Нейтронно-физический расчет реактора на тепловых нейтронах
Министерство
образования и науки Российской Федерации
Федеральное
государственное автономное образовательное учреждение
высшего
образования
«НАЦИОНАЛЬНЫЙ
ИССЛЕДОВАТЕЛЬСКИЙ
ТОМСКИЙ
ПОЛИТЕХНИЧЕСКИЙ УНИВЕРСИТЕТ»
Институт
- Физико-технический
Направление
- Ядерные физика и технологии
Кафедра
- Электроника и автоматика физических установок
Специальность
- Электроники и автоматики физических установок
Нейтронно-физический
расчет реактора на тепловых нейтронах
Курсовой
проект по курсу
«Ядерные
реакторы»
Студент гр. 0712
А.Е. Столповский
Руководитель
Ю.Б. Чертков
Томск
- 2015
ЗАДАНИЕ
Провести нейтронно-физический и
теплогидравлический расчёт уран-графитового реактора в соответствии с вариантом
задания.
Исходные данные к расчёту:
|
Мощность реактора, МВт
|
2200
|
|
Тип реактора
|
УГР
|
|
Теплоноситель
|
H2O
|
|
Топливо
|
UN
|
|
Обогащение топлива, %
|
2,3
|
|
Плотность топлива, г/см3
|
12,9
|
|
Материал оболочки
|
Zr + 2% Nb
|
|
Температура теплоносителя: на
входе на выходе
|
255 290
|
Вопросы,подлежащие рассмотрению:
особенности конструкции заданного реактора;
тепловыделяющие элементы ЯР;
ядерно-топливные материалы;
материалы оболочек ТВЭЛов;
топливные кассеты и сборки.
РЕФЕРАТ
Курсовой проект 61 с., 4 табл., 3 источника.
УГР, ТВЭЛ, ТВС, АКТИВНАЯ ЗОНА, ТОПЛИВО,
МИКРОСЕЧЕНИЕ, МАКРОСЕЧЕНИЕ, КОЭФФИЦИЕНТ РАЗМНОЖЕНИЯ, ОТРАВЛЕНИЕ РЕАКТОРА,
РЕАКТИВНОСТЬ, ОРГАНЫ РЕГУЛИРОВАНИЯ, ТЕМПЕРАТУРНЫЙ ЭФФЕКТ РЕАКТИВНОСТИ,
ВЫГОРАНИЕ ТОПЛИВА.
Темой данного курсового проекта является
нейтронно-физический расчёт реактора на тепловых нейтронах.
Целью данного курсового проекта является
нейтронно-физический и теплогидравлический расчет реактора на тепловых
нейтронах.
Основная задача нейтронно-физического расчёта
реактора состоит в физическом обосновании конструкции и определении
совокупности физических параметров реактора, удовлетворяющего поставленным
требованиям.
В данном курсовом проекты был произведён обзор
литературы по указанному типу реактора, а также по элементам, входящим в состав
активной зоны. В ходе работы были проработаны все вопросы, указанные в задании.
Результатом являются расчёты всех необходимых параметров для реактора при
исходных данных.
СОДЕРЖАНИЕ
Введение
. Особенности
уран-графитового реактора с водяным теплоносителем
.1
Общие характеристики реактора РБМК
.2
Конструкция активной зоны РБМК
.3
Тепловыделяющие элементы РБМК
.4Ядерно-топлмвные
материалы
.5Материалы
оболочек и ТВЭЛов
.6
Топливные кассеты и сборки
_Toc4353729772. Предварительный тепловой
расчёт
.1Предварительный
расчёт
2.2Ядерно-физические
характеристики «холодного» реактора
.3Микро-
и макросечения для «холодного» реактора
.4Расчёт
коэффициента размножениядля бесконечной среды
.5Расчёт
эффективного коэффициента размножения
.6Температурные
эффекты реактивности
.7
Расчёт коэффициента размножения для бесконечной среды «горячего» реактора
.8Расчёт
эффективного коэффициента размножения «горячего» реактора
.9Предварительный
расчёт системы органов регулирования
. Параметры
нестационарных и переходных процессов
.1
Эффекты реактивности при отравлении реактора
.2Расчёт
нуклидного состава и характеристик, связанных с выгоранием топлива
Заключение
Список
литературы
ВВЕДЕНИЕ
реактор нейтрон нуклидный тепловой
Атомная энергетика - сравнительно новая область
получения энергии, использующая ядерное топливо. Запасы ядерного топлива в мире,
с учётом его расширенного производства, достаточно велики. АЭС могут быть
построены практически в любом месте, поскольку для обеспечения их работы не
требуется большого количества топлива. АЭС не нуждаются в потреблении кислорода
из атмосферы и практически не загрязняют окружающую среду токсичными
веществами. Сточные воды, газы и аэрозоли подвергаются специальной очистке,
обеспечивается надёжное захоронение радиоактивных отходов.
Основная задача нейтронно-физического расчета
реактора состоит в физическом обосновании конструкции и определении
совокупности физических параметров реактора, удовлетворяющего поставленным
требованиям.
Выбрав конструктивную схему реактора, с учетом
требований задания, необходимо далее провести оценочный тепловой расчет, в
результате которого определяются размеры активной зоны.
Главная искомая величина в физическом расчете -
коэффициент размножения, расчет которого должен быть произведен в нескольких
вариантах: для «холодного» реактора, для «горячего» реактора, для реактора в
конце компании. Расчетные варианты отличаются температурными условиями и
составом ядерного топлива, изменившегося в результате его выгорания и
воспроизводства делящегося материала.
В ходе курсового проектирования требуется
оценить число поглощающих стержней, необходимых для управления ядерной
энергетической установкой.
Также выполняется определение эффектов
реактивности при отравлении реактора и в заключении проводится расчет
нуклидного состава и характеристик, связанного с выгоранием топлива,
образованием продуктов деления и актинидов.
Целью данной работы является расчет ряда
перечисленных параметров и анализ полученных результатов.
1. ОСОБЕННОСТИ УРАН-ГРАФИТОВОГО РЕАКТОРА С
ВОДЯНЫМ ТЕПЛОНОСИТЕЛЕМ
.1 Общие характеристики реактора РБМК
Ядерный энергетический реактор РБМК является
гетерогенным канальным реакторов на тепловых нейтронах, в котором в качестве
замедлителя используется графит. Теплоноситель - кипящая легкая вода -
циркулирует по вертикальным каналам, пронизывающим кладку активной зоны. Этот
тип реактора является дальнейшим развитием уран-графитовых реакторов в СССР.
