Исследование влияния частоты переменного электрического поля на яркость люминесценции различных люминофоров

  • Вид работы:
    Дипломная (ВКР)
  • Предмет:
    Физика
  • Язык:
    Русский
    ,
    Формат файла:
    MS Word
    1,25 Мб
  • Опубликовано:
    2015-07-07
Вы можете узнать стоимость помощи в написании студенческой работы.
Помощь в написании работы, которую точно примут!

Исследование влияния частоты переменного электрического поля на яркость люминесценции различных люминофоров

Содержание

Введение

. Физические явления в электролюминесцентных излучателях

.1 Безизлучательные процессы. Квантовый и энергетический выход люминесценции

.2 Способы возбуждения электролюминесценции

. Основные понятия люминесценции кристаллов

.1 Виды люминесценции

.2 Основные характеристики люминесцирующих веществ        

.3 Люминесцентные методы исследования электронных и дырочных ловушек в твёрдом теле

. Влияние внешних электрических полей и высоких гидростатических давлений на характеристики галофосфатных люминофоров

.1 Способы повышения величины и стабильности светового потока люминесцентных ламп

.2 Способы определения параметров люминесцентных ламп по характеристикам люминофоров

.3 Влияние коротковолнового ультрафиолетового излучения на стабильность светового потока люминесцентных ламп

.4 Влияние ртути на стабильность светового потока люминесцентных ламп

Охрана труда

.1 Воздействие негативных факторов на человека и способы его воздействия

.2 Обеспечение оптимальных параметров микроклимата на рабочих местах производственных помещений

Заключение

Список использованной литературы

ВВЕДЕНИЕ


В последние десятилетия развитие физики твердого тела привело к созданию новых электролюминесцентных источников света, в которых излучающими элементами являются кристаллы, находящиеся в электрическом поле. Основанные на этом явлении электролюминесцентные приборы применяются сейчас в различных областях науки и техники.

Плоские протяженные электролюминесцентные панели и миниатюрные источники света используются для светотехнических целей, фотометрии, в информационных каналах, обеспечивающих передачу информации (в том числе по волоконно-оптическим линиям связи) и ее отображение с помощью различных индикаторов и экранов. Электролюминесцентные индикаторы применяются, например, для вывода цифровых данных в ЭВМ, в электронных часах и для отображения разнообразной и быстро меняющейся информации в сложных системах управления движущимися объектами, производственными процессами и т. д.

Рассмотрены физические основы работы излучателей различного типа, их конструктивные и технологические особенности, светотехнические параметры и характеристики. Систематизированы сведения об источниках света на основе порошкообразных люминофоров, о тонкопленочных излучателях и светоизлучающих диодах. Хотя принципы действия источников света, использующих поликристаллические, пленочные и монокристаллические материалы, часто близки, различия в технологии изготовления, конструкции и характеристиках соответствующих групп приборов оказываются настолько большими, что целесообразно рассматривать их отдельно.

Люминесценция, как известно, может возбуждаться различными путями. В зависимости от способа подведения энергии к веществу различают фотолюминесценцию, возникающую при облучении вещества светом, катодолюминесценцию, появляющуюся при падении быстрых электронов на люминофор, рентгено- люминесценцию и другие виды свечения.

Электролюминесценция возникает под действием электрического поля. Энергия, необходимая для появления люминесценции, поставляется электрическим полем, которое изменяет потенциальную или кинетическую энергию электронов в твердом теле. При электролюминесценции кристаллов происходит непосредственное преобразование электрической энергии в световую энергию, причем КПД этого процесса в некоторых случаях может достигать 100% (для сравнения следует сказать, что КПД обычных ламп накаливания не превышает нескольких процентов).

Известно несколько типов процессов, приводящих к появлению люминесценции твердых тел в электрическом поле. Наиболее простым примером возбуждения может служить свечение, возникающее в р-n-переходах, включенных в прямом и обратном направлениях. В одном случае внешнее поле дает возможность электронам из n-области и дыркам из p-области сблизиться и рекомбинировать, в результате чего возникает так называемая инжекционная электролюминесценция. В другом случае неравновесные электроны и дырки (или возбужденные центры свечения) создаются сильным полем p-n-перехода, включенного в обратном направлении. Рекомбинация этих носителей приводит к излучению, которое часто называют предпробойным, так как необходимое напряжение близко к тому, при котором происходит электрический пробой перехода (резкое возрастание тока, связанное с генерацией электронно-дырочных пар вследствие лавинных или туннельных процессов).

Два основных вида электролюминесценции впервые наблюдал Лосев О. В. в 1923 г. на кристаллах карбида кремния, применявшихся в детекторных радиоприемниках. Хотя представление о p-n-переходах в то время еще отсутствовало, О. В. Лосев правильно описал наблюдавшиеся явления, связав один из видов свечения с холодным электронным разрядом в твердом теле.

Успехи в понимании различных явлений электролюминесценции были достигнуты значительно позже, после развития квантовой теории твердых тел и в результате получения и исследования р-n-переходов в различных веществах. Излучающие в видимой области спектра диоды (светодиоды) изготовить значительно труднее, чем обычные полупроводниковые диоды, применяемые в электрических схемах. Широкое использование светодиодов началось, поэтому, только в 60-х годах. Сейчас во всем мире ежегодно выпускается несколько десятков миллионов приборов, использующих электролюминесцентные излучатели, в том числе портативные калькуляторы, содержащие индикаторы на светодиодах.

Исследование электролюминесценции сульфида цинка было начато Г. Дестрио в 1936 г. Сульфид цинка в виде мелкокристаллических порошков или тонких пленок и сейчас является одним из основных материалов, которые используются при изготовлении электролюминесцентных устройств с большой площадью светящихся поверхностей.

Само явление электролюминесценции интересно тем, что находится на пересечении целого ряда разделов физики и техники, таких, как оптические и электрические свойства твердых тел, физика и химия широкозонных соединений, электроника и светотехника. С появлением электролюминесцентных излучателей связано и развитие нового направления электроники - оптоэлектроники.

В ряде случаев электролюминесцентные излучатели обладают высокой яркостью (103 кд/м2), достаточными сроком службы (104 ч) и быстродействием (1 нс). Излучатели имеют разнообразные электрические и светотехнические параметры, некоторые типы излучателей хорошо сочетаются со схемами, использующими полупроводниковые приборы. Применение излучателей вместе с фотоприемниками позволяет осуществить усиление и преобразование световых сигналов, а также электрическую изоляцию различных блоков устройств. Общая тенденция перехода от вакуумных и газоразрядных приборов к твердотельным не миновала, таким образом, и область источников света.

Актуальность проблемы заключается в том, что люминесцентные лампы обладают рядом существенных недостатков:

a)   Вольтамперная характеристика люминесцентных ламп на рабочем участке, соответствующем дуговому разряду, - падающая. Иначе говоря, проводимость лампы имеет тенденцию к постоянному росту. Если не принять мер по ограничению тока, лампа разрушится. Поэтому необходимо включать последовательно с лампой сопротивление, падение напряжения на котором позволяет стабилизировать ток лампы. Такое сопротивление называется балластным. Балластное сопротивление может быть любым. Однако использование активного балласта приведёт к большим потерям мощности и энергии. Ёмкость, включённая последовательно с лампой, вследствие постоянного перезаряда исказит характер тока через лампу и при частоте 50 Гц вызовет снижение светового потока. Как правило, в схемах зажигания РЛ используется индуктивный балласт - дроссель.

b)      Необходимость повышения коэффициента мощности, который при применении индуктивного балласта снижается до 0,3…0,6. Для этого используется либо местная (отдельной лампы), либо групповая компенсация cos φ путём установки конденсаторов.)         Напряжение зажигания люминесцентной лампы больше напряжения сети, что требует создания схем, обеспечивающих условия зажигания.)  Пульсация светового потока лампы требует применения схем, сдвигающих по фазе ток в соседних лампах или увеличивающих частоту питающего напряжения.

Поэтому, исходя из вышеизложенного, необходимо проанализировать изменение пульсации светового потока на увеличение частоты питающей сети, а также обратную зависимость, то есть изменение частоты переменного электрического поля на яркость люминесценции различных люминофоров.

Цель исследования: проанализировать зависимость частоты переменного электрического поля на яркость люминесценции различных люминофоров.

Задачи исследования: определить способность люминофоров изменять уровень яркости свечения в зависимости от частоты питающей сети.

Объект исследования: люминофоры ЛГ-34, ЛГ-1, ЛГ-1К.

Предмет исследования: изменение яркости свечения люминофоров ЛГ-34, ЛГ-1, ЛГ-1К в зависимости от частоты питающей сети.

Методы исследования: анализ различных конструкций, исследование преимуществ и недостатков различных систем синтеза кристаллофосфоров, исследование стабильности светового потока люминесцентных ламп.

1. Физические явления в электролюминесцентных излучателях


Большинство электролюминесцирующих веществ относится к классу так называемых кристаллофосфоров, в которых процессы возбуждения и свечения могут затрагивать не только отдельные центры свечения (атомы примеси или другие точечные дефекты и их комплексы), но и кристалл в целом [14, 15]. В самом общем виде процессы изменения энергии электронов в кристалле удобно рассматривать с помощью схемы энергетических состояний электронов.

На рисунке 1.1 приведена часть энергетической схемы кристалла, являющегося диэлектриком или полупроводником.

Рисунок 1.1 Схема основных электронных переходов: ЗП - зона проводимости; ВЗ - валентная зона

Верхняя зона возможных энергий электронов является самой нижней из серии зон, которые при обычных температурах практически не заполнены электронами (зона проводимости), нижняя - ближайшая из заполненных электронами зон энергии (валентная зона). Переход, отмеченный стрелкой 1, соответствует поглощению энергии. При этом в зоне проводимости появляется электрон, а в валентной зоне - пустой уровень (дырка). Переход 2 описывает ионизацию примеси, имеющей локальный уровень в запрещенной зоне. Обратные переходы (рекомбинация электрона и дырки) сопровождаются выделением энергии в виде света и тепла. Подобные переходы (4-9) также могут происходить через уровни примеси или непосредственно из зоны в зону.

Многие люминофоры являются компенсированными полупроводниками, т. е. содержат почти в равных количествах как донорные, так и акцепторные примеси. Часть электронов, поставляемых донорами (D), располагается в этом случае на уровнях акцепторов (A). Поскольку доноры и акцепторы оказываются теперь заряженными, они могут объединяться во время приготовления люминофора в донорно-акцепторные пары, и переходы, сопровождающиеся излучением, могут происходить внутри таких пар. Эффективной рекомбинации через донорно-акцепторные пары способствует то, что электроны из зоны проводимости с большей вероятностью захватываются положительно заряженными донорами, а дырки из валентной зоны - отрицательно заряженными акцепторами (переходы 7-9 на рисунке 1.1). В некоторых случаях как основной, так и возбужденный уровень примесного центра попадают в запрещенную зону, и процессы поглощения энергии и излучения могут происходить в пределах этого центра (внутрицентровая люминесценция - переход 12 на рис. 1.1).

