Цех по производству клееных щитов
Введение
производственный реечный щит
В настоящее время широко применяются изделия из клееной
древесины на основе кусковых отходов лесопиления и деревообработки (панели,
щиты, брусья) и комбинированную древесину (столярные плиты).
Преимущества клееной древесины - низкая средняя плотность,
водостойкость, возможность получения из маломерного материала изделий сложной
формы, крупных конструктивных элементов. Они характеризуются повышенной
гнилостойкостью и низкой возгораемостью, не подвержены усушке и короблению.
Клееные деревянные изделия и конструкции по срокам и трудозатратам при
возведении зданий, стойкости при воздействии агрессивной воздушной среды часто
успешно конкурируют со стальными и железобетонными конструкциями. Их применение
эффективно при возведении промышленных предприятий, выставочных, торговых
павильонов, зданий и сооружений сборно-разборного типа.
Номенклатура изделий из клееной древесины обширна. Так, из
отрезков досок склеивают панели. Такие панели применяются для устройства
перегородок, обшивки домов, настилов полов и т.д. Из кусковых отходов
лесопиления изготавливают клееные щиты, применяемые в основном для настилов
полов. Для устройства дверей, перегородок, встроенной мебели применяют
столярные плиты, облицованы с обеих сторон шпоном.
При использовании клееных изделий экономия деловой древесины
составляет до 20%, а стоимость конструкций сокращается в 3-4 раза по сравнению
со стоимостью конструкций из цельной древесины.
В производстве массивного клееного щита различают два вида:
однослойный и многослойный щиты.
В данной работе рассматривается производство трёхслойного
клееного щита. Трёхслойный щит из массивной древесины изготавливается из
деревянных заготовок (рейка) шириной от 44 мм, которые склеены друг с другом в
один слой параллельно направлению волокон и облицованы шпоном с двух сторон.
Производство столярных плит открывает широкий спектр
возможностей реализации продукции, как дополнительных опций основной продукции
предприятия (замена ДСтП и МДФ на изделиях более высокой ценовой категории),
так и в качестве поставок сырья на другие деревообрабатывающие предприятия.
Самым лучшим в изготовлении корпусной мебели является
столярная плита покрытая шпоном твёрдых пород дерева, таких как дуб, орех,
ясень и т.д. Столярная плита изготавливается по принципу бутерброда и состоит в
середине в виде мебельного щита из склеенных между собой деревянных реек,
небольшого бруса и окленного с 2-х сторон тонкими листами фанеры и мдф, а ещё
сверху фанерованного шпоном дерева, например дуба, ясеня, ореха, бука. Такая
мебельная плита дешевле цельного массива дерева. Также имеет свои плюсы перед
цельным куском массива, например, столярная плита намного легче массива, меньше
подвержена искривлению по сравнению с массивом под воздействием влажности, т.к.
изготовлена по принципу бутерброда, и наружный слой и мебельный щит из реек
имеют разные направления волокон дерева. Столярная плита намного более
экологична по сравнению с ДСтП и МДФ. Такие столярные плиты часто используются
в изготовлении мебели среднего и средневысокого уровня, например шкафы,
гардеробные комнаты и т.д., особенно когда нужно показать красоту шпона дерева.
Шпонирование - это процедура, которая выполняется на деревообрабатывающем
производстве и заключается в облицовке панелей из столярной плиты, ДСП, МДФ или
фанеры шпоном ценных пород дерева.
В данной работе мы рассматриваем применение столярных плит
для производства корпусной мебели, в настоящее время предприятие ИП Романов
использует ДСтП и МДФ. В дальнейшем на предприятии планируется открытие направлений
по производству межкомнатных дверей, подоконников, кровельной плитки, фрамуг,
настилов полов из щитового паркета.
Цель работы - спроектировать цех по производству реечных
щитов на базе ИП «Романов».
Для достижения поставленной цели решались следующие задачи:
. Проектирование технологического процесса, выбор основного и
вспомогательного оборудования.
2. Выбор конструкции изделия.
3. Изучение влияния марки клея на прочность клеевого шва.
. Расчёт площади цеха, освещения.
. Анализ вредных и опасных факторов проектируемого
производства.
. Расчет основных экономических показателей.
1. Общая часть
.1 Краткая характеристика предприятия
ИП Романов Роман Вячеславович было создано
Романовым Романом Вячеславовичем, который и является директором данного предприятия
в 2009 г. На протяжении всей истории существования предприятие активно
развивается, привлекая молодых специалистов. Основными направлениями работы
организации стало предоставление качественной мебели.
В 2013 г. был построен новый цех данного
предприятия, соответственно ИП расширилось. Была приобретена новая техника. На
сегодня, ИП Романов - это команда талантливых, целеустремлённых и ответственных
людей, способных решать задачи любой сложности и соответствовать высокому
качеству предоставляемых ими услуг.
Производство мебели по индивидуальным
заказам позволяет без проблем решить целый ряд задач, которые всякий раз
возникают при попытке обставить свою квартиру новой мебелью. Заказная мебель
будет идеально соответствовать габаритам конкретной комнаты, где будет стоять,
а значит заказчик сможет более эффективно использовать пространство в доме.
Помимо этого, у заказчика появляется
реальная возможность оживить все свои идеи, выбрать цветовую гамму, материалы.
Такая мебель будет полностью соответствовать Вашим желаниям, а значит - больше
радовать Вас. Сейчас предприятие быстро развивается, но так как спрос на
корпусную мебель из стандартных материалов и покрытий падает, руководство
приняло решение о частичной замене материалов.
В настоящее время в состав предприятия входят:
1. Цех производства корпусной мебели.
2. Контрольно-пропускной пункт.
. Котельная.
. Электроподстанции.
. Резервуар 10000 м3.
. Водонапорная башня.
. Материально-технический склад.
. Насосная станция.
. Здание управления.
Основные виды продукции предприятия:
. Корпусная мебель для кухни.
2. Корпусная мебель для гостинной.
. Шкуфы-купе.
. Тумбочки.
. Корпусная мебель для офиса.
.
1.2 Местонахождение и пути сообщения
Предприятие ИП «Романов» расположено в селе Вазерки
Бессоновского района. В центре Европейской России, на западных склонах
Приволжской возвышенности, севернее г. Пензы, на левом берегу р. Суры.
Пути сообщения к комбинату приведены в таблице 1.1.
Таблица 1.1 - Пути сообщения
|
Виды сообщения
|
Наименование
|
Расстояние до
предприятия, км
|
|
1. Железная
дорога Пенза - Рузаевка
|
Остановочный
пункт 111 км Станция 109 км
|
2 7
|
|
2. Автодорога
Пенза - Саранск
|
Федеральная
траса М5
|
5
|
1.3 Поставщики сырья
Сырьем для производства корпусной мебели служит ДСтП и МДФ.
Основные поставщики: официальный дилер Череповецкого фанерно-мебельного
комбинат, официальный дилер компании ООО «СВЕЗА-Лес», а так же различные
местные производители, в зависимости от предлагаемого качества и цен в данный
момент. Требования предъевляемые к продукции Плита-основа ДСП - группа П-А,
сорт 1, мелкоструктурная, класс эмиссии Е-1. Размер плиты 2750*1830, 3500*1750
Облицовка двухсторонняя, фактура поверхности: поры дерева, степень блеска
матовая.
1.4 Снабжение комбината электроэнергией, паром,
водой, сжатым воздухом
На территории комбината находиться производственная
котельная, топливом являются отходы производства (опилки, кусковые отходы). В
котельной установлен Котёл Гейзер фирмы «termowood», благодаря уникальному
устройству топочной камеры, может работать на любом твёрдом топливе, даже
имеющем повышенную влажность. Работа котла полностью автоматизирована и
контролируется программным управлением. Котлы на древесном топливе
ГЕЙЗЕР-termowood способны работать в любых климатических условиях и отличаются
высоким КПД, а также функцией очистки дыма.
Для производства сжатого воздуха в цехе установлен компрессор
марки Remeza ВК-20-15.
Водоснабжение осуществляется из артезианской скважины
глубиной 112 м, а в дальнейшем от водонапорной башни предприятия.
Электричество поступает на предприятие из села Вазерки по
линии на тяговую подстанцию, далее на 2 рабочие подстанции общей мощностью 2000
кВт. Станочное оборудование в ЦКМ запитано от напряжения 380 вольт.
Для удаления стружки в ЦКМ смонтирована аспирация, от каждого
станка воздуховоды через воздухораспределители подают отходы в вытяжную трубу,
которая соединена с вентилятором ВПР 122-45, а из него стружка попадает в
циклон.
1.5 Кадровый потенциал. Производительность и оплата труда
Кадровый потенциал предприятия, производительность и оплата
труда приведены в таблице 1.2 и 1.3.
Таблица 1.2 - Кадровый потенциал
|
Наименование
