Разработка внутри корпоративного web-приложения

  • Вид работы:
    Курсовая работа (т)
  • Предмет:
    Информационное обеспечение, программирование
  • Язык:
    Русский
    ,
    Формат файла:
    MS Word
    4,11 Мб
  • Опубликовано:
    2015-01-21
Вы можете узнать стоимость помощи в написании студенческой работы.
Помощь в написании работы, которую точно примут!

Разработка внутри корпоративного web-приложения

Министерство образования и науки Российской Федерации

ФИЛИАЛ ФЕДЕРАЛЬНОГО ГОСУДАРСТВЕННОГО БЮДЖЕТНОГО

ОБРАЗОВАТЕЛЬНОГО УЧРЕЖДЕНИЯ

ВЫСШЕГО ПРОФЕССИОНАЛЬНОГО ОБРАЗОВАНИЯ

«НАЦИОНАЛЬНЫЙ ИССЛЕДОВАТЕЛЬСКИЙ УНИВЕРСИТЕТ «МЭИ» в г. СМОЛЕНСКЕ





КУРСОВАЯ РАБОТА

по дисциплине «Информационные технологии в маркетинге и рекламе»

на тему

Разработка внутри корпоративного web-приложения

Студент группы ПИЭ-11

О.А. Кондратенко

Руководитель канд. экон. наук, доц.О. В. Стоянова





Смоленск 2014

Введение

Актуальность данной курсовой работы состоит в том, что разработка внутрикорпоративного web-приложения является мощным инструментом интеграции информационных ресурсов, который многократно повышает эффективность управления предприятием. Такое web-приложение представляет собой совокупность технологий и программных средств, позволяющих компаниям "расконсервировать" информацию, которая возникает и накапливается как внутри, так и вне их границ.

Предмет исследования: низкая эффективность управления организации.

Объект исследования: Ломбард "Первый Брокер".

Целью данной курсовой работы является определение наиболее эффективного средства воздействия на управление организации, (выявление причин низкой эффективности организации).

Для достижения поставленной цели решаются следующие задачи курсовой работы:

•    проанализировать ООО "Ломбард "Первый Брокер";

•    проанализировать выделенную проблему;

•    ознакомиться и провести анализ существующих аналогов разрабатываемого приложения;

•    обосновать выбор элементов, которые будут использованы в web-приложении;

•    описать информационную структуру, навигационную систему и номенклатуру страниц web-приложения;

•    разработать внутрикорпоративное web-приложение для организации взаимодействия внутри компании через сети Intranet, включающее функцию проведения экспертных опросов.

1. Системный анализ предметной области

.1 Общая характеристика объекта исследования

В жизни бывают разные ситуации, когда деньги нужны наличными и прямо сейчас. Если довелось столкнуться с финансовыми трудностями - компания ООО «Ломбард Первый Брокер» - это гарантированная возможность получить деньги под залог любого ликвидного имущества от золота, телефонов, ноутбуков до автомобилей и недвижимости. Можно получить за 10 минут наличными до 90% цены залога без справок и поручителей, независимо от кредитной истории клиента. Продажа невостребованных залогов: золота, телефонов, ноутбуков, телевизоров. Цены до 40% ниже рыночных. «Ломбард Первый Брокер», на сегодняшний день, один из многих Смоленских ломбардов.

Условия займа:

Ломбард "Первый Брокер" предоставляет займы под залог: золота, техники, автомобилей и недвижимости. Эксперты оценивают залог и в течение 5 минут можно получить наличными до 90% от его цены. Сумма выдается наличными до 90% цены залога, любой срок займа - от 1 до 30 дней (с возможностью продления), ставка от 0,2% до 1% в день (зависит от залога). Имеется широкий ассортимент различной техники, ювелирных и меховых изделий. В Ломбарде Первый Брокер регулярно обновляется выставленный на продажу товар, так как клиенты приходят не только заложить товар, но и купить бывшего употребления товар.

Основная цель ломбарда - дать возможность населению получить деньги за товар, либо продав его, либо оставив в залог. Но открывая ломбард "Первый брокер", его владелец в первую очередь делает это ради получения прибыли, к тому же от уровня рентабельности зависит и дальнейшая судьба ломбарда. Прибыльные ломбарды активно развиваются и превращаются в крупные сети, в то время как ломбарды с недостаточными доходами постепенно уходят с рынка. Именно поэтому вопросу повышения прибыли нужно постоянно уделять внимание. Даже если ломбард работает много лет и приносит хорошие деньги, все равно остаются способы увеличения прибыли, которые еще не задействованы. А если сеть ломбардов, то масштаб увеличения прибыли может стать в разы ощутимей. Для начала определим основные источники прибыли ломбарда:

проценты по займам;

- реализация не выкупленного имущества;

- скупка и продажа лома золота;

комиссионная торговля, продажа различных аксессуаров.

Прибыль ломбарда первоочередно зависит от объема выданных займов, именно к увеличению этого показателя и нужно стремиться.

В 2011 году чистая прибыль ломбарда составила 79,459 тыс.руб. В то же время денежный поток созданный этой прибылью составил всего 37,338 тыс.руб. В 2012 году ситуация усугубилась, ломбард заработал больше прибыли, а именно, 81,825 тыс.руб., а денежный поток оказался отрицательным. А это означает, что в ломбарде "Первый Брокер" низкая выручка от реализации не выкупленного имущества и маленький объем выданных займов. Это произошло из-за низкой эффективности управления организации, по словам руководителей ломбарда "Первый Брокер". Основными причинами такой эффективности управления организации, являются следующие:

-    оплата и стимулирование труда;

-        представление информации о системе вознаграждения всех работников ломбарда;

         информированность сотрудников ломбарда о правилах поведения на рабочих местах и о своих прямых обязанностей;

         трудовая дисциплина;

         внутренняя организация и недостаточные деловые качества отдельных сотрудников.

.2 Анализ выделенной проблемы

Для анализа проблемы - низкой эффективности управления организации использовано дерево проблемы, представленное на рисунке 1.2.1.

Рисунок 1.2.1 - Дерево проблемы низкой эффективности управления организации

Проблема низкой эффективности управления организации заключается в следующем:

) Недостаток или отсутствие квалифицированных специалистов. В основном это связанно с отсутствием практических и теоретических курсов. Учитывая, что координация деятельности и организационная работа, являются главными функциями в менеджменте, этот фактор имеет критическое значение.

) Наличие неэффективной системы мотивации. В ломбарде "Первый Брокер" работники не знают, за что они получают либо вообще не получают вознаграждения. Персонал не знает связи, между целями организации и собственными заработками.

) Появление рисков. Работник, который берет участие в последовательности действий, вносит не всегда нужный вклад в ход работы организации. В случае ухода сотрудника из компании, который был задействован в реализации данного процесса, появляются риски, которые могут работу всей организации парализовать.

) Отсутствие корпоративной культуры заключается в следующем:

отсутствие единого видения корпоративной культуры в ломбарде;

разрозненность сотрудников и подразделений в процессе осуществления своей деятельности;

дублирование функций сотрудниками внутри подразделения и подразделениями в целом;

отсутствие органа, координирующего и контролирующего деятельность подразделений в сфере корпоративной культуры;

отсутствие документов, которые регламентировали бы проведение мероприятий, относящихся к корпоративной культуре.