Помимо излучательных рекомбинаций, происходящих с участием донорно-акцепторных пар и одиночных примесных уровней, значительной вероятностью могут обладать рекомбинации через экситонные состояния (13 на рисунке 1.1). Подобные состояния образуются в запрещенной зоне и принадлежат водородоподобной системе слабосвязанных электронов и дырок. Экситоны могут, как возбуждаться непосредственно, так и возникать из свободных электронов и дырок. Свободные или связанные с различными центрами экситоны играют особенно существенную роль в излучении кристаллов при низких температурах и высоких плотностях возбуждения.

Рисунок 1.2 Прямые (а, b) и непрямые (с, d) переходы электронов, соответствующие переходам 6 и 15 на рис. 1.1: E - энергия; К-квазиимпульс (волновой вектор) электрона; I, II - зоны проводимости для прямозонного (I) и непрямозонного (II) материалов; III - валентная зона

В ряде случаев необходимо знать не только изменение энергии электронов Е (как на рис. 1.1), но и изменение их квазиимпульса К. На рис. 1.2 изображена зависимость Е (К) для электронов в зоне проводимости (1, 2) и дырок в валентной зоне (3). Сплошные линии (1, 3) соответствуют «прямозонному» материалу, у которого основной минимум в зоне проводимости располагается при том же значении К, что и максимум в валентной зоне. Штриховая линия II относится к «непрямозонному» материалу.

Межзонные переходы а, b, с соответствуют переходам типа 6 на рисунке 1.1 (переход а отвечает рекомбинации быстрых электрона и дырки). Прямые переходы а и b происходят без изменения импульса электрона и сопровождаются излучением квантов света (импульс фотона столь мал, что соответствующим изменением импульса электрона можно пренебречь).

Непрямые излучательные переходы с происходят с изменением импульса, и закон сохранения импульса требует участия в процессе еще одной частицы (фонона). Внутризонный переход d является непрямым, соответствует переходу 15 на рис. 1.1 и также может сопровождаться излучением. Такого Же типа переходы возможны и в валентной зоне. Примером материала с прямыми зонами может служить арсенид галлия (ширина запрещенной зоны Д.Е|ж1,4 эВ), а материала с непрямыми зонами фосфид галлия (A£'i«2,8 эВ, Д£,2^2,3 эВ). Скорость межзонной рекомбинации (число рекомбинаций в единице объема за единицу времени) прямо пропорциональна произведению концентрации электронов («) и дырок (р) и у непрямозонных материалов на несколько порядков ниже, чем у прямозонных (при тех же л и р).

У непрямозонных полупроводников эффективная излучательная рекомбинация может наблюдаться только с участием примесных центров («центров свечения»), которые воспринимают разницу импульсов электрона до и после перехода. Рекомбинация на уровнях примесей (переходы типа 4 на рис. 1.1) широко используется и в прямозонных материалах, например, в сульфиде цинка (АЕ = 3,7 эВ). Варьирование примесей позволяет получить излучение в видимой области спектра с различной энергией квантов, например рекомбинация на уровнях примесной меди в ZnS сопровождается излучением зеленого света (hυ = 2,5 эВ).

Типичный процесс рекомбинации с участием примеси происходит следующим образом. После межзонного возбуждения (переход 1 на рис. 1.1) дырка заполняется электроном, находившимся на уровне центра свечения (переход 5), далее на свободный уровень примеси падает электрон из зоны проводимости (переход 4). Для того чтобы процесс рекомбинации был термически устойчивым, уровни центров свечения должны быть достаточно удалены от краев обеих зон (т. е. переходы типа 2 и 3 под действием тепла должны быть маловероятны). Напротив, могут существовать мелкие уровни (ловушки Л на рис. 1.1), которые обмениваются носителями преимущественно с ближайшей зоной (переходы 10 на рис, 1.1: переход 11 имеет малую вероятность). Подобные уровни могут служить источником электронов при люминесценции, возбуждаемой сильным полем.

1.1 Безизлучательные процессы. Квантовый и энергетический выход люминесценции

галофосфатный люминесценция кристалл квантовый

В большинстве случаев в люминофорах существует несколько каналов рекомбинации через различные локальные уровни. При этом некоторые переходы могут происходить без излучения (рекомбинация через так называемые центры тушения). Если даже переходы с излучением света при низкой температуре преобладают, то при повышении температуры роль безизлучательных переходов обычно сильно возрастает. В наиболее простом случае причиной подобного температурного тушения люминесценции может быть заброс электронов из валентной зоны на уровни центров свечения (переход 3 на рисунке 1.1), приводящий к уменьшению числа рекомбинаций на этих центрах и, следовательно, к увеличению потока рекомбинаций через центры тушения (внешнее тушение). Помимо этого, с повышением температуры возможно увеличение вероятности безизлучательных переходов внутри самого центра свечения (внутреннее тушение). В этом случае электрон может переходить с возбужденного уровня на основной без излучения кванта света.

На рис. 1.3 изображена схема расположенных в запрещенной зоне кристалла уровней иона примеси при различных значениях конфигурационной координаты г, которая отражает расстояние данного иона от окружающих его ионов решетки. Изменение r вследствие тепловых колебаний влияет на положение энергетических уровней иона - центра свечения.

Рисунок 1.3 Энергия основного (I) и возбужденного (2) состояний иона примеси в зависимости от координаты r (Ет - энергия активации тушения люминесценции)

После перехода АВ на возбужденный уровень электрон может вернуться на основной не только путем перехода CD, сопровождающегося излучением фотона, но и путем перехода через точку F с последующим спуском FA, при котором происходит уменьшение энергии электрона из-за создания множества фотонов (квантов колебательной энергии кристаллической решетки).

Таким образом, энергия, полученная ионом при высокой температуре, может полностью превратиться в тепло.

Как при внешнем, так и при внутреннем тушении температурная зависимость яркости фотолюминесценции обычно хорошо описывается формулой:

                                                         (1.1)

В формуле L - яркость при данной температуре T (L0 - яркость при Т = 0); с - постоянная величина при данной интенсивности возбуждения, а Ет - энергия активации тушения, имеющая различный смысл в двух схемах тушения. При тушении вследствие переходов 3 на рис. 1.1 Ет соответствует энергетическому расстоянию уровней центров свечения от верхней границы валентной зоны.

При внутрицентровом тушении величина Ет имеет смысл энергетического расстояния от минимума энергии возбужденного состояния центра свечения до энергии, при которой электрон из возбужденного состояния может перейти в основное без изменения энергии (точка F на рис. 1.3). Примеси, обладающие малой энергией Ет, могут действовать и как центры внешнего тушения, которым передается энергия возбужденных центров свечения. По мере роста числа центров свечения вероятность подобных процессов будет увеличиваться (концентрационное тушение люминесценции).

Еще одной возможностью уменьшения энергии электронов без излучения является последовательный переход по ступенькам близких энергетических состояний, расположенных, например, на поверхности кристалла в запрещенной зоне. Наконец, если при переходах 4 и 6 (рис. 1.1) энергия одного электрона передается другому в зоне проводимости, то последний попадает в верхние слои этой зоны (переход 14) и далее опускается на ее дно, причем его энергия также переходит преимущественно в энергию тепловых колебаний. Вероятность подобных же процессов будет возрастать вместе с увеличением концентрации свободных носителей [7, 14]. Такие же процессы возможны и в валентной зоне (переход 16).

Важной характеристикой, отражающей процесс превращения поглощенной в кристалле энергии в излучение, является квантовый выход люминесценции r|k - число фотонов, приходящихся на каждый поглощенный квант света (при фотолюминесценции) или на каждый электрон, прошедший через кристалл (при электролюминесценции). Квантовый выход свечения можно представить, как произведение квантового выхода процесса возбуждения (числа неравновесных пар электрон-дырка N или возбужденных центров свечения N, появляющихся при прохождении одного носителя заряда через кристалл) и квантового выхода процесса излучения (числа испущенных квантов света, приходящихся на одну электронно-дырочную пару или возбужденный центр свечения).

При электролюминесценции N либо равно 1 (инжекционная электролюминесценция), либо меньше 1 (предпробойная люминесценция, возбуждаемая ускоренными электронами). Особенность электролюминесценции состоит в том, что люминофор является частью электрической цепи, и созданные полем электроны и дырки могут выходить из люминофора или его люминесцирующей части в металлический электрод или другой неизлучающий материал. Следовательно, при оценке выхода люминесценции необходимо учесть, что только доля у общего числа рекомбинаций происходит в пределах излучающей части системы (где, в свою очередь, доля излучательных рекомбинаций равна Р), и квантовый выход люминесценции . Величина у может изменяться от 1 до очень малого значения. Если, например, ионизация идет у самой поверхности кристалла, обращенной к металлическому катоду, то у может составлять всего 10~5, так как большинство дырок уносится полем в металл и не участвует в излучении видимого света. Величина Р зависит от концентрации центров свечения и тушения, вероятности захвата дырок этими центрами и условий возбуждения. С повышением температуры доля излучательных рекомбинаций Р уменьшается примерно так же, как яркость L при фотолюминесценции (1.1).

При электролюминесценции, возникающей только из-за возбуждения центров свечения ускоренными электронами, излучение происходит в пределах этих центров, γ=1, причем N1 может иметь малое значение, если одновременно с возбуждением сравнительно небольшого числа центров свечения происходит более интенсивный процесс ионизации атомов основного вещества, определяющий ток через кристалл. По мере роста концентрации центров свечения N1 увеличивается и может приближаться к единице (или даже превысить ее), если ионизационные процессы играют малую роль. На величину Pi влияет как присутствие внутрицентрового тушения, так и возможность передачи энергии возбуждения другим центрам.

Квантовый выход, о котором шла речь до сих пор, описывает первоначально появившееся излучение и не учитывает возможности поглощения этого излучения в самом устройстве (внутренний квантовый выход). Между тем области кристалла, излучающие свет, находятся иногда достаточно глубоко под поверхностью, и доля поглощенного света в системе кристалл - электроды оказывается значительной. В связи с этим часто характеризуют излучатель внешним квантовым выходом, который связан только с вышедшим из устройства и непосредственно измеренным излучением. Внешний квантовый выход отличается от внутреннего множителем К0, который учитывает оптические потери, связанные с отражением и поглощением света, и может быть значительно меньше единицы.

Энергетический выход люминесценции (отношение энергии, излученной в виде света, к затраченной) равен () и меньше квантового, так как средняя энергия излучаемых квантов hυ обычно меньше энергии , сообщаемой полем каждому носителю заряда, прошедшему через кристалл.