В таблице 1 даны важнейшие характеристики
канальных уран-графитовых реакторов [1].
Таблица 1 - Характеристики канальных
уран-графитовых реакторов
|
Параметр
|
РБМК-1000
|
РБМК-1500
|
РБМКП-2400
|
|
Мощность, МВт: электрическая
тепловая
|
1000 3200
|
1500 4800
|
2400 6500
|
|
Параметры пара перед турбиной:
давление, кгс/см2 температура, оС
|
65 280
|
65 280
|
65 450
|
|
Размеры активной зоны, м: диаметр
(длина × ширина) высота
|
11,8 7
|
11,8 7
|
25×7 7
|
|
Число рабочих каналов:
испарительных пароперегревательных
|
1693 -
|
1661 -
|
- 2880
|
|
Загрузка урана, т
|
192
|
189
|
220
|
|
Среднее обогащение урана %: в
испарительном канале в пароперегревательном канале
|
18, - 2,0 -
|
2,0 -
|
2,4 3,0
|
|
Среднее выгорание, МВт·сут/кг: в
испарительном канале в пароперегревательном канале
|
22,5 -
|
25,4 -
|
20,2 18,9
|
|
Материал оболочки ТВЭЛов:
испарительный канал пароперегревательный канал
|
Цирконий
|
Цирконий
|
Цирконий Нерж. сталь
|
К основным достоинствам канальных реакторах
относили отсутствие трудоёмкого и дорогостоящего корпуса, возможность
наращивания мощности путем пристройки новых графитовых блоков без изменения
конструкций других узлов, а также возможность заменыотработавших
тепловыделяющих элементов новыми без остановки реактора.
Наряду с достоинствами реакторы РБМК имеют
некоторые недостатки. Поскольку в реакторах РБМК охлаждающая вода
непосредственно из активной зоны попадает в парогенератор и в турбину, то их
называют одноконтурными. А в одноконтурных реакторах не исключена вероятность
попадания радиоактивных веществ в воду, турбогенератор, а также другие объекты
станции при аварийной разгерметизации трубопроводов. Кроме того, для реакторов
РБМК ввиду большей длины активной зоны, большого объема графитовой кладки и
некоторых других факторов характерна неравномерность распределения нейтронов по
высоте и объему, а, следовательно, неравномерность тепловыделения. Это в
совокупности с особенностями изменения замедляющих свойств паровоздушной смеси
в процессе работы приводит к некоторой неустойчивости работы реакторов.
.2 Конструкция активной зоны РБМК
Активная зона имеет форму вертикального цилиндра
диаметром 11,8 и высотой 7 м. Она окружена боковым отражателем толщиной 1 м и
торцевыми отражателями толщиной по 0,5 м. В состав активной зоны входят ТВЭЛы,
замедлитель, теплоноситель, технологические каналы, стержни - поглотители
нейтронов (стержни управления) [1].
Реактор РБМК представляет собой графитовую
кладку, заключенную с кожух и опирающуюся на сварные металлоконструкции,
которые вместе с кожухом образуют герметическую полость, заполненную смесью
гелия и азота. На рисунке 1 представлен фрагмент графитовой кладки и
конструкции реакторного пространства.
Рисунок 1 - Фрагмент графитовой кладки и
конструкции реакторного пространства: 1 - графитовые блоки; 2 - графитовые
стержни; 3 - колонна активной зоны; 4 - колонны отражателя; 5 - периферийная
колонна отражателя; 6 - опорные плиты; 7 - опорные стаканы; 8 - защитные плиты;
9 - фланцы; 10 - направляющие патрубки; 11 - теплозащитные экраны
Кладка состоит из отдельных колонн, собранных из
графитовых блоков с цилиндрическими отверстиями. В отверстиях колонн
установлено 1700 топливных каналов, которые проходят через патрубки-тракты,
вваренные в верхнюю и нижнюю металлоконструкции реактора. Центральная часть
каналов (труба наружным диаметром 88 мм с толщиной стенки 4 мм) выполнена из
сплава Zn + 2,5% Nb, а верхняя и нижняя части - из нержавеющей стали.
На центральную часть канала для отвода тепла из
кладки к теплоносителю надеты графитовые кольца, выполненные таким образом, что
половина из них плотно насажена по наружному диаметру канала, а другая половина
при загрузке канала плотно вводится в отверстие графитовой кладки. Кольца обоих
типов чередуются. В топливные каналы через верхние отверстия загружаются и
уплотняются кассеты с двумя ТВС. Каждая ТВС состоит из 18 ТВЭЛов стержневого
типа, представляющих собой трубку из циркониевого сплава (Zr + 1% Nb),
заполненную таблетками двуокиси урана [2].
Теплоноситель подается снизу в каждый
технологический канал. Экономайзерный участок канала, на котором вода
нагревается до температуры насыщения, имеет высоту около 2,5 м от низа активной
зоны. На остальной ее части имеет место процесс развитого кипения.
Каналы системы контроля и управления
располагаются так же, как и технологические, в центральных отверстиях
графитовых колонн кладки. Стержни СУЗ функционально разделены на группы,
обеспечивающие радиальное регулирование поля энерговыделения, автоматическое
регулирование среднего уровня мощности, аварийное прекращение цепной реакции и
регулирование поля энерговыделения по высоте. Стержни первых трех групп
выводятся из активной зоны верх, укороченные стержни-поглотители четвертой
группы выводятся вниз.
Для охлаждения каналов и стержней используется
автономный водяной контур с насосно-теплообменной установкой. Вода движется в
каналах сверху вниз и омывает наружную и внутреннюю поверхность оболочек
поглощающих стержней.
Распределение нейтронного поля по объему
активной зоны контролируется с помощью системы физического контроля. Для этой
цели в 12 каналах равномерно распределенных в центральной части активной зоны,
размещаются датчики контроля за полями энерговыделения по высоте. Для контроля
за распределением энерговыделения по радиусу реактора используются β-эммисионные
датчики, которые установлены в герметичных полостях центральных несущих трубок
тепловыделяющих кассет. В кладке реактора в узлах стыка графитовых блоков
имеется 20 вертикальных отверстий, в которых установлены каналы с трехзонными
термопарами для контроля за температурой графита [1].
