Технологія виробництва поліуретану

  • Вид работы:
    Курсовая работа (т)
  • Предмет:
    Другое
  • Язык:
    Украинский
    ,
    Формат файла:
    MS Word
    181,99 Кб
  • Опубликовано:
    2015-11-29
Вы можете узнать стоимость помощи в написании студенческой работы.
Помощь в написании работы, которую точно примут!

Технологія виробництва поліуретану

МІНІСТЕРСТВО ОСВІТИ І НАУКИ УКРАЇНИ

НАВЧАЛЬНО-НАУКОВИЙ НАЦІОНАЛЬНИЙ АВІАЦІЙНИЙ УНІВЕРСИТЕТ

Інститут екологічної безпеки

Кафедра хімічної технології








КУРСОВИЙ ПРОЕКТ

з дисципліни «Технологія виробництва високомолекулярних сполук»

Тема: «Технологія виробництва поліуретану»


Виконала:

Пінчук Г.Ю.




Київ - 2015

Зміст

Вступ

1.          Огляд літкратури

1.1 Історія відкриття поліуретану

.2 Загальна характеристика поліуретанів

.3 Одержання поліуретанів

.3.1 Мономери для виробництва поліуретанів

.4 Властивості поліуретанів

.5 Застосування поліуретанів

.5.1 Пінополіуретани

.5.2 Ізоціанатетилметакрилат

.5.3 Поліуретани в медицині

.5.4 Поліуретанові каучуки

.5.5 Поліуретанові клеї

.5.6 Поліуретанові покриття

.5.7 Поліуретанові масла

.5.8 Поліуретанові волокна

.5.9 Поліуретанові лаки

.6 Загальне застосування поліуретанів

.7 Технологічний процес виготовлення пінополіуретану

.8 Техніка безпеки при виготовленні поліуретанів

2.          Розрахунок сушильного апарату для сушки поролону

.1 Розрахунок розмірів барабана

.2 Об’єм барабану

.3 Довжина барабану

Висновок

Список літератури

Вступ

Поліуретани є універсальним матеріалом, на їх основі виготовляють еластичні, напівтверді й тверді матеріали. Поліуретани переробляють практично всіма існуючими технологічними методами: екструзією, пресуванням, литтям, заливкою.

На їх основі отримують всі відомі типи матеріалів і виробів: наповнені, армовані, спінені, ламіновані, у вигляді плит, листів, блоків, профілів, волокон, плівок. Вироби і конструкції на основі поліуретанів використовують в усіх без винятку галузях промисловості.

Пінополіуретани (поролон) - газанаповнені полімери на основі поліуретану. Пінополіуретани поділяють на еластичні і жорсткі.

Завданням курсового проекту є розрахунок сушильного апарату у виробництві еластичного пінополіуретану (поролону). На багатьох стадіях різних промислових виробництв, а також у науковій дослідницькій діяльності застосовують різноманітні сушильні апарати.

Перевага роботи сушильних апаратів на виробництві полягає в тому, що вони істотно зменшують процес виробництва у часі, порівняно з іншими видами теплообмінників. Завдяки цьому сфера використання сушильних апаратів дуже широка: вони використовуються у різних сферах виробництва полімерів та пластичних мас на їх основі.

поліуретан каучук поролон сушка

1. Огляд літератури

.1 Історія відкриття поліуретану

В даний час до поліуретанів відносять великий клас полімерів, частіш за все це такі полімини які сильно відрізняються за хімічною природою, будовою ланцюга і властивостями, але всі вони містять уретанові групи -NHCOO.

Іноді з метою уточнення назви через наявність поряд з уретановою інших функціональних груп вживають такі терміни, як поліуретани складно ефірного типу, поліуретани на основі простих олігоефірів, полімочевинні уретани. Хоча ці назви технічно більш точні, користуватися ними незручно, тому застосовують термін "поліуретан", який об'єднує всі полімери, що містять уретанову групу.

Поліуретани є універсальним матеріалом: на основі поліуретанів виготовляють еластичні, напівтверді й тверді матеріали. Поліуретани переробляють практично всіма існуючими технологічними методами: екструзією, пресуванням, литтям, заливкою. На їх основі отримують всі відомі типи матеріалів і виробів: наповнені, армовані, спінені, ламіновані, у вигляді плит, листів, блоків, профілів, волокон, плівок. І нарешті, вироби та конструкції на основі поліуретанів використовують в усіх без винятку галузях промисловості.

Поліуретани широко застосовуються у виробництві клеїв, герметиків і покриттів. До останніх відносяться алкідні лаки, отверджені ізоціонатами, поліуретанові лаки і уретанові каучуки, що використовуються для дублювання тканин та інших субстратів.

Ці матеріали відмінно зарекомендували себе в багатьох областях, однак висока вартість сировини не дозволяє з достатньою точністю оцінити доцільність їх застосування у виробництві окремих видів виробів.

Можливості отримання настільки різноманітних матеріалів закладені в особливостях хімічної будови поліуретанів і необмежених можливостях регулювання їх структури. Шляхом зміни ступеня зшивання теоретично можна отримувати полімери з будь-якими фізико-механічними властивостями, характерними для пластиків - від термопластичних до термореактивних. Крім того, фізико-механічні властивості цих полімерів можна змінювати варіюванням хімічних груп, що знаходяться між уретановими ланками. Це зазвичай призводить до більш тонких змін фізико-механічних властивостей.

Таким чином, теоретично шляхом зміни ступеня зшивання і комбінування хімічних груп, що знаходяться між уретановими ланками в молекулі полімеру, можна отримати полімери будь-якої жорсткості, причому, можливості ці по суті не обмежені. Навіть у найпростіших лінійних полімерах завжди є два радикала, варіюючи якими можна надати полімерам різні властивості. Зазвичай використовують розгалужені полімери, в яких є не два, а три, чотири або більше різних радикалів. Цим розмаїттям властивостей матеріалів на основі поліуретанів і пояснюється їх широке застосування в промисловості в даний час.

Відмінною особливістю поліуретанів те, що в їх розробку внесли вклад практично всі промисловорозвинені країни. Цей клас полімерів привернув увагу американських дослідників після другої світової війни.

На початку 30-х років Карозерс (США) провів дослідження з синтезу поліамідів. На підставі цих досліджень в концерні “I.G. Farbenindustrie” (Німеччина) почалися роботи зі створення полімерних матеріалів, подібних до поліаміду. У результаті чого були винайдені нові полімери - поліуретани.

У 1937 році Байєр із співробітниками синтезували поліуретанові еластомери взаємодією диізоционатів з різними гідроксилвмісними сполуками (поліоли). Потім на основі цих композицій вони отримали жорсткі і еластичні пінополіуретани.