В общем случае при определении энергетического выхода следует учитывать ширину полосы люминесценции и определять его с помощью выражения:

                                                                    (1.2)

в котором Ф - поток излучения; W - потребляемая мощность; φ(λ)-спектральная плотность потока излучения; λ-длина волны (интегрирование ведется во всем спектре излучения).

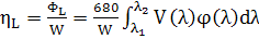
Еще одна важная характеристика источников света - световая отдача - определяется с учетом чувствительности глаза к свету разных К и равна:

                                                        (1.3)

Где ФL - световой поток, лм; V(λ) -относительная спектральная световая эффективность, изменяющаяся от 0 на краях видимого участка спектра до 1 при λ = 555 нм [16].

Для приблизительной оценки световой отдачи, лм/Вт, при квазимонохроматическом излучении можно считать, что V(λ) = const, и тогда:

                                                                               (1.4)

Для более точных подсчетов следует пользоваться графиками V(λ) или ее табличными значениями [17].

1.2 Способы возбуждения электролюминесценции


Возможен целый ряд процессов, которые приводят к появлению люминесценции кристаллов в электрическом поле. Все переходы электронов, направленные вверх на рис. 1.1, могут происходить под действием поля. Соответственно обратные переходы могут происходить с излучением фотонов большей или меньшей энергии.

В наиболее характерных случаях, когда излучение связано с межзонными переходами или переходами, происходящими с участием локальных уровней центров свечения, поле должно способствовать появлению либо непосредственно возбужденных состояний центров свечения, либо дополнительных, неравновесных носителей заряда в зонах разрешенных энергий. Последующий захват этих носителей центрами свечения также приведет к их возбуждению. Дополнительная концентрация неосновных носителей в люминесцирующем кристалле может, быть получена двумя путями: под действием сильного поля в самом кристалле или в результате пространственного перераспределения под влиянием поля носителей, уже имеющихся в твердом теле (в системе кристалл - электроды).

Эти два основных способа возбуждения электролюминесценции осуществляются, например, в р-n-переходах, включенных в прямом и обратном направлениях (рис. 1.4). Если переход включен в прямом направлении (U> 0), то через него идет большой ток I, связанный с инжекцией электронов и дырок в прилегающие области с противоположным типом проводимости. При этом внешнее поле уменьшает контактное поле перехода, т. е. инжекция протекает в условиях сравнительно слабого электрического поля. Неосновные носители имеют энергию, превышающую на АЕ энергию основных. Если ДЕ (ширина запрещенной зоны материалов) больше 1,8 эВ, то последующая рекомбинация носителей может привести к излучению в видимой области спектра. Излучение L начинается при небольших напряжениях и быстро растет с увеличением напряжения (рис. 1.4). При этом виде электролюминесценции, которая обычно называется инжекционной, внешнее электрическое поле увеличивает потенциальную энергию носителей зарядов противоположных знаков и создает условия для их сближения и рекомбинации.

Если переход включен в обратном направлении (U<0), то при достаточно большой напряженности поля в p-n-переходе (105-106 В/см) начинается быстрый рост обратного тока, связанный с увеличением концентрации носителей под действием туннельных или ударных процессов (электрический пробой перехода). Одновременно возникает излучение, связанное с рекомбинацией неравновесных носителей и другими процессами (рис. 1.4).

При ударных процессах поле увеличивает кинетическую энергию электронов, которые далее способны создавать электронно-дырочные пары или же непосредственно ионизовать или возбуждать центры свечения. Возможны и внутризонные переходы (15 и 16 на рис. 1.1), сопровождающиеся излучением.

Рисунок 1.4 Излучение диода, включенного в прямом и обратном направлениях

В зависимости от конкретных условий может преобладать тот или иной механизм излучения. Сильное поле и предпробойная люминесценция могут осуществляться не только в р-n-переходах, выращенных в одном материале, но и в гетеропереходах и поверхностных барьерах. При этом кристалл может быть изолирован от одного или обоих электродов, а возбуждающее напряжение может быть переменным.

Кроме двух основных существует ряд других процессов возбуждения электролюминесценции, например: инжекция дырок в люминофор из металла, одновременная инжекция в люминофор электронов и дырок из электродов [5] или инжекция электронов в материал, в котором они оказываются «горячими» и, опускаясь на лежащие ниже свободные уровни зоны проводимости, могут излучать. Возможно возбуждение излучения в узких областях сильного поля, перемещающихся по кристаллу (так называемых доменах, которые движутся в сульфиде цинка со скоростью звука [14, 18]), а также возбуждение по всему объему однородных кристаллов [19]. Эти процессы имеют малый энергетический выход и в излучателях не используются.

Электролюминесцирующие кристаллы обычно неоднородны в отношении электрических и оптических свойств. Возбуждение люминесценции происходит в местах повышенной напряженности поля, т. е. там, где расположены потенциальные барьеры, образующиеся на границах областей с различными электрическими характеристиками или у поверхности кристаллов. Напряженность поля в тонких барьерных слоях высокого сопротивления, на которых падает почти все внешнее напряжение, может быть на несколько порядков выше, чем напряженность поля в остальных частях кристалла. Тем не менее свойства толщи кристалла со слабым полем также влияют на условия возбуждения электролюминесценции. В частности, распределение напряжения по кристаллу зависит как от свойств области слабого поля, так и от интенсивности ионизации в области сильного поля. Характеристики свечения кристаллов, изолированных от электродов, особенно сложны, так как, кроме усложнения эквивалентной электрической схемы всего устройства, в этом случае добавляется влияние поляризации кристалла, которая приводит к неравномерному по времени возбуждению. В целом свойства электролюминесценции определяются значительно большим числом факторов, чем свойства других видов люминесценции тех же веществ.

2. Основные понятия люминесценции кристаллов


Известны следующие виды свечения вещества: температурное излучение, люминесценция, отражение и рассеяние света, излучение Черенкова.

Люминесценцией называют избыточное свечение над температурным излучением тела, если длительность этого свечения превышает длительность световых колебаний.

Многие люминесцирующие вещества дают видимое или ультрафиолетовое излучение при комнатной температуре, когда температурное излучение отсутствует.

Такие виды излучения как излучение Черенкова, отражение и рассеяние света чрезвычайно кратковременны и прекращаются вместе с прекращением возбуждения. Длительность этих процессов определяется периодом световых колебаний, т.е. меньше 10-10 с. Люминесценция в результате задержки вещества в возбужденном состоянии обладает определенной длительностью, которая изменяется от 10-10 с до 106 с.

Люминесцировать могут твёрдые, жидкие и газообразные вещества. Однако во всех случаях происходят следующие процессы:

-    Поглощение возбуждающей энергии и переход тела в неравновесное состояние;

-       Преобразование энергии возбуждения внутри тела;

-       Испускание света и переход тела в равновесное состояние.

Кристаллофосфоры или просто фосфоры представляют собой неорганические кристаллические вещества, в которые при кристаллизации введены примеси в виде ионов или атомов посторонних элементов. Люминесценция, вызванная такими нарушениями, получила название активированной, а активирующие примеси - активаторов. Активаторы вместе с деформированными ими местами основной решётки образуют центры люминесценции этих веществ.

В случае люминесценции кристаллов энергия возбуждения мигрирует от места поглощения к месту испускания, и в процессе люминесценции принимает участие весь кристалл.

2.1 Виды люминесценции


По способу возбуждения люминесценцию можно классифицировать следующим образом:

-    Фотолюминесценция, когда возбуждение осуществляется ультрафиолетовым, видимым или инфракрасным излучением;

-       Рентгенолюминесценция-при возбуждении рентгеновскими лучами;

-       Катодолюминесценция, когда свечение возникает при облучении люминесцирующего вещества ускоренными в электрическом поле электронами;

-       Радиолюминесценция-при возбуждении радиоактивным излучением;

-       Электролюминесценция возникает при воздействии на люминесцирующее вещество электрического поля;

-       Хемилюминесценция, когда свечение возникает за счёт энергии, освобождаемой в люминесцирующем веществе при химических реакциях;

-       Биолюминесценция-это хемилюминесценция в живых организмах;

-       Триболюминесценция, когда возбуждение возникает при раздроблении вещества.

По длительности свечения люминесценцию можно разделить на два вида:

-    Флуоресценция, когда свечение исчезает практически сразу после прекращения возбуждения;

-       Фосфоресценция, когда свечение наблюдается в течение длительного времени после прекращения возбуждения.

Условно свечение с длительностью 10-8 с 10-10 с можно отнести к флуоресценции, а с длительностью порядка 1 с к фосфоресценции.

По механизму свечения люминесценцию можно разделить на три класса.

-  Спонтанная люминесценция, когда возбуждённый атом, ион или молекула возвращаются в основное состояние самостоятельно, спонтанно под действием внутренних полей системы. Такой переход сопровождается испусканием кванта света и не зависит от внешних условий.

-       Метастабильная или триплетная люминесценция, когда после возбуждения электрон центра свечения оказывается на метастабильном уровне, который называется ловушкой. Переход с этого уровня в основное состояние запрещён. Для возникновения люминесценции электрон необходимо вывести из метастабильного состояния тепловой или световой энергией. Энергия активации этого процесса называется глубиной ловушки. Оба рассмотренных типа люминесценции являются внутрицентровым свечением или свечением дискретных центров.

-       Рекомбинационное свечение - это такое свечение, при котором в процессе возбуждения происходит ионизация центра свечения. Излучение появляется только после рекомбинации ионизованного центра свечения со свободным электроном. Рекомбинационное свечение наблюдается в газах и кристаллофосфорах.

2.2 Основные характеристики люминесцирующих веществ


Важнейшими характеристиками вещества при фотолюминесценции являются: спектры поглощения, возбуждения, излучения, яркость или интенсивность свечения, выход свечения, длительность послесвечения, степень поляризации.

Спектры поглощения и отражения.

Спектром поглощения вещества называется зависимость коэффициента поглощения от длины волны падающего излучения.

Спектр поглощения можно измерить для монокристаллов, жидкостей, газов. В случае порошкообразных, поликристаллических веществ обычно измеряется спектральный ход коэффициента отражения. В этом случае коэффициент отражения будет иметь следующий вид:

                                                                               (2.1)

Рисунок 2.1 Спектр отражения люминофора галофосфата кальция, активированного сурьмой и марганцем, типа ФЛ-580-3500-2

Спектры поглощения дают сведения о поглощающих центрах вещества. Поглощение может быть активным, т.е. приводящим к свечению вещества, и неактивным, т.е. не сопровождающимся свечением. Поглощённая энергия переходит в последнем случае в тепло или другие формы энергии.

Спектры возбуждения.

Границы активного поглощения можно определить с помощью спектров возбуждения.

Спектром возбуждения называется зависимость интенсивности люминесценции (Iлюм), приходящейся на единицу падающей энергии (Е0), от длины волны падающего излучения (λ):

                                                                                     (2.2)

Рисунок 2.2 Спектр возбуждения люминофора галофосфата кальция, активированного сурьмой и марганцем, типа ФЛ-580-3500-2

Спектры излучения люминесценции.

