Исследование магнитоупругих свойств ферромагнетиков
МИНИСТЕРСТВО ОБРАЗОВАНИЯ И НАУКИ
РОССИЙСКОЙ ФЕДЕРАЦИИ
ФЕДЕРАЛЬНОЕ ГОСУДАРСТВЕННОЕ БЮДЖЕТНОЕ
ОБРАЗОВАТЕЛЬНОЕ УЧРЕЖДЕНИЕ
ВЫСШЕГО ПРОФЕССИОНАЛЬНОГО ОБРАЗОВАНИЯ
«ТЮМЕНСКИЙ ГОСУДАРСТВЕННЫЙ
НЕФТЕГАЗОВЫЙ
УНИВЕРСИТЕТ»
ИНСТИТУТ ПРОМЫШЛЕННЫХ ТЕХНОЛОГИЙ И
ИНЖИНИРИНГА
Кафедра физики, методов контроля и
диагностики
ПОЯСНИТЕЛЬНАЯ ЗАПИСКА
к бакалаврской работе
ИССЛЕДОВАНИЕ МАГНИТОУПРУГИХ СВОЙСТВ
ФЕРРОМАГНЕТИКОВ
НОРМОКОНТРОЛЕР: доцент, к.ф-м.н.
Федоров Б.В. РУКОВОДИТЕЛЬ:
профессор, д.п.н. Казаков Р.Х.
РАЗРАБОТЧИК:
студент группы ПМКб-11-1
Еганов В.А.
Бакалаврская работа защищена с оценкой ___________
Тюмень, 2015
РЕФЕРАТ
Ключевые слова: магнитоупругий эффект, эффект Виллари, ферромагнетик,
лабораторная работа, акустическая волна, магнитное поле.
Целью данной работы является обнаружение магнитоупругого эффекта при
воздействии на феррит акустической волны при отсутствии и наличии внешнего
постоянного магнитного поля, исследование изменения магнитоупругого эффекта при
изменении величины напряженности внешнего магнитного поля, создание
лабораторной работы и методических указаний.
В ходе эксперимента наблюдали магнитоупругий эффект в синусоидальном
акустическом поле при резонансных частотах для выбранного ферромагнетика.
Резонансными являлись частоты 84,4; 98,2; 111,960 кГц. Магнитоупругий эффект
проявляется в том, что в продольной акустической волне в ферромагнетике
возникает ЭДС индукции. Магнитоупругий эффект наблюдался и при отсутствии
внешнего магнитного поля.
При помещении ферромагнетика в постоянное магнитное поле наблюдаем
увеличение амплитуды ЭДС индукции в поле акустической волны в ферромагнетике,
т.е. с ростом внешнего постоянного магнитного поля ЭДС индукции растет. Данный
эффект обусловлен ростом намагниченности ферромагнетика во внешнем магнитном
поле.
На основе эксперимента разработана лабораторная работа и методические
указания «Исследование магнитоупругих свойств ферромагнетиков» для студентов
направления «Приборостроение».
ABSTRACT
: magnetoelastic effect, the effect of Villari,
ferromagnetic, laboratory work, sound wave, magnetic field.aim of this work is
the detection of the magnetoelastic effect when exposed to the ferrite acoustic
wave in the absence and the presence of an external constant magnetic field,
the study of the change of the magnetoelastic effect in the change in the
magnitude of the magnetic field strength, the establishment of the laboratory
work and guidelines.the experiment, the observed magneto-elastic effect in a
sinusoidal acoustic field at resonance frequencies for a selected ferromagnetic
me. The resonant frequency was 84,4; 98,2; 111,960 kHz. Magnetoelastic effect
is manifested in the fact that the longitudinal acoustic wave in the
ferromagnetic induction EMF appears. Magnetoelastic effect was observed in the
absence of an external magnetic field.the ferromagnet in a constant magnetic
field the observed increase of the amplitude of the induced EMF in the field of
acoustic waves in a ferromagnet, i.e. with the growth of the external constant
magnetic field the induced EMF increases. This effect is due to the growth of
the magnetization of a ferromagnet in an external magnetic field.the basis of
an experiment designed laboratory work and guidelines "study of the
magnetoelastic properties of ferromagnetic materials" for students of direction
"Instrumentation".
СОДЕРЖАНИЕ
ВВЕДЕНИЕ
ЛИТЕРАТУРНЫЙ ОБЗОР
.1 Магнитоупругие явления в
ферромагнетиках
.2 Экспериментальные
результаты испытаний механических характеристик ферромагнетиков
.2.1 Статические нагрузки
.2.2 Динамические нагрузки
ИССЛЕДОВАТЕЛЬСКАЯ ЧАСТЬ
.1 Описание установки.
Результаты практической работы
.2 Обоснование результатов
экспериментов
.3 Описание лабораторной
работы
ЗАКЛЮЧЕНИЕ
Список использованных
источников
ВВЕДЕНИЕ
Магнитоупругий эффект (Эффект Виллари) - это изменение намагниченности
ферромагнитного тела при деформации. Он является термодинамически обратным
магнитострикции, и его иногда называют обратным магнитострикционным эффектом.
Магнитоупругий эффект проявляется в намагниченности ферромагнетика под
действием механических напряжений. Известно, что кристаллиты ферромагнетика
состоят из микроскопических областей размером (0,01 - 1) мм, намагниченных до
насыщения - доменов. В каждом домене вектор намагниченности ориентирован вдоль
(против) характерных для каждого кристалла направлений. Между доменами
существует переходной слой, в котором вектора намагниченности атомов плавно
изменяют свой направление от -1800 до +1800 (180 - градусные границы) или от
900 до -900 (90 - градусные границы). Для создания границы требуется избыточная
энергия. Поэтому они чаще всего располагаются в местах искажения
кристаллической решетки, немагнитных включений. Междоменные границы образуют в
ферромагнетике подвижный пространственный каркас. У магнитомягких материалов,
таких как железо, никель, их сплавы, ферриты, трансформаторная сталь,
достаточно небольших полей или механических напряжений, чтобы заставить
перемещаться междоменные границы (МДГ) и перестраивать доменную структуру. У
магнитотвердых материалов, таких как кобальтовые стали, альнико, бариевые
ферриты, SmCo5 , NdFeB и другие, из которых делаются постоянные магниты,
требующие огромные поля, чтобы междоменные границы начали двигаться.
Под действием магнитного поля весь каркас границ приходит в движение и в
результате домены с намагниченностью, ориентированной вдоль поля, увеличиваются
в размерах за счет антипараллельных или поперечных доменов. В больших полях МДГ
исчезают и материал намагничивается до насыщения.
Действие
механических напряжений деформирует кристаллическую решетку, изменяя энергию
доменов, которая называется магнитоупругой энергией 
.
Так,
если 
> 0 (растяжение),
то намагниченность стремится выстроиться вдоль напряжений, если (сжатие), то 
< 0 и
намагниченность стремится выстроиться в поперечном направлении. Если к
остаточно намагниченному магнетику приложить механические напряжения, то они за
счет изменения магнитоупругой энергии будут «отрывать» МДГ от дефектов решетки,
выводить их из положения равновесия и приводить в движение. Таким образом, если
материал намагнитить, а затем нагрузить, то изменением своей намагниченности он
«запомнит» величину силы.
Объект
исследования: магнитоупругое явление в феррите.
Предмет
исследования: магнитоупругий эффект в ферритовом стержне под действием
акустического поля килогерцового диапазона при помещении стержня в постоянное
магнитное поле.
Цель
и задачи исследования:
создать
измерительную установку;
поставить
цель обнаружить магнитоупругий эффект при воздействии на феррит акустической
волны при отсутствии и наличии внешнего постоянного магнитного поля;
исследовать
изменение магнитоупругого эффекта при изменении величины напряженности внешнего
магнитного поля;
интерпретировать
полученные экспериментальные результаты.
1 ЛИТЕРАТУРНЫЙ
ОБЗОР
1.1 Магнитоупругие явления в ферромагнетиках
Ферромагнетики. Явление магнитоупругого эффекта в ферромагнетиках.
Ферромагнетики - это вещества, обладающие спонтанной намагниченностью, то
есть они сохраняют намагниченность при отсутствии внешнего магнитного поля. К
ферромагнетикам относятся, например, кристаллы железа, никеля, кобальта. [5]
Ферромагнитные
свойства вещества существенно зависят от температуры. С повышением температуры
остаточная намагниченность ферромагнетика уменьшается. При достаточно высокой
температуре, называемой точкой Кюри, она исчезает полностью. При нагревании
выше точки Кюри ферромагнетик превращается в обычный парамагнетик
<#"866696.files/image003.gif"> <#"866696.files/image004.gif">
<#"866696.files/image005.gif">
,
имеющего направление, противоположное полю, вызвавшему намагничение.
Напряженность 
называется
коэрцитивной силой. [1]
Магнитоупругий
эффект - это изменение намагниченности ферромагнитного тела при деформации. Он
является термодинамически обратным магнитострикции, и его иногда называют
обратным магнитострикционным эффектом. Структурная схема магнитоупругого
эффекта показана на рисунке. При воздействии на кристаллы ферромагнетика
механических усилий на кристаллографическую анизотропию накладывается
магнитоупругая анизотропия, вызванная дополнительным магнитным взаимодействием
атомов вследствие искажения атомной решетки кристалла.
Энергия
магнитоупругой анизотропии зависит от вектора намагниченности насыщения 
в
кристалле и создает дополнительные выгодные энергетические направления 
областей
в решетке. Упругие напряжения, действующие на ферромагнетик, приводят к
изменению ориентации магнитных моментов доменов в решетке (без изменения
абсолютного значения вектора намагниченности насыщения 
).
Это
приводит к изменению намагниченности ферромагнетика. Магнитоупругая энергия
непосредственно связана с магнитострикцией.
Устойчивые
направления
областей
в ферромагнетике определяются минимальным значением магнитной энергии
кристалла, включающей в себя три составляющие: 1) энергию магнитной анизотропии
Wk; 2) магнитоупругую энергию Wd; 3) энергию внешнего магнитного поля WH. В
зависимости от вида упругой деформации намагниченность в различных
ферромагнитных материалах изменяется различно. Характер изменения зависит от
величины и знака магнитострикции материала.
Например, для случая сильных упругих растяжений, действующих в направлении
магнитного поля Н, намагниченность М может быть определена из выражения

