Геном человека

  • Вид работы:
    Реферат
  • Предмет:
    Биология
  • Язык:
    Русский
    ,
    Формат файла:
    MS Word
    1,17 Мб
  • Опубликовано:
    2015-09-07
Вы можете узнать стоимость помощи в написании студенческой работы.
Помощь в написании работы, которую точно примут!

Геном человека

Оглавление

Введение

1. Строение молекулы ДНК

2. Ферменты генетической инженерии

2.1 Рестриктазы

2.2 ДНК-лигаза

2.3 ДНК-полимераза I E. сoli

2.4 Обратная транскриптаза

2.5 Нуклеаза Bal31

2.6 Концевая дезоксинуклеотидилтрансфераза

2.7 Поли (А) - полимераза Е. сoli

3. Методы конструирования гибридных молекул ДНК in vitro

3.1 Коннекторный метод

3.2 Рестриктазно-лигазный метод

4. Векторные молекулы ДНК

5. Введение молекул ДНК в клетки

6. Методы отбора гибридных клонов

7. Расшифровка нуклеотидной последовательности фрагментов ДНК

7.1 Методы секвенирования

7.2 Проект "Геном человека"

Заключение

Список использованной литературы

Введение


Общепринятого определения генетической инженерии не существует. Если следовать традиционному пониманию термина "инженерия", то генетическую инженерию можно трактовать, как искусство использовать знания основ и методов молекулярной генетики и молекулярной биологии для конструирования организмов с заданными наследственными свойствами.

История собственно генетической инженерии насчитывает уже более 30 лет, но она не могла появиться без основ классической генетики, биохимии и молекулярной биологии. Важную роль сыграл количественный анализ, введённый Г. Менделем в 60-е годы XIX века в работы по изучению законов поведения наследственных признаков. Он помог выявить главные генетические закономерности и сформулировать понятие о единице наследственности - гене. Быстрый прогресс в развитии генетики, и биологии в целом, произошёл в середине XX века. Была определена генетическая роль ДНК (Avery, 1944), открыто строение молекул ДНК (Watson, Crick, 1953) и белка (Pauling, Corey, 1951), расшифрован генетический код (1961-1966), а также выяснено строение элементов, управляющих действием прокариотических генов и синтезом белков (промоторов, операторов, сайтов связывания рибосом, терминаторов транскрипции и трансляции и др.). Достойное место занимает открытие Морсе явлений специфической трансдукции бактериальных генов некоторыми умеренными фагами в 1956 году. Разработке технологий рекомбинантных ДНК, способствовало обнаружение явления рестрикции, раскрытие его механизма (Arber, Dussoix, 1962) и идентификация целого класса рестрицирующих эндонуклеаз (Smith, Wilcox, 1970; Kelly, Smith, 1970). Годом рождения генетической инженерии считают 1972 год, когда в лаборатории Берга была получена in vitro первая рекомбинантная молекула ДНК путём объединения линейных фрагментов ДНК с помощью искусственно созданных липких концов (Jackson, 1972). В следующем году было показано, что можно объединять фрагменты ДНК с липкими концами, образовавшимися после обработки ДНК некоторыми рестрицирующими эндонуклеазами (Lobban, Kaiser, 1973). Это послужило толчком для бурного развития генетической инженерии. Были сконструированы первые плазмидный (Cohen, 1973) и фаговый (Murray, 1974) векторы, разработаны новые методы рекомбинации молекул ДНК in vitro, выявлены основные закономерности экспрессии генов в чужеродном окружении.

Но каково значение генетической инженерии и всех этих открытий? Как они могут помочь человечеству? Какова актуальность генетической инженерии в наше время?

Генетическая инженерии представляет собой совокупность методов, позволяющих путём операций in vitro переносить генетическую информацию из одного организма в другой. Это позволяет преодолевать межвидовые барьеры и передавать отдельные наследственные признаки одних организмов другим. Основная цель генетической инженерии - получение клеток (в первую очередь бактериальных), способных в промышленных масштабах нарабатывать некоторые "человеческие" белки. В первые годы основными объектами генно-инженерных экспериментов были клетки Escherichia coli К-12 (кишечная палочка), а также её плазмиды и бактериофаги, так как именно они были наиболее полно изучены генетически. Уже в конце 70-х годов в клетках кишечной палочки был осуществлён синтез ряда животных и человеческих белков и гормонов - соматостатина (Itakura, 1977), проинсулина (Villa-Komaroff, 1978), гормона роста (Martial, 1979). Теперь же список генно-инженерных продуктов включает в себя сотни наименований лекарственных и других полезных препаратов. К примеру, в 1979 г. из 60 млн. больных сахарным диабетом во всём мире лишь 4 млн. получали препарат инсулина. Его выделяли из поджелудочных желез забиваемых коров и свиней, что сложно и дорого, а у некоторых людей имеется аллергическая реакция на такой инсулин. С 1982 г. этот гормон получают в промышленных масштабах из бактерий Е. coli, содержащих ген человеческого инсулина. И это не предел возможностей генетической инженерии, если изучить организм так, чтобы понять болезнь в молекулярных терминах, выявить вещества, создающие проблему и дать рекомендации для лечения недуга, то с помощью методов генетической инженерии можно продуцировать многие из веществ, и лечить болезни, спасая жизнь и здоровье людей. Самое главное в этой области биологии, направить знания и открытия в правильное русло, туда, где это может помочь человечеству.