Метою робіт того періоду була заміна поліуретанами таких стратегічних матеріалів, як натуральний каучук, сталь, пробка.

У 1945р в журналах Modern Plastics і Chemical and Engineering News з'явилася оглядова стаття Г. Клайна і коротка замітка про методи отримання поліуретанів, області застосування і техніко-економічні показниках. Незабаром після закінчення війни було налагоджено їх промислове виробництво.

З огляду патентної літератури видно, що фірма Du Pont 1939-1940 рр. виконувала велику роботу в галузі дослідження поліуретанів.

У 1945р військове відомство США направило до Німеччини групу спостерігачів для вивчення технічних досягнень в області пластичних мас.

Ця група встановила, що крім лінійних полімерів, одержаних з аліфатичних гліколей і діізоціанатів, велике значення при виготовленні пінопластів, покриттів і клеїв мають матеріали, отримані на основі діізоціанатів і деяких складних поліефірів.

Застосування поліуретанів в авіаційній промисловості виявилося найбільш цікавим: пінопласти використовувалися в якості середнього шару в тришарових конструкціях, в яких мала вага поєднується з високою міцністю.

Досвід застосування таких конструкцій показав, що пінопласти дуже вібростійкі. В результаті застосування поліуретанових покриттів для площин літаків помітно збільшилося їх швидкість. Ці покриття володіли хорошою водостійкістю і атмосферостійкістю, а також стійкістю до дії рідкого палива.

Фірмою Du Pont були опубліковані роботи про дослідження діізоціанатів і методи одержання деяких поліуретанових пінопластів ще в 1946 р.

У 1950 р фірмами Du Pont і Monsanto було організовано виробництво в напівпромисловому масштабі вихідних матеріалів для діізоціанатів. Про промисловий тип поліуретанових пінопластів ця фірма повідомила лише в 1953 р.

У результаті успішного розвитку робіт у цій області стало можливим на основі композицій складний поліефір - діізоционат отримати пінопласт, який твердне на місці нанесення. Він знайшов широке застосування в промисловості.

До цього часу в Німеччині на основі діізоционатів була створена потужна промисловість поліуретанів. Незважаючи на великий попит, споживання еластичних поліуретанових пінопластів, ароматичних діізоционатів в порівнянні до аліфатичних збільшилося.

Виробництво цих легких еластичних матеріалів було настільки вдосконалено, що вони почали широко застосовуватися в побуті і в транспорті. Завдяки успіхам, досягнутим в галузі промислового застосування різних поліуретанів в Німеччині, інтерес до цих матеріалів в США значно зріс.

У 1954 р США закупили в Німеччині кілька установок для виробництва пінопластів. Таким чином, в результаті великих успіхів, досягнутих в Німеччині в галузі досліджень і в промисловому виробництві поліуретанів, виявилося можливим їх застосування в промисловість пластичних мас США.

З того часу ця область хімії полімерів розвивалася бурхливими темпами. У розробку хімії поліуретанів внесли вклад практично всі промислово розвинені країни.

В останні роки велика робота з дослідження в галузі хімії і промислового застосування діізоционатів була проведена National Aniline Company в даний час виробництво діізоционатів (головним чином, різних ізомерів толен діізоционатів) зосереджено на підприємствах фірм Du Pont, Mobay, National Aniline Company.

Крім того, Carwin Chemical Company виробляє спеціальний діізоционат на основі бензидина і його гомологів. Велика частина продукції поліуретанів в США випускається у вигляді пінопластів, але останнім часом проявляється великий інтерес і до застосування поліуретанів для отримання захисних покриттів, клеїв і каучуків.

.2 Загальна характеристика поліуретанів

Керівник науково-дослідної лабораторії фірми «Байєр А.Г.» у м. Ліверкузені Отго Георг Вільгельм Байєр (1902-1982) був завзятим синтетиком-полімерником, і найбільшим його досягненням стало одержання в 1937 р. нового класу полімерів - поліуретанів.

Уретаном називають етилкарбамат - естер неіснуючої у вільному стані карбамінової кислотити.


Цей локальний термін став узагальненим, і в полімерній хімії замість «полікарбомат» використовують назву «поліуретан».

Поліуретани - це полімери, що містять у головному ланцюзі уретанову (карбаматну) групу.


Тобто, поліуретани - це гетероланцюгові полімери, макромолекула яких містить незаміщену або заміщену уретанову групу - N-CO-, де R = Н, алкіл-, арил- або ацилрадикали. До поліуретанів відносяться високомолекулярні сполуки, що містять значну кількість уретанових груп -NHCOO-, незалежно від будови іншої частини молекул.

Зазвичай ці полімери отримують при взаємодії поліізоционатів з речовинами, які мають кілька гідроксильних груп, наприклад з гліколями, касторковою олією, простих поліефірів. Такі речовини можуть містити й інші реакційноздатні групи, зокрема амінні і карбоксильні. Тому в поліуретанах, крім уретанових груп, можна виявити і амідні, сечовинні, ефірні (прості і складні) групи. А також ароматичні і аліфатичні радикали. Ці полімери називають іноді "поліуретанами", іноді "ізоціонатними полімерами".

«Матеріал з необмеженими можливостями» складається головним чином з двох типів сировини, ізоціаната і поліола, які отримують з сирої нафти. При змішуванні двох готових до переробки рідких компонентів системи, які містять різні допоміжні речовини (каталізатори, вспінювачі, стабілізатори і т.д.), утворюється реакційно-здатна суміш. Залежно від рецептури і співвідношення компонентів, при відповідній технології можна відрегулювати спектр властивостей утворення поліуретану - ми можемо отримати жорсткий, м'який, інтегральний, вспінений або монолітний.

Поліуретани можуть бути в'язкими рідинами або твердими продуктами - від високоеластичних м'яких гум до жорстких пластиків і переробляються практично всіма існуючими технологічними методами: екструзією, пресуванням, литтям, заливкою. [1]

.3 Одержання поліуретанів

Лінійні поліуретани одержують гетерополіконденсацією діізоціанів з діолами:


Менш поширеним способом синтезу поліуретанів є гетерополіконденсація дихлорформіатів з діамінами:


Вперше виробництво поліуретанів почали застосовувати на початку Другої світової війни в Німеччині. Уже тоді стала зрозумілою незвичайна універсальність цих полімерів.

З них виробляли пластмаси і волокна. З паперу, просоченого поліуретаном, німці виготовляли непроникні для іприту накидки. За допомогою поліуретанового клею на танкових трактах закріпляли гуму.