) Отсутствие системы работы с персоналом. Отсутствие систем адаптации для новых сотрудников, а так же программ лояльности для работников, что снижает эффективность работы ломбарда. Каждый руководитель, обязан иметь представление о верном ему подразделении. Но удерживать и отслеживать все информацию, не всегда получается. В итоге, каждый работник предоставлен сам себе, а его лояльностью некому управлять.

1.3 Цель и задачи web-приложения

Основная цель web-приложения - повышение эффективности управления организации.

Для достижения поставленной цели решаются следующие задачи:

) Предоставление информации по организации деятельности ломбарда для всех сотрудников. Своевременное и регулярное предоставление актуальной и достоверной информации - это одна из важнейших задач любого корпоративного web-приложения.

) Предоставление информации о системе вознаграждения всех работников ломбарда.

) Создание и стимулирование имиджа ломбарда (имя компании, логотип, фирменные цвета, фирменные модули (бланки, документация, визитки, листовки, брошюры, плакаты, постеры, рекламные проспекты и пр.).

) Поддержка сотрудников внутри организации.

) Проведение анкетирования всех сотрудников.

) Проведение опроса и сборка данных по опросу.

.4 Характеристика предлагаемого маркетингового исследования

Для увеличения эффективности управления ООО "Ломбард Первый Брокер" необходимо провести маркетинговое исследование.

Объектом исследования являются сотрудники Ломбарда «Первый Брокер».

Предмет исследования - удовлетворенность факторами трудовой жизни.

Цель маркетингового исследования: помочь руководителям модернизовать работу ломбарда. Данное исследование должно выявить, каков процент удовлетворенности трудовыми факторами жизни у пользователя, выявить степень влияния различных факторов на общую удовлетворенность сотрудника трудом.

В процессе маркетингового исследования предполагается найти ответы на следующие вопросы:

• От чего зависит удовлетворенность трудом сотрудника ломбарда «Первый Брокер»?

• Насколько сотрудник ломбарда «Первый Брокер» удовлетворен основными факторами трудовой жизни?

Задачи исследования:

• Определение наиболее важных факторов трудовой жизни;

• Определение уровня удовлетворенности сотрудников по 100% - шкале.

Метод исследования: сбор ответов сотрудников.

Потребитель исследования: руководители ломбарда.

Инструмент исследования - онлайновый опрос сотрудников Ломбарда «Первый Брокер» в среде Web-приложения, который позволяют оценить удовлетворенность персонала.

.5 Сравнительный анализ существующих аналогов разрабатываемого приложения

В настоящее время осталось мало ломбардов, у которых не было бы своего сайта либо странички в социальных сетях.

Сравним несколько web-приложений по следующим критериям:

·        Возможность регистрации пользователя;

·        Предоставление информации о ломбарде;

·        Проведение маркетинговых исследований;

·        Графическая информация о магазине и товаре.

Сравнительный анализ представлен в таблице 1.

Исходя из данных представленных в таблице 1 можно заметить, что ни у одного из рассмотренных web-приложений нет важной функции: предоставление маркетингового исследования. В связи с этим было принято решение о создании своего web-приложения.

Таблица 1 - Сравнительный анализ существующих web-приложений для спортивных центров

Критерий

Ломбард Смоленский

Ломбард Меридиан

М-Ломбард

Регистрация пользователей

Нет

Нет

Нет

Информация о ломбарде

Да

Да

Да

Маркетинговое исследование

Нет

Нет

Нет

Графическая информация

Да

Да

Нет

Ссылка

#"867939.files/image002.gif">

Рисунок 1 - Страница авторизации

Страница авторизации определяет, сможет ли сотрудник дальше идти по сайту или нет, это панель авторизации на сайте. Сотрудник вводит данные: логин и пароль для входа на сайт, или проходит регистрацию, вводя логин, пароль и email. После чего он будет перенаправлен в закрытый раздел, т.е. на все страницы web-приложения.

Главная страница является направляющей и определяет куда дальше пойдет сотрудник, за это отвечает навигационная панель меню сверху. Страница отвечает за информирование сотрудника о деятельности ломбарда. Изучив данную страницу, сотрудник может идти дальше по сайту. Её внешний вид представлен на рисунке 2.

Рисунок 2 - Страница о ломбарде

Следующая страница для сотрудников, информирует сотрудников о правилах пользования услугами ломбарда. Внешний вид страницы с информацией для сотрудников представлен на рисунке 3.

Рисунок 3- Страница Для сотрудников

Следующая страница - новости, информирует сотрудников о важных новостях ломбарда. Внешний вид страницы с информацией важных новостей для сотрудников представлен на рисунке 4.

Рисунок 4 - Страница Новости

Следующая страница - представление информации о системе вознаграждения всех работников ломбарда. Внешний вид страницы с информацией о системе вознаграждения для сотрудников представлен на рисунке 5.

Рисунок 5 - Страница Система вознаграждения

Следующая страница - Для новых сотрудников ломбарда. Внешний вид страницы с информацией для новых сотрудников представлен на рисунке 8.

Рисунок 8 - Страница Для новых сотрудников

Следующая страница - Анкетирование. Внешний вид страницы с опросом представлен на рисунке 9.

Рисунок 9 - Страница Анкетирование

На страницах приложения используется три основных цвета.

Черный цвет используется для выделения шапки сайта. Темно-золотой цвет привлекает внимание к названию страницы и сотрудник не потеряется на сайте. Желтым цветом выделены буквы в шапке, так как они легче читаются на черном фоне.

В таблице 2 представлено описание цветовой палитры сайта.

Таблица 2 - Цветовая палитра приложения


Название цвета

Шестнадцатеричный код цвета

1

Темно-золотой

#B8860B

2

Желтый

#ffd700

3

Черный или антроцитовый

#000 или #333


.3      Макеты страниц web-приложения

Макеты всех использованных страниц, кроме страницы анкетирование, будут одинаковы и представлены на рисунке 10.

Рисунок 10- Макет Web-страницы Анкетирование

На основе макетов были созданы страницы web-приложения. В процессе создания web-страниц при помощи инспектирования элементов в последней версии Opera, изменялось положение некоторых элементов на страницах web-приложения.

3       Разработка web-приложения

3.1    Навигационная структура

Структура web-приложения представлена на рисунке 14.

Страница авторизации - отправная точка web-приложения. На этой странице сотрудник ломбарда вводит свои данные: логин и пароль. Если же сотрудник авторизован, то ему открывается доступ к закрытому разделу, т.е. т.е. на все страницы web-приложения. Если же он не авторизован, можно пройти регистрацию, вводя логин, пароль и email.

После авторизации открывается главная страница приложения о ломбарде. На ней пользователь выбирает куда идти дальше: страница Для сотрудников, или страница Новости. или страница Система вознаграждения, или страница Для новых сотрудников, или страница Анкетирование, или нажав на Выход, уйти с закрытого раздела.

Рисунок 14 - Структура web-приложения

Страница Анкетирование предлагает сотруднику пройти опрос, если выбраны все пункты и введен ответ на вопрос, то сотрудник видит сообщение о результате анкетирования на этой же странице. Увидеть результат тестирования можно лишь пройдя опрос.