1.3 Тепловыделяющие элементы РБМК
ТВЭЛы - наиболее ответственные элементы
энергетического реактора. Конструкция и материалы ТВЭЛов должны обеспечивать их
надежную работу при высоких плотностях энерговыделения; при больших глубинах
выгорания ТВЭЛы также выполняют функции барьеров безопасности, предотвращающих
выход высокоактивных продуктов деления в теплоноситель [2].
На рисунке 2 изображен ТВЭЛ РБМК-1000.
Рисунок 2 - ТВЭЛ РБМК-1000: 1 - пробка; 2 -
оболочка; 3 - топливная таблетка; 4 - шайба прижима; 5 - пружина; 6 - втулка; 7
- наконечник
ТВЭЛ представляет собой трубку наружным
диаметром 13,6 мм с толщиной стенки 0,9 мм из циркониевого сплава, заполненную
таблеткам диаметром 11,5 мм из двуокиси урана плотность до 10,5 г/см3 с
обогащением 1,8 или 2% 235U. Внутренняя полость ТВЭЛа при изготовлении
заполняется смесью аргона и гелия и герметизируется электронно-лучевой сваркой
[1].
.4 Ядерно-топливные материалы
Топливные материалы содержат делящиеся нуклиды
(233U, 235U, 239Pu) или нуклиды, используемые для воспроизводства делящихся
нуклидов (232Th, 238U). В состав всех топливных материалов входит уран, торий
или плутоний, их сплавы или соединения. Наиболее распространенные металлический
уран, двуокись, монокарбид и мононитрид урана.
Металлическое урановое топливо наиболее выгодно,
так как при большом содержании элемента с делящимся нуклидом, высокой плотности
и хорошей теплопроводности оно позволяет получать большую энергонапряженность в
активной зоне. Однако ряд присущих ему серьезных недостатков (малые допускаемые
выгорания, ограничения по рабочей температуре, интенсивное коррозионное
взаимодействие) приводит к тому, что металлическое топливо имеет ограниченное
применение.
Для преодоления указанных недостатков применяют
легирование урана железом, кремнием, алюминием, молибдена, цирконием, ниобием,
хромом, а также соответствующую термообработку.
В последние годы в энергетических реакторах
широко используют керамическое ядерное топливо. Двуокись урана обладают высокой
температуростойкостью (Тплав = 2800оС) и высокой радиационной стойкостью.
Недостатком двуокиси урана является меньшая по
сравнению с металлическим топливом плотность и процентное содержание урана, чрезвычайно
низкая теплопроводность.
Для ядерных реакторов с газовым и
жидкометаллическим теплоносителем могут быть использованы карбид урана UC2 и
монокарбид урана UC. Особенно перспективным является монокарбид урана, имеющий
высокую температуру плавления, большую плотность атомов делящегося вещества,
хорошую стабильность и достаточно высокую теплопроводность по сравнению с UC2.
Недостатком монокарбида урана является высокая
хрупкость и меньшая химическая устойчивотсть особенно при повышенных
температурах. Перспективным ядерным топливом для высокотемператуных реакторов
является мононитрид урана, который по своим ядерно-физическим свойствам
превосходит UО2 и UC[2].
Нитрид урана и другие нитридные соединения
обладают большей, чем диоксид урана, теплопроводностью, и это существенно
благоприятнее повлияет на работу твэлов и всю активную зону реактора. А значит,
позволит увеличить мощность и КПД реактора без серьезных конструктивных
изменений.
.5 Материалы оболочек ТВЭЛов
Так как оболочки ТВЭЛов работают в наиболее
трудных условиях при одновременном длительном воздействии высоких температур и
полей облучения, тепловых потоков, давления, коррозионного действия
теплоносителя, топлива и продуктов деления, к ним предъявляют жесткие
требования:
малое сечение поглощения нейтронов;
механическая прочность и неизменность формы под
действием температурного и радиационного воздействия;
высокая теплопроводность;
коррозионная и эрозионная стойкость в
теплоносителе и совместимость с ядерным топливом.
Толщину оболочки выбирают, исходя из условий
обеспечения достаточной прочности. Она составляет от 0,2 до 0,4 мм для стальных
и от 0,4 до 0,8 мм для циркониевых и алюминиевых оболочек.
Цирконий имеет малое сечение поглощения тепловых
нейтронов, высокую температуру плавления, малую плотность, невысокий
коэффициент расширения и хорошие пластические свойства. К недостаткам следует
отнести трудность его получения в чистом виде, малую коррозионную стойкость в
воде при температурах от 300 до 400оС.
Широкое распространение получил циркалой-2. Данный
сплав содержит олово, железо, хром и никель. Циркалой-2 коррозионностоек в воде
при температурах от 320 до 360оС.
В отечественном реакторостроении используется
сплав циркония с 1% ниобия, сплав циркония с 2,5% ниобия, сплав циркония с 0,5%
вольфрама.
Нержавеющие стали обладают высокой механической
прочностью, коррозионной стойкостью, хорошими технологическими свойствами.
Наибольшее распространение получили хромоникелевые нержавеющие стали ОХ18Н9Т и
1Х18Н9Т. Нержавеющая сталь надежно и длительно работает в воде при температурах
до 400оС.
Стали показали хорошую совместимость с
различными видами ядерного топлива [2].
.6 Топливные кассеты и сборки
Для загрузки в реакторы в большинстве случаев
ТВЭЛы объединяют в ТВС. Объединение ТВЭЛов в ТВС значительно упрощает и
удешевляет загрузку и выгрузку топлива в реакторах.
К функциям ТВС относятся закрепление и
дистанцированиеТВЭЛов. При конструировании ТВС необходимо обеспечить надежное
крепление ТВЭЛов, сохранение требуемых зазоров между ними и в то же время возможность
расширения при нагреве в любых заданных режимах работы реактора.
Кассета РБМК, изображенная на рисунке 3, состоит
из двух ТВС, в каждой из которых размещено 18 стержневых ТВЭЛов, расположенных
по двум окружностям вокруг центрального стержня.
