Информационная система по работе с клиентами туристического агентства 'Экватор'

  • Вид работы:
    Дипломная (ВКР)
  • Предмет:
    Информационное обеспечение, программирование
  • Язык:
    Русский
    ,
    Формат файла:
    MS Word
    1,76 Мб
  • Опубликовано:
    2015-04-19
Вы можете узнать стоимость помощи в написании студенческой работы.
Помощь в написании работы, которую точно примут!

Информационная система по работе с клиентами туристического агентства 'Экватор'

Содержание

Введение

1. Постановка задачи

1.1    Описание объекта исследования

1.1.1 Структура туристического агентства

.1.2 Бизнес-процесс

1.2 Сравнительный анализ существующих систем

1.3 Определение требований

2. Моделирование

2.1 Функциональное моделирование

.2 Выбор средств моделирования

.3 Разработка информационной модели

2.3.1 Модель предметной области

.3.2 Модель информационной системы

2.4 Математическая модель

.5 Временная модель

3. Проектирование

3.1 Выбор средств проектирования

.2Разработка информационной модели

4. Реализация информационной системы

4.1Выбор средств реализации

.2Порядок работы информационной системы туристической компании

5. Социальный аспект

. Технико-экономическое обоснование проекта

. Безопасность и экологичность при эксплуатации информационной системы туристической компании

7.1 Анализ трудового процесса

.2 Мероприятия по улучшению условий трудового процесса

.3 Пожарная и электрическая безопасность

7.3.1 Пожарная безопасность

.3.2 Электрическая безопасность

.4 Защита окружающей и природной среды при эксплуатации информационной системы туристической компании

Заключение

информационный туристический работник кадры

Введение


В нашем обществе, в связи с тем, что путешествия по миру стали доступны и легко осуществимы, появилось большое количество туристических компаний, которые помогают осуществить путешествия. По целям визита путешествия делятся на бизнес-трип, путешествие с целью отдыха, выездные семинары и т.д., но это не единственная классификация путешествий, так же существуют классификации по способу передвижения, по виду туризма и т.д. Благодаря такому многообразию и разновидностям путешествий, в туристических компаниях (-далее компания) появилась масса проблем с тем как учитывать людей, которые только собираются путешествовать, как учитывать людей, которые уже совершили свои путешествия, как учитывать туры, которые есть у агентства и др. проблемы. В то время, когда туристический вид деятельности был не так развит, данные проблемы затрудняли работу многих компаний, но в силу низкой загруженности, представлялась возможность проводить многие операции в рукописном виде, что не было затруднительным для фирмы. Сейчас же, когда большое количество людей способно позволить себе путешествовать, подобная хаотичность приводит к неудобству работы с документами, вызывает трудности с учетом и прогнозированием действий агентства.

Подобная ситуация имеет место в туристическом агентстве ООО "Экватор", количество заявок от людей желающих совершить путешествие постоянно растет, что приводит к сложности отслеживания работы компании руководством, а так же к несвоевременному обслуживанию клиента, в связи со сложностью учета большого количество туров. В виду имеющихся проблем, целью моей работы является внедрение автоматизированной информационной системы, которая служит для упрощения работы сотрудников компании.

Для успешной деятельности компании в современных условиях большое значение имеют решения в области автоматизированного учета клиентов и бронирования туров. Для этого круга задач существуют специализированные системы, способные обеспечить руководство компании информацией, для принятия оперативных и стратегических решений в области улучшения работы компании, а так же для персонала оперативного обслуживания клиента.

В настоящее время на рынке программных средств существует множество различных продуктов предназначенных для решения подобного рода вопросов.

На ряду с программами, предназначенными для автоматизации бизнес процессов в компании в целом, разработано ряд программ для отдельных отделов компании. Сейчас без труда можно найти организацию или частное лицо, занимающееся разработкой информационных систем.

Опыт создания ИС позволяет условно выделить следующие основные этапы их жизненного цикла:

·        анализ - определение того, что должна делать система;

·        проектирование - определение того, как система будет делать то, что она должна делать. Проектирование это, прежде всего, спецификация подсистем, функциональных компонентов и способов их взаимодействия в системе;

·        разработка - создание функциональных компонентов и подсистем по отдельности, соединение подсистем в единое целое;

·        тестирование - проверка функционального и параметрического соответствия системы показателям, определенным на этапе анализа;

·        внедрение - установка и ввод системы в действие;

·        сопровождение - обеспечение штатного процесса эксплуатации системы;

·        диагностика необходимости модернизации;

·        модернизация.

Анализ требований разрабатываемой системы является важнейшим среди всех этапов жизненного цикла. На этом этапе, во-первых, необходимо понять, что предполагается сделать, во-вторых, задокументировать это.

Из универсальных методов, пригодных для обследования всех функциональных звеньев отдела мной были выбраны:

·        Опрос исполнителей

·        Анализ материалов

·        Личное участие

Нами был проведен системный анализ с целью получения информации о возможностях современных информационных систем.

1. Постановка задачи

1.1 Описание объекта исследования


Как известно основу туристической индустрии составляют фирмы туроператоры и турагенты занимающиеся туристическими поездками, продажей их в виде путевок и туров; предоставляющие услуги по размещению и питанию туристов (гостиницы, кемпинги и др.), их передвижению по стране, а также органы управления, информации, рекламы по исследованию туризма и подготовке для него кадров, предприятия по производству и продаже товаров туристского спроса. На туризм работают и другие отрасли, для которых обслуживание туристов не является основным видом деятельности (предприятия культуры, торговли и др.). Туризм - информационно насыщенная деятельность. Существует немного других отраслей, в которых сбор, обработка, применение и передача информации были бы настолько же важны для ежедневного функционирования, как в туристической индустрии. Услуга в туризме не может быть выставлена и рассмотрена в пункте продажи, как потребительские или производственные товары. Ее обычно покупают заранее и вдали от места потребления. Таким образом, туризм на рынке почти полностью зависит от изображений, описаний, средств коммуникаций и передачи информации.

Устройство туристической отрасли очень похоже на организацию любой другой экономической сферы деятельности (схема 1). Турагент - физическое или юридическое лицо, выступающее посредником по продаже сформированных туроператором туров. Туроператор - туристская организация, занимающаяся комплектацией туров.

Схема 1. Устройство туристической отрасли.

Однако выделяется особенность - связующим центром, удерживающим различных производителей в рамках туристической отрасли, является информация. Именно информационные потоки, а не товары обеспечивают связи между производителями туристических услуг. Они идут не только в виде потоков данных, но выступают также в форме услуг и платежей. Услуги, например (ночевка в гостинице; аренда автомобиля; комплексные туры и места в самолетах) не пересылаются турагентам которые в свою очередь не хранят их до тех пор, пока не продадут потребителям. Передается и используется информация о наличии, стоимости и качествах этих услуг. Точно так же реальные платежи не переводятся от турагентовтурпоставщикам а комиссионные - от турпоставщиковтурагентам. На самом деле переводится информация о платежах и поступлениях (схема 2).

Схема 2. Информация - связующий материал туристического бизнеса.

Можно выделить три характерные черты туризма. Во-первых, это - разнообразная и интегрированная торговля услугами. Во-вторых, это - комплексная услуга, как с точки зрения производителя, так и потребителя. Наконец, туризм это - информационно насыщенная услуга. Поэтому туризм - как международный, так и внутренний, - сфера растущего применения информационных технологий. Система информационных технологий, используемых в туризме, состоит из компьютерной системы резервирования, системы проведения телеконференций, видеосистем, компьютеров, информационных систем управления, электронных информационных систем авиалиний электронной пересылки денег, телефонных сетей, подвижных средств сообщения и т.д. При этом необходимо отметить, что эта система технологий развертывается не туристическими агентствами, гостиницами или авиакомпаниями каждым в отдельности, а всеми ими. Более того, использование каждым сегментом туризма системы информационных технологий имеет значение для всех остальных частей. Например, системы внутреннего управления гостиницей могут быть связаны с компьютерными глобальными сетями, которые обеспечивают, в свою очередь, основу для связи с гостиничными системами резервирования, которые, уже в обратном направлении, могут быть доступны туристическим агентствам через их компьютеры. Следовательно, здесь мы имеем дело с интегрированной системой информационных технологий, которая распространяется в туризме. Из изложенного выше становится ясно, что в туристической индустрии распространяются не компьютеры, не телефоны, и не видеотерминалы сами по себе - здесь функционирует система взаимосвязанных компьютерных и коммуникационных технологий. Кроме того, отдельные компоненты туристической отрасли тесно взаимосвязаны друг с другом - ведь многие турпроизводители вертикально или горизонтально вовлечены в деятельность друг друга. Все это позволяет рассматривать туризм как высокоинтегрированную услугу, что делает его еще более восприимчивым для применения информационных технологий в организации и управлении.

 

.1.1 Структура туристического агентства

Структура туристического агентства представлена на рисунке 1.1.

Рис.1 Структура туристического агентства

Управление предприятием осуществляется на базе определенной организационной структуры. Структура предприятия и его подразделений определяется предприятием самостоятельно. При разработке организационной структуры управления необходимо обеспечить эффективное распределение функций управления по подразделениям. При этом важно выполнениеследующихусловий:

·        решение одних и тех же вопросов не должно находиться в ведение разных подразделений;

·        все функции управления должны входить в обязанности управляющих подразделений;

·        на данное подразделение не должно возлагаться решение вопросов, которые эффективнее решать в другом.

 

.1.2 Бизнес-процесс

Продажа туристского продукта в условиях жесткой конкуренции становится все более сложной задачей. В связи с этим особое значение приобретает совершенствование технологии продаж.

Для достижения этой цели менеджер должен проводить маркетинговые исследования туристского рынка, знать сильные и слабые стороны своих маршрутов по сравнению с конкурентами. Менеджер должен регулярно участвовать в собраниях фирмы, проводимых для обмена опытом и обсуждения различных затруднительных ситуаций; владеть краткой информацией обо всех направлениях, о наличии "горящих" путевок и, таким образом, постоянно быть в курсе текущих дел фирмы.

Важнейшим аспектом технологии продаж является психология взаимодействия с клиентом. Сотрудник фирмы, который непосредственно участвует в процессе продажи, должен уметь красиво представить свои маршруты, но и профессионально владеть техникой общения с клиентом.

Бизнес- процесс туристической фирмы строится слеующим образом:

1. Менеджер готовит всю необходимую информацию:

Место назначенияномер тура (если указан в брошюре)

Фамилию(и) туриста(ов)

Желаемые даты отправления и возвращения

. Менеджерсвязуется с представителем туроператора по номеру, указанному в брошюре или листовке. Если у него есть вопросы по условиям тура, то он обязательно задайет их.

. Менеджерсообщает агенту туроператора всю указанную выше информацию, указав также, желаемую гостиницу (если есть выбор), количество человек в номере, необходимый тип кровати - двуспальную, две односпальных и т.д.

. Если тур не включает переезд - менеджерсообщает агенту номер и дату рейса забронированного им для клиента.

. Менеджерполучает от агента и записует номер сделанного заказа.

. Менеджеруточнияет размер и порядок получения туристической компанией комиссионных.

7. Получив от агента туроператора подтверждение заказа, менеджер берет с клиента деньги


1.2 Сравнительный анализ существующих систем

В связи с быстрым ростом туристического агентства, а так же с большим притоком клиентов актуальной является проблема оперативной и качественной обработки информации по турам и по возможности их реализации.

Простой оптимизации применяемых методов в данном случае недостаточно. Оптимизация ныне существующих процессов в туристическом агентстве позволит лишь уменьшить время поиска тура, что существенно не улучшить работу агентства и не повышения качества и оперативности обработки информации, так как непосредственную обработку и систематизацию сведений по-прежнему будет выполнять рабочий персонал.

Современный уровень информационных технологий позволяет просто и эффективно решить существующие проблемы путем разработки и внедрения специализированной информационной системы, а использование возможностей сети интернет решает также и проблемы информационного обмена с туристическими операторами, предлагающими различные туры.

Вопрос об использовании автоматизированной информационной системы туристического агентства существует уже достаточно долго. В условиях современного общества, в котором лидирующие позиции любой организации, в том числе туристического агентства, определяются в первую очередь его возможностями по доступу, хранению и качественной обработке информации, огромную важность приобретает грамотное использование передовых достижений в сфере информационных технологий.

Обзор существующих аналогов

Из наиболее распространенных систем, отвечающих оговоренным критериям, стоит выделить следующие программные продукты:

1.      Информационная система "Парус - туристическое агентство", корпорация Парус

2.      Информационная система "Лидер-Тур", компания "ФРЭНД"

.        Информационная система "1С-Рарус:Турагентство", компания "1С"

.        Информационная система "САМО-Тур", компания "САМО-Софт"

Проанализировав информационную систему можно говорить о ее неоспоримом преимуществе над ныне существующими системами, которые используют туристические компании. Данный анализ проводился на основе метода анализа иерархий (далее МАИ), разработанный Т.Саати. Сегодня его используют уже повсеместно от риэлтеров, при оценке недвижимости, до кадровиков, при замещении вакантных должностей. Воспользуемся этим методом и мы для докузательства преимуществ нашей информационной систему.