Водночас виявили ще одну важливу особливість поліконденсації діізоцианатів, а саме, їх здатність утворювати піноматеріали.

Moltopren - продукт гетерополіконденсації толуїлендіізоціанату (суміш 2,4 - та 2,6 - ізомерів у співвідношенні 65:35 під назвою Desmodur T) та олігоестеру з кінцевими гідроксилами, що містив незначну кількість вільних карбоксильних груп.

Взаємодія останніх з ізоціанатними групами відбувалася з утворенням СО2, який спінював поліуретан.


По закінченню війни всі розробки і технологія виробництва поліуретанів попала до американців, і вже з 1946р. поліуретани різного призначення стали виробляти у США.

Однак і фірма Байєр і дослідницька група О. Байєра продовжували роботи в Німеччині. Практично всі головні напрями на шляху створення сучасних поліуретанових матеріалів були остаточно сформовані наприкінці 50-х років.[1]

.3.1 Мономери для виробництва поліуретанів

Ізоціанати.

У промисловості ізоціанати одержують фосгенуванням відповідних амінів. Процес проходить двостадійно.

На першій стадії розчин аміну змішують з фосгеном при невисоких температурах з одерженням хлорангідриду відповідної карбамінової кислоти.


На другій стадії при температурі 120-150 0С одночасно відбувається фосгенування та дегідрохлорування.


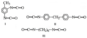
Саме в такий спосіб у промисловості одержують найпоширеніші для виробництва поліуретанів 2,6-толуїлендіізоціанат (I); 4,4- дифенілметандіізоціанат (II) та гексаметилендіізоціанат (III).


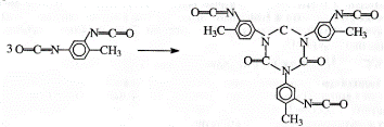
Для синтезу розгалужених (сітчастих) поліуретанів використовують сполуки, що містять у молекулі не менше трьох ізоціанатних груп. Реагенти такого типу можна одержати безпосередньо з діізоціанатів та полігідроксильних сполук (аддукти), наприклад з 1,1,1 - триметилолпропану.


Трифункціональні ізоціанати одержують також тримеризацією діізоціанатів з утворенням ізоціануратного циклу за присутності третинних амінів, наприклад:


Гідроксиловмісні сполуки. Для синтезу поліуретанів найчастіше використовують олігомерні поліоли - олігоетерогліколі оксиду пропілену (I) та тетрагідрофурану (II).


Олігогліколі I (технічна назва лапроли) одержують аніонною полімеризацією оксиду пропілену. Олігогліколі II (технічна назва поліфурити) одержують катіонною полімеризацією тетрагідрофурану під впливом хлорної кислоти та оцтового ангідриду за такою схемою:

1. Ініціювання


2. Ріст ланцюга


3. Обривання матеріального ланцюга з виділенням ініціатора


Як видно зі схеми, обрив не кінетичний ініціатор може продовжувати полімеризацію. Водночас найважливішим є те, що в обох випадках утворюються олігомери з однаковими кінцевими ацетатними групами. Які при гідролізі. Або метанолізі утворюють гліколі - поліфурити.


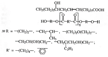
Крім етерних, у виробництві поліуретанів широко використовують естерні олігогліколі - продукти гетерополіконденсації адипінової кислоти або фталевого ангідриду з етилен- та пропіленгліколем, діетиленгліколем, а також гліцерином або триметилолпропаном.

Важливим компонентом при синтезі поліуретанів є також рицинова олія, яку можна розглядати як суміш 70% -го тригліцерину рицинолевої кислоти і 30% гліцерину, що містить два залишки рицинолевої і один залишок олеїнової кислоти.

Рицинолева кислота містить гідроксильну групу та подвійний зв'язок, тому рицинову олію можна розглядати як суміш три- та двафункціонального мономерів. Подвійні зв’язки, що є в гліцидах, здатні вступати в окиснювальну полімеризацію, що особливо важливо при створенні поліуретанових покриттів.


Можливість використання при синтезі поліуретанів сполук різної хімічної природи дає змогу одержувати таке різномаїття структур і властивостей, якого немає у жодного іншого класу полімерів. З поліуретанів роблять покриття і плівки. Волокна і штучну шкіру, еластичні та жорсткі пінопласти, адгезиви (клеї) та каучуки.

Властивості поліуретанів сутєво залежать від міжмолекулярних взаємодій, серед яких найбільше значення мають водневі зв’язки. Найміцніші ці зв’язки між уретановими групами (близько 30 кДж/моль).

Оскільки в ланцюзі поліуретану можуть бути естерні та етерні фрагменти, то уретанова група може утворювати водневі зв’язки і з ними, хоча з дещо меншою енергією. Тобто у будь-якому поліуретані існує «фізична сітка» внаслідок міжмолекулярної взаємодії. При деформації виробу з поліуретану водневі зв’язки розриваються, але на відміну від хімічних, вони легко релаксують.


Отже, фізична сітка є своєрідним протектором хімічних зв’язків і при деформаціях бере удар на себе. Саме цим пояснюється ще одна важлива властивість поліуретанів - унікальна стійкість до зношування.

Легкість утворення водневих зв’язків та інших міжмолекулярних фізичних взаємодій залежить від гнучкості ланцюга поліуретану та концентрації в ньому уретанових груп.

Гнучкість поліуретанових ланцюгів регулюється розміром та природою поліольної компоненти. Вона зростає з довжиною останньої. Найгнучкі - аліфатичні етерні фрагменти. Естерні поліоли та ароматичні кільця в поліуретановому ланцюзі значно зменшують його гнучкість. [1]

.4 Властивості поліуретанів

Поліуретан являє собою щільний гумоподібний синтетичний матеріал, що володіє високою пружністю і зносостійкістю. На відміну від гуми поліуретан не володіє пористістю, завдяки чому він практично не стискається і не зменшується в об'ємі. Залежність зусиль стиснення-деформації поліуретану та структурних пластмас аналогічні.

Поліуретанові вироби маютьвідмінні механічні властивості, а саме: високу абразивну стійкість (в 3-5 разів вище, ніж має гума), еластичність (витримують розтягуваннядо 1 000%), міцність (в 20-25 разів перевищує), високий опір при розриві та багаторазовим деформаціям, прекрасну адгезію (міцність зв’язку поліуретан-метал є значно вищим, ніж в аналогічних гумово-металічних сполученнях),вібростійкість та при низьких температурах, високу стійкість до значних нерівномірних навантажень (до 105 МПа).