Рисунок 3 - ТВС реактора РБМК: 1 - подвеска, 2 -
штифт, 3 - переходник, 4 - хвостовик, 5 - ТВЭЛ, 6 - несущий стержень, 7 -
втулка, 8 - наконечник, 9 - гайки
ТВЭЛы набраны из таблеток двуокиси урана в
оболочке из сплава циркония с ниобием с отверстиями для прохода наконечников
ТВЭЛов и для прохода теплоносителя. Второй конец ТВЭЛов имеет возможность
свободно расширяться при нагреве и необратимом росте при облучении в реакторе.
ТВЭЛы крепятся с помощью втулок, обжимаемых на фигурном наконечнике ТВЭЛа.
. НЕЙТРОННО ФИЗИЧЕСКИЕ ПАРАМЕТРЫ КРИТИЧЕСКОГО
СТАЦИОНАРНОГО РЕАКТОРА
.1 Предварительный расчет
Схема расчёта реактора на тепловых нейтронах
начинается с предварительной оценки размеров активной зоны, которые обеспечили
бы нужный теплосъём при заданной мощности аппарата.
Перед расчётом реактора необходимо выбрать
рабочие параметры:
. Шаг решетки - a = 25 см.
. Внешний радиус ТВЭЛ - RТВЭЛ = 0,68 см.
. Толщина оболочки - dоб
= 0,09 см.
. Радиус ТК - RТК = 4,4 см.
. Количество ТВЭЛ - n = 18.
. Размер ячейки под ключ - 28 см.
. Материал оболочки Zr +Nb2%
Исходя из требуемой мощности реактора, размеры
активной зоны можно оценить следующим образом:
|
,
|
|
где- заданная мощность реактора, кВт. По заданию
составляет 2200 МВт;
- средняя объемная нагрузка
заданного типа реактора, кВт/л. Для уран-графитового реактора с водяным
теплоносителем выбрана равной 4 кВт/л;
- коэффициент, учитывающий
увеличение объема реактора вследствие размещения регулирующих стержней. Принят
равным 1,2.
Подставляя численные значения,
получим:
.
Диаметр активной зоны можно оценить
по следующей формуле:
|
,
|
|
где- отношение высоты к диаметру, выбранное
равным 0,9.
Высота активной зоны при этом составит:
|
.
|
|
В данном случае, получаем следующие значения
размеров:
,
.
Оценим максимальную удельную
объемную нагрузку активной зоны по формуле:
|
,
|
|
где
- объемный коэффициент
неравномерности тепловыделения, принятый равным 2.
То есть получаем:
.
Максимально допустимая тепловая
нагрузка может быть оценена по следующей формуле:
|
,
|
|
где
- площадь сечения ячейки;
- размер ячейки «под ключ».
- периметр тепловыделяющей
поверхности одного ТВЭЛа
где
- радиус ТВЭЛ.- число ТВЭЛов в
кассете.
Поставляя численные значения,
получим:
.
Необходимая для отвода тепла
скорость теплоносителя в максимально напряженном ТВЭЛе определится при этом
следующим образом:
|
,
|
|
где
- осевой коэффициент
неравномерности, выбранный равным 1,5;
- удельный вес теплоносителя (воды)
при рабочих параметрах и давлении, составляет 0,87 г/см3;- площадь сечения
прохода теплоносителя, приходящаяся на один элемент;
- разность теплосодержания
теплоносителя на выходе, определяемая выражением:
|
,
|
|
где
- теплоемкость воды (в заданных
условиях средней температуры 280˚С и давления 7,5 МПа), равная1,37
ккал/(кг˚С);
- температура теплоносителя на
выходе из активной зоны, равная по заданию 290˚С;
- температура теплоносителя на
входе в активную зону, равная по заданию 255˚С.
Подставляя заданные значения
температур и теплоемкости, получим:
,
тогда,
.
Полученное значение скорости
прокачки теплоносителя не превосходит предельного допустимого значения в 10
м/с.
.2 Ядерно-физические характеристики
«холодного» реактора
Поскольку ячейка реактора состоит из
нескольких зон с различными ядерными свойствами, необходимо рассчитать
нейтронно-физические характеристики (сечения взаимодействия, замедляющие
свойства) для каждой зоны (горючее - UN, оболочка - Zr+2% Nb,
теплоноситель/замедлитель - H2O).
Вычисление ядерных концентраций
производят для каждого элемента активной зоны и отражателя.
Ядерная концентрация i-го элемента
находится по формуле:
- весовая концентрация i-го
элемента, г/см3;- атомный вес i-го элемента.
Расчет концентрации топлива
,
- молярная масса молекулы UN.
12.9 г/см3 (по заданию).
,
Расчет концентрации отдельных
элементов, входящих в состав топлива, осуществляется следующим образом:
-величина обогащения изотопом U235 (по заданию
С5 = 2.3 %);
Расчет концентрации оболочки
Состав оболочки ТВЭл следующий: цирконий 98 %,
ниобий 2 %. Соответственно произведен расчет концентрации каждой компоненты,
входящей в состав сплава:
= 6,4 г/см3- плотность оболочки (по
заданию).
Расчет концентрации теплоносителяи
замедлителя
Теплоносителемв данном ядерном
реакторе служит вода. Замедлителем - графит.
.3 Расчет микро- и макросечений для «холодного»
реактора
Необходимость обработки сечений связана с тем,
чтоих значения, приведенные в справочниках, относятся к энергии нейтронов E =
0,0253 эВ соответствующей при распределении нейтронов по спектру Максвелла
наиболее вероятной скорости v= 2200 м/с.
При физико-нейтронных расчетах все поперечные
сечения должны быть отнесены к средней скорости нейтронов. Следует отметить,
что Максвелловский спектр тепловых нейтронов постепенно переходит в спектр
замедляющихся нейтронов при температуре 293 К при энергии примерно равной E =
0,2 эВ, которая называется "энергией сшивки".
В реальных средах распределение тепловых
нейтронов не совпадает в точности с распределением Максвелла, поскольку имеет
место поглощение тепловых нейтронов (спектр сдвинут в область больших энергий).
Для удобства расчетов в теории реакторов
принято, что тепловые нейтроны распределены по спектру Максвелла, но имеют
более высокую эффективную температуру (температура нейтронного газа - ТНГ),
которая превышает температуру замедлителя. Поперечные сечения поглощения и
деления, отнесенные к средней скорости тепловых нейтронов, определяются по формуле:
,
,
где
- табличные значения сечений;, ff -
поправочный коэффициент f , учитывающий отклонение сечения поглощения и деления
от закона 1/v2.
