
нечеткое множество
дефаззифицируют,
находя взвешенное среднее
или взвешенную
сумму
.
2.1.6 Нечеткий вывод при нечетких
исходных данных
Для выполнения нечеткого вывода при нечетких
исходных данных (пусть функция принадлежности задана гауссовой кривой)
необходимо определять степени принадлежности входов к термам из базы знаний.
Расчет при четких исходных данных степень принадлежности рассчитывается
подстановкой значения переменной в формулу функции принадлежности. При нечетких
же исходных данных необходимо определить степень принадлежности одного нечеткого
множества
(значения входной
переменной) к другому нечеткому множеству
(терму
из базы знаний).
.1.7 Иерархические системы нечеткого вывода
Иерархические системы нечеткого вывода используются
для моделирования многомерных зависимостей «входы - выход». В иерархических
системах выход одной базы знаний подается на вход другой - на более высоком
уровне иерархии. Обратные связи отсутствуют.
Применение иерархических нечетких баз знаний
позволяется преодолеть трудности с большой размерностью, когда при большом
количестве входов эксперту трудно описать нечеткими правилами все
причинно-следственные связи. Это обусловлено памятью человека, для которой
оптимальное число одновременно хранящихся понятий не более семи. Следовательно
количество входных переменных в одной базе знаний не должно превышать это
число. Следует заметить, что для создания хорошей базы знаний достаточно, чтобы
количество входов не превышало пяти.
Преимуществом иерархических баз знаний является
также их компактность: адекватно описать многомерные зависимости «входы -
выход» можно небольшим количеством нечетких правил.
При нечетком выводе по иерархической базе знаний
процедура дефаззификации и фаззификации для промежуточных переменных не
выполняются. Результат логического вывода в виде нечеткого множества передается
в машину нечеткого вывода следующего уровня иерархии. Поэтому для промежуточных
переменных в иерархических нечетких базах знаний достаточно задавать только
терм-множества, без описания функций принадлежностей.
На рисунке 2.2 представлен примет иерархической
системы нечеткого вывода, которая моделирует зависимость
с помощью трех баз
знаний:
.
Рисунок 2.2 - Пример схемы иерархической системы
нечеткого вывода
2.2 Выбор коэффициентов в
заключениях правил базы знаний Сугено
Допустим, что n видов объектов, в нашем случае,
факторов, влияющих на конкурентоспособность туристского продукта,
рассматриваются экспертом. При этом цели эксперта следующие: 1) высказывать
суждения об относительной важности этих объектов; 2) гарантировать такой
процесс получения суждений, который позволит количественно интерпретировать
суждения по всем объектам.
Очевидно, что для достижения второй цели
требуется соответствующей метод. Приведем такой метод, разработанный
профессором Томасом Саати (Thomas L. Saaty) - метод «Аналитической
иерархической процедуры», в котором для получения количественных суждений,
ассоциируемых с отдельными объектами используются парные сравнения, проводимые
одним экспертом.
2.2.1 Интуитивное обоснование метода
нахождения количественной интерпретации суждений по рассматриваемым объектам
Введем следующие понятия.
Матрица - массив чисел в виде прямоугольной
таблицы.
Горизонтальная последовательность чисел в
матрице называется строкой, а вертикальная столбцом.
Матрица, состоящая только из одной строки или
столбца - вектор.
Матрица с одинаковым числом строк и столбцов - квадратная.
С квадратной матрицей ассоциируются ее
собственные векторы и соответствующие собственные значения. Собственный вектор
обеспечивает упорядочение приоритетов, а собственное значение является мерой
согласованности суждений.
Пусть
-
совокупность объектов. Количественные суждения о парах объектов (
)
представляются матрицей размера
:
где
-
преимущества элемента
над
.
Элементы матрицы определены по следующим
правилам:
Правило 1.
.
Правило 2. Если суждения таковы, что
имеет
одинаковую с
относительную
важность, то
,
;
в частности,
для всех i.
Таким образом, матрица парных сравнений является
диагональной и обратносимметричной.
По соглашению сравнение силы всегда производится
для действия или объекта, стоящего в левом столбце, по отношению к действию или
объекту, стоящему в верхней строке.
Уровень преимущества определяется по
девятибалльной шкале Саати:
1 - если преимущество элемента
над
элементом
отсутствует;
3 - если преимущество
над
слабое;
5 - - если преимущество
над
существенное;
7 - если преимущество
над
явное;
9 - - если преимущество
над
абсолютное;
2, 4, 6, 8 - промежуточные сравнительные оценки:
2 - почти слабое преимущество, 4 - почти существенное преимущество, 6 - почти
явное преимущество.
Следует подчеркнуть, что эксперт, сравнивая n
факторов реально проводит не n (как это происходит при заполнении обычных
анкет) сравнений, а
сравнений.
Учитывая соотношение
, справедливое для
всех значений индекса k, производится опосредованное сравнение факторов Ai и Aj
через соответствующие сравнения этих факторов с фактором Ak. Принимая во
внимание сделанное замечание, можно утверждать, что в действительности эксперт
производит значительно больше сравнений, чем даже показывает первая оценка,
равная
.
Таким образом, каждая клетка матрицы парных сравнений через сравнения с другими
факторами). Учет этих дополнительных сравнений позволяет значительно повысить
надежность получаемых результатов, или позволяет значительно уменьшить
количество необходимых экспертов.
После представления количественных суждений о
парах (
,
)
в числовом выражении через
, задача сводится к
тому, чтобы n возможным объектам
поставить
в соответствие множество числовых весов
,
которые соответствовали бы зафиксированным суждениям.
Для этого необходимо нечетко сформулированному
условию цели «…эти веса должны отражать количественные суждения» придать
строгую математическую форму, описав, каким образом зависят веса
от
суждений
.
В идеальном случае при наличии основного массива
необработанных данных все другие данные логически могут быть получены из них.