Напервым этапом применения МАИ мы представляем структурирование проблемы выбора в виде иерархии, который в общем случае является набором альтернатив (информационных систем для работы в туристических компаниях)

1.      Информационная система "Парус - туристическое агентство", корпорация Парус

2.      Информационная система "Лидер-Тур", компания "ФРЭНД"

.        Информационная система "1С-Рарус:Турагентство", компания "1С"

.        Информационная система "САМО-Тур", компания "САМО-Софт"

5.      Информационная система "ТурАгент"

После иерархического воспроизведения проблемы устанавливаются приоритеты критериев, и оценивается каждая из альтернатив по критериям. В МАИ элементы задачи сравниваются попарно по отношению к их воздействию на общую для них характеристику. Система парных сведений приводит к результату, который может быть представлен в виде обратно симметричной матрицы. Элементом матрицы a(i,j) является интенсивность проявления элемента иерархии i относительно элемента иерархии j, оцениваемая по шкале интенсивности от 1 до 9, предложенной автором метода, где оценки имеют следующий смысл:

Таблица 1.1


Если при сравнении одного фактора i с другим j получено a(i,j) = b, то при сравнении второго фактора с первым получаем a(j,i) = 1/b.

Относительная сила, величина или вероятность каждого отдельного объекта в иерархии определяется оценкой соответствующего ему элемента собственного вектора матрицы приоритетов, нормализованного к единице. Процедура определения собственных векторов матриц поддается приближению с помощью вычисления геометрической средней.

Пусть:1...An - множество из n элементов;1...Wn - соотносятся следующим образом:


Оценка компонент вектора приоритетов производится по схеме:


Приоритеты синтезируются, начиная со второго уровня вниз. Локальные приоритеты перемножаются на приоритет соответствующего критерия на вышестоящем уровне и суммируются по каждому элементу в оответствии с критериями, на которые воздействует элемент.

Весьма полезным побочным продуктом теории является так называемый индекс согласованности (ИС), который дает информацию о степени нарушения согласованности. Вместе с матрицей парных сравнений мы имеем меру оценки степени отклонения от согласованности. Если такие отклонения превышают установленные пределы, то тому, кто проводит суждения, следует перепроверить их в матрице.

ИС = (max - n)/(n - 1)

Теперь сравним эту величину с той, которая получилась бы при случайном выборе количественных суждений из нашей шкалы, и образовании обратно симметричной матрицы. Ниже даны средние согласованности для случайных матриц разного порядка.

Таблица 1.2

Размер матрицы

1

2

3

4

5

6

7

8

9

10

Случайная согласованность

0

0

0.58

0.9

1.12

1.24

1.32

1.41

1.45

1.49


Если разделить ИС на число, соответствующее случайной согласованности матрицы того же порядка, получим отношение согласованности (ОС). Величина ОС должна быть порядка 10% или менее, чтобы быть приемлемой. В некоторых случаях допускается ОС до 20%, но не более, иначе надо проверить свои суждения.

КРИТЕРИИ

Проанализируем выбранные на предыдущем шаге информационные системы и сведем в одну таблицу параметры, по которым они отличаются.

Таблица 1.3

 

ИС "Парус"

ИС "Лидер-Тур"

ИС "1С-Рарус"

ИС "САМО-Тур"

Разработанная "ТурАгент"

Скорость обработки одного запроса (сек.)

20

20

15

15

10

Количество подключаемых модулей

5

10

20

12

20

Почтовые ящики (шт.)

0

0

0

0

неогранич.

Учет VIP-клиентов

нет

нет

нет

нет

да

Статистическая информация (количество параметров)

10

12

11

5

15


Конечно же, информационные системы, представленные в таблице,отличаются не только приведенными параметрами. Различен перечень предлагаемых сервисов. Я отобрал только те, которые действительно оказывают какое-то влияние на мой выбор в конкретном случае.

Итак, в список критериев, по которым мы будем сравнивать информацинные системы, попали:

·        Скорость обработки запроса

·              Скорость обработки одного запроса по заданным параметрам для поиска удовлетворяющего клиента.

·              Статистическая информациия

·              Информация предоставляемая руководству компании для улучшения работы компании по средствам анализа полученных сведений по количеству задаваемых пареметров для выдачи информации.

·              Количество подключаемых модулей

·              Производительность

·              Надежность

Первым шагом для выбора информационной системы будет оценка критериев. Начнем с построения матрицы попарных сравнений для критериев, т.е. со второго уровня иерархии (на первом уровне наша цель - выбор информационной системы, на третьем - альтернативы). Для этого строим матрицу размерностью 5х5 и подпишем строки и столбцы наименованиями сравниваемых критериев.

Таблица 1.4

 






Оценки компонент собственного вектора

Нормализованные Оценки вектора приоритета

Скорость обработки

1

3

1/5

1/6

1/8

0,41628

0,05194

Статистическая информация

1/3

1

1/6

1/8

1/9

0,23849

0,02976

Подключаемые модули

5

6

1

1/3

1/5

1,14870

0,14331

Производительность

6

8

3

1

1/3

2,16894

0,27060

Надежность

8

9

5

3

1

4,04282

0,50439

 

Сумма:

8,01524

 


Сначала определяем оценки компонент собственного вектора. Так для критерия "Скорость обработки информации" это будет:

(5 x 6 x 1 x 1/3 x 1/5)1/5 = 1,14870

Получив сумму оценок собственных векторов ( = 8,01524 ), вычисляем нормализованные оценки вектора приоритета для каждого критерия, разделив значение оценки собственного вектора на эту сумму. Для того же критерия "Статистическая информация" имеем:

,14870 / 8,01524 = 0,14331

Сравнивая нормализованные оценки вектора приоритета можно сделать вывод, что наибольшее значение при выборе информационной системы я придаю критерию "Надежность".

Таблица 1.5

Скорость обработки

0,05194

Статистическая информация

0,02976

Подключаемые модули

0,14331

Производительность

0,27060

Надежность

0,50439


Далее необходимо рассчитать индекс согласованности для этой матрицы. В данном случае:= 7,72% < 10%, т.е. пересматривать свои суждения нет нужды.

Скорость обработки запроса

Числовые оценки матрицы попарных сравнений

Для оценки размера предоставляемого дискового пространства никакие дополнительные расчеты или исследования не понадобятся. Эта информация однозначно определена выбраннойинформационной системой.

Таблица 1.6

Информационные системы

Скорость обработки ( сек.)

Парус

20

Лидер-Тур

20

1С-Рарус

15

САМО-ТУР

15

Разрабатываемая Система "ТурАгент"

10


Строим матрицу сравнений

Таблица 1.7

 






Оценки компонент собственного вектора

Нормализо- ванные оценки вектора приоритета

Парус

1

1

1

1

1/9

0,644394

0,076923

Лидер-Тур

1

1

1

1

1/9

0,644394

0,076923

1С-Рарус

1

1

1

1

1/9

0,644394

0,076923

САМО-ТУР

1

1

1

1

1/9

0,644394

0,076923

Разрабатываемая Система "ТурАгент"

9

9

9

9

1

5,799546

0,692308


Относительная согласованность матрицы - 0,00%, т.е. <10%.

Статистическая информация

Числовые оценки матрицы попарных сравнений

Эта информация однозначно определена выбраннойинформационной системой.

Таблица 1.8

Информационные системы

Статистическая информация по заданным параметрам

Парус

10

Лидер-Тур

12

1С-Рарус

11

САМО-ТУР

5

Разрабатываемая Система "ТурАгент"

15


Строим матрицу сравнений.

Таблица 1.9

 






Оценки компонент собственного вектора

Нормализо- ванные оценки вектора приоритета

Парус

1

1/2

1/5

1/3

1/9

0,326383

0,038950

Лидер-Тур

2

1

1/6

1/2

1/9

0,450320

0,053741

5

6

1

2

1/5

1,643752

0,196163

САМО-ТУР

3

2

1/2

1

1/9

0,802742

0,095798

Разрабатываемая Система "ТурАгент"

9

9

5

9

1

5,156316

0,615348


Относительная согласованность матрицы - 6,54%, т.е. <10%.

Количество подключаемых модулей

Числовые оценки матрицы попарных сравнений

Для каждой из альтернатив подсчитаем количество подключаемых модулей для качественного ведения бухгалтерии, делопроизводства и т.д.

Таблица 1.10

 






Оценки компонент собственного вектора

Нормализо- ванные оценки вектора приоритета

Парус

1

1

3

2

1/7

0,969640

0,121237

Лидер-Тур

1

1

3

2

1/7

0,969640

0,121237

1С-Рарус

1/3

1/3

1

1/2

1/9

0,361491

0,045198

САМО-ТУР

1/2

1/2

2

1

1/8

0,574349

0,071812

Разрабатываемая Система "ТурАгент"

7

7

9

8

1

5,122780

0,640516


Относительная согласованность матрицы - 3,17%, т.е. <10%.

РЕЗУЛЬТАТ ВЫБОРА

Таблица 1.11

Информационные системы

Численное значение вектора приоритета

Глобальные приоритеты

Парус

0,076923

0,038950

0,121237


Лидер-Тур

0,076923

0,053741

0,121237


1С-Рарус

0,076923

0,196163

0,045198


САМО-ТУР

0,076923

0,095798

0,071812

0,030884 0,038311 0,044818

Разрабатываемая Система "ТурАгент"

0,692308

0,615348

0,640516

0,406878 0,363760 0,439640


Выбранной альтернативой считается альтернатива с максимальным значением глобального приоритета.

Таблица 1.12

Парус

0,168709

Лидер-Тур

0,230155

1С-Рарус

0,116678

САМО-Тур

0,044818

Разрабатываемая Система "ТурАгент"

0,439640


По результатам анализа мы получаем, что наша разрабатываемая информационная система "ТурАгент" обладает неоспоримым преимуществом над другими существующими системами.

1.3 Определение требований

Наиболее актуальным и эффективным средством решения существующих проблем являются информационные системы, которые максимально используют возможности современных телекоммуникационных сетей, в особенности сети интернет.

В частности, для решения выявленных проблем информационная система должна обладать следующим рядом свойств:

·        Мониторинг состояния рынка. Агентства отдают предпочтение так называемым системам поиска и бронирования туров. Системы поиска и бронирования туров помогают агентству понять, кто из туроператоров по какому направлению работает, у какого туроператора можно забронировать тот или иной отель. Ряд подобных систем может предложить качественные фото- и видеоматериалы об отеле и курорте.

Преимуществом использования систем обладающих данным свойством является то, что они обрабатывают спецпредложения от нескольких сотен туроператоров и отслеживают актуальность этих спецпредложений. Но, к сожалению, есть и недостаток: почти для каждого туроператора надо создавать свою программу-конвертор данных из формата туроператора во внутренний формат системы. Кроме того, не имея прямой связи с базами данных туроператоров, невозможно отследить наступление остановки продаж. В этом случае агентство, найдя очень привлекательное предложение в системе, будет не в состоянии его забронировать из-за остановки продаж.

·        Автоматизация внутреннего документооборота. Это выписка необходимых туристу документов: путевки, приходного/расходного кассового ордера, договора, ваучера и т.д. Это и отслеживание жизненного цикла заявки клиента.

·        CRM (CustomerRelationshipManagement). Задача построения взаимодействия с клиентами становится одной из главных при росте объема продаж. Внутриофисная система, используемая агентством, должна позволить туристическому агентству сохранить наработанную клиентскую базу данных и историю взаимоотношений со своими клиентами. Это бывает необходимо, когда агентство эмитирует дисконтные карты, скидка по которым зависит от суммы, затраченной клиентом на путевки. Это важно также при необходимости уведомления клиентов об изменении адреса агентства или выходе специального предложения, которое могло бы быть интересным постоянному клиенту, исходя из его предыдущих заказов. Как и в любом другом бизнесе, постоянные клиенты турагентства - его главное богатство, и относиться к информации о них надо соответственно.

·        Автоматизация взаимоотношений с туроператорами. Это автоматическое отслеживание прохождения заявки от момента ее формирования и до момента отправки в архив. Здесь можно использовать и режимы он-лайн бронирования туроператоров, и внутриофисные системы, и системы поиска и бронирования туров, если они обладают необходимым набором функций.

·        Автоматизация бухгалтерии. Лучше, чем специализированные бухгалтерские программы, с автоматизацией бухгалтерии не справятся никакие программы. Но, в ряде случаев, турагентства, работающие по упрощенной системе налогообложения, пользуются услугами аудиторских компаний, сдавая им лишь первичную документацию. Это и получение предоплаты, и перерасчет разных валют, и выписка первичных документов.

·        Автоматизация анализа данных и получение статистики. Для принятия правильных стратегических решений программное обеспечение, используемое турфирмой, должно формировать исчерпывающее количество статистических отчетов, которые покажут и рентабельность работы компании за промежуток времени, среднюю доходность заявок по направлениям и туроператорам и многое другое. Это позволит агентству правильно ориентироваться на рынке и разрабатывать нужные направления деятельности, выстраивая взаимоотношения с "правильными" туроператорами, в нужное время давать нужную рекламу и оценивать, как она "работает". Даже анализ времени поступления телефонных звонков, и их суть поможет думающему руководителю принять верное решение по вопросу реорганизации внутри фирмы.