Микроскопические сечения рассеяния
практически не зависят от энергии тепловых нейтронов, поэтому непосредственно
можно воспользоваться для них табличными данными. Макроскопические поперечные
сечения вычисляются следующим образом:
Σi=
; причем
;
Замедляющую способность вещества
можно оценить по соотношению
ξΣsi=
,
где ξi- логарифмический
декремент,
.
В тепловых реакторах температура
нейтронного газа превышает температуру среды на 50-100°C. При расчете холодного
реактора можно принимать температуру нейтронного газа в пределах от 350 до 400
К.
Примем температуру нейтронного газа:
Тnгаза = 400 К
Макросечения для воды
Для воды вышеуказанные формулы
непригодны для расчетов из-за сильной химической связи между атомами водорода и
кислорода в молекуле, поэтому берем экспериментально измеренные значения:
Микро- и макросечения для U235
Из таблицы “Функции отклонения от
закона 1/v2 для U235” :
бн;
бн
Микро- и макросечения для U238
Микро- и макросечения для азота
Микро- и макросечения для UN
Микро- и макросечения для сплаваZr+Nb

Микро- и макросечения для замедлителя
Доли материалов в ячейке
Площадь конструкционных материалов определяется
по формуле:
Где:
- внешний радиус ТВС,
- внутренний
радиус ТВС,
- внешний
радиус ТВЭЛ,
- внутренний
радиус ТВС.
Топливная таблетка имеет радиус:
где 0,01 см ‒ зазор между
топливной таблеткой и стенкой твэл. Объем зазора необходим для компенсации
разности термических расширений сердечника и оболочки. Так же этот объем
компенсирует увеличение объема при работе.
Площадь одной топливной таблетки:
Площадь, занимаемая теплоносителем,
приходящаяся на один ТВЭЛ, определяется по формуле:
Площадь, занимаемая замедлителем:
Доли материалов в относительных
единицах:
Доля замедлителя:
Доля теплоносителя:
Доля топлива:
Доля конструкционных материалов:
Таблица 2 -Данные расчетов
|
Мате-риал
|
Ai, г/моль
|
gi, г/см3
|
Ni, яд/см3
|
bi, см2
|
xSs, см-1
|
Микросечение, бн
|
Макросечение, см-1
|
|
|
|
|
|
|
sa
|
sf
|
ss
|
str
|
Sa
|
Sf
|
Ss
|
Str
|
|
UN
|
252
|
12,9
|
3,08 1022
|
0,028
|
4,36 10-2
|
499,488
|
422,72
|
33,8
|
532,75
|
0,4555
|
0,2997
|
0,5839
|
1,0242
|
|
U235
|
235
|
--
|
7,09 1020
|
--
|
9,04 10-5
|
496,076
|
422,72
|
15,00
|
511,03
|
0,3518
|
0,2997
|
1,06 10-2
|
0,3624
|
|
U238
|
238
|
--
|
3,01 1022
|
--
|
2,23 10-3
|
2,05
|
--
|
9,00
|
11,025
|
6,18 10-2
|
--
|
0,2711
|
0,3321
|
|
N
|
14
|
--
|
3,08 1022
|
--
|
4,12 10-2
|
1,362
|
--
|
9,8
|
10,695
|
0,042
|
--
|
0,3021
|
0,3297
|
|
H2O
|
18
|
1
|
3,35 1022
|
0,034
|
1,35
|
--
|
--
|
--
|
--
|
0,0221
|
--
|
2,67
|
2,31
|
|
Zr
|
91
|
--
|
4,14 1022
|
--
|
5,6 10-3
|
0,136
|
--
|
6,2
|
6,274
|
5,64 10-3
|
--
|
0,2567
|
0,2598
|
|
Nb
|
93
|
--
|
8,3 1020
|
--
|
1,15 10-4
|
0,832
|
--
|
6,5
|
7,267
|
6,9 10-4
|
--
|
5,39 10-3
|
6 10-3
|
|
Сплав
|
--
|
6,4
|
--
|
0,0016
|
5,71 10-3
|
0,968
|
--
|
12,7
|
13,541
|
6,33 10-3
|
--
|
0,2621
|
0,2658
|
|
C
|
12
|
1,75
|
8,78 1022
|
0,9104
|
6,52 10-2
|
0,003
|
--
|
4,7
|
4,442
|
2,66 10-4
|
--
|
0,4127
|
0,39
|
.4 Расчет коэффициента размножения для
бесконечной среды
Коэффициент размножения для бесконечной среды
определяется как произведение четырёх сомножителей:
,
где η- коэффициент
размножения тепловых нейтронов в горючем;
ε - коэффициент размножения на
быстрых нейтронах;
φ- вероятность избежать
резонансного захвата;
θ- коэффициент использования
тепловых нейтронов.
Для расчёта
вычисляется
каждый сомножитель .
Расчёт η
Так как топливо применяется в виде
сплава, то ηнеобходимо
рассчитать по следующей формуле:
,
= 2,416 - число нейтронов, которое
испускается при одном акте деления;
.
Расчёт ε
При расчёте величины εиспользуем
формулу Батя-Цыганкова:
,
- коэффициент размножения на быстрых
нейтронах для одиночного блока
,
где Р= 0,08 - вероятность того, что
быстрый нейтрон испытывает какое-либостолкновение с ядром U
;
-пористость
блока по U
.
где N08 - число ядер U238 в 1 см3
естественного урана; N8- число ядер U238 в 1 см3 блока.
,
где
- доля U235 в природном уране;
- плотность
природного урана;
- число
Авогадро;
- атомный
вес U238.
,
= 1,19 - максимально возможное
.
- отношение числа атомов водорода к
U238 в активной зоне.
,
Расчет θ
Реальная ячейка заменяется
эквивалентной ячейкой с одним фиктивным цилиндрическим блоком. Фиктивный блок
образуется путем гомогенизации всего содержимого рабочего канала (ядерное
горючее, конструкционные материалы, теплоноситель).
Ячейка УГР представляет собой ТВС с
размещенными внутри ТВЭЛами. ТВЭЛы образуют тесную решетку, в связи с этим
ячейку нельзя гомогенизировать, т.к. найденные значения
и
не будут
соответствовать действительности. Для расчета
в качестве элементарной ячейки,
которая впоследствии гомогенизируется, берется один твэл, окруженный водой.