, (1.1)
где
α
- численный коэффициент, равный 
-
магнитострикция насыщения.
Магнитоупругий
эффект зависит от материала, величины и знака его магнитострикций, температуры
окружающей среды, упругой деформации и напряженности магнитного поля. Вокруг
образца существует магнитное поле. При положительной магнитострикции материала
направление результирующей намагниченности совпадает с направлением действия
силы и магнитного поля. При отрицательной магнитострикции материала направление
результирующей намагниченности перпендикулярно к направлению действия силы и
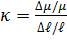
магнитного поля. Относительную чувствительность магнитоупругого материала можно
характеризовать, как и у тензорезисторов, коэффициентом тензочувствительности:

(1.2)
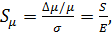
Магнитоупругие свойства материала характеризуются также относительной
магнитоупругой чувствительностью:

(1.3)
где Е - модуль упругости;
μ - магнитная проницаемость;
σ - внутреннее напряжение в материале.
Для одного и того же материала под действием механического напряжения
магнитная проницаемость в слабых полях может возрастать, в то время как в
сильных - падать.[6,7,8]
.2 Экспериментальные результаты испытаний механических характеристик
ферромагнетиков.
Целью механических испытаний ферритов является изучение деформаций
образцов материалов при механических воздействиях и определение величин
механических напряжений, вызывающих разрушение образцов. Механические свойства
материалов - способность материалов сопротивляться деформированию и разрушению
в сочетании со способностью упруго и пластически деформироваться под действием
внешних механических сил.
Измерение механических характеристик различных материалов, в том числе
ферритов, имеет большое практическое значение, так как при конструировании,
сборке и эксплуатации различных аппаратов, приборов, волноводов и других устройств,
детали, изготовленные из ферритов, могут подвергаться механическим усилиям,
хотя иногда и кратковременным, но значительным по величине.
По отношению к действию механических нагрузок и по условиям, при которых
происходит разрушение, можно все материалы разделить на пластичные и хрупкие.
Если материал разрушается при весьма малых деформациях (2-3%), то его называют
хрупким. Если же разрушение при растяжении происходит при значительных
деформациях (20-30%), а при сжатии и вовсе не наступает, то такой материал
называется пластичным.
По своим механическим свойствам в диапазоне рабочих температур (-100° до
+125° С) ферриты относятся к хрупким материалам, так как деформации
при разрушении достигают порядка 0,03-0,2%.
Создание напряженного состояния материала во время испытаний должно по
возможности соответствовать тем условиям, в которых находятся детали или
образцы при эксплуатации. Поэтому испытания материалов подразделяют сообразно
видам нагружения, которым подвергаются образцы в процессе исследования.
Основные виды механических испытаний ферритов следующие: 1) статические
испытания на растяжение, сжатие, изгиб, кручение; 2) динамические испытания на
ударную прочность (вязкость); 3) испытания на твердость; 4) определение упругих
постоянных динамическим способом.
Необходимо отметить, что при испытаниях образцов из ферритов наблюдался
большой разброс результатов. Этот разброс в первую очередь объясняется
различными технологическими факторами (различным давлением при прессовании,
различием температуры обжига, наличием микротрещин, неоднородной зернистостью и
т. д.).[3]
В качестве примеров будем рассматривать ферриты марок 50В Ч2 и 2БА.
1.2.1 Статические
нагрузки
Прочность при растяжении.
Статические испытания на растяжение позволяют получить одну из важнейших
характеристик - предел прочности при разрыве образца. Если образец феррита
поперечного сечения F(см2) подвергается действию плавно возрастающего
растягивающего усилия, то при предельном значении этого усилия Рмакс происходит
разрыв образца.
Предел
прочности при растяжении 
находится
из выражения:

=
(1.4)
Так же прочность при растяжении зависит от температуры. У всех ферритов
прочность с увеличением температуры уменьшалась. На рисунке 1.2 и 1.3 показаны
кривые изменения прочности магнитномягкихи магнитножестких ферритов при
растяжении в зависимости от температуры.[3]
Рисунок 1.2 - Зависимость прочности магнитомягких ферритов при растяжении
от температуры
Так для марок ферритов 50В Ч2 и 2БА прочность при растяжении при
комнатной температуре составляет 95(ϭр.кг/см2) и 250(ϭр.кг/см2)
соответственно.
Прочность при сжатии.
Прочность
при испытании образцов на сжатие во многом зависит от трения между плитами
прессов и торцевыми поверхностями образцов. Предел прочности при сжатии 
определяется
для образца, разрушаемого плавно возрастающим сжимающим усилием:
Рисунок 1.3 - Зависимость прочности магнитожестких ферритов при
растяжении от температуры.

(1.5)
Необходимо отметить, что при оценке прочности ферритовых изделий при
сложном напряженном состоянии за критерий, т. е. величину допускаемой нагрузки,
нельзя принимать предел прочности при сжатии, так как он у хрупких материалов в
несколько раз выше прочности при растяжении.
Из-за трудностей, связанных с исключением трения между торцевыми
поверхностями образцов и подушками пресса, а также несоответствия расчетных
напряжений на растяжение напряжениям при сжатии, результаты испытаний на сжатие
могут служить лишь ориентировочной характеристикой прочности материала, а сами
испытания могут применяться только для сравнительной оценки прочности ферритов.
На рисунке 1.4 и 1.5 показаны кривые изменения прочности магнитномягких и
магнитножестких ферритов при сжатии в зависимости от температуры. Кривые
показывают, что прочность магнитномягких
ферритов с повышением температуры несколько увеличивается, а прочность
