Квалиметрическая оценка качества бетона

  • Вид работы:
    Курсовая работа (т)
  • Предмет:
    Другое
  • Язык:
    Русский
    ,
    Формат файла:
    MS Word
    358,28 Кб
  • Опубликовано:
    2015-03-10
Вы можете узнать стоимость помощи в написании студенческой работы.
Помощь в написании работы, которую точно примут!

Квалиметрическая оценка качества бетона

Министерство образования и науки Республики Казахстан

Евразийский Национальный Университет имени Л.Н. Гумилева

Инженерно-строительный факультет

Кафедра "Стандартизация, метрология и сертификация"








Курсовая работа

на тему: "Квалиметрическая оценка качества бетона"


Выполнил студент группы СиС-32

Джумагазиева Т.М.

Проверил доцент Ахмедьянов А.У.






Астана 2011 г.

Содержание

Введение

Аннотация

1. Назначение, область применения, классификация бетона

1.1 Назначение бетона

1.2 Область применения бетона

1.3 Классификация бетона

1.4 Марки бетона (Класс бетона)

1.5 Технология изготовления (получения) бетона

2. Технологическая схема получения бетона

2.1 Приготовление бетонной смеси

2.2 Созревание бетона

2.3 Технологические факторы, влияющие на свойства бетонной смеси

3. Выбор номенклатуры показателя качества бетона

4. Выбор метода определения показателя качества бетона

4.1 Сущность методов

4.2 Образцы

4.3 Отбор проб и изготовление образцов

4.4 Проведение испытаний

5. Выбор способа определения показателя качества бетона

6. Выбор базового образца или базовых показателей бетона

7. Факторы, влияющие на снижение качества бетона

8. Мероприятия по повышению качества бетона

Список использованных источников

Введение


Данная курсовая работа посвящена квалиметрической оценке бетона. Квалиметрия - научная область, в рамках которой изучается методология и проблематика комплексно-количественного оценивания качества продукции, работы или услуг. В ходе выполнения курсовой работы ознакомимся с назначением, областью применения и классификацией бетона, изучим технологию ее изготовления (получения). Так как целью работы является квалиметрическая оценка, я выберу номенклатуру показателя качества бетона, а затем и метод определения показателя качества нашей продукции. Следующим шагом будет выбор способа определения показателя качества бетона. В дальнейшем необходимо выбрать базовый образец или базовый показатель нашей продукции и произвести количественную оценку показателей качества. Выполним оценку уровня качества бетона и определим факторы, влияющие на снижение ее качества. И наконец, рассмотрим мероприятия по повышению качества продукции. Проделав данную курсовую работу, мы должны всесторонне изучить данную продукцию и произвести квалиметрическую оценку.

квалиметрическая оценка качество бетон

Аннотация


В настоящее время, бетон является распространенным строительным материалом. Ни одно строительство не обходится без использования данного материала. Поэтому тема производства бетона и ее разновидностей является на сегодняшний день очень актуальной. Сейчас главное не только знать классификацию, технологию производства, назначение и область применения данного материала, но уметь уменьшить затраты и научиться эффективно использовать ее.

Бетонами называют искусственные каменные материалы, получаемые в результате затвердевания тщательно перемешанной и уплотненной смеси из минерального или органического вяжущего вещества с водой, мелкого или крупного заполнителей, взятых в определенных пропорциях. В строительстве широко используют бетоны, приготовленные на цементах или других неорганических вяжущих веществах. Цемент и вода являются активными составляющими бетона, в результате реакции между ними образуется цементный камень, скрепляющий зерна заполнителей в единый монолит.

В течение длительного времени в бетонах происходит изменение поровой структуры, наблюдается протекание структур образующих, а иногда и деструктивных процессов и как результата изменение свойств материала. С увеличением возраста бетона повышаются его прочность, плотность, стойкость к воздействию окружающей среды. Свойства бетона определяются не только его составом и качеством исходных материалов, но и технологией приготовления и укладки бетонной смеси в конструкцию, условиями, твердения бетона. Все эти факторы учитывают при проектировании состава бетона и производства конструкций на его основе.

Учитывая все вышеизложенные характеристики данного строительного материала, в данной курсовой работе мы займемся всесторонним изучением методологии и проблематики комплексно-количественного оценивания качества продукции.

1. Назначение, область применения, классификация бетона


Бетон - один из основных строительных материалов. Он ценен тем, что ему можно передавать самые разные разнообразные свойства, изменяя в широких пределах прочность, плотность, теплопроводность, и изготовлять из него сборные конструкции, изделия и монолитные сооружения различной формы и назначения. Бетоном называется искусственный каменный материал, получаемый из правильно подобранной смеси вяжущего материала, воды, заполнителей и в необходимых случаях специальных добавок после ее формирования и твердения. Или же бетонами называют искусственные материалы, получающиеся в результате склеивания (скрепления) естественных каменных материалов - песка и гравия или щебня - в монолитный прочный камень. До формирования указанная смесь называется бетонной смесью. Бетон состоит из вяжущего, воды, мелкого и крупного заполнителей, раствор - из вяжущего, воды и мелкого заполнителя. Бетон нужно не только приготовить, но и уплотнить, а затем создать такие условия, при которых он приобрел бы высокую прочность. Есть новый термины - песчаный или мелкозернистый бетон, что не улучшает широко принятую номенклатуру материалов. Растворы могут иметь прочность, аналогичную прочности бетона, что учитывает при проектировании искусственного камня. Бетон обладает высокой стойкостью к таким природным воздействиям, как увлажнение и высушивание, охлаждение и нагревание, замораживание и оттаивание, истирание и размывание. Он является незаменимым материалом для долговечных сооружений, которые должны существовать десятки и сотни лет.

Важное преимущество бетона - это возможность использования местных материалов для его изготовления. Только одну десятую часть бетона (по весу) составляет искусственный материал - цемент, остальные девять десятых - это естественные каменные материалы и вода, которые нужно только добыть и доставить на место строительства.

1.1 Назначение бетона


Бетон предназначен для возведения железобетонных конструкций (фундаментов, колон, балок перекрытий и мостовых конструкций). А также для построения гидротехнических сооружений (плотин, шлюзов, облицовки каналов, водопроводно-канализационных сооружений). Наряду с этим данный строительный материал используется в качестве ограждающих конструкций. Также существуют такие разновидности бетона предназначенные для радиационной, жароупорной и кислостойкой защиты.

1.2 Область применения бетона


Бетоны применяют главным образом как теплоизоляционные материалы. Область применения бетон в современном строительстве постоянно расширяются. В перспективе намечается использование высокопрочных бетон (тяжелых и легких), а также бетоны с заданными физика - техническими свойствами, малой усадкой и ползучестью, прочностью, морозостойкостью, долговечностью, жаростойкостью и защитными свойствами от радиоактивных воздействий. Для достижения этого потребуется проведение широкого круга исследовании, предусматривающих разработку важнейших теоретических вопросов технологии тяжелых, легких и ячеистых бетонов, макро и микроструктурной теории прочности бетонном с учетом внутренний напряжений. Применяемые для изготовления сборных конструкций бетоны классифицируют по виду вяжущего, объемной массе, назначению и другим причинам.

Бетон широко используют гражданском, промышленном, гидротехническом, теплоэнергическом, дорожном и других видов строительства. В дорожных покрытиях бетон противостоит изнашивающему действию проезжающего по дороге транспорта, передает и распределяет нагрузку от колес автомобиля на грунт. В конструкциях мостов бетон выдерживает тяжелые нагрузки от проходящих по мосту автомобилей, автобусов и трамваев, а также сопротивляется размывающему действию воды на опоры моста; о бетонные быки разламываются мощные льдины, которые несет в ледоход река. Теперь трудно даже представить, как велось бы строительство, если бы человек не располагал цементным бетоном.

Многие сооружения, возводимые в наши дни из железобетона и бетона, потребовали бы гораздо больше труда и затрат при попытке использовать другие материалы, а иные были бы и совсем неосуществимы. Для строительства автомобильных дорог, по которым быстро движутся потоки автомобилей различных видов, бетон - незаменимый материал. Мосты, водопропускные сооружения, подпорные стенки и виадуки возводятся из железобетона. Дорожные покрытия на магистралях и основания под асфальтобетонные покрытия все в больших масштабах выполняются из цементобетона.

1.3 Классификация бетона


Согласно п.1 ГОСТ 25192-82, классификация бетонов производится по основному назначению, виду вяжущего вещества, виду заполнителей, структуре и условиям твердения.

По назначению различают бетоны

обычные (для промышленных и гражданских зданий)

специальные (гидротехнические, дорожные, теплоизоляционные, декоративные)

бетоны специального назначения (химически стойкие, жаростойкие, звукопоглощающие, для защиты от ядерных излучений и др.).

По виду вяжущего вещества подразделяют на

цементные (для приготовления которых в качестве вяжущего вещества используется цемент <#"869354.files/image001.gif">

Рисунок 1-Определение удобоукладываемости бетонной смеси:

слева - форма с конусом, заполненным бетонной смесью, до вибрирования;

справа - форма с бетонной смесью после вибрирования

Для обычного дорожного бетона применяется смесь с осадкой конуса 2-3 сантиметра и удобоукладываемостью 20-25 секунд. Для тонкостенных и густоармированных конструкций осадка конуса бетонной смеси должна составлять 5-6 сантиметров при удобоукладываемости 5-10 секунд.

Основное требование, которого обычно придерживаются при подборе состава бетона для дорожных покрытий и для армированных конструкций, - это заполнение всех пустот между частицами более крупного материала мелкими частицами. Кроме этого, необходимо создание смазывающего слоя из цементного теста на поверхности частиц заполнителя для получения подвижной смеси.

Рисунок 2-Схема подбора состава бетона

рисунке 2 наглядно представлен ход подбора состава бетона. Сначала задаются количеством цемента или по вспомогательным таблицам подсчитывают количество воды, необходимое для данной смеси. Затем определяют водоцементное отношение - В/Ц. Это отношение очень важно для характеристики качества и свойств цементного камня и бетона. Понятно, что чем более разбавлен цементный клей, тем меньше его прочность. В практике подбора состава бетона заданной прочности пользуются построенными на основании опытных данных графиками зависимости прочности бетона от В/Ц.