Расчет
в этом
случае ведут в два этапа. Сначала определяют величину
отношение
числа тепловых нейтронов, поглощенных в фиктивном блоке, к общему числу
поглощенных тепловых нейтронов:
‒ коэффициент экранирования:
- фактор, учитывающий избыточное
поглощение нейтронов в замедлителе:
Радиус фиктивного блока:
где
- радиус технологического канала и
ширина его оболочки.
Площадь фиктивного блока:
Площадь замедлителя:
,
Сечения, усредненные по фиктивному
блоку:
см2,
Затем рассчитывают коэффициент
использования тепловых нейтронов:
- коэффициент использования
тепловых нейтронов внутри фиктивного блока:
,
,
.
Расчет φ
В энергетических реакторах, как
правило, применяются сборки ТВЭЛов, которые состоят из нескольких блоков
ядерного горячего. Для ячейки со стержневыми блоками
φ=
ξΣзам, ξΣф
-замедляющая способность замедлителя и фиктивного блока; зам,Sф - площадь
замедлителя и фиктивного блока;
=0,58см- радиус топливной таблетки;
Кт- температурный коэффициент;=18 -
число стержней в пучке;радиус пучка;
ε1= 0,6284- пористость блока по
урану-238.
Коэффициент Кт имеет вид:
,
ТU = 400 К- средняя температура
урана.
,
,
= 4,4 см;
см,
см-1
Находим коэффициент размножения для
бесконечной среды:
.
.5 Расчет эффективного коэффициента
размножения
Эффективный коэффициент размножения
реактора рассчитывается по формуле:
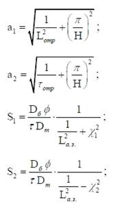
‒ длина диффузии, которая
определяется по формуле:
.
Подставляя значения, получим:
‒ возраст нейтронов в решетке,
определяется по формулеФейнберга:
где t1 = 364 см2 - возраст
нейтронов в чистом замедлителе;
tin
= 231 см2 - возраст нейтронов, испытавших неупругое рассеяние в топливе;= 0,09
- доля нейтронов, испытавших неупругое рассеяние до вылета из блока.
- геометрический параметр:
где
;
, см.
Для уран-графитовых реакторов с
графитовым отражателем:
.
Длина миграции в отражателе:
Толщина отражателя:
.
Эффективный коэффициент размножения:
2.6 Температурный эффект реактивности
При работе реактора происходит существенное
повышение температуры всех материалов активной зоны, отражателя и корпуса
реактора.
При повышении температуры повышается температура
нейтронного газа, что приводит к уменьшению микроскопических сечений поглощения
и деления тепловых нейтронов. Повышение температуры конструктивных элементов
приводит к уменьшению их плотности вследствие расширения материалов, что
приводит к снижению концентрации и, следовательно, к изменению макроскопических
сечений. Повышение температуры нейтронного газа вызывает смещение энергии
«сшивки» спектров тепловых и замедляющихся нейтронов в область более высоких
энергий, что приводит к уменьшению возраста тепловых нейтронов. Из-за повышения
температуры ядерного горючего происходит уширение резонансов горючего
вследствие их теплового движения (эффект Доплера).
Все это и ряд других факторов приводит к
изменению реактивности реактора.
В большинстве случаев температурный эффект
отрицателен, и нагрев реактора сопровождается уменьшением эффективного
коэффициента размножения, что влечет устойчивую работу реактора. Положительный
температурный коэффициент приводит к неустойчивости в работе реактора, при
котором его состояние переходит в надкритическое.
Распределение температуры по объему реактора
изменяется со временем. Однако для многих практических задач справедливо так
называемое квазистационарное приближение, когда с достаточной степенью точности
можно считать установившееся поле температур неизменным во времени.
Зависимость поперечных сечений от температуры
Для расчета реактора при рабочей температуре
нужно найти эффективную температуру нейтронов и соответствующие ей новые
значения сечений и других параметров реактора.
Эффективная температура нейтронного газа
определяется по формуле:
Сечения при температуре нейтронного газа
определяются следующим образом:
где σа0
- макроскопическое сечение поглощения стандартных нейтронов; fа (Тн.г.) -
поправочный коэффициент, характеризующий отклонение сечения от закона 1/v.
Аналогично можно определить σf.
Обычно зависимость сечения рассеяния от
температуры очень слабая.
Необходимо провести расчет микро- и макросечений
аналогично расчету «холодного» реактора, при условии, что Тн.г. = Тзам. Формулы
расчёта микросечений поглощения и деления в этом случае имеют вид:
Определяется температура замедлителя:
Поправочный коэффициент для
температуры 545,5 К составляет fa = ff = 0,943.
Расчетные данные при Т = 545,5К
представлены в таблице 2.
Таблица 3 - Расчетные данные при Т =545,5 К
|
Мате-риал
|
Ai, г/моль
|
gi, г/см3
|
Ni, яд/см3
|
bi, см2
|
xSs, см-1
|
Микросечение, бн
|
Макросечение, см-1
|
|
|
|
|
|
|
sa
|
sf
|
ss
|
str
|
Sa
|
Sf
|
Ss
|
Str
|
|
UN
|
252
|
12,9
|
3,08 1022
|
0,028
|
4,36 10-2
|
420,114
|
422,72
|
33,8
|
453,38
|
0,385
|
0,2521
|
0,5839
|
0,9533
|
|
U235
|
235
|
--
|
7,09 1020
|
--
|
9,04 10-5
|
417,192
|
422,72
|
15,00
|
432,15
|
0,296
|
0,2521
|
1,06 10-2
|
0,3064
|
|
U238
|
238
|
--
|
3,01 1022
|
--
|
2,28 10-3
|
1,756
|
--
|
10,73
|
5,3 10-2
|
--
|
0,2711
|
0,3232
|
|
N
|
14
|
--
|
3,08 1022
|
--
|
4,12 10-2
|
1,1662
|
--
|
9,8
|
10,5
|
0,036
|
--
|
0,3021
|
0,3237
|
|
H2O
|
18
|
0,73
|
2,43 1022
|
0,034
|
1,35
|
--
|
--
|
--
|
--
|
0,0221
|
--
|
2,67
|
2,31
|
|
Zr
|
91
|
--
|
4,14 1022
|
--
|
5,6 10-3
|
0,117
|
--
|
6,2
|
6,25
|
4,8 10-3
|
--
|
0,2567
|
0,259
|
|
Nb
|
93
|
--
|
8,3 1020
|
--
|
1,15 10-4
|
0,713
|
--
|
6,5
|
7,15
|
5,91 10-4
|
--
|
5,4 10-3
|
5,9 10-3
|
|
Сплав
|
--
|
6,4
|
--
|
0,0016
|
5,71 10-3
|
0,829
|
--
|
12,7
|
13,4
|
5,4 10-3
|
--
|
0,2621
|
0,2649
|
|
C
|
12
|
1,75
|
8,78 1022
|
0,9104
|
6,52 10-2
|
0,003
|
--
|
4,7
|
4,44
|
2,27 10-4
|
--
|
0,4127
|
0,3899
|
С учетом пересчитанных сечений получены
усредненные сечения по ячейке:
Тогда температура нейтронного газа будет равна:
Определяется точка пересечения
спектров Ферми и Максвелла как отношение макросечения поглощения к замедляющей
способности:
Рисунок - К определению верхней границы тепловой
группы
Рисунок - К усреднению сечений поглощения по
спектру Максвелла
Для данной точки χгр
= 6,5, которой соответствует F = 1,01.