Там, де є великі знакозмінні механічні навантаження, великі діапазони робочої температури (робоча температура для більшості поліуретанів коливається від -60°C до +100°C), поліуретани наділені незаперечною перевагою перед аналогічними виробами на основі гум, пластиків і навіть металів. Наприклад, поліуретанові вали застосовують у виробництві холоднокатаної сталі, а литтєвий поліуретан використовують для виготовлення форм для штамповки металу.

Механічні властивості поліуретанів змінюються в дуже широких межах і залежать від природи і довжини ділянок ланцюга між уретановими групами, структури ланцюгів (лінійна або сітчаста), молекулярної маси і ступеня кристалічності. Поліуретани можуть бути в'язкими рідинами і твердими речовинами в аморфному або кристалічному стані. Їх властивості варіюються від високоеластичних м'яких гум (твердість по Шору від 15 за шкалою А) до жорстких пластиків (твердість по Шору 65 за шкалою D).

Поліуретан відноситься до конструкційних матеріалів (КМ), механічні властивості поліуретану дають можливість використовувати його в деталях машин і механізмів, що піддаються силовим навантаженням. До даного виду промислових матеріалів пред'являються дуже важливі вимоги з точки зору опірності впливу агресивного зовнішнього середовища. [2]

1.5 Застосування поліуретанів

Поліуретанові покриття. Поліуретанові лаки та емалі можуть бути однокомпонентними та двокомпонентними.

Перші одержують на основі олігоестерних поліолів і «блокованих» поліізоцеонатів - інертних аддуктів, здатних при підвищених температурах розпадатися на вихідні речовини.



Отже, для затвердіння такого покриття обов¢язковим є нагрівання поверхні. У випадках, коли таке нагрівання ускладнено (наприклад, лак для підлоги), використовують поліуретанові олігомери з вільними ізоціанатними групами. Твердіння такого лаку - утворення просторової сітки - відбувається завдяки волозі повітря.


У двокомпонентних покриттях поліізоционат змішується з поліолом перед нанесенням на поверхню. Поліольна компонента часто містить фрагменти ненасичених жирних кислот, здатних до окислювальної полімеризації. [3]

1.5.1 Пінополіуретани (поролон)

Для виготовлення пінополіуретанів спінювальним агентом слугує СО2, що виділяється при додаванні до ізоцианату води, як це видно з останньої реакції. Каталізують процес третинні аміни та оловоорганічні сполуки. Крім каталізаторів, до композиції додають також емульгатори (стабілізатори піни), регулятори розміру пор, барвники.

Уявну густину пінополіуретанів регулюють кількістю доданої води,і вона тим більша, чим менше води додають. Наприклад, при одержанні пінопластів з уявною густиною 0,032 г/см3 приблизно 75% ізоціанатних груп реагують з водою і 25% - з поліолом.

Пінополіуретани поділяють на еластичні та жорсткі.

Найпоширенішим представником еластичних пін є поролон. Сировиною для виробництва поролону слугують олігоестер адипінової кислоти з діетиленгліколем та невеликою кількістю триметилолпропану, суміш ізомерів 2,4- та 2,6- толуілдіізоціанатів у співвідношенні 65:35, а також вода.

До спеціального змішувача окремими магістралями безперервно подають:

)        активаторну суміш, що містить каталізатор (диметиланілін), емульгатор (солі жирних сульфокислот), регулятор розміру пор (парафінова олива) та воду;

)        суміш ізомерних толуілендіізоціанатів;

)        поліестер.

Одержану суміш тонким струменем виливають на паперову форму, що безпосередньо рухається, де утворюється піна. Спінення відбувається без нагрівання і закінчується приблизно через 1 хв. Утворену стрічку поролону розрізають на окремі блоки, які відправляють на додаткове визрівання, що продовжується від 1 до 3 діб при безперервному обдуванні блоків повітрям кімнатної температури.

Хімізм утворення еластичних та жорстких поліуретанових пін однаковий. Жорсткі піни відрізняються від еластичних лише більшою густиною полімерної сітки. У жорстких пінополіуретанів середня молекулярна маса структурної одиниці, яка припадає на один вузол розгалуження сітки , становить 400-700.

Для еластичних пін  перебуває в межах 2500 - 20000. Густоту розгалуження регулюють кількістю введеного в поліестер, наприклад, триметилпропану.

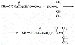
.5.2 Ізоціанатетилметакрилат - біфункціональний реагент адгезивів та покриттів

Унікальні можливості відкриваються при поєднанні ізоціанатної групи з активним подвійним зв’язком. На початку 60-х років мономер такого типу - ізоціанатметилметакрилат (ІЕМ), розроблений у ФРН та США, випускає промисловість.


ІЕМ - рідина з різким запахом, що кипить при 211 0С. Як і більшість ізоціанатів, ІЕМ є токсичний. Концентрація при ІЕМ у повітрі при роботі не повинна перевищувати 2,5.10-5 %.

Галузі застосування ІЕМ поділяють на трри групи:

)        Реакції полімеризації подвійного зв’язку зі збереженням NCO-груп для подальших перетворень.

Так, наприклад, радикальною полімеризацією за присутності тіоілкільних телогенів можна одержати рідкі олігомери та коолігомери ІЕМ з тіоалкільними кінцевими групами.


Такі олігомери за кімнатної температури протягом декількох годин утворюють міцні прозорі під впливом вологи повітря, а також є ефективними адгезивами універсального типу.

)        Реакції, в яких NCO-групи взаємодіють з поліфункціональними сполуками, а метакрилатна група зберігається для подальшої полімеризації.

Прикладом такої реакції є взаємодія ІЕМ з олігоестером. Одержаним з фталевого ангідриду та триметилолпропану:


За присутності 2- трет-бутилантрахінону під дією УФ-опромінення такий олігомер дає нерозчинні зшиті покриття, які використовують у виробництві друкованих схем та рельєфних форм для друку.

Під час взаємодії триетиленгліколю з ІЕМ утворюється аддукт.


Який у присутності редокс-ініціатора гідропероксиду кумолу-диметиланіліну використовують як анаеробний клей для металу.

)        Реакції, в яких NCO-група реагує з монофункціональною сполукою з утворенням нового мономеру. Насамперед такі реакції застосовують для тимчасового блокування ізоціанатної групи.

Наприклад, при блокуванні ІЕМ метилетилкетоксимом утворюється мономер, з яким можна проводити емульсійну полімеризацію з утворенням латексів.


Водний латекс потрійного кополімеру цього мономеру зі стиролом та бутилакрилатом зберігається достатньо довго. Утворені з нього плівки тверднуть при підвищених температурах, їх використовують як покриття та адгезиви.

Можливості полімерного дизайну, які відкриває ізоціанатної групи з активними атомами водню, унікальні.