Для проведения парных сравнений n объектов или действий при условии, что каждый
объект или действие представлены в данных по крайней мере один раз, требуется
(n - 1) суждений о парных сравнениях. Из них можно просто вывести все остальные
суждения, используя следующее отношение: если объект А1 в 3 раза превосходит
объект А2 и в 6 раз превосходит А3, то А1=3А2 и А1=6А3. Следовательно, 3А2=6А3
или А3=1/2А2.
Таким образом, суждения выражаются в виде:
(2.1)
Матрица парных сравнений при этом будет согласованной.
Требование выполнения такого условия в общем случае не реально. Даже при
использовании для суждений всех действительных чисел до тех пор, пока не будет
суждений по основным (n - 1) объектам, получить согласованные числа невозможно.
Кроме того, для большинства задач очень трудно определить (n - 1) суждений,
связывающих все объекты или виды действия, одно из которых является абсолютно
верным.
Рассогласованность матрицы может зависеть, по
крайней мере, от двух факторов:
) личные качества эксперта;
) степень неопределенности объекта оценки.
Для того, чтобы выделить составляющую
рассогласованности, которая определяется собственно экспертом, необходимо
несколько изменить взгляд на объект и на ожидаемый результат обработки данных.
Прежде всего, признать, что объекту исследования
(в частности рынку туризма) присуща некоторая неопределенность. И, как
следствие, ожидать однозначного результата неразумно.
Чтобы понять, как установить допуски на
отклонения, рассмотрим i-ю строку матрицы парных сравнений. Элементами строки
являются
В идеальном (точном) случае эти величины -
отношения
.
Следовательно, в идеальном случае при умножении
первого элемента этой строки на
, второго - на
и
т.д. получим:
.
В итоге имеется строка идентичных элементов
,
тогда как в общем случае получается строка элементов, представляющих
статистическое рассеивание значений вокруг
.
Поэтому имеет смысл требование равенства
среднему
этих значений. Следовательно, вместо выражения для идеального случая
более
реалистично выражение
).
Иначе можно записать:
(2.2)
Данное выражение менее строгое, однако, остается
вопрос: гарантируется ли решаемость задачи по определению единственных весов
при
заданных
?
Чтобы найти ответ на этот вопрос запишем (2.2) в
другом виде.
Отметим, что при хороших оценках
приближается
к
и,
следовательно, является малым возмущением этого отклонения. Поскольку
изменяется,
соответствующее решение (2.2) получим (т.е.
могут изменяться, чтобы приспособиться к отклонению
от
идеального случая), если изменится n. Обозначим это значение n через
.
Следовательно, задача
(2.3)
имеет решение, которое должно быть единственным.
Это известная задача о собственном значении.
В общем случае отклонения в
могут
вызывать большие отклонения как в
,
так и в
.
Однако, в случае обратно-симметричных матриц, удовлетворяющих правилам 1 и 2,
этого не наблюдается, то есть имеется устойчивое решение.
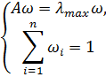
Итак, математическое формулирование подхода
следующее: вектор приоритетов находится из системы уравнений:
вычисление вектора приоритетов в математических
терминах есть вычисление главного собственного вектора, который после
нормализации становится вектором приоритетов. Можно получить грубые оценки
этого вектора различными способами. Однако, когда матрица не согласована, эти
методы будут давать в общем случае разные результаты.
Известные, то равенство максимального
собственного значения
обратно-симметричной
матрицы с n определяет согласованность матрицы. Можно также оценить отклонение
от согласованности разностью
, разделенной на (n
- 1). Следует заметить, что равенство
верно
всегда. Насколько плоха согласованность для определенной задачи, можно оценить
путем сравнения полученного значения величины
,
называемой индексом согласованности (ИС), с ее значением их случайно выбранных
суждений и соответствующих обратных величин матрицы того же размера - случайным
индексом (СИ). Средние СИ для матриц порядка от 1 до 15 сгенерированы на базе
100 случайных выборок.
Отношение ИС к среднему СИ для матрицы того же
порядка называется отношением согласованности (ОС). Значение ОС, меньшее или
равное 0,10 будем считать приемлемым.
2.2.2 Численное нахождение
коэффициентов в заключениях правил базы знаний Сугено
Для получения коэффициентов правил базы знаний
Сугено, которые задают чувствительность конкурентоспособности к различным
факторам, воспользуемся методом парных сравнений Т.Саати.
Правила базы знаний отражают различные типы
сбыта туристского продукта. При этом, будем полагать для определенности, что
стадия жизненного цикла туристских продуктов - зрелость.
Будем также считать, что для первого типа сбыта
показатели всех влияющих факторов плохие, для второго - средние, для третьего -
хорошие. Один тип сбыта плавно переходит в другой.
Для каждого типа сбыта веса критериев,
определяющих конкурентоспособность будут отличаться. Найдем эти веса с помощью
матриц парных сравнений.
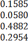
Веса критериев для первого типа сбыта
(показатели плохие, стадия жизненного цикла - зрелость).
Главное собственное значение
.
Соответствующей собственный вектор:
Значения элементов собственного вектора
определяют веса критериев - цены, качества, имиджа, сервиса, - связанных с
туристским продуктом.
Веса критериев для второго типа сбыта
(показатели средние, стадия жизненного цикла - зрелость).
Главное собственное значение
.
Соответствующей собственный вектор:

Веса критериев для третьего типа сбыта
(показатели хорошие, стадия жизненного цикла - зрелость).
жизненного цикла - зрелость).
Главное собственное значение
.
Соответствующей собственный вектор:
Составим матрицы парных сравнений для каждого
критерия, задающие чувствительность конкурентоспособности.
-
первый, второй и третий типы сбыта.