Поправочный коэффициент для температуры 630,02 К
находится путем интерполирования и составляет fa = ff = 0,9369.
Далее пересчитываются сечения для полученной
температуры. Результаты расчетов представлены в таблице 4.
Таблица 4- Микро- и макросечения для материалов
ядерного реактора
|
Мате-риал
|
Ai, г/моль
|
gi, г/см3
|
Ni, яд/см3
|
bi, см2
|
xSs, см-1
|
Микросечение, бн
|
Макросечение, см-1
|
|
|
|
|
|
|
sa
|
sf
|
ss
|
str
|
Sa
|
Sf
|
Ss
|
Str
|
|
UN
|
252
|
12,9
|
3,08 1022
|
0,028
|
4,36 10-2
|
388,483
|
328,72
|
33,8
|
421,75
|
0,3562
|
0,2331
|
0,5839
|
0,9249
|
|
U235
|
235
|
--
|
7,09 1020
|
--
|
9,04 10-5
|
385,764
|
328,72
|
15,00
|
400,72
|
0,2735
|
0,2331
|
1,06 10-2
|
0,2842
|
|
U238
|
238
|
--
|
3,01 1022
|
--
|
2,28 10-3
|
1,634
|
--
|
9,00
|
10,61
|
4,92 10-2
|
--
|
0,2711
|
0,3195
|
|
N
|
14
|
--
|
3,08 1022
|
--
|
4,12 10-2
|
1,085
|
--
|
9,8
|
10,42
|
0,0335
|
--
|
0,3021
|
0,3212
|
|
H2O
|
18
|
0,73
|
2,43 1022
|
0,034
|
1,35
|
--
|
--
|
--
|
--
|
0,0221
|
--
|
2,67
|
2,31
|
|
Zr
|
91
|
--
|
4,14 1022
|
--
|
5,6 10-3
|
0,108
|
--
|
6,2
|
6,25
|
4,49 10-3
|
--
|
0,2567
|
0,2587
|
|
Nb
|
93
|
--
|
8,3 1020
|
--
|
1,15 10-4
|
0,663
|
--
|
6,5
|
7,1
|
5,5 10-4
|
--
|
5,4 10-3
|
5,89 10-3
|
|
Сплав
|
--
|
6,4
|
--
|
0,0016
|
5,71 10-3
|
0,772
|
--
|
12,7
|
13,35
|
5 10-3
|
--
|
0,2621
|
0,2646
|
|
C
|
12
|
1,75
|
8,78 1022
|
0,9104
|
6,52 10-2
|
0,0024
|
--
|
4,7
|
4,44
|
2,12 10-4
|
--
|
0,4127
|
0,3899
|
С учетом пересчитанного сечения получены
усредненные сечения по ячейке:
Уточняется fгр:
Для данной точки величина χгр будет
примерно равна 6,8. Так как χгр изменилась меньше, чем на 1, то
можно продолжить расчет. Определяются Егр и Ет:
.7 Коэффициент размножения нейтронов
в бесконечной среде «горячего» реактора
Для расчета коэффициента размножения
нейтронов в бесконечной среде «горячего» реактора также используется формула
четырех сомножителей:
.
Расчёт проводится аналогично
«холодному» реактору, но с учётом пересчитанных сечений для
К.
Расчёт ηгор.
.
Расчёт εгор.
Величина ε в
гетерогенном реакторе зависит от формы, размеров и расположения топливного
блока, а также от диффузионных свойств топлива.
Так как радиус ТВЭЛа изменился
незначительно, то примем значение предыдущее значение:
Расчет θгор.
Расчет φгор
В энергетических реакторах, как
правило, применяются сборки ТВЭЛов, которые состоят из нескольких блоков
ядерного горячего. Для ячейки со стержневыми блоками:

Окончательно имеем:
2.8 Расчет эффективного коэффициента размножения
для «горячего» реактора
Формула эффективного коэффициента размножения
для «горячего» реактора имеет такой же вид, как и для «холодного»:
Возраст нейтронов в решетке для
«горячего» реактора вычисляется по формуле:
Расчет длины диффузии для
замедлителя:
Геометрический параметр:
Тогда эффективный коэффициент
размножения равен:
С учетом найденных значений эффективного
коэффициента размножения для холодного и горячего реакторов, можно определить
температурный коэффициент реактивности ТКР по следующей формуле:
.9 Предварительный расчёт системы
органов регулирования
Регулирование тепловых реакторов
осуществляется чаще всего с помощью стержней, сильно поглощающих нейтроны,
которые вводятся в реактор для компенсации избыточной реактивности. В процессе
работы запас реактивности падает (отравление, шлакование, выгорание топлива) и
поэтому необходимо освобождать скомпенсированный запас реактивности, выводя
стержни из реактора.
Компенсирующая способность стержня
характеризуется разностью:
где
- коэффициент размножения со
стержнем.
Эффективность стержня зависит от
размеров и формы стержня, поглощающей способности материалов стержня, места
введения стержня в реакторе и от размеров и физических характеристик самого
реактора.
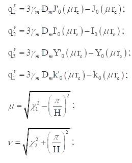
Определяем значение
, при
котором определитель следующей матрицы равен нулю:
экв = Rаз + δ.
