Технология бетона
Содержание
Исходные
данные для расчета
Введение
. Требования
к материалам для приготовления бетона
. Расчет
расхода материалов на 1 м3 бетона
. Определение
расчетной плотности бетонной смеси в уплотненном состоянии
. Расчет
производственного состава бетона
. Расчет
коэффициента выхода бетонной смеси и дозировки материалов (в рабочем состоянии)
на замес бетоносмесителя
Заключение
Список
литературы
Исходные
данные для расчета
бетон смесь дозировка плотность
Класс бетона В = 15 Мпа,
Жесткость бетонной смеси - 15…20 с
Активность портландцемента Rц= 400 кгс/см2
Истинная плотность портландцемента ρц = 3,07 г/см3
Крупность песка - средней крупности
Истинная плотность песка ρп = 2,62 г/см3
Насыпная плотность песка ρнп = 1440кг/м3
Насыпная плотность песка во влажном состоянии ρвнп = 1400 кг/м3
Влажность песка Wп = 3%
Вид крупного заполнителя - щебень
Наибольший размер заполнителя Днаиб = 20 мм
Истинная плотность крупного заполнителяρщ(г) = 2,65 г/см3
Насыпная плотность крупного заполнителя ρнщ(г) = 1500 кг/м3
Насыпная плотность крупного заполнителя во влажном состоянии ρвнщ (г) = 1560 кг/м3
Влажность крупного заполнителя Wщ(г) = 1%
Объем замеса V = 1500 л.
Введение
Сегодня в период бурного развития промышленного и гражданского
строительства огромная роль отводится качеству и экономичности строительных
материалов. Поэтому, ежегодно проводятся сотни лабораторных опытов, которые
приводят к открытию новых или модернизации уже известных материалов,
усовершенствованию технологии их изготовления.
Однако, одним из основных строительных материалов для строительства
несущих конструкций уже на протяжении многих лет является тяжелый бетон. Бетон
- строительный материал, искусственный каменный материал, получаемый в
результате формования и затвердевания рационально подобранной и уплотненной
смеси состоящей из вяжущего вещества (цемент или др.), крупных и мелких
заполнителей, воды. В ряде случаев может содержать специальные добавки, а также
отсутствовать вода (например в асфальтобетоне).
Бетон обладает высокой прочностью на сжатие, экологичностью и
долговечностью. Поэтому, на сегодняшний день, является актуальными решение
задач по расчету расхода материалов на 1 м3 бетона и расчет
производственного состава бетона.
Целью курсовой работы является закрепление теоретических знаний о подборе
состава тяжелых бетонов.
Для достижения поставленной цели необходимо выполнение ряда следующих
задач:
изучение нормативных требований к материалам для приготовления бетонной
смеси;
освоение методики расчета расхода материалов на 1 м3 бетона;
освоение методики расчета плотности бетонной смеси в уплотненном
состоянии
освоение методики расчета производственного состава бетона
освоение методики расчета выхода коэффициента бетона и дозировки
материалов на замес бетоносмесителя.
1. Требования к материалам для приготовления бетона
Сырьевыми материалами для производства тяжелых высокопрочных бетонов
являются вяжущие, заполнители различного типа, добавки. К материалам,
используемым для приготовления высокопрочного бетона, предъявляются повышенные
требования, обеспечивающие получение бетона нужной прочности при максимально
возможной экономии цемента.
Вяжущие вещества.
В качестве вяжущего, применяют пластифицированный, гидрофобный или
обычный портландцементы, которые должны иметь наибольшую возможную активность и
наименьшую нормальную густоту. Рекомендуются цементы, у которых нормальная
густота не более 25-26% и активность не ниже 400-500 кгс/см2.
Высокопрочные бетоны наиболее целесообразно приготовлять на
высокоактивных портландцементах (ВПЦ). Достаточно быстрое нарастание прочности
в раннем возрасте позволяет сократить до минимума использование различного рода
ускорителей твердения бетона.
Цемент должен удовлетворять следующим требованиям:
. Тонкость помола должна быть такой, чтобы при просеивании пробы цемента
сквозь сито с сеткой №008 проходило не менее 85% массы просеиваемой пробы;
. Сроки схватывания: начало схватывания не ранее 45 мин., конец
схватывания не позднее 10 часов от начала затворения водой;
. Цемент должен показывать равномерность изменения объема при испытании
образцов кипячением в воде. Коэффициент насыщения-0,88; модуль - 1,67;
глиноземистый модуль - 1,26;
Нормальная густота портландцемента - 22-27%. [1]
Требования к портландцементу приведены в таблицах 1.1,1.2,1.3.