На рисунке 3 приведен пример такого графика для бетонов на цементах разных марок и щебня. При большом объеме работ рекомендуется подбирать состав бетона заранее, в лаборатории, определяя зависимость прочности бетона от водоцементного отношения на опыте для данных материалов. Определив расход цемента и воды, рассчитывают количество минеральных материалов - песка и щебня - таким образом, чтобы их объем в сумме с объемом цементного теста составил 1000 литров (1 кубометр). После предварительных расчетов обязательно производят пробное затворение бетонной смеси с проверкой ее удобоукладываемости и с изготовлением контрольных образцов. Если при проверке удобоукладываемость бетонной смеси окажется отличающейся от заданной, производят исправление состава бетона изменением содержания в нем цемента и воды, оставляя неизменным водоцементное отношение.

Рисунок 3 - График зависимости марки бетона от водоцементного отношения для цементов разных марок (цифры над кривыми обозначают марку цемента).

этап:

Когда установлен состав бетона, он передается на бетонный завод. Для точного отвешивания составляющих на современных бетонных заводах применяются автоматические весовые дозаторы, которые устанавливаются для отвешивания заданной порции любого сыпучего материала или воды. На небольших бетоносмесительных установках пользуются более простыми дозаторами, например бункерами или ящиками, смонтированными на обычных сотенных весах.

Точное отмеривание составных частей бетона необходимо для того, чтобы его свойства совпадали с заданными и гарантировалась необходимая однородность смеси. Кроме того, неточность в дозировании ведет к перерасходу цемента - наиболее дорогой составной части бетона. Поэтому современные технические правила требуют обязательного применения весовой дозировки всех материалов.

3 этап:

Отмеренные дозатором составляющие бетонной смеси, а именно, вода, цемент, песок, щебень или гравий, отправляются на ленточный транспортер для дальнейшего получения бетона.

4 этап:

Следующая операция это перемешивание бетонной смеси. Перемешивание производится в специальных машинах - бетономешалках. Наша промышленность для разных условий работы выпускает передвижные и стационарные бетономешалки разной мощности с объемом смесительного барабана от 100 до 4500 литров. Для приготовления жестких смесей выпускаются бетономешалки с принудительным перемешиванием. Обычные бетономешалки перемешивают бетонную смесь за счет переваливания ее лопастями при вращении барабана. На рис.6 показаны два вида наиболее распространенных бетономешалок. После перемешивания смесь выгружается путем наклона барабана при его грушевидной форме или через лоток, вдвигаемый внутрь барабана.

Рисунок 4 - Бетономешалки различной конструкции

Обычные бетономешалки работают по такому периодическому циклу. Но существуют и бетономешалки непрерывного действия, имеющие значительно большую производительность при меньших размерах.

Производительность бетономешалки периодического действия изменяется в зависимости от их емкости. При средней емкости она вмещает при загрузке 1200 литров сухих материалов и выдает около 800 литров готовой бетонной смеси. Ее часовая производительность составляет примерно 15 кубометров смеси. Бетономешалка непрерывного действия более экономична и проектируется на производительность 100-200 кубометров в час.

В дорожном строительстве широко применяются передвижные бетономешалки, так как при поступлении материалов железнодорожным или водным транспортом и больших расстояниях от баз до места укладки перевозка бетонной смеси затрудняется и становится технически недопустимой. При длительной перевозке смеси изменяется ее подвижность и ухудшается качество; поэтому дорожники стремятся перевозить сухие материалы, а смешивать их на месте укладки в передвижной бетономешалке.

Последнее достижение техники в области приготовления бетона - современные автоматизированные заводы для крупных строек. Круглые сутки на таком заводе работают затворы дозаторов, сыплется с грохотом в бункеры щебень и песок, льется вода.

5 этап:

Готовая бетонная смесь вываливается в кузова мощных самосвалов, которые везут ее на сооружения, выгружают и снова возвращаются на завод.

Работы по дальнейшему усовершенствованию способов приготовления и укладки бетонной смеси продолжаются.

Чтобы плотно уложить бетонную смесь при наименьшем содержании в ней воды, а следовательно, при наименьшем расходе цемента, в настоящее время широко применяется вибрирование бетонной смеси. В чем же заключается его действие. Каждому известно, что встряхивание зернистого материала, например сухого песка, позволяет поместить и один и тот же ящик гораздо больше материала, чем без такого потряхивания: материал укладывается плотнее. Если встряхивать с большой частотой бетонную смесь, то цементным раствор разжижается, и смесь приобретает свойства жидкости. В таком состоянии бетонная смесь плотно заполняет весь объем опалубки, не оставляя в ней пустот - раковин.

Для придания вибрации бетонной смеси применяются специальные механизмы - вибраторы.

Вибратор совершает несколько тысяч колебаний в минуту, и эти колебания передаются окружающей его бетонной смеси. Смесь, приобретая свойства тяжелой жидкости, растекается по опалубке, заполняя ее и обволакивая арматуру. Щебень и гравий при этом тонут в цементном растворе и равномерно распределяются по всей массе бетона.

Применяя вибрацию, можно уложить значительно менее подвижные смеси, чем вручную. Уменьшая количество воды для таких смесей, мы улучшаем технические свойства бетона. Поэтому вибрированный бетон обладает более высоким качеством по сравнению с бетоном, уложенным вручную.

Наша промышленность выпускает различные виды вибраторов, предназначенных для укладки бетона в массивные и тонкостенные, неармированные и армированные конструкции. На рисунке 5 показан внешний вид внутреннего и поверхностного вибраторов для уплотнения бетонной смеси.

Рисунок 5-Внешний вид вибраторов:

а - внутренний вибратор;

б - поверхностный вибратор

Внутренний вибратор при работе погружается в бетонную массу. Для конструкции небольшой толщины и с большой горизонтальной поверхностью, как, например, дорожные покрытия, плиты мостов и перекрытий и т.п., применяются так называемые поверхностные вибраторы (изображен на рис. 5, б), прикрепленные к площадке, которая ставится на поверхность бетона. Колебания площадки передаются бетонной смеси. Они наиболее широко раопространены в дорожном строительстве. Для уплотнения бетона в изделиях форма с изделием устанавливается на специальный вибростол. При включении вибратора колебаниям подвергается вся форма вместе с бетонной смесью; в результате достигается высокая степень уплотнения. Можно передать колебания бетонной смеси и закрепив вибратор на опалубке; такие вибраторы называются наружными или тисковыми, так как крепятся к опалубке при помощи тисков.

Техника уплотнения бетона, особенно при изготовлении сборных бетонных изделий, быстро совершенствуется: увеличиваются мощность и частота колебаний вибраторов, вводится одновременное вибрирование на вибростоле и поверхностным вибратором, вибрирование с пригрузкой бетонной смеси по всей площади изделия. Можно предполагать, что в ближайшие годы технология укладки и уплотнения бетона сделает значительный шаг вперед на пути дальнейшего технического прогресса.

2.2 Созревание бетона


От момента изготовления бетонной смеси до полного ее затвердевания проходит определенный период созревания, приобретения прочности, продолжающийся в зависимости от вида цемента и внешних условий (температуры и влажности) от нескольких дней до нескольких месяцев и даже лет. За это время бетон из подвижность пластичной массы превращается в прочный искусственный камень.

Это превращение происходит постепенно. Первый период созревания бетона называется периодом схватывания. Он длится обычно несколько часов. В это время цементное тесто теряет свою подвижность. Вода частично вступает в химические соединения, а частично распределяется по поверхности вновь образовавшихся соединений, бетонная смесь теряет свою подвижность и приобретает минимальную прочность.

Период схватывания невозможно резко отделить от следующего периода - периода твердения. Однако через несколько часов после укладки наступает момент, когда бетонная смесь становится неподвижной и не может быть провибрирована без разрушения. Этот момент можно считать концом периода схватывания.

Чтобы процессы химического соединения воды с минералами цемента шли достаточно эффективно, необходимо поддерживать бетон во влажном состоянии. Твердение прекращается не только при пониженной температуре, но и при недостаточной влажности. В этом отношении бетон напоминает растение: его надо поливать и держать в тепле, чтобы он хорошо окреп. При обычной температуре бетон на портланд-цементе приобретает основную прочность в течение 20-30 суток твердения. Благоприятное действие на скорость твердения оказывает повышение температуры, которое, как известно, ускоряет химические реакции. Для расчетов обычно принимают прочность, которую бетон достигает к сроку твердения 28 суток. Повышение температуры позволяет получить эту же прочность в значительно более короткие сроки.

На основании изучения процесса твердения выработаны условия получения хорошего бетона: умеренное количество воды при затвердении, влажные и теплые условия твердения. От соблюдения этих условий зависит качество конструкций.

2.3 Технологические факторы, влияющие на свойства бетонной смеси


Основными факторами, влияющие на свойства бетонной смеси, являются водосодержание, вид и содержание цемента, содержание и качество заполнителей, наличие поверхностно - активных веществ, а также предварительное выдерживание и виброактивация смеси. Водосодержание оказывает существенное влияние на свойства бетонной смеси, а затем и на формирование структуры бетона. Изучение бетона начинают с рассмотрения свойств бетонной смеси, а изучение бетонной смеси с технологии изготовления конструкций, условий производства, материалов и средств производства. Например: применение вибраторов связано с растижением бетонной смеси при вибрировании. Поэтому при выборе пластичности жесткости смеси надо учитывать, что при таком растижении могут создаться условия для ее расслоения.

Расслоение бетонной смеси может происходить и по другим причинам, что надо учитывать при проектирование организации бетонных работ. Приготовления связано не только короткими по времени процессами смешивания материалов, транспортирования смеси к месту уплотнения и придания заданной конструктивной формы. Эти этапы, или переделы, занимают относительно небольшое время в производстве бетонных работ, но нарушение их может иметь серьезные, а в ряде случаев на катастофические последствие. Недопустимо нарушать и последний передел уход за твердеющим бетоном. В этом случае любой по составу бетон, сформированный из высококачественной смеси, приобретает непроектные свойства, становится неопределенным по техническим параметром.

3. Выбор номенклатуры показателя качества бетона


Выбор номенклатуры показателей качества устанавливает перечень наименований количественных характеристик свойств продукции, составляющих ее качество и обеспечивающих возможность адекватной оценки уровня качества продукции.

Обоснование выбора номенклатуры показателей качества производится с учетом:

назначения и условий использования продукции;

анализа требований потребителей;

задач управления качеством продукции;

состава и структуры характеризуемых свойств;

основных требований к показателям качества.

Основные направления определения состава и структуры характеризуемых свойств отражает классификация показателей, применяемых при оценке уровня качества продукции.

