|
Β
|
1,9
|
2,5
|
3
|
3,5
|
|
R
|
0,26
|
0,35
|
0,42
|
0,49
|
0,63
|
|
N
|
6,1
|
5,3
|
5,0
|
4,8
|
4,7
|
|
N(R=1)
|
7,43
|
7,15
|
7,1
|
7,15
|
7,66
|
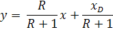
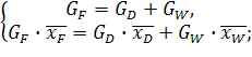
Минимальное произведение N(R=1) соответствует флегмовому числу R=0,42 На рис.4. (приложение 2)
изображены рабочие линии и ступени изменения концентраций для верхней
(укрепляющей) и нижней (исчерпывающей) частей колонны в соответствии с
найденным значением R=0,42.
Эту величину и принимаем в дальнейших расчетах за оптимальное рабочее
число флегмы. Число ступеней изменения концентраций при этом равно 5.
2.2
Определение скорости пара и диаметра колонны
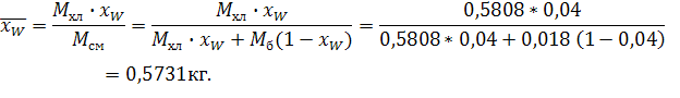
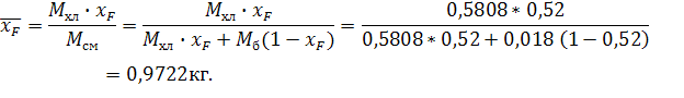
Средние концентрации жидкости:
А) в верхней части колонны
x'ср
= (xF + xD)/2 = (0,52+0,92)/2 = 0,72;
Б) в нижней части колонны
x''ср
= (xF + xW)/2 = (0,52+0,04)/2 = 0,28;
Средние концентрации пара находим по уравнениям рабочих линий:
А) в верхней части колонны
y'ср
= 0,29x'ср+0,65 = 0,29*0,72+0, 65
= 0,86;
Б) в нижней части колонны
y''ср
= 1,58x''ср- 0,023 =
1,58*0,28-0,023 = 0,419;
Средние температуры пара определяем по диаграмме t-x, y (приложение 1, рис.1).) при y'ср = 0,86t'ср = 73 °C;
Б) при y''ср = 0,419 t''ср = 75 °C.
Средние мольные массы и плотности пара:
А) M 'ср =
0,86*58+0,14*18=52,4 кг/кмоль;
Б) M ''ср = 0,419*58+0,581*18
= 35 кг/кмоль;
Средняя плотность пара в колонне:
Найдем плотность жидкости в колонне
Чтобы найти температуру смеси в верхней части колонны, надо на диаграмме t-x, y (приложение 1,
рис.1)отложить значения xF= 0,52 и xD=
0,92, найти соответствующие температуры.
Плотность жидкого ацетона при 60°C
ац = 746кг/м3, а жидкого воды при 96 °C
вод = 961,5 кг/м3. Принимаем
среднюю плотность жидкости в колонне:
ж= (746+961,5)/2 = 853,75кг/м3.
Определяем скорость пара в колонне по уравнению (7.17) [2]. По данным
каталога-справочника «Колонные аппараты» принимаем расстояние между тарелками h = 400мм. Для колпачковых тарелок по
графику (рис.7.2) [1] находим C
=0,043
Скорость пара в колонне по уравнению (7.17а) [2]:
Объемный расход проходящего через колонну пара при средней температуре в
колонне tср = (73+94)/2 = 83,5°C.
Где MD - мольная масса дистиллята, равная
MD = 0,92·58+0,08·18 = 54,8кг/кмоль.
Диаметр колонны равен:
По каталогу-справочнику «Колонные аппараты» [3] берем D = 800мм, тогда скорость пара в
колонне будет:
2.3
Гидравлический расчет тарелок.
Рассчитаем гидравлическое сопротивление тарелки в верхней части и в
нижней части колонны по уравнению:

гдеΔpсух - сопротивление сухой тарелки;
Δpб - сопротивление, вызываемое силами
поверхностного натяжения;
Δpгж - сопротивление газожидкостного
слоя на тарелке.