показателя
|
Годы
|
|
2013 год
|
2014 год
|
|
чел.
|
%
|
чел.
|
%
|
|
1.
Среднесписочная численность
|
44
|
100
|
48
|
100
|
|
2. Промышленно
- производственный персонал: - рабочих - служащих
|
31 13
|
80 20
|
34 14
|
80 20
|
Среднесписочная численность работников в 2012 году
увеличилась на 9,25% (4 человека). Доля рабочих увеличилась на 9,7% (3
человека). Доля служащих увеличилась на 8,7% (1 человек).
Таблица 1.3 - Показатели производительности и оплата труда,
тыс. руб.
|
Наименование
показателя
|
2013 год
|
2014 год
|
Процент роста
|
|
Объём
производства продукции
|
5600000
|
6200000
|
110,7
|
|
Выработка
продукции на одного работающего
|
127272
|
129166
|
101
|
|
Средства на
оплату труда всего персонала
|
385000
|
471840
|
117
|
|
Среднемесячная
зарплата
|
8750
|
9830
|
112
|
Объём производства продукции в 2014 году по сравнению с 2013
годом вырос на 10,7% (6000000 тыс. р.). Среднемесячная зарплата за 2012 год по
сравнению с 2011 году выросла на 12,34% (1080 руб.).
1.6 Анализ производственной программы предприятия
Целью анализа является изучение производственной деятельности
предприятия и оценка возможности организации на базе предприятия производства
реечных щитов.
На предприятии освоен выпуск корпусной мебели.
В настоящее время предприятие использует для производства
ДСтП и МДФ, что позволяет выпускать мебель среднего и эконом класса.
Производство столярных плит открывает широкий спектр
возможностей реализации продукции, как дополнительной системы материалов для
производства корпусной мебели, так и в качестве поставок сырья на другие
деревообрабатывающие предприятия.
В дальнейшем на предприятии планируется открытие направлений
по производству дверей, дверных коробок, подоконников, кровельной плитки,
фрамуг, настилов полов из щитового паркета. Столярные плиты обладают большим
потенциалом для возможности дальнейшего развития предприятия.
Площадь производственного цеха на предприятии ИП «Романов»
составляет - 4608 м2, при этом под производство клееного бруса
занята площадь в 2604 м2, то есть площадь в 2604 м2 не
освоена.
Таким образом, на неосвоенной площади может быть организовано
производство столярных плит. Продукция будет использоваться в едином комплексе
при производстве корпусной мебели и дальнейшего его расширения.
2. Технологический раздел
.1 Режим работы
предприятия
ИП «Романов» - работает пять дней в неделю
по одной смене в день.
Продолжительность смены - 8 часов, с 8:00
ч до 17:00 ч.
Время, отпущенное перерывы:
Технический перерыв - 0,2 часа, с 10:00 ч
до 10:20 ч.
0,2 часа, с 15:00 ч до 15:20 ч.
Обеденный перерыв - 1,0 часа, с 12:00 ч до
13:00 ч.
.2 Технологический процесс изготовления реечных щитов
Исходным материалом для однослойных плит могут быть
пиломатериалы как хвойных, так и лиственных пород. Доски после предварительной
сортировки проходят сушку по мягким режимам и кондиционирование в условиях
цеха. Сушку древесины производят на предприятии в сушильных камерах.
После этого они строгаются по толщине и раскраиваются на
рейки, причем толщина доски становится шириной рейки.
Выбор схемы получения делянок зависит от толщины доски. На
предприятии в основном используют доски толщиной 50 мм.
Далее рейки поступают на линию поперечного раскроя, где
пороки (сучки, смоляные пятна, ненормальные окраски и пр.) маркируются и
выпиливаются. После этого рейки проходят 4 - стороннюю строжку в заданный
размер поперечного сечения с высоким качеством обработки поверхностей под
склеивание.
Выбор оборудования для подготовки реек к склеиванию зависит
от сорта и размера исходных пиломатериалов. При толщине досок 44…60 мм
наилучшим вариантов является использование 5-ти шпиндельного строгального
станка. За один проход доски строгаются с 4-х сторон и с помощью пятого
пильного шпинделя раскраиваются вдоль на рейки нужной толщины. Затем следует
сортирование реек и их поперечный раскрой с целью получения нужных длин,
вырезки недопустимых дефектов и подготовки коротких реек к сращиванию. Здесь
нужно иметь в виду, что сращенные по длине рейки необходимо дополнительно
строгать с 4-х сторон и их поперечное сечение будет меньше, чем длинных реек,
не проходящих сращивание на зубчатый шип.
На участке после прессовой обработки щиты проходят ремонт,
обработку кромок и двустороннее шлифование пластей для получения продукции
нужной толщины и ширины. Далее устраняются дефекты, и производится контроль
качества продукции.
Следующей операцией является нанесение клея на плиту
вальцами, сборка столярной плиты и прессование. После того как плита остынет,
её передают на ремонт для контроля качества, далее на упаковку и на склад
готовой продукции.
В случае, когда столярная плита идёт на собственное
производство или при заказе плиты с лакировочным покрытием другими
предприятиями, заготовка передаётся в покрасочную камеру для нанесения слоя
грунта, и последующей сушки. Далее нанесение слоя лака, окончательная сушка.
При индивидуальном заказе система покрытия может меняться. Для этого проводится
подбор необходимых цветов, оттенков и глянца. Могут применяться морилки, патины
и особые эффекты.
Заключительной операцией технологического процесса является
ремонт, контроль качества продукции и передача столярной плиты в ЦКМ, или на
упаковку при заказе на лакированную плиту другим предприятием.
2.3
Выбор оборудования для каждой операции
Выбор оборудования проводим по справочным материалам [4, с. 15-22] и [1, с. 232-243].
В технологическом процессе производства проектируемого
столярных плит не предусматривается операция сращивания по длине, так как
предприятие не имеет своего лесопильного производства, будут использовать в
качестве сырья длинные доски, а не обрезки.
Для обрезки кромок необрезных пиломатериалов выбираем
круглопильный станок Ц2Д-8, технические характеристики которого приведены в
табл. 4.
Таблица 4 - Техническая характеристика круглопильного станка
для обрезки кромок не обрезных пиломатериалов Ц2Д-8 [3, с. 16].
|
Параметры
|
Ц2Д-8
|
|
Размеры
обрабатываемого материала, мм:
|
|
|
- толщина
|
13-60 (100)
|
|
- ширина
|
60-300
|
|
- длина
|
1500-7500
|
|
Количество пил,
шт.
|
2
|
|
Наибольший
диаметр пил, мм
|
400
|
|
Частота
вращения пильного вала, мин-1
|
3000
|
|
Скорость
подачи, м/мин
|
80 и 120; 60 и
90; 20 и 40;
|
|
Установленная
мощность, кВт
|
38 (53)
|
|
Габаритные
размеры, мм:
|
|
|
- длина
|
2200
|
|
- ширина
|
1600
|
|
- высота
|
1310
|
|
Масса, кг
|
3660
|
|
Завод
изготовитель
|
Вологодский
станкозавод
|
Для поперечного раскроя пиломатериалов выбираем круглопильный
станок ТСП-2, технические характеристики которого приведены в табл. 2.2.
Таблица 5. - Технические характеристики круглопильного станка
для поперечного раскроя пиломатериалов ТСП-2 [4, с. 15]
|
Параметры
|
ТСП-2
|
|
Размеры
обрабатываемого материала, мм:
|
|
|
- толщина
|
75
|
|
- ширина
|
250
|
|
Диаметр пилы,
мм
|
355
|
|
Частота
вращения пильного вала, мин-1
|
3000
|
|
Установленная
мощность, кВт
|
4
|
|
Габаритные
размеры, мм:
|
|
|
- длина
|
780
|
|
- ширина
|
990
|
|
- высота
|
1200
|
|
Масса, кг
|
272
|
Для продольного раскроя пиломатериалов выбираем станок
ЦМ150К, технические характеристики которого приведены в табл. 6.
Таблица 6. - Техническая характеристика станка для
продольного раскроя пиломатериалов ЦМ150К [4, с. 16]
|
Параметры
|
ЦМ150К
|
|
Размеры
распиливаемого материала, мм:
|
|
|
- толщина
|
20-150
|
|
- ширина
|
10-450
|
|
Наибольшая
длина распиливаемого материала, мм
|
840
|
|
Количество пил,
шт.
|
7
|
|
Наибольший
диаметр пилы, мм
|
500
|
|
Частота
вращения пильного вала, мин-1
|
3000
|
|
Скорость
подачи, м/мин
|
4-25
|
|
Установленная
мощность, кВт
|
46,5
|
|
Габаритные
размеры, мм:
|
|
|
- длина
|
2050
|
|
- ширина
|
1300
|
|
- высота
|
1750
|
|
Масса, кг
|
2000
|
Для операции строжки пластей делянки выбираем
четырехсторонний строгальный станок, технические характеристики которого
приведены в табл. 7.
Таблица 8. - Техническая характеристика четырехстороннего
строгального станка Unimat 500 (Weinig, Германия) [4, с. 17]
|
Параметры
|
Unimat 500
|
|
Размеры
обрабатываемого материала, мм:
|
|
|
- толщина
|
8-120
|
|
- ширина
|
20-230
|
|
- длина
минимальная
|
260
|
|
Количество
шпинделей, шт.
|
5-8
|
|
Частота
вращения шпинделей, об/мин
|
6000
|
|
Скорость
подачи, м/мин
|
5-30
|
|
Суммарная
мощность, кВт
|
55
|
|
Габаритные
размеры, мм:
|
|
|
- длина
|
4750
|
|
- ширина
|
1700
|
|
- высота
|
1700
|
|
Масса, кг
|
4400
|
Полученные рейки поступают на сортировочный стол. На этой
операции одновременно выполняется сортирование реек по сортам, длине и текстуре
древесины с подбором комплектов на один щит.
Для нанесения клея на делянки выбираем клеенаносящий станок