.2      Форма опроса

Страница опроса на сайте имеет вид, представленный на рисунке 15.

Данная форма предназначена для прохождения опроса. Сотрудник, попав на эту страницу, должен ответить на все вопросы, и только после этого он получит результат данного тестирования. В таблице 3 представлено описание опроса.

Первая часть опроса выявляет степень влияния различных факторов на общую удовлетворенность сотрудника трудом. Вторая часть опроса определяет собственно удовлетворенность каждым из факторов.

Данная форма предназначена для прохождения опроса. Сотрудник, попав на эту страницу, должен ответить на все вопросы, и только после этого он получит результат данного тестирования.

Рисунок 15 - Страница опроса

В таблице 3 представлено описание опроса.

Первая часть опроса выявляет степень влияния различных факторов на общую удовлетворенность сотрудника трудом. Вторая часть опроса определяет собственно удовлетворенность каждым из факторов.

Вопросы, на которые нужно ответить, выбрав 1 из 4/5 вариантов ответа:

) От чего зависит Ваша удовлетворенность трудом? Оцените, насколько перечисленные ниже факторы влияют на вашу удовлетворенность?

) Оцените, насколько вы удовлетворены основными факторами трудовой жизни?

3) Насколько вы удовлетворены работой в нашей компании?

Все вопросы, кроме 3, предполагают выбор пользователем одного из вариантов ответа. Варианты ответов по каждому вопросу формируются в таблицы БД.

Таблица 3 - Описание вопросов

Факторы трудовой жизни

Влияние на удовлетворенность


Сильно влияет /удовлетворен

Влияет, но в меньшей степени/ Скорее удовлетворен

Не влияет/ Скорее не удовлетворен

Затрудняюсь ответить Не удовлетворен

- /Затрудняюсь ответить

Условия труда






Режим труда, график работы






Содержание труда, сама работа






Уровень заработной платы






Зависимость оплаты труда от результатов работы






Моральная мотивация






Соблюдение работодателем социальных гарантий, предусмотренных законодательством






Социальный пакет






Транспортная доступность, удаленность от дома






Отношение непосредственного руководства






Атмосфера в коллективе, отношение с коллегами






Возможность карьерного роста






Возможность пройти обучение






Престижность работы в ООО Ломбард Первый Брокер, его имидж






Корпоративная культура в компании






Политика, стратегия компании






Другое (укажите, что именно):







.3 Схема базы данных приложения

Для работы данного приложения была спроектирована следующая схема БД, представленная на рисунке 16.

Рисунок 16 - Схема БД

Основная схема на 2 сущности (таблицы).

·  users - пользователь web-приложения, справочник

UserID - уникальный идентификатор

Username - имя пользователя, вводимое в форме

Password - пароль, вводимый в форме

EmailAddress - email, вводимый в форме

·  results - результаты опроса

id - уникальный идентификатор

id_user - указатель на пользователя - результаты теста

self - собственное значение пользователя

Таблица results является контейнером для хранения собранной приложением информации. Используя данные этой таблицы можно провести анализ всех пройденных опросов.

3.4    Алгоритм реализации обработки

Обработка результатов осуществляется по следующему алгоритму:

1.      Ответ на вопрос анкеты «Оцените, насколько нижеперечисленные факторы влияют на Вашу удовлетворенность?» позволяет ввести понижающий коэффициент (m).

- В случае ответа «не влияет на удовлетворенность» или ответа «затрудняюсь ответить» ставится буква «з», эти факторы не учитываются в оценке удовлетворенности,

В случае если ответ «сильно влияет на удовлетворенность» ставим «0»

В случае ответа «влияет на удовлетворенность в меньшей степени» - «1»

o     Ответ на вопрос анкеты «Оцените, насколько Вы удовлетворенны основными факторами трудовой жизни?» назовем коэффициентом удовлетворенности (k): k=3, если ответ «удовлетворен»; k=2, если ответ «скорее удовлетворен»; k=1, если ответ «скорее не удовлетворен»; k=0, если ответ «не удовлетворен».

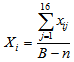
Оценка удовлетворенности по каждому пункту(хij -удовлетворенность i-го респондента по j-му фактору) рассчитывается по формуле: xij=(2*k-m)/6, где k-коэффициент удовлетворенности, m - понижающий коэффициент.

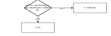
Блок-схема обработки результатов представлена на рисунке 17.

Рисунок 17 - Блок-схема обработки результатов

Удовлетворённость каждого человека определяется как среднее арифметическое от удовлетворённостей по каждому пункту, т.е.


где n - количество факторов удовлетворенности, наиболее важных для пользователя, B - общее число факторов трудовой жизни, используемых в анкете (пунктов в вопросах об удовлетворенности).

3.5    Форма вывода результатов

Цель курсовой работы провести маркетинговое исследование. Данное исследование должно выявить, что нужно учесть в первую очередь для того, чтобы каждый сотрудник был удовлетворен основными факторами трудовой жизни, выявить степень влияния различных факторов на общую удовлетворенность сотрудника трудом. Для этого наше web-приложение проводило опрос пользователей. Мы исследуем сотрудников, работающих в ломбарде Первый Брокер. Для исследования используем методику оценки уровня удовлетворенности. В нашем случае происходит обработка опроса и формирование результата на данной странице - Анкетирование. На рисунке 17 представлен внешний вид страницы Анкетирование с выводом результата для пользователя.

Рисунок 17 - Страница Анкетирование

Заключение

В ходе выполнения курсовой работы были решены следующие задачи:

•        проанализирован ООО "Ломбард "Первый Брокер";

•        проанализирована выделенная проблема;

•        проведен анализ существующих аналогов разрабатываемого приложения;

•        обоснован выбор элементов, которые будут использованы в web-приложении;

•        описана информационная структура, навигационная система и номенклатура страниц web-приложения;

•        разработано внутрикорпоративное web-приложение для организации взаимодействия внутри компании через сети Intranet, включающее функцию проведения экспертных опросов.

Следовательно, поставленная в начале работы цель была достигнута, а задачи решены.

Разработанное web-приложение имеет перспективу дальнейшего использования и усовершенствования. Собранная в нем информация будет полезна для руководителя ломбарда Первый Брокер. На основании результатов опросов сотрудников выстраивается реальная картина о том, как и какими факторами трудовой жизни удовлетворены сотрудники.