Цена:
Качество:
Имидж:
Сервис:
Ранги кри
Цена:
Качество:
Имидж:
Сервис:
Коэффициенты правил находим как свертку:
Цена:
Качество:
Имидж:
Сервис:
2.3 Описание выбранного
инструментального средства
В качестве инструментального средства, с помощью
которого реализуется система выбрана вычислительная среда MATLAB (matrix
laboratory). Это высокопроизводительный язык для технических расчетов. Он
включает в себя вычисления, визуализацию и программирование в удобной среде,
где задачи и решения выражаются в форме, близкой к математической. Типичное
использование MATLAB - это:
математические вычисления;
создание алгоритмов;
анализ данных, исследования, визуализация;
научная и инженерная графика;
разработка приложений, включая создание
графического интерфейса.
Важная роль в MATLAB отводится
специализированным группам программ, называемых toolboxes. Toolboxes - это
всесторонняя коллекция функций (m-файлов), которые позволяют решать частные
классы задач.
Пакет Fuzzy Logic Toolboxes вычислительной среды
MATLAB (Version 7.3.0 (R2006b)) поддерживает все фазы разработки нечетких
систем - синтез, исследование, проектирование, моделирование и внедрение в
режиме реального времени. GUI-модули пакета создают интуитивно понятную среду,
обеспечивающую легкое продвижение по всем этапам проектирования нечетких
систем. Кроме того, как и все пакеты системы MATLAB, Fuzzy Logic Toolboxes
открыт для пользователя: имеется возможность модифицировать исходный код,
добавлять собственные функции принадлежности, процедуры дефаззификации.Logic
Toolboxes включает следующие GUI-модули:
Fuzzy Inference System Editor - редактор общих
свойств системы нечеткого вывода. Позволяет устанавливать количество входов и
выходов, тип системы (Мамдани или Сугено), метод дефаззификации, реализации
логических операций, а также вызывать другие CUI-модули пакета;
Membership Function Editor - редактор функций
принадлежности - выводит на экран графики функций принадлежности входных и
выходных переменных, а также позволяет выбрать количество термов для
лингвистической оценки входных и выходных переменных и задать тип параметры
функций принадлежности каждого терма;
Rule Editor - редактор нечеткой базы знаний.
Позволяет задавать и редактировать нечеткие правила в различных форматах
(лингвистическом, логическом, индексном);
Rule Viewer - браузер нечеткого вывода.
Визуализирует выполнение нечеткого вывода по каждому правилу, получение
результирующего нечеткого множества и его дефаззификацию;
Surface Viewer - браузер поверхности «входы -
выход» нечеткой системы. Выводит графики зависимости выходной переменной от
любых двух входных.
Кроме того, пакет Fuzzy Logic Toolboxes включает
ANFIS Editor - редактор нейро-нечеткой сети и Findcluster - инструмент
кластеризации.
3.
Постановка задач системы
3.1 Характеристика задач нечеткой
системы оценки конкурентоспособности туристского продукта
Поскольку целью проекта является разработка
системы, поддерживающей деятельность эксперта, определяющего оценку
конкурентоспособности турпродукта - и, следовательно, место турпродукта на
рынке, можно выделить основную задачу - оценку конкурентоспособности
туристского продукта (Z1).
При анализе факторов, определяющих
конкурентоспособность туристского продукта, задача, связанная с получением
значений укрупненных влияющих факторов разделяется на следующие подзадачи:
свертка частных факторов при моделировании
качества продукта (Z11);
свертка частных факторов при моделировании
сервиса (Z12);
свертка частных факторов при моделировании
имиджа продукта (Z13).
3.2 Общая характеристика нечеткой
системы оценки конкурентоспособности туристского продукта
3.2.1 Факторы, влияющие на
конкурентоспособность туристского продукта
Критерием конкурентоспособности туристского
продукта будем считать число
. Чем больше
значение этого критерия, тем большую конкурентоспособность имеет продукт и,
соответственно, наиболее высокое место в рейтинге занимает.
Конкурентоспособность определяется множеством
факторов. Создание идеальной со всех сторон группы факторов, по которым
происходит сравнение туристских продуктов невозможно, поэтому необходимо
выделить самые важные.
Значимый вклад в место в рейтинге
конкурентоспособности вносят показатели качества и цены продукта, уровень
сервиса, социальные, экономические, психологические факторы и прочие бонусы.
Обозначим факторы через
,
тогда модель конкурентоспособности туристского продукта будет представлять
функциональное отображение вида:
,
где Х - вектор влияющих факторов.
Для удобства факторы можно классифицировать в
виде иерархического дерева логического вывода, представленного на рисунке 3.1
Элементы дерева интерпретируются следующим
образом:
корень дерева - конкурентоспособность
туристского продукта (
);
терминальные вершины - частные влияющие факторы
(
);
нетерминальные вершины (двойные окружности) -
частные факторы влияния - свертки влияющих факторов;
дуги графа, выходящие из нетерминальных вершин -
укрепленные влияющие факторы (
).
Свертки
осуществляются
посредством логического вывода по нечетким базам знаний.
Для удобства критерии оценки
конкурентоспособности разделены на группы, представляющие свертки частных
факторов. В первую входят критерии, определяющие качество туристского продукта.
Во вторую группу вошли те критерии, которые характеризуют имидж продукта и,
наконец в третью - факторы, характеризующие сервис как при приобретении, так и
при потреблении данного продукта. Факторы, не вошедшие в группы, по которым
производится свертка - цена и стадия жизненного цикла.
Рисунок 3.1 - Схема иерархической классификации
факторов, влияющих на конкурентоспособность туристского продукта
3.2.2 Нечеткие базы знаний, на
основе которых осуществляется вывод
Для моделирования укрупненных влияющих факторов
- качества, имиджа, сервиса туристского продукта, - влияющих на
конкурентоспособность будем использовать нечеткие базы знаний типа Мамдани,
которые приведены в таблицах 3.1 - 3.3. Элементы антецедентов нечетких правил
связаны логической операцией И.