КВ-2-3, технические характеристики которого приведены в табл. 9.
Таблица 9 - Технические характеристики клеенаносящего станка
КВ-2-3
|
Параметры
|
КВ-2-3
|
|
Длина вальца,
мм
|
200
|
|
Диаметр вальца,
мм
|
200
|
|
Толщина
заготовки, мм
|
20 - 100
|
|
Скорость
подачи, м/мин
|
6,1; 14,0
|
|
Вязкость клея,
с по ВЗ-4
|
60
|
|
Установленная
мощность, кВт
|
0,25
|
|
Габаритные
размеры, м
|
2,6 х 0,55 х
1,19
|
|
Масса, кг
|
310
|
Для склеивания делянок по ширине выбираем горячий пресс
проходного типа ПС 1, технические характеристики которого приведены в табл. 10.
Таблица 10. - Техническая характеристика оборудования для
склеивания клееного щита ПС 1 [1]
|
Параметры
|
ПС-1
|
|
Размеры клееной
продукции, мм:
|
|
|
длина
минимальная
|
-
|
|
длина
максимальная
|
2600.
|
|
ширина
максимальная
|
Неограниченная
|
|
толщина
|
15-90
|
|
Скорость
подачи, м/мин
|
2
|
|
Производительность,
м3/ч
|
-
|
|
Система нагрева
|
Термомасло
|
|
Мощность
нагревателей, кВт
|
36
|
|
Установленная
мощность, кВт
|
44
|
|
Размеры (L x B
x H), м
|
4,59 х 4,27 х
1,9
|
|
Масса, кг
|
7000
|
После склеивания выполняют чистовую торцовку щита, для этого
выбираем круглопильный станок для поперечного раскроя пиломатериалов ЦФ-2,
технические характеристики которого приведены в табл. 11.
Таблица 11. - Техническая характеристика станка для
поперечного раскроя пиломатериалов ЦФ-2
|
Параметры
|
ЦФ-2
|
|
Число пил
|
4
|
|
Диаметр пилы,
мм
|
400
|
|
Скорость
окружная, м/с
|
61,1
|
|
Скорость
подачи, м/мин
|
6,8 10,4
|
|
Тип подачи
|
Гусеничная
|
|
Максимальные
размеры пачки, мм: длинна ширина толщина
|
2300 1200 90
|
|
Общая
установленная мощность электродвигателя, кВт
|
23
|
|
Габарит станка,
мм длинна ширина
|
5960 5870
|
|
Масса, кг
|
16900
|
Перед сортировкой щитов дополнительно потребуется их шлифование
на проходных или позиционных станках, для этого выбираем станок для шлифования
плоских и рельефных поверхностей ШлПС Камби, технические характеристики
которого приведены в табл. 12.
Таблица 12. - Техническая характеристика станка для
шлифования плоских и рельефных поверхностей ШлПС Камби [3, с. 321]
|
Параметры
|
ШлПС Камби
|
|
Максимальные
размеры обрабатываемой детали, мм:
|
|
|
- толщина
|
250
|
|
- ширина
|
1000
|
|
- длина
|
не ограничена
|
|
Толщина
шлифовальной ленты, мм
|
100-160
|
|
Количество
шлифовальных головок, шт.
|
1
|
|
Диаметр
лепесткового круга шлифовальных головок, мм
|
300
|
|
Частота
вращения, мин-1
|
6000
|
|
Установленная
мощность, кВт
|
3
|
|
Габаритные
размеры, мм:
|
|
|
- длина
|
3500
|
|
- ширина
|
1340
|
|
- высота
|
1350
|
|
Масса, кг
|
450
|
ООО «Простор»
г. Кострома
|
После
контрольного осмотра качества плиты её облицовывают шпоном, для этого наносят
на плиту клей вальцовым станком, выбираем Kami WT 1300, технические
характеристики которого приведены в табл. 13.
Таблица
13. Техническая характеристика высокопроизводительного клеенаносящего станка Kami WT 1300
|
Параметры
|
Kami WT 1300
|
|
Рабочая ширина,
мм
|
1300
|
|
Максимальная
толщина обработки, мм
|
80
|
|
Диаметр валов,
мм
|
200
|
|
Скорость
подачи, м/мин
|
16
|
|
Мощность
двигателя, кВт
|
2.2
|
|
Габариты, мм
|
2230*785*1470
|
|
Масса, кг
|
850
|
Для
склеивания столярной плиты выбираем гидравлический горячий пресс с плоскими
столами GAMMA T-90 25-13 PA, технические характеристики которого приведены в
табл. 14.
Таблица
14. Техническая характеристика гидравлического горячего пресса с плоскими
столами GAMMA T-90 25-13 PA
|
Параметры
|
Kami WT 1300
|
|
Модель
|
T-90 25/13/2
IP*
|
|
Размер плиты,
мм
|
2500x1300
|
|
Количество
пролетов, шт.
|
3
|
|
Усилие
прессования, т
|
90
|
|
Количество
гидроцилиндров, шт.
|
6
|
|
Диаметр
гидроцилиндров, мм
|
70
|
|
Макс.
расстояние между плитами, мм
|
108
|
|
Мощность
двигателя гидростанции, кВт
|
2,1
|
|
Мощность
бойлера, кВт
|
24
|
|
Максимальная
температура плит град, С
|
120
|
Для
шлифовки плит перед нанесением ЛКМ выбираем калибровально-шлифовальный станок
VANGUARD SGJ 1000 R-RP, технические характеристики которого приведены в табл.
15.
Таблица 15. Техническая характеристика
калибровально-шлифовального станка VANGUARD SGJ 1000 R-RP
|
Параметры
|
VANGUARD SGJ
1000
|
|
Рабочая ширина
|
40 - 1000 мм
|
|
Минимальная/максимальная
рабочая толщина
|
2,5 - 150 мм
|
|
Скорость ленты
на первом агрегате
|
19,5 м/сек
|
|
Скорость ленты
на втором агрегате Ширина
|
15 м/сек
|
|
шлифовальной
ленты
|
1030 мм
|
|
Длина
шлифовальных лент
|
2200 мм
|
|
Мощность
электродвигателя 1-го агрегата
|
15 кВт
|
|
Мощность
электродвигателя 2-го агрегата
|
11 кВт
|
|
Мощность
электродвигателя подающего конвейера
|
4 кВт
|
|
Скорость
подающего транспортера с вариатором
|
6 - 24 м/мин
|
|
Рабочее
давление в системе
|
0,4 - 0,8 МПа
|
|
Требуемая
скорость воздуха в аспирации
|
25 - 30 м/сек
|
|
Размеры
|
2470х2310х2070
мм
|
|
Вес
|
3000 кг
|
Для
нанесение ЛКМ выбираем покрасочную камеру с водяной завесой мод. W3000 и
Покрасочную систему нанесения ЛКМ Kremlin, технические характеристики приведены в табл.
15. и в табл. 15.
Таблица 15. Техническая характеристика покрасочной камеры с
водяной завесой мод. W3000
|
Параметры
|
мод. W3000
|
|
Габаритные
размеры, мм
|
3000*3069*2000
|
|
Ширина по
ванночке для насоса
|
3280
|
|
Мощность
электродвигателя, кВт
|
1,5
|
|
Длинна водяного
пола, мм
|
2000
|
Таблица 15. Техническая характеристика покрасочной системы Kremlin
|
Типы
применяемых ЛКМ
|
ЛКМ и
специальные покрытия - лаки, грунты, эмали, полиуретановые, акриловые,
алкидные материалы на водной и органической основе, одно и двухкомпонентные.
|
|
Корпус
пистолета
|
Алюминий с
анодным покрытием золотистого цвета
|
|
Коэффициент
переноса ЛКМ
|
86%
|
|
Давление
материала (бар)
|
20 - 200
|
|
Максимальное
давление сжатого воздуха (бар)
|
6
|
|
Рекомендуемое
давление сжатого воздуха (бар)
|
0,8 - 3,0
|
|
Расход ЛКМ
(л/мин)
|
Зависит от
диаметра выбранного сопла
|
|
Вес (гр.)
|
564
|
|
Максимальная
температура ЛКМ (ºC)
|
50
|
|
Расход сжатого
воздуха (м3/час)
|
3,5 - 6,0
|
|
Безопасность
|
Механическая
блокировка куркового устройства
|
|
Металлические
части контактирующие с ЛКМ
|
Нержавеющая
сталь/PTFE
|
|
Стандартная
система фильтрации ЛКМ в пистолете
|
Фильтр №6 (168
мкм)
|
Для сушки ЛКМ используем сушильную камеру, камера построена
из профнастила и стекловаты в качестве утеплителя.
Таблица 15. Техническая характеристика сушильной камеры
|
Параметры
|
|
|
Габаритные
размеры
|
12000*8000*3000
|
|
Мощность тэна
|
0.2-5000 кВт
|
|
Мощность
э/двигателя вентилятора
|
0,37 кВт.
|
Операции технологического процесса производства столярной
плиты из пиломатериала (порода сосна) представлены в таблицы 13.
Таблица 13. - Операции технологического процесса производства
клееного щита
|
Операции
|
Станки
|
Название и
марки станков
|
|
Обрезка кромок
необрезного пиломатериала
|
Круглопильный
станок для обрезки кромок необрезных пиломатериалов
|
Ц2Д-8
|
|
Торцовка на
заданную длину черновой заготовки
|
Круглопильный
станок для поперечного раскроя пиломатериалов
|
ТСП-2
|
|
Продольный
раскрой на рейки заданной ширины
|
Станок для
продольного раскроя пиломатериалов
|
ЦМ150К
|
|
Чистовое
строгание с 4-х сторон делянки
|
Четырехсторонний
строгальный станок
|
Unimat500
|
|
Нанесение клея
на делянки
|
Вальцовый
клеенаносящий станок
|
КВ-2-3
|
|
Склеивание
делянок по ширине
|
Пресс для
склеивания древесины по ширине
|
ПС 1
|
|
Чистовая
торцовка щита
|
Круглопильный
станок для поперечного раскроя пиломатериалов
|
ЦФ-2
|
|
Калибрование
щитов
|
Шлифовальный
станок
|
ШЛПС Камби
|
|
Шлифование
щитов
|
|
|
|
Устранение
дефектов
|
Вручную
|
|
|
Контроль
качества
|
Визуальное
|
|
|
Нанесение клея
на щит
|
Высокопроизводительный
клеенаносящий станок
|
Kami WT 1300
|
|
Склеивание
шпона и щита
|
Гидравлический
горячий пресс с плоскими столами
|
GAMMA T-90
25-13 PA
|
|
Чистовая
шлифовка
|
Шлифовальный
станок
|
VANGUARD SGJ
1000
|
|
Нанесение ЛКМ
|
Покрасочная
камера с водяной завесой
|
Мод. W3000
|
|
Покрасочная
система
|
Kremlin
|
|
Сушка
|
Сушильная
камера
|
|
|
Устранение
дефектов
|
Вручную
|
|
|
Контроль
качества
|
Визуальное
|
|
|
Упаковка
изделия
|
Вручную
|
|
|
Складирование
|
Погрузчик
|
|
2.4
Определение программы цеха
Программа производства обычно определяется по
производительности головного оборудования, под которым в цехах клееной
продукции понимается клеильный пресс, как наиболее сложное и дорогостоящее
оборудование, под которое подстраивается вся технологическая цепочка в цехе.
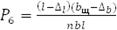
Исходя из параметров реечного щита выбран пресс проходного типа ПС 1.
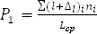
Производительность пресса проходного рассчитывается по формуле