По характеризуемым свойствам они могут быть единичными и комплексными (групповыми, обобщенными, интегральными).

По способу выражения они могут быть в натуральных единицах (килограммы, метры, баллы, безразмерные), а также в стоимостных единицах.

По оценке уровня качества - базовые, относительные показатели.

По стадии определения - прогнозируемые, проектные, производственные, эксплуатационные показатели.

По характеризуемым свойствам применяют следующие группы показателей:

назначения;

экономного использования сырья, материалов, топлива и энергии;

надежности (безотказности, долговечности, сохраняемое, ремонтопригодности);

эргономические,

эстетические;

технологические;

стандартизации и унификации;

патентно-правовые;

Показатели качества должны отвечать следующим основным требованиям:

способствовать обеспечению соответствия качества продукции потребностям народного хозяйства и населения;

быть стабильными;

способствовать планомерному повышению эффективности производства;

учитывать современные достижения науки и техники и основные направления технического прогресса в отраслях народного хозяйства;

характеризовать все свойства продукции, обусловливающие ее пригодность - удовлетворять определенные потребности в соответствии с ее назначением.

Порядок выбора номенклатуры показателей качества продукции предусматривает определение:

вида группы продукции;

цели применения номенклатуры показателей качества продукции,

исходной номенклатуры групп показателей качества;

исходной номенклатуры показателей качества по каждой группе;

метода выбора номенклатуры показателей качества.

Вид (группа) продукции устанавливается на основании межотраслевых и отраслевых документов, классифицирующих продукцию по назначению, условиям применения.

Цели применения номенклатуры показателей качества продукции устанавливаются в соответствии с задачами управления качеством продукции. В зависимости от специфических особенностей продукции и условий ее изготовления и использования некоторые, указанные группы показателей качества продукции могут отсутствовать. При необходимости вводятся дополнительные группы показателей, характерные для рассматриваемой продукции.

В соответствии с ГОСТ 4.212-80 СПКП "Строительство. Бетоны. Номенклатура показателей" в данной курсовой работе я выбрала такие показатели качества бетона как:

. прочность

. плотность

. морозостойкость

. влажность

. показатель микропористости

. водонепроницаемость

. термостойкость

Я считаю эти выбранные 7 показателей самыми важными, так как данный материал используется в основном в строительстве. Все эти показатели являются важными для данной продукции, так как именно от них зависит качество бетона, а после уже качество и надежность возведенных зданий, конструкций, сооружений и т.д.

Наименование критерия, показателя качества и единицы измерения

Условное обозначение показателей качества

прочность, МПа

R

плотность, кг/м3

морозостойкость, циклы

-

влажность, %

показатель микропористости

-

водонепроницаемость, МПа (кгс/см2)

-

термостойкость, циклы

-


Остановимся на краткой характеристике каждого оцениваемого показателя:

1. Прочность бетона

Прочность бетона - одно из главных его строительных свойств. Она определяет способность бетона противостоять внешним механическим усилиям. Разрушение бетона под нагрузкой происходит в том случае, когда по всему сечению преодолевается предел прочности материала, т.е. сопротивление отрыву одних частиц от других. Разрушению предшествует появление микротрещин в местах концентрации напряжений, что ведет к постепенному ослаблению структуры бетона. При сжатии бетон разрушается от разрыва в направлении, перпендикулярном действующему усилию.

2. Плотность бетона

Плотность бетона - его наиболее важное свойство, в основном определяющее прочность, водонепроницаемость, долговечность бетона.

Плотность сильно влияет на качество бетона, в том числе и на его прочность: чем выше плотность бетона, тем он прочнее. Поры в бетоне, как правило, появляются при его изготовлении: в результате испарения излишней воды, невступившей в химическую реакцию с цементом при его твердении, при недостатке цемента.

3. Морозостойкость бетона

Морозостойкость - важное свойство для любого бетона. Данное понятие означает, способность бетона в насыщенном водой состоянии выдерживать многочисленные циклы замораживания и последующего оттаивания. Морозостойкость бетона зависит от количества макропор его структуре, характера пористости, минерального и вещественного состава цементов, прочности бетона на растяжении.

4. Влажность бетона

Влажность бетона - показатель содержания воды в бетоне. Выражается в процентах. Избыточная влага в бетоне может вызвать неблагоприятные последствия при его эксплуатации, а также повреждения в возведенных конструкциях.

5. Показатель микропористости бетона

Микропористость бетона - иными словами, открытые некапиллярные поры бетона (объема межзерновых пустот).

6. Водонепроницаемость бетона

Водонепроницаемость бетона - способность не пропускать через себя воду под давлением. Она важна для гидротехнических сооружений, резервуаров для хранения воды. Водонепроницаемость бетона назначают, исходя из допустимой фильтрационной характеристики бетона и стойкости его к коррозии.

7. Термостойкость бетона

Термостойкость бетона - способность бетона противостоять, не разрушаясь, термическим напряжениям, обусловленным изменением температуры при нагреве или охлаждении. Термостойкость зависит от коэффициента термического расширения и теплопроводности бетона, его упругих и др. свойств, а также от формы и размеров изделия.

4. Выбор метода определения показателя качества бетона


Для того чтобы определить показатели качества нашего бетона, мы используем различные виды методов его определения.

В зависимости от способа получения информации методы определения значений показателей качества продукции подразделяют на:

измерительный;

регистрационный;

расчетный;

органолептический.

Измерительный метод основан на информации, получаемой с использованием технических измерительных средств. С помощью измерительного метода определяются следующие значения: масса изделия, частота вращения двигателя, размер изделия, скорость автомобиля, сила тока и др.

Регистрационный метод основывается на использовании информации, получаемой путем подсчета числа определенных событий, предметов или затрат, например отказов изделия при испытаниях. Этим методом определяются показатели унификации, патентно-правовые показатели и др.

Расчетный метод базируется на использовании информации, получаемой с помощью теоретических или эмпирических зависимостей. Этим методом пользуются при проектировании продукции, когда она еще не может быть объектом экспериментальных исследований. Расчетный метод служит для определения значений массы изделия, показателей производительности, мощности, прочности и др.

Органолептический метод строится на использовании информации, получаемой в результате анализа восприятий органов чувств: зрения, слуха, обоняния, осязания и вкуса. При этом органы чувств человека служат приемниками для получения соответствующих ощущений, а значения показателей находятся путем анализа полученных ощущений на основе имеющегося опыта и выражаются в баллах. С помощью органолептического метода определяются показатели качества кондитерских, табачных, парфюмерных изделий и другой продукции.

В зависимости от источника информации методы определения значений показателей качества продукции подразделяют на:

традиционный;

экспертный;

социологический.

Традиционный метод осуществляется должностными лицами специализированных экспериментальных и расчетных подразделений предприятий, учреждений (к ним относятся специализированные лаборатории, полигоны, испытательные стенды и т.д.).

Экспертный метод оценки показателей качества продукции реализуется группой специалистов-экспертов, например дизайнеров, дегустаторов, товароведов и т.п. С помощью экспертного метода определяются значения таких показателей качества, которые не могут быть определены более объективными методами. Этот метод используется при определении значений некоторых эргономических и эстетических показателей.

Социологический метод определения показателей качества продукции используется фактическими или потенциальными потребителями продукции. Сбор мнений потребителей производится путем опросов или с помощью специальных анкет-вопросников, выставок, конференций и т.д.

В своей курсовой работе я использую следующие показатели качества и в соответствии с ГОСТ нахожу метод определения показателя. И при возможности указываю расчетную формулу данного показателя.

Показатель качества

Расчетная формула

Метод определения

Прочность, МПа

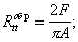
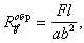
на сжатие  на осевое растяжение  на растяжение при раскалывании  на растяжение при изгибе  где F - разрушающая нагрузка, Н (кгс); А - площадь рабочего сечения образца, мм2 (см2); а, b, l - соответственно ширина и высота поперечного сечения призмы и расстояние между опорами при испытании образцов на растяжение при изгибе, мм (см).

Расчетный метод

Плотность, кг/м3 

где m - масса образца, г;

V - объем образца, см3.

Расчетный метод


 

Морозостойкость, циклы

Регистрационный метод

Влажность, %

по массе в процентах , где  - масса пробы (образца) бетона до сушки, г;  - масса пробы (образца) бетона после сушки, г. по объему в процентах , где  - плотность сухого бетона, г/см;  - плотность воды, принимаемая равной 1 г/см.

Расчетный метод

Микропористость

 где Wс - сорбционная влажность бетона в серии образцов при относительной влажности воздуха 95-100 %

Расчетный метод

Водонепроницаемость, МПа (кгс/см2)        Коэффициент фильтрации Кф, см/с, отдельного образца определяют по формуле Кф =

где h - коэффициент, учитывающий вязкость воды при различной температуре,

Q - вес фильтрата, Н;

d - толщина образца, см;

S - площадь образца, см2;

t - время испытания образца, в течение которого измеряют вес фильтрата, с.

r - избыточное давление в установке, МПа.

Расчетный метод


 

Термостойкость, циклы

Измерительный метод


Прочность бетона мы определяем в соответствии с ГОСТ 28570-90 "Бетоны.

Методы определения прочности по образцам, отобранным из конструкций".

Данный стандарт распространяется на бетоны всех видов по ГОСТ 25192 и устанавливает методы определения их прочности в сборных и монолитных бетонных и железобетонных конструкциях н изделиях (далее - конструкциях), отбора проб из конструкций, изготовления из этих проб контрольных образцов и определения предела прочности бетонов на сжатие, осевое растяжение, растяжение при раскалывании и растяжение при изгибе (далее - прочности) при разрушающих кратковременных статических испытаниях образцов.

Стандарт следует применять, как правило, при инспекционных и экспертных испытаниях прочности бетона в конструкциях действующих и реконструируемых зданий и сооружений. При производственном контроле прочности бетона конструкций настоящий стандарт следует применять совместно с ГОСТ 18105, в котором установлены правила и нормы отбора проб, твердения и хранения образцов, а также правила оценки прочности бетона на основе результатов испытаний образцов.

4.1 Сущность методов


Прочность бетона определяют измерением минимальных усилий, разрушающих выбуренные или выпиленные из конструкций образцы бетона при их статическом нагружении с постоянной скоростью роста нагрузки, и последующем вычислении напряжений при этих усилиях в предположении упругой работы материала.

4.2 Образцы


Форма и номинальные размеры образцов в зависимости от вида испытаний бетона должны соответствовать ГОСТ 10180.