Таблица 1.1
Требования ГОСТ 10178-95 к прочности цементов
|
Гарантированная марка
|
Предел прочности в возрасте 28 суток, МПа (кгс/см2)
|
|
при изгибе
|
при сжатии
|
|
300
|
4,4(45)
|
29,4(300)
|
|
400
|
5,4(55)
|
39,2(400)
|
|
500
|
5,9(60)
|
49,0(500)
|
|
550
|
6,1(62)
|
53,9(550)
|
|
600
|
6,4(65)
|
58,8(600)
|
Таблица 1.2
|
SiO2
|
CaO
|
Al2O3
|
Fe2O3
|
MgO
|
SO3
|
п.п.п.
|
|
20,62%
|
64,27%
|
6,94%
|
5,44%
|
1,56%
|
0,97%
|
0,2%
|
Таблица 1.3
Минералогический состав портландцементного клинкера
|
C3S
|
C2S
|
C3S
|
C4AF
|
|
50,16%
|
20,22%
|
9,0%
|
16,53%
|
Тонкость помола цемента: удельная поверхность
уд = 2500 - 2800 см2/г.
В данной работе будет использоваться цемент с истинной плотностью 3070
кг/м3, активностью цемента Rц=400 кгс/см2.
Заполнители
Заполнители являются основными компонентами бетона, как по массе, так и
по объему (70-90% объема бетона). Они оказывают влияние на технологические
свойства бетонной смеси, процессы твердения и на строительно-технические и
эксплуатационные свойства бетона.
а) Крупный заполнитель
В качестве крупного заполнителя в высокопрочных бетонах применяют щебень,
получаемый дроблением прочных плотных горных пород.
Допускается применять щебень пониженной прочности, но не ниже прочности
бетона. В этом случае его следует испытывать в бетоне и использовать после
соответствующего технико-экономического обоснования.
Щебень необходимо применять чистым (не содержащих отмучиваемых частиц) и
фракционированным. Размеры фракций принимаются 5-10, 10-20, 20-40 мм. [8]
Заполнитель должен удовлетворять требованиям ГОСТ 8267-93 "Щебень и
гравий из плотных горных работ".
При подборе состава бетона в данной работе используется щебень фракции
5-10, 10-20 мм.
Зерновой состав щебня каждой фракции должен соответствовать указанному в
таблице 1.4.
Таблица 1.4
Зерновой состав щебня
|
Диаметр отверстия контрольного сита, мм
|
d
|
0,5(d+D)
|
D
|
1,25D
|
|
Полные остатки на ситах, % по массе для фракций 5…10 мм;
10…20 мм; 20…40 мм
|
90-100
|
30-80
|
До 10
|
До 0,5
|
Рисунок 1.1. Гранулометрический состав щебня
Для всех видов и марок щебня по прочности содержание глины в комках в
общем количестве пылевидных и глинистых частиц не должно превышать 0,25% по
массе.
Содержание пластинчатых и игловатых зерен в щебне не должно превышать
35%,зерен слабых и выветренных пород не должно превышать 10%. Наличие глин в
виде отдельных комьев в количестве 0,25% или пленки, обволакивающей зерна
заполнителя, не допускается. [2]
В данной работе будет использоваться щебень с истинной плотностью
2,65г/см3, насыпная плотность ρнщ(г) = 1500 кг/м3,
насыпная плотность во влажном состоянии ρвнщ(г) = 1560 кг/м3 с
влажностью 1%.
б) Мелкий заполнитель (песок)
Для приготовления высокопрочного бетона используются природные,
искусственные (или их смеси) фракционированные кварцевополевошпатовые пески.
Песок должен удовлетворять требованиям ГОСТ 8736-93 "Песок для
строительных работ". Основными показателями качества песка является
зерновой состав и содержание пылевидных и глинистых частиц, в том числе глины в
комках. Рекомендуемые стандартом зерновые составы песка обеспечивают компактную
упаковку его частиц и наименьшую межзерновуюпустотность, что ведет за собой
экономию вяжущего вещества.
