Моделирование на ЭВМ физических процессов в кристаллах и кванторазмерных структурах

  • Вид работы:
    Дипломная (ВКР)
  • Предмет:
    Физика
  • Язык:
    Русский
    ,
    Формат файла:
    MS Word
    653,8 Кб
  • Опубликовано:
    2016-01-21
Вы можете узнать стоимость помощи в написании студенческой работы.
Помощь в написании работы, которую точно примут!

Моделирование на ЭВМ физических процессов в кристаллах и кванторазмерных структурах

Министерство образования и науки российской федерации

Федеральное государственное бюджетное образовательное учреждение высшего профессионального образования

Кубанский государственный университет

Физико-технический факультет

Кафедра физики и информационных систем

Направление 03.03.02 Физика




ВЫПУСКНАЯ КВАЛИФИКАЦИОННАЯ РАБОТА БАКАЛАВРА

Моделирование на ЭВМ физических процессов в кристаллах и кванторазмерных структурах



Выполнил Подопригора А.С.

Научный руководитель

д.ф-м.н., доцент В.А. Исаев





Краснодар 2015

Реферат

Выпускная квалификационная работа 46 с., 29 рис., 20 источников.

Статистический анализ, динамика элементарных процессов, растущий кристалл, моделирование движения электронов, кванторазмерные структуры, моделирование энергетического спектра электрона

Объектом исследования выпускной квалификационной работы являлись элементарные процессы на поверхности растущего кристалла.

Целью данной работы являлось написание программ для моделирования движения электрона в слоистых квантоворазмерных структурах.

Для достижения поставленной цели решались следующие задачи:

исследование методов расчета квантоворазмерных структур;

изучить моделирование энергетического спектра электрона в твердом теле;

написание программного моделирования для энергетического спектра электрона;

анализ полученных в рамках современных теоретических методов программных моделей в разных математических пакетах MathCAD.

В ходе выпускной квалификационной работы изучены и проанализированы методики расчета квантоворазмерных структур и приведены их реализации в математическом пакете MathCAD. Также, показано, как с помощью данного пакета можно наглядно проиллюстрировать известные теоретические факты из физики рассматриваемых структур.

Содержание

ВВЕДЕНИЕ

. Краткие сведения о квантоворазмерных гетероструктурах

.1 Гетероструктуры и их классификация

.2 Квантоворазмерные гетероструктуры на основе твердого раствора AlxGa1-x As

. Компьютерное моделирование физических процессов в кристаллах и квантоворазмерных структурах

.1 Моделирование движения электрона через потенциальный барьер конечной толщины

.2 Метод матриц переноса и его применение для моделирования движения электрона в сложном потенциальном рельефе

.3 Моделирование движения электрона через двухбарьерную квантоворазмерную структуру (ДБКС)

.4 Моделирование движения электрона черезтрехбарьерную квантоворазмерную структуру

.5 Моделирование движения электрона при приложении постоянного электрического поля в направлении,перпендикулярном плоскостям слоёв

. Реализация математического моделирования в математическом пакете MathCAD

.1 Программа для моделирования движения электрона через потенциальный барьер конечной толщины

.2 Программа для моделирования движения электрона через двухбарьерную квантоворазмерную структуру

.3 Программа для моделирования движения электрона при приложении постоянного электрического поля в направлении, перпендикулярном плоскостям слоёв

ЗАКЛЮЧЕНИЕ

СПИСОК ИСПОЛЬЗУЕМЫХ ИСТОЧНИКОВ

ВВЕДЕНИЕ

Характеристические размеры полупроводниковых структур современной микро- и наноэлектроники составляют 100...10 нм. Такой диапазон линейных размеров элементов - это фундаментальный физический барьер, за которым резко меняются все свойства твердого тела, включая электропроводность. В полной мере начинают проявляться квантовые эффекты, и физика проводимости определяется квантово-механической интерференцией электронных волн. Кроме того, помимо традиционного перехода к наноструктурам путем уменьшения линейных размеров элементов в чипе, имеется и другой путь, восходящий к идеям изготовления искусственных периодических слоистых структур [1-3] со слоями нанометровой толщины. В таких слоях открывается возможность формировать заданный энергетический спектр электронов и с появлением технологической возможности изготавливать такие структуры появился даже термин «зонная инженерия».

Физическое и математическое описание таких структур и их свойств широко представлено в литературе, как в периодической, так и в различных монографиях. Попытка систематического изложения основных свойств наноэлектронных структур сделана, например, в монографии [4].