Рынок IT-решений в туризме предлагает агентствам широкий выбор. Это и инструменты туроператоров - их динамические сайты с системами онлайн бронирования. Это и системы поиска и бронирования туров. И специализированные программные комплексы внутриофисной автоматизации турагентств. Это бухгалтерские программы. Но дешевых, и тем более свободно распространяемых, автоматизированных систем подобного типа на российском рынке еще не существует. Информационные системы для автоматизации учета и контроля успеваемости в своем большинстверазрабатываются самим с целью решения своих собственных проблем. Это делает подобные системы непригодными к широкому использованию.

2. Моделирование


Процесс создания и развития систем согласованных моделей, описывающих деятельность организации, начинается с построения стратегической системы моделей организации, которая описывает основные аспекты деятельности организации на стратегическом уровне. Главное назначение стратегической системы моделей заключается, во-первых, в определении основных целей и задач организации, во-вторых, в формировании моделей бизнес-процессов, описывающих основные виды деятельности организации и реализующих ее стратегические цели и задачи.

При построении моделей бизнес-процессов на стратегическом уровне не рассматривается иерархическая структура организации, описывающая "вертикальное" представление организации, и устанавливающая функциональные и административные границы между подразделениями. Бизнес -процессы определяют прохождение потоков работ независимо от иерархии и границ подразделений и организаций, которые их выполняют, и показывают взаимодействие, как внутренних, так и внешних (т.е. взаимодействующих с внешним окружением) бизнес-процессов.

Модели, входящие в стратегическую систему моделей, строятся при обследовании организации путем опроса экспертов на уровне высшего руководящего персонала, определяющего стратегию организации, а также на базе основных документов организации. Эти модели хранятся в репозитории проекта.

Все создаваемые далее модели организации строятся на базе построенных бизнес-процессов по результатам обследования деятельности организации, проводимого на уровне подразделений. Модели строятся с помощью CASE-средств, и сохраняются в репозитории проекта. Построение этих моделей допускает распараллеливание работ при проведении обследования и при построении моделей.

Дальнейшее развитие систем согласованных моделей происходит на базе схемы преобразования моделей, представленной на рис.2.1, которая описывает развитие согласованных моделей по основным аспектам, определяющим деятельность организации (данные, функции, люди, сеть, время, правила). Каждая строка таблицы соответствует системе согласованных моделей данного уровня и раскрывается в виде частных моделей по каждой группе характеристик. Переход от строки к строке показывает развитие системы моделей в процессе описания организации, а правила перехода определяются методологией и обеспечивают полноту и согласованность при построении моделей. На следующем рисунке мы сможем рассмотреть различные схемы преобразования моделей:

Рис. 2 Схема преобразования моделей

Моделирование работы информационной системы особенно важно на первых этапах её создания. Так как исправление допущенных на этом этапе ошибок обходится наиболее дорого, то и польза на этапе анализа задачи и разработки логической модели её решения значительна.

Для эффективности необходимо использовать на этом этапе CASE-средства, которые позволяют моделировать информационную систему, согласно предъявляемых ей требований.

Составим список величин, от которых зависит поведение объекта или ход процесса, а также тех величин, которые желательно получить в результате моделирования. Обозначим первые (входные) величины через х1, x2, ....хn; вторые (выходные) через y1,y2, … ,yk. Символически поведение объекта или процесса можно представить в виде

уj = Fj (x1, х2,....xn) (j=1,2,..., k),

где Fj - те действия, которые следует произвести над входными параметрами, чтобы получить результаты. Хотя запись F (x1,x2, ..., хn) напоминает о функции, мы здесь используем ее в более широком смысле. Лишь в простейших ситуациях F(x) есть функция в том смысле, который вкладывается в это понятие в учебниках математики; чтобы это подчеркнуть, лучше использовать по отношению к F(x) термин "оператор".

Входные параметры xi могут быть известны "точно", т.е. поддаваться измерению однозначно и с любой степенью точности - тогда они являются детерминированными величинами. Однако, в природе и обществе гораздо чаще встречаются процессы иного рода, когда значения входных параметров известны лишь с определенной степенью вероятности, т.е. эти параметры являются вероятностными (стохастическими), и, соответственно, таким же является процесс эволюции системы (случайный процесс).

"Случайный" - не значит "непредсказуемый"; просто характер исследования, задаваемых вопросов резко меняется (они приобретают вид "С какой вероятностью...", "С каким математическим ожиданием..." и т.п.). Примеров случайных процессов не счесть как в науке, так и в обыденной жизни (силы, действующие на летящий самолет в ветреную погоду, переход улицы при большом потоке транспорта и т.д.).

Для стохастической модели выходные параметры могут быть как величинами вероятностными, так и однозначно определяемыми. Важнейшим этапом моделирования является разделение входных параметров по степени важности влияния их изменений на выходные. Такой процесс называется ранжированием (разделением по рангам). Чаще всего невозможно (да и не нужно) учитывать все факторы, которые могут повлиять на значения интересующих нас величин yj. От того, насколько умело выделены важнейшие факторы, зависит успех моделирования, быстрота и эффективное достижения цели. Выделить более важные (или, как говорят, значимые) факторы и отсеять менее важные может лишь специалист в той предметной области, к которой относится модель.

На рисунке 3 проиллюстрированы две крайние ситуации:

а) некоторый параметр х, очень сильно влияет на результирующую величину yj,

б) почти не влияет на нее. Ясно, что если все представляющие интерес величины уj реагируют на хi так, как изображено на рис. 3, б, то хi является параметром, который при первом подходе может быть из модели исключен; если же хотя бы одна из величин уj реагирует на изменение xi так, как изображено на рис. 3, а, то хi нельзя исключать из числа важнейших параметров. Следующий этап - поиск математического описания. На этом этапе необходимо перейти от абстрактной формулировки модели к формулировке, имеющей конкретное математическое наполнение. В этот момент модель предстает перед нами в виде уравнения, системы уравнений, системы неравенств, дифференциального уравнения или системы таких уравнений и т.д.

Рисунок 3 Варианты степени влияния величины х, на результирующую величину yi

Когда математическая модель сформулирована, выбираем метод ее исследования. Как правило, для решения одной и той же задачи есть несколько конкретных методов, различающихся эффективностью, устойчивостью и т.д. От верного выбора метода часто зависит успех всего процесса.

Разработка алгоритма и составление программы для ЭВМ - это творческий и трудно формализуемый процесс. В настоящее время при компьютерном математическом моделировании наиболее распространенными являются приемы процедурно-ориентированного (структурного) программирования.

После составления программы решаем с ее помощью простейшую тестовую задачу (желательно, с заранее известным ответом) с целью устранения грубых ошибок. Это - лишь начало процедуры тестирования, которую трудно описать формально исчерпывающим образом. По существу, тестирование может продолжаться долго и закончиться тогда, когда пользователь по своим профессиональным признакам сочтет программу верной. Программистский фольклор полон историй об ошибках на этом пути.

Затем следует собственно численный эксперимент, и выясняется, соответствует ли модель реальному объекту (процессу). Модель адекватна реальному процессу, если некоторые характеристики процесса, полученные на ЭВМ, совпадают с экспериментальными с заданной степенью точности. В случае несоответствия модели реальному процессу возвращаемся к одному из предыдущих этапов.

 

.1 Функциональное моделирование


Неизбежное постоянное усложнение систем, создаваемых человеком - искусственных организационно - технических систем в первую очередь - в разных областях деятельности, привело к осознанию необходимости предвидеть результаты длительных и дорогостоящих работ по их созданию и к поиску инструментария для этого. Этот поиск шёл в направлении обретения способности увидеть и оценить функционирование создаваемой системы раньше, чем она будет создана физически.

Решение этой задачи связано с технологией моделирования работы систем.

Информационные технологии поддержки жизненного цикла продукции. Методология функционального моделирования".

Создаваемая функциональная модель позволяет сформировать описание работы (функционирования) создаваемой системы и проанализировать, с её помощью, реальность предстоящих улучшений, величины необходимых затрат и другие характеристики создаваемой, или подвергающейся модернизации, системы. А также грамотно скоординировать работу подсистем.

Выводы, следующие из такого анализа, позволяют принять решение о целесообразности реализации проекта системы и определить его результаты.

Поддерживаются как монометодические модели, так и "гибридные" функциональные модели, состоящие из диаграмм в методиках IDEF0, DFD, IDEF3. IDEF0 поддерживает моделирование как материальных систем, так и систем информационных. IDEF3 также поддерживает моделирование систем обоих видов.

 

.2 Выбор средств моделирования


Для решения задачи по выбору средства моделирования применим так же метод анализа иерархий (далее МАИ).

Первым этапом структурирование проблемы выбора в виде иерархии

1.      Aris

2.      Erwin\BPwin

3.      Rational Rose

При выборе альтернатив для моделирования я отобрал три наиболее подходящие альтернативных программных продукта на основе следующих параметров это доступность их использования, распростроненность справочной информации о работу с данными программными продуктами продуктах, а также навыки работы.

В начале немного общей информации о каждом продукте:

1.      Aris

Методология ARIS рассматривает предприятие как совокупность четырех взглядов: взгляд на организационную структуру, взгляд на структуру функций, взгляд на структуру данных, взгляд на структуру процессов. При этом каждый из этих взглядов разделяется еще на при подуровня: описание требований, описание спецификации, описание внедрения. Таким образом, ARIS предлагает рассматривать организацию с позиции 12 аспектов, отображающих разные взгляды на предприятие, а также разную глубину этих взглядов. Для описания бизнес-процессов предлагается использовать 85 типов моделей, каждая из которых принадлежит тому или иному аспекту. Среди большого количества возможных методов описания можно выделить следующие: EPC (event-driven process chain) - метод описания процессов, нашедший применение для описания процессов системы SAP R/3; ERM (Entity Relationship Model) - модель сущностей-связей для описания структуры данных; UML (Unified Modeling Language) - объектно-ориентированный язык моделирования. ARIS Toolset (ARIS Easy Design) - единая среда моделирования, которая представляет собой совокупность четырех основных компонентов - Explorer (Проводник), Designer (средство для графического описания моделей), Таблиц (для ввода различных параметров и атрибутов) и Мастеров (Wizards). Различия двух продуктов заключается не в методологической части (ARIS Easy Design входит в ARIS Toolset), а лишь в функционале. ARIS Easy Design ориентирован на сбор информации и документирование, когда ARIS Toolset позволяет еще и проводить комплексный анализ, семантические проверки информации. Кроме того, только ARIS Toolset позволяет создавать скрипты (шаблоны) для отчетов, анализа и семантических проверок. ARIS Toolset - это средство для полноправного управления проектом ARIS. Функции управления заключаются в возможностях разграничения доступа для различных групп пользователей, а также ограничения методологи. Это необходимо, что бы избавится от избыточности методологии при реализации конкретного проекта. Помимо этого, некоторые модули, в частности ARIS ABC и ARIS Simulation, функционируют только при наличии ARIS Toolset.

2.      Erwin\BPwin

ERwin - средство концептуального моделирования БД, использующее стандарт IDEF1X. ERwin реализует проектирование схемы БД, генерацию ее описания на языке целевой СУБД (ORACLE, Informix, Ingres, Sybase, DB/2, Microsoft SQL Server, Progress и др.) и реинжиниринг существующей БД. ERwin выпускается в нескольких различных конфигурациях, ориентированных на наиболее распространенные средства разработки приложений 4GL. Версия ERwin/OPEN полностью совместима со средствами разработки приложений PowerBuilder и SQLWindows и позволяет экспортировать описание спроектированной БД непосредственно в репозитории данных средств. Для ряда средств разработки приложений (PowerBuilder, SQLWindows, Delphi, Visual Basic) выполняется генерация форм и прототипов приложений. Сетевая версия Erwin ModelMart обеспечивает согласованное проектирование БД и приложений в рамках рабочей группы. BPwin - средство функционального моделирования, реализующее методологию IDEF0-IDEF3. Методология IDEF0, являющаяся официальным федеральным стандартом США, представляет собой совокупность методов, правил и процедур, предназначенных для построения функциональной модели объекта какой-либо предметной области. Функциональная модель IDEF0 отображает функциональную структуру объекта, т.е. производимые им действия и связи между этими действиями. Методология IDEF может использоваться для моделирования широкого круга систем и определения требований и функций, а затем для разработки системы, которая удовлетворяет этим требованиям и реализует эти функции. Для уже существующих систем IDEF может быть использована для анализа функций, выполняемых системой, а также для указания механизмов, посредством которых они осуществляются.

3.      Rational Rose

Rational Rose - предназначено для автоматизации этапов анализа и проектирования ПО, а также для генерации кодов на различных языках и выпуска проектной документации. Rational Rose использует синтез-методологию объектно-ориентированного анализа и проектирования, основанную на подходах трех ведущих специалистов в данной области: Буча, Рамбо и Джекобсона. Разработанная ими универсальная нотация для моделирования объектов (UML - Unified Modeling Language) претендует на роль стандарта в области объектно-ориентированного анализа и проектирования. Конкретный вариант Rational Rose определяется языком, на котором генерируются коды программ (C++, Smalltalk, PowerBuilder, Ada, SQLWindows и ObjectPro). Основной вариант - Rational Rose/C++ - позволяет разрабатывать проектную документацию в виде диаграмм и спецификаций, а также генерировать программные коды на С++. Кроме того, Rational Rose содержит средства реинжиниринга программ, обеспечивающие повторное использование программных компонент в новых проектах/

Далее устанавливаем приоритеты критериев и оценим каждую из альтернатив по критериям. Так как в МАИ элементы задачи сравниваются попарно по отношению к их воздействию на общую для них характеристику. Элементом матрицы a(i,j) является интенсивность проявления элемента иерархии i относительно элемента иерархии j, оцениваемая по шкале интенсивности от 1 до 9, предложенной автором метода, где оценки имеют следующий смысл:

Таблица 2.1

1 - равная важность

3 - умеренное превосходство одного над другим

5 - существенное превосходство одного над другим

7 - значительное превосходство одного над другим

9 - очень сильное превосходство одного над другим

2, 4, 6, 8 - соответствующие промежуточные значения


КРИТЕРИИ

Числовые оценки матрицы попарных сравнений.