Конкурентоспособность туристского продукта
целесообразно оценивать при разных типах сбыта, например, когда показатели И
цены, И качества, И имиджа, И сервиса являются а) низкими, б) средними, в)
высокими, а стадия жизненного цикла - рост, зрелость или спад. Переход из
одного типа сбыта в другой является плавным.
Таблица 3.1 - Нечеткая база знаний для
моделирования качества туристского продукта
|
(проектные
решения)
|
(производственные
технологии)
|
(кадровое
обеспечение)
|
(качество)
|
|
высокое
|
высокое
|
высокое
|
высокое
|
|
высокое
|
высокое
|
среднее
|
высокое
|
|
высокое
|
среднее
|
высокое
|
высокое
|
|
среднее
|
высокое
|
высокое
|
высокое
|
|
высокое
|
среднее
|
среднее
|
среднее
|
|
среднее
|
среднее
|
высокое
|
среднее
|
|
среднее
|
высокое
|
среднее
|
среднее
|
|
низкое
|
низкое
|
низкое
|
низкое
|
|
низкое
|
низкое
|
среднее
|
низкое
|
|
низкое
|
среднее
|
низкое
|
низкое
|
|
среднее
|
низкое
|
низкое
|
низкое
|
|
среднее
|
среднее
|
низкое
|
среднее
|
|
среднее
|
низкое
|
среднее
|
низкое
|
|
низкое
|
среднее
|
среднее
|
низкое
|
|
высокое
|
среднее
|
низкое
|
среднее
|
|
высокое
|
низкое
|
среднее
|
низкое
|
|
среднее
|
высокое
|
низкое
|
низкое
|
|
низкое
|
среднее
|
высокое
|
низкое
|
|
среднее
|
низкое
|
высокое
|
низкое
|
Таблица 3.2 - Нечеткая база знания для
моделирования имиджа туристского продукта
|
(туристский
интерес)
|
(рекламное
обеспечение)
|
(уровень
рекламаций)
|
(имидж)
|
|
высокий
|
высокий
|
средний
|
высокий
|
|
высокий
|
средний
|
высокий
|
средний
|
|
средний
|
высокий
|
высокий
|
средний
|
|
высокий
|
средний
|
низкий
|
высокий
|
|
средний
|
высокий
|
низкий
|
высокий
|
|
средний
|
низкий
|
низкий
|
низкий
|
|
средний
|
средний
|
средний
|
средний
|
|
средний
|
средний
|
низкий
|
средний
|
|
низкий
|
средний
|
высокий
|
средний
|
|
низкий
|
средний
|
средний
|
средний
|
|
низкий
|
высокий
|
низкий
|
средний
|
|
низкий
|
средний
|
низкий
|
низкий
|
|
средний
|
высокий
|
среднее
|
высокий
|
|
средний
|
низкий
|
высокий
|
низкое
|
|
высокий
|
средний
|
средний
|
высокий
|
|
высокий
|
низкий
|
средний
|
средний
|
|
высокий
|
высокий
|
низкий
|
высокий
|
Таблица 3.3 - Нечеткая база знаний для оценки
сервиса
|
(удобство)
|
(сервис
при эксплуатации)
|
(бонусы)
|
(сервис)
|
|
высокое
|
высокий
|
высокие
|
высокий
|
|
высокое
|
высокий
|
средние
|
высокий
|
|
высокое
|
средний
|
высокие
|
высокий
|
|
среднее
|
высокий
|
высокий
|
высокий
|
|
высокое
|
средний
|
средние
|
средний
|
|
среднее
|
средний
|
высокие
|
средний
|
|
среднее
|
высокий
|
средние
|
средний
|
|
высокое
|
высокий
|
низкие
|
высокий
|
|
высокое
|
высокий
|
средние
|
высокий
|
|
высокое
|
средний
|
низкие
|
средний
|
|
высокое
|
средний
|
высокий
|
высокий
|
|
высокое
|
низкий
|
высокие
|
средний
|
|
высокое
|
низкий
|
средние
|
средний
|
|
высокое
|
низкий
|
низкие
|
средний
|
|
среднее
|
низкий
|
низкие
|
низкий
|
|
среднее
|
высокий
|
низкие
|
средний
|
|
низкое
|
высокий
|
средние
|
средний
|
|
низкое
|
высокий
|
высокие
|
средний
|
|
низкое
|
средний
|
средние
|
низкий
|
В таблице 3.4 предложена нечеткая база знания
типа Сугено для моделирования конкурентоспособности и туристского продукта.
Правила это базы знаний представляют различные типы сбыта - когда показатели по
всем факторам являются а) плохими; б) средними; в) хорошими. Коэффициентами в
заключениях задается чувствительность конкурентоспособности туристских
продуктов по соответствующим факторам. Коэффициенты выбираются экспертно с
помощью метода парных сравнений Саати. Подробно выбор коэффициентов правил базы
знаний Сугено был описан на главе 2.2. Знак «минус» для фактора «цена»
означает, что данный фактор уменьшает конкурентоспособность. Свободные
коэффициенты определяют базовое значение конкурентоспособности.
Таблица 3.4 - Нечеткая база знаний типа Сугено
|
|
|
|
|
|
|
высокая
|
низкое
|
низкий
|
низкий
|
|
|
средняя
|
средний
|
средний
|
средний
|
|
|
низкая
|
высокое
|
высокий
|
высокий
|
|
Вход и выход нечеткой модели рассматривается как
лингвистические переменные, значения которых определяются из следующих
терм-множеств:
для
{«низкий»,
«ниже среднего», «средний», «выше среднего», «высокий»}, для
{«низкий»,
«средний», «высокий»}. Термы представим нечеткими множествами с гауссовыми
функциями принадлежности:
,
где
-
функция принадлежности фактора
к нечеткому числу
,
b и c - параметры - координата максимума и коэффициент концентрации
соответственно.