Спектром излучения называется функция распределения излучаемой веществом энергии по длинам волн. На практике интенсивность излучения часто измеряют в относительных единицах.

Согласно правилу Стокса-Ломмеля, максимум спектра излучения смещён по отношению к максимуму спектра поглощения в сторону длинных волн. Это обусловлено тем, что часть поглощённой энергии рассеивается в решётке люминофора, переходя в тепло, так называемые стоксовские потери. Особое место занимают «антистоксовы» люминофоры, которые при возбуждении в инфракрасной области спектра излучают в видимой области.

Спектр излучения газов состоит из узких линий. У люминофоров с активаторами из редкоземельных металлов спектры люминесценции состоят из характерных узких полос. Спектры излучения жидкостей и твёрдых тел чаще всего имеют широкие полосы. Расширение полосы обусловлено воздействием ионов основной решётки на энергетическое состояние ионов активатора.

Спектр излучения люминофоров зависит от химической природы активатора и основы люминофора, их взаимодействия, а в случае люминофора с несколькими активаторами и от взаимодействия активаторов между собой. Спектры люминесценции центров свечения одного сорта имеют форму близкую к гауссовой. Одновременное присутствие многих центров свечения существенно усложняет спектр люминесценции.

Спектры излучения могут зависеть от интенсивности и длины волны возбуждающего излучения, а также от температуры. Зависимость спектра излучения от температуры для многополосных люминофоров объясняется температурным тушением люминесценции, которое различно для разных полос. Путём исследования спектров поглощения и излучения можно установить структуру энергетических уровней поглощающих и излучающих центров и влияние окружающей среды.

Яркость и интенсивность люминесценции.

Яркостью люминесценции называется поверхностная плотность света в заданном направлении. Она равна отношению силы света (I) в выбранном направлении к проекции светящейся поверхности (S) на плоскость, перпендикулярную к этому направлению:

                                                                                    (2.3)

где φ - угол между перпендикуляром к светящейся поверхности и направлением силы света.

Яркость свечения измеряется в нитах (нт = кд/м2).

Интенсивность люминесценции есть поток излучения с единицы поверхности (S) люминесцирующего вещества в единицу времени (t):

                                                                                        (2.4)

Выход люминесценции.

Выход люминесценции характеризует эффективность или коэффициент полезного действия люминесцирующего вещества. Используются понятия энергетического и квантового выхода.

Энергетический выход определяется как отношение энергии полного потока люминесценции (Елюм) к количеству поглощенной в люминофоре возбуждающей энергии (Епогл):

                                                                                      (2.5)

Понятие квантового выхода используется только в случае оптического возбуждения. Квантовый выход есть отношение полного числа испущенных квантов люминесценции (Nлюм) к числу поглощённых квантов (Nпогл) возбуждающего излучения в единицу времени:

                                                                                      (2.6)

Поляризация люминесценции.

Люминесценция газов, жидкостей и кристаллов поляризована. Поляризованной люминесценцией называется свечение, у которого амплитуды колебаний светового вектора по двум взаимно перпендикулярным направлениям и перпендикулярным к направлению распространения лучей неодинаковы.

Степень поляризации есть отношение максимальной разности взаимно перпендикулярно поляризованных световых потоков, заменяющих световой поток люминесценции, к величине полного потока люминесценции:

Длительность свечения.

Остановимся на понятиях мономолекулярной и бимолекулярной люминесценции.

Мономолекулярная люминесценция есть такое свечение, при котором испускание светового кванта происходит в том же центре, где происходит поглощение возбуждающего кванта. Интенсивность свечения (I) дискретных центров затухает по экспоненциальному закону:

                                                                                    (2.7)

Где I0 - начальная интенсивность свечения при t = 0; p - вероятность возвращения электрона на основной уровень; t-время.

В процессах с экспоненциальным законом затухания длительностью свечения называют среднюю длительность возбуждённого состояния молекул или время, в течение которого яркость свечения убывает в е раз.

Среднее время жизни возбуждённого состояния:

                                                                                               (2.8)

В этом случае интенсивность люминесценции:

                                                                                        (2.9)

В полулогарифмических координатах зависимость интенсивности мономолекулярного свечения от времени описывается прямой. Наклон этой прямой пропорционален р.

Бимолекулярная люминесценция - это свечение, при котором любой из ионизованных центров свечения может рекомбинировать с любым из свободных электронов, попавших в сферу действия центров свечения.

Закон затухания рекомбинационной люминесценции выражается уравнением гиперболы второго порядка:

                                                                                    (2.10)

Где n0 - начальное число возбуждённых центров свечения при t = 0.

Послесвечение бимолекулярного характера описывается прямой в двойных логарифмических координатах.

Световая сумма.

После включения возбуждающего света интенсивность люминесценции растёт до своего максимального равновесного значения не моментально, а в течение определённого промежутка времени. За это время происходит запасание в люминофоре определённого количества энергии, которая после прекращения возбуждения во время послесвечения освобождается в виде светового излучения люминофора. Эта энергия называется световой суммой люминофора. Различают световую сумму разгорания LP и световую сумму затухания L3 (рисунок 4В).

Рисунок 2.3 Схематические кривые разгорания и затухания люминофора. Заштрихованные площади - меры световых сумм Lp и Lj, определяемых по кривым разгорания и затухания

2.3 Люминесцентные методы исследования электронных и дырочных ловушек в твёрдом теле


Кинетика фосфоресценции зависит от большого числа параметров и, кроме того, она не линейна. Кинетическими параметрами кристаллофосфора являются вероятности ионизации центров свечения и высвобождения локализованных зарядов, эффективные сечения рекомбинации и захвата свободных зарядов. Концентрационные параметры - это концентрации разделённых зарядов, концентрации центров свечения и захвата, к внутренним параметрам центра рекомбинации относятся длительность возбуждённого состояния, вероятность внутреннего тушения и т.д.

Существует несколько методов исследования ловушечных центров, которые условно можно разделить на оптические и электрические. К оптическим можно отнести люминесцентные методы: метод термического высвечивания, термического обесцвечивания, оптической вспышки и метод оптического поглощения. К электрическим методам можно отнести измерение фотопроводимости, температурной зависимости электропроводности, методы электропоглощения и электронного парамагнитного резонанса (ЭПР).

Метод термического высвечивания является одним из самых эффективных методов исследования кинетики фосфоресценции. Преимущество этого метода состоит в его большой чувствительности, наглядности полученных результатов и относительной простоте эксперимента. При снятии кривых термовысвечивания (КТВ) фосфор возбуждается при низкой температуре, при которой электроны не освобождаются с исследуемых ловушек. Затем фосфор нагревается с постоянной скоростью. При этом ловушки начинают опустошаться и рекомбинировать с центрами свечения. Если имеются ловушки только одной глубины, то интенсивность термолюминесценции (I) начинает увеличиваться с ростом температуры (Т), проходит через максимум при Tm и затем снова падает до нуля, когда ловушки опустошаются. При наличии в фосфоре группы ловушек разной глубины число наблюдаемых максимумов равно числу групп. Постепенное нарастание и падение яркости свечения при нагревании есть следствие двух конкурирующих процессов - быстрого роста вероятности высвобождения локализованных электронов с ростом температуры и быстрого в связи с этим опустошения ловушек.

Кинетика термолюминесценции кристаллофосфора также рассматривает два крайних случая. Первый случай, когда вероятность повторной локализации электрона (δ1) много меньше вероятности рекомбинации свободных электронов с ионизованными центрами люминесценции:

                                                                                           (2.11)

Где β - коэффициент рекомбинации свободных электронов с ионизованными центрами люминесценции, n - число ионизованных центров люминесценции, равное числу локализованных электронов.

Это случай мономолекулярной люминесценции, где:

                                                                           (2.12)

Тогда:

                                                              (2.13)

При бимолекулярной люминесценции, когда:

                                                                                           (2.14)

Интенсивность люминесценции:

                                                                             (2.15)

Тогда:

                                                            (2.16)

В обоих случаях - или - линейно зависят от . Здесь -интенсивность термолюминесценции при данной температуре, а величина  - невысвеченная световая сумма или количество ионизованных центров свечения. Она определяется величиной площади под кривой термовысвечивания.

Это один из методов определения глубины ловушки методом термовысвечивания. По наклону прямой можно определить , а отсюда и ε.

Для определения глубины ловушки Урбахом были выведены формулы через некоторые геометрические параметры исследуемых кривых.

В линейном случае:

                                                                                      (2.17)

В квадратичном случае:

                                                                                    (2.18)

Здесь Im - интенсивность в максимуме пика термовысвечивания, Тm - температура в максимуме пика термовысвечивания, Lm - оставшаяся светосумма, равная площади под кривой термовысвечивания справа от Тm.

Кривые термовысвечивания снимаются при небольших скоростях нагрева 0,01 К/с с целью равномерного прогрева люминофорного слоя. Этот метод применим только для электронных ловушек.

Его нельзя использовать при наличии сильного внутреннего или внешнего тушения, а также для набора ловушек, которые мало различаются по глубине.

3. Влияние внешних электрических полей и высоких гидростатических давлений на характеристики галофосфатных люминофоров


В работе [2] показано, что внешнее постоянное электрическое поле влияет на подвижность точечных дефектов в галофосфате кальция, активированном сурьмой и марганцем. Движение отдельных вакансий и межузельных атомов вдоль направлений главной оси симметрии кристалла может приводить к образованию сложных дефектов. Располагаясь в непосредственной близости от активаторов марганца или сурьмы (в положении СаII в решётке апатита), эти дефекты существенно изменяют оптические свойства люминофора. Это прежде всего проявляется в образовании тех или иных каналов рассеяния возбуждающей ультрафиолетовой радиации, а также в формировании определённого типа электрического и электронного возбуждения между собственными и примесными дефектами. Такая частичная перестройка дефектной структуры в конечном итоге не может не сказаться и на эксплуатационных свойствах люминофора.

Нахождение способов снижения концентрации до радиационных дефектов или такая их перестройка, которая привела бы к уменьшению потерь возбуждающей радиации, - одно из направлений поисков улучшения эксплуатационных параметров люминофоров. Для реализации этих предположений в работе [2] исследовались промышленные образцы галофосфатного люминофора, имеющие концентрацию ионов сурьмы и марганца, соответственно, 1,0 и 1,2 масс. %. Люминофор, нанесённый на стеклянную колбу, подвергался обработке в постоянных электрических полях на промышленной установке ВУП-2К. Напряжённость электрического поля изменялась в пределах от 102 до 103 В/см. Затем по стандартной технологии изготавливались лампы мощностью 4 Вт. На рис показано изменение светового потока ламп с образцами люминофоров, обработанных в электрических полях в течение одного и четырёх часов, а также исходного люминофора. Время выдержки люминофоров в электрических полях в интервале от одного до четырёх часов существенной роли не играет, а выдержка меньше одного часа и больше четырёх часов приводит к резкому уменьшению светового потока.

