Влияние накопленной деформации сдвига и поврежденности при кручении на магнитные характеристики стали

  • Вид работы:
    Реферат
  • Предмет:
    Физика
  • Язык:
    Русский
    ,
    Формат файла:
    MS Word
    136,58 Кб
  • Опубликовано:
    2015-04-26
Вы можете узнать стоимость помощи в написании студенческой работы.
Помощь в написании работы, которую точно примут!

Влияние накопленной деформации сдвига и поврежденности при кручении на магнитные характеристики стали















Реферат

Влияние накопленной деформации сдвига и поврежденности при кручении на магнитные характеристики стали

Содержание

Введение

. Теоретические основы

. Методы определения магнитных и деформационных характеристик

. Зависимости магнитных свойств от степени деформации

Заключение

Список литературы

сталь деформация магнитный кручение

Введение

В процессе пластической деформации, в частности при кручении, в металле возникают дефекты сплошности (микропоры, микротрещины, вакансии и т.д.). Дефекты сплошности возникают уже на начальных стадиях пластической деформации. Образование дефектов сплошности сопровождается частичной релаксацией упругой энергии [6], что, в свою очередь, приводит к изменению магнитоупругой энергии ферромагнитного материала в областях, прилегающих к дефектам. Это явление должно влиять на изменение магнитных характеристик материала.

Помимо прямых разрушающих методов определения характеристик прочности и исследования структуры сталей применяются магнитные и электромагнитные методы неразрушающего контроля. Магнитный контроль основан на корреляции между магнитными характеристиками и структурно-фазовым состоянием, характеристиками прочности сталей. В качестве параметра неразрушающего контроля структуры и механических свойств образцов стали, в частности, используется коэрцитивная сила Hc. Изменение структуры стали влияет на механические свойства и коэрцитивную силу.

1. Теоретические основы

В настоящее время экспериментально установлена связь между физикомеханическими и магнитными свойствами ферромагнетиков. В магнитных методах структуроскопии и неразрушающего контроля наиболее широко используется коэрцитивная сила Нс, которая является основной характеристикой петли магнитного гистерезиса и по определению не зависит от геометрических размеров образца. Коэрцитивная сила равна величине размагничивающего поля, которое необходимо приложить к намагниченному ферромагнетику, чтобы уменьшить его намагниченность до нуля. Имеющиеся стандартные приставные коэрцитиметры позволяют измерять эту характеристику для различных изделий и элементов конструкций, в том числе в полевых условиях.


Как известно, коэрцитивная сила реагирует на изменение структурного состояния материала, его химический состав, внутренние и внешние напряжения. Например, зависимость коэрцитивной силы Нс от размера зерна dз в общем случае имеет вид [6]:

= A/ dз+B,

где А, В - некоторые числовые коэффициенты.

Данная формула подобна известной зависимости между пределом текучести и размером зерна Холла - Петча [5]:


где ϭ0 - параметр, характеризующий сопротивление кристаллической решетки движению дислокаций;- коэффициент, характеризующий вклад границ зерен в упрочнение.

На практике широко используется зависимость коэрцитивной силы от объемной доли V дисперсных частиц в структуре материала [3]:

= KVn/Ms

где К - некоторый числовой коэффициент; М8 - намагниченность насыщения материала; показатель степени n в зависимости от размера частиц может меняться от 1/3 до 1.

Влияние плотности дислокаций N на коэрцитивную силу описывается зависимостью [4]:

,

где λ8 - магнитострикция насыщения.

Имеется аналогичная зависимость предела текучести материала от плотности дислокаций (а - числовой коэффициент).


Росту коэрцитивной силы способствует как рост плотности дислокаций, так и уменьшение размера зерен.

Приведенные выше зависимости и данные различных экспериментальных работ свидетельствуют о наличии общих закономерностей влияния структурных параметров на магнитные и механические характеристики и соответственно о существовании устойчивых корреляционных связей между напряженно-деформированным состоянием изделия и изменениями его магнитных характеристик.