Допускается применение цилиндров диаметром от 44 до 150 мм, высотой от 0,8 до 2,0 диаметров при определении прочности на сжатие, от 0,4 до 2,0 диаметров при определении прочности на растяжение при раскалывании и от 1,0 до 4,0 диаметров при определении прочности на осевое растяжение.

За базовый при всех видах испытании принимают образец с размерами рабочего сечения (150 х 150) мм.

Минимальный размер образца (диаметр и высота цилиндра, ребро куба, сторона поперечного сечения призмы) должен превышать максимальный номинальный размер крупного заполнителя, использованного для изготовления бетона конструкции, из которой отбирают образец для испытаний, если он не превышает 70 мм не менее чем:

в 2 раза - для образцов, испытываемых на сжатие;

в 3 раза - для образцов, испытываемых на растяжение.

Образцы испытывают сериями.

Число образцов в каждой серии должно соответствовать приведенному в табл. 1.

Таблица 1

Минимальный размер образца, мм

90

61-80

60

Число образцов в серии

2

3

4


При определении прочности бетона на растяжение при раскалывании на образцах-призмах, которые последовательно раскалывают по разным сечениям, допускается иметь в серии меньшее число образцов, если общее число испытаний в серии будет не менее указанного в табл.1.

Отклонения от плоскостности опорных поверхностей кубов и цилиндров, прилегающих к плитам пресса при испытаниях на сжатие, не должны превышать 0,1 мм.

Отклонения от прямолинейности образующей образцов-цилиндров, предназначенных для испытания на раскалывание, не должны превышать 1 мм.

Отклонения от перпендикулярности смежных граней кубов и призм, а также опорных поверхностей и образующих цилиндров, предназначенных для испытания на сжатие, не должны превышать 2 мм.

Отклонение линейных размеров образцов от номинальных (по длине ребер кубов, сторон сечения призм, диаметру цилиндров) не должно превышать ± 4 %.

4.3 Отбор проб и изготовление образцов


Пробы бетона для изготовления образцов отбирают путем выпиливания или выбуривания из конструкций или ее частей.

Места отбора проб бетона следует назначать после визуального осмотра конструкций в зависимости от их напряженного состояния с учетом минимально возможного снижения их несущей способности. Пробы рекомендуется отбирать из мест, удаленных от стыков и краев конструкций.

После извлечения проб места выборки следует заделывать мелкозернистым бетоном или бетоном, из которого изготовлены конструкции.

Выпиливать и выбуривать пробы бетона из конструкций зданий и сооружений следует алмазными дисковыми пилами или коронками, а также твердосплавным инструментом, обеспечивающим изготовление образцов.

Участки для выбуривания или выпиливания проб бетона следует выбирать в местах, свободных от арматуры.

От каждого из выбранных участков конструкций отбирают не менее одной пробы бетона.

Места отбора проб бетона, размер и число проб, число серий образцов, изготавливаемых из этих проб, следует принимать при производственном контроле прочности по ГОСТ 18105, а в других случаях - по документам, содержащим планы контроля и правила оценки результатов, либо устанавливать экспертным путем.

Каждая проба бетона (высверленный керн, выпиленная или вырубленная заготовка) должна быть замаркирована и описана в протоколе по п.7.1.

Из проб бетона, отобранных из конструкций, изготавливают контрольные образцы для испытаний.

Форма и размеры образцов должны соответствовать требованиям п.1.2.1, а число образцов в серии - п.1.3.

Образцы-цилиндры изготавливают из выбуренных кернов, а образцы-кубы и призмы - из проб бетона, выпиленных из конструкции.

Изготовленные образцы должны иметь, маркировку, отражающую их принадлежность к определенным пробам бетона, а также дополнительную маркировку образца по ГОСТ 10180. Образцы должны сопровождаться схемой, ориентирующей положение образца в конструкции, из которой он отобран, и направление бетонирования конструкции.

4.4 Проведение испытаний


Испытание образцов на сжатие и все виды растяжения, а также выбор схемы испытания и нагружения производят по ГОСТ 10180.

Обработка результатов

Прочность бетона испытанного образца с точностью до 0,1 МПа (1,0 кгс/см2) при испытании на сжатие и с точностью до 0,01 Мпа (0,1 кгс/см2) при испытаниях на растяжение вычисляют по формулам 1-4:

на сжатие  (1)

на осевое растяжение  (2)

на растяжение при раскалывании  (3)

на растяжение при изгибе  (4)

где F - разрушающая нагрузка, Н (кгс);

А - площадь рабочего сечения образца, мм2 (см2);

а, b, l - соответственно ширина и высота поперечного сечения призмы и расстояние между опорами при испытании образцов на растяжение при изгибе, мм (см).

Для приведения прочности бетона в испытанном образце к прочности бетона в образце базового размера и формы, прочности, полученные по формулам 1-4, пересчитывают по формулам 5 - 8:

на сжатие ; (5)

на осевое растяжение ; (6)

на растяжение при раскалывании ; (7)

на растяжение при изгибе , (8)

где и  - коэффициенты, учитывающие отношение высоты цилиндра к его диаметру, принимаемые при испытаниях на сжатие по табл.2 и при испытаниях на растяжение при раскалывании по табл.3 и равные единице для образцов другой формы;

      , , и  - масштабные коэффициенты, учитывающие форму и размеры поперечного сечения испытанных образцов, которые принимают по табл.4 и 5 или определяют экспериментально по ГОСТ 10180.

Таблица 2

От 0,85 до 0,94

От 0,95 до 1,04

От 1,05 до 1,14

От 1,15 до 1,24

От 1,25 до 1,34

От 1,35 до 1,44

От 1,45 до 1,54

От 1,55 до 1,64

От 1,65 до 1,74

От 1,75 до 1,84

От 1,85 до 1,94

От 1,95 до 2,0

0,96

1,00

1,04

1,08

1,10

1,12

1,13

1,14

1,16

1,18

1, 19

1, 20


Таблица 3

1,04 и менее

От 1,05 до 1,24

От 1,25 до 1,44

От 1,45 до 1,64

От 1,65 до 1,84

От 1,85 до 2,00

1,00

1,02

1,04

1,07

1,10

1,13



Таблица 4

Форма и

Значение масштабных коэффициентов для образцов, испытанных на

размеры образцов: ребро куба или сторона квадратной

сжатие

растяжение при раскалывании

растяжение при изгибе

осевое растяжение

призмы, мм

Все виды бетонов

Тяжелый бетон

Мелкозернистый бетон

Тяжелый бетон

70

0,85

0,78

0,87

0,86

0,80

100

0,95

0,88

0,92

0,92

0,92

150

1,00

1,00

1,00

1,00

1,00

200

1,10

1,05

1,15

1,08


Таблица 5

Коэффициент при испытаниях на сжатие цилиндров диаметром, мм


50 (6

63 (6

80 (10

более 90

15 и менее

1,10

1,06

1,02

1,0

Св.15 до 25

1,07

1,04

1,01

1,0

Св.25 до 35

1,03

1,01

1,0

1,0

Св.35 до 45

0,96

0,97

0,99

1,0

Св.45 до 55

0,88

0,92

0,97

1,0

Св.55

0,80

0,83

0,95

1,0


Прочность бетона в серии образцов определяют как среднее арифметическое значение:

в серии из двух образцов - по двум образцам;

в серии из трех образцов - по двум наибольшим по прочности образцам;

в серии из четырех образцов - по трем наибольшим по прочности образцам;

в серии из шести образцов - по четырем наибольшим по прочности образцам.

Значения коэффициентов перехода от прочности бетона при одном виде испытании к другому следует определять экспериментально по ГОСТ 10180.

Плотность бетона мы определяем в соответствии с ГОСТ 12730.1-78 "Бетоны

Методы определения плотности".

Данный стандарт распространяется на все виды бетонов и устанавливает методы определения плотности (объемной массы) бетонов путем испытания образцов.

Подготовка к испытанию

Плотность бетона определяют испытанием образцов в состоянии естественной влажности или нормированном влажностном состоянии: сухом, воздушно-сухом, нормальном, водонасыщенном. При определении плотности бетона в состоянии естественной влажности образцы испытывают сразу же после их отбора или хранят в паронепроницаемой упаковке или герметичной таре, объем которой превышает объем уложенных в нее образцов не более чем в 2 раза. Плотность бетона при нормируемом влажностном состоянии определяют испытанием образцов бетона, имеющих нормируемую влажность или произвольную влажность, с последующим пересчетом полученных результатов на нормированную влажность по формуле <>. При определении плотности бетона в сухом состоянии образцы высушивают до постоянной массы в соответствии с требованиями ГОСТ 12730.2 <#"869354.files/image042.gif"> (1)

где m - -масса образца, г;

V - -объем образца, см3.

Плотность бетона серии образцов вычисляют как среднее арифметическое значение результатов испытания всех образцов серии.

Плотность бетона при нормированном влажностном состоянии rн в кг/м3 вычисляют по формуле

 (2)

где rw - -плотность бетона при влажности Wм, кг/м3;

Wн - -нормированная влажность бетона, %;

Wм - -влажность бетона в момент испытания, определенная по ГОСТ 12730.2 <#"869354.files/image013.gif">в процентах вычисляют с погрешностью до 0,1% по формуле

 

, (1)

где  - масса пробы (образца) бетона до сушки, г;

 - масса пробы (образца) бетона после сушки, г.

Важность бетона пробы (образца) по объему в процентах вычисляют с погрешностью до 0,1% по формуле

, (2)

где  - плотность сухого бетона, определенная по ГОСТ 12730.1, г/см;

 - плотность воды, принимаемая равной 1 г/см.

Влажность бетона серии проб (образцов) определяют как среднее арифметическое результатов определения влажности отдельных проб (образцов) бетона.

Показатель микропористости мы определяем в соответствиис ГОСТ 12730.4-78 "Бетоны. Методы определения показателей пористости".