Приложение А

Листинг файла css.css

@charset "utf-8";

/* CSS Document */, body, div, applet, object, iframe, form, label, legend,, caption, tbody, tfoot, thead, tr, th, td {: 0;: 0;

},body {:100%;:100%;

}{: 14px/22px 'Myriad Pro', Arial, Tahoma, Verdana, Helvetica, sans-serif;image: url(/images/bg.jpg);

}

#main {: 0 auto;: 920px;: #fff;bottom: 50px;

}

#navi {: 20px 0 -10px 0px;

}

#navi ul {style: none;:#000;height: 50px;

}

#navi li {: inline-block;align: center;style: none;: 0 3px;

}

#navi a {decoration: none;: #ffd700 ;size: 16px;

}

#article {height: 400px;bottom: 10px;

}

#article h1{: 10px 20px;:#B8860B;

}

#article p, h4{: 10px 20px 10px;align: justify;

height: 1.5;

}

#article ul li {style-type: circle;size: 18px;

}

#auth {: 0 auto;

}

.clear {: both;

}

Приложение Б

Листинг файла style.php

body {: 0;: 0;

}

.left {:right;

}

.v {: left;: 55px;

:

}

.line {: 650px;: 60px;: 15px 0 15px 15px;bottom: 1px dotted #aaa;

}

.question h4 {: 20px;height:1.5;

}

.question h5 {: 20px 0 0 367px;height:1.5;size: 18px;

}

.question h6 {: 20px;height:1.5;: 20px 0 0 317px;size: 18px;

}

.line .q {: left;: 300px;

}

#result h4 {: 20px;size: 30px;

}

.line .qr {: left;: 300px;: red;

}

.line input[type="radio"] {left: 25px;right: 22px;

}

#buttom input{: 0px 0 20px 420px;: 200px;: 40px;size: 24px;

}

.clear {: both;

}

Приложение В

Листинг файла 1.php

<div id = "article">

<h1>Ломбард Первый Брокер.</h1>

<p>   Условия займа:

Ломбард "Первый Брокер" предоставляет займы под залог: золота, техники, автомобилей и недвижимости. Эксперты оценят залог и в течение 5 минут можно получить наличными до 90% от его цены. Сумма выдается наличными до 90% цены залога, любой срок займа - от 1 до 30 дней (с возможностью продления), ставка от 0,2% до 1% в день (зависит от залога).

Имеется широкий ассортимент различной техники, ювелирных и меховых изделий. В Ломбарде Первый Брокер регулярно обновляется выставленный на продажу товар, так как клиенты приходят не только заложить товар, но и купить бывшего употребления товар.

</p>

<img src="/images/money.jpg" width="500px"></img>

</div>

Приложение Г

Листинг файла 2.php

<div id = "article">

<h1>Информация для сотрудников.</h1>

<p>

ПРАВИЛА пользования услугами ломбарда<br>

ООО «Ломбард Первый Брокер»<br>

. Деятельность ломбарда:<br>

.1. Ломбард осуществляет деятельность в соответствии с Гражданским кодексом Российской Федерации (ГК РФ), с Федеральным законом «О ломбардах», другими законодательными и нормативными актами РФ, договором с гражданином - заемщиком (залогодателем) и настоящими Правилами.<br>

.2.Основными операциями Ломбарда являются: <br>

.2.1.Предоставление краткосрочных займов гражданам под залог ювелирных изделий из драгоценных металлов и драгоценных камней, столового серебра, часов, меховых изделий, предметов антиквариата, мобильных телефонов, аудио-, видеотехники, компьютерной техники, бытовой техники, цифровой техники и прочее (далее - Имущество или вещи).<br>

.2.2.Хранение имущества граждан в виде ювелирных и других бытовых изделий из драгоценных металлов и драгоценных камней. <br>

.2.3.Реализация невостребованного имущества, как составная часть договора займа или хранения, в установленном законодательством и ломбардом порядке. <br>

Примечание: серебряные изделия без пробы, ювелирные изделия из серебра, предметы производственно-технического назначения, медали и ордена, полуфабрикаты и слитки, а также другие вещи, не подлежащие реализации в установленном порядке, Ломбардом в залог (на хранение) не принимаются. <br>

Кроме того, Ломбард может оказывать информационные и консультационные услуги. <br>

.3. Ломбард оказывает услуги по п. 1.2. гражданам* (далее - Клиент) не моложе 18 лет (в случаях, установленных статьей 27 Гражданского Кодекса РФ - не моложе 16 лет), по предъявлению ими паспорта, или заменяющего его по законодательству документа. <br>

.4.Имущество принимаются в залог только в технически исправном состоянии, в чистом виде и при наличии достаточной комплектации.<br>

.5. ЛОМБАРД имеет право отказать в приеме имущества граждан и выдачи займа, не объясняя причину отказа.<br>

.6. Ломбард осуществляет идентификацию Клиентов, включая покупателей невостребованного имущества, в соответствии с требованиями Федерального закона от 7 августа 2001 г. № 115-ФЗ «О противодействии легализации (отмыванию) доходов, полученных преступным путем, и финансированию терроризма».<br>

. Займ (хранение).<br>

.1. При выдаче займа под залог (при приеме имущества на хранение без выдачи займа) между Ломбардом и Клиентом, заключается договор займа (договор хранения), оформленный залоговым билетом (сохранной квитанцией) на бланке строгой отчетности (БСО) установленной формы, один экземпляр которого выдается Клиенту.<br>

В случаях: утраты Клиентом залогового билета (сохранной квитанции) - см. п. 3.2.6. настоящих Правил; неправильного заполнения залогового билета (сохранной квитанции); отказа Клиента от проведения операции и т.д., ранее выданный Клиенту (раннее оформленный) залоговый билет (сохранная квитанция) на соответствующем бланке строгой отчетности (БСО) аннулируются, а Клиенту, взамен аннулированного, выдается залоговый билет (сохранная квитанция) на БСО с новым номером, заполненный аналогично аннулированному. Дальнейшие операции по аннулированному билету, в т.ч. выдача Имущества, не производятся. <br>

В договоре займа (хранения) содержится описание и полная сумма оценки (сумма оценки) имущества, срок (дата) возврата займа (т.е. срок выкупа Имущества). <br>

Подпись Клиента в залоговом билете означает его ознакомление и согласие со всеми условиями договора, в том числе: с суммой оценки, с суммой полученного займа, с обязательствами Клиента, с размером и порядком определения требований ломбарда, возникающих из обязательств Клиента (статья 8 Федерального закона «О ломбардах»), включая порядок определения неустойки (пени), с датой, начиная с которой Ломбард вправе реализовать Имущество в случае невостребования, с минимальной ценой продажи (если она указана в договоре). <br>

.1.1.Полная сумма оценки имущества определяется Ломбардом, исходя из цены, за которую сдаваемое Имущество, в случае невостребования Клиентом, может быть реализовано. Оценка должна соответствовать ценам на вещи такого рода и качества, обычно устанавливаемым в торговле на момент их принятия в залог (с учетом спроса на вещи, бывшие в употреблении). Сумма оценки согласовывается с Клиентом. <br>

Если Клиент не согласен с суммой оценки, предлагаемой Ломбардом, договор займа (хранения) не заключается. <br>

.2.Сумма займа, который может быть предоставлен Клиенту под залог, определяется Ломбардом в зависимости от вида и качества закладываемых изделий, от срока пользования займом, от того, выполнял ли Клиент свои обязательства по предыдущим договорам с Ломбардом, и от ожидаемой цены реализации вещи в случае ее невостребования. Сумма займа согласовывается с Клиентом. Если Клиент не согласен с суммой займа, предлагаемой Ломбардом (желает получить б?льшую сумму займа)[3], договор займа не заключается. <br>

.3.При сдаче нескольких изделий одинаковой пробы, количество залоговых билетов определяется Ломбардом по согласованию с Клиентом<br>.