, (1)
где l, h - чистовые размеры продукции, (хотя из
пресса выходят необрезные щиты, расчет выполняют с учетом чистовых размеров
щитов, так как программа цеха выражается в размерах товарной продукции); n
- число щитов в одной запрессовке, шт.; Кр -
коэффициент рабочего времени, Кр = 0,94 - 0,95; V
- скорость подачи, м/мин; Км - коэффициент машинного
времени (учитывает потери рабочего времени на настройку станка, межторцовые
разрывы и пр.).
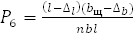
Годовая программа зависит от сменности работы оборудования и
рассчитывается по формуле

, (2)
где 
принимаем 2000 час. (при односменной работе)

.5
Расчет потребности в пиломатериалах
Расчет потребности в пиломатериалах проводим методом
определения коэффициентов пооперационных потерь. Он заключается в том,
что потери древесины рассчитываются для каждой операции механической обработки
по известным припускам на обработку.
Первичная торцовка на заданную длину. Отходы на этой
операции зависят от характеристик используемых пиломатериалов (сорт, длина,
размеры сечения), а также от кратности заготовок по длине и схемы раскроя.
Поперечно - продольно-поперечная схема раскроя является оптимальной для
продукции, склеиваемой из реек. При этой схеме первичная торцовка ведется без
вырезки дефектов, а задается только необходимая длина (или несколько длин).
Припуски по длине для делянок дощатого щита определяли из табл. 11.16. [1].
Коэффициент выхода черновых заготовок из досок рассчитывали
по формуле

, (3)
где l - заданная длина доски, мм; Dl -
припуск по длине (табл. 11.16) [1]. мм; n - целое число
заготовок из доски, рассчитывается по формуле

, (4)
где Кд - коэффициент использования
длины доски, учитывающий потери на оторцовку и пропилы, Кд =
0,98.
При продольном раскрое заготовок и строгание реек размеры
делянок при известных размерах поперечного сечения доски можно рассчитывают по
формуле:

, (5)

, (6)
где B, H - ширина и толщина доски, мм; b, h -
ширина и толщина делянки, мм; n - число делянок, получаемых из
доски (кратность); q - ширина пропила, мм; Db, Dh
- припуски на двухстороннее фрезерование соответственно по ширине и
толщине заготовки, мм (см. табл. 11.16, 11.17) [1].
При работе с толстыми досками (Н>40 мм) операции
фрезерования и продольного раскроя совмещаются в одном станке, поэтому можно
записать:

, (7)
где 
- коэффициент выхода нестроганных реек из черновых заготовок; 
- коэффициент выхода фрезерованных реек из нефрезерованных.
В данном случае имеем потери 100 (1-0,751) = 24,9%, которые
складываются из потерь в опилки и стружку.
Таблицы 11.17[1] и не отражают всего многообразия условий
производства. В частности, они не учитывают длину заготовки и характер ее
предыдущей обработки. Поэтому фактические минимально допустимые припуски
целесообразно находить опытным путем, а расчеты вести с точностью 0,1 мм.
Потери древесины на участке отбраковки и торцовки реек не
могут быть подсчитаны аналитически, так как зависят от качества (сорта)
пиломатериалов, в данном случае от наличия пороков в рейках.
В практике технологических расчетов ориентировочные значения
выхода заготовок из пиломатериалов принимают по табл. 11.19 [1].
Для хвойных обрезных досок можно считать, что полезный выход составляет
67% (Р4 = 0,67), а отпад примерно в 1/3 представляет
собой кусковые отходы, частично пригодные для переработки на попутную
продукцию.
На участке склеивание щитов не происходит механической
обработки древесины, однако возможны потери из-за брака в работе, необходимости
настройки и пробного склеивания щитов, по организационным причинам. По опыту
предприятий можно принять потери в 1% (Р5 = 0,99).
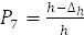
На участке послепрессовой обработки щитов щит, вышедший из пресса,
требует обработки по длине с помощью опиливания, по ширине путем фрезерования
или опиливания и по толщине путем двухстороннего шлифования. Соответствующие
припуски указаны в табл. 11.20 [1].
Припуск по ширине может быть сведен к минимуму за счет
приклеивания последней рейки малой ширины, дополняющей щит до размера, близкого
к заданному. Коэффициент выхода нешлифованных обрезных щитов из необрезных
рассчитывают по формуле

, (8)
где l - длина реек, мм; bш -
ширина щита после пресса, мм; n - число реек шириной b в
щите; Dl и Db - припуски на
обработку щитов по длине и ширине (табл. 11.20) [1].
Коэффициент выхода шлифованных щитов из нешлифованных:

, (9)
где h - толшина реек, мм; Dh -
припуск по толщине (табл. 11.19) [1], мм.
Перемножая все коэффициенты потерь, получим полезный выход щитов
из пиломатериалов

, (10)
Обратная величина называется расходным коэффициентом,
показывающим расход пиломатериалов на готовой продукции

, (11)
При известном расходном коэффициенте потребность в сухих
пиломатериалах на программу М выпуска продукции рассчитывается по
формуле

, (12)
Пооперационные потери древесины представлены в табл. 14.
Таблица 14 - Пооперационные потери древесины в производстве
щитов
|
Операция
|
Отходы
|
Расчетая
формула
|
Кол-во отходов
м3
|
|
Торцовка досок
|
Кусковые
|
Q1=
Qпм (1-Р1)
|
413,79
|
|
Торцовка и
отбраковка реек
|
Кусковые
|
Q4 =
Qпм P1 Р2 P3(1-P4)
|
7222,5
|
|
Прессование
|
Кусковые
(отбраковка)
|
Q5=
Qпм P1 Р2 P3 P4(1-P5)
|
218,86
|
|
Форматная
обрезка
|
Кусковые и
опилки
|
Q6
= Qпм P1 Р2 P3 P4 P5(1-P6)
|
3660
|
|
Шлифование
|
Шлифовальная
пыль
|
Q7
= Qпм P1 Р2 P3 P4 P5
P6 (1-P7)
|
264
|
2.6 Расчет потребности в оборудовании
Потребность в оборудовании рассчитывается по методике,
изложенной в п. 8.7. [1].
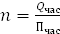
Число станков рассчитывают по формуле:

, (13)
где Пчас - часовая производительность
станка, определяемая из характеристики оборудования или расчетным путем, м3;
Qчас - часовой объём работ, приходящийся на данный
станок, м3.

, (14)
М -
программа предприятия; обычно принимается равной годовой производительности
головного оборудования, м3; Тэф -
эффективный фонд времени оборудования, зависящий от сменности работы
предприятия. 
принимаем 2000 час (при односменной работе).
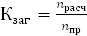
Коэффициент загрузки оборудования, %, вычисляют по формуле

, (15)
где 
- расчетное количество оборудования; 
- принятое количество оборудования.
Количество головного оборудования для склеивания, горячий пресс
проходного типа ПС 1.

м3
Принимаем 1 станок
Коэффициент загрузки оборудования составит
Производительность проходных станков (прирезных,
продольно - фрезерных, шлифовальных) зависит от скорости подачи V (м/мин)
и рассчитывается по формуле

, (16)
где Кр и Км -
коэффициенты рабочего и машинного времени (табл. 11.22) [1], b, l и h - размеры материала,
м, выходящего из станка; n - число одновременно обрабатываемых
заготовок (например, реек получаемых из одной заготовки, шт.).
Скорость подачи для конкретного станка выбирается с учетом
характеристик оборудования и требуемого качества обработки. Не следует
стремиться использовать максимальные скорости подачи, так как это отрицательно
скажется на качестве обработки поверхностей. Обычно проходные станки имеют
более высокую производительность, чем позиционные, и форсировать их работу не
требуется.
). Круглопильный станок для обрезки кромок необрезных
пиломатериалов Ц2Д-8.
Часовая производительность станка (форм. 16)
:
Число станков можно определить по формуле (13):
Принимаем 1 станок.
). Круглопильный станок для поперечного раскроя
пиломатериалов ТСП-2.
Производительность торцовочного станка на участке
раскроя досок на заготовки, м3/ч:

, (17)
где Кр - коэффициент рабочего времени, Кр
=0,94; l, b, h - размеры заготовки, м; n -
число резов на одну заготовку, n =1,2 - 1,5; Тц -
время цикла, с.

, (18)
где Nр - число резов в минуту, Nр
= 8 - 12.

c

м3/ч
Объём работ для данного станка следует принимать равным часовой
потребности в заготовках (а не в пиломатериалах). Малые торцовки для реек
рассчитываются аналогично, а за объём работ принимается часовая потребность в
чистовых рейках, идущих на склеивание.
Число станков можно определить по формуле (13):
Принимаем 1 станок.
). Станок для продольного раскроя пиломатериалов ЦМ150К.
Часовая производительность станка (форм. 16):


Число станков можно определить по формуле (13):
Принимаем 1 станок.
). Четырехсторонний строгальный станок Unimat 500:
Часовая производительность станка (форм. 16):


Число станков можно определить по формуле (форм. 13):
Принимаем 1 станок.
). Клеенаносящий станок КВ-2-3:
Часовая производительность станка (форм. 16):


Число станков можно определить по формуле (форм. 13):
Принимаем 1 станок.
). Круглопильный станок для поперечного раскроя пиломатериалов
ЦФ-2:
Часовая производительность станка рассчитывается по формуле:

, (19)


Число станков можно определить по формуле (форм. 13):
Принимаем 1 станок.
). Шлифовальный станок ШЛПС Камби:
Часовая производительность станка (форм. 15):


Число станков можно определить по формуле (форм. 13):
Принимаем 1 станок.
). Клеенаносящий станок KAMI:
Часовая производительность станка (форм. 16):


Число станков можно определить по формуле (форм. 13):
Принимаем 1 станок.
). Гидравлический горячий пресс GAMMA:
Число станков можно определить по формуле (форм. 13):
Принимаем 1 станок.
). Шлифовальный станок VANGUARD:
Часовая производительность станка (форм. 15):