Данный стандарт распространяется на все виды бетонов и устанавливает методы определения показателей пористости по результатам определения их плотности, водопоглощения и сорбционной влажности по ГОСТ 12730.1, ГОСТ 12730.3 и ГОСТ 12852.6. Для определения объема открытых некапиллярных пор бетона (объема межзерновых пустот) образцы насыщают в воде в течение 24 ч по ГОСТ 12730.3, затем выдерживают 10 мни на решетке, после чего определяют их объем в объемомере по ГОСТ 12730.1 (без предварительного высушивания и парафинирования). Полный объем пор бетона серии образцов Пп в процентах определяют с погрешностью до 0,1 % по формуле   (1)  где ρб - плотность измельченного в порошок бетона, определенная при помощи пикнометра или прибора Ле-Шателье по методике ГОСТ 8269, кг/м3. ρ0 - плотность сухого бетона в серии образцов, определенная по ГОСТ 12730.1, кг/м3. Объем открытых капиллярных пор бетона в серии образцов По в процентах определяют по формуле   (2)  где Wо ¾ объемное водопоглощение бетона в серии образцов, определенное по ГОСТ 12730.3, %. Объем открытых некапиллярных пор бетона в отдельных образцах (объем межзерновых пустот) Пмз в процентах по объему определяют по формуле   (3)  где V - объем образца, определенный по ГОСТ 12730.1, см3; V1 - объем образца, определенный по п.2 настоящего стандарта, см3. Объем открытых некапиллярных пор бетона в серии образцов определяют как среднее арифметическое значение результатов испытаний всех образцов в серии. Объем условно-закрытых пор бетона в серии образцов Пз в процентах определяют по формуле   (4)  Показатель микропористости бетона в серии образцов Пмк определяют по формуле   (5)  где Wс - сорбционная влажность бетона в серии образцов при относительной влажности воздуха 95-100 %, определенная по методике ГОСТ 12852.6, % по объему.

Водонепроницаемость бетона мы определяем в соответствии с ГОСТ 12730.5-84 "Бетоны. Методы определения водонепроницаемости".

Настоящий стандарт распространяется на все виды бетонов на гидравлических вяжущих и устанавливает методы определения водонепроницаемости бетона испытанием образцов.

Определение водонепроницаемости по коэффициенту фильтрации

Оборудование и материалы

Для проведения испытаний применяют:

установку для определения коэффициента фильтрации с максимальным испытательным давлением не менее 1,3 МПа;

цилиндрические формы для изготовления образцов с внутренним диаметром 150 мм и высотой 150; 100; 50 и 30 мм;

технические весы по ГОСТ 24104;

силикагель по ГОСТ 3956.

Подготовка к испытанию

Изготовленные образцы хранят в камере нормального твердения при температуре (20 ± 2) °С и относительной влажности воздуха не менее 95%.

Перед испытанием образцы бетона выдерживают в помещении лаборатории до момента, пока изменение массы образца за сутки будет менее 0,1 %.

Перед началом испытания образцы должны быть проверены на герметизацию и дефектность путем оценки характера фильтрации инертного газа, подаваемого при избыточном давлении 0,1 - 0,3 МПа к нижнему торцу образца, на верхний торец которого налит слой воды.

При удовлетворительной герметизации боковой поверхности образца в обойме и отсутствии в нем дефектов фильтрацию газа наблюдают в виде равномерно распределенных пузырьков, проходящих через слой воды.

При неудовлетворительной герметизации боковой поверхности образцов в обойме или при наличии в образцах крупных дефектов фильтрацию газа наблюдают в виде обильного местного выделения в дефектных местах.

Дефекты герметизации боковой поверхности устраняют повторной герметизацией образцов. При наличии в образце отдельных крупных фильтрующих каналов образцы бетона заменяют.

Образцы, выбуренные из конструкции диаметром не менее 50 мм, после герметизации их боковых поверхностей подвергают испытаниям независимо от наличия в них дефектов.

Вода по ГОСТ 23732, применяемая для испытаний, должна быть предварительно дезаэрирована путем кипячения не менее 1 ч. Температура воды в период испытаний (20 ± 5) °С.

Проведение испытаний

В установке одновременно испытывают шесть образцов.

Подъем давления дезаэрированной воды производят ступенями по 0,2 МПа в течение 1 - 5 мин с выдержкой в течение 1 ч на каждой ступени до давления, при котором появляются признаки фильтрации в виде отдельных капель.

Воду (фильтрат), прошедшую через образец, собирают в приемный сосуд.

Измерение веса фильтрата производят через каждые 30 мин и не менее шести раз на каждом образце.

При отсутствии фильтрата в виде капель в течение 96 ч количество влаги, проходящее через образец, измеряют путем поглощения ее силикагелем или другим сорбентом в соответствии с п.3.3.4.

Силикагель должен быть предварительно высушен и помещен в закрытый сосуд, который герметически присоединяют к патрубку для сбора фильтрата в приемный сосуд.

Обработка результатов

Вес фильтрата отдельного образца Q, Н, принимают как среднее арифметическое четырех наибольших значений.

Коэффициент фильтрации Кф, см/с, отдельного образца определяют по формуле

 

Кф =  (1)

где h - коэффициент, учитывающий вязкость воды при различной температуре, принимают по табл. 4;

Q - вес фильтрата, Н;

d - толщина образца, см;

S - площадь образца, см2;

t - время испытания образца, в течение которого измеряют вес фильтрата, с.

r - избыточное давление в установке, МПа.

Таблица 4

Температура воды,°С

15

20

25

Коэффициент h

1,13

1,0

0,89


При испытании бетонных образцов диаметром менее 150 мм, выбуренных из конструкций, коэффициент фильтрации, полученный по расчетной формуле, умножают на поправочный коэффициент Кп, который принимают по табл. 5.

Таблица 5

Диаметр образца, мм

150

130

120

100

80

50

Поправочный коэффициент Кп

1,0

1,1

1,4

1,8

2,8

5,5


Для определения коэффициента фильтрации серии образцов коэффициенты фильтрации отдельных образцов этой серии располагают в порядке увеличения их значений и используют среднее арифметическое значение коэффициентов фильтрации двух средних образцов (третьего и четвертого).

Полученное значение коэффициента фильтрации Кф сравнивают с маркой бетона по водонепроницаемости в соответствии с табл.6.

Таблица 6

Коэффициент фильтрации Кф, см/с

Марка бетона по водонепроницаемости ("мокрое пятно")

Св.7×10-9 до 2×10-8

В2

" 2×10-9 " 7×10-9

Â4

" 6×10-10 " 2×10-9

Â6

" 1×10-10 " 6×10-10

Â8

" 6×10-11 " 1×10-10

Â10

6×10-11 и менее

Â12

 

Термостойкость бетона мы определяем в соответствии с ГОСТ 20910-90

"Бетоны жаростойкие. Технические условия". Данный стандарт распространяется на жаростойкие бетоны (далее - бетоны), предназначенные для применения при эксплуатационных температурах до 1800°С.

Требования настоящего стандарта следует соблюдать при разработке новых, пересмотре действующих стандартов, технических условий, проектной и технологической документации и при производстве сборных бетонных и железобетонных изделий и конструкций, монолитных и сборно-монолитных сооружений (далее - изделий, конструкций и сооружений) из этих бетонов.

Стандарт не распространяется на огнеупорные бетоны.

Сущность метода заключается в определении способности образцов бетона выдерживать резкие смены температур от предельно допустимой температуры применения до 20°С для классов по предельно допустимой температуре применения бетонов И3-И7 и от 800°С до 20°С - для классов бетонов И8-И18.

Образцы

Изготовляют три бетонные образца-куба с ребром длиной 7 см из бетонной смеси рабочего состава.

Средства контроля

Для испытания применяют:

сушильный электрический шкаф типа СНОЛ по ТУ 16.681.032;

камерную электрическую печь типа СНОЛ по ТУ 16.681.139;

весы технические по ГОСТ 24104;

ванну вместимостью 10 л.

Подготовка к испытаниям и испытания

Образцы после изготовления выдерживают в специальных условиях, затем подвергают визуальному осмотру и взвешивают.

Образцы, на которых обнаруживают трещины, бракуют.

Для бетонов средней плотности 1500 кг/м3 и более термостойкость Г1 определяют в водных теплосменах в следующем порядке.

Образцы помещают в печь, предварительно разогретую до расчетной температуры, и выдерживают при этой температуре 40 мин. Колебания температуры в печи допускаются в пределах +-20°С. Время отсчитывают с момента, когда в печи установится необходимая температура.

По истечении 40 мин образцы вынимают из печи и погружают в ванну вместимостью 10 л с водой комнатной температуры.

Образцы охлаждают в воде в течение 5 мин, после чего вынимают из воды и выдерживают при температуре (20 + - 5)°С в течение 10 мин. Затем нагревание повторяют. После каждой теплосмены воду в ванне необходимо менять.

Для бетонов средней плотности менее 1500 кг/м3 и ячеистой структуры термическую стойкость Т_2 определяют в воздушных теплосменах в следующем порядке.

После высушивания образцы помещают в печь, предварительно разогретую до расчетной температуры, и выдерживают при той температуре 1 ч. Колебания температуры в печи допускаются в пределах +-20°С.

Через 1 ч образцы вынимают из печи и охлаждают струей воздуха комнатной температуры из вентилятора в течение 20 мин. Затем нагревание повторяют.

Каждый нагрев и охлаждение в воде или на воздухе являются теплосменой. После каждой теплосмены остывшие образцы осматривают, отмечают появление трещин, характер разрушения (выкрошивание или окол материала) и определяют потери в массе.

Число теплосмен, вызвавших разрушение образцов или потерю бетоном 20% первоначальной массы, принимают за термическую стойкость бетона в водных или воздушных теплосменах.

5. Выбор способа определения показателя качества бетона


Для выявления способов определения показателей качества бетона, в своей курсовой работе, мы можем использовать нижеуказанные способы.

Существуют следующие виды способа определения показателя качества продукции:

дифференциальный

комплексный

смешанный

интегральный

Дифференциальный метод

Дифференциальным называется метод оценки уровня качества продукции, основанный на сопоставлении совокупности значений единичных показателей качества продукции с соответствующей совокупностью значений базовых показателей.

При дифференциальном методе рассчитывают относительные значения показателей качества продукции по формуле:

qi=Pi\Piб (1)

или q΄i=Piб\Pi, i=1,2,3……n (2)

где Pi-значение i-го показателя качества оцениваемой продукции

Piб-базовое значение i-го показателя

n-количество оцениваемых показателей качества продукции

Из двух зависимостей выбирают ту, при использовании которой увеличение относительного значения показателя соответствует повышению технического уровня продукции. Например, относительные значения показателей для производительности изделий, энерговооруженности и т.п. вычисляют по формуле (1), так как увеличение значения относительного показателя указывает на улучшение качества продукции. Относительный показатель материалоемкости продукции, трудоемкости изготовления, содержания вредных примесей и т.п. - по формуле (2), так как в этом случае улучшение качества продукции определяется уменьшением значения единичного показателя.