Выбор гауссовой функции обусловлен ее достаточной
простотой и гибкостью, так она задается двумя параметрами (координатой
максимума и коэффициентом концентрации). Это сокращает размерность задачи
оптимизации при настройке нечеткой базы знаний. Параметры функций
принадлежности выбираются экспертно. Они представлены в таблице 3.6.
Значения факторов представляются как отклонение
в процентах от усредненных показателей по аналогичным продуктам.
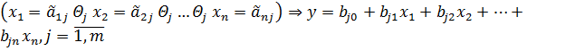
3.2.3 Нечеткий логический вывод при
оценке конкурентоспособности туристского продукта
Нечеткий вывод осуществляется алгоритмами
Мамдани и Сугено. В качестве треугольной нормы выбрано умножение. При нечетким
выводе Мамдани дефаззификация по методу центра тяжести; при нечетком выводе
Сугено - по методу взвешенного среднего.
Дефаззификация методом центра тяжести наиболее
используема на практике. При использовании этого метода необходимо учитывать,
что результат дефаззификации не чувствителен ко вкладу правил с малыми
степенями выполнения. Зависит он лишь от правил с максимальными степенями
выполнения. Во многих случаях результат нечеткого вывода определяется одним
таким правилом.
В иерархических системах выход одной базы знаний
подается на вход другой базы знаний. Существует два способа создания
иерархических нечетких систем. Первый предполагает нечеткий вывод для промежуточных
переменных и последующую передачу четких значений этих переменных в нечеткие
системы следующего уровня. Во втором способе, напротив, процедуры
дефаззификации и фаззификации для промежуточных переменных не выполняются.
Результат логического вывода в виде нечеткого множества напрямую передается на
следующий уровень.
3.3 Выходная информация
Выходная информация представляет собой
лингвистические переменные - свертки частных влияющих факторов и критерий
конкурентоспособности туристского продукта. Описание выходной информации
представлено в таблице 3.5.
Таблица 3.5 - Выходная информация
|
Наименование
ЛП
|
Обозначение
|
Описание
ЛП
|
Получатель
|
|
Качество
|
|
Совокупность
свойств продукта; способность удовлетворять ожидаемые потребности
приобретающих данный продукт
|
Эксперт\
менеджер
|
|
Имидж
|
|
Целостная
совокупность ассоциаций и впечатлений, представляющая данный продукт в
сознании потребителей
|
То
же
|
|
Сервис
|
|
Множество
услуг, представляемых реальным и потенциальным потребителям, как включенных в
данный продукт, так и сопутствующих
|
ʻʻ
|
|
Конкурентоспособность
|
|
Значение,
представляющее конкурентоспособность продукта
|
ʻʻ
|
3.4 Входная информация
Входная информация - это набор лингвистических
переменных, представляющих частные факторы, влияющие на конкурентоспособность
туристского продукта, а также их свертки. Описание функций принадлежности
нечетких термов - в таблице 3.7.
Таблица 3.6 - Входная информация
|
Наименование
ЛП
|
Обозначение
|
Описание
ЛП
|
Получатель
|
|
Качество
|
|
Совокупность
свойств продукта; способность удовлетворять ожидаемые потребности
приобретающих данный продукт
|
Моделирует-ся
с помощью нечеткой БЗ Мамдани
|
|
Имидж
|
|
Целостная
совокупность ассоциаций и впечатлений, представляющая данный продукт в
сознании потребителей
|
То
же
|
|
Сервис
|
|
Множество
услуг, представляемых реальным и потенциальным потребителям, как включенных в
данный продукт, так и сопутствующих
|
ʻʻ
|
|
Цена
|

|
Эксперт\
менеджер
|
|
Качество
проектных решений
|
|
Потенциальное
качество, заложенное в продукт, определяется его потребительскими свойствами
- обоснованностью, эффективностью, целостностью, ясностью, гибкостью,
полезностью
|
То
же
|
|
Качество
производственных технологий
|
|
Накладывает
объективные ограничения по достижению потенциального качества. Сюда относится
качество транспортных услуг (поездка до места потребления продукта и
транспорт непосредственно на месте потребления), их безопасностью, качество
оборудования
|
ʻʻ
|
|
Кадровое
обеспечение
|
|
Субъективные
ограничения достижения потенциального качества, обусловленные квалификацией,
дисциплинированностью и мотивацией персонала, разрабатывающего туристский продукт
|
ʻʻ
|
|
Туристский
интерес
|
|
Имидж
природных и антропогенных ресурсов (рекреационных), которые могут создать
комфортные условия и имеют потребительную стоимостью для рекреационной
деятельности и могут быть использованы для организации отдыха и оздоровления
определенного контингента людей. Кроме того, сюда относятся политические,
экономические факторы, определяющие имидж продукта, например, безопасность в
стране
|
ʻʻ
|
|
Рекламное
обеспечение
|
|
Информация,
которая распространяется в интересах производителя туристского продукта
(туроператора). Это рекламное обеспечение туроператора, туристского продукта