магнитножестких ферритов уменьшается.[3]
Рисунок 1.4 - Зависимость прочности магнитомягких ферритов при сжатии от
температуры.
Рисунок 1.5 - Зависимость прочности магнитожестких ферритов при сжатии от
температуры.
К примеру для феррита марки 50В Ч2 прочность при сжатии при комнатной
температуры составляет 1560 (ϭсж.кг/см2), а для феррита марки 2БА
составляет 1950 (ϭсж.кГ/см2).
На рисунке 1.6 и 1.7 приведены зависимости прочности при сжатии
магнитномягких и магнитножестких ферритов от объема образца.
Рисунок 1.6 - Зависимость прочности магнитомягких ферритов при сжатии от
объема образца
Рисунок 1.7 - Зависимость прочности магнитожестких ферритов при сжатии от
объема образца
Из физических соображений, очевидно, что однородное поле напряжений,
возникающее при сжатии цилиндрического образца, распространено практически по
всему его объему. При этом прочность определяется числом микродефектов,
находящихся в данном объеме, а также величиной «ослабления» материала,
вносимого каждым отдельным дефектом. Если принять, что на единицу объема
материала приходится примерно одинаковое количество дефектов одинаковой «силы»,
то становится очевидным, что с увеличением размеров образца повышается
вероятность появления дефектов, существенно отличающихся от среднего уровня
«силы». При этом становится более вероятным появление как весьма «слабых», так
и весьма «сильных» дефектов.
Если первые на прочность не окажут влияния (так как прочность образца
определяется прочностью «слабого места»), то появление более «сильных» дефектов
вызовет в среднем снижение прочности в совокупности образцов большего объема.
Это положение достаточно отчетливо иллюстрируется результатами испытаний,
приведенными на рисунке 1.6, 1.7.[3]
Прочность при изгибе. Для испытания на изгиб обычно применяются
призматические стержни различной длины и площади поперечного сечения. Во
избежание возможного скручивания образца желательно применять образцы с
относительно высоким соотношением между длиной (Ɩ) и высотой (h) образца. Хорошие результаты можно
ожидать при соотношении Ɩ /h = 7:10.
Результаты зависимости прочности при изгибе магнитномягких и
магнитножестких ферритов от температуры показаны на рис. 24, 25. Как видно из
графиков, прочность ферритов при изгибе с ростом температуры снижается.[3]
Рисунок 1.8 - Зависимость прочности магнитомягких ферритов при изгибе от
температуры
Рисунок 1.9 Зависимость прочности магнитожестких ферритов при изгибе от
температуры
Прочность при кручении. При испытании на кручение хрупких материалов
получают ряд характеристик: прочность при кручении, прочность при срезе, модуль
сдвига и условную прочность при растяжении. Существует много машин и установок
для испытаний
на кручение. Очень важно при проведении этих испытаний исключить
возможность изгиба.
Испытаниям на кручение подвергались образцы цилиндрической формы с
утолщенными концами. Переход от рабочей прямолинейной части образца к
утолщенной, как правило, осуществлялся плавно. Прочность при кручении (τ)
определялась как отношение
максимального крутящего момента (Мкр.макс)к полярному моменту сопротивления
поперечного сечения образца
(Wp=
), т.е. 
=
*
,
где
d- диаметр рабочей части образца.
Образцы
всех марок ферритов, подвергшихся испытанию, как магнитномягких, так и
магнитножестких, разрушались по типу «хрупких» материалов за счет наибольших
растягивающих напряжений (как материал, обладающий слабыми пластическими
свойствами).
Для
ферритов марок 50В Ч2 и 2БА прочность при кручении составляет 155(τ, кг/см2) и 490(τ, кг/см2) соответственно.
Характерно,
что у магнитномягких ферритов прочность при кручении, как при растяжении и
изгибе, снижалась с повышением температуры, в то время как у магнитножестких
ферритов она повышалась как с ростом температуры, так и с понижением от
некоторого экстремального значения (рисунок 1.10, 1.11).Кроме того, если
средний предел прочности при растяжении у магнитножестких ферритов выше
среднего предела прочности при растяжении магнитномягких ферритов в среднем в
два раза, при изгибе около трех раз, то при кручении почти в четыре раза.[3]
Рисунок
1.10 - Зависимость прочности магнитомягких ферритов при кручении от
температуры.
Рисунок
1.11 - Зависимость прочности магнитожестких ферритов при кручении от
температуры.
1.2.2
Динамические нагрузки. Ударная прочность и определение твердости
Ударной прочностью материала принято считать величину работы, затраченной
для разрушения образца при изгибном ударе на маятниковом копре.
Удельную ударную прочность определяют обычно как отношение величины
затраченной на разрушение работы к площади поперечного сечения образца в месте
излома, или к объему части образца между опорами копра. Ударная прочность
материала не является расчетной характеристикой, входящей в какую-либо формулу.
Обычно по удельной ударной прочности судят о способности того или иного
материала сопротивляться ударному воздействию.
Испытания проводились на маятниковом копре. Основными характеристиками
копра являются запас энергии, определяемый как произведение веса маятника на
расстояние от оси его качания до центра тяжести, и центр удара, который
находится по периоду колебания маятника.
Маятник весом Р, поднятый на определенный угол и имеющий высоту центра
тяжести h, будет обладать запасом энергии,
равным Ph. После свободного падения и встречи с образцом маятник, затратив на
разрушение образца часть запаса энергии, поднимается на определенный угол, при
котором его центр тяжести займет высоту h1.
Закрепленный на оси маятника поводок при движении после разрушения
образца перемещает стрелку на высоту, пропорциональную h. Таким образом,
стрелка отметит по шкале величину, пропорциональную разности высот (h-h1).
Работа, затраченная на разрушение образца, определяется по формуле как
разность запасов энергии маятника до и после удара:

, (1.6)
где
- работа,
затраченная на разрушение образца, кгм;

- вес
маятника, кг;

- высота
подъема центра тяжести маятника относительно точки встречи бойка с образцом до
удара, м;

- высота
подъема центра тяжести маятника относительно точки встречи бойка с образцом
после удара, м.
По
общепринятой методике за удельную ударную прочность принимается отношение
затраченной на разрушение образцов работы 
к
площади поперечного сечения образца 
, т. е.

[
] (1.7)
Проведенные испытания показали, что удельная ударная прочность различных
хрупких материалов в значительной степени зависит от формы и размеров образца.
Поскольку ударная прочность является качественной характеристикой, испытания
проводились на образцах с одинаковой длиной, на одинаковом расстоянии между
опорами, но различным поперечным сечением. Учитывая характер действия ударной
нагрузки, представляется возможным наряду с общепринятой методикой, определять
удельную ударную прочность хрупких материалов как отношение затраченной при
изломе образцов работы к моменту сопротивления поперечного сечения образца (W). В этом случае разброс результатов
оказывается меньше и влияние масштабно-технологического фактора на удельную
ударную прочность лучше согласуется с аналогичными зависимостями при других
видах испытаний.
На рисунках 1.12 и 1.13 показаны сравнительные результаты определения
ударной прочности магнитножестких ферритов.
Рисунок 1.12 - Результаты определения ударной прочности магнитожестких
бариевых ферритов по общепринятой методике
Рисунок 1.13 - Результаты определения ударной прочности магнитожестких
бариевых ферритов по измененной методике
Как видно из рисунков, удельная работа при испытании по общепринятой
методике увеличивается с увеличением площади образца, что противоречит как
статической, так и технологической теориям прочности. При определении удельной
ударной прочности (aw) как отношения
затраченной работы (А) к моменту сопротивления поперечного сечения образца (W), т. е.

[
], (1.8)

см2;
Характер
наклона кривых сохраняется таким же, как и при других видах испытаний.
Твердость
- это способность материала сопротивляться проникновению в него другого, не
получающего остаточных деформаций тела. Твердость не входит в какие-либо
расчетные формулы, не является физической постоянной, а скорее является сложной
функцией ряда физических свойств, которые по-разному сочетаются при различных
методах испытания. В некотором смысле твердость материала можно приравнять
сопротивлению истиранию или износу. Эта характеристика интересна практически,
так как она определяет срок службы материала при нормальном использовании, но,
как известно, детали из феррита редко подвергаются такого рода воздействиям.
Устойчивость материала к царапанию другим материалом представляет собой другую
характеристику твердости, а глубина проникновения индентера (шарика, пирамиды)
в материал при определенных условиях является еще одним видом характеристики
твердости.
Все
эти методы - эмпирические и, хотя пользоваться можно любым из них,
классификационное расположение материалов в ряду твердости может зависеть от
метода испытания.
Определение
твердости царапанием выполняется сравнительно просто, но результаты испытания
часто бывают довольно неопределенными. Величина твердости оценивается по
десятибалльной шкале (так называемая шкала Мооса), которая представляет собой
последовательность ряда минералов различной твердости, расположенных в порядке
ее возрастания. По этой шкале алмаз, стоящий в верхней ее части, имеет
твердость 10, а твердость талька, стоящего последним, равна 1. При оценке
твердости определяют, какие из минералов шкалы оставляют царапину на
исследуемом материале. Ферриты имеют значения твердости по Моосу от 6 до 8, но
испытание их не очень удобно для сравнительных характеристик твердости
различных видов ферритов по отношению друг к другу. Большинство магнитномягких
ферритов никель-цинковой системы имеют твердость 6-7, а марганцевоцинковой
системы до 7-8.
Реже
пользуются динамическими методами измерения, в которых мерой твердости является
высота отскакивания стального шарика от поверхности изучаемого материала (метод
Шора) или время затухания колебания маятника, опорой которого служит
исследуемый материал (метод Кузнецова - Ребиндера). Наиболее часто для
измерения твердости пользуются методом вдавливания, при котором величина
твердости равна нагрузке, отнесенной к поверхности отпечатка, или обратно
пропорциональна глубине отпечатка при некоторой фиксированной нагрузке.
Отпечаток обычно производят шариком из закаленной стали (метод Бринелля,
Роквелла) или алмазной пирамидой (метод Роквелла, Виккерса, измерение
микротвердости). Испытание материалов на твердость вдавливанием под нагрузкой
2:200 Г алмазной пирамиды с квадратным основанием и углом при вершине между
противолежащими гранями 136° получило название «испытаний на микротвердость».
В
результате испытания определяется величина диагонали отпечатка и подсчитывается
число твердости как частное от деления приложенной нагрузки (Р, кг) на
поверхность полученного отпечатка (F, мм2),число твердости выражается в 
:

[
] (1.9)
Если
выразить Pв граммах, а 
(диагональ
квадрата отпечатка) в микронах, то формула примет вид:

[
] (1.10)
Обычно бывает необходимо получение не менее трех отпечатков для
определения твердости испытуемого материала, но для хрупких материалов это
число необходимо увеличить. Механизм вдавливания носит весьма сложный характер,
охватывая эффекты упругой деформации, пластического течения и смятия феррита
под индентером. Необходимо отметить, что число твердости в какой-то степени
зависит от нагрузки, под которой проводятся испытания. Поэтому, когда
сравниваются числа твердости материалов, определенные по методу «испытаний на
микротвердость», необходимо точно указывать условия испытаний.
При
выборе места расположения отпечатка на поверхности образца необходимо
учитывать, что феррит имеет значительную пористость и мелкозернистую структуру,
а поэтому рекомендуют расстояния от центра отпечатка до края образца (зерна)
или между центрами соседних отпечатков брать не менее 
(d -
диагональ отпечатка). Толщина испытуемого образца должна быть не менее 
-
,
учитывая структуру феррита и его хрупкость. Так как
испытуемое
зерно залегает в массе приблизительно таких же зерен, связанных
пластификатором, то в зависимости от цели испытаний (определение твердости
зерен феррита или всей массы образца) могут быть взяты отпечатки и несколько
большие по величине.
В связи с неоднородностью величины зерен по поверхности образца
целесообразно для каждого определения H производить не менее 10 наколов в различных местах образца.
Определение микротвердости никель-цинковых ферритов дало значения H=850-950 кГ/мм2 для различных марок
ферритов. Для бариевых магнитножестких ферритов эта величина составляла 700-800
кГ/мм2.[3]
ИССЛЕДОВАТЕЛЬСКАЯ ЧАСТЬ
2.1 Описание установки. Результаты практической работы.
Для проведения эксперимента была использована установка, состоящая из
генератора низкочастотных сигналов, двухлучевого осциллографа, источника
постоянного тока, колец Гельмгольца, пьезокерамических резонаторов,
измерительной катушки и ферритового стержня. Рисунок 2.1.
Рисунок 2.1 - Фотография установки
Принципиальная схема установки представлена на рисунке 2.2.
Рисунок 2.2 - Принципиальная схема установки
-генератор сигналов низкочастотный; 2-пьезокерамические резонаторы;
3-двухлучевой осциллограф; 4- источник постоянного тока; 5- кольца
Гельмголца;6- измерительная катушка; 7- ферритовый стержень
) Сравнение по фазе акустического сигнала и сигнала ЭДС магнитоупругого
эффекта (желтая синусоида- акустический сигнал, синяя синусоида- сигнал
напряженности). Рисунок 2.3 и 2.4.
Рисунок 2.3 -Сравнение по фазе акустического сигнала и сигнала ЭДС
индукции магнитоупругого эффекта
Рисунок
2.4 - Сравнение по фазе акустического сигнала и сигнала ЭДС индукции
магнитоупругого эффекта (смещение на 
)
Фаза
смещается на 
.
)
Определение внешнего магнитного поля в объеме колец Гельмгольца.
Таблица
2.1
|
U, В
|
0,1
|
0,2
|
0,3
|
0,4
|
0,5
|
0,6
|
0,7
|
0,8
|
0,9
|
1
|
|
H,A/м
|
34,3
|
53
|
71,6
|
89,6
|
109
|
125,8
|
143
|
162,6
|
183
|
203
|
|
U, В
|
1,1
|
1,2
|
1,3
|
1,4
|
1,5
|
1,6
|
1,7
|
1,8
|
1,9
|
2
|
|
H,A/м
|
220
|
237
|
255,6
|
273,6
|
292,5
|
311
|
329
|
348,5
|
366,6
|
385,6
|
|
U, В
|
2,1
|
2,2
|
2,3
|
2,4
|
2,5
|
2,6
|
2,7
|
2,8
|
2,9
|
3
|
|
H,A/м
|
403,3
|
421,6
|
440
|
458
|
478,3
|
497,5
|
515
|
534,6
|
553
|
571
|
|
U, В
|
3,1
|
3,2
|
3,3
|
3,4
|
3,5
|
3,6
|
3,7
|
3,8
|
3,9
|
4
|
|
H,A/м
|
590,5
|
610
|
629,3
|
647,6
|
666,5
|
685,3
|
703,8
|
723
|
742
|
762
|
В отсутствии внешнего магнитного поля также наблюдается магнитоупругий
эффект, при включении магнитного поля ЭДС магнитоупругого эффекта возрастает.
Для определения напряженности внешнего магнитного поля в объеме колец
Гельмгольца мы подключили их к источнику постоянного тока для создания
однородного магнитного поля между колец и изменяли значение напряжения от 0,1В
до 4В с шагом 0,1В (таблица 2.1). В итоге, мы получили тарировочную (рисунок
2.4) кривую.
Рисунок 2.4 - Тарировочная кривая
) Также, измерили изменение амплитуды колебаний напряжения при изменении
напряжения. Измерения проводились на трех частотах (таблицы 2.2, 2.3, 2.4).
Таблица 2.2 - Частота сигнала- 84,4 кГц.
|
U, В
|
0,1
|
0,2
|
0,3
|
0,4
|
0,5
|
0,6
|
0,7
|
0,8
|
0,9
|
1
|
|
Аmp U, В
|
12,93
|
14,4
|
19,8
|
23.2
|
22.9
|
28
|
31.5
|
36.4
|
38.9
|
44.8
|
|
U, В
|
1,1
|
1,2
|
1,3
|
1,4