.4.Срок пользования займом устанавливается по желанию Клиента в пределах от 1 до 30 дней. День залога и день выкупа считаются днями пользования займом, если иное не предусмотрено законодательством РФ. <br>

.4.1.Ломбард обязан хранить Имущество после срока возврата займа, указанного в залоговом билете, в течение льготного (дополнительного) срока установленного законодательством: 1 месяц - в случае договора займа 2 месяца - в случае договора хранения. <br>

.4.2. Клиент может обратиться в ломбард с письменным заявлением об отказе от своего права на использование установленного льготного срока. В этом случае ломбард принимает меры по скорейшей реализации соответствующего заложенного имущества с учетом положений ГК РФ и законом «О ломбардах». <br>

.4.3.Если срок (дата) выкупа или окончания льготного срока приходится на нерабочий день Ломбарда, то днем окончания соответствующего срока считается следующий за ним рабочий день. <br>

.4.4.Клиент имеет право в любой рабочий день ломбарда до окончания льготного срока (или после его окончания в случае, если имущество не реализовано ломбардом) востребовать имущество при условии оплаты всех требований Ломбарда, возникающих из обязательств Клиента по договору займа, либо произвести частичное погашение задолженности (требований Ломбарда) согласно п. 4 настоящих Правил без востребования имущества. Ломбард не вправе включать в сумму своих требований к Клиенту по договору займа, требования, не возникающие из обязательств по возврату займа и уплате процентов.<br>

. Оплата услуг ломбарда.<br>

.1. Клиент оплачивает услуги Ломбарда: проценты по займу (вознаграждение за хранение по договору хранения) по ценам (тарифам), устанавливаемым Ломбардом, которые указываются в договоре займа (хранения).<br>

.2. Оплата и/или расчеты по услугам Ломбарда осуществляется при завершении услуг (их отгрузке), т.е. при выкупе (получении) имущества Клиентом или при реализации невостребованного имущества в соответствии с з0хпунктом 5 настоящих Правил, а также в других случаях завершения соответствующего договора займа (хранения).<br>

.2.1. Сумма процентов по займу и размер оплаты других услуг при заключении договора займа (хранения) указывается за установленный в договоре период залога (пользования займом) или хранения имущества, определяемый Клиентом в соответствии с пунктом 2.4. настоящих Правил. За последующий период пользования займом процентная ставка устанавливается равной нулю, если иное не предусмотрено договором займа.<br>

.2.2. Во всех случаях расчет оплаты осуществляется по ценам (тарифам), действовавшим на дату заключения договора. <br>

.2.3. При выкупе (востребовании) имущества ранее срока, установленного договором, производится перерасчет на фактическую дату выкупа, в соответствии с п. 2.4. настоящих Правил. <br>

.2.4. При несвоевременном (позднее даты, указанной в залоговом билете) исполнении обязательств по возврату займа (т.е. при просрочке выкупа), Клиент, кроме оплаты процентов по займу по срок выкупа, установленный в залоговом билете, выплачивает неустойку (пени, далее - пени) в указанном договоре займа размере за весь период просрочки - со дня, следующего за установленной в залоговом билете даты выкупа, по день (включительно) фактической даты выкупа если иное не предусмотрено законодательством РФ. При этом пени считаются признанными Клиентом.<br>

.2.5. Просрочкой считается пользование займом сверх указанного в залоговом билете срока, определяемого Клиентом в соответствии с пунктом 2.4. настоящих Правил. <br>

.2.6. Имущество выдается Клиенту или его доверенному лицу (по предъявлению доверенности, оформленной в установленном законодательством порядке) после возврата выданного Ломбардом займа и оплаты всех требований Ломбарда, возникающих из договора займа (хранения), при предъявлении залогового билета (сохранной квитанции) и паспорта или заменяющего его по законодательству документа. <br>

.2.7. В случае утраты залогового билета (сохранной квитанции) Клиенту, с целью предотвращения получения его имущества посторонними лицами, следует незамедлительно обратиться в Ломбард с письменным заявлением об утрате залогового билета (сохранной квитанции) и получить дубликат залогового билета (сохранной квитанции). В противном случае Ломбард не несет ответственности за выдачу имущества Клиента ненадлежащему лицу.<br>

.Частичное погашение задолженности (требований ломбарда) с правом продления срока займа.<br>

.1. В любой момент хранения Имущества в ломбарде (т.е. до момента реализации невостребованного залога), Клиент в рабочий день Ломбарда имеет право частично погасить задолженность перед ломбардом на дату обращения в следующем порядке : <br>

.1.1.При обращении после срока возврата займа (срока выкупа), указанного в залоговом билете погашаются пени по п. 3.2.3. настоящих Правил. <br>

.1.2.После погашения пеней по п. 4.1.1. настоящих Правил (при их наличии) Клиент имеет право полного или частичного погашения задолженности по процентам. <br>

.1.3. В случае полного погашения задолженности по процентам займ может быть продлен на любой срок в пределах 1-го месяца (30 дней). <br>

.2. При частичном погашении задолженности по процентам займ продлевается на срок, равный количеству оплаченных дней. <br>

.3.После полного погашения требований по п.п 4.1.1, 4.1.2, 4.1.3 настоящих Правил Клиент имеет право погасить часть займа. <br>

.4.При частичном погашение задолженности (требований) заключается новый договор займа, с оформлением нового залогового билета, в котором сумма займа равна сумме непогашенной задолженности заемщика, а срок нового договора устанавливается Клиентом с учетом п.п. 4.1.3. 4.2. настоящих Правил. При этом договор, по которому осуществлено частичное погашение, считается завершенным (выполненным).

.5.В связи с тем, что требования ломбарда удовлетворяются не полностью, ломбард может по новому договору установить повышенную процентную ставку. <br>

.6. Частичное погашение займа может быть осуществлено третьим лицом по доверенности. <br>

.Реализация невостребованного имущества. <br>

.1. В случае невыкупа (невостребования) имущества Клиентом Ломбарда после окончания льготного (дополнительного) срока (с даты, указанной в договоре), без дополнительного оповещения Клиента, вправе реализовать имущество в установленном законодательством порядке, после чего указанное имущество возврату не подлежит.<br>

Примечание: информацию о покупателе невостребованного имущества Ломбард Клиенту не предоставляет.<br>

.2. Залоги (поклажа) с указанной в залоговом билете (сохранной квитанции) оценкой, превышающей 30 тысяч рублей, реализуются только путем продажи с публичных торгов, при этом начальная продажная цена на торгах устанавливается равной сумме оценки. <br>

.2.1. В случае объявления торгов не состоявшимися, повторные торги проводятся посредством публичного предложения. <br>

.3. Залоги (поклажа) с оценкой, равной или менее 30 тысяч рублей реализуются с публичных торгов в порядке, аналогичном указанному в п.<br>

.2.1. настоящих Правил, если Ломбард не примет иное решение. <br>

.4. Невостребованное имущество при любом порядке реализации не может быть продано ниже минимальной продажной цены, если она определена договором займа (хранения). <br>

.5.С целью повышения эффективности реализации невостребованных залогов (то есть, и в интересах Клиента), Ломбард по своему усмотрению может объединить в одном лоте (предмете продажи; далее - лот) вещи, принятые по нескольким залоговым билетам (сохранным квитанциям), или разделить на несколько лотов вещи, принятые по одному залоговому билету (сохранной квитанции). <br>