и ресурсов, связанных с данным продуктом, включающее прямую и скрытую рекламу
|
ʻʻ
|
|
Уровень
рекламаций
|
|
Информация,
распространяющаяся не в интересах производителя (туроператора). Включает
рекламации на конкретного туроператора и на продукт. Определяется количеством
и степенью претензий потребителей, уровнем распространения информации о рекламациях
|
ʻʻ
|
|
Удобство
приобретения
|
|
Сервисное
обслуживание при приобретении продукта
|
ʻʻ
|
|
Сервис
при эксплуатации продукта
|
|
Удобства,
связанные потреблением продукта
|
ʻʻ
|
|
Бонусы
|
|
Дополнительные
услуги
|
ʻʻ
|
Таблица 3.7 - Описание функций принадлежности
нечетких термов
|
Термы,
соответствующие входным переменным
|
Коэффициент
концентрации
|
Координата
максимума
|
Диапазон
изменений
|
|
Цена,
низкая
|
2
|
3
|
-50,
50
|
|
Цена,
средняя
|
22
|
-50
|
-50,
50
|
|
Цена,
высокая
|
16
|
0
|
-50,
50
|
|
Качество,
низкое
|
22
|
50
|
-50,
50
|
|
Качество,
среднее
|
22
|
-50
|
-50,
50
|
|
Качество,
высокое
|
16
|
0
|
-50,
50
|
|
Имидж,
низкий
|
22
|
50
|
-100,
100
|
|
Имидж,
средний
|
42
|
-100
|
-100,
100
|
|
Имидж,
высокий
|
27
|
0
|
-100,
100
|
|
Сервис,
низкий
|
42
|
-100
|
-100,
100
|
|
Сервис,
средний
|
31
|
0
|
-100,
100
|
|
Сервис,
высокий
|
42
|
100
|
-100,
100
|
|
Проектные
решения, низкие
|
35
|
-50
|
-50,
50
|
|
Проектные
решения, ниже среднего
|
35
|
-25
|
-50,
50
|
|
Проектные
решения, средние
|
35
|
0
|
-50,
50
|
|
Проектные
решения, выше среднего
|
35
|
25
|
-50,
50
|
|
Проектные
решения, высокие
|
35
|
50
|
-50,
50
|
|
Производственные
технологии, низкие
|
21
|
-50
|
-50,
50
|
|
Производственные
технологии, ниже среднего
|
21
|
-25
|
-50,
50
|
|
Производственные
технологии, средние
|
21
|
0
|
-50,
50
|
|
Производственные
технологии, выше среднего
|
21
|
25
|
-50,
50
|
|
Производственные
технологии, высокие
|
21
|
50
|
-50,
50
|
|
Кадры,
низкие
|
31
|
-50
|
-50,
50
|
|
Кадры,
ниже среднего
|
31
|
-25
|
-50,
50
|
|
Кадры,
средние
|
31
|
0
|
-50,
50
|
|
Кадры,
выше среднего
|
31
|
25
|
-50,
50
|
|
Кадры,
высокие
|
31
|
50
|
-50,
50
|
|
Туристский
интерес, низкий
|
40
|
-50
|
-50,
50
|
|
Туристский
интерес, ниже среднего
|
40
|
-25
|
-50,
50
|
|
Туристский
интерес, средний
|
40
|
0
|
-50,
50
|
|
Туристский
интерес, выше среднего
|
40
|
25
|
-50,
50
|
|
Туристский
интерес, высокий
|
40
|
50
|
-50,
50
|
|
Реклама,
низкая
|
45
|
-100
|
-100,
100
|
|
Реклама,
ниже среднего
|
45
|
50
|
-100,
100
|
|
Реклама,
средняя
|
45
|
0
|
-100,
100
|
|
Реклама,
выше среднего
|
45
|
50
|
-100,
100
|
|
Реклама,
высокая
|
45
|
100
|
-100,
100
|
|
Рекламации,
низкие
|
33
|
-50
|
-50,
50
|
|
Рекламации,
ниже среднего
|
33
|
-25
|
-50,
50
|
|
Рекламации,
средние
|
33
|
0
|
-50,
50
|
|
Рекламации,
выше среднего
|
33
|
25
|
-50,
50
|
|
Рекламации,
высокие
|
33
|
50
|
-50,
50
|
|
Удобство,
низкое
|
50
|
-100
|
-100,
100
|
|
Удобство,
ниже среднего
|
50
|
-50
|
-100,
100
|
|
Удобство,
среднее
|
50
|
0
|
-100,
100
|
|
Удобство,
выше среднего
|
50
|
50
|
-100,
100
|
|
Удобство,
высокое
|
50
|
100
|
-100,
100
|
|
Сервис
при эксплуатации, низкий
|
55
|
-100
|
-100,
100
|
|
Сервис
при эксплуатации, ниже среднего
|
55
|
-50
|
-100,
100
|
|
Сервис
при эксплуатации, средний
|
55
|
0
|
-100,
100
|
|
Сервис
при эксплуатации, выше среднего
|
55
|
50
|
-100,
100
|
|
Сервис
при эксплуатации, высокий
|
55
|
100
|
-100,
100
|
|
Бонусы,
низкие
|
60
|
-100
|
-100,
100
|
|
Бонусы,
ниже среднего
|
60
|
-50
|
-100,
100
|
|
Бонусы,
средние
|
60
|
0
|
-100,
100
|
|
Бонусы,
выше среднего
|
60
|
50
|
-100,
100
|
|
Сервис
при эксплуатации, высокие
|
60
|
100
|
-100,
100
|
3.5 Информационная взаимосвязь задач
системы
Схема информационной взаимосвязи задач системы
представлена на рисунке 3.2. Обозначения задач, входной и выходной информации
приведены выше.
Рисунок 3.2 - Схема информационной
взаимосвязи задач системы
4.
Описание программно-математического обеспечения
4.1 Структура системы оценки
конкурентоспособности туристского продукта
Нечеткая система оценки конкурентоспособности
туристского продукта состоит из четырех систем нечеткого вывода:.fis - нечеткая
система моделирования качества продукта;.fis - нечеткая система моделирования
качества продукта;.fis - нечеткая система моделирования сервиса,
предоставляемого с туристским продуктом;.fis - нечеткая система оценки
конкурентоспособности туристского продукта (Q)
Иерархический вывод осуществляет функция
conlusion.m. Она может возвращать аргументы: результат оценки
конкурентоспособности туристского продукта и значения укрепненных влияющих
факторов y1, y2 и y3. Функция вызывается с десятью входными аргументами,
задающими значения факторов. Значения факторов
могут
задаваться как числами, так и термами : ʻНʼ - низкий, ʻНСʼ
- ниже среднего, ʻСʼ - средний, ʻВСʼ - выше среднего, ʻВʼ
- высокий.