|
1,5
|
1,6
|
1,7
|
1,8
|
1,9
|
2
|
|
Аmp U, В
|
45.9
|
52
|
55.2
|
57.1
|
61.3
|
65.6
|
70.1
|
73.6
|
76.8
|
85.6
|
|
U, В
|
2,1
|
2,2
|
2,3
|
2,4
|
2,5
|
2,6
|
2,7
|
2,8
|
2,9
|
3
|
|
Аmp U, В
|
88
|
90.7
|
93.1
|
94.9
|
97.1
|
102.3
|
106.3
|
109.3
|
115.3
|
118
|
|
U, В
|
3,1
|
3,2
|
3,3
|
3,4
|
3,5
|
3,6
|
3,7
|
3,8
|
3,9
|
|
Аmp U, В
|
121
|
124.3
|
127.3
|
131.7
|
134.3
|
137.3
|
140.7
|
144.7
|
148
|
155.3
|
Таблица 2.3 - Частота сигнала- 98,2кГц.
|
U, В
|
0,1
|
0,2
|
0,3
|
0,4
|
0,5
|
0,6
|
0,7
|
0,8
|
0,9
|
1
|
|
Аmp U, В
|
3,4
|
4,6
|
5,2
|
5,8
|
6,2
|
6,8
|
7,6
|
8,2
|
9
|
10,4
|
|
U, В
|
1,1
|
1,2
|
1,3
|
1,4
|
1,5
|
1,6
|
1,7
|
1,8
|
1,9
|
2
|
|
Аmp U, В
|
11
|
11,6
|
12,2
|
12,8
|
13,6
|
14,4
|
15,2
|
16
|
17,2
|
18,4
|
|
U, В
|
2,1
|
2,2
|
2,3
|
2,4
|
2,5
|
2,6
|
2,7
|
2,8
|
2,9
|
3
|
|
Аmp U, В
|
19,2
|
20,6
|
21,2
|
22,2
|
22,8
|
23,2
|
24
|
24,8
|
25,6
|
26,4
|
|
U, В
|
3,1
|
3,2
|
3,3
|
3,4
|
3,5
|
3,6
|
3,7
|
3,8
|
3,9
|
4
|
|
Аmp U, В
|
27,2
|
28,4
|
29,2
|
30
|
31
|
32
|
32,8
|
33,6
|
34,4
|
35,2
|
Таблица 2.4 - Частота сигнала- 111,960 кГц.
|
U, В
|
0,1
|
0,2
|
0,3
|
0,4
|
0,5
|
0,6
|
0,7
|
0,8
|
0,9
|
1
|
|
Аmp U, В
|
1,2
|
1,44
|
1,8
|
2,1
|
2,3
|
2,6
|
3
|
3,3
|
3,6
|
3,9
|
|
U, В
|
1,1
|
1,2
|
1,3
|
1,4
|
1,5
|
1,6
|
1,7
|
1,8
|
1,9
|
2
|
|
Аmp U, В
|
4,2
|
4,4
|
4,7
|
4,9
|
5,2
|
5,4
|
5,8
|
6,1
|
6,4
|
6,8
|
|
U, В
|
2,1
|
2,2
|
2,3
|
2,4
|
2,5
|
2,6
|
2,7
|
2,8
|
2,9
|
3
|
|
Аmp U, В
|
7,2
|
7,6
|
8
|
8,4
|
8,8
|
9,2
|
9,6
|
10
|
10,4
|
10,8
|
|
U, В
|
3,1
|
3,2
|
3,3
|
3,4
|
3,5
|
3,6
|
3,7
|
3,8
|
3,9
|
4
|
|
Аmp U, В
|
11,2
|
11,5
|
11,8
|
12,2
|
12,6
|
13
|
13,4
|
13,8
|
14,2
|
14,8
|
Используя данные тарировочного графика и результаты измерений из таблиц
2.2,2.3 и 2.4, построим графики зависимости амплитуды напряжения от
напряженности магнитного поля для частот 84,4; 98,2 и 111,960 кГц (таблицы 2.5,
2.6, 2.7).
Таблица 2.5 -Частота 84,4 кГц.
|
H,A/м
|
34.3
|
53
|
71.6
|
89.6
|
109
|
125.8
|
143
|
162.6
|
183
|
203
|
|
Аmp U, В
|
12,9
|
14,4
|
19,8
|
23.2
|
22.9
|
28
|
31.5
|
36.4
|
38.9
|
44.8
|
|
H,A/м
|
220
|
237
|
255.6
|
273.6
|
292.5
|
311
|
329
|
348.5
|
366.6
|
385.6
|
|
Аmp U, В
|
45.9
|
52
|
55.2
|
57.1
|
61.3
|
65.6
|
70.1
|
73.6
|
76.8
|
85.6
|
|
H,A/м
|
403.3
|
421.6
|
440
|
458
|
478.3
|
497.5
|
515
|
534.6
|
553
|
571
|
|
Аmp U, В
|
88
|
90.7
|
93.1
|
94.9
|
97.1
|
102.3
|
106.3
|
109.3
|
115.3
|
118
|
|
H,A/м
|
590.5
|
610
|
629.3
|
647.6
|
666.5
|
685.3
|
703.8
|
723
|
742
|
762
|
|
Аmp U, В
|
121
|
124.3
|
127.3
|
131.7
|
134.3
|
137.3
|
140.7
|
144.7
|
148
|
155.3
|
Рисунок 2.5 - Зависимость амплитуды напряжения от напряженности
магнитного поля при частоте акустического сигнала 84,4 кГц.
Таблица 2.6 - Частота 98,2кГц
|
H,A/м
|
34.3
|
53
|
71.6
|
89.6
|
109
|
125.8
|
143
|
162.6
|
183
|
203
|
|
Аmp U, В
|
3,4
|
4,6
|
5,2
|
5,8
|
6,2
|
6,8
|
7,6
|
8,2
|
9
|
10,4
|
|
H,A/м
|
220
|
237
|
255.6
|
273.6
|
292.5
|
311
|
329
|
348.5
|
366.6
|
385.6
|
|
Аmp U, В
|
11
|
11,6
|
12,2
|
12,8
|
13,6
|
14,4
|
15,2
|
16
|
17,2
|
18,4
|
|
H,A/м
|
403.3
|
421.6
|
440
|
458
|
478.3
|
497.5
|
515
|
534.6
|
553
|
571
|
|
Аmp U, В
|
19,2
|
20,6
|
21,2
|
22,2
|
22,8
|
23,2
|
24
|
24,8
|
25,6
|
26,4
|
|
H,A/м
|
590.5
|
629.3
|
647.6
|
666.5
|
685.3
|
703.8
|
723
|
742
|
762
|
|
Аmp U, В
|
27,2
|
28,4
|
29,2
|
30
|
31
|
32
|
32,8
|
33,6
|
34,4
|
35,2
|
Рисунок 2.6 - Зависимость амплитуды напряжения от напряженности
магнитного поля при частоте акустического сигнала 98,2кГц.
Таблица 2.7 - Частота 111,960 кГц
|
H,A/м
|
34.3
|
53
|
71.6
|
89.6
|
109
|
125.8
|
143
|
162.6
|
183
|
203
|
|
Аmp U, В
|
1,2
|
1,44
|
1,8
|
2,1
|
2,3
|
2,6
|
3
|
3,3
|
3,6
|
3,9
|
|
H,A/м
|
220
|
237
|
255.6
|
273.6
|
292.5
|
311
|
329
|
348.5
|
366.6
|
385.6
|
|
Аmp U, В
|
4,2
|
4,4
|
4,7
|
4,9
|
5,2
|
5,4
|
5,8
|
6,1
|
6,4
|
6,8
|
|
H,A/м
|
403.3
|
421.6
|
440
|
458
|
478.3
|
497.5
|
515
|
534.6
|
553
|
571
|
|
Аmp U, В
|
7,2
|
7,6
|
8
|
8,4
|
8,8
|
9,2
|
9,6
|
10
|
10,4
|
10,8
|
|
H,A/м
|
590.5
|
610
|
629.3
|
647.6
|
666.5
|
685.3
|
703.8
|
723
|
742
|
762
|
|
Аmp U, В
|
11,2
|
11,5
|
11,8
|
12,2
|
12,6
|
13
|
13,4
|
13,8
|
14,2
|
14,8
|
Рисунок 2.7 - Зависимость амплитуды напряжения от напряженности
магнитного поля при частоте акустического сигнала 111,960кГц.
.2 Обоснование результатов экспериментов
А. Если взять скорость звука в феррите равной 5600 м/с, то длина волны