При составлении совокупностей значений единичных показателей качества оцениваемой продукции с базовыми могут возникнуть следующие ситуации:

все относительные значения показателей больше или равны единице. Это означает, что технический уровень оцениваемой продукции выше или равен базовому уровню

все относительные значения показателей меньше единицы. Отсюда следует, что технический уровень оцениваемой продукции ниже базового уровня

часть относительных значений показателей больше или равна единице, а часть меньше единицы. В этом случае необходимо применить комплексный метод оценки уровня качества продукции

Комплексный метод

Для оценки технического уровня сложной продукции приходится учитывать большое количество единичных показателей, что затрудняет принятие решения об уровне качества различной оцениваемой продукции. В этих случаях для обоснования рекомендаций по принимаемым решениям представляется целесообразным оценить технический уровень продукции одним числом, которое получается в результате объединения выбранных единичных показателей в один комплексный показатель, и таким образом перейти к комплексному методу оценки уровня качества продукции.

Для того, чтобы правильно определить технический уровень продукции, необходимо в достаточной степени обосновать комплексные показатели качества. При этом продукции более высокого качества должно соответствовать большее или меньшее значение комплексного показателя, а наибольшее и наименьшее значение последнего должно соответствовать наилучшей продукции.

Комплексные показатели качества, удовлетворяющие этому условию, называются состоятельными. Обоснование состоятельности комплексных показателей приводится в специальной литературе.

Комплексный показатель качества продукции может быть выражен двумя способами:

функциональной зависимостью главного или интегрального показателя от исходных показателей качества продукции

средневзвешенными показателями качества продукции

При первом способе функциональная зависимость комплексного показателя находится определением математической модели процесса использования продукции по назначению. Примерами таких комплексных показателей могут служить коэффициент готовности и интегральный показатель качества продукции.

Комплексные показатели, построенные по этому принципу, являются состоятельными, если принятая математическая модель соответствует действительному процессу использования продукции по назначению.

Во всех случаях, когда это возможно, следует определить и использовать для комплексной оценки качества продукции определяющий показатель, наиболее полно отражающий возможности продукции выполнять ее основное назначение. Например, определяющим показателем качества шин служит ходимость шин в километрах, для транспортных средств-количество перевезенных грузов или пассажиров на определенное расстояние, для металлорежущих станков-производительность и т.д.

Смешанный метод

Смешанным называется метод оценки уровня качества продукции, основанный на применении единичных и комплексных показателей. Последовательность действия при смешанном методе оценки технического уровня продукции следующая:

часть единичных показателей объединяют в группу и для каждой группы определяют соответствующий комплексный (групповой) показатель. Отдельные, как правило, важные показатели допускается не объединять в группы, а применять их при дальнейшем анализе как единичные

на основе полученной совокупности комплексных и единичных показателей оценивают технический уровень продукции дифференциальным методом.

Интегральный метод

Для комплексной оценки качества продукции при сроке службы до одного года можно применять интегральный показатель, вычисленный по формуле:

 (3)

где

Q-полезный суммарный эффект от эксплуатации или потребления продукции за весь срок службы, выраженный в натуральных или денежных единицах (например, в метрах, килограммах, тоннах, штуках, условных единицах и т.д.)

К0 - суммарные капитальные (единовременные) затраты на создание продукции, у. е.

Sт - суммарные эксплуатационные затраты за весь срок службы, у. е.

При сроке службы продукции более одного года интегральный показатель рассчитывают по формуле:

 (4)

где Q и К0 имеют тот же смысл, что и в формуле (3), т.е. относятся к одному году эксплуатации; t-срок службы продукции, лет;

 i=1,2….,t (5)

где Ен - нормативный коэффициент экономической эффективности, принимаемый равным 0,15.

Результаты расчетов по формуле (5) приведены в таблице 1. Уравнение справедливо при следующих допущениях:

ежегодный эффект от эксплуатации продукции из года в год остается одинаковым

ежегодные эксплуатационные затраты также одинаковы

срок службы составляет целое число лет

Таблица 1

t

φ (t)

t

φ (t)

T

φ (t)

1

1,000

9

0,181

17

0,144

2

0,535

10

0,173

18

0,142

3

0,381

11

0,166

19

0,140

4

0,305

12

0,160

20

0,139

5

0,260

13

0,155

21

0,138

6

0,230

14

0,152

22

0,137

7

0,210

15

0,149

23

0,136

8

0, 194

16

0,147

24

0,135


Для случая, когда эффект Qi и эксплуатационные затраты S (Тi) изменяются со временем, интегральный показатель рассчитывают по формуле:

 (6)

6. Выбор базового образца или базовых показателей бетона


Базовым образцом называется реально достижимая совокупность качеств продукции, принятая для сравнения. За базовый образец принимается общественно необходимый уровень, который в определенный отрезок времени является компромиссным с точки зрения требований потребителя и возможностей производства. В качестве базовых образцов выделяются лучшие из группы аналогов на основе метода попарного сравнения последовательно всех аналогов по значениям оценочных показателей с учетом точности их измерения. Выделение базовых образцов, на основе метода попарного сопоставления аналогов осуществляется следующим образом: аналог не может быть признан базовым образцом и исключается из последующих сопоставлений, если он уступает другому аналогу по совокупности оценочных показателей, т.е. уступает другому аналогу хотя бы по одному показателю, не превосходя его ни по каким из остальных; оба аналога остаются для дальнейшего сопоставления с другими, если по одним показателям оказывается лучше первый аналог, а по другим - второй. При этом значение некоторых показателей у аналогов могут не совпадать. В результате попарного сопоставления аналогов остаются аналоги, каждый из которых не уступает ни одному из остальных по совокупности оценочных показателей. Оставшиеся аналоги и являются базовыми образцами.

7. Факторы, влияющие на снижение качества бетона


Существует множество факторов, влияющих на прочность и другие свойства бетона (к примеру, состав цемента и его марочная прочность, очень часто отличающаяся от номинальной прочности).

Кроме этого, марочная прочность цемента снижает (в среднем, до 10% в месяц) его длительное хранение.

На прочность бетона могут оказывать влияние:

температура воды и воздуха,

условия твердения,

сезонно меняющаяся жесткость воды.

Общепринятым способом контроля прочности является испытание на прочность кубиков бетона.

Но для малого предприятия или частного строителя, которые не имеют собственных лабораторий, более экономичным способом выхода из ситуации может стать намеренное завышение марки приготавливаемого бетона относительно проектной, в целях обеспечения требуемых параметров.

Для правильного приготовления бетонных смесей, следует учитывать некоторые нюансы:

Для массивных конструкций следует предусматривать применение замедлителей.

Гранулометрия заполнителей должна быть оптимальной. В случае несоблюдения данного требования требуется перерасчет.

Для ускорения твердения, как правило, применяют специальные ускорители.

Фактическая активность цемента должна соответствовать заявленной. В случае несоблюдения этого требования необходимо проводить перерасчет.

Срок хранения цемента - не более 3-х месяцев.

Рабочие составы бетона должны корректироваться в зависимости от реального гранулометрического состава (доли наполнителей разной крупности) и их влажности.

В процессе переработки исходного сырья в готовый бетонный элемент качество бетона может изменяться под воздействием ряда объективных и субъективных факторов. Совокупность этих производственных факторов можно условно разделить на группы, охватывающие все этапы бетонных работ.

Первый этап - оценка качества исходных материалов и определение состава бетона. В число факторов, оказывающих решающее влияние на показатели качества бетона (прочность, долговечность, экономичность), входит качество цемента, заполнителей и воды.

Качество цемента должно обеспечить получение бетона заданной прочности и долговечности. Поэтому марку цемента следует выбирать в зависимости от проектной прочности бетона, а вид цемента - в соответствии с условиями эксплуатации конструкции.

Как правило, марка цемента должна быть выше требуемой прочности бетона в 1,25.2 раза. Если марка цемента намного превышает прочность бетона, то расход цемента, рассчитанный из условия прочности, оказывается меньше необходимого по условию плотности бетона. Чтобы избежать перерасхода высокомарочного цемента, вводят в состав бетона тонкомолотую минеральную добавку.

Снижение расхода цемента как наиболее дорогостоящего компонента бетона важно не только по экономическим причинам. При сокращении количества цемента уменьшается усадка бетона, возрастает его трещиностойкость. В массивных конструкциях, например гидротехнических сооружениях, большой расход цемента вызывает значительное тепловыделение, которое может привести к растрескиванию бетонного массива в результате неравномерного разогрева бетона.

Качество воды для изготовления бетона зависит от содержания сульфатов, хлоридов и ряда других соединений. Без предварительного испытания можно применять воду, пригодную для питья, речную и озерную воду.

Второй этап - приготовление бетонной смеси и укладка ее в конструкцию. На данном этапе необходимо обеспечить приготовление однородной, хорошо перемешанной бетонной смеси, обладающей заданной удобоукладываемостыо, и плотную укладку смеси в опалубку. Здесь главными факторами, определяющими качество бетона, являются однородность смешивания компонентов и качество уплотнения бетонной смеси.

Приготовление бетонной смеси включает операции дозирования и перемешивания составляющих материалов. Дозирование компонентов бетона осуществляют по массе, обычно с помощью автоматических дозаторов. Отклонения от заданной массы при дозировании на замес не должны превышать ±2 % для цемента, воды и водных растворов добавок и ±2,5 % для заполнителей. Однородность смешивания компонентов достигается выбором типа смесителя и режима перемешивания в соответствии с удобоукладываемостыо приготовляемой бетонной смеси. При смешивании материалов приходится преодолевать силы сцепления между частицами, сопротивление смеси сдвигу, а также силы тяжести. Подвижные смеси с повышенным содержанием воды и вяжущего вещества, обладающие малым сопротивлением сдвигу, перемешиваются значительно легче, чем жесткие.

Третий этап - твердение бетона. Уложенная в опалубку бетонная смесь благодаря гидратации цемента самопроизвольно затвердевает. Заданная проектом прочность достигается при определенном уходе за твердеющим бетоном, т.е. при создании оптимального температурно-влажностного режима твердения и защите бетона от ударов и сотрясений, которые могут нарушать еще не сложившуюся структуру.