Логический вывод осуществляется функцией
qgaussmf , модифицированной из гауссовой функции принадлежности для нечетких
входных данных.
Расчет степени принадлежности одного нечеткого
множества к другому нечеткому множеству осуществляется функцией qual_inp_gauss.
Логический вывод осуществляется через функцию evalfis_ww.
Схема процесса функционирования системы
представлена на рисунке 4.1.
Описание блоков функционирования системы
следующее:
- значение переменной x1 («Цена») задано числом;
- значение переменной x2 («Качество проектных
решений») задано числом;
- значение переменной x3 («Качество производственных
технологий») задано числом;
- значение переменной x4 («Кадровое
обеспечение») задано числом;
- значение переменной x5 («Туристский интерес»)
задано числом;
- значение переменной x6 («Реклама») задано
числом;
- значение переменной x7 («Рекламации») задано
числом;
- значение переменной x8 («Удобство
приобретения») задано числом;
- значение переменной x9 («Сервис при
эксплуатации») задано числом;
- значение переменной x10 («Бонусы») задано
числом;
преобразование i - преобразование нечеткого
терма, задающего переменную xi к требуемому формату.
4.2 Структура файла системы
нечеткого вывода
В рабочей области MATLAB система нечеткого
вывода представляется структурой данных. В рабочую область FIS загружается
одним из двух способов - считыванием с диска функцией readfis или передачей из
GUI - модулей командой File → Export → To workspace .
Структура файла FIS представлена на рисунке 4.2.
Поля структуры данных FIS:- наименование системы
нечеткого вывода;- тип системы (ʻMamdaniʼ и ʻSugenoʼ);
Рисунок 4.1 - Процесс
функционирования системы
Рисунок 4.2 - Структура файла FIS
andMethod - реализация логической
операции И (ʻminʼ - минимум, ʻprodʼ - умножение);-
реализация логической операции ИЛИ (ʻmaxʼ - максимум, ʻproborʼ
- вероятностное ИЛИ);- метод дефаззификация (для систем типа Мамдани: ʻcentroidʼ
- центр тяжести, ʻbisectorʼ - медиана, ʻlomʼ - наибольший
из максимумов, ʻsomʼ - наименьший из максимумов, ʻmomʼ -
среднее из максимумов; для системы типа Сугено: ʻwtaverʼ - взвешенное
среднее, ʻwtsumʼ - взвешенная сумма);- реализация импликации (ʻminʼ
- минимум, ʻprodʼ - умножение);- реализация агрегирования (ʻmaxʼ
- максимум, ʻproborʼ - вероятностное ИЛИ);- массив входных переменных;.name
- наименование входной переменной;.range - диапазон изменения входной
переменной;.mf - массив функции принадлежности входной переменной;.mf.name -
наименование функции принадлежности входной переменной;.mf.type - тип функции
принадлежности входной переменной (ʻdsigmfʼ - разность между
сигмоидными функциями, ʻgauss2mfʼ - двухсторонняя гауссова, ʻgaussmfʼ
- гауссова, ʻgbellmfʼ - обобщенная колоколообразная, ʻpimfʼ
- пи-подобная, ʻpsigmfʼ - сигмоидная, ʻsmfʼ - s-подобная, ʻtrapmfʼ
- трапециевидения, ʻtrimfʼ - треугольная, ʻzmfʼ -
z-подобная);.mf.params - массив параметров функции принадлежности входной
переменной;- массив выходных переменных;.name - наименование выходной
переменной;.range - диапазон изменения выходной переменной;.mf - массив функции
принадлежности выходной переменной;.mf.type - тип функции принадлежности
выходной переменной (для систем типа Мамдани описаны в поле input.mf.type, для
системы Сугено заключения правил задаются константами ʻconstantʼ или
линейной комбинацией входных переменных ʻlinearʼ);.mf.params - массив
параметров функции принадлежности выходной переменной;- массив правил нечеткой
базы знаний;. antecedent - посылки правила (указываются порядковые номера
термом в порядке записи входных переменных. 0 - означает, что значение входной
переменной не влияет на истинность правила);.cosequent - заключение правила
(указываются порядковые номера термом в порядке записи входных переменных; 0
означает, что правило не распространяется на соответствующую выходную
переменную);.weight - вес правила (число из диапозана [0,1]);.connection -
логическая связка переменных внутри правила (1 - логическое И, 2 - логическое
ИЛИ).
4.3 Формат файла .fis (на примере
y1.fis)
Система нечеткого вывода хранится на
диске в виде .fis-файлов. Формат .fis-файла представлен в таблице 4.1.