В случае реализации лота, включающего имущество, принятое по нескольким залоговым билетам, сумма, вырученная при реализации каждого залога, определяется пропорционально доле, указанной в залоговом билете (сохранной квитанции) оценки этого залога в общей сумме соответствующих оценок вещей, входящих в лот. <br>

.6. После реализации невыкупленного (невостребованного) имущества, Ломбард из суммы, полученной при реализации, удовлетворяет свои требования к залогодателю, последовательно начисляя и взыскивая (удерживая) следующие суммы в пределах требований, возникающих из обязательств Клиента (ст.ст. 8, 13 Федерального Закона «О ломбардах»): <br>

а)плату за пользование займом (проценты по займу) за период с даты залога до установленной договором даты возврата займа; б)сумму выданного займа; в) неустойку (пени) за несвоевременное выполнение обязательств по возврату займа, за период со дня, следующего за установленной в залоговом билете датой возврата займа, до дня (включительно) даты реализации; <br>

г)другие обязательства, если они предусмотрены договором займа, в соответствии с законодательством РФ. <br>

.6.1. Если сумма начислений (удержаний) по пункту 5.6. настоящих Правил достигает суммы, вырученной при реализации, оставшиеся требования Ломбарда к Клиенту погашаются (не взыскиваются), а начисление неустойки (пеней) по подпункту в)прекращаются. <br>

.6.2. После реализации невостребованного имущества Клиент вправе при обращении в Ломбард получить денежные средства в размере разницы между вырученной при реализации суммой или суммой оценки имущества (большей из этих величин) и суммой требований Ломбарда (п. 5.6. настоящих Правил), а также расчет размера этих средств.

Указанная разница, не востребованная Клиентом в течение срока исковой давности (три года), обращается в доход Ломбарда, (ст. 13 Федерального Закона «О ломбардах»).<br>

.6.3. Начисленные (исчисленные) в порядке предусмотренном подпунктом в) п. 5.6. настоящих Правил, пени считаются признанными Клиентом . <br>

.Имущественные обязательства.<br>

.1.Ломбард несет полную материальную ответственность за утрату или повреждение имущества, принятого от Клиента, если не докажет, что утрата или повреждение произошли вследствие непреодолимой силы. <br>

.2.Ломбард обязуется за свой счет страховать имущество в полной сумме его оценки, указанной в залоговом билете (пункт 2.1.1. настоящих Правил). Клиент поручает Ломбарду при наступлении страхового случая получить от страховщика страховое возмещение и выплатить его Клиенту за минусом суммы требований Ломбарда на дату страхового случая, определенной в соответствии с условиями договора займа и настоящими Правилами. <br>

.3. Размер ущерба в случае повреждения имущества определяется по согласованию с Клиентом, если законодательством не предусмотрено иное. <br>

. Конфиденциальность информации.<br>

.1. Ломбард и его работники обязаны соблюдать конфиденциальность информации полученной при осуществлении деятельности Ломбарда от Клиента, (за исключением наименования, описания технических, технологических и качественных характеристик невостребованной вещи) в случае ее разглашения несут ответственность в порядке, установленном законодательством (ст. 3 Федерального закона «О ломбардах»). Ломбард дает третьим лицам информацию о Клиентах и сданных ими вещах в случаях прямо предусмотренных законодательством. <br>

. Прочие вопросы.<br>

.1.Вопросы взаимоотношений Клиента и Ломбарда, не урегулированные договором и/или настоящими Правилами, решаются Ломбардом с максимальным учетом пожеланий Клиента на условиях, соответствующих законодательству. <br>

.2. В случае противоречия отдельных положений настоящих Правил договору займа (хранения), действуют соответствующие условия договора займа (хранения). <br>

.3.В настоящие Правила могут вноситься изменения и дополнения, действие которых не распространяется на договоры, заключенные Клиентом с Ломбардом до внесения соответствующих изменений (дополнений). <br>

.4.В отдельных конкретных случаях, по письменному согласованию с Клиентом (по его обоснованной просьбе), Ломбард может применять иные Правила, не противоречащие законодательству. Решение об этом вправе принять руководитель организации или уполномоченное им лицо.<br>

</p>

</div>

Приложение Д

Листинг файла 3.php

<div id = "article">

<h1>Новости</h1>

<p>

<h4>16.12.2014 График работы в праздничные дни</h4>

<p>

Уважаемые сотрудники! График работы в праздничные дни.</br>

Декабря все офисы ломбардара ботают до 17.00</br>

,27,28 Декабря все офисы ломбарда работают в обычном режиме.</br>

,30,31 Декабря Выходные дни</br>

,2 Января Выходные дни</br>

с 3 Января офисы ломбарда работают в обычном режиме</br>

</p>

<h4>02.12.2014 Скоро-скоро он придет! Готовим подарки!</h4>

<p>

Лучший подарок на Новый год-это, конечно, изделия из натурального меха. И всем сотрудникам нашего ломбарда представляется скидка 40 % на шубы из натуральной норки.

А когда на таком ШИКАРНОМ подарке еще и можно сэкономить,это не может не радовать.

Большой выбор шуб из натуральной норки представлен в нашем офисе на ул.25 Сентября д.35. Приходите и забирайте шубку с 10.00 до 19.00.

</p>

<h4>04.11.2014  Продляем удовольствие от покупок!</h4>

<h4>24.10.2014 Внимание! «Золотая акция»!</h4>

<p>

Только до 04 ноября 2014 года приобретайте ювелирные изделия 585* по 1099 рублей за грамм!

</p>

</p>

<img src="images/gold.jpg" width="500px"></img>

</div>

Приложение Е

Листинг файла 4.php

<div id = "article">

<h1>Предоставление информации о системе вознаграждения всех работников ломбарда.</h1>

<p>   Уважаемые коллеги! С 1 сентября 2014 года и до 1 сентября 2015 года в нашей сети Ломбарда Первый Брокер действует система вознаграждения работников. </br>

Как стать лучшим работником месяца? Да очень просто!</br>

Каждый из вас ежедневно оформляет сделки. Чем больше сумма сделки с клиентом и количество самих сделок, тем для вас лучше. </br>

За каждую сделку получаем 7% процентов от ее суммы. Оформляем больше сделок, суммируем все и получаем результат. В конце каждого месяца подводим итоги. </br>

<ul>

<li>1 место - получает 12 000 рублей, как премиальные.</li>

<li>2 место - получает 6 000 рублей, как премиальные.</li>

<li>3 место - получает 3 000 рублей, как премиальные</li>

</ul>

</p>

<p>

сентября 2015 года все лучшие сотрудники за эти 12 месяцев могут побороться с друг другом за 4 путевки на Мальдивы, а кто это будет, узнаем через год!</br>

</p>

<img src="images/rewards.jpg"></img>

</div>

Приложение Ж

Листинг файла 5.php

<div id = "article">

<h1>Для новых сотрудников!</h1>

<p>   <b>Для вас задание:</b> в качестве тайного покупателя вы должны ходить по ломбардам конкурентов, делать залоги, после чего скидывать на почту руководителю отчёты с выводами о работе тамошних сотрудников. Через два дня после этого приглашаем вас на стажировку. Она длится три дня: этого времени достаточно, чтобы понять, стоит ли вам с нами работать. </br>