Важнейшими факторами, влияющими на качество бетона на данном этапе, являются условия и длительность твердения. Условия твердения считают нормальными, если бетон находится в теплой и влажной среде. При преждевременном высыхании или замерзании взаимодействие цемента с водой прекращается, что отрицательно сказывается на строении и свойствах бетона.

8. Мероприятия по повышению качества бетона


Развитие рынка современных вяжущих веществ, сухих строительных смесей, новых видов бетонов, обусловило широкое распространение химических добавок - модификаторов различного функционального действия, в том числе гидрофобизирующих. Большое количество современных гидрофобизаторов, предлагаемых различными фирмами-производителями и поставщиками (Baerlocher GmbH, Сlariant GmbH, BMP Chemicals Ltd - (Германия), Rhodia - (Франция)), требуют тщательного анализа при выборе наиболее эффективных из них в конкретных условиях эксплуатации для определенных видов строительных материалов. Как правило, производители модификаторов при указании технических характеристик поставляемых добавок указывают также свойства модифицированного ими вяжущего или бетона. Эти характеристики в основном относят к традиционным вяжущим (портландцементным, гипсовым, известковым) и бетонам, широко применяемым в строительстве. Эффективность действия гидрофобизаторов в нетрадиционных вяжущих и бетонах на их основе - новых, специальных, редко используемых - практически не исследована.

Исследования по эффективности металлоорганических гидрофобизаторов в шлакощелочных композиционных материалах никем не проводились. В связи с этим был проведен ряд экспериментов по выявлению наиболее эффективных гидрофобизаторов в минеральное шлаковом вяжущем.

Анализируя многочисленные литературные источники, к сожалению, ни в одной из известных нам работ мы не встретили упоминание о коэффициенте водостойкости в длительные сроки экспонирования в воде. В источниках сообщается лишь о снижении кратковременного капиллярного водопоглощения в воде в течение двух-трех суток. Но такой короткий период экспонирования в воде явно недостаточен, прирост последующего длительного водонасыщения может составлять 10-12 % по отношению к трёхсуточному, как показали эксперименты, проведенные на кафедре Технологии бетонов керамики и вяжущих.

Поэтому для оценки эффективности гидрофобизирующих добавок в бетонах нами был введен коэффициент длительной водостойкости, учитывающий изменение прочности при длительном выдерживании образцов в воде.

Влияние дозировки металлоорганического гидрофобизатора на водостойкость и прочность минеральношлаковых вяжущих

Гидрофобные порошкообразные металлоорганические соединения предельных жирных кислот с катионами металлов цинка, кальция, магния, марганца, алюминия, вследствие их малого содержания при дозировке, распределяются между минеральношлаковыми частицами дискретно. В связи с этим можно полагать, что эффективность их действия может быть прямо пропорциональной дисперсности этих порошков, а водостойкость материалов из минеральношлаковых вяжущих будет непосредственно зависеть от дозировки вводимого гидрофобизатора и равномерности распределения его частиц в смеси.

Известно, что органические добавки, в том числе и гидрофобные, обладая водоотталкивающим действием, могут значительно понижать прочность композиции. Поэтому важно, чтобы МШВ с ними имели достаточную прочность на сжатие, как в начальные, так и в более поздние сроки нормального твердения.

Для исследования были использованы молотый гранулированный доменный шлак Новолипецкого металлургического завода с удельной поверхностью Sуд = 370 м2/кг в комплексе с Лягушовской глиной с Sуд = 550 м2/кг в ранее оптимально подобранном соотношении "шлак: глина" - 60: 40 по массе. При выявлении оптимальной дозировки добавки стеарата цинка количество ее варьировалось от 0,5 до 3% от массы вяжущего с шагом 0,5 %. В/Т отношение во всех составах равнялось 0,12. В качестве активизатора твердения использовали щелочь NaOH в количестве 3% от массы вяжущего. Для предварительного анализа были отформованы образцы методом прессования при Р = 25 МПа. Часть образцов хранилась в нормально-влажностных условиях при относительной влажности воздуха более 90% в течение 28 суток, затем подвергалась испытанию на прочность при сжатии по ГОСТ 10180-78. Другая часть после твердения была помещена в эксикатор над хлоридом кальция для обезвоживания и стабилизации массы. Далее образцы подвергались длительному водонасыщению в воде в течение 1 года. Периодически производился контроль водопоглощения по массе. По истечении продолжительного экспонирования образцов в воде определяли коэффициенты водостойкости: кратковременной - через 3 суток и длительной - через 3 месяца и 1 год.

Контрольные образцы из бездобавочного глиношлакового вяжущего (ГШВ) значительно интенсивнее насыщаются водой, чем образцы с добавлением гидрофобизаторов, поглощая за 15 минут 60% воды от водопоглощения образцов после годового экспонирования их в воде. Введение в ГШВ гидрофобной добавки - стеарата цинка при дозировке 0,5-1,0% от массы вяжущего не позволило достичь заметного снижения водопоглощения. Образцы с такой дозировкой имеют водопоглощение лишь на 0,5-1% ниже, чем контрольные за 12 месяцев водонасыщения.

Введение стеарата цинка в количестве 1,5% от массы вяжущего уже заметно тормозит процесс капиллярного водопоглощения. Увеличение дозировки до 2,0-3,0% приводит к значительному снижению начального водопоглощения. Водопоглощение образцов на ГШВ с добавкой в количестве 2,5% снижается в первый час в 15-20 раз. Коэффициент длительной водостойкости гидрофобных МШВ (рис.2) возрастает при введении стеарата цинка даже после нахождения образцов в воде в течение одного года.

При дозировке 2,5% наблюдается максимальное значение коэффициента водостойкости, равное 1,18. Значительное увеличение коэффициента длительной водостойкости можно объяснить постоянно протекающими гидратационными конструктивными процессами в гидрофобизированном минеральношлаковом вяжущем.

Отмечено, что прочность на сжатие в первые сроки твердения с увеличением дозировки вводимого гидрофобизатора на ГШВ изменяется. Пик значения прочности приходится на образцы с 1% стеарата. Суточная прочность при увеличении дозировки до максимального 3% -ого содержания стеарата цинка падает до 20,9 МПа и становится ниже бездобавочного (контрольный состав - 21,6 МПа)

Понижение прочности в начальные сроки твердения гидрофобизированных образцов из ГШВ с повышением дозировки стеарата, вероятно, связано с увеличением экранирующей гидрофобной пленки стеарата на частицах минеральношлакового порошка при перемешивании составов в процессе приготовления, которая замедляет гидратацию шлаковых частиц, и тем самым и набор прочности в первые сутки.

Прочность на осевое сжатие в нормированные сроки твердения гидрофобизированных стеаратом цинка минеральношлаковых вяжущих при всех исследованных дозировках выше контрольных составов. Наибольшие прочности, практически равные, отмечены на гидрофобизированном ГШВ при дозировках стеарата цинка 2,5 и 3% и, соответственно, равны 55 и 55,1 МПа. Замечено, что чем выше дозировка стеарата цинка в ГШВ, тем выше прочность на осевое сжатие в нормированные сроки твердения.

Таким образом, стеарат цинка при дозировке 2,5% является чрезвычайно эффективным гидрофобизатором ГШВ на длительный период. Учитывая, что все кривые водопоглощения образцов после двух месяцев насыщения выходят на асимптоту, параллельную оси абсцисс, можно надеяться на сохранение гидрофобного эффекта и в более длительные сроки.

Роль катиона металла стеарата в повышении водостойкости.

В связи с разнообразием катионов металлов у стеаратов необходимо было подобрать оптимальные для щелочной среды соли стеариновой кислоты для глиношлаковых вяжущих, а также исследовать физико-технические и гигрометрические свойства гидрофобизированных материалов. В качестве исследуемых гидрофобизаторов использовались стеараты металлов цинка, кальция, магния, марганца и алюминия в ранее оптимально подобранном соотношении - 2,5% от массы вяжущего. Длительная водостойкость оценивалась через 1 год нахождения образцов в воде.

По кинетике водопоглощения образцов из ГШВ с гидрофобными добавками стеаратов металлов цинка, кальция, магния, марганца и алюминия видно, что более заметное уменьшение водопоглощения наблюдается при введении стеарата цинка, магния и марганца. Стеарат цинка в наибольшей степени по сравнению с другими добавками повышает коэффициент длительной водостойкости: с 0,51-0,60 до 1,18 за счет сильного интенсифицирования твердения вяжущего в воде и понижает водопоглощение по массе в 1,38 раза как в начальные, так и в более длительные сроки водонасыщения. Стеарат алюминия и стеарат кальция в ГШВ не проявляют высоких гидрофобных свойств. Длительный коэффициент водостойкости выше контрольного всего лишь на 0,02.

Влияние металлоорганических гидрофобизаторов на формирование прочности МШВ также неоднозначно. Замедляющее действие на формирование ранней прочности ГШВ заметно на образцах, модифицированных стеаратом марганца и стеаратом алюминия. Прочность на сжатие образцов из ГШВ (состав 4) на 1 сутки при нормальных условиях твердения ниже контрольного на 3,1 МПа, состав 6 - на 0,7 МПа. В образцах со стеаратами кальция, магния и цинка прочность выше контрольного на 1,2; 0,5 и 1,7 МПа, соответственно.

Все стеараты, кроме стеарата кальция, понижают начальную прочность. Состав со стеаратом кальция имеет начальную прочность выше контрольного на 3,2 МПа.

В более поздние сроки твердения не отмечено негативного действия металлоорганических гидрофобизаторов на торможение роста прочности. Значения 28-ми суточной прочности на сжатие образцов из ГШВ практически со всеми стеаратами металлов превышают значения ее контрольного состава в различной степени в зависимости от катиона металла.

Более высокое относительное повышение нормативной прочности отмечено у образцов из ГШВ с добавлением стеаратов металлов цинка и магния, прочность образцов с которыми возрастает, соответственно, на 23 и 21 % по сравнению с контрольными. Можно полагать, что стеараты металлов способствуют более сильному инициированию взаимодействия глинистой составляющей с продуктами гидратации шлака.

Таким образом, экспериментальные данные по определению инициирующего воздействия стеаратов цинка, магния, марганца, кальция, алюминия на твердение вяжущих и и гидрофобизирующего действия свидетельствуют о том, что наиболее эффективной является гидрофобная добавка - стеарат цинка. Это можно объяснить его более высокой дисперсностью по сравнению с другими металлами стеаратов, если принять во внимание, что насыпная плотность стеарата цинка, характеризующая дисперсность частиц, является более низкой (0,25 г/см3) по сравнению с плотностями других стеаратов (0,30-0,35 г/см3).