Число станков можно определить по формуле (форм. 13):
Принимаем 1 станок.
2.7.
Составление схемы технологического процесса
При составлении схемы технологического процесса необходимо
исключить пересечение маршрутов движения заготовок, а также возвратных
движений. Технологические операции, выполняемые на выбранном оборудовании,
располагаем в последовательности их выполнения и обозначаем на схеме кружками,
соединенными между собой горизонтальной и вертикальной линиями.
3.
Конструкторский раздел
.1
Основные направления использования реечных щитов
Столярные плиты являются одним из самых востребованных
материалов в строительстве и мебельном производстве. Все столярные плиты
изготавливаются из натуральной древесины (сосны). Это натуральный, экологически
безопасный материал. Широкий диапазон размеров позволяет использовать наши
мебельные щиты в производстве высококачественной мебели для дома и офиса,
детской мебели, а также из них изготавливаются деревянные лестницы, двери,
ступени, подоконники, используются в строительных и отделочных работах.
Это идеальный вариант придания дизайну помещения
натуральности, естественности и оригинальности. Столярные плиты - материал с
чрезвычайно высокими эксплуатационными характеристиками. Мебель из него и
другие изделия обладают повышенной прочностью, надежностью и долговечностью.
Приятная для визуального восприятия текстура дарит эстетическое удовольствие и
создает ощущения комфорта и уюта. Столярные плиты из сосны позволяет сделать
интерьер помещения оригинальным, и в то же время практичным. Дерево - это
природный материал, который ежедневно присутствует в нашей жизни. Уже много
веков пиломатериал активно используется при строительстве и в качестве мебели.
Свое признание он получил благодаря практичности, функциональности и простоте
применения. Долгий срок службы, надежность, высокие эстетические качества,
теплый, солидный и благородный цвет - все это основные характеристики, которые
присущи всем изделиям из дерева, в том числе, безусловно, и деревянным
мебельным щитам. Их универсальность и прочность позволяет рассчитывать на
долгий срок службы изделий. Именно поэтому, мебель, изготовленную из таких щитов,
можно увидеть практически в каждой квартире или офисе.
В данном проекте мы рассматриваем производство корпусной
мебели из столярной плиты. При сборе конструкции корпусной мебели из столярной
плиты, нам очень важны величины допусков при производстве щитов. Используя
цепной метод простановки размеров, можно обеспечить повышенную точность
исполнения тех размеров, которые являются наиболее важными в формировании
качества изделий. Метод простановки размеров обязывает придерживаться
определенной последовательности при настройке оборудования и при контроле
размеров. При конструировании сложных изделий необходимо обеспечить определенную
точность взаимного расположения деталей, поверхностей, осей отверстий и т.д.
относительно друг друга. Относительное положение элементов и составных частей
изделия определяется взаимосвязью их размеров. Совокупность связанных между
собой размеров, образующих замкнутый контур, называется размерной цепью.
Размерные цепи могут быть линейными, плоскостными и пространственными. Если
размеры, образующие размерную цепь, параллельны, они образуют линейную
размерную цепь. Плоскостная цепь образуется размерами в одной плоскости,
пространственная - в пространстве. Размеры, образующие размерную цепь, называют
звеньями размерной цепи.
Размерные цепи, которые связывают размеры определенной
детали, называют подетальными. В зависимости от назначения размерные цепи могут
быть конструкторскими, технологическими и измерительными. Конструкторские
размерные цепи используют при конструировании, технологические - при настройке
оборудования и изготовлении детали, измерительные - при контроле размеров.
Размерные цепи позволяют связать взаимозаменяемость отдельных размеров деталей
с условиями обеспечения взаимозаменяемости сборочной единицы, и даже всего
изделия, характеризуемого целым комплексом размеров. Обеспечение этих условий
достигается решением задачи размерных цепей.
Согласовано: Утверждаю:
к.т.н., доцент зав. кафедрой «технология
Кислицына С.Н. строительных материалов и и деревообработки» и
к.т.н., профессор
Калашников В.И.
Столярная плита
Техническое описание
ТДО-51-ТСМиД-ПГУАС-СП-01-15
Срок действия
установлен до 06.2016
Автор проекта
Афтаев А.
3.2
Вводная часть
Техническое описание разработано в соответствии с заданием на
дипломное проектирование и распространяется на столярные плиты.
Технические требования на столярные плиты должны
соответствовать ГОСТ 6449.3-82 и конструкторской документации.
Конструкторская документация разработана на кафедре
«Технология строительных материалов и деревообработки» Пензенского
государственного университета архитектуры и строительства.
Адрес: 440028, г. Пенза, ул. Беляева, 28.
3.3
Требования, предъявляемые к изделию
Столярные плиты должны соответствовать ГОСТ 13715-78* Плиты
столярные. Технические условия.
Столярные плиты должны изготовляться в соответствии с
требованиями настоящего стандарта по технологической инструкции.
Физико-механические показатели плит должны соответствовать
значениям, указанным в табл. 3. [2].
Влажность плит определяют по ГОСТ 9621-72.
Предел прочности при скалывании по клеевому слою определяют
по ГОСТ 9624-72. Предел прочности при статическом изгибе определяют по ГОСТ
9625-87.
Шероховатость поверхности Rтmax должна
соответствовать требованиям ГОСТ 7016-82.
Транспортная маркировка должна производиться в соответствии с
требованиями ГОСТ 14192-77.
Упаковка, маркировка, транспортирование и хранение плит для
районов Крайнего Севера и труднодоступных районов должны соответствовать ГОСТ
15846-79.
Основные параметры и размеры пакетов - по ГОСТ 24597-81.
3.4
Описание изделия
Изделие, предназначенное в качестве сырья для производства
корпусной мебели. В дальнейшем на базе предприятия планируется открыть выпуск
межкомнатных дверей, подоконников, настилов полов.
3.5
Конструкция и материалы
Изделия клеёной конструкции.
Материалы: доска из массива сосны 6000*150*50 по ГОСТ
8486-86, Клей Dorus марки MD, однокомпонентный клей, строганный шпон I-II сорта.
3.6
Расчёт по детальной размерной цепи клеёного реечного щита
Задача: обеспечить требуемые размеры.
Номинальные размеры всех звеньев размерной цепи мм,
рассчитаем по формуле

, (20)
где Аi -
номинальный размер исходного звена; 
- передаточное отношение звена;
Расчёт размерной цепи клеёного реечного щита представлен в
табл. 16.
Таблица 16. Расчёт размерной цепи
|
Звено
|
Передаточное
отношение
|
Номинальный
размер Аi
|
Поле допуска i звена
|
Допуск  АiКоординаты
середины поля допуска звена
|
|
|
А1
|
+1
|
44
|
h13
|
0,2
|
0,1
|
|
А2
|
+1
|
44
|
h13
|
0,2
|
0,1
|
|
А3
|
+1
|
44
|
h13
|
0,2
|
0,1
|
|
А4
|
+1
|
44
|
h13
|
0,2
|
0,1
|
|
А5
|
+1
|
44
|
h13
|
0,2
|
0,1
|
|
А6
|
+1
|
44
|
h13
|
0,2
|
0,1
|
|
А7
|
+1
|
44
|
h13
|
0,2
|
0,1
|
|
А8
|
+1
|
44
|
h13
|
0,2
|
0,1
|
|
А9
|
+1
|
44
|
h13
|
0,2
|
0,1
|
|
А10
|
+1
|
44
|
h13
|
0,2
|
0,1
|
|
А11
|
+1
|
44
|
h13
|
0,2
|
0,1
|
|
А12
|
+1
|
44
|
h13
|
0,2
|
0,1
|
|
А13
|
+1
|
44
|
h13
|
0,2
|
0,1
|
|
А14
|
+1
|
44
|
h13
|
0,2
|
0,1
|
|
А15
|
+1
|
44
|
h13
|
0,2
|
0,1
|
|
А16
|
+1
|
44
|
h13
|
0,2
|
0,1
|
|
А17
|
+1
|
44
|
h13
|
0,2
|
0,1
|
|
А18
|
+1
|
44
|
h13
|
0,2
|
0,1
|
|
А19
|
+1
|
44
|
h13
|
0,2
|
0,1
|
|
А20
|
+1
|
44
|
h13
|
0,2
|
0,1
|
|
А21
|
+1
|
44
|
h13
|
0,2
|
0,1
|
|
А22
|
+1
|
44
|
h13
|
0,2
|
0,1
|
|
А23
|
+1
|
44
|
h13
|
0,2
|
0,1
|
|
А24
|
+1
|
44
|
h13
|
0,2
|
0,1
|
|
А25
|
+1
|
44
|
h13
|
0,2
|
0,1
|
|
А26
|
+1
|
44
|
h13
|
0,2
|
0,1
|
|
А27
|
+1
|
44
|
h13
|
0,2
|
0,1
|
|
А28
|
+1
|
44
|
h13
|
0,2
|
0,1
|
|
А29
|
+1
|
44
|
h13
|
0,2
|
0,1
|
|
А30
|
+1
|
44
|
h13
|
0,2
|
0,1
|
|
А31
|
+1
|
44
|
h13
|
0,2
|
0,1
|
|
А32
|
+1
|
44
|
h13
|
0,2
|
0,1
|
|
|
+1
|
1400
|
-
|
-
|
-
|
Расчётные значения коэффициента среднего поля допусков
различного звена мм, определим по формуле

, (21)
где 
середина поля допуска допуска;
Расчётный допуск звена мм, рассчитаем по формуле
, (22)
где 
допуска; 
корень квадратный для выражения в скобках;
Предполагаемое отклонение замыкающего звена мм, определим по
формуле

(23)

(24)
Расчётное предельное отклонение замыкающего звена мм, определим по
формуле


(25)