В данной выпускной квалификационной работе приведены некоторые задачи из физики твердого тела, физики полупроводников, физики квантоворазмерных структур.

Целью данной работы являлось написание программ для моделирования движения электрона в слоистых квантоворазмерных структурах.

1. Краткие сведения о квантоворазмерных гетероструктурах

1.1 Гетероструктуры и их классификация


Физика полупроводников последних 10-15 лет, благодаря успехам технологии и, прежде всего метода МВЕ (Molecular Beam Epitaxy молекулярно-лучевая эпитаксия), это главным образом физика полупроводниковых низкоразмерных структур (наноструктур). Современные методы эпитаксии позволяют создавать монокристаллические слои и многослойные гетероструктуры с толщиной слоёв 1-10 нм, сравнимой с длинной волны де Бройля носителей заряда:

 (1)

Это открывает принципиальную возможность наблюдения и использования явлений, обусловленных волновой природой электрона. К ним, в частности, относятся интерференция электронных волн и вызванные ею размерные квантовые эффекты, например, такие, как квантование энергии и импульса носителей заряда в тонких слоях, резонансный характер прохождения электронов через эти слои и т.п. [5-7]. Размерное квантование кардинально меняет энергетический спектр носителей заряда, фононов, квазичастиц, и возникновению целого ряда новых физических явлений и свойств полупроводниковых наноструктур.

Важное достоинство наноструктур связано с тем, что, изменяя геометрические размеры и конфигурацию нанообъектов, можно управлять свойствами системы. Открывается широкая возможность конструирования параметров структур и, прежде всего, энергетического спектра носителей заряда.

Энергетические схемы некоторых гетероструктур изображена на рисунке 1 и 2. Верхняя и нижняя линии показывают зависимость положения дна зоны проводимости и потолка валентной зоны от координаты в направлении главной оси структуры, или оси роста, перпендикулярно плоскостям слоёв.

Рисунок 1 - Зонная схема одиночного гетероперехода типа I (а) и типа II (б)

Одиночный гетеропереход между двумя материалами полупроводниками А и В изображен на рисунке 1. Различают гетеропереходы первого и второго типа в зависимости от того, лежит запрещенная зона Eg одного из композиционных материалов внутри запрещенной зоны другого материала, как например для гетеропары (рисунок 1, а), или дно зоны проводимости ниже в одном, а потолок валентной зоны выше в другом материале (рисунок 1, б). На рисунке 2 изображен двойной гетеропереход.

Рисунок 2 - Зонная схема двойного гетероперехода первого рода с квантовой ямой (а) или барьером (б)

e,h - высота потенциального барьера (глубина квантовой ямы) или разрыв зон на интерфейсе в зоне проводимости и валентной зоне соответственно

Двойной гетеропереход первого рода В/А/В представляет структуру с одиночной квантовой ямой, если ширина запрещенной зоны в материале А меньше, чем в материале В, т.е.  или структуру с одиночным барьером, если . В первом случае внутренний слой А образует потенциальную яму (рисунок 2,а), в которой происходит размерное квантование электронных и дырочных состояний. Во втором случае слой А образует потенциальный барьер для электронов и дырок (рисунок 2,б). На рисунке 2,а схематически показана структура с прямоугольной ямой. Используя в качестве композиционного материала А твердый раствор и изменяя его состав в процессе роста, можно создавать ямы другой формы - параболические, треугольные и т.п.

Логическим развитием однобарьерной структуры являются двухбарьерные и трехбарьерные структуры, то есть одиночная или двойная квантовые ямы, отделенные барьерами конечной толщины от полубесконечных слоёв с меньшей шириной запрещенной зоны. А периодическая структура с квантовыми ямами, разделенными не очень широкими потенциальными барьерами, образует сверхрешетку, в которой носители заряда могут туннелировать из ямы в яму и длина свободного пробега этого носителя вдоль оси, перпендикулярной плоскостям слоёв, превышает период структуры.

1.2 Квантоворазмерные гетероструктуры на основе твердого раствора AlxGa1-x As


Как правило, квантоворазмерные эффекты наблюдаются в слоистых гетероструктурах, составленных из материалов, различающихся расположением и шириной энергетических зон [8, 9]. В таких структурах в поперечном к плоскости слоёв направлении потенциальный рельеф для электронов имеет форму потенциальных ям и барьеров, что существенно влияет на их энергетический спектр и характер движения. Особенно сильно квантование поперечных значений импульса и энергии сказывается на поперечном транспорте электронов в гетероструктурах. Интерференция электронных волн, отраженных от границ слоёв, приводит к резонансным осцилляциям тока, протекающего в поперечном к слоям направлении под действием приложенной к ним разности потенциалов, и появлению на вольт-амперных характеристиках слоистых структур участков с отрицательным дифференциальным сопротивлением.