В связи с этим стеарат цинка может быть рекомендован как эффективная добавка для исследованных глиношлаковых вяжущих с двойным эффектом действия.

На поверхности материала при введении стеаратов металлов цинка и кальция создается долговременный водозащитный барьер с эффектом "росы", а на образцах без введения в них гидрофобизаторов наблюдается эффект "мокрого пятна".

Естественно, что бордюрный камень, тротуарная плитка, не говоря уже о стеновых материалах, без использования структурной гидрофобизации имеют "страшный, блеклый и подтёкший вид", что не только портит эстетический вид фасада здания, но и неприятно удивляют через малое количество времени образующимися высолами, которые приводят при многократном "увлажнении-высушивании" в процессе эксплуатации конструкции к разрушению. Поэтому в качестве эффективного гидрофобизатора мы рекомендуем применять структурную гидрофобизацию - стеаратом цинка.

Список использованных источников


1. Фомин В.Н. Квалиметрия. - Москва: Ось, 2002. - 304с.

Ссылки: #"869354.files/image052.gif">

ГОСУДАРСТВЕННЫЙ СТАНДАРТ СОЮЗА ССР

СИСТЕМА ПОКАЗАТЕЛЕЙ КАЧЕСТВА ПРОДУКЦИИ.

СТРОИТЕЛЬСТВО

БЕТОНЫ

НОМЕНКЛАТУРА ПОКАЗАТЕЛЕЙ

ГОСТ 4.212-80

СТ СЭВ 6550-88

ГОСУДАРСТВЕННЫЙ СТРОИТЕЛЬНЫЙ КОМИТЕТ СССР

Москва

ГОСУДАРСТВЕННЫЙ СТАНДАРТ СОЮЗА ССР

Система показателей качества продукции. Строительство БЕТОНЫ Номенклатура показателей Product-quality index system. Building. Concretes. Nomenclature of indices

ГОСТ 4.212-80 СТ СЭВ 6550-88


Постановлением Государственного комитета СССР по делам строительства от 29 декабря 1979 г. № 262 срок введения установлен

с 01.01.81

Измененная редакция. Изм. № 1.

Стандарт устанавливает номенклатуру показателей качества бетонной смеси и бетона, применяемую при:

разработке стандартов, строительных норм и правил, а также другой нормативно-технической документации по проектированию и изготовлению бетонных и железобетонных изделий и конструкций;

оценке уровня качества бетонной смеси и бетона, бетонных и железобетонных изделий и конструкций;

прогнозировании и планировании качества;

разработке систем управления качеством;

составлении отчетности и информации о качестве.

Конкретные значения, методы определения и оценки показателей качества бетона и бетонной смеси должны устанавливаться соответствующими стандартами, техническими условиями или рабочими чертежами на бетонные и железобетонные изделия и конструкции отдельных видов, а также методическими указаниями по оценке уровня качества, утверждаемыми в установленном порядке.

Настоящий стандарт разработан на основе и в соответствии с ГОСТ 4.200-78.

. Номенклатура показателей качества

.1 Номенклатура показателей качества по критериям, единицы измерения и условные обозначения показателей качества приведены в таблице.

Наименование критериев, показателей качества и единицы измерений

Условные обозначения показателей качества

1. Технический уровень


1.1 Показатели конструктивности (состава) бетонной смеси и бетона


1.1.1 Вид исходных материалов (вяжущего, заполнителей и добавок)

-

1.1.2 Расход исходных материалов:


1.1.2.1 Вяжущего, кг/м3

Ц

1.1.2.2 Заполнителей, кг/м3

П, Щ

1.1.2.3 Добавок, % от массы цемента

-

1.1.2.4 Затворителя (воды, л/м3 и т.п.)

В

1.1.3 Соотношение исходных материалов по массе или по объему

Ц: П: Щ

1.1.4 Отношение массы воды и вяжущего по массе

В/Ц; В/В

1.1.5 Наибольшая крупность заполнителя, мм

Dмакс

1.1.6. Воздухосодержание бетонной смеси в уплотненном состоянии, %

-

1.2 Показатели назначения (физико-механических свойств) бетона


1.2.1 Нормируемая прочность с указанием сроков ее достижения; требуемая с учетом однородности и фактическая прочность, МПа, Н/см2 (кгс/см2)

R

1.2.1.1 Прочность на сжатие

-

1.2.1.2 Прочность на растяжение осевое

-

1.2.1.3 Прочность на растяжение при изгибе

-

1.2.1.4 Прочность на растяжение при раскалывании

-

1.2.1.5 Прочность при срезе


1.2.1.6. Остаточная прочность на сжатие после нагрева до 800°С


1.2.2 Показатели деформативности бетона


1.2.2.1 Модуль упругости, МПа (кгс/см2) (при повторных и ударных нагрузках, температурных воздействиях)

Е

1.2.2.2 Коэффициент поперечной деформации

1.2.2.3 Коэффициент Пуассона

1.2.2.4 Относительная деформация ползучести при сжатии и растяжении, МПа-1 (кгс/см2)

С

1.2.2.5 Усадка

1.2.2.6 Набухание

1.2.2.7 Предельная сжимаемость

1.2.2.8 Предельная растяжимость

1.2.2.9 Характеристика ползучести

1.2.3 Влажность по массе, %

1.2.4 Водопоглощение по массе, %

Wм

1.2.5 Капиллярный подсос, м

-

1.2.6 Проницаемость различными жидкостями и газами


1.2.6.1 Коэффициент фильтрации воды, см/с

Кф

1.2.6.2 Водонепроницаемость, МПа (кгс/см2)

-

1.2.7 Параметры пористости бетона

П

1.2.7.1 Полный объем пор по объему, %

-

1.2.7.2 Объем открытых капиллярных пор по объему, %

-

1.2.7.3 Объем открытых некапиллярных пор по объему (межзерновая пустотность), %

-

1.2.7.4 Объем условно закрытых пор по объему, %

-

1.2.7.5 Показатель микропористости

-

1.2.7.6 Показатель среднего размера пор

-

1.2.7.7 Показатель однородности размеров пор

-

1.2.8 Средняя плотность, кг/м3

1.2.9 Теплофизические показатели


1.2.9.1 Тепловыделение, Дж (кал/г)

-

1.2.9.2 Теплопроводность, Вт (м ·°С), (кал/м ·ч ·°С)

1.2.9.3 Теплоемкость Дж/°С (кал/кг ·°С)

С

1.2.9.4 Коэффициент температурной деформации

1.2.9.5 Температура, соответствующая 4 и 40 % деформации бетона под нагрузкой,°С

t

1.2.10. Электрическое сопротивление, Ом

1.2.11. Коэффициент звукопоглощения

1.2.12. Морозостойкость, циклы

-

1.2.13. Коррозионная стойкость при различных видах коррозии

-

1.2.14. Истираемость, г/см2

G

1.2.15. Стойкость в условиях высоких температур

-

1.2.15.1 Термостойкость, циклы

-

1.2.15.2.2 Огнестойкость, ч

-

1.2.15.3 Огнеупорность,°С

-

1.2.16. Кавитационная стойкость, см/г

i

1.2.17. Предельно допустимая температура применения,°С

t

1.2.18. Стойкость в условиях попеременного увлажнения и высыхания, циклы

-

1.2.19. Цветоустойчивость бетона, циклы

-

1.3 Эстетические показатели


1.3.1 Соответствие цвета эталону

-

1.4 Показатели технологичности бетонной смеси


1.4.1 Формуемость

-

1.4.2 Подвижность, см

ОК

1.4.3 Жесткость, с

Ж

1.4.4 Модуль упругости при вибрировании, МПа

-

1.4.5 Коэффициент затухания при вибрировании, см-1

1.4.6 Вибровязкость

1.4.7 Сохраняемость бетонной смеси, ч

-

1.4.8 Кинетика структурообразования


1.4.8.1 Сроки начала и конца схватывания, ч, мин

-

1.4.8.2 Потеря подвижности или увеличение жесткости

-

1.4.8.3 Структурная прочность, МПа

R

1.4.8.4 Температура твердения, применения,°С

t

1.4.9 Постоянство состава и структуры

-

1.4.9.1 Точность дозирования, %

-

1.4.9.2 Расслоение, %

-

1.4.9.3 Водоотделение, %

-

1.5 Содержание воздуха в свежеуложенной смеси после ее уплотнения


1.6. Самонапряжение, МПа


1.7 Показатели уровня радиационной защиты


Примечания: 1. Н/см2 применяется при расчете строительных конструкций. 2. Обозначение прочности бетона (R), пористости (П), модуля упругости (Е) применяются с буквенными индексами, приведенными в действующей нормативно-технической документации


2. Стабильность показателей качества

2.1 Вариация значений показателей технического уровня


2.1.1 Среднее квадратическое отклонение, в единицах измерения показателей

S

2.1.2 Коэффициент вариации, %

V

2.2 Обеспеченность нормированного значения показателей технического уровня, %

-

3. Экономическая эффективность

3.1 Трудоемкость изготовления, чел ·ч/м3

-

3.2 Энергоемкость изготовления, Вт ·ч/м3

-

3.3 Степень механизации и автоматизации производства, %

-

3.4 Себестоимость, руб.

С

3.5 Рентабельность, %

Р

3.6 Удельные капитальные вложения, руб.

К

3.7 Удельный расход вяжущего на единицу проектной прочности, кг/МПа

-

3.8 Экономический эффект в сравнении с типовым аналогом, руб.

Э


Измененная редакция. Изм. № 1.

.2 Для бетонов и бетонных смесей отдельных видов при соответствующем обосновании могут применяться дополнительно другие показатели качества.

. Применяемость критериев показателей качества

.1 Применяемость критериев качества бетона и бетонной смеси в зависимости от вида решаемых задач - по ГОСТ 4.200-78.

.2 Номенклатура показателей качества устанавливается в зависимости от назначения конкретных видов бетонных и железобетонных конструкций и изделий.

.3 Показатели качества критерия технического уровня 1.1, 1.1.1 - 1.1.3, 1.1.6, 1.4.4 - 1.4.9.3 применяются при выборе оптимального состава бетонной смеси и технологии изготовления бетонных и железобетонных изделий и конструкций.

Похожие работы на - Квалиметрическая оценка качества бетона

 

Не нашли материал для своей работы?
Поможем написать уникальную работу
Без плагиата!
Без нейросетей!