Как видно из рис, спад светового потока ламп с обработанным люминофором через 1100 ч горения в среднем составляет 30 лм или 25,4 %. Световой поток ламп с необработанным люминофором через 1100 ч уменьшается по сравнению с начальным на 40 %. Наблюдается небольшое (2 + 3 %) начальное снижение светового потока для люминесцентных ламп с обработанным люминофором, однако выигрыш от повышения стабильности этого параметра значительно перекрывает начальное снижение. Для повышения эксплуатационной стабильности люминофоров, по мнению авторов работы [2], можно использовать достаточно простой в технологическом отношении способ воздействия внешних постоянных электрических полей. Изменение в результате этого оптических свойств можно объяснить с помощью представления об особенностях дефектной структуры галофосфатных люминофоров. Это относится прежде всего к образованию из вакансий фтора и ионов кислорода сложных комплексов типа (ОfVfVf)+. Структурные дефекты могут превращаться в центры окраски при воздействии на люминофор коротковолновой компоненты ультрафиолетового излучения. Глубина ловушек, которые образуют дефекты в запрещённой зоне люминофора, будет неодинакова. Энергия активации центров (VF)°, (OF)- и (ОfVfVf)+ соответственно составляет 0,91; 0,36 и 0,30 эВ. Тогда можно предположить, что стабильность люминофоров, обработанных в электрических полях, когда создаётся высокая концентрация преимущественно дефектов типа (ОfVfVf)+, определяется относительно малой вероятностью заполнения мелких ловушек по сравнению с глубокими, что приводит к уменьшению потерь энергии возбуждения ультрафиолетовой радиации на создание центров окраски.

Рисунок 3.1 Изменение светового потока ламп в зависимости от времени обработки ГФК, активированного сурьмой и марганцем, во внешних электрических полях при испытании на продолжительность горения

Особенности кристаллической решётки апатита (относительно лёгкое скольжение ионов галогенов вдоль осей симметрии шестого порядка) позволяют предположить, что изменение структурных конфигураций точечных дефектов и дислокаций возможно при достаточно небольших механических нагрузках. Одним из методов такого воздействия является метод высоких гидростатических давлений (ВГД). Он заключается во всестороннем гидростатическом обжатии до 106 ÷ 107 Па. При подобных воздействиях может происходить уменьшение количества пор и плотности дислокаций.

В работах [2, 17] воздействию высоких гидростатических давлений подвергались промышленные галофосфатные люминофоры типа ФЛ-580-3500-1, а также образцы их основы - фторхлорапатит с концентрацией марганца 0,1 масс. %. Обжатие с помощью ВГД осуществлялось на установке МП-20. Порошок люминофора помещался в герметически закрывавшуюся резиновую оболочку, наполненную жидкостью, Рабочий объём установки представлял собой металлическую трубку, заполненную смесью глицерина и этилового спирта. Такое наполнение позволяло достичь в рабочем объёме величины давления 106 Па. Образцы люминофора были подвергнуты давлению (2, 4, 6 и 10) -105 Па в течение 1 ÷ 2 мин. Показано, что увеличение давления до (7 ÷ 8) -105 Па приводит к уменьшению ширины рентгеновских линий в среднем на 16 - 30 %. Полученный результат говорит о снижении плотности дислокаций, В галофосфатных люминофорах, относящихся к классу ионных кристаллов, линии дислокаций заряжены. Их количество и распределение по кристаллической решётке во многом определяет электронное состояние примесных дефектов-ионов марганца и сурьмы. Следовательно, структурная перестройка участков кристалла с дислокациями вызывает изменение оптических, магнитных и электрических свойств примесей. Спектры ЭПР обработанных методом высоких гидростатических давлений образцов галофосфатных люминофоров обнаруживают увеличение концентрации ионов Mn2+. Это говорит об освобождении ионов активатора марганца и, видимо, не парамагнитной сурьмы Sb3 из примесных дислокационных атмосфер под действием высоких гидростатических давлений.

Рисунок 3.2 Изменение интенсивности излучения люминофора типа ФЛ-580-3500-1, предварительно обработанного высоким гидростатическим давлением, при испытании на продолжительность горения в разборной лампе: 1 -2*105 Па, 2- 8*105 Па, 3 - 10*105 Па

Предварительно обработанные давлением люминофоры наносились на стеклянную колбу, которая помещалась в разборную лампу. Источником ультрафиолетового излучения в ней служила бактерицидная лампа мощностью 8 Вт. В объёме разборной лампы создавался вакуум. На рис. 76 показано изменение интенсивности излучения люминофоров, обработанных разным давлением, в процессе горения лампы. С увеличением давления возрастает первоначальная интенсивность излучения. Максимальное повышение интенсивности излучения - 4-5-5 %. Величина спада интенсивности излучения от времени горения ламп уменьшается на 5 10 %. Кроме того, с увеличением времени обработки ВГД с 5 до 45 мин стабильность свечения повышается.

Таким образом, возникающая вследствие воздействия внешних электрических полей и высоких гидростатических давлений перестройка дефектной структуры галофосфатного люминофора влечёт за собой изменение его оптических и эксплуатационных свойств. Следует отметить, что эти экспериментальные данные не дают сразу ответ на вопрос о радикальных способах изменения структуры люминофоров с целью повышения их эксплуатационных параметров. В этих работах намечены пути и направления оптимальных решений поставленных задач по улучшению качества галофосфатных люминофоров.

3.1 Способы повышения величины и стабильности светового потока люминесцентных ламп


Решение задачи повышения стабильности светового потока люминесцентных ламп стало возможным путём выполнения комплекса мероприятий, включающих разработку и освоение производства люминофоров с улучшенными физико-химическими характеристиками, применение новых эмиссионных покрытий для электродов ламп, использование пленок, защищающих люминофор от вредного воздействия щелочных ионов натрия, находящихся в стекле, выбор оптимального газового наполнения и конструкции электродного узла, поиск новых технологических решений, в особенности на операциях нанесения и сушки люминофорного покрытия и выжигания биндера [15]. Увеличение световой отдачи ламп в 1,5 раза получено, в основном, за счёт улучшения качества галофосфата кальция, активированного сурьмой и марганцем. Критерием качества люминофора является не только стабильность его в люминесцентных лампах, но и стабильность в процессе изготовления ламп.

Другой резерв повышения световой отдачи люминесцентных ламп - снижение анодно-катодных потерь. Значительное снижение потери энергии на электродах возможно за счёт повышения частоты питающего лампу тока. Использование частоты 18000 Гц приводит к увеличению интенсивности резонансного излучения с λ = 253,7 нм в 15 Вт люминесцентных лампах на 25 %, а в 40 Вт- 10÷ 15% [16].

В работе [16] предложен способ обезгаживания люминесцентных ламп в атмосфере аргона в отличие от традиционной технологии, когда в процессе обработки ламп на откачном посту колба и люминофорный слой подвергаются прогреву и термическому обезгаживанию в вакууме. По сравнению с обычной технологией этот способ позволил уменьшить спад светового потока после 100 ч горения на 3 ÷ 5 %, а к концу срока службы на 4 ÷ 7 %. При нагреве в атмосфере воздуха или инертного газа вследствие отсутствия вакуумной тепловой изоляции достигается более быстрый и качественный прогрев всех внутренних деталей люминесцентной лампы. При этом равномерное распределение температуры предотвращает перенос продуктов газовыделения с более нагретых участков лампы на менее нагретые, что резко повышает качество термообезгаживания.

Использование в люминесцентных лампах гетеро ртутных дозаторов позволяет повысить стабильность светового потока как путём уменьшения количества ртути в лампе, так и в результате поглощения геттером примесей, загрязняющих газовую среду лампы [16]. Конструктивные особенности люминесцентных ламп предопределили возможность применять в них только не распыляемые газопоглотители, инертные к ртутной среде. Наиболее экономичным способом придания газопоглотителю рабочей температуры является использование теплового излучения катода. Особенность не распыляемых газопоглотителей в том, что процесс поглощения ими всех газов необратим за исключением водорода, десорбция которого начинается при температуре 350 °С. Оптимальная рабочая температура газопоглотителей для люминесцентных ламп находится в диапазоне 200 350 °С. С применением газопоглотителя типа ТНЭЗ спад светового потока ламп к 10 тыс. ч работы меньше, чем у ламп без газопоглотителя на 5 ÷ 7 %. Масс-спектрометрические исследования дали результаты по основным компонентам остаточной газовой среды люминесцентных ламп, которыми являются С02, Н2 и СО - 41,37 и 20 %, соответственно. Анализ данных о скорости сорбции водорода и углеродсодержащих газов газопоглотителем типа ТНЭЗ показывает, что в названном улучшении световых характеристик преобладающая роль принадлежит процессу поглощения Н2 при температуре 20 + 250 °С. Сорбция СО при этом незначительна и несущественно повышается лишь за верхним пределом рабочей температуры.

Имеется ряд предложений совершенствования технологии применения Hg: введение в люминесцентную лампу ампулы с дозой ртути; таблеточный дозатор на основе TiHg; испускающий ртуть элемент в виде компактного титана, пропитанного ртутью и др. При каждом таком способе ртуть выделяется в лампу после ее отпайки. Ленточная конструкция газопоглотителя в большей степени отвечает общей направленности работ при совершенствовании люминесцентных ламп (применение катодных экранов, ртутных дозаторов экранной конструкции). Оптимальный вариант, по мнению автора работы [16], - гетеро-ртутный дозатор, который наряду с рациональным методом использования ртути содержит в себе средство химической откачки, результатом действия которого должно быть улучшение стабильности светового потока люминесцентных ламп, а, следовательно, и повышение световой отдачи.

Конструктивно гетеро-ртутный дозатор представляет ленту-подложку, на одну из сторон которой (внутреннюю) нанесен сплав меркурида титана, а на другую - геттерная компонента. Нагревом гетеро - ртутного дозатора в отпаянной люминесцентной лампе до 900 + 950 °С наряду с высвобождением ртути из сплава (3,0 + 3,5 мг с 1 см гетеро-ртутной ленты) осуществляется и активирование газопоглотителя. В качестве геггтерной компоненты может быть использована тройная смесь титанциаль-алюминий (60, 30, 10 %, соответственно) или газопоглотитель типа ТНЭЗ. При использовании последнего спад светового потока к 10 тыс. ч горения меньше, чем у обычных ламп на 3 %.