Таблица 4.1 - Формат файла .fis
|
Строки
файла
|
Описание
|
|
1
|
2
|
|
[System] Name=’y1_Quality’ Type=’mamdani’
Version=2.0 NumInputs=3 NumOutputs=1 NumRules=19 AndMethod=’prod’
OrMethod=’max’ ImpMethod=’min’ AggMethod=’max’ DeffuzMethod=’centroid’
[Input] Name=’x_2->проектные_решения’
Range=[-50 50] NumMFs=3 MF1=’H’:’gaussmf’,[35 -50] MF2=’C’:’gaussmf’,[35 0]
MF3=’B’:’gaussmf’,[35 50] MF4=’HC’:’gaussmf’,[35 -25] MF5=’BC’:’gaussmf’,[35
25] [Input2]
Name=’x_3-> производственные_технологии’ Range=[-50 50] NumMFs=5
MF1=’H’:’gaussmf’,[21 -50] MF2=’C’:’gaussmf’,[21 0] MF3=’B’:’gaussmf’,[21 50]
MF4=’HC’:’gaussmf’,[21 -25] MF5=’BC’:’gaussmf’,[21
25] [Input3] Name=’x_4->кадры’
Range=[-50 50] NumMFs=5 MF1=’H’:’gaussmf’,[31 -50] MF2=’C’:’gaussmf’,[31 0]
MF3=’B’:’gaussmf’,[31 50] MF4=’HC’:’gaussmf’,[31 -25] MF5=’BC’:’gaussmf’,[31
25] [Outputl] Name=’y_1->Количество’
Range=[-75 75] NumMFs=3 MF1=’Hизкое’:’gaussmf’,[22
-50] MF2=’Cреднее’:’gaussmf’,[16
0] MF3=’Bысокое’:’gaussmf’,[22
50] [Rules] 3 3 3, 3 (1) : 1 3 3 2, 3 (1) : 1 3 2 3, 3 (1) : 1
|
Метка
общих параметров системы нечеткого вывода Наименование системы Тип системы
нечеткого вывода Число входных переменных Число выходных переменных Число
правил в базе знаний Реализация логической операции И Реализация логической
операции ИЛИ Реализация импликации Реализация агрегирования Метод
дефаззификации Метка первой входной переменной Наименование первой входной
переменной Диапазон изменения Количество термов Первый терм : тип функции
принадлежности, ее параметры Второй терм … Третий терм … Четвертый терм …
Пятый терм … Метка первой выходной переменной Наименование выходной
переменной Диапазон изменения Количество термов
|
4.4 Реализация вывода при нечетких
исходных данных
В Fuzzy Logic Toolbox высота пересечения двух
нечетких множеств рассчитывается с помощью функции fuzzy_input . При этом
функции принадлежности нечетких множеств должны быть одного типа
(колоколообразная, гауссова или сигмоидная).
При нечетком выводе с помощью функции evalfis необходимо
указать, что входные переменные задаются нечеткими числами. Делается это
кодированием нечеткого значения входной переменной следующим образом:
Fuzzy_value = FUZZY_LABEL-10*A-B,
где А - номер переменной в нечеткой системе, В -
порядковый номер терма, FUZZY_LABEL - признак нечеткого аргумента, обозначенный
отрицательным числом.
Например FUZZY_LABEL= -1000, тогда аргументы x ≥
-1010 рассматриваются как четкие, а аргументы x < - 1010 как нечеткие;
значение х = -1012 соответствует входному нечеткому множеству с функцией
принадлежности второго терма первой входной переменной.
Аналогично в нечеткой системе (fis-структуре)
должны быть описаны все нечеткие значения исходных данных. fis-структура, а
также константа FUZZY_LABEL должны быть доступны из m-функций, в которых
запрограммированы формулы функций принадлежности. Реализуется это через
глобальные переменные FUZZY_LABEL и FISFL (нечеткая система).
Чтобы нечеткая система могла работать с
нечеткими исходными данными необходимо в fis-файлах заменить имена функций
принадлежности входных переменных с gaussmf и qgaussmf.
4.5 Контрольный пример
Пусть эксперты определили показатели некоторого
туристского продукта «А» на рынке следующим образом:
x1=15%, x2=’B’, x3=’C’, x4=’H’, x5=’C’, x6=
-45%, x7= -10%, x8= -30%, x9=’C’, x10=80%
туристский продукт информационный
система
Для расчета конкурентоспособности данного
туристского продукта в командой строке MATLAB вводим команду conclusion, с
указанием показателей в качестве параметров (рисунок 4.3);
В данном случае конкурентоспособность средняя.
Визуализация поверхности «входы-вход» системы,
моделирующей конкурентоспособность туристского продукта представлена на рисунке
4.9.
Как следствие, эксперт может сделать вывод, в
какую сторону критерии следует изменить, чтобы конкурентоспособность продукта
повысилась. Например, на рисунке 4.9 видно, что конкурентоспособность растет
при максимальном снижении цены (максимальное положительное отклонение от
среднего значения), а также при положительном отклонении качества от среднего
значения. Чтобы увеличить качество (рисунок), необходимо добиться
положительного отклонения от среднего значения, например, по показателям
«Производственные технологии», «Проектные решения» и т.д.
Заключение
В данной работе проведено исследование особенностей
в туризме. Из всей совокупности маркетинговых исследований туристскими
организациями были выбраны маркетинговые исследования, направленные на оценку
конкурентоспособности туристского продукта.
В результате анализа особенностей предметной
области и факторов влияющих на конкурентоспособность туристского продукта
произведено обоснование выбора математического аппарата, позволяющего
формализовать знания эксперта о предметной области в виде иерархической системы
нечеткого вывода.
Данная система, созданная средствами MATLAB,
позволяет эксперту оценить конкурентоспособность туристского продукта,
укрупненные факторы, влияющие на конкурентоспособность, вследствие чего эксперт
может обосновать необходимость совершенствования туристского продукта, оценить
возможный объем сбыта на конкретном рынке.
Поверхности «входы-выход» систем нечеткого
вывода наглядно демонстрируют, значения каких факторов и в какую сторону
необходимо изменить, чтобы улучшить полученные значения.
Список использованных источников
1.
Беллман Р. Принятие решений в расплывчатых условиях / Р. Беллман, Л. Заде - М.:
«Мир», 1976. - с. 172-215.
.
Дурович А. Маркетинговые исследования в туризме / А.П. Дурович, Л. Анастасова -
М.: Новое задание, 2002. - 348 с.
.
Дурович А.П.
Маркетинг в туризме / А.П. Дурович, А.С. Копанев - Мн.: «Экономпресс», 1998. -
400 с.
.
Саати Т. Принятие решений: метод анализа иерархий / Перевод: Р.Г. Вачнадзе -
М.: «Радио и связь», 1993. - 278 с.
5.
Тэрано Т. Прикладные нечеткие системы / Т. Тэрано, К. Асаи, М. Сугено - М.:
«Мир», 1993. - 369 с.
.
Штовба С.Д. Проектирование нечетких систем средствами MATLAB. - М.: «Горячая
линия - Телеком», 2007. - 290 с.