Далее - Обучение. Будущие сотрудники будут проходить обучение в специальном центре. При поступлении учеников делят на две группы: универсалы, которые должны оценивать золото и мелкую технику, и техники - оценщики всего, кроме ювелирных изделий. Подготовка техников, в которые, кстати, берут только мужчин, занимает меньше времени - всего три недели. За всё это время у нас не будет ни одного выходного дня: если нет занятий в центре, вы ходите на практику в ломбард. Изучаете огромное количество предметов: правила кредитования, 1С, юридические нормы, финансовый мониторинг, правила безопасности, оценку золота и техники.</br></br>

<b>ДАЖЕ ЕСЛИ ГРАБИТЕЛИ КОГО-ТО УБИВАЮТ ИЛИ БЕРУТ ЗАЛОЖНИКОВ,</br>

ТЫ НЕ ИМЕЕШЬ ПРАВА ОТКРЫВАТЬ ДВЕРЬ СЕЙФА!!!</b></br></br>

<img src="images/img.jpg"></img></br></br>

<h4>Правила поведения</h4>

<p>По большому счёту, Вам запрещено всё: можно только сидеть и работать. Нельзя читать, есть, решать кроссворды или лазить в интернете, нельзя использовать технику в своих целях. Нельзя хамить клиентам, но клиенты бывают разные, и с некоторыми нужно разговаривать так, чтобы они с опаской заходили в ломбард. Запрещено пользоваться залоговым имуществом.</br>

</p>

<p>Проверка украшения</br>

Ювелирные изделия проверяются реактивами, взятыми из Пробирной палаты. Делаем небольшой надпил в незаметном при носке месте и капаем реактив. Но мошенники тоже прогрессируют. Проверять нужно внимательно - для разных изделий разная методика. Если это цепь на 100 граммов, то пилить нужно глубоко, потому что 70 граммов могут оказаться какой-нибудь медью. </br>

Смотреть нужно очень внимательно, так как бриллианты бывают разные: искусственные, искусственно выращенные (муассаниты), леченые. С последними нужно быть особенно аккуратным. Леченый - это камень с трещиной, которую заполняют воздухом. Треснутые камни нужно разбивать и переогранивать на два-три мелких, что невыгодно производителям. Смотреть нужно не только на изделия, но и на клиентов: подозрительные люди выдают себя сами, требуют не проверять.</br>

</p>

<p>

Клиенты</br>

Шаткая экономическая ситуация - идеальное время для ломбарда. Клиенты бывают самые разные: от студентов до пенсионеров. Всё зависит от месторасположения ломбарда </br>

% клиентов, мягко говоря, не очень адекватные. Бывают скандалы, но куда без этого. И все они думают, что вам нужны их проблемы. Приходится выслушивать о сыновьях, невестках, зятьях и дележе наследства.

Вы улыбаясь, сочувствуете и говорите, что всё наладится. Они остаются довольны тем, что им не только денег дали, но и выслушали. Иные клиенты считают тебя добродетелем и носят шоколадки, мандаринки, косметику или одежду.</br>

</p>

</p>

</div>

Приложение З

Листинг файла 6.php

<?php include 'base.php'; ?>

<!doctype html>

<html lang='ru'>

<head>

<meta charset="utf-8">

<link rel="stylesheet" type="text/css" href="css/style.css">

<link href="css/bootstrap.min.css" rel="stylesheet" />

<script src="js/bootstrap.min.js"></script>

<title>Ломбард</title>

</head>

<?php_once('src/questions.php');

check_v($var, $value) {(isset($_POST[$var])) {

$v = $_POST[$var];($v == $value) {'checked';

}

}

}

check_s($var) {(isset($_POST[$var])) return $_POST[$var];

}($i = 0, $l = count($t); $i < $l; $i++) {

$error_a[$i] = false;

$error_b[$i] = false;

}

$access = true;

(isset($_POST['submit'])) {($i = 0, $l = count($t); $i < $l; $i++) {(!isset($_POST['ga'.$i])) {

$error_a[$i] = true;

$access = false;

}(!isset($_POST['gb'.$i])) {

$error_b[$i] = true;

$access = false;

}

}

($_POST['self'] == '' || $_POST['self'] < 0 || $_POST['self'] > 100) {

$access = false;

echo '<div id ="result"><h4>Вы не верно оценили себя (Максимальная оценка 100%)</h4></div>';

}

($access == true) {

$x = 0;

$b = count($t);

$self = $_POST['self'];($i = 0; $i < $b; $i++) if ($_POST['gb'.$i] < 0) $x++;

$z = ($b - $x);

($z != 0) {

$r = 0;($i = 0; $i < $b; $i++) {($_POST['ga'.$i] < 1) $m = 0; else $m = 1;($_POST['gb'.$i] > 0) $r += (2 * $_POST['gb'.$i] - $m) / 6;

}

$r = 100 * $r / $z;'<div id ="result"><h4>Результат: '.$r.'%</h4></div>';

$d = $r - $self;

if (abs($d) > 30) echo '<div id ="result"><h4>Вы не прошли тестирование!<br>Разница более чем 30%</h4></div>';

$query = 'INSERT INTO results (id_user, test, self) VALUES ('.$_SESSION['id'].', '.$r.', '.$self.')';_query($query);

} else echo '<div id ="result"><h4>Тест пройден не правильно.</h4></div>';

}

}

?>

<form method="post" action="index.php?publ=6">

<div class = "question">

<h4>

От чего зависит Ваша удовлетворенность трудом?</br>

Оцените, насколько перечисленные ниже факторы влияют на вашу удовлетворенность?</br>

</h4>

<h5>

A - Сильно влияет</br>

B - Влияет, но в меньшей степени</br>

C - Не влияет</br>

D - Затрудняюсь ответить</br>

</h5>

</div>

<div>

<div class="q">Факторы трудовой жизни</div>

<div class="left">

<div>Влияние на удовлетворенность</div>

<div>

<div>

<div>

<div>

<div>

</div>

<div>

</div>

<?php($i = 0, $l = count($t); $i < $l; $i++) {

'<div>

<div>

<div>

<input type="radio" name="ga'.$i.'" value="1" '.check_v('ga'.$i, 1).'>

<input type="radio" name="ga'.$i.'" value="0" '.check_v('ga'.$i, 0).'>

<input type="radio" name="ga'.$i.'" value="-1" '.check_v('ga'.$i, -1).'>

<input type="radio" name="ga'.$i.'" value="-2" '.check_v('ga'.$i, -2).'>

</div>

<div>

</div>';