3.2 Способы определения параметров люминесцентных ламп по характеристикам люминофоров


Одним из основных факторов, вызывающих старение галофосфатных люминофоров в люминесцентных лампах, является воздействие ультрафиолетового излучения. Предложенный в работе [16] метод контроля стабильности светового потока в лампах основан на определении величины спада относительной яркости свечения люминофоров при облучении коротковолновым ультрафиолетовым излучением. Однако в результате проведённых сравнений не получено полного совпадения между спадом яркости свечения при облучении ультрафиолетовым светом и старением люминофоров в лампах. Возможно, что для этого необходимо учитывать дополнительные факторы, ускоряющие старение люминофоров, такие как воздействие ртути, ионизации в газовом разряде и др. Более обширные исследования показали, что номинальная световая отдача люминесцентных ламп функционально не зависит от яркости свечения галофосфатных люминофоров [14]. Отсутствие зависимости объясняется тем, что большой вклад в стабильность светового потока вносят такие характеристики люминофора, как гранулометрический состав, термостабильность, радиационная стойкость, наличие примесных фаз и структура галофосфата кальция.

Многочисленными исследованиями установлено, что дефектность структуры галофосфатов кальция - наличие точечных и линейных дефектов, примесных фаз и примесей тяжёлых металлов - существенно влияет на световую отдачу люминесцентных ламп.

Метод термического высвечивания является одним из важнейших при исследовании дефектной структуры люминофоров. Он может быть использован для оценки качества галофосфатного люминофора. Авторами [15] разработана установка для записи кривых термовысвечивания. Предварительно возбуждённый образец галофосфатного люминофора равномерно нагревается, а затем записывается характерная кривая термовысвечивания. По площади под кривой термовысвечивания (регистрируемой световой сумме) можно судить об энергетическом спектре локальных состояний, который определяет дефектность структуры кристаллов. Детальный анализ многочисленных образцов галофосфатного люминофора показал, что величина регистрируемой суммы обратно пропорциональна световой отдаче люминесцентных ламп ЛБ 40 после 100 ч горения.

Целью проведенных исследований в работе [16] являлось определение математической зависимости между световой отдачей люминесцентных ламп с галофосфатным люминофором в течение продолжительности горения и высвечиваемой им светосуммой. Исследования проводились на образцах галофосфатного люминофора марки Л-3500, специально синтезированных во ВНИИ люминофоров и различающихся исходными физико-химическими характеристиками. С использованием исследуемых образцов галофосфата кальция были изготовлены люминесцентные лампы типа ЛБ 40. Световая отдача ламп определялась после 0, 100, 500, 1000, 2000, 4800, 6000 ч горения.

Определение среднего значения световой отдачи (Н,) проводилось не менее, чем для 10 ламп. Среднее значение высвечиваемой светосуммы (S) определялось по трем измерениям каждого образца люминофора.

Снижение световой отдачи во времени достаточно хорошо аппроксимируется экспоненциальной зависимостью:

                                                                                    (3.1)

В результате проведённых исследований для 9 партий галофосфатного люминофора были определены коэффициенты А и b0 в зависимости от высвеченной светосуммы:

 

                                                    (3.2)

Полученное уравнение позволяет прогнозировать значение световой отдачи люминесцентных ламп по соответствующим значениям S и t от 100 до6000 ч горения.

Рисунок 3.3 Зависимость номинальной световой отдачи люминесцентных ламп ЛБ 40 от регистрируемой световой суммы галофосфатного люминофора

Дополнительно была найдена зависимость между F и S для t=100 ч. Она имеет вид:

                                                                         (3.3)

Коэффициент корреляции при этом 0,88. Необходимо отметить, что основным методом контроля эффективности люминофоров является их испытание в люминесцентных лампах в течение срока службы. Предлагаемый метод является эффективным и быстрым вспомогательным средством оценки качества галофосфатного люминофора.

Как уже отмечалось, несовершенство кристаллической структуры галофосфатного люминофора заметно ухудшает эксплуатационные параметры люминесцентных ламп. Одиночные вакансии фтора, хлора и ионов кислорода на месте галогена или их скопления, а также их взаимодействие с ионами примесей приводят к образованию сложных (ассоциативных) центров свечения, которые разрушаются под влиянием коротковолнового излучения с длиной волны 185 нм, Большое влияние на радиационную стойкость галофосфатного люминофора в люминесцентных лампах оказывают ассоциативные центры свечения марганца, которые, взаимодействуя с коротковолновым излучением разряда, разрушаются, приводя к заметному спаду светового потока. Снижение эффективности люминесцентных ламп происходит также под влиянием объемных дефектов - примесей метаантимоната кальция, активированного марганцем, а также орто- и пирофосфатов кальция, активированных сурьмой и марганцем.

При взаимодействии с коротковолновым ультрафиолетовым излучением (185 нм) в люминесцентных лампах центры свечения марганца в метаантимонате кальция ионизуются по схеме:

                                                                           (3.4)

Электрон (е) взаимодействует с точечным дефектом (Р), например с кислородной вакансией, в результате чего образуется центр окраски (Ре):

                                                                                      (3.5)

Концентрация разрушенных центров свечения марганца в галофосфатном люминофоре будет прямо пропорциональна концентрации объемного дефекта - метаантимоната кальция.

Таким образом, для определения радиационной стабильности в галофосфатном люминофоре необходимо измерять концентрацию точечных дефектов или ассоциативных центров свечения марганца, которые при взаимодействии с коротковолновым ультрафиолетовым излучением снижают стабильность светового потока люминесцентных ламп.

Работа [17] посвящена второму способу оценки эксплуатационной стабильности галофосфатных люминофоров в люминесцентных лампах типа ЛБ 36 по измерению снижения концентрации центров свечения марганца в результате рентгенизации, которая происходит благодаря ассоциативным центрам свечения. Он заключается в определении концентрации центров свечения марганца в галофосфатном люминофоре методом электронного парамагнитного резонанса (ЭПР).

Концентрацию центров свечения марганца определяют по соотношению площадей под спектрами ЭПР необлучённого галофосфатного люминофора и эталона а-дифинил (3-пикрил-гидразила (ДФПГ) с известной концентрацией парамагнитных центров. Концентрация радиационно устойчивых центров свечения марганца рентгенизованного в течение времени t галофосфатного люминофора определяется также путем сравнения соответствующих площадей под кривыми ЭПР. Разность между концентрациями центров свечения марганца до и после рентгенизации даёт концентрацию ассоциативных центров свечения.

Установлено, что спад светового потока люминесцентных ламп от 0 до 3000 ч горения () прямо пропорционален концентрации ассоциативных центров свечения марганца, которые разрушаются при рентгенизации галофосфатного люминофора в течение 1 ÷ 2 ч, т.е.

(                                                                        (3.6)

В таблице приведены результаты анализа полученных данных для галофосфатного люминофора и люминесцентных ламп ЛБ 36.

Таким образом, данный способ может найти применение в определении эксплуатационной стабильности галофосфатных люминофоров в люминесцентных лампах без их изготовления и длительного испытания.

С учётов результатов работы [17] при синтезе галофосфатного люминофора необходимо стремиться к тому, чтобы концентрация ассоциативных центров свечения марганца и примеси метаантимоната кальция были минимальными. Без соблюдения данного условия невозможно изготовить стабильные люминесцентные лампы.

Таблица 1. Зависимость спада светового потока ламп от концентрации марганцевых центров свечения

Номера партий галофосфатного люминофора

Спад светового потока люминесцентных ламп ЛБ36 за 3000 ч горения (AF30oo), лм

Уменьшение концентрации марганцевых центров свечения за 3 ч рентгенизации, %

232

498

0,02

4-81

680

0,20

2-82

770

0,23

4-82

900

0,27


Цветность люминесцентных ламп низкого давления определяется главным образам спектральным составом излучения люминофора при возбуждении его ультрафиолетовым излучением ртутного разряда. Поскольку количественно задать полный спектр излучения люминофора затруднительно, на практике часто применяют метод, согласно которому спектр характеризуют некоторыми наиболее существенными параметрами. Так, спектр излучения галофосфатных люминофоров для люминесцентных ламп характеризуют положением длинноволнового максимума и отношением (к, %) интенсивностей излучения на длинах волн 480 нм. С другой стороны, спектр излучения люминофора определяет его собственные координаты цветности, которые могут быть измерены непосредственно.

Целью работ [18, 19] является изучение возможности определения координат цветности люминесцентных ламп по данным спектральных или колориметрических измерений используемых при их изготовлении люминофоров. Зависимость между координатами цветности люминесцентных ламп (х, у), люминофора и разряда по закону смешения цветов [17] можно записать соотношениями:

, ,                                                              (3.7)

Расчёт координат цветности люминофора проводился по результатам измерений спектров излучения порошков на монохроматоре УМ-2. Координаты цветности разряда рассчитывались по результатам спектральных измерений большого количества партий люминесцентных ламп, изготовленных с аргон- неоновым наполнением при давлении 2,5 мм рт. ст. Соотношение аргона и неона в смеси составляло 9:1. Координаты цветности разряда рассчитывались для ртутных линий, полученных вычитанием спектров люминесценции люминофоров из спектров излучения люминесцентных ламп. Для определения коэффициентов а, и а2. использовались результаты измерений опытно промышленных и промышленных партий люминофоров. В табл. 30 приведены средние значения координат цветности разряда и коэффициентов.

Таблица 2. Данные для расчёта координат цветности ламп по характеристикам люминофора

Тип ламп

Марка люминофора

Средние значения координат цветности разряда

Средние значения коэффициентов



х:

У2


Α2

ЛБ 40

ЛГ-1-1 ФЛ-580-3500-1

0,220

0,2.12

0,121

0,222

ЛД 40

ЛГ-2К

0,220

0,217

0,100

0,254

ЛТБ 40

ФЛ-580-2800-1

0,220

0,216

0,108

0,246

ЛХБ 40

ФЛ-580-4500-1

0,220

0,216

0,130

0,254

ЛДЦ 40

ФЛЦ-600-6200-1

0,216

0,206

0,428

0,273


Для всех марок галофосфатных люминофоров (лампы ЛБ, ЛД, ЛТБ и ЛХБ мощностью 40 Вт) средние значения координат цветности разряда х2 одинаковы, а у2 мало отличаются друг от друга.

Таким образом, чтобы рассчитать координаты цветности люминесцентных ламп, пользуясь коэффициентами и координатами цветности разряда, достаточно измерить спектр излучения люминофора и определить его координаты цветности. Сопоставление расчётных и измеренных координат цветности люминесцентных ламп показывает, что ошибка расчёта не превышает 0,005.