(26)
4. Научно-исследовательский раздел
.1 Состояние вопроса и задачи исследования
Актуальность исследования. Прочность клеевого
соединения древесины один из важных показателей, влияющих на качество изделия в
целом. Прочность клеевого соединения зависит от конструктивных, технологических
и эксплуатационных факторов.
Конструктивные факторы: конструкция клеевых швов
(геометрические размеры и характер соединения), структура и свойства материалов
адгезива и субстрата.
Технологические факторы: характер поверхностей склеиваемых
материалов, качество подготовленной поверхности к склеиванию; концентрация,
вязкость, время и вид сушки клея; количество остаточного растворителя;
температура и время активации клеевых пленок; режимы склеивания, расход клея и
др. Режимы склеивания для различных облицовочных материалов и разных клеев
разнообразны.
Эксплуатационные факторы: температурные воздействия; действие
воды и агрессивных сред; длительность эксплуатации и др.
Получение прочного клеевого соединения зависит от наличия у
клея высоких адгезионных свойств. Адгезия - прилипание, связь молекул между
приведенными в контакт двумя любыми разнородными телами. Определение адгезии
может производиться с целью выявления режима образования связи или покрытия, а
также выявления условия и времени эксплуатации на величину адгезии.
Согласно механической теории, адгезия вызвана действием сил
(дисперсионных сил, сил взаимодействия диполей), образованием водородных
связей, взаимодействием макромолекул в зоне контакта. Адгезия объясняется
миграцией молекул адгезива к поверхности субстрата в результате броуновского
движения или установлением адсорбционного равновесия, возникновением связей
между адгезивом и субстратом.
В разработанной конструкции реечных щитов склеивание
предусмотрено на гладкую фугу.
Качество склеивания при этом зависит главным образом от
толщины клеевой пленки, от давления и степени равномерности запрессовки.
Нормальная толщина пленки должна быть от 0,1 до 0,15 мм и
определяется по толщине фуги (т.е. толщине клеевого стыка на поверхности
изделия).
Чрезмерно тонкая пленка не обеспечивает связи склеенных
поверхностей между собой. При усыхании склеенной древесины возможны разрывы по
склейке. При механическом испытании скалывание происходит по склейке и по
поверхности склейки клеевая пленка отсутствует.
Очень тонкая клеевая пленка или «голодное соединение» может
получиться при:
а) соединении нормальным или слишком жидким клеевым раствором
торцевых и полуторцевых (усовых) поверхностей между собой или с поверхностями,
имеющими продольное направление волокон. Весь клей легко впитывается при этом в
поры древесины, почти не оставляя пленки;
б) недостаточной промазке склеиваемых поверхностей клеем;
в) несоблюдении режима открытой и закрытой пропитки и при
значительном давлении пресса. Клей не успевает как следует связаться с
древесиной и вытекает, не оставляя сколько-нибудь значительной пленки;
г) нанесении неправильно приготовленного, очень жидкого клея.
Толстая пленка или «жирное соединение» также снижает качество
склеивания. Для толстой пленки характерна пузырчатость, заметная в шве в виде
разрывов, и хрупкость. При испытании на скалывание жирное соединение
разрушается по плоскости склейки и обнаруживает толстую неравномерной прочности
пленку клея.
Толстая пленка получается при:
) жирной намазке и недостаточном давлении клея, когда излишек
клея не выжимается;
) одностороннем давлении на плоскость склейки (перекос детали
или сулаги);
) в случае применения загустевшего клея;
) слишком продолжительной открытой пропитке или при удлинении
процессов сборки и запрессовки, выходящем за пределы установленных норм.
Недостаточное или неравномерное давление при запрессовке во
всех случаях снижает крепость склейки. При правильном нанесении клеевого слоя
надлежащей консистенции и равномерном и достаточном давлении клеевое соединение
получается всегда крепче древесины и при механическом испытании дает скалывание
по целому материалу. О качестве склеивания можно судить по характеру фуги; она
должна быть тонкой, но достаточно заметной и не иметь перерывов и пузырей. Цвет
фуги при склейке смоляными клеями должен быть розово-красным.
Цель исследования: определение прочности
клеевого соединения древесины с применением различных клеев.
Задачи исследования:
- подобрать вид и составы клеев;
- разработать режим склеивания;
- провести испытания прочности клеевого шва.
.2 Материалы и методы исследования
Применяемые материалы
Для исследований применяли:
Заготовки из древесины - сосны длиной 40 мм, шириной (b) 20 мм и толщиной 20 мм.
Перед испытанием образцы склеивались, длина склеивания при
этом составляла 20 мм (см. рис. 4). После склеивания образцы выдерживались не
менее 3 суток (согласно ГОСТ 15613.2-77).
Карбамидоформальдегидная смола марки КФ-Ж представляет собой
сиропообразную бесцветную жидкость с концентрацией 60-70% после отгонки воды
под вакуумом. Достоинства: высокая скорость отверждения, низкая стоимость,
высокая прочность клеевого шва, слабый запах и бесцветность.
Недостатки: ограниченная водостойкость и теплостойкость, наличие
токсичного свободного формальдегида, значительная усадка клея, повышенная
коррозионная опасность клея, хрупкость клеевого шва.
Смола марки КФ-Ж - карбамидоформальдегидная смола с
повышенной жизнеспособностью.
Свойства КФ-Ж по ГОСТ 14231 приведены в таблице 17
Таблица 17 - Свойства КФ-Ж по ГОСТ
14231
|
Наименование
показателей
|
КФ-Ж
|
|
Внешний вид
|
Однородная
суспензия белого, светло-желтого цвета
|
|
Массовая доля
сухого остатка, %
|
67±2
|
|
Содержание
свободного формальдегида, %
|
0,09
|
|
Условная
вязкость при 20°С± 0,5оС, с: по В3-246
|
35 - 50
|
|
Допускаемая
вязкость при хранении, с
|
180 (М)
|
|
Водородный
показатель (рН)
|
7,5-8,7
|
|
Время
желатинизации при 100°С, с
|
40-65
|
|
Прочность
склеивания древесины, Мпа
|
8,0
|
В качестве отвердителя смолы марки КФ-Ж применяли хлористый аммоний.
Рецептура клея:
- карбамидоформальдегидная смола КФ-Ж - 100 мас.
ч.;
- хлористый аммоний - 1 мас. ч.
Клей Dorus марки MD 072, однокомпонентный клей.
Преимущества клея:
пригоден для теплого и холодного склеивания;
короткое время прессования;
клеевой шов: твердоэластичный;
Свойства клея Dorus MD 072 приведены в таблице 18
Таблица 18 - Свойства MD 072.
|
Наименование
показателей
|
Dorus MD 072
|
|
1. Основа
|
ПВА
|
|
2. Рабочая
температура, °С
|
20-80
|
|
3. Плотность,
г/см3
|
1,13
|
|
4. Вязкость
Brookfield, mPa.s;
|
14000 мПа.с
|
|
5. Цвет
|
белый
|
|
Время открытой
выдержки, мин
|
20
|
|
6. Расход клея,
г/м2 при ручном нанесении при машинном нанесении
|
120-200 80-100
|
|
7.
Жизнеспособность смеси, час
|
24
|
|
8. рН
|
2-3
|
Давление прессования:
0,2-0,4 Н/В.мм. при склеивании по пласти;
0,7-1,0 Н/В.мм. при склеивании ламелей или слоистой
древесины.
Время прессования: склеивание фуг: 20°C от 15 минут, 50°C от
5 минут, 80°C от 2 минут.
Методика проведения экспериментов
Определение предела прочности клеевого соединения
при раскалывании
Определение проводили согласно ГОСТ 15613.2-77 «Древесина
клееная массивная. Метод определения предела прочности клеевого соединения при
раскалывании».
Сущность метода заключается в определении максимальной
нагрузки при разрушении образца и вычислении напряжения при этой нагрузке.
Метод позволяет определить предел прочности клеевого соединения на гладкую фугу
при двухстороннем раскалывании клиньями.
) машина испытательная по ГОСТ 7855-84 с погрешностью
измерения не более 1% измеряемой нагрузки в диапазоне 200 - 2000 Н (20 - 200
кгс);
) штангенциркуль по ГОСТ 166-80 с погрешностью измерения не
более 0,1 мм;
) линейка металлическая по ГОСТ 427-75 с погрешностью
измерения не более 1 мм;
) аппаратура для определения влажности древесины по ГОСТ
16483.7-71;
) два клина, изготовленных из стали марки 40 по ГОСТ 1050-74
(рис. 4).
Рис. 4. Размеры и конструкция металлического клина
Проведение испытания.
Ширину b и длину l площади раскалывания образца измеряли с
погрешностью не более 0,1 мм после разрушения образца.
Образец устанавливали в приспособление для испытания, как
показано на рис. 5, между двумя клиньями, острые углы которых входят в пропилы
образца. Верхний клин крепят жестко к верхней траверсе, а нижний устанавливают
свободно на шаровую опору. На клинья наносят смазку по ГОСТ 1033-79.
Рис. 5. Схема испытания образцов древесины
Нагружали образец с постоянной скоростью, обеспечивающей
достижение максимальной нагрузки в течение 1,0 ± 0,5 мин. Нагружение
производили до разрушения образца.
Отсчет максимальной нагрузки производили с погрешностью не
более 10 Н (1 кгс).
После испытания определяли влажность древесины образцов по
ГОСТ 16483.7-71 (методом высушивания в сушильном шкафу). Пробой для определения
влажности служила одна половина образца.
Обработка результатов испытаний.
Предел прочности клеевого соединения при раскалывании, 
, вычисляли с погрешностью не более 0,1 Мпа (1 кгс/см2)
по формуле
, (27)
где 
- максимальная нагрузка, кгс;
- длина площади раскалывания образца, см;
- ширина площади раскалывания образца, см.
Статистическую обработку опытных данных выполняют по ГОСТ
16483.0-78.
4.3 Разработка режимов склеивания
Расчет расхода клея
Для составления режима склеивания необходимо рассчитать
расход клея. Расход клея, г, определяется по формуле
(28)
где qуд - удельный расход клея, г/м2;
Кт.п. - коэффициент технологических потерь, 1,05;
F - площадь заготовки, которую необходимо склеить.
При склеивании брусковых деталей по кромке и пласти норма
расхода клея находится в пределах 250…350 г./м2.
) Расход клея КФ-Ж составит:
м2
г.
Составляем рецептуру клея:
КФ-Ж - 100 мас. ч. х (КФ-Ж) =100
2,52/101 =2,495 г.,
NH4Cl - 1 мас.ч. х (NH4CI) =1
2,52/101 = 0,025 г.
мас. ч. - 2,52 г.
2) Расход клея Dorus MD 072 составит:
м2
г.
Разработка режимов склеивания древесины
Основными факторами, обуславливающими режимы склеивания, а
значит, и его качество, являются: а) подготовка поверхности; б) влажность
древесины склеиваемых деталей и окружающего воздуха; в) температура древесины
склеиваемых деталей и самого клея; г) количество клея, наносимого на единицу
склеиваемой поверхности; д) величина давления при склеивании; е)
продолжительность склеивания; ж) время выдержки деталей после склеивания.
Подготовка поверхности при склеивании деталей имеет большое
значение. Поверхность склеиваемых деталей должна быть ровной настолько, чтобы
одна плоскость плотно прилегала к другой без просветов. Плохо склеиваются
поверхности загрязненные, имеющие масляные и жировые пятна, а также смолистые
(засмоленные).
Влажность древесины склеиваемых деталей и окружающего воздуха
- не менее важный фактор. Влажность не должна превышать 12%.
Рейки лучше склеивать сразу же после их отстрожки, что
предупреждает их возможное коробление, так как рубанок снимает наиболее
подсохшую, поверхностную часть древесины, открывая тем самым более влажные
слои, что немедленно вызовет в свою очередь активное испарение влаги с открытой
поверхности состроганных деталей, создавая тем самым неравномерность
распределения влаги в теле заготовки и, как следствие, возникновение
напряжений, и в результате - коробление.
Температура древесины склеиваемых деталей и самого клея - еще
один из факторов, влияющих на качество склеивания. Охлажденный клей обладает
большей студенистостью, а значит, меньшей смачивающей способностью, он,
попросту говоря, скатывается со склеиваемых поверхностей, легче выдавливается
между ними, а если при этом и сама древесина склеиваемых деталей будет не очень
высокой температуры (холодной), то результаты такой склейки будут весьма
сомнительными. Оптимальная температура помещения для работы с клеями - не ниже
25° тепла. При температуре +25° оптимальная продолжительность выдержки
(закрытой и открытой) составляет 4-5 мин.
Количество клея, наносимого на единицу площади склеиваемых
поверхностей, зависит от: а) его концентрации и вязкости; б) толщины клеевого
слоя; в) температуры древесины и окружающей среды; г) качества подготовки