Данные расчёты производились в
пакете WolframMathematica. При расчёте были приняты радиус стержней 2 см,
чернота поглощающих стержней 0.8. Были получены следующие результаты:
Из графика нашли
.
Таким образом, с учётом того, что
компенсирующая способность стержней зависит от расстояния их месторасположения
от центра активной зоны, общее число регулирующих стержней:
Данная величина была также
рассчитана при помощи пакета WolframMathematica.
рег = 89 стержней.
. ПАРАМЕТРЫ НЕСТАЦИОНАРНЫХ И
ПЕРЕХОДНЫХ ПРОЦЕССОВ
.1 Эффекты реактивности при
отравлении реактора
Отравлением называется поглощение
нейтронов короткоживущими радиоактивными ядрами. Важнейшим из отравляющих
продуктов является Xe135, имеющий очень большое сечение поглощения (σXe = 2.75
106барн).
После Xe135 наиболее сильным из вредных поглотителей нейтронов является изотоп
Sm149. Самарий обладает большим сечением поглощения, достигающим значения σSm = 59200
барн.
Изотоп Sm149 является стабильным, поэтому поглощение нейтронов самарием следует
называть шлаками. Однако вследствие значительной концентрации и высокого
сечения поглощения Sm149 по степени и характеру воздействия на реактивность
занимает особое положение среди шлаков и скорее приближается к отравляющим
продуктам. Поэтому поглощение нейтронов самарием часто называют отравлением.
[2]
Определение средней плотности потока
нейтронов по реактору
где N - тепловая мощность
реактора (2200 МВт);- масса U235 в граммах.
Определим массу U235:
Соответственно:
Определение равновесных ядерных
концентраций ксенона и самария
Стационарная концентрация йода-135:
Стационарная концентрация Xe
определяется равновесием между скоростью прибыли Xe и убыли его вследствие
радиоактивного распада и поглощения нейтронов:
Стационарная концентрация прометия:
Стационарная концентрация самария:
Определение накопления I, Xe, Pm, Sm
при работе ядерного реактора на стационарной мощности
Процесс накопления ядер I, Xe, Pmи
Sm после пуска реактора происходит по экспоненциальному закону:

Определим запас реактивности на
начало кампании для «горячего» реактора. По определению, запас реактивности -
это максимально возможная реактивность при полностью извлечённых поглотителях:
Определим величину стационарного
отравления ксеноном по формуле:
Определение изменения плотности ядер
I, Xe, Pm, Sm после остановки реактора
После остановки реактора Ф = 0,
соответственно концентрация веществ изменяется следующим образом:
Определение изменения реактивности
после остановки реактора
Уменьшение
при
накоплении
после
остановки носит название “прометиевый провал”.
После остановки или снижения
мощности происходят временное увеличение концентрации
вследствие
распада
и
уменьшение выгорания
.
Соответствующее уменьшение
называется“йодной ямой”.
В отличие от кинетики отравления
ксеноном, отравление самарием после выключения реактора непрерывно возрастает,
стремясь к предельному значению.
Непрерывный рост отравления после
остановки реактора объясняется тем, что самарий стабилен, а образование его
происходит за счет распада накопившегося прометия.
Определение времени достижения
полной глубины йодной ямы и 90% полного прометиевого провала
ч
см-3
суток
Определение реактивности при
переходе с одного уровня мощности на другой
При изменении мощности реактора
баланс ядер
и
нарушается,
что вызывает переходные процессы с изменением реактивности реактора. Так, при
уменьшении мощности снижается реактивность, т. к. в результате снижения
плотности нейтронного потока уменьшается выжигание ксенона нейтронами, а его
поступление из
, количество
которого на момент снижения мощности определяется прежним уровнем мощности, не
меняется, что приводит к росту концентрации ядер
.
В общем случае при изменении
от значения
до
изменение
реактивности происходит по следующему закону:
Ф1=Ф; Ф2=0,5Ф.
.2 Расчёт нуклидного состава и
характеристик, связанных с выгоранием топлива
При изменении содержания делящихся
изотопов основную роль играют U235и Pu239. Чтобы определить концентрации U235и
Pu239 необходимо значение глубины выгорания. Среднюю глубину выгорания
приближенно оценим по формуле:
,
где
удельная мощность (МВт/с),
время работы
ядерного реактора (суток).
Рассчитаем объём топлива в активной
зоне:
Масса топлива равна:
г
следовательно,
МВт/т.
Для определения величины выгорания
зададим время работы реактора: 1 год (365 дней).
,
Определим концентрацию U235при выгорании:
см-3.
Изменение концентрации Pu239 в
процессе работы реактора:
барн,
Определим время работы ядерного
реактора:
реактор нейтрон
нуклидный тепловой
,
дней.
После определения длительности
кампании реактора, уточним среднюю глубину выгорания, концентрации U235и Pu239:
,
см-3,
см-3
ЗАКЛЮЧЕНИЕ
В результате проделанной работы были
освоены основы нейтронно-физического расчета ядерного реактора. Был произведен
обзор литературы по уран-графитовым реакторам, в особенности РБМК. Был выполнен
предварительный тепловой расчет реактора, расчет холодного реактора. Были
выбраны оптимальные значения для радиуса ТВЭЛов и шага решетки. Была получена
система многогрупповых констант для заданной установки (УГР-2800) и определены
нейтронно-физические параметры двухгруппового расчета. Получен навык
использования основных соотношений, являющихся неотъемлемой частью физического
расчета ядерного реактора.
В то же время, проведенные расчеты
нельзя считать более чем оценочными, так как большинство ядерно-физических
констант определены в большом приближении. Многие расчетные формулы дают
результаты с весьма большими погрешностями.
СПИСОК ЛИТЕРАТУРЫ
Групповые
константы для расчета ядерных реакторов и защиты: Справочник. / Абагян Л.П.,
Базазянц Л.О., Бондаренко И.И.. - М.: Атомиздат, 1981.
Физический
расчёт ядерного реактора на тепловых нейтронах: Учебное пособие. / Бойко В.И.,
Кошелев Ф.П., Шаманин И.В.. - Томск: Изд-во Томского политехнического
университета, 2009.
Нейтронно
- физический и теплогидравлический расчёт реактора на тепловых нейтронах:
Учебное пособие. / Кошелев Ф.П., Шаманин И.В.. - Томск: Изд. ТПУ, 1996.