Поскольку характерные времена процесса формирования особенностей ВАХ ограничивается снизу временем туннелирования электронов, движущихся с тепловой скоростью (~ 5·105 м/с) через слой толщиной менее 10-8 м, и составляющим, следовательно, менее 10-13 с, естественно пытаться использовать эти эффекты для создания сверхбыстродействующих приборов с рабочими частотами более 103 ГГц. Впервые, по-видимому, на такую возможность указал Л.В. Иогансен [10-12], который предложил использовать эффект резонансного туннелирования электронов в слоистых тонкопленочных структурах металл-диэлектрик для создания целого ряда твердотельных электронных приборов. Теоретические работы Л.В. Иогансена намного опередили аналогичные зарубежные публикации. Однако они длительное время не находили экспериментального подтверждения из-за отсутствия достаточно развитой тонкопленочной технологии. Лишь в 70-х годах XX века с развитием молекулярной эпитаксии появилась возможность реализации гетероструктур, подобных предложенным Л.В. Иогансеном. Правда, вместо структур со слоями металл-диэлектрик были созданы структуры с эпитаксиальными слоями различных полупроводниковых материалов, прежде всего гетероструктуры AlxGa1-x As [13, 14].

Для изготовления подобных структур к настоящему времени разработано несколько совершенных технологических процессов, однако наилучшие результаты в приготовлении квантовых структур достигнуты с помощью метода молекулярно-лучевой эпитаксии. Метод молекулярно-лучевой эпитаксии позволяет выращивать совершенные монокристаллические слои толщиной всего несколько периодов решетки. Чрезвычайно важно, чтобы периоды кристаллических решеток двух соседних слоев, имеющих различный химический состав, были почти одинаковыми. Тогда кристаллическая решетка выращенной структуры не будет содержать дефектов. В этом смысле, наиболее удачной как раз и оказалась пара GaAs- AlxGa1-x As.

Поскольку гетероструктуры на основе твердых растворов AlxGa1-x As, в котором часть атомов галлия замещена атомами алюминия, были исторически первыми и остаются по сей день наиболее изученными и распространенными, компьютерное моделирование квантоворазмерных эффектов мы будем проводить именно на их примере. Величина x - это доля атомов галлия, замещенных атомами алюминия, обычно она изменяется в пределах от 0,15 до 0,35. Зонная структура GaAs представлена на рисунке 3. Наибольшее внимание уделяется структурам, у которых главную роль играют состояния в центре зоны Бриллюэна (точка Г) - структурам гетерограницами по плоскости (001).

 

Рисунок 3 - Зонная диаграмма GaAs

Эффективная масса электронов в Г-минимуме таких структур определяется выражением:

 (2)

ширина запрещенной зоны (в эВ) - выражением:

 (3)

а постоянная решетки - выражением:

 (4)

Таким образом, варьируя долю замещения атомов галлия алюминием x можно изменять такие важные параметры полупроводникового материала как эффективную массу носителей заряда, ширину запрещенной зоны и постоянную решетки. Заметная зависимость ширины запрещенной зоны от параметра x позволяет при выращивании монолитных слоистых структур получать заданный потенциальный рельеф для электронов в нормальном к плоскости слоёв направлении. При этом в силу того, что зависимость постоянной решетки от параметра x слабая, кристаллическая структура на интерфейсе между слоями характеризуется минимальными нарушениями - кристаллические решетки различных слоёв практически идеально подходят друг другу. Из-за практически полного согласования постоянных решёток слои имеют малые напряжения и могут выращиваться произвольной толщины [15]. На рисунке 4 представлена зонная структура твердого раствора AlxGa1-x As для двух поддиапазонов значений величины x: меньше и больше 0.45.