геном нуклеотидная генетическая инженерия

1. Строение молекулы ДНК


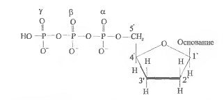
Главным объектом генно-инженерного воздействия является дезоксирибонуклеиновая кислота. ДНК (рис.1) - это полимер, состоящий из нуклеотидов. Нуклеотид, в свою очередь, состоит из азотистого основания, пятиуглеродного циклического сахара (дезоксирибоза) и остатка фосфорной кислоты.

Рис. 1. Строение молекулы ДНК

К основаниям относятся два пурина: аденин и гуанин - и два пиримидина: тимин и цитозин. Нуклеотиды соединены в цепь, таким образом, что остаток фосфорной кислоты, связанный с пятым атомом углерода в дезоксирибозе (5’ конец), может соединяться ковалентной связью с гидроксильной группой возле третьего атома углерода другого нуклеотида (3’ конец). ДНК состоит из двух таких спирально закрученных цепей, которые по всей длине соединены друг с другом водородными связями между азотистыми основаниями. Причём основания соединены по принципу комплементарности: аденин с тимином двумя водородными связями, а гуанин с цитозином тремя связями. Ещё одной особенностью ДНК является то, что цепи в молекуле расположены антипаралельно (одна 5’-3’, другая 3’-5’). ДНК является основным материалом, на которое направлено действие учёных генно-инженеров.

2. Ферменты генетической инженерии


Осуществить рекомбинацию негомологичных молекул ДНК in vitro стало возможно лишь после открытия в конце 1960-х - начале 1970-х гг. ряда новых ферментов с уникальными свойствами, имеющих в качестве субстратов катализируемых ими реакций нуклеиновые кислоты, и в первую очередь ДНК. Рассмотрим основные свойства ферментов, наиболее часто используемых в генно-инженерных работах.

 

2.1 Рестриктазы


Рестриктазы, эндодезоксирибонуклеазы - ферменты, которые узнают в ДНК определённые специфические для каждого фермента последовательности нуклеотидов и расщепляет их, если она не модифицирована в этих же участках сайт-специфическими метилазами. Уже описано около 2500 рестриктаз, выделенных из разных микроорганизмов. Модификация заключается в метилировании ферментом ДНК-метилазой определённых оснований в последовательности, узнаваемой сопряжённой рестриктазой; тем самым обеспечивается защита данного участка ДНК от воздействия рестриктазы. Одновременное наличие в клетке этих двух ферментативных активностей (так называемая R-M система) препятствует гидролизу собственной нуклеиновой кислоты. Но при проникновении в бактериальную клетку чужеродной ДНК, например бактериофага, эта ДНК служит субстратом для обоих ферментов. Следовательно, часть вирусной ДНК разрушается, а часть метилируется, тем самым становясь "непреступной" для рестриктаз. Первоначально считали, что функцией R-M систем является защита клеток от инфицирования фагами. Но позже сделали предположение о том, что R-M система осуществляет функцию ограничения скрещивания между различными бактериальными видами и штаммами, которая, однако, не абсолютна и позволяет части чужеродной ДНК поступать в клетку и встраиваться в ДНК бактерии. Открытие большого числа рестриктаз и изучение их свойств позволило выявить некоторые закономерности функционирования ферментов и разделить их на три класса. Основой классификации служат в первую очередь потребность фермента в кофакторах и характер расщепления ДНК.

Рестриктазы класса I. Они обладают следующими свойствами: требуют в качестве кофакторов аденозинтрифосфат (АТФ), S-аденозинмонофосфат (SAM), ионы Mg2+. В едином субъединичном мешке имеются такие ферментативные активности, как расщепление ДНК, его метилирование и узнавание специфической последовательности ДНК. Они узнают строго специфичные участки ДНК, но разрыв цепи происходит случайным образом на расстоянии 400-7000 пн (пар нуклеотидов), а продукты расщепления ДНК гетерогенны.


Рестриктазы класса II. Системы R-M класса II состоят из отдельных белков, что упрощает их изучение и использование для расщепления молекул ДНК. Рестриктазы этого класса - относительно просто организованные белки. Их отличительной чертой является то, что они узнают и разрезают ДНК по специфичным нуклеотидным последовательностям длинной от 4 до 8 пн, и в результате образуется дискретный набор фрагментов ДНК. В качестве кофакторов рестриктазам класса II необходимы только ионы Mg2+. В результате расщепления ДНК (рис.2), ряд ферментов образуют фрагменты с тупыми концами, не имеющие выступающих одноцепочечных участков, а другие расщепляют с образованием высококомплементарных одноцепочечных липких концов (как 5’-концов, так и 3’-концов). Важно, что при смешивании фрагментов с комплементарными липкими концами в определённых условиях они могут реассоциировать (слипаться). Все эти свойства сделали рестриктазы класса II наиболее часто используемыми при конструировании гибридных молекул ДНК.

Рестриктазы класса III имеют некоторые сходства в строении с рестриктазами класса II. Они узнают несимметричные последовательности длиной 5-6 пн и расщепляют ДНК в стороне от участков узнавания на расстоянии 24-27 пн, образуя одноцепочечные 5’-концы длиной 2-3 нуклеотида. Для проявления активности им требуются АТФ, SAM, ионы Mg2+. При действии ферментов данного класса in vitro не удаётся исчерпывающе гидролизовать ДНК, что является их отличительной особенностью.