Однак, значним недоліком тут є токсичність як вихідного при синтезі ізоціанатів фосгену, так і самих ізоціанатів. Розуміючи це, хіміки, починаючи з О. Байєра, вже понад 60 років намагаються знайти менш токсичні та дешеві поліконденсаційні мономери, які подібно ізоціанатам утворювали б полімери без виділення низькомолекулярних продуктів і нагрівання. На жаль, наразі ці пошуки безрезультатні. [3]

1.5.3 Поліуретани в медицині

Використання поліуретанів поширене при виробництві цілого ряду медичних пристроїв.

Можливості використання поліуретанів в медицині дуже широкі. Поліуретани можуть використовуватися для виробництва катетерів і трубок загального призначення, обладнання для ліжок, хірургічних простиней або серветок, ранових пов'язок, а також широкого діапазону пристроїв, виготовлених литтям під тиском.

Найбільш поширено застосовують імплантати короткочасної дії. Вони підходять для цілого ряду застосувань, де необхідно отримати такі переваги, як: рентабельність, довговічність, жорсткість і високі параметри стійкості до навантаження.

 Застосування полімерних матеріалів у хірургії в даний час є одним з найважливіших напрямів у науці про полімери. Хоча багато полімерних виробів вже широко використовуються в медицині (різноманітні хірургічні апарати, ємності, плівки для покриття операційного поля, перев'язувальні матеріали та інше), використання їх для хірургічного лікування внутрішніх органів людини почалося недавно.

Це новий напрямок, що отримав назву алопластики, виявився вельми перспективним і багатообіцяючим. Нерідко полімерний алопластичний матеріал є більш прийнятним, ніж ауто-, гомо- і гетеропластика біологічними речовинами як з точки зору впливу на організм, так і за фізико-механічними властивостями.[4]

.5.4 Поліуретанові каучуки

Термопластичні поліуретани (ТПУ) - один з різновидів ПУ еластомерів, одержуваних ступінчастою полімеризацією поліефірів з діізоціанатами в присутності компонентів, що сприяють подовженню ланцюга. ТПУ відрізняються високим модулем пружності, зносостійкості і морозостійкості, низьким коефіцієнтом тертя, стійкістю до вібрацій, а також впливу масел і бензину.

ТПУ значно різняться за властивостями і областям застосування. Внаслідок високої зносостійкості з них виготовляють направляючі втулки, підшипники, сферичні вкладиші для автомобілів і тракторів. Деталі з ТПУ можна використовувати в хімічній промисловості, так як вони мають високу стійкість до агресивних середовищ. Виробництво цих матеріалів постійно зростає.

Рідкі ПУ каучуки отримують на основі простих або складних поліефірів. Їх застосовують для виготовлення виробів методами вільної заливки, вакуумного і відцентрового лиття, в якості основи для отримання клеїв, герметиків, антикорозійних сполук.

Вироби, отримані на їх основі, володіють еластичністю, стійкістю до дії кисню і озону, хорошою опірністю ударних навантажень, стирання і набухання у розчинниках. Каучуки на основі простих поліефірів, більш водостійкі, ніж складноефірні.

Тверді ПУ каучуки мають високу стійкість до стирання і відриву, відмінні амортизаційні властивості, а також хорошу твердість, гнучкість і еластичність, стійкість до розчинників. Недоліком цих матеріалів є їх невелика термостійкість.

Тверді ПУ каучуки застосовують для виготовлення автомобільних шин, жолобів для транспортування абразивних матеріалів, а також таких виробів, від яких потрібна висока зносостійкість. [5]

.5.5 Поліуретанові Клеї

ПУ клеї відомі під назвою - полісталь, розроблені у ФРН, використовують для склеювання деревини з деревиною і сталями. У результаті утворюється жорстке вібростійке з'єднання, що використовується в авіаційній промисловості.

Цими клеями з'єднують різні матеріали, в тому числі тканини. ПУ клей добре склеює метали після попереднього дробоструменевого очищення їх поверхні. Є клеї, що забезпечують склеювання як на холоді, так і при нагріванні.

Кращими клеями є:

Клей вилад-1К: використовують для кріплення в електростатичному полі ворсу до підкладки килимів. Він має гарну адгезію до деревини, тканини, шкіри, кераміки. Клей твердне при температурі 20-1200С, стійкий до води і різних миючих засобів і не містить високотоксичних сполук.

Клей вилад-6К: призначений для кріплення пластифікованої полівінілхлоридної плівки до листового металу при виготовленні металопластів, які широко застосовують у будівництві, авто-, судно-, та авіабудуванні, хімічної та інших галузях промисловості.

Металопласт внаслідок високої міцності кріплення плівки до металу можна обробляти холодним штампуванням, глибокою витяжкою і вальцюванням поверхні. Міцність клейового шва після кип'ятіння у воді перевищує міцність плівки.

Клей вилад-11К: дозволяє склеювати метали, пластмаси, скло, кераміку і деревину. Він не містить розчинників і високотоксичних речовин, може тверднути при позитивній та негативній температурах, склеювати вологі поверхні і тверднути під водою. Клейовий шов має хорошу вібростійкість в діапозоні частот 60Гц. Він має високу водо-, масло-, і бензостійкість, стійкий до дії слабких кислот і лугів.

Також цінними властивостями володіють клеї ПУ-2, ПУ-2Б, ПУ-2М, ВК-5, ВК-11 - вони забезпечують високу міцність з'єднання металів, пластмас, силікатного і органічного скла, деревини та інших матеріалів у різних умовах, навіть при вібраційних навантаженнях. [5]

1.5.6 Поліуретанові покриття

Шляхом підбору компонентів, що застосовуються для синтезу поліуретанів, їм можна надати найрізноманітніші властивості. З тривимірних поліуретанів, в яких блоки гідроксилвмісного компоненту досить жорсткі порівняно з такими в каучуках, можна отримати тривимірні поліуретанові плівки і покриття. Наявність великої кількості полярних груп забезпечує високу адгезію покриттів до поверхонь, а специфічні властивості поліуретанів - високі фізикомеханічні властивості покриттів.

Основний принцип отримання покриттів заснований на використанні поліфункціональних з'єднань, що забезпечують утворення тривимірної просторової сітки. В якості поліфункціональних з'єднань застосовуються трьох- і чотирьох атомні спирти, розгалужені поліефіри та їх комбінації. При утворенні поліуретанових покриттів мають місце практично ті ж реакції, що при отриманні гум, в продуктах реакції крім уретанових груп також є сечовинні, біуретові.