Рисунок 4 - Зонная структура твердого раствора AlxGa1-xAs: а - x<0.45, б - x>0.45

2. Компьютерное моделирование физических процессов в кристаллах и квантоворазмерных структурах


С общетеоретической точки зрения, расчет электронных состояний в слоистых структурах должен проводиться путем решения соответствующей трехмерной задачи о зонной структуре материала. В настоящее время разработаны изощренные методы компьютерного расчета квантовых состояний в наноструктурах, основанные на микроскопических моделях псевдопотенциала или сильной связи. Тем не менее эти методы пока не всесильны и не всемогущи, и при конкретной работе именно приближен- ные методы эффективной массы (в случае простых энергетических зон), эффективного гамильтониана (для вырожденных зон) и плавных огибающих (в многозонной модели, например в модели Кейна) оказываются более удобными и результативными.

В приближенных подходах решение внутри каждого слоя многослойной структуры (или композиционной области меньшей размерности в квантовых проволоках или точках) записывается в виде линейной комбинации независимых объемных решений, а для сшивки на гетерограницах вводятся граничные условия для огибающих волновой функции электрона и их производных по нормальной координате.

Расчеты электронных состояний в полупроводниковых наноструктурах, выполняемые в методе эффективной массы, основаны на решении стационарного (исключая экзотические случаи, когда потенциальный рельеф является функцией времени) уравнения Шредингера, которое для движения электронов в перпендикулярном плоскости слоёв направлении является одномерным:

 (5)

здесь m - эффективная масса электрона,- его полная энергия,(z) потенциальный рельеф для электрона вдоль оси z направленной в перпендикулярном к плоскости слоёв направлении.

Решением данного уравнения Шредингера является z-составляющая огибающей волновой функции Ψ(z,E), характеризующая движение электронов в перпендикулярном плоскости слоёв направлении и определяющая, с точностью до нормировки, вероятность нахождения электрона с энергией E движения вдоль оси Oz в точке с координатой z.

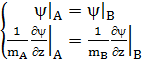
Для простой зонной структуры граничные условия на интерфейсе между слоями A и B в общем случае имеют вид:

 (6)

где Ψ A,B - значения огибающей волновой функции на интерфейсе со стороны слоя A и со стороны слоя B соответственно,

 (7)

где: m A,B - эффективные массы электронов в слоях A и B соответственно, l - произвольный параметр с размерностью длинны, введенный чтобы элементы матрицы tij были безразмерными. Выбор значений tij обычно постулируется или осуществляется путем сравнения с результатами эксперимента или расчета в рамках какой-либо микроскопической модели. Чаще других используются граничные условия, связанные с именем Бастарда:

 (8)

Решая уравнение (1) с граничными условиями (2), можно построить огибающие волновых функций электронов с различными значениями энергии E [16, 17].

2.1 Моделирование движения электрона через потенциальный барьер конечной толщины


Рассмотрим структуру, образованную тонким слоем широкозонного материала, заключенного между двумя практически полубесконечными областями узкозонного материала. Зонная диаграмма такой структуры изображена на рисунке 5.

Рисунок 5 - Энергетическая диаграмма прямоугольного потенциального барьера

Потенциальный рельеф для электрона в такой структуре можно записать в виде:

U(z)= (9)

где a - толщина слоя широкозонного материала

Как и в предыдущем случае будем считать, что источник электронов находится в области 1 и бесконечно удален от границы раздела между областями 1 и 2. Электроны движутся от источника в положительном направлении оси Oz, обладая энергией E. Решения уравнения Шредингера в областях 1, 2 и 3, в каждой из которых потенциал U(z) постоянен, можно записать в виде, соответственно:

 (10)


где  i = 1, 2, 3,i и Eci - эффективная масса и энергия дна зоны проводимости в i-ой области.

Коэффициенты B1, A2, B2 и A3 могут быть выражены через коэффициент A1 с использованием граничных условий (6). Подставляя выражения (7) в (8), получим:

 (11)

откуда

 (12), где

ζ (13), и

 (14)

 (15)

Коэффициенты прохождения и отражения от потенциального барьера могут быть вычислены следующим образом с учетом выражений (14, 15):

D= (16)

R= (17)

Графики огибающих волновых функций электрона в структуре GaAs-Al0.3Ga0.7As-GaAs с толщиной среднего слоя в 20 атомных монослоёв (11.3 нм) для различных значений энергии электрона представлены на рисунке 6. Графики схематично наложены на зонную диаграмму гетероструктуры, при этом начала отсчета по оси ординат для графиков огибающих волновых функций совмещены с соответствующими значениями энергии на зонной диаграмме. Энергия электронов отсчитывается от середины запрещенной зоны узкозонного материала (GaAs) [17]. Тогда, поскольку середина запрещенной зоны в твердом растворе AlxGa1-xAs совпадает с серединой запрещенной зоны GaAs, потенциальный профиль данной структуры (она является симметричной) можно описать выражением:

U(z)= (18)

Графики зависимости коэффициента прохождения от энергии электрона для этой структуры представлен на рисунке 7.