Проанализируем выбранные на предыдущем шаге известных инструментов организационного проектированияи сведем в одну таблицу параметры, по которым они отличаются.

Таблица 2.2


Функции, свойства

ARIS

ERwin/ BPwin

Rational Rose

1

Моделирование организационных функций и процессов

+

+

+

2

Разработка технического задания

+/-

+

+/-

3

Функционально-стоимостной анализ

+

+

+/-

4

Оптимизация бизнес процессов

+

+

+

5

Имитационное моделирование, событийно-управляемое моделирование

+/-

+

-

6

Генерация кода приложения

-

+

+/-

7

Создание концептуальных и физических моделей структуры базы данных

+/-

+

+

8

Генерация программного кода, SQL-сценариев для создания структуры базы данных.

-

+

+/-

9

Групповая работа над проектом

+

+

+

 

Ценовые различия

$31 740

$23 685

$40 520

"+" - да "+/-" - частичная реализация, требующая доработки иными инструментальными средствами "-" - не


Конечно же, средства моделирования отличаются не только приведенными параметрами. Различен перечень предлагаемых сервисов. Я отобрал только те, которые действительно оказывают какое-то влияние на мой выбор в конкретном случае для конкретного сайта.

Итак, в список критериев, по которым мы будем сравнивать системы моделирования, попали:

·        Моделирование организационных функций и процессов

·        Групповая работа над проектом.

·              Стоимость

·              Производительность

·              Надежность

Следующим шагом будет оценка критериев.

Начнем с построения матрицы попарных сравнений для критериев, т.е. со второго уровня иерархии (на первом уровне наша цель -средства моделирования, на третьем - альтернативы). Для этого строим матрицу размерностью 5х5.

Таблица 2.3

 






Оценки компонент собственного вектора

Нормализо- ванные оценки вектора приоритета

Моделирование организационных Функций и процессов

1

3

1/5

1/6

1/8

0,41628

0,05194

Групповая работа над проектом

1/3

1

1/6

1/8

1/9

0,23849

0,02976

Стоимость

5

6

1

1/3

1/5

1,14870

0,14331

Производительность

6

8

3

1

1/3

2,16894

0,27060

Надежность

8

9

5

3

1

4,04282

0,50439

 

Сумма:

8,01524

 


Сначала определяем оценки компонент собственного вектора. Так для критерия "Стоимость" это будет:

(5 x 6 x 1 x 1/3 x 1/5)1/5 = 1,14870

Получив сумму оценок собственных векторов ( = 8,01524 ), вычисляем нормализованные оценки вектора приоритета для каждого критерия, разделив значение оценки собственного вектора на эту сумму. Для того же критерия "Стоимость" имеем:

,14870 / 8,01524 = 0,14331

Сравнивая нормализованные оценки вектора приоритета можно сделать вывод, что наибольшее значение при выборе места для своего сайта я придаю критерию "Надежность".

Таблица 2.4

Моделирование организационных Функций и процессов

0,05194

Групповая работа над проектом

0,02976

Стоимость

0,14331

Производительность

0,27060

Надежность

0,50439


Рассчитаем индекс согласованности для этой матрицы.= 7,72% < 10%, т.е. пересматривать свои суждения нет нужды.

ОБЪЕМ

Числовые оценки матрицы попарных сравнений

Для оценки размера предоставляемого дискового пространства никакие дополнительные расчеты или исследования не понадобятся. Эта информация однозначно определена выбранным тарифным планом.

Таблица 2.5

инструменты организационного проектирования

Моделирование организационных функций и процессов

Aris

Да

ERwin\BPwin

Да

Rational Rose

Да


Таблица 2.6

 

Оценки компонент собственного вектора

Нормализо- ванные оценки вектора приоритета

Aris

1

1

1

1

1/9

0,644394

0,076923

ERwin\BPwin

1

1

1

1

1/9

0,644394

0,076923

Rational Rose

1

1

1

1

1/9

0,076923


Относительная согласованность матрицы - 0,00%, т.е. <10%.

Групповая работа над проектом

Числовые оценки матрицы попарных сравнений

Таблица 2.7

инструменты организационного проектирования

Групповая Работа над проектом

Aris

да

ERwin\BPwin

да

Rational Rose

да


Таблица 2.8

 

Оценки компонент собственного вектора

Нормализо- ванные оценки вектора приоритета

Aris

1

1/2

1/5

1/3

1/9

0,326383

0,038950

ERwin\BPwin

2

1

1/6

1/2

1/9

0,450320

0,053741

Rational Rose

5

6

1

2

1/5

1,643752

0,196163


Относительная согласованность матрицы - 6,54%, т.е. <10%.

СТОИМОСТЬ

Таблица 2.9


Всего ($)

Aris

31740

ERwin\BPwin

23685

Rational Rose

40520


Таблица 2.10

 

Оценки компонент собственного вектора

Нормализо- ванные оценки вектора приоритета

Aris

1

1

3

2

1/7

0,969640

0,121237

ERwin\BPwin

1

1

3

2

1/7

0,969640

0,121237

Rational Rose

1/3

1/3

1

1/2

1/9

0,361491

0,045198


Относительная согласованность матрицы - 3,17%, т.е. <10%.

РЕЗУЛЬТАТ ВЫБОРА

Таблица 2.11

Альтернативы

Численное значение вектора приоритета

Глобальные приоритеты

Aris

0,076923

0,038950

0,121237

0,244138

0,158835

0,168709

Rational Rose

0,076923

0,053741

0,121237

0,087614

0,363760

0,230155

ERwin\BPwin

0,692308

0,615348

0,640516

0,406878

0,363760

0,439640


Выбранной альтернативой считается альтернатива с максимальным значением глобального приоритета.

Таблица 2.12

Aris

0,168709

Rational Rose

0,230155

ERwin\BPwin

0,439640


В следствии проведенного анализа мы делаем вывод, что наилучшим средством моделирования является Erwin\Bpwin.

 

2.3 Разработка информационной модели


Для построения функциональной модели мной было использовано современное CASЕ средство от компании LogikWorks: Bpwin. Функциональная модель в виде иерархически расположенных диаграмм, разработана мной для описания существующих бизнес-процессов в туристическом агентстве с целью определения требований и указаний функций для последующей разработки системы, отвечающей поставленным требованиям и реализующей выделенные функции.

Двумя наиболее важными компонентами из которых строятся диаграммы IDEF0 являются работы, (представленные в виде прямоугольников) данные и объекты (представленные в виде стрелок), связывающие между собой работы.

Стрелки входа (входят в левую грань работы) - изображают данные или объекты , изменяемые в ходе выполнения работы;

Стелки управления (входят в верхнюю грань работы) - изображают правила и ограничения согласно которым выполняется работа;

Стрелки механизма ( входят в нижнюю грань работы) - изображают ресурсы, необходимые для выполнения работы но не изменяющиеся в процессе работы;

Стрелки выхода (выходят из правой грани работы) - изображают данные или объекты появляющиеся в результате выполнения работы.

 

.3.1 Модель предметной области

В процессе анализа моделей бизнес-процессов "как есть" следует выяснить, соответствуют ли привлекаемые для выполнения процесса ресурсы поставленным задачам. Может оказаться, что для обеспечения выполнения процесса привлечены излишние ресурсы: материальные, финансовые, человеческие и т.д. Целесообразно провести анализ обоснованности существующих нормативов, используемых для расчета расходования ресурсов при выполнении процесса. На основании анализа формулируются рекомендации по реорганизации бизнес-процесса. Устранение излишних ресурсов должно приводить к снижению стоимости бизнес-процесса в целом. Часто, для повышения эффективности использования ресурсов необходимо внедрять новые технологии.

На основе собранной в ходе анализа информации, в качестве входящих данных были определены:

-       Анкетные данные клиентов;

-       Данные туроператоров;

-       Договоры;

-       Приказы руководства туристического агентства;

-       Сведения о заработной плате, предоставляемые бухгалтерией.

В качестве управляющих воздействий были выбраны:

-       Устав туристического агентства ООО"Экватор";

-       Нормативная документация (действующие законы, нормативные документы распоряжения правительства);

-       Распоряжения директора туристического агентства.

В качестве выходных данных определены:

-       Путевка;

-       Запрос туроператору;

-       Отчеты о деятельности туристического агентства;

-       Должностные инструкции разработанные для ознакомления с ними сотрудников туристического агентства;

-       Приказы для сотрудников туристического агентства.

Ресурсами были приняты:

-       Менеджер туристического агентства по внутреннему туризму;

-       Менеджер туристического агентства по внешнему туризму;

-       Директор туристического агентства.

Далее изображена контекстная диаграмма (рис2.1) ныне существующей систем:

Контекстная диаграмма на рис.2.1

Рис. 2.1 Контекстная диаграмма

Декомпозиция контекстной диаграммы (рис.2.3) описывает процессы происходящие в туристическом агентстве. Диаграммы дают ответы на следующие вопросы:

1.      Какие процедуры (функции, работы) необходимо выполнить для получения заданного конечного результата

2.      В какой последовательности выполняются эти процедуры;

.        Какие механизмы контроля и управления существуют в рамках рассматриваемого бизнес процесса;

.        Какие входящие документы/ информацию использует каждая процедура процесса;

.        Какие исходящие документы/информацию генерирует процедура процесса;

.        Какая документация/условия регламентирует выполнение процедуры

.        Какие параметры характеризуют выполнение процедур и процесса в целом.

На диаграмме (рисунок 2.2) изображены основные функции выполняемые туристическим агентством:

Рис. 2.2 Основные функции

Декомпозиция контекстной диаграммы (рис.2.3).

Рис. 2.3 - Декомпозиция

Диаграммы IDF0 несут в себе концентрированную информацию, в связи с чем были применены меры по повышению их разборчивости и удобочитаемости такие как:

-       Ограничение количества блоков на одной диаграмме

-       Ограничение количества интерфейсных дуг методом тунелирования.

В результате дальнейшей декомпозиции (рис. 2.4, рис. 2.5) были описаны следующие подфункции туристического агентства:

Рис. 2.4 Функции

Рис. 2.5 Обработка данных клиента

Рис. 2.6 Подготовка отчетности

2.3.2 Модель информационной системы

Создание и внедрение корпоративной информационной системы приводит к изменению условий выполнения отдельных операций, структуры деловых процессов и предприятия в целом. Это приводит к необходимости изменения системы бизнес-правил, используемых на предприятии, модификации должностных инструкций сотрудников. Функциональная модель информационной системы позволяет уже на стадии проектирования будущей информационной системы определить эти изменения. Применение функциональной модели информационной системы позволяет не только сократить сроки внедрения информационной системы, но также снизить риски, связанные с невосприимчивостью персонала к информационным технологиям.

Анализ на эффективность использования ресурсов может проводиться, например, на основе показателей выполнения бизнес-процесса. В рассматриваемом случае можно добиться существенного сокращения рутинной работы менеджеров по формированию путевки за счет внедрения единой автоматизированной системы. Показателями выполнения в данном случае являются: время выполнения процесса, время подготовки путевки, количество путевок подготавливаемых одним менеджером за рабочий день и т.д.

На основе собранной в ходе анализа информации был сделан вывод о том, что кардинального изменения в ресурсах, либо входящей информации, либо управляющих данных не требуется поскольку туристическое агентство не обладает большим штатом и при наличии информационной системы никаких изменений в этом направлении не требуется.

Контекстная диаграмма разрабатываемой информационной системы не отличается от используемой сейчас.

Декомпозиция контекстной диаграммы (рис.2.7) описывает процессы происходящие в туристическом агентстве.

Рис. 2.7 Декомпозиция контекстной диаграммы

Диаграммы IDF0 несут в себе концентрированную информацию, в связи с чем были применены меры по повышению их разборчивости и удобочитаемости такие как:

Ограничение количества блоков на одной диаграмме

Ограничение количества интерфейсных дуг методом тунелирования.

Таким образом в результате дальнейшей декомпозиции (рис.2.8) были описаны следующие подфункции туристического агентства:

Рис. 2.8 Обработка данных клиента

Диаграммы DFD используются для документирования механизмов передачи и обработки информации в моделируемой системе. Диаграммы DFD построены для наглядного отображения работы информационной системы документооборота туристического агентства. В диаграммах DFD используемых в нашей информационной системе используются три основных элемента:

работы - в DFD обозначают функции или процессы, которые обрабатывают и изменяют информацию. Работы представлены на диаграммах в виде прямоугольников со скругленными углами;

стрелки - идут от объекта-источника к объекту-приемнику, обозначая информационные потоки в системе документооборота;

хранилища данных - представляют собой собственно данные, к которым осуществляется доступ, эти данные могут быть созданы или изменены работами. На одной диаграмме может быть представлено несколько копий одного и того же хранилища данных.