З хімічної точки зору важливими є реакції з водою, так як отвердіння лакових покриттів на основі поліуретанів зазвичай відбувається в умовах контакту з вологим повітрям. Так як поліфункціональність вихідних сполук є необхідною умовою для отримання тривимірних покриттів, то в якості одного з компонентів реакції застосовується аддукттолуілендіізоціонат з триметилолпропаном і диетиленгліколем.

Зараз відомо велике число найрізноманітніших композицій, які застосовують для отримання поліуретанових покриттів, що дозволяють одержувати покриття, що відповідають самим різним вимогам. Однак в основі всіх методів лежать одні й ті ж хімічні принципи отримання тривимірних структур.

Отримання поліуретанових клеючих композицій практично нічим не відрізняється від принципів отримання покриттів. У кожному окремому випадку хімічна природа компонентів і умови затвердіння композиції підбирають так, щоб забезпечити необхідну життєздатність композицій, температурні режими затвердіння, швидкості процесів.

Поліуретанові покриття бувають:

однокомпонентними, коли ізоціонатні групи з'єднуються з вологим повітрям;

Двокомпонентні поліуретанові покриття відрізняються високими довговічністю, хімічною та корозійною стійкістю, твердістю і стійкістю до абразивного зношування, можуть і тверднути при зниженій температурі. Їх використовують для захисту підземних і підводних конструкцій, для захисту від корозії і швидкого зношування елементів фасадів промислових будівель, контейнерів для транспортування та зберігання розчинників, залізничних вагонів, автоцистерн, сушильних печей, шпунтових балокстін та інших будівельних споруд і промислових виробів.

Розроблено поліуретанове покриття, яке швидко твердне при низьких температурах і має підвищену теплостійкість. Розроблена поліуретанова смола, яка твердне без нагрівання і не потребує розчинника.

Її можна застосувати для захисту зовнішніх і внутрішніх поверхонь трубопроводів для питної води, газових магістралей і т.д. Ця смола стійка до старіння, зношування і впливу агресивних середовищ, кислот, розбавлених лугів, масел і жирів, нафтопродуктів. [5]

.5.7 Поліуретанові масла

Поліуретанові масла отримують в результаті взаємодії діізоціанатів з лляною олією. За властивостями поліуретанове масло не поступаються рослинним.

Поліуретан на касторовій олії можна використовувати в якості дешевих матеріалів для захисних покриттів. [5]

1.5.8 Поліуретанові волокна

Волокна на основі поліуретанів поділяються на два основні класи.

До першого належать волокна, аналогічні іншим термопластичних волокнам типу поліамідних, поліефірних та ін. Це волокна на основі лінійних термопластичних кристалізуючих поліуретанів. Найбільш поширений тип поліуретанових волокон - перлон U-виходить при взаємодії бутандіолу-1,4 з гексаметилендіізоцианатом. Варіюючи компоненти, застосовувані для синтезу волокноутворюючих полімерів, можна змінювати температуру плавлення полімерів та їх фізико-механічні властивості.

До другого класу поліуретанових волокон відносяться еластичні волокна, що володіють лінійною або тривимірною просторовою структурою. Ця група волокон унікальна по своїх властивостях і не має аналогів серед інших класів полімерних сполук.

Еластичні волокна, до складу яких входить не менше 85% поліуретанів, вперше були випущені в США в кінці 1960 р. Завдяки своїй хімічній будові вони володіють високим розривним подовженням (500-800%), низьким модулем пружності і високою еластичною деформацією.

Вони розроблені після вирішення проблем, пов'язаних з видаленням з реакційної маси поліуретанових слідів води. Поліуретанове волокно перлон по ряду властивостей перевершує нейлон.

Раніше це волокно формували з розплаву холодної витяжкою. З нього виготовляють фільтрувальні, захисні і парашутні тканини, приводні ремені, канати, ізоляційний матеріал для кабелів.

Волокна, оброблені ізоціанатами, після обробки набувають водовідштовхувальних властивостей і не піддаються усадці. Поліуретанові волокна, перероблені в суміші з натуральними та іншими видами волокон, можна використовувати для виготовлення трикотажу і тканин для одягу.

Поліуретан застосовують для герметизації радіодеталей. При цьому забезпечується жорстке взаємне розташування деталей, високий електричний опір, необхідні теплопровідність, хімічна стійкість, волого- і вібростійкість.

На основі поліуретану виготовляють синтетичну шкіру для взуттєвої промисловості. Ця шкіра має пористу структуру, схожу на натуральну шкіру, задовольняє гігієнічні вимоги, зберігає властивості при температурі до 500С, перевершує натуральну шкіру по водостійкості, міцності, простоті відходу і на 30% легше її. У результаті використання термопластичного поліуретану отримана штучна шкіра, подібна до природної.

Слід зазначити, що шкіра з поліуретану пропускає водяні пари, як і натуральна. Пористість надають шкірі в процесі коагуляції відповідною обробкою поліуретану у воді. [5]

.5.9 Поліуретанові лаки

Поліуретанові лаки наносять на папір, тканину і шкіру.

Вони мають гарну адгезію, високу стійкість до дії розчинників, води і атмосферостійкість, хороші діелектричні властивості і низьку газопроникність.

Поліуретанові лаки наносять на поверхні деталей літаків для зменшення тертя їх об повітря при польоті. У ФРГ ПУ лаки використовують для покриття внутрішньої поверхні нафтосховищ і зовнішньої поверхні генераторів водяної пари. В останньому випадку на захищених поверхнях корозією не спостерігали і через шість років, а при інших покриттях ремонт робили щорічно. Також поліуретанові лаки наносять на палуби авіаносців, вантажних суден і танкерів, на димоходи, де сірчаний осад руйнує найбільш поширені покриття.

Лаки:

УР-19, УР-71, УР-1, УР-930 володіють хорошими антикорозійними властивостями.

Лак УР-19, що має високу водо-, хімо-, і атмосферостійкість, використовують для захисту бетонних і залізобетонних конструкцій.

УР-1, УР-2 ці лаки застосовують для захисту від корозії електропроводів, які наносять шляхом занурення з подальшим протяганням проводів через калібрований отвір.

УР-930 є найкращим для захисту металевих конструкцій від корозії.

Слід зазначити, що ПУ лаки, емалі і клеї відрізняються високою адгезією до металу, деревини, скла і полімерів, стійкістю до стирання, водостійкістю і стійкістю до корозії. [5]

.6 Загальне застосування поліуретанів

В даний час виробництво поліуретанів і різних матеріалів на їх основі досягло значних масштабів, особливо у технічно розвинених країнах. Різноманітність вихідної сировини, а також хімічних реакцій, дає можливості формування широкого набору хімічних і фізичних зв'язків дозволяють створювати на основі ПУ різні матеріали. У зв'язку з цим безперервно розробляються все нові і нові можливості використання поліуретану.