В соответствии с требованиями ГОСТ 8736-93 "Песок для строительных
работ" в тяжелых бетонах должны использоваться пески с модулем крупности
1,5-3,25. В природном песке не допускается присутствие зерен размером свыше 10
мм в количестве более 0,5% по массе, свыше 5 мм - более 10% по массе,
содержание зерен проходящих через сито №016, не должно превышать, % по массе: в
природных песках повышенной крупности, крупных и средних-10, в мелком и очень
мелком песке - 15. [3]
В данной работе будет использоваться щебень с истинной плотностью 2,62 г/см3,
насыпная плотность ρнщ(г) = 1440 кг/м3, насыпная плотность во
влажном состоянии ρвнщ(г) = 1400 кг/м3. Используется песок
средней крупности с влажностью 3%.
Таблица 1.5
Требуемый зерновой состав природного песка
|
Размер отверстий контрольных сит, мм
|
5
|
2,5
|
1,25
|
0,63
|
0,315
|
0,16
|
|
Полные остатки на контрольных ситах А, % по массе
|
0
|
0…20
|
20…70
|
35…90
|
90…100
|
Рисунок 1.2. Зерновой состав песка
Вода
Для затворения бетонной смеси применяют грунтовые, поверхностные и
пресные озерные воды (ГОСТ 23732-79* "Вода для бетонов и растворов").
Содержание в воде органических ПАВ, сахаров или фенолов, каждого, не должно
быть более 10 мг/л.
Вода не должна содержать пленки нефтепродуктов, жиров, масел.
Окисляемость воды не должна быть более 15 мг/л. Водородный показатель
воды (рН) не должен быть менее 4 и более 12. Вода не должна содержать также
примесей в количествах нарушающих сроки схватывания и твердения цементного
теста и бетона, снижающих прочность и морозостойкость бетона. В данном проекте
будем использовать воду от городских сетей. [4]
Добавки
Для регулирования свойств бетона, бетонной смеси и экономии цемента
используем химическую добавку - суперпластификатор С-3. Эта добавка существенно
улучшает свойства бетона, может обеспечить значительную экономию цемента. С-3
вводится в количестве 0,75% от массы цемента.
Применение С-3 позволяет достичь следующих показателей:
- увеличить подвижность бетонной смеси;
- снизить водопотребность при затворении вяжущего вещества на
20-25%;
- увеличить конечные прочностные характеристики на 25% и более;
- увеличить сроки схватывания и живучесть бетонной смеси;
- в 1,5-1,6 раз увеличить сцепление бетона с закладной
арматурой и металлоизделиями;
- получить бетоны с повышенной влагонепроницаемостью,
трещиностойкостью, морозостойкостью (350 циклов);
- снизить расход цемента на 15%;
- снизить энергетические затраты (при вибрации, ТВО) на 30-50%,
а ряде случаев и полностью отказаться от дополнительных энергозатрат;
- получать бетонные смеси, укладываемые без вибрации. [8]
Добавки для бетонов должны соответствовать требования ГОСТ 24211-91
"Добавки для бетонов. Общие технические требования".
2. Расчет
расхода материалов на 1 м3 бетона
Проектирование состава бетона по методу абсолютных объемов производят в
следующей последовательности:
) В зависимости от принятой удобоукладываемости (подвижности ОК или
жесткости Ж) бетонной смеси, наибольшего размера зерен крупного заполнителя и
его вида определяют ориентировочный расход воды В по графикам С.А. Миронова или
по справочной таблице 2.1.
Таблица 2.1
Ориентировочный расход воды на 1 м3 бетонной смеси на плотных заполнителях
Так как требуемая жесткость бетонной смеси 15-20 и наибольшая крупность
щебня 20 мм, принимаем ориентировочный расход воды на 1 м3 бетонной
смеси 228 л.
) Оптимального (технически и экономически выгодного) расхода цемента
добиваются правильным выбором содержания крупного и мелкого заполнителя.
Для определения расхода заполнителей используют уравнение , выведенное из
условия, что цементно-песчаный раствор должен заполнить все пустоты между
зернами крупного заполнителя (в насыпном состоянии) с некоторой их раздвижкой,
что необходимо для получения удобоукладываемой бетонной смеси и хорошего
связывания зерен заполнителя в единый прочный монолит:
(2.1)
где
- пустотность щебня (гравия) в долях единицы;
- коэффициент раздвижки зерен крупного заполнителя
(коэффициент избытка раствора);
- насыпная плотность щебня (гравия), кг/м3
(кг/л).