Таким образом, в результате дальнейшей декомпозиции (рис.8, рис.9) были описаны следующие подфункции туристического агентства:

Рис. 2.9 Обработка заказа клиента

Рис. 2.10 Отчеты о проделанной работе

 

.4 Математическая модель


Следующим этапом построения информационной модели является построение математического модели. На этом этапе необходимо перейти от абстрактной модели к модели, которую можно описать с помощью математического подхода.Так наша модель начинает обретать вполне конкретные очертания в виде математических формул и уравнений и т.д.

Нам необходимо выбрать из множества способов математического моделирования один, которым мы будем пользоваться для создания математической модели нашей системы. Для реализации я выбираю математическое моделирование методом сетей Петри, так как это является наиболее совершенным способом моделирования, которым можно эффективнее представить создаваемую информационную систему туристической компании.

Сети Петри - математический аппарат для моделирования динамических дискретных систем. Впервые описаны Карлом Петри в 1962 году. Сеть Петри представляет собой двудольный ориентированный граф, состоящий из вершин двух типов - позиций и переходов, соединённых между собой дугами, вершины одного типа не могут быть соединены непосредственно. В позициях могут размещаться метки (маркеры), способные перемещаться по сети.Событием называют срабатывание перехода, при котором метки из входных позиций этого перехода перемещаются в выходные позиции. События происходят мгновенно, разновременно при выполнении некоторых условий.

Так как разработанная модель включает в себя много модулей, в данном разделе я представлю только часть математической модели всей информационной системы разработанной при помощи метода сетей Петри.

В качестве примера рассмотрим процесс обработки заявки для клиента туристической компании.Представим его в виде графа:

, где

. -возможные варианты;

. - условия подходящие для клиентов;

.- выбор наиболее подходящего варианта соответствующего условиям клиента.

На данном примере мы рассматривали процесс подбора клиенту тура с учетом его пожеланий и требований. На пример:

S1- ТурцияT1-цена

S2-ЕгипетT2-срок

S3-СочиT3-свободные места

S4-о.Бали

В графической форме сеть представлена на Рис.2.11. Сеть имеет четыре варианта и три условия. Отношение задает дуги сети. Так, например, элемент задает четыре дуги: из в и из в с кратностями 2, из в и из в с единичными кратностями. Для перехода справедливо и . Для места можно вычислить и .

Рис. 2.11: графа сети Петри

На основе заданных параметров и приведенных условий мы получаем что наиболее привлекательным будем поездка в Турцию.

Композициональный подход к построению сетей Петри предполагает возможность построения более сложных сетей из менее сложных составляющих.

.5 Временная модель

Основные понятия теории графов получили свое развитие задолго до появления теории множеств как самостоятельной научной дисциплины, формальное определение графа удобно представить в теоретико-множественных терминах.

Совокупность двух множеств: множества точек или вершин и множества соединяющих их линий или ребер - называется графом.

Виды графов развиваются в зависимости от разных областей применения. Они отличаются направленностью, ограничениями на количество связей и дополнительными данными о вершинах или ребрах, например, наличием, так называемых весов на ребрах.

Модель - это представление, как правило, в математических терминах наиболее характерных черт изучаемого объекта или системы. Одним из самых распространенных инструментов для математического моделирования и исследования информационных процессов и систем являются графы. Главной целью представления системы в виде графа и последующего анализа этой сети является получение важной информации о структуре и динамическом поведении моделируемой системы. Данную информацию можно использовать для оценки моделируемой системы и выработки предложений по ее усовершенствованию.

Разработку автоматизированной системы можно разбить на большое количество различных операций (работ). Некоторые из этих операций могут выполняться одновременно, другие - только последовательно: одна операция после окончания другой.

Задачи планирования работ по осуществлению проекта состоят в определении времени возможного окончания как всего проекта в целом, так и отдельных работ, образующих проект; в определении резервов времени для выполнения отдельных работ; в определении критических работ, то есть таких работ, задержка в выполнении которых ведет к задержке выполнения всего проекта в целом; в управлении ресурсами, если таковые имеются и т.п.

В проектировании программных систем графы обычно применяются для моделирования структуры системы. При этом вершинами графа обозначаются состояния системы, а дугами - переходы от одного состояния к другому.

Первым шагом в анализе проекта является составление списка входящих в него операций. Детали такого списка зависят от специфики конкретного проекта. Во всех случаях необходимо выделить непосредственно предшествующую операцию или операции. Непосредственно предшествующими называются операции, выполнение которых должно быть закончено прежде, чем может начаться данная операция. Список операций сведен в таблицу 2.13

Таблица 2.13 - Список операций системы

Наименование работы

Предшествующие работы

Время вы-полнения t(vk), мин.

0

Начало проекта (фиктивн. работа)

Нет

0

1

Прием заявки от клиента

0

2

2

Поиск тура

1

5

3

Оформление заказа

2

22

4

Оформление и регистрация договора

3, 1

23

5

Уточнение времени вылета

3

10

6

Выдача путевых документов

2,3

5

7

Ведение отчетности

4,6

15

С

Конец проекта (фиктивная работа)

7

0


После того как составлен список, логическая последовательность выполнения операций может быть проиллюстрирована с помощью графа. Существуют различные типы графов. Однако каждый из них имеет свои преимущества и недостатки, и выбор того или иного графа является вопросом личных предпочтений или же определяется целью создания и использования данного графа.

На основании требований, задач и функций системы мы выбрали стрелочный граф. В этом типе графов каждая операция представлена стрелкой. Длина стрелок значения не имеет. Направление стрелки отражает ход времени и обычно указывается слева направо. Начало и окончание каждой операции называются событиями и изображаются на графе кружочками или узлом.

На основе полученного списка строится стрелочный сетевой граф, включающий операции и отражающий установленные взаимосвязи между ними. Сетевой граф должен начинаться с единственного начального события и заканчиваться единственным конечным событием. Построение графа мы начали с нулевого события. С этого события начинаются все операции, которым не предшествуют никакие виды работ.

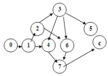
В соответствии с приведенной выше таблицей 2.16, переходя от одной операции к другой, построю стрелочный граф бизнес - процессов соответствии с рисунком 2.12.

Рисунок 2.12 - Стрелочный граф бизнес - процессов

После того как проведена идентификация операций, можно оценить их продолжительность. На основе продолжительности выполнения каждой операции и руководствуясь логической схемой, можно найти время выполнения проекта в целом. На данном этапе предполагается, что продолжительность выполнения каждой операции является фиксированной величиной, не испытывающей влияний неопределенности. Рассмотрим вопрос о том, какие поправки следует внести в этот анализ, чтобы учесть неопределенность времени выполнения операций. В каждом графе существует несколько возможных путей. Общее время, необходимое для того, чтобы пройти какой-либо путь, есть сумма времени выполнения всех операций, принадлежащих данному пути. Продолжительность выполнения всего проекта занимает наибольшее время. Более длительные операции называютсякритическими. Любая задержка срока начала или окончания выполнения этих работ повлечет за собой задержку срока выполненияпроекта в целом. Критические операции образуют непрерывную цепь, проходящую через весь граф. Эта цепь критических операций называетсякритическим путем. В каждом графе найдется, по крайней мере, один критический путь.

Для того чтобы найти общую продолжительность выполнения проекта, нужно определить продолжительность критического пути. В большинстве графов идентифицировать все идущие сквозь граф пути, чтобы выявить среди них тот, который занимает наибольшее время, достаточно трудно. Существуют два возможных метода, позволяющих отследить движение времени в графе:

. Определение для каждой операции наиболее ранних сроков начала и окончания ее выполнения.

. Определение для каждого события наиболее раннего срока его наступления. Следует отметить, что второй метод может использоваться только в стрелочных графах.

Предположим, что каждая из исходных операций начинается в нулевой момент времени. Наиболее ранний срок, к которому их выполнение может быть завершено, определяется следующим образом:

Наиболее ранний срок окончания ЕР=ЕS+Продолжительность операции.

Обычно найденные значения этих сроков наносятся непосредственно на граф, однако, мы занесем их сначала в таблицу, чтобы продемонстрировать методику проведения расчетов. Расчеты наиболее ранних сроков начала и окончания операций сведены в таблицу 2.14

Таблица 2.14 - Расчет наиболее ранних сроков начала и окончания операций

№ п/п

Наименование работы

Время вы-полнения t(vk), мин.

Наиболее ранний срок начала (ES)

Наиболее ранний срок окончания (EF)

0

Начало проекта (фиктивн. работа)

0

0

0

1

Прием заявки от клиента

2

0

2+0=2

2

Поиск тура

5

3

3+5=8

3

Оформление заказа

22

5

5+22=27

4

Оформление и регистрация договора

23

20

23+20=43

5

Уточнение времени вылета

10

43

10+43=53

6

Выдача путевых документов

5

51

5+51=56

7

Ведение отчетности

15

57

15+57=73

С

Конец проекта (фиктивная работа)

0


0


Нетрудно заметить, что операция C завершится на 262-й минуте, следовательно, это значение дает нам искомую продолжительность выполнения системы в целом.

На данном этапе мы еще не можем определить критические операции. Чтобы это осуществить, необходимо для каждой операции рассчитать два срока, ей соответствующие, а именно наиболее поздний срок начала LS и наиболее поздний срок окончания LF операции.

В данном случае процедуру расчетов начнем с последней операции в графе и предположим, что наиболее поздний и наиболее ранний сроки ее окончания совпадают. Затем вычитанием из этой величины продолжительности выполнения операций находим наиболее поздний срок ее начала. Расчеты наиболее ранних сроков начала и окончания операций сведены в таблицу 2.15.

Таблица 2.15 - Расчет наиболее поздних сроков начала и окончания операций

№ п/п

Наименование работы

Время вы-полнения t(vk), мин.

Наиболее поздний срок окончания (LF)

Наиболее поздний срок начала (LS)

С

Конец проекта (фиктивная работа)

0



7

Ведение отчетности

97

97-15=82

6

Выдача путевых документов

5

89

89-5=84

5

Уточнение времени вылета

10

77

77-10=67

4

Оформление и регистрация договора

23

64

64-23=4ё

3

Оформление заказа

22

59

59-22=37

2

Поиск тура

5

51

51-5=46

1

Прием заявки от клиента

2

43

43-2=41

0

Начало проекта (фиктивн. работа)

0


0


Критической является операция, для которой справедливы следующие соотношения:

ЕS = LS и ЕF = LF,

Т. е. операция, для которой не существует резерва времени между наиболее ранним сроком ее начала и наиболее поздним сроком ее окончания. Нетрудно заметить, что в нашем примере критическими являются операции Ведение отчетности, Регистрация контроля и исполнения доставки.

Путь в вершинном графе, соединяющий эти операции, называется критическим путем.

3. Проектирование

 

.1 Выбор средств проектирования


Для решения задачи по выбору средства проектирования применим так же метод анализа иерархий (далее МАИ).

Первым этапом структурирование проблемы выбора в виде иерархии

1.      Case.Аналитик

2.      Erwin\BPwin

3.      Rational Rose

Далее устанавливим приоритеты критериев и оценим каждую из альтернатив по критериям. Так как в МАИ элементы задачи сравниваются попарно по отношению к их воздействию на общую для них характеристику. Элементом матрицы a(i,j) является интенсивность проявления элемента иерархии i относительно элемента иерархии j, оцениваемая по шкале интенсивности от 1 до 9, предложенной автором метода, где оценки имеют следующий смысл:

Таблица 3.1

1 - равная важность

3 - умеренное превосходство одного над другим

5 - существенное превосходство одного над другим

7 - значительное превосходство одного над другим

9 - очень сильное превосходство одного над другим

2, 4, 6, 8 - соответствующие промежуточные значения


КРИТЕРИИ. Числовые оценки матрицы попарных сравнений. Проанализируем выбранные на предыдущем шаге известных инструментов организационного проектированияи сведем в одну таблицу параметры, по которым они отличаются.

Таблица 3.2


Функции, свойства

Case.Аналитик

ERwin/ BPwin

Rational Rose

1

Моделирование организационных функций и процессов

+

+

+

2

Разработка технического задания

+/-

+

+/-

3

Функционально-стоимостной анализ

+

+

+/-

4

Оптимизация бизнес процессов

+

+

+

5

Групповая работа над проектом

+

+

+

6

Ценовые различия

$25040

$23 685

$40 520

"+" - да "+/-" - частичная реализация, требующая доработки иными инструментальными средствами "-" - не


Конечно же, средства моделирования отличаются не только приведенными параметрами. Различен перечень предлагаемых сервисов. Я отобрал только те, которые действительно оказывают какое-то влияние на мой выбор в конкретном случае для конкретного сайта.

Итак, в список критериев, по которым мы будем сравнивать системы моделирования, попали:

·        Моделирование организационных функций и процессов

·        Групповая работа над проектом.

·              Стоимость

·              Производительность

·              Надежность

Следующим шагом будет оценка критериев.