Рестриктазы широко распространены в царстве прокариот, как в аэробах, так и в анаэробов. Но есть штаммы, которые не содержат R-M систем, иногда их называют "нулевыми". Рестриктазы были найдены и в зиготах хлореллоподобной водоросли, которые осуществляли гидролиз хлоропластной ДНК, исходя из этого можно предположить, что хлоропласты произошли из цианобактерий.

 

2.2 ДНК-лигаза


Рестриктазы осуществляют расщепление ДНК, значит, существует фермент, воссоединяющий фрагменты молекулы ДНК. В 1967 г. независимо в нескольких лабораториях был открыт фермент, названный ДНК-лигазой, который катализирует синтез фосфодиэфирной связи между 5’-фосфатным (5’-р) и 3’-гидроксильным (3’-ОН) концами в двуцепочечной ДНК. Были обнаружены два типа ДНК-лигаз: один фермент синтезируется в клетках E. coli, другой же фермент, появляется в клетках E. coli при их инфицировании фагом Т4. Данные ферменты различаются по потребности в кофакторах. ДНК-лигаза E. coli в качестве кофактора требует дифосфопиридиннуклеотид, в то время как лигаза фага Т4 - АТФ, а также она способна катализировать реакцию воссоединения двухцепочечных фрагментов ДНК с тупыми концами. Поэтому в генно-инженерных экспериментах предпочитают использовать ДНК-лигазу фага Т4, как более универсальный фермент.

Возможны два типа реакций синтеза фосфодиэфирной связи:

. Лигирование липких концов. Соединение фрагментов ДНК с полностью комплементарными липкими концами. Частным случаем такой реакции является лигирование ника (nick) - разрыва в одной из нитей двухцепочечной ДНК.

. Лигирование тупых концов. Таким образом, ДНК-лигаза фага Т4 обеспечивает ковалентное соединение любых двухцепочечных фрагментов ДНК, для которых имеется возможность состыковать 5’-р и З’-ОН концы. Поэтому она является одним из важнейших ферментов, на использовании которых основаны современные методы рекомбинации молекул ДНК in vitro.

 

2.3 ДНК-полимераза I E. сoli


ДНК-полимераза I Е. coli (PolI) была обнаружена А. Корнбергом с сотрудниками в 1958 г. Этот фермент явился первой найденной полимеразой. Он представляет собой мономерную полипептидную цепь и имеет трёхдоменную структуру. Каждый домен белка обладает отдельной ферментативной активностью: N-концевой домен - 5’-З’-экзонуклеазной; С-концевой - 5’-3’-полимеразной; средний домен - 3’-5’-экзонуклеазной. Она способна связываться с одноцепочечными участками ДНК в количестве примерно одна молекула на 300 нуклеотидных остатков. Рассмотрим ферментативные активности ДНК-полимеразы I Е. coli.

5’-3’-полимеразная активность. Для реакции необходимо наличие одноцепочечной ДНК-матрицы и комплементарного участку этой цепи фрагмента - праймера (затравки) с З’-ОН концом.

3’-5’-экзонуклеазная активность. Одноцепочечная или двухцепочечная ДНК гидролизуется с З’-ОН конца. Необходимо подчеркнуть, что 3’-5’-нуклеаза расщепляет диэфирную связь только в неспаренных участках ДНК.

Две эти активности дополняют друг друга во время полимеразной реакции, поскольку в растущую цепь может включиться некомплементарный нуклеотид. Однако полимераза не может присоединять нуклеотид к неправильно спаренному концу, образовавшемуся при её участии. На помощь приходит 3’-5’-экзонуклеаза, убирающая ошибочный нуклеотид, на место которого затем присоединяется правильный.3’-5’-экзонуклеолитическая активность проявляется в направлении, обратном синтезу ДНК. Следовательно, важную роль играет 3’-5’-экзонуклеолитическая активность в обеспечении точности полимеризации.

5’-3’-экзонуклеолитическая активность деградирует одну цепь двухцепочечной ДНК, начиная со свободного 5’-конца. В отличие от 3’-5’-экзонуклеазы 5’-3’-экзонуклеаза расщепляет диэфирную связь только в спаренных участках двухцепочечной молекулы ДНК, более того она способна отщеплять с 5’-конца олигонуклеотиды длиной до десяти остатков. Скорость нуклеазного отщепления увеличивается на порядок при одновременно протекающей реакции полимеризации. При этом возрастает относительное количество олигонуклеотидов в продуктах гидролиза ДНК. Благодаря такому сочетанию ферментативных активностей ДНК-полимераза I Е. coli играет важную роль в репарации повреждений ДНК in vivo.

 

2.4 Обратная транскриптаза


При изучении ретровирусов, геном которых представлен молекулами РНК, было обнаружено, что в процессе внутриклеточного развития они проходят стадию интеграции своего генома в виде ДНК в хромосому клетки-хозяина.Х. Темин выдвинул гипотезу о существовании фермента, способного синтезировать на РНК-матрице комплементарную ДНК. А в 1970 г.Х. Темин и С. Мизутани и независимо от них Д. Балтимор открыли такой фермент в препарате внеклеточных вирионов вируса саркомы Рауса. Данная РНК-зависимая ДНК-полимераза получила название ревертаза (обратная транскриптаза). Ревертаза обладает тремя ферментативными активностями:

. ДНК-полимеразной, использующей в качестве матрицы как РНК, так и ДНК. Для начала синтеза необходим короткий двухцепочечный участок - праймер. Им может быть одноцепочечный сегмент как РНК, так и ДНК, которые в процессе реакции оказываются ковалентно связанными с новосинтезированной цепью ДНК.