т.к.
длина стержня 20см, то при 
на
стержне укладывается 3 длины волны(
), при 
укладывается
3,5 длин волн(целое число полуволн), при 
-4 длин
волн. Исходя из этого, можно утверждать, что на всех частотах мы имеем дело со
стоячей волной. Так как длина волны больше диаметра стержня, то такой стержень
можно рассматривать как тонкий стержень. В стержне длины 20 см поглощением
ультразвука можно пренебречь и волновое уравнение для продольной акустической
волны можно записать в виде:

(2.1)
где:

- смещения доменов в
поле продольной волны, распространяющейся в направлении оси 0х.
Для
тонкого стержня квадрат фазовой скорости волны определяется соотношением 
(
-модуль Юнга и 
- плотность образца).
Решение
(1) определяет уравнение смешения элементов стержня
:

(2.2)
Так
как в эксперименте длина акустической волны приблизительно на 3¸4 порядка больше размера доменов, то под колебанием
смещения 
здесь
можно понимать колебание смещения доменов как целых образований в поле
акустической волны.
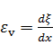
Колебательная
скорость доменов:

(2.3)
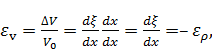
Относительное
изменение объема элемента стержня eV единичного поперечного сечения в поле акустической
волны:

(2.4)
где:

- имеет смысл
относительной деформации растяжения (сжатия) в поле акустической волны;

- относительное
изменение плотности элемента стержня.
Напряжение
(избыточное давление) в ферритовом стержне в поле продольной акустической волны
(закон Гука):

(2.5)
Сравнивая
фазы полученных выражений, имеем: напряжение s и
колебательная скорость v находятся в фазе, а смещение 
отстает
на 
от
и 
.
В
эксперименте наблюдается сдвиг фазы на 
между
механическим напряжением (избыточным давлением) s и ЭДС
индукции ei,
генерируемой в измерительной катушке вследствие колебаний доменом в
акустической волне. Этот сдвиг фаз можно объяснить, если предположить, что ЭДС
индукции ei
пропорционален факту колебания доменов как целых образований в акустическом
поле 
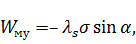
Б.
Механические напряжения деформирует кристаллическую решетку феррита, изменяя
энергию доменов, которая называется магнитоупругой энергией