Начнем с построения матрицы попарных сравнений для критериев, т.е. со второго уровня иерархии (на первом уровне наша цель - средства моделирования, на третьем - альтернативы). Для этого строим матрицу размерностью 5х5.

Таблица 3.3

 

Оценки компонент собственного вектора

Нормализо- ванные оценки вектора приоритета

Моделирование организационных Функций и процессов

1

3

1/5

1/6

1/8

0,41628

0,05194

Групповая работа над проектом

1/3

1

1/6

1/8

1/9

0,23849

0,02976

Стоимость

5

6

1

1/3

1/5

1,14870

0,14331

Производительноcть

6

8

3

1

1/3

2,16894

0,27060

Надежность

8

9

5

3

1

4,04282

0,50439

 

Сумма:

8,01524

 


Cначала определяем оценки компонент собственного вектора. Так для критерия "Стоимость" это будет:

(5 x 6 x 1 x 1/3 x 1/5)1/5 = 1,14870

Получив сумму оценок собственных векторов ( = 8,01524 ), вычисляем нормализованные оценки вектора приоритета для каждого критерия, разделив значение оценки собственного вектора на эту сумму. Для того же критерия "Стоимость" имеем:

,14870 / 8,01524 = 0,14331

Сравнивая нормализованные оценки вектора приоритета можно сделать вывод, что наибольшее значение при выборе места для своего сайта я придаю критерию "Надежность".

Таблица 3.4

Моделирование организационных Функций и процессов

0,05194

Групповая работа над проектом

0,02976

Стоимость

0,14331

Производительность

0,27060

Надежность

0,50439


Рассчитаем индекс согласованности для этой матрицы.= 7,72% < 10%, т.е. пересматривать свои суждения нет нужды.

ОБЪЕМ

Числовые оценки матрицы попарных сравнений

Для оценки размера предоставляемого дискового пространства никакие дополнительные расчеты или исследования не понадобятся. Эта информация однозначно определена выбранным тарифным планом.

Таблица 3.5

инструменты организационного проектирования

Моделирование организационных функций и процессов

Case.Аналитик

Да

ERwin\BPwin

Да

Rational Rose

Да


Таблица 3.6

 

Оценки компонент собственного вектора

Нормализо- ванные оценки вектора приоритета

Case.Аналитик

1

1

1

1

1/9

0,644394

0,076923

ERwin\BPwin

1

1

1

1

1/9

0,644394

0,076923

Rational Rose

1

1

1

1

1/9

0,644394

0,076923


Относительная согласованность матрицы - 0,00%, т.е. <10%.

Групповая работа над проектом

Числовые оценки матрицы попарных сравнений

Таблица 3.7

инструменты организационного проектирования

Групповая Работа над проектом

Case.Аналитик

да

ERwin\BPwin

да

Rational Rose

да


Таблица 3.8

 

Оценки компонент собственного вектора

Нормализо- ванные оценки вектора приоритета

Case.Аналитик

1

1/2

1/5

1/3

1/9

0,326383

0,038950

ERwin\BPwin

2

1

1/6

1/2

1/9

0,450320

0,053741

Rational Rose

5

6

1

2

1/5

1,643752

0,196163


Относительная согласованность матрицы - 6,54%, т.е. <10%.

СТОИМОСТЬ

Таблица 3.9


Всего ($)

Case.Аналитик

31740

ERwin\BPwin

23685

Rational Rose

40520


Таблица 3.10

 

Оценки компонент собственного вектора

Нормализо- ванные оценки вектора приоритета

Case.Аналитик

1

1

3

2

1/7

0,969640

0,121237

ERwin\BPwin

1

1

3

2

1/7

0,969640

0,121237

Rational Rose

1/3

1/3

1

1/2

1/9

0,361491

0,045198


Относительная согласованность матрицы - 3,17%, т.е. <10%.

РЕЗУЛЬТАТ ВЫБОРА

Таблица 3.11

Альтернативы

Численное значение вектора приоритета

Глоба- льные приори- теты

Case.Аналитик

0,076923

0,038950

0,121237

0,244138

0,158835

0,168709

Rational Rose

0,076923

0,053741

0,121237

0,087614

0,363760

0,230155

ERwin\BPwin

0,692308

0,615348

0,640516

0,406878

0,363760

0,439640


Выбранной альтернативой считается альтернатива с максимальным значением глобального приоритета.

Таблица 3.12

Case.Аналитик

0,168709

Rational Rose

0,230155

ERwin\BPwin

0,439640


В следствии проведенного анализа мы делаем вывод, что наилучшим средством моделирования является Erwin\Bpwin.

3.2   
Разработка информационной модели

Определившись со средством проектирования, представляем нашу систему в следующей логической модели на рисунке 3.1:

Рис.3.1 Логическая модель

В следующей физической модели на рисунке 3.2:

Рис.3.2 Физическая модель

Проведя моделирование, проектирование информационной системы туристического агентства можно сделать вывод, что наша система должна существенно сократить временные затраты сотрудников компании на обработку заявок клиентов, а так же существенно упростить контроль за работой руководством.

4. Реализация информационной системы

4.1    Выбор средств реализации

Вначале хотелось бы объяснить свой выбор:

HTML и ASP(Active Server Pages) является фирменным "языком" сценариев Microsoft. Вообще говоря, ASP - это не язык, а расширение Visual Basic для создания сценариев. По этой причине всякому, кто знаком с Visual Basic, относительно легко освоить ASP.

Каковы недостатки? Во-первых, ASP обычно работает медленнее, чем HTML. Фундамент ASP образует архитектура, основанная на СОМ. Поэтому когда программа ASP обращается к базе данных или осуществляет вывод данных для клиента, это происходит при посредстве СОМ-объектов других сервисов NT или уровней операционной системы. Эти связанные с СОМ накладные расходы могут накапливаться и приводить к тому, что во всех случаях, кроме выдачи простых страниц при среднем трафике, производительность оказывается невысокой. Во-вторых, ASP не вполне годится для переноса на другие платформы и интеграции со средствами GNU, а также средами и серверами open source.

Будучи фирменной системой Microsoft, ASP в основном применяется с ее же Internet Information Server (IIS), из-за чего ASP обычно выбирают ограниченно - для 32-разрядных систем Windows, поскольку для большинства серверов эта технология служит бесплатным приложением. Существуют версии ASP для UNIX (например, ChilliSoft ASP) и ряд интерпретаторов ASP для других систем и веб-серверов, однако для них стоимость системы с учетом ее производительности может оказаться неоправданно высокой.

Однако технология ASP.NET весьма отличается. В будущем ASP может существенно поднять свою производительность и возможность масштабирования. Это будет достигнуто дальнейшим усилением архитектуры .NET/COM и управляющей среды. Однако реальных преимуществ можно достичь лишь при условии значительных затрат на различные сопутствующие серверы.

HTML и Cold Fusion

HTML работает практически на всех платформах, а версии Cold Fusion есть только для Win32, Solaris, Linux и HP/UX. HTML требует больших начальных навыков программирования, в отличие от Cold Fusion с совершенной интегрированной средой разработки (IDE) и более простыми языковыми конструкциямиHTML менее требователен к ресурсам.

HTML и Perl

Будучи разработанным специально для Интернета, HTML имеет в этой области преимущества над Perl, поскольку Perl разрабатывался для бесчисленных применений (что отразилось на его виде). Форма и синтаксис Perl могут осложнить чтение сценариев Perl и их модификацию, когда она требуется.

Хотя Perl в ходу достаточно долго (он был разработан в конце 1980-х) и широко поддерживается, он превратился в сложную конструкцию из дополнений и расширений и часто просто избыточен. Формат HTML легче для восприятия при сохранении гибкости.

HTML и Java

HTML проще использовать, чем Java, с его помощью легче строить веб-приложения, обладающие такими же преимуществами гибкости и масштабируемости. Работая с HTML, не обязательно обладать 5-летним опытом разработки программного обеспечения, чтобы создавать простые динамические страницы - для этого достаточно быть сообразительным, даже при небольшом опыте программирования.

Кроме того, Java часто обходится дороже, поскольку в большинстве компаний в конечном счете устанавливают отдельную машину для Java Enterprise и используют Oracle или другое дорогостоящее ПО. При всем этом HTML требует дальнейшего развития, поскольку не обладает такой же переносимостью и некоторыми удобными возможностями, такими как пул объектов или отображение баз данных, которые есть в Java.

Так же хотелось бы рассказать об истории HTML:

Язык HTML был разработан британским учёным Тимом Бернерсом-Ли приблизительно в 1991-1992 годах в стенах Европейского совета по ядерным исследованиям в Женеве (Швейцария). HTML создавался как язык для обмена научной и технической документацией, пригодный для использования людьми, не являющимися специалистами в области вёрстки. HTML успешно справлялся с проблемой сложности SGML путём определения небольшого набора структурных и семантических элементов (размечаемых "тегами"), служащих для создания относительно простых, но красиво оформленных документов. Помимо упрощения структуры документа, в HTML внесена поддержка гипертекста. Мультимедийные возможности были добавлены позже. Изначально язык HTML был задуман и создан как средство структурирования и форматирования документов без их привязки к средствам воспроизведения (отображения). В идеале, текст с разметкой HTML должен был без стилистических и структурных искажений воспроизводиться на оборудовании с различной технической оснащённостью (цветной экран современного компьютера, монохромный экран органайзера, ограниченный по размерам экран мобильного телефона или устройства и программы голосового воспроизведения текстов). Однако современное применение HTML очень далеко от его изначальной задачи. Например, тег <TABLE>, несколько раз использованный для форматирования страницы, которую вы сейчас читаете, предназначен для создания в документах самых обычных таблиц, но, как можно убедиться, здесь нет ни одной таблицы. С течением времени, основная идея платформонезависимости языка HTML была отдана в своеобразную жертву современным потребностям в мультимедийном и графическом оформлении.

4.2    Порядок работы информационной системы туристической компании

Применение системы "ТурАгент" решает следующие основные задачи:

Оформление туров:

·        формирование групповых и индивидуальных туров любой сложности;

·        бронирование проживания ("шахматка" - наличие мест в отелях);

·        учет бронирования от партнерских агентств;

·        управление доставкой (в том числе местами отправления)

·        учет дополнительных сервисов (питание, страховка, экскурсии и т.д.)

·        пакетные туры

·        калькуляция стоимости тура

·        разделение комиссионных

·        мультивалютность (определение стоимости услуг в различных валютах)

·        Документооборот (создание, печать):

·        договоры

·        ваучеры

·        предварительные договоры

·        счета

·        анкеты в посольства

·        различные списки туристов

·        отчеты о продажах

Контроль продаж с разделением по каждому агенту:

·        все продажи агента

·        продажи за период

·        продажи за текущий день

·        неоплаченные продажи

·        неразделенные продажи

·        поиск по всем продажам

·        по фамилии

·        по отелю

·        по агентству

·        по периоду проживания

·        по периоду доставки

·        Управление он-лайн продажами/бронированием:

·        продажи партнерским агентствам

·        продажи конечным потребителям

·        интеграция с каталогом на сайте

·        Формирования каталога предложений:

·        направления

·        отели

·        номера

·        цены

Управление списком партнерских агентств:

·        данные по агентству

·        прошлые и планируемые сделки

·        Управление пользователями системы:

·        группы пользователей

·        разделение прав доступа

Подобные системы могут функционировать как в автономном варианте, так и в локальной вычислительной сети организации, объединяющей компьютеры, установленные на рабочих местах работников структурных подразделений, участвующих в технологических процессах работы с документацией и делопроизводством.

Качественная АИС помогает в создании предложений и расчет их конечной стоимости, создание единой базы данных, аккумулирующих сведении о предприятиях- партнерах, физических лицах- клиентах, рекламе, которую компания размещает в СМИ, сделанных заявках и платежках по ним, предложениях и их деталях ( отелях, авиарейсах, видах услуг), курс валют и т.д., сокращение времени при офрмлении заявки и упрощении этого процесса за счет автоматической выписки полного еомплекта необходимых документов. Эффект от использования АИС особенно высок для:

Агентств использующих online- бронирование. Это позволяет системам бронирования осуществлять бронирование путем отправки электронных писем-заказов, а отправлять заявки напрямую в БД туроператоров.

Быстроразвивающихся агентств с высоким притоком клиентов, поскольку нагрузка на агентство значительно возрастает, и внедрение программы поможет существенно снизить эту нагрузку, что поможет агентству в кратчайшие сроки оформить заказ и всю сопровождающею документацию.

Агентств с большим документооборотом, то использование подобных АИС позволяет очень сильно сэкономить время сотрудников за счёт автоматизации документооборота и быстроты поиска нужной информации;

Данная работа представляет собой интернет-каталог с собственной базой данных, которая способна упростить ныне существующию структуру работы туристической компании, а именно:

Интернет-каталог стран и городов (рисунок 4.1):

Вид страницы на сайте, иерархичное меню, и наполнение страницы.

На основе ирерахии автоматически строится меню "Страны", "Города" и страницы в этих городах, которые вы можете создать в любом количестве, и разместить на них любой текст. Меню на сайте "разворачивается" вниз, показывая города в стране. Второй клик - и меню обратно "сворачивается".

рис. 4.1

Интернет-каталог туров (рисунок 4.2):

В описании тура вы можете указать его параметры:

Публиковать или нет этот тур на сайте.