А) в верхней (укрепляющей) части колонны:
Гидравлическое сопротивление сухой тарелки:
где ζ = 4,5 - коэффициент сопротивления для колпачковых тарелок;
- скорость газа в прорезях колпачка, м/с;
.
Сопротивление, обусловленное силами поверхностного натяжения:
где σ = 18,6 Н/м- поверхностное натяжение смеси при средней
температуре в верхней части колонны 60 °С[2];
Для колпачковых тарелок dэ = 4f/П
,м, гдеf- площадь свободного сечения прорези(
паровых патрубков),м; П- длина линии барботажа, м. [3].

Где g - ускорение свободного падения, м/с2;
k=0,5
- относительная плотность газожидкостного слоя пены[2];
рж - плотность жидкости, кг/м3;
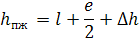
l= 25
мм - расстояние от верхнего края прорезей до сливного порога;
e = 30
мм - высота прорези;
Δh -высота уровня жидкости над сливным
порогом, м.
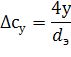
Величина Δhопределяется по формуле истечения через водослив с
учетом плотности пены:
где Vж - объемный расход жидкости, м3/с;
П = 0,57 м - периметр сливной перегородки[3];
рЖ = рСМ = 762 кг/м3.
Объемный расход жидкости в верхней части колонны:
гдеМср - средняя мольная масса жидкости, кг/кмоль;
МD - мольная масса дистиллята, кг/кмоль.
Мср = 0,72*58+0,28*18 = 46,8кг/кмоль
.
.
.= hn +
h = 0.04+0.011297=0.051297 м.=0.5
g
=9.81
Общее гидравлическое сопротивление тарелки в верхней части колонны:
.
Б) в нижней части колонны:
Гидравлическое сопротивление сухой тарелки:
где ζ = 4,5
- коэффициент сопротивления для колпачковых тарелок;
- скорость газа в прорезях колпачка, м/с;
Где Fc- относительная площадь для прохода
паров, м2;
Pг - плотность газа, кг/м3.
В соответствии с [3] D = 1
м =>Fc= 0,097 м2, Pг = 2,506 кг/м3
.
Сопротивление, обусловленное силами поверхностного натяжения:
Примерно поверхностное натяжения воды температуре в верхней части колонны
94 °С[2]; где σ = 60,75 Н/м-
.
Сопротивление парожидкостного слоя на тарелке:
Δh -высота уровня жидкости над сливным
порогом, м.
Величина Δhопределяется по формулеистечения через водослив с
учетом плотности пены:
где Vж - объемный расход жидкости, м3/с;
П = 0,818 м - периметр сливной перегородки[3]; рЖ = рСМ
= 762 кг/м3.
Объемный расход жидкости в нижней части колонны, рассчитывается по
формуле:
Где Мср - средняя мольная масса жидкости, кг/кмоль;
МD - мольная масса дистиллята, кг/кмоль;
МF- мольная масса жидкости питания,
кг/кмоль.
Мср = 0,28*58+0,72*18 = 29,2кг/кмоль;
МF= 0,52*58+0,72*18= 29,2 кг/кмоль.
.
.
.
h = hn +
h = 0.04+1,0640=1,104 м.
Общее гидравлическое сопротивление тарелки в нижней части колонны:
.
Проверим, соблюдается ли при расстоянии между тарелками h = 0,5 м
необходимое условие для нормальной работы тарелок:
Следовательно, вышеуказанное условие соблюдается.
Проверим равномерность работы тарелок - рассчитаем минимальную скорость
пара в отверстиях
, достаточную для того, чтобы колпачковая тарелка работала
всеми отверстиями:
.
Рассчитанная скорость
; следовательно, тарелки будут работать всеми отверстиями.
2.4 Определение числа тарелок и высоты колонны
Наносим на диаграмму y- x рабочие линии верхней и нижней части
колонны (приложение 1, рис.1) и находим число ступеней изменения концентрацииnT . В верхней части колоны
части
, всего 16 ступеней.
Число тарелок рассчитываем по уравнению [2]:
Для определения среднего к.п.д. тарелок
находим коэффициент относительной
летучести разделяемых компонентов
, и динамический коэффициент вязкости
исходной смеси µ при средней температуре колонне
=78°C .