По мнению большинства исследователей, в упругой области нагружения изменения коэрцитивной силы обусловлены в основном формированием магнитной текстуры напряжений и имеют обратимый характер. В пластической области нагружения, когда значительно возрастает плотность дислокаций и других дефектов структуры, коэрцитивная сила, как правило, необратимо растет. Следует отметить, что математический аппарат, позволяющий оценивать напряженное состояние тела по результатам магнитных измерений, пока не разработан. Тем не менее, на практике существует необходимость определения напряженно-деформированного состояния элементов конструкций по их магнитным характеристикам и разработки соответствующих методов.

Аналогичные выводы содержатся в теоретической работе [2], где изучено влияние деформации сдвига при кручении и накапливаемой при этом поврежденности на магнитные характеристики цилиндрических образцов.

2. Методы определения магнитных и деформационных характеристик

Для проведения экспериментов авторы статьи [2] использовали цилиндрические образцы диаметром 5 мм из стали 45 после горячей прокатки. Измерения магнитных свойств проводили на установке, позволяющей снимать магнитные характеристики непосредственно в процессе нагружения.

Измерения магнитных характеристик осуществляли на предельной и частных петлях магнитного гистерезиса. Все характеристики измеряли в зависимости от внутреннего магнитного поля. При измерениях регистрировали максимальную магнитную проницаемость μmax, коэрцитивную силу HС(hС), остаточную индукцию Вr(br) для предельной Hmах = 60 кА/м и частных петель магнитного гистерезиса, соответствующих максимальной магнитной индукции цикла гистерезиса bmax = 0.4 Т и 0.1Т соответственно.

Степень деформации сдвига ᴧ при кручении определяли исходя из гипотезы об отсутствии искривления радиуса в поперечном сечении образца в процессе деформации [5], при этом степень деформации сдвига на поверхности образца будет равна:

ᴧ = tg φ,

где φ - угол наклона риски, напечатанной типографским способом на поверхности образца, к образующей.

Среднюю по сечению образца степень деформации сдвига определяли по формуле [5]:


где R - радиус образца;- текущий радиус, меняющийся от 0 до R.

Накопленную среднюю интегральную степень деформации сдвига ᴧсум определяли суммированием полученных степеней деформации на предыдущих этапах деформирования.

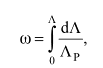
В качестве характеристики деформационных дефектов использовали параметр поврежденности ω. В соответствии с феноменологической теорией разрушения [4] поврежденность до начала процесса деформации принимается равной нулю, а к моменту разрушения образца принимает значение ω = 1.

Так как напряженное состояние в процессе деформирования не меняется, то величину поврежденности определяли по линейной модели накопления поврежденности Колмогорова [5]:


где ᴧр - степень деформации сдвига на момент разрушения.

. Зависимости магнитных свойств от степени деформации

На рис. 2-4 представлены зависимости магнитных свойств от степени деформации.

Из этих рисунков следует, что использование магнитных характеристик, измеренных в различных магнитных полях, позволяет оценивать величину пластической деформации и степень поврежденности, связанной с накоплением микродефектов.


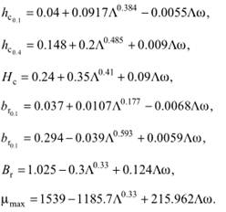
По результатам экспериментов авторами статьи [2] были получены аналитические зависимости между магнитными характеристиками и расчетной величиной поврежденности:


Исходя из графиков, следует, что с увеличением степени деформации наблюдается повышение "магнитной жесткости" образцов, поэтому значения коэрцитивной силы, остаточной индукции увеличиваются, а магнитной проницаемости - уменьшаются (рис. 2-4).

Магнитная жёсткость - физическая величина, определяющая воздействие магнитного поля на движение заряженной частицы.