. активностью рибонуклеазы Н, гидролизующей РНК в составе гибрида РНК-ДНК, но не одно - или двухцепочечную РНК.

. ДНК-эндонуклеазы.

Первые две активности необходимы для синтеза вирусной ДНК, а эндонуклеаза, по-видимому, важна для интеграции вирусной ДНК в геном клетки-хозяина. Обратную транскриптазу используют преимущественно для транскрипции матричной РНК в комплементарную ДНК.

 

2.5 Нуклеаза Bal31


В 1975 г. X. Грэй с соавторами, изучая внеклеточные нуклеазы Alteromonas espejiana Ваl31, обнаружили фермент, который функционирует:

) как экзонуклеаза, катализирующая удаление малых олигонуклеотидов или мононуклеотидов одновременно с 5’ - и 3’-концов двухцепочечной ДНК, причем обе цепи ДНК деградируют примерно с одинаковой скоростью;

) как эндонуклеаза, специфичная к одноцепочечной ДНК. Данный фермент получил название нуклеаза Ваl31.

Способность нуклеазы Ваl31 вызывать деградацию с концов одновременно обеих цепей молекулы ДНК привлекла к этому ферменту внимание исследователей. Оказалось, что образовавшиеся после обработки Ваl31 фрагменты ДНК можно сшить с помощью ДНК-лигазы фага Т4 с другими молекулами ДНК, имеющими тупые концы. Этот фермент используется при конструировании гибридных молекул ДНК, когда необходимо в их составе сблизить какие-либо функционально значимые генетические элементы.

 

2.6 Концевая дезоксинуклеотидилтрансфераза


В 1962 г.Ф. Боллум обнаружил в тимусе телёнка необычный фермент, названный концевой дезоксинуклеотидилтрансферазой, или терминальной трансферазой. Данный фермент катализирует последовательное присоединение дезоксинуклеотидов к 3’-ОН-концу молекулы ДНК. Субстратом терминальной трансферазы при использовании в качестве кофактора ионов Mg2+ является одноцепочечная ДНК с З’-ОН - концом или двухцепочечная ДНК с выступающим одноцепочечным З’-ОН-концом. При использовании в качестве кофактора ионов Со2+ этот фермент может катализировать присоединение дезоксинуклеотидов к З’-ОН концу двухцепочечной ДНК с тупыми концами или даже к З’-ОН-концу двухцепочечной ДНК с выступающим одноцепочечным 5’-p-концом. При введении в реакцию, направляемую терминальной трансферазой, лишь одного типа дезоксинуклеотидов образуются молекулы ДНК, имеющие гомополимерные одноцепочечные 3’-концы.

 


2.7 Поли (А) - полимераза Е. сoli



Данный фермент, открытый А. Сиппелом в 1973 г., катализирует присоединение к свободному З’-ОН-концу одноцепочечных молекул РНК поли (А) - последовательностей (рис.3).

Поли (А) - полимераза находит применение при подготовке молекул РНК к копированию с них комплементарных ДНК. Этот фермент можно использовать и для введения радиоактивной метки в 3’-конец РНК.

Кроме рассмотренных выше, в экспериментах по клонированию фрагментов ДНК и анализу структуры гибридных ДНК используют большой набор других ферментов нуклеинового обмена. К ним относятся полинуклеотидкиназа, щелочная фосфатаза, 5’-экзонуклеаза фага λ, экзонуклеаза III Е. coli, рибонуклеазы, метилазы и др.

Все используемые при конструировании гибридных молекул ДНК ферменты должны быть высокоочищенными, так как даже незначительные посторонние нуклеазные загрязнения могут приводить к побочным реакциям и резко снижать эффективность получения целевых генетических конструкций. Поэтому изучение ферментов, разработка методов их глубокой очистки, а также поиск новых ферментов, специфически действующих на нуклеиновые кислоты, активно продолжаются. В совокупности многочисленные ферменты, имеющие в качестве субстрата катализируемых ими реакций нуклеиновые кислоты, составляют биохимическую базу экспериментов по конструированию in vitro и анализу гибридных молекул ДНК.

3. Методы конструирования гибридных молекул ДНК in vitro


3.1 Коннекторный метод


В 1972 г.П. Берг с сотрудниками впервые сообщили о получении in vitro гибридной молекулы, состоящей из ДНК вируса SV40 и ДНК фага λdvgal. При этом использовался метод, получивший название коннекторного. Принцип одного из вариантов этого метода заключается в следующем. К 3’-концам одного из рекомбинируемых in vitro фрагментов ДНК с помощью концевой дезоксинуклеотидилтрансферазы достраивают одноцепочечные олиго (dА) - сегменты определенной длины, а к концам другого фрагмента - олиго (dТ) - сегменты примерно такой же длины. При смешении полученных таким образом фрагментов формируются кольцевые структуры за счет водородных связей между олиго (dА) - и олиго (dТ) - последовательностями. Одноцепочечные бреши гибридных молекул ДНК застраивают с помощью ДНК-полимеразы I Е. coli и цепи ковалентно сшивают в лигазной реакции.