(2.6)
где

-
константа магнитострикции материала, 
- угол между
направлением намагниченности и прикладываемыми напряжениями. Если 
> 0
(растяжение), то вектор намагниченности стремится выстроиться вдоль напряжений,
если 
< 0 (сжатие), то
энергия 
положительна,
и вектор намагниченности стремится выстроиться в поперечном направлении. В
каждом домене вектор намагниченности ориентирован вдоль (против) характерных
для каждого кристалла направлений. Между доменами существует переходной слой
(0,01 - 0,1) мм, в котором вектора намагниченности атомов плавно изменяют свой
направление от -1800 до +1800 или от -900 до 900. Для создания границы
требуется избыточная энергия. Поэтому они чаще всего располагаются в местах
искажения кристаллической решетки. Чтобы вывести границы из равновесных
положений, необходимо внешнее воздействие: магнитное поле, механическое
растяжение или сжатие, удар. Междоменные границы образуют в ферромагнетике
подвижный пространственный каркас. Для магнитомягких материалов, таких как
железо, никель, их сплавы, ферриты, достаточно небольших полей или механических
напряжений, чтобы заставить перемещаться междоменные границы и перестраивать
доменную структуру. Под действием магнитного поля весь каркас границ приходит в
движение и в результате домены с намагниченностью, ориентированной вдоль поля,
увеличиваются в размерах за счет антипараллельных или поперечных доменов. В
больших полях МДГ исчезают и материал намагничивается до насыщения.
В
эксперименте феррит деформировался в поле синусоидальной акустической волне и в
отсутствии внешнего магнитного поля феррит намагничивался вследствие деформации
в этом акустическом поле. При включении внешнего постоянного магнитного поля (создаваемое
кольцами Гельмгольца) в измерительной катушке амплитуда наведенного ЭДС
возрастает, что обусловлено намагничиванием феррита вдоль внешнего магнитного
поля за счет антипараллельных или поперечных доменов.
2.3 Описание лабораторной работы
На основе выполнения экспериментов предлагается лабораторная работа
«Исследование магнитоупругих свойств ферромагнетиков» для студентов направления
«Приборостроение».
Описание лабораторной работы.
Цель работы: исследовать магнитоупругий эффект (эффект Виллари) в
ферромагнитном стержне в поле акустической волны килогерцового диапазона,
находящегося в постоянном внешнем магнитном поле.
Оборудование:
генератор сигналов низкочастотный Г3-117.
двухлучевой осциллограф Tektronix
DPO 2012B.
установка для крепления феррита и пьезокерамических резонаторов.
магнитометр ИКНМ-2ФП.
источник питания постоянного тока Б5-43.
Краткая теория и экспериментальная установка описаны в пунктах 2.1 и 2.2.
Порядок выполнения работы:
) С помощью источника питания постоянного тока изменяем напряжение на
кольцах Гельмгольца от 0,1В до 4В с шагом 0,1В и измеряем магнитометром, датчик
которого находится внутри колец Гельмгольца, напряженность магнитного поля.
Данные заносим в таблицу1.
Таблица 1
)Построить тарировочный график функции U(H).
) Собираем установку.
) Подключаем установку: генератор низкочастотных сигналов ко входу
акустического тракта, а осциллограф к выходу. Также подключаем кольца
Гельмгольца к источнику постоянного тока и осциллографу. Включаем приборы.
) Меняя частоту сигнала на акустическом тракте, ищем резонансные частоты.
) Перемещая измерительный датчик вдоль ферритового стержня, устанавливаем
точки максимальной амплитуды напряжения.
) Устанавливаем одну из резонансных частот определенных в пункте 5.
) Изменяя напряжение на источнике питания постоянного тока от 0,1В до 4В
с шагом 0,1В, измеряем амплитуду напряжения с помощью осциллографа. Данные
заносим в таблицу 2.
Таблица 2
9) Строим график функции H(U).
) Повторить пункты 7,8 и 9 еще для двух резонансных частот.
ЗАКЛЮЧЕНИЕ
) В ходе эксперимента наблюдали магнитоупругий эффект в синусоидальном
акустическом поле при резонансных частотах для выбранного ферромагнетика.
Резонансными являлись частоты 84,4; 98,2; 111,960 кГц. Магнитоупругий эффект
проявляется в том, что в продольной акустической волне в ферромагнетике
возникает ЭДС индукции. Магнитоупругий эффект наблюдался и при отсутствии
внешнего магнитного поля.
) Предполагаем, что сдвиг фаз между напряжением в ферромагнетике и ЭДС
индукции обусловлено изменением колебательной скорости в акустической волне
(т.е. ускорением доменов).
)При помещении ферромагнетика в постоянное магнитное поле наблюдаем
увеличение амплитуды ЭДС индукции в поле акустической волны в ферромагнетике,
т.е. с ростом внешнего постоянного магнитного поля ЭДС индукции растет. Данный
эффект обусловлен ростом намагниченности ферромагнетика во внешнем магнитном
поле.
) На основе эксперимента разработана лабораторная работа и методические
указания.
магнитоупругий
ферромагнетик напряженность
СПИСОК ИСПОЛЬЗОВАННЫХ ИСТОЧНИКОВ
. Савельева,
И.В. Курс общей физики. Электричество и магнетизм. Волны. Оптика : [Текст]
учебник для студентов вузов / Москва; под общ.ред. Савельева И.В. Москва:
Наука, 1982. Т.2.-1982.- 496 с. :ил.
. Уэрт,
Ч. Физика твердого тела [Текст]: учебник/Ч. Уэрт, Р. Томсон; пер. с англ. А. С.
Пахомова, Б. Д. Сумма.- Москва: Мир, 1968.-558 с.: ил.
. Злобин,
В.А. Ферритовые материалы [Текст]: учебник/ В.А. Злобин, В. А. Андреев, Ю. С.
Звороно. - Ленинград: Энергия, 1970.-112с.: ил.
. Ультразвук.
Маленькая энциклопедия [Текст]/ред.: И. П. Голямина.- Москва: Советская
энциклопедия, 1979. - 400с.: ил.
. Бозорт
Р. Ферромагнетизм.- М.: Изд-во иностр. лит., 1956. - 784 с.:ил.
. Гольдштейн
Ю. Б. Основы механики твердого деформируемого тела: Учеб. пособие/ Ю. Б.
Гольдштейн; ПетрГУ. - Петрозаводск: Изд-во ПетрГУ, 2005. - 872 с.
. Кошелев
А.И. Механика деформируемого твердого тела: Электронный учебник/. Кошелев А.И.,
Нарбут М.А. - СПб.: С-Петерб. гос. ун-т, 2005. - 287 с.
. Елисеев
В. В. Механика деформируемого твёрдого тела- СПб.: С-Петерб. гос. ун-т, 2006
г., 231 с.
. Измерение
электрических и неэлектрических величин: Учеб. пособие для вузов/Н.Н. Евтихиев,
Я.А. Купершмидт, В.Ф. Папуловский, В.Н. Скугоров; Под общ. ред. Н.Н. Евтихиева.
- М.: Энергоатомиздат, 1990.
. Павлов
П. В. Физика твердого тела [Текст]: учебник/ П. В. Павлов, А. Ф. Хохлов.-
Москва: Высшая школа, 2000.- 494 с.: ил.