}

?>

<br/>

<div class = "question">

<h4>

Оцените, насколько вы удовлетворены основными факторами трудовой жизни?</br>

</h4>

<h6>

A - Удовлетворен</br>

B - Скорее удовлетворен</br>

C - Скорее не удовлетворен</br>

D - Не удовлетворен</br>

E - Затрудняюсь ответить</br>

</h6>

</div>

<div>

<div class="q">Факторы трудовой жизни</div>

<div class="left">

<div>Влияние на удовлетворенность</div>

<div>

<div>

<div>

<div>

<div>

<div>

</div>

<div>

</div>

<?php($i = 0, $l = count($t); $i < $l; $i++) {

'<div>

<div>

<div>

<input type="radio" name="gb'.$i.'" value="3" '.check_v('gb'.$i, 3).'>

<input type="radio" name="gb'.$i.'" value="2" '.check_v('gb'.$i, 2).'>

<input type="radio" name="gb'.$i.'" value="1" '.check_v('gb'.$i, 1).'>

<input type="radio" name="gb'.$i.'" value="0" '.check_v('gb'.$i, 0).'>

<input type="radio" name="gb'.$i.'" value="-1" '.check_v('gb'.$i, -1).'>

</div>

<div>

</div>';

}

?>

<div class = "question"><h4>Насколько вы удовлетворены работой в нашей компании?</h4> <br/></div>

<div>

<div>

<div>

<div>

</div>

<div id ="buttom"><input type="submit" name="submit" value="Отправить"></div>

</form>

Приложение И

Листинг файла auth.php

<!doctype html>

<html lang='ru'>

<head>

<meta charset="utf-8">

<link rel="stylesheet" type="text/css" href="css/css.css">

<link href="css/bootstrap.min.css" rel="stylesheet" />

<script src="js/bootstrap.min.js"></script>

<title>Ломбард</title>

</head>

<body>

<div id = "auth">

<h1>Авторизация</h1>

<p>Спасибо за то, что пришли! Войдите или <a href="register.php">зарегистрируйтесь</a>.</p>

<form method="post" action="index.php" name="loginform" id="loginform">

<fieldset>

<label for="username">Логин:</label><br><input type="text" name="username" id="username"><br>

<label for="password">Пароль:</label><br><input type="password" name="password" id="password"><br><br>

<input type="submit" name="login" id="login" value="Войти">

</fieldset>

</form>

</div>

</body>

Приложение К

Листинг файла base.php

<?php_start();

$dbhost = "localhost"; // Адрес сервера MySQL. На локальном сервере этот параметр всегда будет 'localhost', но на хостинге он соответствует адресу хостера.

$dbname = "regi"; // Имя базы данных

$dbuser = "root"; // Пользователь базы данных

$dbpass = ""; // Пароль пользователя базы данных_connect($dbhost, $dbuser, $dbpass) or die("Ошибка MySQL: " . mysql_error());

mysql_select_db($dbname) or die("Ошибка MySQL: " . mysql_error());

?>

Приложение Л

Листинг файла enter.php

<?php // позволим пользователю войти на сайт

$username = mysql_real_escape_string($_POST['username']);

$password = md5(mysql_real_escape_string($_POST['password']));

$checklogin = mysql_query("SELECT * FROM users WHERE Username = '".$username."' AND Password = '".$password."'");(mysql_num_rows($checklogin) == 1)

{

$row = mysql_fetch_array($checklogin);

$email = $row['EmailAddress'];

$_SESSION['id'] = $row['UserID'];

$_SESSION['Username'] = $username;

$_SESSION['EmailAddress'] = $email;

$_SESSION['LoggedIn'] = 1;"<h1>Успех!</h1>"; "<p>Сейчас вы будете перенаправлены в закрытый раздел.</p>";

echo "<meta http-equiv='refresh' content='2;index.php?publ=1'>";

}

{ "<h1>Ошибка</h1>";

echo "<p>Прости, но мы не нашли такого аккаунта. Можешь <a href=\"index.php\">попробовать ещё раз</a>.</p>";

}

?>

Приложение М

Листинг файла navi.php

<div id ="navi">

<ul>

<li><a href="index.php?publ=1">О ломбарде</a></li>

<li><a href="index.php?publ=2">Для сотрудников</a></li>

<li><a href="index.php?publ=3">Новости</a></li>

<li><a href="index.php?publ=4">Система вознаграждения</a></li>

<li><a href="index.php?publ=5">Для новых сотрудников</a></li>

<li><a href="index.php?publ=6">Анкетирование</a></li>

<li><a href="logout.php">Выход</a></li>

</ul>

</div>

Приложение Н

Листинг файла register.php

<?php include "base.php"; ?>

<?php_start();'base.php';

?>

<!doctype html>

<html lang='ru'>

<head>

<meta charset="utf-8">

<link rel="stylesheet" type="text/css" href="css.css">

<link href="css/bootstrap.min.css" rel="stylesheet" />

<script src="js/bootstrap.min.js"></script>

<title>Ломбард</title>

</head>

<body>

<div id = "main">

<?php(!empty($_POST['username']) && !empty($_POST['password']))

{

// позволим пользователю зарегистрироваться

$username = mysql_real_escape_string($_POST['username']);

$password = md5(mysql_real_escape_string($_POST['password']));

$email = mysql_real_escape_string($_POST['email']);

$checkusername = mysql_query("SELECT * FROM users WHERE Username = '".$username."'");(mysql_num_rows($checkusername) == 1)

{

echo "<h1>Ошибка</h1>";

echo "<p>Извините, такое имя пользователя уже используется. Вернитесь назад и попробуйте снова.</p>";

}

{

{ "<h1>Успех!</h1>";

echo "<p>Ваша учётная запись создана. <a href=\"index.php\">Авторизуйтесь</a>.</p>";

}

{ "<h1>Ошибка</h1>";

echo "<p>Мы не смогли вас зарегистрировать. Вернитесь назад и попробуйте снова.</p>";

}

}

}

else

{

?>

<h1>Регистрация</h1>

<p>Пожалуйста заполните несколько полей ниже.</p>

<form method="post" action="register.php" name="registerform" id="registerform">

<fieldset>

<label for="username">Логин:</label><input type="text" name="username" id="username"><br>

<label for="password">Пароль:</label><input type="password" name="password" id="password"><br>

<label for="email">Email:</label><input type="text" name="email" id="email"><br>

<input type="submit" name="register" id="register" value="Зарегистрироваться">

</fieldset>

</form>

<?php

} ?>

</div>

</body>

</html>

Приложение О

Листинг файла questoins.php

<?php

$t[0] = 'Условия труда';

$t[1] = 'Режим труда, график работы';

$t[2] = 'Содержание труда, сама работа';

$t[3] = 'Уровень заработной платы';

$t[4] = 'Зависимость оплаты труда от результатов работы';

$t[5] = 'Моральная мотивация';

$t[6] = 'Соблюдение работодателем социальных гарантий, предусмотренных законодательством';

$t[7] = 'Социальный пакет';

$t[8] = 'Транспортная доступность, удаленность от дома';

$t[9] = 'Отношение непосредственного руководства';

$t[10] = 'Атмосфера в коллективе, отношение с коллегами';

$t[11] = 'Возможность карьерного роста';

$t[12] = 'Возможность пройти обучение';

$t[13] = 'Престижность работы в ООО Ломбард Первый Брокер, его имидж';

$t[14] = 'Корпоративная культура в компании';

$t[15] = 'Политика, стратегия компании';

?>


Не нашли материал для своей работы?
Поможем написать уникальную работу
Без плагиата!
Без нейросетей!