Коннекторным методом удается рекомбинировать in vitro фрагменты ДНК, полученные любым из способов расщепления исходной ДНК (механическим, ферментативным). При этом используют синтетические комплементарные олиго (dA) ·олиго (dT) - или олиго (dG) ·олиго (dС) - концы. Поскольку можно формировать достаточно длинные взаимокомплементарные одноцепочечные концы, гибридные молекулы образуются с высокой эффективностью. В частности, поэтому при клонировании ДНК-копий матричных РНК, которые доступны в ограниченных количествах, обычно используют коннекторный метод.

 


3.2 Рестриктазно-лигазный метод


Более простой и самый популярный метод получения in vitro гибридных молекул ДНК - рестриктазно-лигазный. Первые гибридные молекулы ДНК получили этим методом С. Коэн с сотрудниками в 1973 г.

Данный метод состоит в следующем:

. рестриктазой класса II специфически разрезают молекулы ДНК на фрагменты, имеющие идентичные взаимокомплементарные липкие концы;

. препараты различных молекул ДНК, гидролизованных одной и той же рестриктазой, смешивают, и при определённых условиях липкие концы разных фрагментов ДНК реассоциируют за счёт комплементарного взаимодействия;

. с помощью ДНК-лигазы происходит ковалентное связывание ассоциированных фрагментов ДНК.

По такой схеме могут быть ковалентно соединены in vitro два и более любых фрагмента, полученных при гидролизе молекул ДНК одной и той же рестриктазой. Однако с помощью рестриктаз (особенно одного фермента) в каждом конкретном случае можно получить лишь специфический, строго определенный набор фрагментов изучаемой ДНК. Первоначально это в некоторой степени ограничивало применение рестриктазно-лигазного метода. Но затем получила распространение новая его модификация, основанная на использовании линкерных молекул - синтетических сегментов ДНК, содержащих в своём составе последовательности, узнаваемые рестриктазами. Метод предложили Р. Шеллер с сотрудниками в 1977 г. Он позволяет достаточно просто рекомбинировать in vitro практически любые фрагменты ДНК.

. по тупым или липким концам фрагмента ДНК, который предполагается рекомбинировать, с помощью лигазы фага Т4 пришивают короткие синтетические двухцепочечные сегменты, имеющие участки узнавания определенной рестриктазы;

. полученный фрагмент обрабатывают выбранной рестриктазой, в результате чего образуются липкие концы;

. полученный фрагмент рекомбинируют in vitro с другими молекулами ДНК по обычной схеме рестриктазно-лигазного метода.

Использование линкерных молекул делает рестриктазно-лигазный метод рекомбинации фрагментов ДНК in vitro универсальным, поскольку исходные фрагменты можно получать самыми различными способами.

Рестриктазно-лигазный метод, по сравнению с коннекторным методом, находит более широкое применение в генно-инженерных манипуляциях, поскольку он более прост биохимически и, кроме того, даёт возможность легко выщепить встроенный фрагмент из гибридной молекулы ДНК, что часто бывает важно при переносе фрагмента в другое генетическое окружение.

4. Векторные молекулы ДНК


Вектором в генетической инженерии называют молекулу ДНК способную самостоятельно включать чужеродную ДНК, переносить её из клетки в клетку и стабильно выполнять свою функцию в другой клетке. Векторы также используются для выделения из клетки клонированной ДНК, создания in vitro рекомбинантных ДНК и введение их в клетку. Встраивание и репликация векторов в клетке зависит от клеточных белков, поэтому для каждого вида клеток необходимо конструировать свои векторы. Наиболее подходящие кандидаты на роль векторов: ДНК плазмид и вирусов (в том числе и фагов).

Плазмиды определяют как стабильно наследуемые внехромосомные генетические элементы. Они являются обычным компонентом бактериальных клеток, но встречаются также и у низших эукариот. В большинстве случаев плазмиды представляют собой суперскрученные ковалентно-замкнутые кольцевые молекулы ДНК длиной от 2 до 600 т.п. н. Они существуют и реплицируются независимо от хромосомы бактерий, хотя и используют для этого тот же самый ферментативный аппарат клетки. Выделяют два вида плазмид: трансмиссивные, передающиеся от одной бактерии к другой при коньюгации, и нетрансмиссивные, не передающиеся. Перечислим общие свойства плазмид: автономная репликация, интеграция в бактериальную хромосому, коньюгация (перенос копии плазмиды в другую клетку), мобилизация (свойство неконьюгативной плазмиды переноситься в другую клетку с помощью коньюгативной плазмиды), несовместимость (нестабильное существование плазмиды в одной клетке), стабильность, поверхностное исключение (если в клетке уже есть коньюгативная плазмида то другая плазмида проходит в клетку с трудом).

Кроме плазмид перенос молекул ДНК осуществляется с помощью фагов. Данное явление получило название трансдукция. То есть после инфицирования клеток фагом фрагмент ДНК встраивается в бактериальную ДНК и проявляется фенотипически. Наиболее распространённым является фаг λ.

Для полноценного выполнения своих функций любой вектор, как плазмидный, так и фаговый должен обладать следующими свойствами:

. иметь ограниченное число мест расщепления определённой рестриктазой (желательно один);

. содержать генетический маркер, который может быть использован для отбора клонов, несущих гибридные ДНК, после введения в чувствительные клетки смеси молекул ДНК, полученных в процессе рекомбинации in vitro;

. не должен терять репликативной функции при встройке фрагмента ДНК.