Перелічимо деякі з перспективних напрямів застосування поліуретану, які є прекрасними прикладами реалізації багатства їхніх можливостей.

Поліуретан використовують як сполучних для виробництва деревостружкових плит взамін сечовинно-формальдегідних смол. Однокомпонентні пінопласти (або піногерметики) з поліуретаном застосовують для заповнення порожнин, щілин. Випуск пінопластів, замінюють і імітують деревину. Поліуретан використовують для отримання ефективного клейового вмісту і покриттів в будівництві та машинобудуванні, а також клеїв і протезів медичного призначення, які завдяки прекрасним фізико-механічними властивостями і подібністю їх будови з білковими структурами краще поєднуються з тканинами організму.

Великі успіхи за останні десятиліття досягнуті також в області переробки уретанових реакційноздатних композицій.

Промислове використання пінополіуретанів вражає своєю різноманітністю. Вироби і конструкції на основі поліуретанів використовують в усіх без винятку галузях промисловості. Ось далеко не повний перелік можливих областей застосування поліуретану:

         тепло- і холодоізоляція промислових, побутових, торгових холодильників, транспортних рефрижераторів, складів-сховищ, виготовлення ізотермічних і морозильних автофургонів і камер, теплоізоляція трубопроводів, залізобетонних і цегляних споруд, резервуарів, виготовлення озонобезпечних теплоізоляційних плит, шкаралуп;

         виготовлення систем «труба в трубі» - поліуретан заливається в простір між трубою і тепло-гідрозахисною оболонкою (втрати тепла в такій конструкції в 3-4 рази нижче нормативних, а термін її служби для систем гарячого водопостачання - не менше 25-30 років);

         утепління і гідроізоляції покрівель та фасадів будівель, стін, підлог, дахів, підвалів, стель, мансард, житлових і виробничих приміщень, саун, бань, зовнішньої і внутрішньої теплоізоляції віконних і дверних прорізів, герметизації міжпанельних швів і т.д., виготовлення «сендвіч » -конструкції з використанням обкладальних матеріалів, в тому числі декоративних, теплоізоляційних негорючих блоків різного призначення;

         виготовлення деталей радіоелектронної промисловості, барвистих валиків у поліграфічній промисловості, прокладок, ущільнювальних матеріалів і взуттєвих підошов, виробництво деталей і вузлів машин, що піддаються великим динамічним навантаженням, вібрації, впливу хімічно агресивних середовищ, ерозійного впливу твердих частинок в газових потоках або рідкої пульпи, а також комплексному впливу зазначених факторів;

         виготовлення покриттів лопатей вертольотів, приводних ременів в пральних машинах, конвеєрних стрічок і рукавів, підшипників ковзання рульового механізму, елементів передньої підвіски, вкладишів рульових тяг, самозмащувальних ущільнень, паливостійких клапанів, мастилостійких деталей, важелів перемикання передач;

         виробництво шовкових ниток і протезів серцево-судинної системи, сорбентів для виділення і концентрації різних сполук з повітря, природних і стічних вод, носіїв для іммобілізації ферментів і органічних реагентів, твердих полімерних матриць в сорбційно-спектроскопічних методах аналізу; [5]

.7 Технологічний процес виготовлення пінополіуретану (поролону)

Технологія виробництва поролону складна і проста водночас. Складність технології виробництва поролону полягає у використанні складних високомолекулярних речовин, поводження з якими вимагає строго дотримування вказівок з техніки безпеки при роботі зі шкідливими речовинами.

Простота полягає в тому, що при дотриманні правил ведення процесів, виробництво поролону засноване всього лише на декількох реакціях, що протікають без застосування складної апаратури. [6]

Технологічний процес виробництва поролону складається з наступних операцій:

- підготовка обладнання, огляд ділянки, перевірка всіх систем (електроенергія, вентиляція, водопровід і ін.)

- доставка на ділянку сировини

- перевірка температури і підігрів компонентів до потрібної температури

- дозування компонентів

- замішування компонентів в змішувачі

- заливка суміші у форми

- витримка в формах суміші певний час

- відправка блоків на ділянку визрівання (кінцевої полімеризації компонентів)

- витримка блоків на ділянці дозрівання

- різання блоків на листи

- відправка поролонових листів на склад готової продукції.

Кожен пункт з наведеного вище списку має свою частку значущості в процесі виробництва поролону.

Розглянемо кожен з них:

. Підготовка обладнання - у виробництві поролону задіяні реакції полімеризації, які протікають в часовому проміжку, непідготовлене обладнання однієї ланки може призвести до втрати певної кількості продукту (наприклад: сировину змішали, а форми для заливки не готові).

. Доставка сировини - на ділянку виробництва доставляється зі складу тільки змінна норма споживання.

. Перевірка температури і підігрів компонентів до потрібної температури - обґрунтована тим, що сировина для виробництва поролону повинна зберігатися в певному температурному режимі, недотримання якого може призвести до отримання бракованої продукції (у нашому випадку - поролону), реакції протікають в певному температурному режимі і для гарного виходу якісного продукту компоненту, що вступають у реакцію, повинні мати певну температуру.

. Дозування компонентів - відповідальна операція, похибка в кількості сировини дуже невелика, дотримання якої необхідне для нормального ходу реакцій і отримання якісної піни. Для отримання продукту високої якості, дозування компонентів проводять тільки на точних приладах зважування (наприклад електронні ваги).

. Замішування компонентів у змішувачі - процес тимчасовий, що вимагає дотримання правил перемішування компонентів, компоненти, звалені в «купу», не дадуть на виході якісний поролон, черговість введення компонентів у змішувач суворо регламентується.

. Заливка у форми - для отримання якісного блоку форми готують згідно з вимогами технологічного процесу, форми застеляються захисною плівкою (поліетилен), щоб уникнути прилипання до поверхні форм.

. Витримка в формах суміші певний час - цей час обумовлений протіканням реакції, що забезпечує отримання поролону.

. Відправка блоків - після закінчення певного часу, необхідного для формування блоку поролону, форми розбирають, блоки відправляють на ділянку дозрівання; на цій стадії вже можна вести візуальний контроль якості одержуваного продукту;

. Переміщення блоків на ділянку дозрівання - операція нескладна, але виконувати її потрібно з певною часткою обережності, щоб не «покалічити» ще не сформовану структуру блоку.