Рисунок 6 - Графики огибающих волновых функций электрона в структуре GaAs-Al0.3Ga0.7As-GaAs

Таким образом, расчеты показывают, что при достаточно тонком потенциальном барьере для значений энергии электрона E < U0 имеется конечная вероятность его прохождения через потенциальный барьер из области 1 в область 3. Этот явление носит название туннельного эффекта и является чисто квантово-механическим. Также следует отметить, что при энергии электрона E > U0 зависимость коэффициента прохождения от энергии имеет вид квазипериодической осциллирующей функции (рисунок 7).

Рисунок 7 - Графики зависимости коэффициента прохождения от энергии электрона для структуры GaAs-Al

При этом существуют избранные значения энергии электрона, для которых вследствие интерференции электронных волн, отраженных от границ барьера, амплитуда волновой функции в области барьера будет больше, чем в других областях (рисунок 6, штрихпунктирная кривая) [18].

 

.2 Метод матриц переноса и его применение для моделирования движения электрона в сложном потенциальном рельефе

Как можно заметить из уже рассмотренных примеров, при решении задач о движении электронов в слоисто-неоднородных средах решения уравнения Шредингера записываются отдельно в каждой из областей, где потенциал U(z) постоянен, в виде суперпозиции падающей и отраженной волн де Бройля, а для нахождения амплитуд этих волн используются граничные условия на интерфейсах между слоями. Такой подход позволяет легко формализовать расчет амплитуд волн де Бройля и коэффициентов отражения и прохождения в многослойных средах с использованием метода матриц переноса.

Рассмотрим структуру, состоящую из N слоёв, заключенных между полубесконечными областями, причем в каждом слое и в крайних областях потенциал U(z) постоянен (рисунок 8):

U(z)=(19)

где zk - координата границы между k-ой и (k+1)-ой областями, k = 0,...,N.

Как и прежде, будем считать, что источник электронов находится в области 0 и бесконечно удален от слоистой структуры. Электрон движется от источника в положительном направлении оси Oz, обладая энергией E.

Рисунок 8 - Энергетическая диаграмма многослойной гетероструктуры

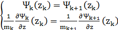
Решение уравнения Шредингера (5) для i-ой области (i=0,...,N+1) записывается в виде:

 (20)

где Ai и Bi - амплитуды падающей и отраженной волн де Бройля в i-ой области соответственно,

,i - эффективная масса в i-ой области.

Граничные условия (20) принимают вид:

 (21)

Подставляя общее решение (20) в граничные условия (21), получим систему линейных алгебраических уравнений относительно коэффициентов Ai, Bi:

(22)

которая путем алгебраических преобразований может быть приведена к виду:

(23)

или в матричной форме:

 (24)

где Tk,k+1- матрица передачи волны де Бройля из области k в область k+1:

 (25)

Из рекуррентного соотношения (25), с учетом того, что по условию задачи в области N+1 нет встречной электронной волны (т.е. BN+1=0), можно записать следующую систему из двух уравнений для амплитуд волн де Бройля в полубесконечных областях до и после структуры:

, (26), где

T= (27)

матрица передачи волны де Бройля через всю слоистую структуру. Следует отметить, что матрица T полностью определяется параметрами материалов структуры и прилегающих областей [18, 19].

Коэффициенты отражения и прохождения электронной волны через структуру могут быть выражены через элементы матрицы передачи из системы уравнений (23):


Таким образом, c использованием матричного метода могут быть рассчитаны коэффициенты отражения и прохождения электронных волн через слоистую структуру при задании параметров всех входящих в неё слоёв, а также амплитуды волн де Бройля в каждой точке структуры, отнесенные к амплитуде падающей на структуру электронной волны.

Пример реализации матричного метода в пакете MathCAD и его применения для решения задачи о движении электрона через потенциальный барьер приведен в Приложении 6. Применение матричного метода для моделирования движения электрона через многослойные структуры со сложным потенциальным рельефом обсуждается в следующих разделах.