Векторные молекулы играют важную роль на этапе клонирования in vivo изучаемых последовательностей ДНК. При этом каждый конкретный вектор рассматривается для каждой генно-инженерной системы отдельно. Всё вместе это подняло на качественно новый уровень исследования структурно-функциональной организации геномов как прокариотиеских, так и эукариотических организмов.

5. Введение молекул ДНК в клетки


После создания in vitro гибридных ДНК, их необходимо ввести в пермиссивные клетки (обеспечивающие репликацию этих молекул). Процесс проникновения ДНК в клетку и возникновение у неё наследственных изменений называют трансформацией. Для этого используют как рассмотренные выше векторы (реплицирующиеся внехромосомно), так и молекулы ДНК, интегрирующиеся в геном клетки (линейные и кольцевые молекулы ДНК). Трансформированные клетки называют трансформантами. Но зачастую клетки не способны поглощать нуклеиновые кислоты из окружающей среды, поэтому приходится индуцировать их, переводя в состояние компетенции. Разные типы клеток требуют разные способы индукции у них компетентного состояния, что связано с особенностями строения клеточных стенок и плазматических мембран.

Исторически первым подходом к получению компетентных клеток является ферментативное расщепление клеточных стенок, приводящий к удалению физического барьера на пути проникновения ДНК в клетку. В 1982 г.Т. Вонг и Е. Нейман с сотрудниками для введения молекул ДНК в клетки мыши применили метод, названный электропорация. Позже метод усовершенствовали и стали применять на всех видах клеток. В основе метода лежит кратковременное воздействие электрического поля высокой напряжённости (1-15 кВ/см) на клеточную мембрану, что приводит к образованию в ней пор (электропробой). Во время воздействия поля из внешней среды молекулы ДНК попадают в клетку под действием осмотических сил. Электропорация - наиболее простой, эффективный метод введения молекул ДНК в клетки, и постепенно он стал наиболее применяемым в генетической инженерии.

Разработка простых, эффективных методов введения молекул ДНК в пермиссивные клетки является необходимым условием успешного развития работ по клонированию чужеродной генетической информации в клетках любого типа. Поэтому данному направлению исследований уделяется пристальное внимание, и оно постоянно развивается.

6. Методы отбора гибридных клонов


После введения гибридных ДНК в клетки их выращивают на питательной среде, но не все выращенные клетки содержат нужные гибридные ДНК. Поэтому были выработаны методы, позволяющие среди многообразия клеток выделить клоны, содержащие целевые гибридные ДНК. Эти методы в генетической инженерии называются методами скрининга (отбора).

Самый простой метод - это когда ген кодирует белок, который сама клетка не производит, но без этого белка не может расти. Микроорганизмы, возникающие при мутации, которым необходимы определённые факторы для роста, но исходным микроорганизмам они не требовались, называются ауксотрофами. Например, в клетки-ауксотрофы по аминокислоте гистидину ввести вектор с геном, кодирующем белок, который участвует в биосинтезе гистидина. И если выращивать эту культуру на питательной среде без гистидина, то выжившие клетки будут содержать гибридную ДНК.

Также в вектор могут вводить такой маркер, как ген фермента люциферин-люцифераза. Данный фермент имеется у светлячков, благодаря которому они и светятся. Колонию бактерий тоже можно отобрать по этому признаку (если у неё имеется ген люциферин-люциферазы и присутствует АТФ, как источник энергии).

Отбор клонов упрощается, если в векторе будут присутствовать гены устойчивости к антибиотикам и антиметаболитам. Возможно даже введение генов устойчивости к нескольким антибиотикам, тогда отбор клонов будет наиболее точный и качественный. Например, если плазмида кодирует устойчивость одновременно к тетрациклину и ампициллину, и в результате встройки в неё чужеродного фрагмента нарушается ген устойчивости к ампициллину, но устойчивость к тетрациклину сохранилась. Затем плазмиду вводят в клетку, культуру высевают на питательной среде с добавлением тетрациклина. Клетки, содержащие векторную плазмиду, будут стабильно расти. Далее колонии перепечатывают на чашки с ампициллном и чашки с тетрациклином. Те колонии, которые после перепечатки будут расти на среде с тетрациклином и не дают роста на среде с ампициллином, содержат гибридные плазмиды.

Ещё один очень эффективный способ отбора колоний основан на иммунологических тестах. Обычно его применяют тогда, когда клонируют ген уже достаточно хорошо известного белка, на который можно выработать антитела. Впервые этот метод был применён для отбора клонов кишечной палочки, содержащих ген инсулина. После того как в бактерии введён вектор, их выращивают на питательной среде, а затем снимают с культуры бактерий репликон (отпечаток) на пластинки из поливинилхлорида, к которым пришиты антитела на инсулин. Следовательно, в тех местах, где были клетки секретирующие инсулин, к антителам прилипнет данный фермент. Обнаружить эти места можно с помощью других антител, меченных радиоактивным йодом 125I. А радиоактивную метку обнаруживают на рентгеновской плёнке посредством авторадиографии. По положению радиоактивных зон на полимерной пластинке можно установить местоположение колоний бактерий с активным геном инсулина.

Именно такими методами осуществляется отбор колоний с необходимыми функциями и данные методы постоянно совершенствуются.