склеиваемых поверхностей.
Концентрация и вязкость клея влияют на его способность
наноситься на поверхность древесины, смачивать ее и определяют расход клея и
прочность склеивания.
Если клей отличается высокой концентрацией и большой
вязкостью, то при склеивании требуется применять высокое давление и повышенную
температуру.
Количество клея, наносимого на склеиваемую поверхность,
должно быть достаточным для получения клеевого слоя оптимальной толщины. При
очень тонком клеевом слое прочность склеивания оказывается недостаточной
(«голодное» склеивание), а при толстом слое клея прочность соединения снижается
из-за значительной объемной усадки, которой обладают многие клеи, применяемые в
деревообработке, что вызывает развитие внутренних напряжений в клеевом шве
после высыхания клея. Поэтому оптимальная толщина клеевого слоя находится в
пределах 0,08-0,15 мм.
На получение оптимального клеевого слоя оказывает влияние
время общей выдержки (пропитки) древесины с нанесенным слоем и качество
подготовки поверхности, на которую нанесен клей.
Общая выдержка разделяется на периоды открытой и закрытой
выдержки древесины с нанесенным клеевым слоем.
Открытая выдержка охватывает время между нанесением клея на
заготовку и наложением на нее другой приклеиваемой заготовки. Этот процесс
продолжается до 3 минут, в зависимости от температуры, концентраций клея и
породы древесины. Для твердых пород и жидкого теплого клея - больше, а для
мягких пород и густого охлажденного клея - меньше.
Закрытой выдержкой называется период после наложения
приклеиваемой заготовки на поверхность заготовки с нанесенным на нее клеем до
момента запрессовки. Этот процесс продолжается в пределах 3-5 минут. При работе
с синтетическими клеями следует избегать увеличения общей выдержки, так как в
этом случае возможно частичное отвердение клея.
Запрессовка изделий производится для создания в склеиваемых
конструкциях условий, при которых происходит полное высыхание клея и наибольшее
проникновение его в древесину склеиваемых деталей. Для запрессовки применяют
различные зажимные винтовые приспособления, такие как струбцины, ваймы, прессы,
тиски (при исследовании применяли струбцину). Выдержка в этих сжимных
приспособлениях различна. Но не должна составлять менее 3 часов, так как за это
время еще не произойдет полного высыхания клея, впитывающегося в поры древесины
(в испытании время выдержки принимали 3 часа).
Испытание на прочность при раскалывании проводили после 3
суток выдержки.
4.4 Результаты исследований
Условия проведения эксперимента:
Температура воздуха,°С - 20±2оС
Порода древесины - сосна
Влажность воздуха, % - 74
Марка клея - КФ-Ж и Dorus MD 072.
Режим склеивания:
. Температура,°С -20±2оС
. Время открытой выдержки, мин - 6
. Время закрытой выдержки, мин - 15
. Время выдержки под давлением, мин - 15
. Послепрессовая выдержка, ч - 72
Результаты проведенных исследований приведены в таблицах 19 и
20.
Таблица 19 - Результаты испытаний прочности клеевого
соединения при скалывании (клей КФ-Ж).
|
№ образца
|
, см
|
, см
|
, кгс
|
, кгс/см2(МПа)
|
Характер
разрушения
|
|
1
|
2
|
3
|
4
|
5
|
6
|
|
1
|
2
|
2
|
67,2
|
61,0 (6,1)
|
раскол по
древесине
|
|
2
|
2
|
2
|
74,9
|
68,0 (6,8)
|
раскол по
древесине
|
|
3
|
2
|
2
|
69,9
|
63,4 (6,3)
|
раскол по
древесине
|
|
4
|
2
|
2
|
76,0
|
69,0 (6,9)
|
раскол по
древесине
|
|
5
|
2
|
2
|
74,4
|
67,5 (6,75)
|
раскол по
древесине
|
|
6
|
2
|
2
|
74,9
|
68,0 (6,8)
|
раскол по
древесине
|
|
7
|
2
|
2
|
66,3
|
60,2 (6,0)
|
по кл. соед.
|
|
8
|
2
|
2
|
68,4
|
62,1 (6,21)
|
по кл. соед.
|
|
9
|
2
|
2
|
71,0
|
64,4 (6,4)
|
раскол по
древесине
|
|
10
|
2
|
2
|
70,4
|
63,9 (6,39)
|
раскол по
древесине
|
64,75
Таблица 20 - Результаты испытаний прочности клеевого
соединения при скалывании (Dorus MD 072).
|
№ образца
|
, см
|
, см
|
, кгс
|
, кгс/см2(МПа)
|
Характер
разрушения
|
|
1
|
2
|
2
|
76,4
|
69,3
|
раскол по
древесине
|
|
2
|
2
|
2
|
75,6
|
68,6
|
раскол по
древесине
|
|
3
|
2
|
2
|
77,2
|
70,1
|
раскол по древесине
|
|
4
|
2
|
2
|
79,3
|
72,0
|
раскол по
древесине
|
|
5
|
2
|
2
|
75,8
|
68,8
|
раскол по
древесине
|
|
6
|
2
|
2
|
76,1
|
69,1
|
раскол по
древесине
|
|
7
|
2
|
2
|
81,1
|
73,6
|
раскол по
древесине
|
|
8
|
2
|
2
|
80,2
|
72,8
|
раскол по
древесине
|
|
9
|
2
|
2
|
81,5
|
74,0
|
раскол по
древесине
|
|
10
|
2
|
2
|
79,0
|
71,7
|
раскол по
древесине
|
71
Статистическая обработка результатов
Статистическая обработка производилия по программе gwbasic, statobra.
Среднеарифметическое значение рассчитывали по формуле
M = Z/N, (29)
где Z - сумма значений показателей прочности клеевого соединения
образцов;
N - количество образцов.
Y = Y + (X(I) - M)2, (30)
где Y - следующее значение;
Х(I) - значение прочности клеевого соединения.
Среднеквадратическое отклонение S
, (31)
Вариационный коэффициент, V
, (32)
Ошибка среднеквадратического отклонения, О
(33)
Определяем показатель точности Р, который должен быть не
более 5%.
(34)
) Статистическая обработка при склеивании заготовок КФ-Ж. Число
заготовок N =10
Показатели прочности клеевого соединения:
X(I)=6,1
X(I)=6,8
X(I)=6,3
X(I)=6,9
X(I)=6,75
Х(I)=6,8
Х(I)=6,0
Х(I)=6,21
Х(I)=6,4
Х(I)=6,0
Сумма измерений Z = 64,26
Среднее арифметическое значение М = 6,47
Среднеквадратическое отклонение S= 1,239
Вариационный коэффициент V = 34,03
Ошибка среднеквадратического отклонения О = 0,277
Показатель точности при 95% достоверности результатов Р = 7,7.
2) Статистическая обработка при склеивании заготовок клеем
Dorus MD 072.
Число заготовок N = 10
Показатели прочности клеевого соединения:
X(I)=6,93
X(I)=6,86
X(I)=7,01
X(I)=7,2
X(I)=6,88
Х(I)=6,91
Х(I)=7,36
Х(I)=7,28
Х(I)=7,4
Х(I)=7,17
Сумма измерений Z = 71,0
Среднее арифметическое значение М = 7,1
Среднеквадратическое отклонение S = 1,042
Вариационный коэффициент V = 30,03
Ошибка среднеквадратического отклонения О = 0,239
Показатель точности при 95% достоверности результатов Р = 5,9
Анализ результатов. Выводы
Как показали проведенные исследования прочность клеевого
соединения на раскалывание с использованием клея КФ-Ж (6,47МПа) ниже, чем
значение прочности при использовании клея Dorus MD 072 (7,1) на 8,9%.
Однако при использовании клея КФ-Ж клеевое соединение
обладает повышенной хрупкостью, что в процессе эксплуатации может привести к
разрушению клеевого соединения. Использование клея Dorus MD 072 повысит пластичность
клеевого соединения, что закономерно приведет к увеличению долговечности
изделий.
Кроме того клей Dorus MD 072 - однокомпонентный
клей, не требует дополнительного приготовления, необходимое время прессования
ниже. При необходимости при добавлении в клей отвердителя в количестве 5% от
массы клея (двухкомпонентный состав) прочность и водостойкость клеевого шва
возрастает.
Существенная изменчивость показателя, о чем свидетельствует
вариационный коэффициент и показатель точности, превышающий 5%, характеризуют
различные характеры разрушения при испытании. В случаях разрушения по древесине
фактическая прочность клеевого соединения выше, чем зафиксированная.
Вывод: рекомендовать для склеивания реечных щитов
использовать клей Dorus MD 072.
5. Строительный раздел
.1 Характеристика промышленного здания цеха.
Характеристика климатических условий
Производственный цех - цех по производству корпусной мебели:
стенок, гостиных, мебели для спальни, шкафов-купе, фасадов и другой мебели.
Архитектурно-строительный проект выполнен в соответствии с технологическими
нормами. При строительстве применялись следующие нормативные данные:
- нормативная снеговая нагрузка - 150 кг/м2;
- нормативное давление на грунт - 1,5 кг/см2;
- средняя температура наиболее холодных
суток - 35°С.
Конструкция здания имеет следующие характеристики:
- фундаменты монолитные сборные железобетонные;
- стены из сендвич-панелей;
- пол - железобетонные плиты;
- кровля рулонная, плоская, из 3-х слоев
рубероида на битумной мастике;
- перекрытие - железобетонное, пустотное;
- дверные блоки деревянные;
- внутренние стены из глиняного кирпича марки
М 100 на растворе М 50. Оштукатурено цементным раствором;
Конструкция здания
Здание состоит из двух параллельных пролётов шириной 24 м и
пристройки где располагается администрация цеха, санузел, столовая и склад.
Длина здания 90 м, высота 12 м. Электрический кран находятся
на высоте 9,65 грузоподъёмностью Q=15/3. Здание отвечает требованиям унификации конструктивных
элементов.
Основными несущими конструкциями производственного здания
являются поперечные рамы из колонн, жёстко заделанных в фундамент и шарнирно-опертых
на них ферм покрытия. Шаг колонн у наружных стен 6 м, а внутренних опор 12 м.
Внешние стены состоят из стеновых бетонных панелей.
Естественное освещение производится с помощью окон и
светоаэрационных фонарей. Проект выполнен в соответствии с действующими нормами
и правилами, предусматривает покрытия, обеспечивающие взрыво - и
пожаробезопасность при эксплуатации здания.
Цех оборудован электрическим освещением, канализацией,
водопроводом и отоплением.
Материалы и виды строительных конструкций
Колонны - железо-бетонные, прямоугольного сечения для
промышленных зданий.
Марки: 8к 84-I - для средних рядов
к 96-I - для крайних рядов
кф 29-I - фахверковые
Фундаменты под основные и фахверковые колонны -
железо-бетонный фундамент с подколонниками стаканного типа.
Марки: Ф 2.1.2 - под основные колонны
ФФ 1-1 - под фахверковые
Глубина заложения 1,35 м. Стеновые панели опираются на
фундаментовые балки марки I БФ.
Подкрановые балки - сборные, ЖБ, имеют двутавровое сечение.
Бетон В600. Крановые рельсы крепят к балкам парными болтами.
Стеновые панели - толщиной 300 мм, из лёгкого бетона марок ПС
600.12.20-П-I
и ПС 600.18.20-П-I
Фермы - пролёт 24 м. (для малоуклонистых кровель). Масса 9,8
м. Бетон марки В30, к колоннам крепится анкерными балками и сваркой опорных листов.
Марка: ФБМ 24.
Основной кровельный ковёр: три слоя рубероида на мастике,
цементно-песчаная стяжка, керамзит по уклону, пенобетон, первый слой рубероида
на мастике, ребристая плита перекрытия.
Водоотвод с покрытия организован посредствам воронок внутреннего
водовода, связанного с канализацией.
5.2 Расчет потребности в бытовых помещениях
К бытовым помещениям относятся гардеробные, душевые,
умывальные, санузлы.
Расчет площади гардеробных
Гардеробная комната предназначена для переодевания и хранения
одежды, обуви. Одежда хранится в шкафах размером 1500x500 мм.
Площадь, м2 гардеробных рассчитывается по удельной
площади в зависимости от количества рабочих
,
(35)
где N - количество рабочих в смене, чел.;
- удельная площадь - гардероба, м2;
- площадь, занимаемая одним шкафом, м2.
Расчет душевых
Душевые имеют вспомогательные помещения - преддушевые. Количество
душевых сеток принимается по норме 14 человек на одну душевую сетку. Принимаем
3 душевые сетки.
Площадь душевых определяется по формуле
, (36)
где
- удельная площадь душевой, м2;
- удельная площадь преддушевой, м2.
.
Расчет площади умывальных
Необходимое количество умывальных кранов принимается в
зависимости от количества рабочих в смене, из расчета 1 кран на 10 человек.
Принимаем 4 крана.
Площадь умывальных определяется по формуле
,
(37)
где 2,1 - коэффициент нормы площади на умывальные; n - количество принятых
кранов.
Расчет площади санузлов
Число кабин в санузлах принимается по числу рабочих в смене
из расчета 20 человек на 1 кабинку. Для цеха необходимо 2 кабины. Площадь
санузлов определяется по формуле
, (38)
где
- площадь, занимаемая одной кабиной, м2;
n - число кабин.
Общая площадь бытовых помещений м2;
5.3 Расчет общей площади цеха
Общая площадь цеха м2находится по формуле м2
, (39)
где
- производственная площадь с учетом
проездов и проходов, м2;
- площадь бытовых помещений, м2;
- площадь вспомогательных помещений, в которую входят:
- инструментальная 20 м2;
- кладовая 14 м2;
- вентиляционная 12 м2.
Производственная площадь с учётом проездов м2 рассчитывается
по формуле
, (40)
Fn - производственная
площадь, м2;
Fтр - площадь транспортной
магистрали, м2.