. Витримка блоків на ділянці дозрівання - на ділянці дозрівання блоки витримують відведений технологічним процесом час. Особливих вимог не висувають ні до приміщення, ні до персоналу, єдина вимога - ділянка повинна відповідати обсягу випущеного продукту, тобто уникати скупченості і обов'язково: добре вентилюватися, без доступу прямих сонячних променів.

. Різання блоків поролону на листи - різання блоків поролону на листи проводиться на спеціальних верстатах, які до початку робіт необхідно ретельно перевірити і налагодити, щоб уникнути отримання бракованих листів.

. Відправка поролонових листів на склад готової продукції - на склад готової продукції листи поролону відправляють упакованими (для упаковки листів поролону існують спеціальні пакувальні машини) або не упаковані (наприклад - поролонове виробництво направлено на забезпечення поролоном меблевого цеху, який розташований в безпосередній близькості і тривалому транспортуванні поролоновим листам не належить).

Ось таке нескладне, але дуже перспективне виробництво по силам налагодити навіть підприємцю, за умови, що всі стадії виробництва будуть виконуватися відповідальними людьми, зацікавленими у розвитку даного бізнесу не тільки з метою самоствердитися на ринку продажів, але й отримати досить високу матеріальну забезпеченість для всього колективу. [7]

.8 Техніка безпеки при виготовленні поліуретанів

Толуендіізоционат володіє вражає слизові оболонки очей та органів дихання. При ураженні дихальних шляхів з'являється кашель і розвивається загальна форма бронхіальної астми.

При попаданні на шкіру він викликає її слабке подразнення. Випадків сильного ураження шкіри у працюючих з толуендіізоционатів не спостерігалося.

Концентрація парів толуендіізоционатів в повітрі, дорівнює 0,1 мг/л, безпечна для роботи і вважається гранично допустимою в робочих приміщеннях. Вміст 0,4мг/л - нижня межа концентрації, при якій толуендіізоционат розрізняється по запаху. При великих концентраціях, близько 0,5-0,8 мг/л, вже подразнюється слизова оболонка дихальних шляхів.

Ступінь токсичності різних видів діізоцианатів визначається їх летючістю: чим більш летючий ізоцианат, тим більше він небезпечний.

У приміщеннях, де працюють з діізоцианатами, повинна бути забезпечена хороша вентиляція. При зважуванні, переливанні і завантаженні ізоціанатів в посудини необхідно користуватися гумовими рукавичками, захисними окулярами, які захищають руки і очі від випадкового попадання продукту. При попаданні толуендіізоцианату в очі необхідно негайно промити їх водою або рослинним маслом.

При аварійних випадках проливання або витоку ізоционат слід негайно нейтралізувати, використовуючи його розчинність в деяких речовинах. Ізоцианати добре розчиняються в спиртах, наприклад в розчині ізопропілового спирту. Для змивання ізоціанатів рекомендується застосовувати водні розчини спиртів і мила. У воді толуендіізоционат розчиняється незначно, повільно з нею реагуючи. [8]

2. Практичний розрахунок сушильного апарату для сушки поролону

Ми спочатку розраховуємо розміри барабана та потужність, яка потрібна на обернення барабанної газової сушилки для сушки поролону.

Умови виробництва:

Кількість поролону G1 = 1 0000 кг/год при початковій вологості w1=16% і кінцевий вологості w2=4%.

Насипна маса поролону rн= 1897 кг/м3. Теплоємність висушеного матеріалу с2= 545 Дж/кг*град = (0,13 ккал/кг*град).

Ступінь заповнення барабану поролоном Y=0,15, насадка барабану: підйомно-лопостна.

.1 Розрахунок розмірів барабана

Рішення: Визначимо на основі формули (1):

 (2.1)

де  - кількість вологого повітря, яке надходить в сушилку;

 - кількість висушеного матеріалу;

W - кількість повітря, яке випаровувалося;

 - початкова вологість;

 - кінцева вологість;

Продуктивність сушилки по висушеному матеріалу:

Згідно з довідниковими даними, приймаємо напругу барабана сушилки за вологою А » 65 кг/м3.год.

2.2 Об’єм барабану

Об’єм барабану за формулою (2.1) складатиме:

 

де  - об’єм барабана; W - загальна кількість вологи, яка випаровувається.

 (2.1.)

Приймаючи відношення довжини барабану до його діаметру L:D=6, визначимо діаметр барабана:

 

Звідки:

 


За довідниковими даними цей розмір відповідає нормам, Тоді робимо уточнення об’єму барабана:

V=4,71D3 = 4,71.1,63 = 19,3 м3



2.3 Довжина барабану

Довжина барабану складатиме:


Приймаємо заокруглено L=10м

Знаходимо середню масу матеріалу, який проходить через барабан:


За формулою (2.3) визначимо час перебування матеріалу в барабані:

, (2.3)

де -об’єм барабана, м3;

- насипна маса матеріалу, кг/м3;

Y- ступінь заповнення барабана;

- середня маса матеріалу, який проходить через барабан, кг/с.

= 3660 с

Відповідь: отже, для виробництва еластичного пінополіуретану (тобто поролону) в необхідній кількості нам буде потрібна сушилка об’ємом 19,3 м3, довжиною барабану 10 м, та потужністю 15,5 кВт.

Висновок

Під час проведення розрахунків була вивчена технологія отримання поліуретану та зроблені розрахунки сушильного апарату газової сушилки.

Розрахунок параметрів (діаметр, площа перерізу, довжина, об’єм сушилки, потужність) сушильного апарату дозволяють отримувати поліуретан із покращеними експлуатаційними характеристиками.

Список літератури

1.      Гетьманчук Ю.П., Братичак М.М. «Хімія та технологія полімерів». Видавництво «Бескид Біт» м. Львів, 2006. 497 с.

2.      Липатов Ю.С., Керча Ю.Ю., Сергеева Л.М. “Структура и свойства полиуретанов.” Киев: Наук. думка, 1970. 279 c.

.        Липатов Т.Л., Пханадзе Г.А. “Полимеры в эндопротезирование” Киев: Наук. думка, 1983г.

4.      Саундерс Д., Фриш К.- “Химия полиуретанов”: Пер. с англ. М.: Химия, 1968. 470 с.

5.      Домдроу Б.А. “Полиуретаны” М., 1961 г.

6.      Коршак В.В. “Технология пластических масс” М.: Химия, 1976г.

7.      Булатов Г.А. “Полиуретаны в современной технике.” - М.: Машиностроение 1983г, 272ст.

8.      Керча Ю.Ю. “Физическая химия полиуретанов.” Киев: Наук. думка, 1979.

Похожие работы на - Технологія виробництва поліуретану

 

Не нашли материал для своей работы?
Поможем написать уникальную работу
Без плагиата!
Без нейросетей!