3.3 Влияние коротковолнового ультрафиолетового излучения на стабильность светового потока люминесцентных ламп


Исследование влияния ультрафиолетового излучения с длинами волн 185 и 254 нм на люминофорное покрытие из ГФК: Sb, Мn проводилось в разборном устройстве в вакууме [4]. После нескольких минут облучения световой поток облучаемого участка покрытия уменьшался, и за несколько часов это уменьшение достигало 7 ÷ 8 %, а затем поток стабилизировался. Это наблюдалось только в том случае, если во время облучения не производилась постоянная откачка и если в разборной лампе не было поглотителя кислорода. Если же во время облучения при непрерывной откачке поддерживался вакуум ~ 10-4 мм рт. ст., то световой поток не стабилизировался со временем. Уменьшение светового потока за 12 ÷ 15 ч при постоянной откачке или в присутствии геттера кислорода достигало уже 15 %. Уменьшение светового потока в первое время работы люминофора в люминесцентной лампе в этих исследованиях связано с воздействием ультрафиолетового излучения с длиной волны 185 нм.

Исследование адсорбции ртути люминофорным покрытием в люминесцентных лампах показало, что в люминофорном слое люминесцентных ламп после изготовления имеется незначительное количество слабо связанной ртути, по-видимому, адсорбированной физически. Эта ртуть после отжига лампы на постоянном токе уходит с люминофора и поэтому во время горения не связана с люминофорным покрытием. После эксплуатации ламп в люминофорном слое появляется ртуть, удерживаемая очень сильно, по-видимому, хемосорбированная. Эта часть ртути не сходит со слоя при отжиге лампы на постоянном токе и, следовательно, присутствует на люминофоре во время горения лампы. Количество хемосорбированной ртути возрастает со-временем горения, но отличается для различных люминофоров, так что равные количества хемосорбированной ртути дают различные относительные потери светоотдачи. Установлено, что для всех исследованных люминофоров получается линейная зависимость между относительным уменьшением светового потока люминесцентных ламп и количеством хемосорбированной ртути. Пропорциональность между количеством адсорбированной ртути и уменьшением светового потока люминофора автор работы [4] связывает с разрушением центров люминесценции.

Влияние состава газовой среды на стойкость люминофорного покрытия из ГФК: Sb, Mn исследовалась при добавлении следующих газов к аргоновому наполнению лампы: водород, метан, пары воды.

Добавки вводились в концентрации 2,5 % к аргоновому наполнению путём разбивания ампулы, припаянной к люминесцентной трубке, во время горения лампы. Наибольшую мгновенную потерю светового потока даёт водород, несколько меньшую - метан. Влияние водородосодержащих примесей на уменьшение светового потока сказывалось в течение всего периода горения лампы. В этом случае также автор работы [4] связывает потерю светового потока лампы с разрушением сурьмяных центров свечения.

При этом яркость свечения люминофорного покрытия из галофосфатного люминофора после воздействия облучения 185 нм в восстановительной атмосфере в отсутствие ртути полностью восстанавливается при прогреве на воздухе. Однако восстановление яркости покрытия из ГФК: Sb, Mn, работающего в лампе, происходит не полностью, даже если лампу нагреть до 500 °С.

Цель работы заключалась в дальнейшем изучении механизма снижения стабильности галофосфатного люминофора в люминесцентной лампе. В этом случае изучение поведения люминофора проводилось непосредственно в лампе и имелась возможность одновременно оценить влияние ультрафиолетового излучения и специально вводимых различных газовых примесей. В результате проведённых исследований были сопоставлены с исходным люминофором оптические (яркость свечения, спектры излучения) и инерционные (кривые термовысвечивания) характеристики ГФК: Sb, Mn, подвергнутого процессу «старения» в люминесцентной лампе.

Изготовление экспериментальных люминесцентных ламп производилось на откачном посту. Добавляемыми к аргону примесями являлись: кислород, водород, азот, метан и углекислый газ. Давление смеси аргона с примесью равнялось 3 мм рт. ст. Парциальное давление аргона в смеси составляло 2,925 мм рт. ст., парциальное давление соответствующей добавляемой примеси (кислорода, водорода и т. д.) - 0,075 мм рт. ст. Для экспериментов были использованы два типа ГФК: исходный люминофор марки JI-34 и люминофор, подвергнутый процессу «старения» в люминесцентной лампе в течение 500 ч горения.

Снижение световой отдачи ГФК оценивалось по яркости свечения. В таблице приведены потери яркости свечения счищенного с люминесцентных ламп ГФК по сравнению с яркостью исходного Л-34.

Таблица 3

Влияние газовых примесей относительную яркость свечения ГФК

Газовая примесь, добавляемая к аргону

Потери яркости свечения Л-34, %

Без добавки

8,0

Углекислый газ

10,0

Азот

11,0

Метан

23,0


Из таблицы видно, что минимальное снижение яркости свечения Л-34 наблюдается для люминесцентных ламп, наполненных аргоном, максимальное - для люминесцентных ламп, наполненных аргоном с добавкой метана. У люминесцентных ламп, изготовленных с добавкой примесей углекислого газа и азота, потери яркости свечения Л-34 приблизительно одинаковы.

Исследование спектров излучения галофосфатного люминофора марки Л-34 указывает на то, что добавка примеси водорода и метана приводит к снижению интенсивности излучения голубой (сурьмяной) полосы. Снижение интенсивности излучения голубой полосы нельзя объяснить ошибками измерений. Результаты экспериментов показывают, что добавка примесей этих газов приводит к химическому разрушению сурьмяных центров свечения. Измерение образцов ГФК, подвергнутых процессу «старения» в люминесцентных лампах с добавками кислорода и углекислого газа, показывает неизменность спектров излучения исследуемых люминофоров.

Рисунок 3.4 Кривые термовысвечивания ГФК марки Л-34

Перед измерениями кривых термовысвечивания фосфор прогревался до температуры 150 °С, чтобы освободить электроны с уровней локализации. Возбуждение люминофора Л-34 излучением с длиной волны 254 нм длилось в течение 20 мин, темновая выдержка - 16 мин. Скорость нагревания образца 6 К/мин. Из рисунка видно, что при «старении» ГФК в люминесцентных лампах кривые термовысвечивания обнаруживают уменьшение запасенной световой суммы. Отношение светосумм, определяемых площадями, ограниченными соответствующими кривыми, оказалось следующим: S1:S2:S3:S4=1 : 0,9 : 0,6 : 0,7. Наибольшее снижение запасенной световой суммы наблюдается для образца ГФК с добавкой углекислого газа. В результате «старения» ГФК в люминесцентной лампе кривые термовысвечивания обнаруживают сдвиг максимума в высокотемпературную область. На кривых термовысвечивания «состаренных» образцов Л-34 появляется дополнительный максимум, которого не имеет исходный ГФК. Интенсивность термовысвечивания этого максимума соизмерима с интенсивностью первого максимума образцов «состаренных» ГФК. Сравнение кривых термовысвечивания «состаренных» образцов Л-34 показывает, что добавляемая примесь не вносит существенных изменений. Обнаруженный высокотемпературный максимум наблюдается как у образцов ГФК с добавками примесей газов, так и у образца, счищенного с люминесцентных ламп, наполненных только одним аргоном.

Появление этого максимума на кривых термовысвечивания, по мнению авторов [148], объясняется тем, что под действием ультрафиолетового излучения в ГФК образуются центры окраски.

Авторы [14] считают, что в снижении стабильности ГФК в люминесцентных лампах существенную роль играют химическое разрушение центров свечения сурьмы за счет восстановления ее водородом, образующимся в газовой фазе лампы, а также фотолитическое образование центров окраски, не приводящее к разрушению центров свечения сурьмы. Образование центров окраски связывается с галогенами, а не с сурьмяными центрами свечения. Повышение эффективности люминесцентных ламп может быть достигнуто за счет улучшения технологии их изготовления, исключающей попадание в газовую фазу лампы водорода и водородосодержащих соединений, и повышения фотолитической стойкости ГФК. Так при введении в ГФК нескольких процентов кадмия фотолитическая стойкость люминофора значительно повышается.

Механизм воздействия излучения с длинами волн 185 и 254 нм на галофосфат кальция, активированный сурьмой и марганцем, рассмотрен в работах [7,8]. Установлено, что резкий спад яркости свечения наблюдается в первый час облучения. Более продолжительное облучение люминофоров существенно не увеличивает спада. Яркость свечения «состаренного» люминофора можно восстановить действием излучения с длиной волны 254 нм или прогревом до 400 ÷ 500 °С.

Сравнительно лёгкое восстановление яркости свечения люминесценции противоречит гипотезе разрушения центров свечения сурьмы и миграции её на поверхность кристаллов, так как обратный процесс внедрения сурьмы в кристаллическую решетку и образование центров свечения вряд ли следует считать реальным в условиях сравнительно низких температур (500 °С). Более приемлемой в этом случае является гипотеза образования центров окраски в люминофорах под действием коротковолнового излучения. Это подтверждается и появлением у люминофора окраски при действии излучения с λ=185 и 254 нм.

То, что окрашивание ГФК под действием ультрафиолета связано с объемными процессами в кристаллах люминофора, подтверждают опыты по термическому высвечиванию. В люминофоре под действием излучения с λ = 185 нм заполняются не только «мелкие» дефекты, играющие роль ловушек, но и образуются центры окраски. Под действием тепловой энергии центры окраски распадаются. Освобожденные заряды рекомбинируют с ионизированными центрами свечения, и на кривой термического высвечивания появляется соответствующий пик при температуре 500 К. Линия с длиной волны 254 нм обладает высвечивающим действием, её кванты не только возбуждают люминесценцию, но и освобождают локализованные заряды. Эту часть энергии, идущую на освобождение локализованных зарядов, следует считать потерянной. Таким образом, эффект высвечивающего действия возбуждающего света может снизить эффективность люминофорного слоя в люминесцентных лампах.

Однако излучение с длиной волны 254 нм, действуя на предварительно «окрашенный» галофосфатный люминофор, не приводит к полному восстановлению первоначальных световых параметров. По-видимому, излучение с X = 254 нм наряду с разрушением центров окраски генерирует их. Прогрев люминофора до 500 600 °С приводит к полному восстановлению первоначальных световых параметров.

Дополнительная информация была получена в работе [15] при исследовании спектрального состава термолюминесценции галофосфата кальция, активированного сурьмой и марганцем. Исследовались кривые термолюминесценции образцов, возбуждённых линией 254 нм и суммарным излучением линий 185 + 254 нм, а также люминофорного покрытия ламп (скорость нагревания 0,1 К/с). Излучение с λ = 185 нм позволяет выявлять высокотемпературные ловушки с максимумом в термовысвечивании вблизи 350 °С. На кривых термовысвечивания люминофоров, возбуждённых излучением с λ = 254 нм, и записанных непосредственно с лампы в этой области температур наблюдается лишь слабый фон.

Максимум спектра излучения термолюминесценции, возбуждённой излучением 185 + 254 нм, приходится на сурьмяную полосу с λ = 480 нм. В излучении также присутствует марганцевая полоса с λ = 580 нм. Излучение с 512 нм, обусловленное примесной фазой, маскируется интенсивным излучением, принадлежащим сурьмяным центрам свечения. Спектральный состав термолюминесценции люминофорного слоя лампы и люминофора, возбуждённого излучением с λ - 254 нм, состоит из двух широких полос с λ = 512 и 580 нм. При этом полоса с λ = 512 нм не элементарна и перекрывается с полосой, обусловленной сурьмяными центрами свечения.