, (41)
где
- площадь под основное оборудование, м2
(табл. 6);
- площадь входного склада, м2;
- площадь выходного склада, м2;
Fкон -
площадь под конвейеры, м2.
Площадь входного склада м2 рассчитывается по
формуле
, (42)
где
- количество сырья, хранящегося на входном складе, м3;
- коэффициент заполнения штабеля (0,4-0,8);
- коэффициент заполнения склада (0,5-0,6);
- высота штабеля (1,6-1,8).
Количество сырья, хранящегося на входном складе м3,
рассчитывается по формуле
, (43)
где
- норма расхода сырья;
- сменная производительность, шт./см;
nвх - число
смен хранения сырья на складе (2-3 смены).
Сменная производительность шт./см рассчитывается по формуле
,
(44)
где
- годовая программа, 3640;
250 - число рабочих дней в году;
- число смен.
Площадь выходного склада м3, рассчитывается по формуле
, (45)
где
- количество сырья, хранящееся на
выходном складе, м3.
Количество сырья, хранящееся на выходном складе м3
рассчитывается по формуле
, (46)
где
- сумма объемов деталей;
nвых -
число смен хранения деталей на выходном складе (1-2 смены).
Площадь рабочего и подстопного места Нр = 10 м2
на 1 рабочее место, Всего по схеме техпроцесса (табл. 46) следует, что площадь
равна 60 м2.
Общая площадь цеха (участка), м2, по производству
столярных плит составит
Производственная площадь предприятия ИП «Романов» составляет
4608 м2, из них 2604 м2 занято под цех по производству
корпусной мебели, невостребованными остаются 2604 м2. На этой
площади может быть размещен проектируемый цех по производству реечных щитов.
Список
использованных источников
1. Волынский,
В.Н. Технология клееных материалов [Текст]: учеб. пособие / В.Н. Волынский. -
Архангельск: АГТУ, 2003 - 279 с.
2. ГОСТ
13715-78* Плиты столярные. Технические условия.
. Справочник
мебельщика [Текст] / под ред. В.П. Бухтиярова. - 2-е изд. - М.: ГОУ ВПО МГУЛ,
2008. - 600 с.
4. Юрова,
О.В. Технология соединения материалов и деталей в производстве изделий из
древесины [Электронный ресурс]: метод. указания по выполнению контрольных работ
для студентов спец. 250403 «Технология деревообработки» всех форм обучения:
самост. учеб. электрон. изд. / сост. О.В. Юрова, СЛИ. - Электрон. дан. (1 файл
в формате pdf: 0,3 Мб). - Сыктывкар: СЛИ, 2010.
5. Мамонтова
Е.А. Практикум по проектированию технологических процессов изготовления изделий
деревообработки.
6. Курсовое
и дипломное проектирование. Руководство по текстовому и графическому
оформлению: Учебное пособие. - 2-е издание, испр. и доп. - Пенза: ПГУАС, 2005.
- 202 с.;
. ГОСТ
12.3.042-88 Система стандартов безопасности труда на деревообрабатывающем
производстве.
8. О.Н.
Русак, В.В. Милохов, Ю.А. Яковлев, В.П. Щеголев. Охрана воздушной среды на
деревообрабатывающих предприятиях.
. Руководство
по охране окружающей среды, здоровья и труда при производстве клеёных изделий
из древесины.
. ГОСТ
6449.3-82 Изделия из древесины и древесных материалов. Допуски формы и
расположения поверхностей.
. Технология
клееных материалов и древесных плит: методическое пособие по курсовому
проектированию/С.Н. Кислицына, С.А. Болтышев. - Пенза: ПГУАС, 2013. - 118с
12. Филонов,
А.А. Технология изделий из древесины [Текст]: учеб. пособие/ А.А. Филонов, В.А.
Гарин. - М.: ГОУ ВПО МГУЛ, 2005. - 162 с.
13. Гарин,
В.А. Технология изделий из древесины [Текст]: учеб. пособие/ В.А. Гарин, А.А.
Филонов, А.Н. Чернышев. - Воронеж: изд-во ВГУ, 1993. - 216 с.
. Волынский,
В.И. Каталог деревообрабатывающего оборудования отечественного производства
[Текст]/ В.И. Волынский. - М.: «АСУ-Импульс», 2001. - 342 с.
. Технология
клееных материалов и древесных плит / Соболев А.В.: учеб. пособие - М.: ГОУ ВПО
МГУЛ, 2008 г. - 149 с.
16. Григорьев
М.А. Материаловедение для столяров, плотников и паркетчиков. - М.: Высшая
школа, 1997.
. Михайличенко
А.Л., Садовничий Ф.П. Древесиноведение и лесное товароведение. - М.: Высшая
школа, 1988.