Публиковать или нет этот тур на главной странице сайта (как спецпредложение).

Указывать или нет у тура значок "NEW!!!"

Название тура

Код тура (условный код в вашей компании)

Даты заезда

Цена от ...

Продолжительность тура

Описание тура в свободном формате, с возможностью выделения текста, размещения внутри текста фотографий, таблиц, и т.п.

Возможность закачать файл Word или Excel для того чтобы посетители могли бы его скачать со страницы тура.

Возможность указать ссылку для онлайн-бронирования тура (например, переход на страницу бронирования в Мастер-Web).

Возможность выбрать страны, к которым "принадлежит" данный тур (даже несколько стран одновременно).

Возможность выбрать тип тура (типы вы задаете сами в "настройках сайта")

Вид меню типов туров.Вид таблицы туров, когда выбран один из типов туров, с группировкой по странам

Рис. 4.2

Интернет-каталог отелей (рисунок 4.3)

В описании отеля вы можете указать его параметры:

Публиковать или нет этот отель на сайте.

·        Название отеля

·        Адрес отеля

·        Выбор звездочности отеля

·        Цена DBL (необязательно)

·        Цена SBL (необязательно)

·        Цена EX.BED (необязательно)

Описание тура в свободном формате, с возможностью выделения текста, размещения внутри текста фотографий, таблиц, и т.п.

·        Поле для перечисления того, что есть в номере отеля

·        Поле для перечисления того, что есть в отеле

·        Поле для перечисления того, что есть на пляже

·        Поле для перечисления того, что есть в отеле для тетей

Возможность выбрать страны, к которым "принадлежит" данный отель (даже несколько стран одновременно).

Возможность загрузить файл с картой отеля или территории.

Возможность указать ссылку на Google Maps, и на странице отеля будет отображаться карта из Google Maps

Вид страницы с таблицей отелей, ТОЛЬКО ДЛЯ СТРАНЫ

Рис. 4.3

Лента новостей и событий (рисунок 4.4):

На сайте есть раздел "Новости", в котором размещаются последние события и новости

рис. 4.4

Отзывы клиентов и партнеров (рисунок 4.5):

На сайте есть раздел "Отзывы", в котором размещаются отзывы клиентов, или иные рекомендации, данные вашей компании.

рис. 4.5

Так же к данному интернет- каталог можно синхронизировать с другими программами, которые бы ускоряли процесс работы в бухгалтерии компании и делопроизводстве.

5. Социальный аспект


Туристический бизнес - это современная, динамично развивающаяся отрасль, имеющая набор характерных, присущих только ей черт. Именно поэтому туристическому бизнесу необходимо программное обеспечения, которое могло бы решать задачу автоматизации.

Рынок средств автоматизации туристических агентств высоко технологичен, и трудно себе представить, чтобы сегодня серьезный туроператор или даже небольшая туристическая фирма не использовала какую-либо систему автоматизации.

Информационная система должна решать следующий набор задач:

1.      помощь в создании предложений и расчет их конечной стоимости.

2.      создание единой базы данных, аккумулирующей сведения о партнерах, клиентах, сделанных заявках и платежах по ним, предложениях и их.

.        мощная система отчетов помогает руководителю видеть общую картину спроса актуальных предложений, финансового состояния фирмы.

.        сокращение времени при оформлении заявки и упрощение этого процесса за счет автоматической выписки полного комплекта необходимых документов.

.        системами, бухгалтерскими программами и т.д.

Наша информационная система работает таким образом, что заявка от продающего агентства поступает к туроператору, а от него - принимающей стороне и обратно в виде подтверждения за считанные минуты!

Таким образом, наша информационная система позволяет увеличить скорость обслуживания клиента, упрощает контроль над туристическим агентством, а так же предоставляет материал для анализа работы. Все это способствует развитию туристического бизнес рассматриваемого агентства.

6. Технико-экономическое обоснование проекта


Данная работа посвящена разработке модели информационной системы туристического агентства ООО"Экватор".

Необходимо провести экономическое обоснование проектируемой модели и структуры, т.е. определить затраты на проектирование, себестоимость, время, необходимое для выполнения работ, а также капитальные затраты.

Аналогом была выбрана архитектура реляционной базы данных.

Расчет затрат на этапе проектирования

Анализ рыночной ситуации. Данная разработка предназначена для построения информационной системы туристического агентства ООО"Экватор".

Произведем сегментирование рынка туристических агентств и операторов.

1.             По масштабам предприятия.

Данный продукт будет пользоваться спросом у небольших туристических агентств.

2.             По способам финансирования.

Расчет интегрального технического показателя качества

В таблице 6.1 приведено сопоставление основных критериев сравнения по 10-бальной шкале разрабатываемой информационной системы туристического агентства ООО"Экватор" и информационной системы "Само-Тур".

Табл. 6.1 Сопоставление технико-экономических критериев

Критерий

Весовой коэффиц. bi

Оценка разрабатываемПП, Аi 1

bi·Ai 1

Оценка аналога, Аi 2

bi·Ai 2

Создание информационной системы

0,2

10

2

7

1,4

Функциональная связанность данных

0,2

9

2

7

1,4

Генерация кода приложения

0,1

9

0.9

6

0,6

Интеграция на различные платформы

0,3

10

3

2

0,6

ИТОГО:

1


9.7


5.2


Результаты расчета интегрального технического показателя качества приведены ниже:

Интегральный технический показатель определяется так:

,где

bi - весовой коэффициент i - го параметра в общем показателе качества;

Аi - значение данного параметра системы, оцененного в баллах;

n - число параметров сравнения.

Интегральный показатель качества:

.

В нашем случае Kн равен 1,865.

Расчет затрат на этапе проектирования

Под проектированием мы будем понимать работы, которые необходимо выполнить, чтобы разработать информационную систему туристического агентства ООО"Экватор".

Для расчета затрат на этапе проектирования необходимо определить продолжительность каждой работы (начиная с составления технического задания (ТЗ) и до оформления документации включительно). Продолжительность работ определяется либо по нормативам (с использованием специальных справочников), либо расчетом с помощью экспертных оценок по формуле:


где То - ожидаемая длительность работ;

Тmin и Тmax - наименьшая и наибольшая по мнению эксперта длительность работ. Все расчеты сведены в таблице 6.2.

Табл. 6.2 Определение длительностей работ

Наименование работ

Длительность работ (дней)


минимум

максимум

ожидаемая

1. Анализ системы и выбор инструментария*

7

15

10

2. Создание словаря системы (определение сущностей, атрибутов)*

15

35

23

3.Создание информационной системы*

13

30

20

4.Оформление пояснительной записки*

9

20

13

Примечание: * - работы, производимые с использованием ЭВМ.

Израсходованное машинное время - 552 ч.

Рис. 3 Ленточный график.

Капитальные затраты на этапе проектирования рассчитаем по формуле:

К = Zп + Мп + Нр

где Zп - заработная плата разработчика на всем этапе проектирования Тп;

Мп - затраты на использование ЭВМ на этапе проектирования;

Нр - накладные расходы.

В общем случае расходы на машинное время состоят из расходов за процессорное время (при работе с объектным или абсолютным модулем) и расходов за дисплейное время. Формула для расчетов имеет вид:

М= Cп tп + Cд tд

где Cп и Cд - соответственно стоимость 1 часа процессорного и дисплейного времени; tп и tд - необходимое для решения задачи процессорное и дисплейное время соответственно (час).

Расходы на эксплуатационные принадлежности определяются прямым счетом по оптовым или свободным ценам.

Затраты на использование ЭВМ:

тыс.руб.

Одним из основных видов затрат на этапе проектирования является заработная плата разработчика которая рассчитывается по формуле:

Zn = zd * Tn * (1 + ac / 100) * (1 + an / 100)

где zd-дневная заработная плата разработчика задачи на этапе проектирования;

ас - процент отчислений на социальное страхование (ас=37%);

ап - процент премий (ап =15%).

Дневная заработная плата разработчика задачи на этапе проектирования zd = 300 руб.

= 300 *71 * (1 + 37 / 100) * (1 + 15 / 100) = 33.558 тыс. руб.

Накладные расходы:

Нр = 15.124 * 80 / 100 = 26.846 тыс.руб.

Таким образом, получим капитальные затраты на этапе проектирования:

Кп = 1.305 + 33.558 + 26.846 = 63.042 тыс. руб.

Сравнение аналога и проектируемой информационной системы

Рассчитываем капитальные затраты при проектировании аналога:

Заработная плата разработчика (аналог):

Zn= zd * Tn * (1 + ac / 100) * (1 + an / 100)

где ас - процент отчислений на социальное страхование (ас=37%);

ап - процент премий (ап =15%).d = 300 руб.

= 300* 118 * (1 + 37 / 100) * (1 + 15 / 100) = 55,772 тыс. руб.

Затраты на использование ЭВМ:

тыс.руб.

Накладные расходы согласно /2/ составляют 80% - 120% от заработной платы персонала занятого эксплуатацией программ.

Накладные расходы:

Нр = 55,772 * 80 / 100 = 44.617 тыс. руб.

Таким образом, получим капитальные затраты на этапе проектирования (аналог):

Кп = 2.156 + 55,772 + 44.617 = 102.545 тыс. руб.

Таблица 6.3 Сравнительный анализ аналога и проекта


7. Безопасность и экологичность при эксплуатации информационной системы туристической компании

 

.1 Анализ трудового процесса


При ведении различных видов разработок должны рассматриваться вопросы безопасности и безвредности труда, оцениваться степень риска, связанная с вероятностью появления крупных ошибок, которые могут привести к порче или потере данных.

В данном дипломном проекте разрабатывается информационная система туристической компании. Повышенный контроль, предъявляемый к этим задачам, потребовал разработать такую информационную систему, которая бы обеспечивала надежность и достоверность данных.

При разработке информационной системы были пройдены следующие этапы:

-      анализ работы менеджеров туристического агентства;

-             сравнение аналогов;

-             формирование требований к системе;

-             разработка функциональной модели

-             проектирование;

-             реализация разработанной модели.

Особенностью первого этапа является систематизация данных по формированию заявок клиентов туристической компании, определение и разграничение возможностей манипулирования хранимой информации. Таким образом, от разработчиков это потребует сосредоточенности и тщательного обдумывания своей деятельности. На втором этапе потребуется внимание, терпение для изучения функциональных возможностей различных аналогов системы, выявление недостающего функционала. Какими средствами защиты обладают распространенные системы, и при каких обстоятельствах они будут наиболее эффективны. На третьем этапе, выполняется определение того, каким требованиям должна отвечать разрабатываемая система, ее архитектура. Четвертый этап потребует аналитического мышления и умственной нагрузки для построения модели, используя инструментарий проектирования и принятия неординарных технических решений, требующих творческого подхода. Автоматизация проектирования имеет свои значительные преимущества, однако здесь не следует упускать вредные факторы, воздействующие на разработчика. Особая концентрация внимания необходима для анализа и вынесения рекомендаций по разработке системы защиты. На каждом этапе для ускорения выполняемых работ используются компьютеры (ЭВМ, ПЭВМ), в состав которых входят дисплеи. Таким образом, с одной стороны необходимо минимизировать отрицательное влияние проектной деятельности на разработчика, и с другой стороны обеспечить безопасную работу с компьютерами.

Несоблюдение гигиенических норм и правил на рабочем месте может привести к возникновению умственного переутомления, нервного возбуждения и как следствие снижения работоспособности. К этому могут привести такие характеристики трудового процесса, как значимость работы, ответственность за конечный результат, а также факторы монотонности труда: число элементов и продолжительность простых заданий и повторяющихся операций, число объектов наблюдения и другие. Для продуктивной работы разработчику необходимы: правильный режим питания, дня, труда и отдыха, правильная организация рабочего места.

Оценим те вредные факторы, которым подвергается разработчик при проектировании системы и эксплуатации комплекса программно-аппаратных средств.

В процессе анализа мы будем опираться на руководство - "Гигиенические критерии оценки условий труда по показателям вредности и опасности факторов производственной среды, тяжести и напряженности трудового процесса", утвержденные Госкомсанэпиднадзором РФ Руководство- Р 2.2.2006-05. По нему труд классифицируется по четырем классам: оптимальные условия труда (класс 1.0); допустимые условия труда (класс 2.0); вредные условия труда (класс 3). Вредные условия труда по степени превышения гигиенических нормативов и выраженности изменении в организме работающих, подразделяются на 4 степени вредности: 1 степень 3 класса (3.1); 2 степень 3 класса (3.2); 3 степень 3 класса (3.3); 4 степень 3 класса (3.4). Опасные (экстремальные) условия труда (класс 4.0).

Данный метод классификации позволяет при выставлении общей оценки учитывать комбинации и сочетания всех факторов производственной среды и трудового процесса, а также прогнозировать риск развития профессиональных заболеваний или других нарушений здоровья.

Оценивать напряженность труда предлагается по двадцати одному предложенному фактору, каждому выбранному фактору даётся оценка от 1.0 до 3.2, а затем по предложенному алгоритму производится расчёт общей напряжённости труда. Анализ показателей факторов оптимальности и вредности производственной среды таких как: уровень шума и вибрации, электромагнитных излучений, показатели микроклимата, световая среда производственных помещений не превышают нормативных значений. Результаты оценок воздействующих факторов приведены в таблице 7.1.