2.3 Моделирование движения электрона через двухбарьерную квантоворазмерную структуру (ДБКС)


Мы уже рассмотрели задачи, касающиеся поведения частиц в системах с изолированными квантовыми ямами и потенциальными барьерами. Как уже отмечалось, современные технологии выращивания эпитаксиальных структур позволяют формировать многослойные системы со сложным потенциальным рельефом, в том числе систем со связанными квантовыми ямами. Последние интересны тем, что в них возможно формирование заданного энергетического спектра и скоростей рассеяния электронов не только путем задания формы потенциальной ямы, но и путем изменения связи между соседними квантовыми ямами. Кроме того, в ряде случаев коэффициент прохождения через многобарьерные структуры оказывается больше коэффициентов прохождения через каждый барьер в отдельности. Данный эффект возникает вследствие интерференции волн де Бройля и носит название резонансного туннелирования через многобарьерную структуру.

Рассмотрим прохождение частицы через систему из двух потенциальных барьеров, разделенных квантовой ямой, заключенную между двумя полубесконечными областями (рисунок 9). Как и прежде, будем считать, что источник электронов находится в области 0 и бесконечно удален от структуры. Электрон движется от источника в положительном направлении оси Oz, обладая энергией E. Для расчета коэффициента прохождения электрона и амплитуд волн де Бройля воспользуемся матричным методом:

· число слоёв в структуре N=3;

· число границ в рассматриваемой системе N+1=4;

· число областей, в которых потенциал U(z) постоянен N+2=5.

Рисунок 9 - Энергетическая диаграмма двухбарьерной квантоворазмерной гетероструктуры

Таким образом, для описания системы необходимо задать параметры материала в 5-ти областях, а также координаты границ между областями. Эти исходные данные позволяют рассчитать 4 матрицы передачи волны де Бройля для каждой из границ с использованием выражения (20) и общую матрицу передачи структуры (21), из которой вычисляется коэффициент прохождения (22). А с использованием выражений (25) и (26) рассчитываются амплитуды волн де Бройля в каждой из областей.

Результаты расчета зависимости коэффициента прохождения от энергии электронов представлены на рисунке 10.

Рисунок 10 - Графики зависимости коэффициента прохождения от энергии электрона для структуры GaAs-Al0.3Ga0.7As-GaAs-Al0.3Ga0.7As-GaAs

Рисунок 11 - Графики огибающих волновых функций электрона в структуре GaAs-Al

Как следует из результатов расчетов, существует некоторое значение энергии электрона, меньшее высоты потенциальных барьеров, определяемое толщинами квантоворазмерных слоёв, при котором коэффициент прохождения равен единице.

Состояния в квантовой яме, соответствующие значениям энергии, для которых D=1, называют резонансными, а наблюдаемое явление - резонансным туннелированием через структуру. Графики огибающих волновых функций электрона в рассматриваемой структуре для различных значений энергии электрона, совмещенные с потенциальным рельефом гетероструктуры, представлены на рисунке 11.

 

2.4 Моделирование движения электрона черезтрехбарьерную квантоворазмерную структуру


Аналогично, методом матриц переноса легко может быть проанализирована и трехбарьерная (а, вообще говоря, и многобарьерная) структура. Результаты расчета зависимости коэффициента прохождения от энергии электронов для трехбарьерной структуры представлены на рис. 12.

Рисунок 12 - Графики зависимости коэффициента прохождения от энергии электрона для трехбарьерной квантоворазмерной гетероструктуры

квантоворазмерный гетероструктура спектр электрон

2.5 Моделирование движения электрона при приложении постоянного электрического поля в направлении, перпендикулярном плоскостям слоёв


Очевидно, что при создании различных электронных приборов необходимо реализовать управление энергетическим спектром электронов с помощью различного рода внешних воздействий. Наиболее часто для такого управления используют электрическое поле.

При приложении электрического поля к многослойной гетероструктуре энергетические зоны искривляются и зависимость U(z) будет отличаться от ступенчатой формы, изображенной, например, на рисунке 13, а. В простейшем случае однородного электрического поля, потенциал U(z) в структуре с потенциальным барьером может быть представлен в виде (рисунок 13, б):

U(z) =  (30)

где a - ширина потенциального барьера, V - прикладываемая к барьеру разность потенциалов. В данной модели предполагается, что падение напряжения полностью происходит в области барьера.