Для обычного бетона при Ц/В≤2,5 находим цементно-водное отношение
по формуле:
(2.2)
Среднюю прочность бетона Rб на сжатие в зависимости от заданного класса В
определяют по формуле:
Где
В - численное значение класса бетона по прочности на сжатие, Мпа;
- средняя прочность бетона на сжатие, Мпа.
Далее рассчитаем водоцементное отношение:
Вычислим расход цемента Ц, кг на 1 м3 бетонной смеси по
следующей формуле:
Где
В - расход воды на 1 м3 бетонной смеси, л;
В/Ц - водоцементное отношение.
Сравним расчетное количество цемента с его минимально допустимым расходом
(табл. 2.2) для получения нерасслаивающейся плотной бетонной смеси.
Таблица 2.2
Минимальный расход цемента для получения нерасслаивающейся плотной
бетонной смеси
Цmin = 165 кг, в дальнейших расчетах принимаем Ц = 165 кг.
Расход щебня (гравия) и песка в кг на 1 м3 бетонной смеси
вычисляют по формулам, которые выводятся при решении системы двух уравнений:
(2.3)
В этой системе уравнений два неизвестных: расход песка и щебня, так как
расходы цемента и воды определяют в зависимости от прочности бетона и
подвижности бетонной смеси. [7]
Решением приведенной системы получают:
(2.4)
(2.5)
Пустотность щебня (гравия) Vп в насыпном состоянии в долях единицы объема
рассчитывается по формуле:
(2.6)
где
- насыпная плотность щебня (гравия) в сухом состоянии,
кг/м3;
- средняя плотность зерен щебня (гравия), кг/м3.
Значение коэффициента раздвижки зерен α для подвижных бетонных смесей
устанавливают по таблице2.3
Таблица 2.3
Значение коэффициента раздвижки зерен α в зависимости от расхода цемента и
В/Ц

Расход цементного теста, л на 1 м3 бетонной смеси вычисляют по
формуле:
(2.7)
Где
Ц и В - расходы цемента и воды соответственно на 1 м3 бетонной
смеси, кг;
- истинные плотности цемента, воды, кг/м3.
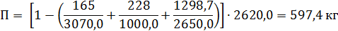
Расход материалов на 1 м3 уложенной и уплотненной бетонной
смеси составил:
Цемент 165 кг;
Вода 228 л;
Песок 597,4 кг;
Щебень 1298,7 кг
Итого 2289,1
Состав бетона удобно выражать в относительных единицах (по массе и объему).
В этом случае за единицу принимают массу или объем цемента, выражая количество
других компонентов по отношению к цементу.
Номинальный состав бетона по массе:
(2.8)
Где
Ц, В, П, Щ(Г) - расходы компонентов на 1 м3 бетонной смеси,
кг.
Номинальный состав бетона по объему:
Таким образом, номинальный состав бетона по массе составит:
Номинальный состав бетона по объему:
(2.9)
где
- объемы компонентов на 1 м3 бетонной смеси, м3
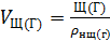
Объем цемента рассчитывается по формуле:
(2.10)
где
- насыпная плотность цемента, которую при расчетах условно
принимают в уплотненном состоянии 1300 кг/м3.
Объем воды рассчитывают по формуле:
(2.11)
где
- плотность воды, принимаемая равной 1000 кг/м3.
Объем мелкого заполнителя рассчитывается по формуле:
(2.12)
Где
- насыпная плотность песка в сухом состоянии, кг/м3.
Объем крупного заполнителя рассчитывают по формуле:
(2.13)
Где
- насыпная плотность щебня (или гравия) в сухом состоянии,
кг/м3.
Таким образом, номинальный состав бетонной смеси по объему составил:
3. Определение расчетной плотности бетонной смеси в уплотненном состоянии
Расчетная (предполагаемая) плотность бетонной смеси находят путем
сложения расхода компонентов бетонной смеси:
(3.1)
где Ц, В, П, Щ(Г) - расходы компонентов бетонной смеси , кг/м3.
При расчете предполагают, что бетонная смесь не содержит воздуха. Однако
реальные составы всегда содержат воздух, защемленный при уплотнении бетонной
смеси, поэтому фактическая плотность бетонной смеси
составляет 96…98% от ее теоретической
средней плотности
Это соотношение определяется коэффициентом уплотнения
бетонной смеси:
(3.2)
Для обычных тяжелых бетонов средняя плотность бетонной смеси составляет
2350-2450 кг/м3, коэффициент уплотнения Купл- 0,96…0,98.