7. Расшифровка нуклеотидной последовательности фрагментов ДНК

 

7.1 Методы секвенирования


Важной задачей генетической инженерии являлась разработка методов расшифровки нуклеотидной последовательности, их также называют методами секвенирования. В середине 70-х годов появились два таких метода. Один основывался на химической модификации оснований непосредственно на анализируемой ДНК, метод Максама-Гилберта. Другой метод - метод Сэнгера, позволял определить последовательность благодаря анализу одноцепочечных копий ДНК, полученых путём полимеразного копирования. Но оба метода имеют общие черты: секвенирование ведут на одноцепочечных копиях ДНК, а разделение фрагментов ДНК по их длинам ведут методом электрофореза.

Электрофорез ДНК - это метод, применяемый для разделения фрагментов ДНК по размеру (длине) и форме (в случае, если ДНК образует вторичные структуры, например шпильки). Силы электрического поля, прикладываемого к образцам, заставляют фрагменты ДНК мигрировать через полиакриламидный гель. Сахарофосфатный остов молекул ДНК заряжен отрицательно и поэтому цепи ДНК двигаются от катода к аноду. Более длинные молекулы мигрируют медленнее, так как задерживаются в геле, более короткие молекулы двигаются быстрее. К образцам обычно добавляют низкомолекулярный кислый краситель (динитрофенол, бромфеноловый синий), чтобы визуализировать ход электрофореза в процессе. Краситель также необходим для того, чтобы определить, когда стоит остановить процесс.


Рис. 5. Электрофорерограмма

Химический метод Максама-Гилберта (рис.4) основан на реакциях, которые специфически модифицируют азотистые основания. Сначала 5’-конец анализируемого фрагмента ДНК метят радиоактивным фосфором. Затем модифицируют определённые азотистые основания, а после специфической обработки они отщепляются от цепи, нуклеотидная цепь рвётся в местах, где нет оснований, причём модификация основания и последующий разрыв цепи должен происходить в определённом нуклеотиде. Далее получившиеся фрагменты ДНК подвергают электрофорезу в полиакриламидном геле на параллельных дорожках, положение электрофоретических зон фиксируют на рентгеновсой плёнке. С помощью помеченного радиоактивным фосфором 5’-конца можно определить начало фрагмента с последующим анализом нуклеотидов фрагмента по электрофорерограмме (рис. 5).

Рис. 6. Строение дидезоксинуклеозидтрифосфат

Метод полимеразного копирования Сэнгера. Анализируемые фрагменты клонируют в векторах на базе фага, либо с помощью ДНК-полимеразы I. Дальнейшие реакции синтеза проводят в четырёх пробирках, где находятся фрагменты ДНК, дезоксинуклеозидтрифосфаты четырёх типов (dATP, dCTP, dGTP, dTTP) один из которых мечен радиоактивным фосфором и 2’,3’-дидезоксинуклеозидтрифосфат одного типа (например ddATP). Последний аналог включаясь в цепь не даёт расти цепи дальше, поскольку он не имеет на 2’ - и 3’-конце гидроксильной группы (рис.6). Получившиеся фрагменты анализируют электрофорезом в полиакриламидном геле. Положение электрофоретических зон, фиксируемое на авторадиограммах, указывает на последовательность нуклеозидмонофосфатных остатков в анализируемом фрагменте ДНК.

С помощью этих методов возможна расшифровка последовательности в 200-500 пн. Это не так уж и много, ведь размеры ДНК вирусов и прокариот намного больше. Требовалось разработать методы автоматического секвенирования. Первый автоматический ДНК-секвенатор был разработан в США в 1987 г. В основе метода остался принцип анализа ДНК по электрофорерограмме, но для того, чтобы пометить цепи использовали молекулы флуоресцирующего соединения. Серьезное значение в автоматическом секвенировании ДНК приобретает точность определения нуклеотидной последовательности, поскольку в большинстве случаев экспериментатор не участвует в процессе её чтения и занесения в компьютер. Современные автоматические секвенаторы несравнимо превосходят человека по производительности, более того, каждый год такие автоматы удается улучшать. Всё это ведёт к тому, что секвенирование фрагментов ДНК становится простой процедурой, доступной в любой молекулярно-биологической лаборатории.

 

7.2 Проект "Геном человека"


Рис. 7. Логотип HGP

С появлением быстрых и эффективных методов секвенирования стало возможным разработка крупных проектов по расшифровке геномов самостоятельных организмов, как прокариот, так и эукариот. Всё начиналось с бактериофагов (Ф. Сэнгер 1978 г.), среди бактерий первая полная нуклеотидная последовательность генома Haemophilius influenze опубликована в 1995 г., длина которого составляла 1 830 137 пн., немного позже стали расшифровывать геномы и многих других бактерий. На очереди стал вопрос о расшифровке генома эукариот, им стали дрожжи Saccharomyces cerevisiae в 1996 г.