Рисунок 13 - Энергетическая диаграмма прямоугольного потенциального барьера (а), при приложении к нему электрического поля (б) и представление потенциала в виде ступенчатой функции (в)

Уравнение Шредингера (5) с потенциалом вида (16) является неоднородным. Однако, разбивая рассматриваемую пространственную область на N столь малых отрезков, что в каждом из них потенциал U(z) можно считать неизменным, можно решать уравнение матричным методом, заменяя кусочно-непрерывную функцию U(z) (рисунок 13, б) ступенчатой (рисунок 13, в):

U(z)= (31)

Данный подход позволяет решать задачи о движении электрона через потенциальный рельеф произвольной формы, с одной стороны, не прибегая к численному решению краевой задачи (что является вычислительно ёмким процессом), а с другой стороны, получая достаточно строгое решение.

На рисунке 14 представлен коэффициент прохождения электронов через потенциальный барьер при наличии (пунктирная линия) и отсутствии внешнего электрического поля.

Рисунок 14 - Коэффициент прохождения электронов через потенциальный барьер при наличии (пунктирная линия) и отсутствии внешнего электрического поля

Как видно из рисунка, вероятность туннелирования электрона при приложении электрического поля увеличивается, что обусловлено уменьшением площади потенциального барьера [19].

На рисунке 14 представлен коэффициент прохождения электронов через двухбарьерную квантоворазмерную структуру при наличии (пунктирная линия) и отсутствии внешнего электрического поля. Как видно из рисунка энергия резонансного тунелирования электрона при приложении электрического поля уменьшается.

Рисунок 15 - Коэффициент прохождения электронов через ДБКС при наличии (пунктирная линия) и отсутствии внешнего электрического поля

3. Реализация математического моделирования в математическом пакете MathCAD

3.1 Программа для моделирования движения электрона через потенциальный барьер конечной толщины


В данном разделе приведен пример программы для расчета огибающих волновых функций и коэффициента прохождения электронов через прямоугольный потенциальный барьер (рисунок 16-19). Потенциальный барьер образован слоем Al0.3Ga0.7As толщиной 20 атомных слоёв (11.31 нм), заключенным между полубесконечными слоями GaAs [19, 20].

Рисунок 16 - Рабочее окно программы для расчета огибающих волновых функций и коэффициента прохождения электронов через прямоугольный потенциальный барьер

Рисунок 17 - Рабочее окно программы для расчета огибающих волновых функций и коэффициента прохождения электронов через прямоугольный потенциальный барьер (продолжение)

Рисунок 18 - Рабочее окно программы для расчета огибающих волновых функций и коэффициента прохождения электронов через прямоугольный потенциальный барьер (продолжение)

Рисунок 19 - Рабочее окно программы для расчета огибающих волновых функций и коэффициента прохождения электронов через прямоугольный потенциальный барьер (продолжение)

3.2 Программа для моделирования движения электрона через двухбарьерную квантоворазмерную структуру


В данном разделе приведен пример программы для расчета огибающих волновых функций и коэффициента прохождения электронов через двухбарьерную квантоворазмерную структуру (рисунок 20-24), написанной с использованием метода матриц переноса [19, 20].

Рисунок 20 - Рабочее окно программы для расчета огибающих волновых функций и коэффициента прохождения электронов через двухбарьерную квантоворазмерную структуру

Рисунок 21 - Рабочее окно программы для расчета огибающих волновых функций и коэффициента прохождения электронов через двухбарьерную квантоворазмерную структуру (продолжение)

Рисунок 22 - Рабочее окно программы для расчета огибающих волновых функций и коэффициента прохождения электронов через двухбарьерную квантоворазмерную структуру (продолжение)

Рисунок 23 - Рабочее окно программы для расчета огибающих волновых функций и коэффициента прохождения электронов через двухбарьерную квантоворазмерную структуру (продолжение)

Рисунок 24 - Рабочее окно программы для расчета огибающих волновых функций и коэффициента прохождения электронов через двухбарьерную квантоворазмерную структуру (продолжение)

3.3 Программа для моделирования движения электрона при приложении постоянного электрического поля в направлении, перпендикулярном плоскостям слоёв


В данном разделе приведен пример программы для расчета огибающих волновых функций и коэффициента прохождения электронов через потенциальный барьер при приложении постоянного электрического поля (25-29) [20].