Таблица 7.1 Анализ и оценка условий труда

Наименование фактора

Нормативное значение

Фактическое значение

Класс условий труда

Нагрузки интеллектуального характера


Содержание работы.

Отсутствует необходимость принятия решения

Наиболее сложная по содержанию работа, требующая той или иной степени эвристической (творческой) деятельности.

3.2

Восприятие сигналов (информации) и их оценка.

Восприятие сигналов, но не требуется коррекция действий

Восприятие сигналов с последующим сопоставлением фактических значений параметров с их номинальными значениями. Заключительная оценка фактических значений параметров.

3.1

Степень сложности задания.


Обработка, проверка и контроль за выполнением задания.

3.1

Сенсорные нагрузки


Длительность сосредоточенного наблюдения в % от времени смены.

до 25

от 51 до 75.

3.1

Плотность сигналов (световых, звуковых и т.д.).

до 75

От 176 до 300.

3.1

Наблюдение за экранами видеотерминалов. Количество часов за смену.

до 2

От 3-х до 5-х часов в смену.

3.1

Эмоциональные нагрузки


Степень ответственности за результат собственной деятельности. Значимость ошибки.

Несет ответственность за функциональное качество основной работы (задания). Ошибка влечет за собой исправления за счет дополнительных усилий всего коллектива

Несет ответственность за функциональное качество основной работы (задания). Ошибка влечет за собой исправления за счет дополнительных усилий всего коллектива.

3.1

Монотонность нагрузок


Число элементов (приемов), необходимых для реализации простого задания или в многократно повторяющихся операциях.

Более 10

От 9 до 6.

3.1

Продолжительность (в секундах) выполнения простых производственных заданий или повторяющихся операций.

20

От 10 до 24.

3.1

Время активных действий (%). В остальное время, наблюдение за ходом производственного процесса

20 и более

19 - 10

3.0

Режим работы

Фактическая продолжительность рабочего дня

6-7ч

8-9ч

1.0

Сменность работы

Односменная работа (без ночной смены)

Двухсменная работа (без ночной смены)

1.0

Наличие регламентированных перерывов и их продолжительность

Перерывы регламентированы, достаточной продолжительности: 7 % к более рабочего времени

Перерывы регламентированы, не- достаточной продолжительности: от 3 до 7 % рабочего времени

1.0


В результате подсчёта общей напряжённости труда она равняется 3.1 единиц. Число факторов с оценкой 1.0 составило 7, с оценкой 2.0 составило 5, с оценкой 3.1 составило 8 и с оценкой 3.2 составило 1. Данный показатель характеризует в целом уровень вредности условий труда и указывает на то, что если не прибегать к организационным мероприятиям по снижению влияния вредных факторов на организм разработчика, у него могут развиться профзаболевания.

 

7.2 Мероприятия по улучшению условий трудового процесса


В качестве методов улучшения условий труда пользователя разработанной системы предлагаются меры, которые можно условно разделить на три группы:

-       организационные,

-       технические,

-       организационно - технические.

Организационные методы. В работе с системой обязательно должны присутствовать перерывы, в течение которых пользователь может переключиться на небольшие физические упражнения, также немаловажно позволять разработчикам выполнять задания, чередуя сложные и менее сложные, кроме того, необходимо соблюдение ряда условий: постепенное вхождение в трудовой процесс после отдыха, индивидуальный ритм работы, соблюдение привычной последовательности деятельности.

Организационно - технические методы. Во время перерывов рекомендуется психологическая разгрузка в оборудованных для этой цели помещениях, оборудованных удобными креслами, и звучащей специально подобранной спокойной музыкой, на стенах могут быть изображены пейзажи, оказывающие успокоительное воздействие.

Исследования физиологов и гигиенистов убедительно доказали, что и полутьма, и слишком высокая освещенность экрана приводят к быстрому зрительному утомлению, поэтому размещать компьютер рекомендуется так, чтобы свет (естественный или искусственный) падал сбоку, лучше слева, это избавит от мешающих теней и поможет снизить освещенность экрана.

Согласно СанПиНу 2.2.4.548-96 в помещениях с ПЭВМ должна ежедневно проводиться влажная уборка

Технические методы. В качестве источников освещения рекомендуется применять люминесцентные лампы типа ЛБ со светильниками серии ЛПО36 с зеркализованными решетками.

Одним из способов снижения вредного влияния видеотерминала можно назвать применение в качестве последних жидкокристаллических (ЖК) панелей. Их достоинством является отсутствие электромагнитных излучений и мерцания экрана. Для уменьшения этого потока интерфейс системы проектирования должен быть удобным, интуитивно понятным, содержать как можно меньше длинных названий. При неудачном представлении данных на экране возможно утомление разработчика от необходимости преодолевать все недочеты интерфейса программы. Желательна возможность настройки интерфейса инструментального средства и наличие звукового сопровождения некоторых действий разработчика.

Таблица 7.2 -факторы, относящиеся к напряженному труду, и соответствующие мероприятия по улучшению условий труда

Факторы, относящиеся к напряженному труду

Фактическое значение

Класс напряжен-ности

Мероприятия по улучшению условий труда

Содержание работы

Эвристическая (творческая) деятельность

3.1

Восприятие сигналов

Восприятие сигналов с последующим сопоставлением фактических значений параметров с их номинальными значениями. Заключительная оценка фактических значений параметров.

3.1

Выполнение упражнений для глаз (зрительная гимнастика)

Степень ответственности за результат собственной деятельности. Значимость ошибки.)

Несет ответственность за функциональное качество основной работы (задания). Ошибка влечет за собой исправления за счет дополнительных усилий всего коллектива.

3.1

Во время перерывов рекомендуется психологическая разгрузка в оборудованных для этой цели помещениях. В них должны стоять удобные кресла, звучать специально подобранная спокойная музыка, на стенах могут быть изображены пейзажи, оказывающие успокоительное воздействие. Можно выполнить специальный комплекс физических упражнений или просто подвигаться.

Длительность сосредоточенного наблюдения (% от времени смены)

51-75

3.1

Для поддержания работоспособности в рабочих помещениях разработчиков необходимо присутствие кондиционеров и различного рода ионизаторов, например люстры "Чижевского", которые создают в помещении атмосферу горного воздуха, очищают воздух от пыли и существенным образом снижают действие электростатического поля вокруг программно-аппаратных средств.


Таким образом, в результате анализа вредных факторов, воздействующих на разработчика, были предложены решения по полному или частичному устранению этого влияния. Несмотря на то, что удовлетворить в полной мере всем требованиям невозможно, разработчик попытался свести вредность проекта к минимуму.

 

.3 Пожарная и электрическая безопасность


Так как работа с информационной системой осуществляется при помощи компьютера, а выход в Интернет осуществляется посредством модема, то необходимо проводить мероприятия по улучшению пожарной и электрической безопасности.

 

.3.1 Пожарная безопасность

Наиболее вероятными причинами возникновения пожара в рассматриваемом помещении является причины электрического характера: короткое замыкание, перегрузки, искрение.

В результате короткого замыкания, а так же при плохом контакте на клеммах возникают искры, от которых могут загореться пластиковые корпуса ЭВМ и периферийных установок.

В результате перегрузок некоторые радиодетали нагреваются до температуры возгорания печатных плат, выполненные из гетинакса и текстолита, стеклопластика на основе полиэфирных и эпоксидных смол. Перегрузка и короткое замыкание в сети электрического тока могут вызвать возгорание изоляции сетевых кабелей.

Для предотвращения возникновения пожара, а также уменьшения ущерба в случае возникновения пожара необходимо выполнять следующие мероприятия в соответствие с ГОСТ 12.1.004-91:

1.Проведение инструктажа по пожарной безопасности. Обеспечение правильного режима эксплуатации ЭВМ и другого оборудования, установленного в помещении.

.Проведение регулярного профилактического осмотра оборудования помещения и своевременное выявление неисправностей в электрооборудовании, электропроводке, электрических розетках и выключателях.

.Недопущение использования дополнительных обогревательных приборов, запрещение курения в помещениях. Открытые

нагревательные поверхности могут привести к пожару, так как

в помещении находятся бумажные документы и справочная

литература в виде книг, пособий, а бумага -

легковоспламеняющийся предмет.

.Проведение регулярной проверки работоспособности элементов системы автоматической пожарной сигнализации, а также средств тушения пожара, имеющихся в помещении.

.Назначение лица, ответственного за противопожарное состояние лаборатории, разработки плана эвакуации людей и материальных ценностей из помещения лаборатории в случае возникновения пожара.

.Во избежание попадания в здание молнии, в летний период во время грозы, вследствие чего может возникнуть пожар,

рекомендуется установить на крыше здания молниеотвод.

Пожар наносит обществу большой ущерб, часто приводит к гибели людей. Поэтому каждый работник должен с большой ответственностью относиться к выполнению перечисленных мероприятий.

 

.3.2 Электрическая безопасность

Для обеспечения электробезопасности применяется в соответствии с отдельно или в сочетании друг с другом следующие технические способы и средства в соответствии с ГОСТ 12.2.007.0-75: малые напряжения; электрическое разделение сетей; контроль и профилактика повреждений изоляции; компенсация емкостной составляющей тока замыкания на заземление; зануление; двойная изоляция; защитное отключение. Чтобы избежать опасности возникновения замыкания на землю, постоянно ведется осмотр состояния изоляции, и своевременно устраняются повреждения.

В аппаратуре автоматики, вычислительных машинах и радиоустановках применяются блочные схемы. В общем корпусе устанавливаются отдельные блоки, которые соединяются с остальным устройством штепсельным соединением. Когда блок выдвигается или удаляется со своего места, штепсельный разъем размыкается. Таким образом, блок отключается автоматически при открывании его токоведущих частей.

7.4 Защита окружающей и природной среды при эксплуатации информационной системы туристической компании


В процессе проектирования оказывается влияние на окружающую среду. Вредные факторы, оказывающие влияние на окружающую среду в основном генерируются тем оборудованием, которое разработчик использует в процессе разработки. В частности таким оборудование при разработке данной задачи являлся монитор компьютера, системный блок и принтер. Рассмотрим каждый из негативных факторов и предложим меры по его устранению.

1.  Низкоэнергетическое рентгеновское излучение, генерируемое монитором с ЭЛТ. Спектр излучений генерируемых монитором с ЭЛТ очень широк. В него попадает и рентгеновское излучение. Использование всевозможных экранирующих устройств не даёт ощутимых результатов по значительному снижению уровня рентгеновского излучения. Для устранения влияния на окружающую среду рентгеновского излучения необходимо применять мониторы с жидкокристаллическими экранами или что-то подобное.

2.  Электромагнитное излучение создаваемое в основном монитором. Для устранения электромагнитной составляющей излучения монитора компьютера возможно применение экранов закрывающих электромагнитную систему монитора. Экраны изготавливаются из материалов с высокой электромагнитной проницаемостью (например, сталь).

3.      Статическое электричество. Статическое электричество накапливается в основном на незаземлённых участках оргтехники и приводит к накапливанию большого количества пыли на её поверхностях, что ухудшает экологическую обстановку в помещении. Для нейтрализации статических зарядов необходимо протирать поверхности предметов специальными растворами-антистатиками или производить снятие статических зарядов при помощи заземления. Также для предотвращения накапливания статических зарядов необходимо поддерживать требуемый уровень влажности в помещениях (в соответствии с Р. 2.2.4.548-96).

.        Монотонный шум. Его источником является системный блок компьютера. Внутри системного блока присутствуют такие основные источники шума как: винчестер, вентилятор блока питания компьютера, вентилятор процессора. Для устранения шумового загрязнения окружающей среды нужно заключать системный блок в звуконепроницаемый корпус или снизить обороты вращения вентиляторов, находящихся внутри системного блока.

Используя вышеприведённые методы борьбы с вредными факторами, которые сопутствуют процессу разработки организационной структуры, можно достичь допустимых уровней вредных воздействий на окружающую среду.

После прекращения работы компьютерная техника должна быть утилизирована. Компьютер и комплектующие сдаются в соответствующие фирмы, в которых извлекают цветные, драгоценные и черные металлы. Таким образом, в производство нового оборудования можно использовать переработанные материалы, что сэкономит расходование природных ресурсов.

Заключение


В результате проделанной мной работы была построена модель информационной системы туристической компании, способной на современном уровне отвечать требованиям работников туристической компании. В результате внедрения информационной системы, компания перейдет на электронный документооборот, что значительно разгрузит сотрудников компании: избавит их от бесконечных поисков различных бумаг разложенных по шкафам и полкам, снизит к минимуму риск потери или порчи документа, позволит быстро создавать новые документы из уже существующих. Гибкая система генерации отчетов и уведомлений позволит в нужные сроки производить анализ проведенной работу, для улучшения качества работы компании. Следовательно, работа отдела кадров станет более организованной и снизит количество стрессовых ситуаций. Сотрудники агентства будут без задержек на работе справляться с сезонным "наплывом" отдыхающих, что неизбежно ведет к временному набору большого числа различных работников.

В целом информационная система значительно увеличит эффективность работы туристической компании.

Похожие работы на - Информационная система по работе с клиентами туристического агентства 'Экватор'

 

Не нашли материал для своей работы?
Поможем написать уникальную работу
Без плагиата!
Без нейросетей!