Огромные успехи в расшифровке последовательности молекул ДНК привели к тому, что в 1990 г. в США была принята официальная программа по расшифровке генома человека (Human Genome Project, HGP, рис.7), планировалось завершить секвенирование полного генома человека в течение 15 лет. В проект включились лаборатории многих стран: США, Великобритании, Германии, Франции, Японии, Китая. Цель проекта - выяснить последовательности азотистых оснований и положения генов (картирование) в каждой молекуле ДНК каждой клетки человека, что открыло бы причины наследственных заболеваний и пути к их лечению. В 2001 г. эти страны заявили о завершении секвенирования генома на 95%. Для анализа генома использовали пять образцов человеческой ДНК от двух женщин и трёх мужчин. Среди них был афроамериканец, китаец, испано-мексиканец и двое европейцев. Была рассчитана последовательность в 2,91 млрд. пн., обнаружены 26 588 транскрибируемых и транслируемых в белки генов. Выяснилось, что экзоны занимают лишь 1,1% генома, а интроны - 24%, остальная часть генома представлена межгенными последовательностями. При сравнении геномов разных людей было выявлено 2,1 млн позиций однонуклеотидного полиморфизма, то есть позиций, по которым имеются различия от человека к человеку. И менее 1% этих позиций приводят к изменению последовательности белков. В ходе проекта создают три типа карт хромосом: генетические, физические и секвенсовые. Генетические карты представляют собой расположение генов в хромосоме, расстояние между ними. Физические карты - это соответствие генов и полосок на хромосомах, видимых под микроскопом после их дифференциального окрашивания. И секвенсовые карты, то есть последовательности нуклеотидов в генах и хромосомах. Знания, полученные в результате проекта "Геном человека", позволяют наиболее точно определить генетические причины многих болезней, и определить функции генов в развитии человека. Так выяснилось, что больше всего генов участвуют в формировании и активности мозга, а меньше всего (8 генов) участвуют в образовании эритроцитов.

Существует много мнений о завершённости проекта: некоторые считают, что геном полностью секвенирован, другие отрицают это. Согласно определению проекта о "полной последовательности человеческого генома", то проект удачно завершён, однако ещё остаётся несколько регионов хромосом, которые считаются незаконченными.

Заключение


Хотя генетика и генетическая инженерия уже играют огромную роль в медицине и сельском хозяйстве, основные результаты ещё впереди. Очень многое предстоит узнать о том, как работает сложная генетическая система в нашем организме и у других видов живых существ.

Необходимо определить функции и назначение каждого гена, выяснить, каковы условия его активации, в какие периоды жизни, в каких частях тела и при каких обстоятельствах он включается и приводит к синтезу соответствующего белка. Необходимо понять, какую роль играет в организме этот белок, выходит ли он за пределы клетки, какие сообщения несёт, какие реакции катализирует, как влияет на запуск биологических процессов в других частях организма, какие гены активирует.

Важная роль генетической инженерии заключается в создании организмов, способных синтезировать различные вещества, или организмов, способных перерабатывать субстраты с образованием продуктов необходимых для человека (например, переработка отходов в биомассу). До сих пор перспектива применения генетической инженерии для лечения и профилактики заболеваний остаётся актуальной. Широкое развитие получают проекты по секвенированию и анализу геномов патогенных микроорганизмов, что позволяет изучать механизмы их воздействия на организм. Это создаёт базу знаний, необходимых для эффективной разработки современных средств и методов лечения от патогенных микроорганизмов.

Список использованной литературы


1.      Биология: Учебник для мед. спец. вузов. В 2 кн. Кн.1/В.Н. Ярыгин, В.И. Васильева, И.Н. Волков, В.В. Синельщикова; Под ред.В.Н. Ярыгина. - 8 изд. - М.: Высшая школа, 2006. - 431 с.: ил.

2.      Богданов А.А., Медников Б.М. Власть над геном: Книга для внеклассного чтения учащихся 9-10 классов средней школы. - М.: Просвещение, 1989. - 208 с.: ил. - (Мир знаний).

.        Общая биология.10-11 класс: Учебник для обшеобразовательных учреждений / А.А. Каменский, Е.А. Криксунов, В.В. Пасечник. - 3 изд., стереотип. - М.: Дрофа, 2007. - 367 с.: ил.

.        Общая биология: Учебник для 10-11 класса с углублённым изучением биологии в школе / Под ред.В.К. Шумного, Г.М. Дымшица, А.О. Рувинского. - 4 изд. - М.: Просвещение, 2004. - 462 с.: ил.

.        Рыбчин В.Н. Основы генетической инженерии: Учебник для вузов. - 2 изд., перераб. и доп. - СПб.: изд-во СПбГТУ, 2002. - 522 с.

.        Щелкунов С.Н. Генетическая инженерия: Учебно-справочное пособие. - 2 изд., испр. и доп. - Новосибирск: Сиб. универ. изд-во, 2004. - 496 с.; ил.

.        Сойфер В.Н. Международный проект "Геном человека" [Электронный ресурс] // Академия информационных ресурсов. - Режим доступа: http://www.dp5.ru/index. php/-2/82464-sojfer-v-n-mezhdunarodnyj-proekt-genom-cheloveka.html

.        Генетическая инженерия [Электронный ресурс] // Википедия: Свободная энциклопедия. - Режим доступа: http://ru. wikipedia.org/wiki/Генетическая_инженерия

.        Проект "Геном человека" [Электронный ресурс] // Википедия: Свободная энциклопедия. - Режим доступа: http://ru. wikipedia.org/wiki/Проект_"Геном_человека"

.        Секвенирование [Электронный ресурс] // Википедия: Свободная энциклопедия. - Режим доступа: http://ru. wikipedia.org/wiki/Секвенирование

.        Электрофорез ДНК [Электронный ресурс] // Википедия: Свободная энциклопедия. - Режим доступа: http://ru. wikipedia.org/wiki/Электрофорез_ДНК

Похожие работы на - Геном человека

 

Не нашли материал для своей работы?
Поможем написать уникальную работу
Без плагиата!
Без нейросетей!