Рисунок 25 - Рабочее окно программы для расчета огибающих волновых функций и коэффициента прохождения электронов через потенциальный барьер при приложении постоянного электрического поля

Рисунок 26 - для расчета огибающих волновых функций и коэффициента прохождения электронов через потенциальный барьер при приложении постоянного электрического поля (продолжение)

Рисунок 27 - для расчета огибающих волновых функций и коэффициента прохождения электронов через потенциальный барьер при приложении постоянного электрического поля (продолжение)

Рисунок 28 - для расчета огибающих волновых функций и коэффициента прохождения электронов через потенциальный барьер при приложении постоянного электрического поля (продолжение)

Рисунок 29 - для расчета огибающих волновых функций и коэффициента прохождения электронов через потенциальный барьер при приложении постоянного электрического поля (продолжение)

ЗАКЛЮЧЕНИЕ


В данной выпускной квалификационной работе описаны методики расчета квантоворазмерных структур и приведены примеры их реализации в математическом пакете MathCAD. Также, показано, как с помощью данного пакета можно наглядно проиллюстрировать известные теоретические факты из физики рассматриваемых структур.

СПИСОК ИСПОЛЬЗУЕМЫХ ИСТОЧНИКОВ

1. Келдыш Л.В. О влиянии ультразвука на электронный спектр кристалла / Л.В. Келдыш // ФТТ. - 1962. - Т. 4. - №8. - С. 1100-1143.

. Esaki L. A superlattice - periodic array of heterojunctions // Proc. of Intern. Conf. on Phys. and Chem. of Semiconductor / L. Esaki // Proc. of Intern. Conf. on Phys. and Chem. of Semiconductor. - 1970. - Vol. 1. - №8. - P. 13-24.

. Драгунов В.П. Основы наноэлектроники / В.П. Драгунов, И.Г. Неизвестный, В.А. Гридчин. - М.: Логос, 2006. - 496 с.

5. Capasso F. Physics of Quantum Electron Devices / F. Capasso. - Berlin.: Springer, 1990. - 382 с.

6. Brown E.R. Resonant tunneling in high-speed double-barrier diodes / E. R. Brown - Boston: Academic Press, 1991 - 218 с.

. Ozbay E. Resonant tunneling in Semiconductors: Physics and Applications / E. Ozbay, D.M. Bloom, S. K. Diamond - New York.: Plenum, 1991. - 454 с.

8. Тагер А.С. Тагер // Электронная техника. Сер. 1. Электроника СВЧ. - 1987. - Т. 9. - №3. - С. 21-34.

. Тагер А.С. Размерные квантовые эффекты в субмикронных полупроводниковых структурах и перспектива их применения в электронике СВЧ. Ч. I. Резонансно-туннельные диоды и транзисторы / А.С. Тагер // Электронная техника. Сер. 1. Электроника СВЧ. - 1988. - Т. 2. - №9. - С. 17-33.

. Иогансен Л.В. О возможности резонансного прохождения электронов в кристаллах через систему барьеров / Л.В. Иогансен // ЖЭТФ. - 1963. - Т. 45. - №4. - С. 207-218.

. Иогансен Л.В. О резонансном туннелировании электронов в кристаллах / Л.В. Иогансен // ЖЭТФ. - 1964. - Т. 47. - №6. - С. 270-277.

. Иогансен Л.В. Тонкопленочные электронные интерферометры / Л.В. Иогансен // УФН. - 1965. - Т. 86. - №6. - С. 175-179.

13. Tsu R. Tunneling in a finite superlattice / R. Tsu, L. Esaki // Appl.Phys. Lett. - 1973. - Vol. 22. - №11. - P. 562-564.

14. Chang L. Resonant tunneling in semiconductors double barrier / L. Chang, L. Eski, R. Tsu // Appl.Phys. Lett. - 1974. - Vol. 24. - №12. - P. 593-595.

15. Блэкмор Дж. Физика твердого тела / Дж. Блэкмор. - М.: Мир, 1988.- 608 с.

. Анималу А. Квантовая теория кристаллических твердых тел / А. Анималу. - М.: Мир, 1981.- 574 с.

. Китель Ч. Введение в физику твердого тела / Ч. Китель. - М.: Наука, 1978.- 792 с

. Ашкрофт Н. Физика твердого тела / Н. Ашкрофт, Н. Мермин - М.: Мир, 1979. - 422 с.

. Баранов Л.И. Элементы теории полупроводников / Л.И. Баранов - C.: Изд-во Сарат. ун-та, 1976. - 69 с.

. Корн Г. Справочник по математике (для научных работников и инженеров) / Г. Корн, Т. Корн - М.: Наука, 1973. - 542 с.

Похожие работы на - Моделирование на ЭВМ физических процессов в кристаллах и кванторазмерных структурах

 

Не нашли материал для своей работы?
Поможем написать уникальную работу
Без плагиата!
Без нейросетей!