. Расчет производственного состава бетона
Определим состав бетонной смеси с учетом естественной влажности
заполнителей.
Содержание воды в заполнителях определяют по формулам:
(4.1)
; (4.2)
Где
- содержание воды в песке и щебне (гравии), кг;
- влажность песка и щебня (гравия) в долях единицы.
Расход заполнителей увеличивают на количество воды, содержащейся в песке
и щебне:
; (4.3)
; (4.4)
.
Расход воды уменьшается на количество воды, содержащейся в песке и щебне
(гравии):
(4.5)
Расход цемента остается неизменным.
Таким образом, состав бетонной смеси, с учетом влажности заполнителей
составит:
Цемент 165 кг;
Вода 197,1 л;
Песок 615,3 кг;
Щебень 1311,7 кг
Итого 2289,1
. Расчет коэффициента выхода бетонной смеси и дозировки материалов (в
рабочем состоянии) на замес бетоносмесителя
При перемешивании компонентов бетона песок занимает пустоты между крупным
заполнителем, а цементное тесто - пустоты между частицами песка. Поэтому объем
получаемой бетонной смеси всегда меньше суммы объемов компонентов в насыпном
состоянии.
Степень уменьшения объема бетонной смеси по сравнению с объемом,
занимаемым с исходными материалами, называется коэффициентом выхода бетонной
смеси β
и вычисляется по
формуле:
(5.1)
где 1 - объем бетонной смеси, равный 1 м3;
- насыпной объем цемента на 1 м3
бетонной смеси, м3;
- объемы влажных заполнителей на 1 м3 бетонной
смеси, м3;
- расходы влажных заполнителей на 1 м3 бетонной
смеси, кг;
,
- насыпные плотности заполнителей во влажном состоянии, кг/м3.
Коэффициент выхода необходимо знать для расчета загрузки
бетоносмесителей. При расчете материалов на один замес бетоносмесителя
принимают, что сумма объемов цемента, песка и щебня (в рыхлом состоянии)
соответствует емкости барабана бетоносмесителя.
Расчет дозировки материалов (в рабочем состоянии) на замес
бетоносмесителя производят по формулам:
(5.2)
(5.3)
(5.4)
(5.5)
где
- расходы цемента, воды, песка и щебня (гравия) на замес
бетоносмесителя вместимостью V, кг;
β - коэффициент выхода бетонной смеси;
- расходы компонентов на 1 м3 бетона в рабочем
состоянии (с учетом влажности заполнителей), кг;- объем бетоносмесителя, л.
Заключение
В рамках данной курсовой работы были рассмотрены основные теоретические
аспекты методик расчетов состава тяжелого бетона и, в соответствии с исходными
данными и изученными методиками были решены следующие задачи и произведены
расчеты:
расхода материалов на 1 м3 бетона;
плотности бетонной смеси в уплотненном состоянии
производственного состава бетона
выхода коэффициента бетона и дозировки материалов на замес
бетоносмесителя.
Список литературы
1. ГОСТ 10178-95
Портландцемент и шлакопортланцемент. Технические условия.
. ГОСТ
8267-93 Щебень и гравий из плотных горных пород для строительных работ.
Технические условия.
. ГОСТ
8736-93 Песок для строительных работ. Технические условия.
. ГОСТ
23732-79 Вода для бетонов и растворов. Технические условия.
. ГОСТ
24211-91 Добавки для бетонов. Общие технические условия.
. Баженов
Ю.М. Технология бетона: Учебник / Ю.М. Баженов - М.: Изд-во АСВ - 2003 - 500 с.
. Баженов
Ю.М., Комар А.Г. Технология бетонных и железобетонных изделий: Учебник для
вузов. - М.: Стройиздат, 1984. - 476 с.
. Коледин
В.В. Проектирование предприятий сборного железобетона: Учеб. пособие / Коледин
В.В. - Новосибирск: НГАСУ. 1998. - 100 с.
. Коледин
В.В. Сырьевая база и производственная структура предприятий строительной
индустрии Сибири и Дальнего Востока: Учебное пособие. - Новосибирск: НГАС,
1996.
10. Оглоблина
Е.А. Расчет состава бетона различных видов / Е.А. Оглоблина, Магнитогорск: МГТУ. - 2002 г. - 28 с.
11. Невилль
А.М. Свойства бетона / А.М. Невилль, М.: Стройиздат, 1998 - 316 с.