Наблюдаемое явление связано с затруднением процессов намагничивания и перемагничивания. Это вызвано появлением в деформируемом образце дефектов с более высокими значениями критических полей взаимодействия доменных границ с дефектами структуры металла.



Заключение

Из изученной статьи и дополнительной литературы следует, что деформация сдвига при кручении и накапливаемая при этом поврежденность определенным образом влияют на магнитные характеристики цилиндрических образцов.

С увеличение степени деформации сдвига увеличивается коэрцитивная сила Hc (hc). При увеличении деформации с ᴧ=0 до ᴧ=1,2 коэрцитивная сила hc 0,1 увеличивается на 0,8 кА/м (с 0,5 кА/м до 1,3 кА/м), hс 0,4 увеличивается на 0,2 кА/м (с 0,18 кА/м до 0,38 кА/м), Hc увеличивается на 0,48 кА/м (с 0,24 кА/м до 0,72 кА/м).

Магнитная проницаемость μ также уменьшается с увеличением степени деформации с 1200 до 550.

На процессы перемагничивания влияют несколько факторов. Заметное изменение магнитных характеристик происходит уже при малых степенях деформации. Согласно модельным представлениям о влиянии дислокаций на процессы перемагничивания коэрцитивная сила связана с плотностью дислокаций как Нс ~.

Поэтому с увеличением плотности дислокаций на начальном этапе деформирования коэрцитивная сила будет расти.

Дальнейшее увеличение значений магнитных характеристик вызвано эволюцией дислокационной и доменной магнитной структур, связанной с образованием дислокационных стенок, являющихся эффективными местами закрепления доменных границ. Около включений и в зонах, имеющих большие значения градиентов микронапряжений, будет формироваться дисперсная структура 90°-х магнитных доменов, для которой характерны критические ноля, примерно в 1.5 раза превышающие критические поля магнитных структур со 180°-ми доменами. Причем эти зоны могут иметь достаточно большие объемы.

В результате проведенных исследований показана возможность контроля больших степеней деформации сдвига и связанной с ней поврежденности металла с использованием магнитных характеристик, измеренных на частных циклах магнитного гистерезиса. Зная параметры ᴧ и ω, можно, пользуясь соответствующими моделями механики, рассчитать остаточный ресурс долговечности детали.

Список литературы

1. Бабич В.К., Пирогов В. А. О природе изменения коэрцитивной силы при деформации отожженных углеродистых сталей // Физика металлов и металловедение. 1969. Т. 28, №3. С. 447-453;

2. Горкунов Э.С., Смирнов С.В., Задворкин С.М., Вичужанин Д.И., Митропольская С.Ю. Влияние накопленной деформации сдвига и поврежденности при кручении на магнитные характеристики стали. // Физическая мезомеханика 7. Спец. выпуск Ч. 2. 2004. С. 311-314;

3. Kersten M. Uber die Bedeutung der Versetzungsdichte fur die Theorie der Koerzitivkraft rekristallisierter Werkstoffe // Z. angew. Phys. 1956. Bd 8, №10. S. 496-502;

. Тройбле Г., Зегер А. Влияние дефектов кристаллической решетки на процессы намагниченности в ферромагнитных монокристаллах // Пластическая деформация монокристаллов / Под ред. Р. Бернер, Г. Кронмюллер. М.: Мир, 1969. С. 201-264;

5. Хоникомб Р. Пластическая деформация металлов. М.: Мир, 1972;

6. Yensen T.D., Ziegler N.A. Magnetic properties of iron as affected by carbon, oxygen and grain-size // Trans. Amer. Soc. Met. 1935. V. 23. P. 556-557.

Похожие работы на - Влияние накопленной деформации сдвига и поврежденности при кручении на магнитные характеристики стали

 

Не нашли материал для своей работы?
Поможем написать уникальную работу
Без плагиата!
Без нейросетей!