Давление насыщенного пара в верхней части колонны при
=83°C для ацетона
=760 мм рт. ст., Воды
=300 мм рт. ст. [2], откуда
= 760/300=2,53.
Динамический коэффициент вязкости исходной смеси[2]:
=0,14сП.
=2,53*0,14*=0,354.
По графику 7.4[2] находим
=0,35.
Длина пути жидкости на тарелке:
L=D-2b.
По теореме Пифагора:
L=
=0,56 (м)
По графику 7.5 [2] найдем значение поправки на длину пути, Δ=0.
Средний КПД тарелок:
.
Число тарелок в верхней части колонны:
/
=2/0,35=7.
Число тарелок в нижней части колонны:
/
=3/0,35=9.
Общее число тарелок
=16, с запасом
=19, из них в верхней части колонны
11 тарелок и в нижней части 8 тарелок.
Высота тарельчатой части колонны:
HT= (n-1)h= (19-1)0,5= 9 м.
Общее гидравлическое сопротивление тарелок:
=373*11+6243*8 ≈ 540447кгс/см2.
2.5
Тепловой расчет установки
Расход
теплоты, отдаваемой охлаждающей воде в дефлегматоре-конденсаторе вычисляем по
формуле:
-удельная теплота конденсации ацетона при 60
-удельная теплота конденсации воды при 96
Расход теплоты, получаемой в кубе-испарителе от греющего пара:
-3 % от полезно затрачиваемой теплоты;
1,03(523120+0,81*0,55*4190*60+5,84*1*4190*96-19,40*1,1*4190*72)=3557260,42
Вт
Расход теплоты в паровом подогревателе исходной смеси:
Q=1,05*
*(
=1,05 * 19,44*0,54*4190(72-18)=2493946,32
Здесь тепловые потери приняты в размере 5%, удельная теплоемкость исходной
смеси - 4190
Расход теплоты, отдаваемой охлаждающей воде в водяном холодильнике
дистиллята:
Q=
*(
=0,81*0,57*4190*(60-20)=77380,92 (Вт)
Расход теплоты, отдаваемой охлаждающей воде в водяном холодильнике
кубового остатка:
Q=
*(
=5,84*0,61*4190*(96-20)=1134410,656
(Вт)
Расход греющего пара, имеющего давление
и влажность 5 %:
а)в кубе-испарителе
=3357260,42/(2141*
*0,95)=1,65кг/с
-удельная теплота конденсации греющего пара
б)в подогревателе исходной смеси
=1,22 кг/с
Всего: 1,65+1,22=2,87кг/с
Расход охлаждающей воды при нагреве ее на 5
а)в дефлегматоре
б)в водяном холодильнике дистиллята
в)в водяном холодильнике кубового остатка
Всего: 0,207001
или 745,20
Заключение
технологический ректификационный летучий жидкость
При выполнении курсовой работы был произведен расчет ректификационной
установки с требуемыми техническим заданием и характеристиками.
На основе материального расчета рассчитаны материальные потоки в колонне
и определен диаметр ректификационной колонны - 800 мм. Найдено оптимальное
флегмовое число R = 0,42.
Рассчитано действительное число тарелок и рассчитали высоту колонны, а также мы
произвели тепловой расчет ректификационной колонны.
Список используемой литературы
1. Касаткин
А.Г. Основные процессы и аппараты химической технологии: учебник для вузов. -
М.:ООО ИД «Альянс», 2009 -753 с.
2. Павлов
К.Ф., Романков П.Г., Носков А.А. Примеры и задачи по курсу процессов и
аппаратов. - М.:ООО ИД «Альянс», 2007 - 576 с.
. Основные
процессы и аппараты химической технологии: Пособие по проектированию/ Под ред.
Ю.И. Дытнерского.- М.:ООО ИД «Альянс», 2010 -4966 с.
Приложение
Рисунок 1. Определение число ступеней
Рисунок 2. Определение число ступеней
Рисунок 3. Определение число ступеней
Рисунок 4 - Изображение процесса разделения бинарной смеси путем
ректификации на диаграмме t-х-у
Рисунок 5. Определения флегмового числа