Различие в спектральном составе термолюминесценции люминофора, облучённого суммарным излучением 185 ÷ 254 нм, и люминофорного покрытия лампы авторы [15] объясняют тем, что в случае опытов с лампой на люминофоре адсорбируется ртуть, которая частично поглощает излучение с λ=185 нм и таким образом ослабляет его действие на люминофор. Таким образом, исследование спектрального состава термолюминесценции показало, что излучение с λ = 254 нм способно при определённых условиях приводить к ионизации, по крайней мере, марганцевых центров свечения; излучение с λ = 185 нм ионизует как марганцевые, так и сурьмяные центры свечения; в люминесцентной лампе на поверхности люминофора образуется слой из ртути, который ослабляет поток излучения с λ = 185 нм.

В целях уточнения причин, определяющих эффективность и эксплуатационную стойкость галофосфатных люминофоров, в работе [15] проведено исследование спектров излучения и термостимулированной люминесценции (ТСЛ) ряда опытных и промышленных образцов при фото- и рентгеновозбуждении. Основными объектами исследования являлись образцы, приготовленные по стандартной технологии, а также прокаленные дополнительно в инертной атмосфере. Концентрация сурьмы Sb3+ и марганца Мп24 составляла соответственно 0,7 и 1,2 %. Были исследованы как исходные люминофоры, так и люминофоры, проработавшие 100 ч в лампах типа ЛБ 40.

Термостимулированную люминесценцию исследовали в диапазоне 77 ÷ 650 К со скоростью нагрева 1 К/с. Образцы возбуждались линией 254 нм. Повышение световой отдачи образцов, прокалённых в инертной атмосфере, сопровождается уменьшением интегральной светосуммы термостимулированной люминесценции при фотовозбуждении. После 100 ч эксплуатации в лампах интегральная светосумма термолюминесценции значительно возрастает (рис. 86).

Рисунок 3.5 Кривые термовысвечивания галофосфатных люминофоров при возбуждении линией 254 нм: 1 - исходный образец; 2 - исходный образец, прокалённый в инертной атмосфере; 3 - исходный образец, прокалённый в инертной атмосфере, проработавший 100 ч в лампе типа ЛБ 40

Установка для исследования люминофорного слоя в люминесцентных лампах методом термовысвечивания, который является наиболее распространённым методом исследования ловушек в кристаллофосфорах, приведена в работе [12]. Полученные в работе результаты дают возможность исследовать энергетическую структуру люминофоров, находящихся непосредственно в люминесцентной лампе. Длительность облучения люминофора в люминесцентной лампе подбиралась таким образом, чтобы заполнение ловушек электронами было максимальным, и составляла 30 мин.

Глубина ловушек, выявляющихся из кривых термовысвечивания люминофора ЛГ-2 при Тмакс= 362 К при скорости нагрева 0,15 К/с, равна 0,33 эВ. Далее из рисунка следует, что люминофор ЛГ-2 кроме ловущек 0,33 эВ, имеет значительную концентрацию более глубоких ловушек, проявляющихся в термовысвечивании при высоких температурах (500 К и выше). Сравнивая кривые термовысвечивания люминофоров, находящихся внутри и вне люминесцентной лампы, можно говорить и о том, что самые глубокие уровни захвата заметно проявляются, если люминофор находится в лампе. Это даёт основание считать, что появление глубоких ловушек на кривых термовысвечивания является результатом взаимодействия вакуумного ультрафиолета, газовой среды и стекла с галофосфатом кальция.

В работе [13] на основании исследований спада светового потока люминесцентных ламп в процессе их горения, а также исследований спектров ЭПР Мп2+ и радиационных дефектов в галофосфатных люминофорах делается предположение, что основным видом дефектов, приводящих к снижению светового потока и его нестабильности в процессе срока службы, являются внутренние дефекты типа дислокаций. Наличие этих дефектов в люминофоре вызывает снижение эффективности люминесцентных ламп из-за действия трех механизмов внутренних потерь энергии: I) потерь за счет образования центров окраски и центров локализации на дислокационных уровнях; 2) за счет повышения вероятности безизлучательных переходов электрона в области ядра дислокации; 3) потерь, обуславливаемых изменением зарядового состояния атомов активатора при их локализации на дислокациях.

В решетке люминофора при определенных условиях (наличие активатора, термическая обработка и т. д.) могут образоваться около шести видов центров захвата, состоящих из одиночных анионных вакансий ионов фтора или хлора и сложных комплексов, включающих в свой состав эти вакансии и ионы кислорода, занимающие места ионов фтора и хлора. В процессе работы люминесцентных ламп при определенной температуре и установившемся потоке ультрафиолетового излучения происходит накопление центров окраски. Концентрация точечных, дефектов (в частности, анионных вакансий) в большой степени зависит от деформации решетки галофосфатного люминофора.

Рисунок 3.6 Интегральная кривая термовысвечивания люминофора ЛГ-2, снятая со скоростью нагрева 0,15 К/с.

Концентрация центров окраски во фторапатите кальция в исходном состоянии и после длительного размола (около 60 ч), определённая с помощью ЭПР метода, при комнатной температуре возрастает от 3-10,7см'3 до 10|8см"3. Кроме описанных причин уменьшения световой отдачи люминофоров, необходимо также отметить влияние перераспределения ионов-активаторов при локальном изменении структуры твердого раствора. Наличие дислокаций в ионном кристалле приводит к появлению сил взаимодействия между заряженной дислокацией и ионами примеси и образованию «атмосфер» примесных атомов вдоль дислокационных линий. Этот процесс связан с диффузией ионов активатора по решетке люминофора и является термически активированным процессом. Изучение стабильности светового потока в работе [153] проводилось на люминесцентных лампах типа ЛБ-40 с использованием люминофора ЛГ-1-2, исходного и размолотого в течение 20 и 60 ч. Из рис. 88 видно, что спад световой отдачи со временем горения происходит неодинаково для ламп с различным структурным состоянием люминофора. С увеличением дефектности снижение световой отдачи ламп для одинакового срока службы возрастает.

Заметные изменения термостимулированной люминесценции были обнаружены после дозировки ртути. На кривых термовысвечивания в этом случае появляется интенсивный пик с максимумом около 320 °С. Спектральный состав, определенный в области 260 ÷ 360 °С, позволил предположить, что излучение в пике с Т = 320 °С обусловлено двухвалентным марганцем.

Выяснено, что этот пик появляется на кривой термовысвечивания и в отсутствии фотовозбуждения. Можно предположить, что достаточным условием появления пика с T ~ 320 °С является адсорбция ртути на поверхности галофосфатного люминофора. Подтверждением такого предположения может служить тот факт, что при повторном прогреве того же образца указанный пик на кривой термостимулированной люминесценции не появляется даже после фотовозбуждения.

Следует заметить, что сама по себе дозировка ртути не приводит к появлению термостимулированной люминесценции. Однако после пребывани5г в атмосфере ртутного разряда во время кратковременного зажигания лампы появлялась термолюминесценция с пиком при Т ~ 320 °С, причем интенсивность пика оказалась на несколько порядков больше у образца галофосфата кальция, активированного марганцем, чем у образца ГФК с сурьмой и марганцем в тех же условиях. По всей вероятности, для появления этого свечения в пике с Т = 320 °С необходим в люминофоре Мn3+. При этом активная роль может принадлежать не самому Mn+, а сопутствующим дефектам. В галофосфате, активированном сурьмой и марганцем, окисление части марганца может быть обусловлено присутствием сурьмы. В люминофоре, содержащем один марганец, возникновение Mn3+ может происходить путем ионизации марганца линией 185 нм. Можно предположить, что именно присутствие Mn3+ обуславливает появление адсорбционных центров, способных удерживать ртуть на поверхности люминофора.

Адсорбционная природа термовысвечивания ГФК, наблюдаемого без предварительного возбуждения, получила подтверждение в последующих опытах с нагревом исходных образцов в атмосфере аргона, азота, воздуха. В первых двух газах при повышении температуры люминофора вплоть до 400 °С люминесценция отсутствует. При нагревании в воздушной среде результаты аналогичны тем, которые были получены на образцах ГФК после дозировки ртути.

Сокращение количества ртути, вводимого в люминесцентную лампу, должно способствовать улучшению их качества, так как большое количество ртути приводит к образованию тёмных ртутных налётов на люминофорном слое и, следовательно, к повышению сорбции ртути. В работах [15, 16] рассматривается вопрос об оптимальных дозировках ртути в люминесцентных лампах. Проведена работа по сравнению сорбционной способности люминофоров к ртути в условиях ртутного разряда для трех люминофоров, значительно отличающихся по стабильности светового потока в люминесцентных лампах. Это галофосфат кальция, активированный Sb и Mn, типа T-35 с низкой стабильностью светового потока и улучшенный ГФК типа ЛГ-1-2, а также люминофор К-77 (окись иттрия, активированная), имеющий самую высокую стабильность светового потока в люминесцентных лампах. Все люминофоры испытывались в 40 Вт лампах с точно дозированным количеством- ртути -1,5 мг. При испытании таких ламп, изготовленных на люминофорах Л-35, ЛГ-1-2 и К-77, были получены следующие результаты. Средний срок службы ламп с люминофором Л-35 оказался равным 90 ч, с люминофором ЛГ-1-2 -200 ч, а лампы с люминофором К-77 прогорели более 6000 ч. Как видно, наиболее стабильные люминофоры отличаются малой сорбционной способностью.

Установлено, что для обеспечения срока службы в 15000 ч у 40 Вт люминесцентных ламп с люминофором ЛГ-1-2 нужно не менее 4'÷ 5 мг ртути, причем 3 мг из них поглощаются в первые 2000 ч горения. По существующей технологии количество ртути, дозируемое в люминесцентную лампу составляет 60 + 120 мг. Было показано, что поглощение ртути в люминесцентных лампах системой стекло-люминофор происходит тем интенсивнее, чем меньше удельная нагрузка люминофора.

В люминесцентных лампах повышенной мощности старение люминофора наблюдается особенно отчётливо. Спад светового потока приблизительно линейно возрастает с увеличением мощности, приходящейся на единицу поверхности лампы. Нестабильность светового потока люминесцентных ламп определяется как свойствами люминофора, так и технологией изготовления ламп. В работе [17] исследовалась возможность использования галофосфатного люминофора в лампах повышенной мощности. При испытании различных люминофоров в лампах мощностью 250 Вт показано, что повышение начальной светоотдачи достигается путём введения в шихту активаторов в виде SbOCl. Для улучшения стабильности светового потока в процессе горения лампы фракционированные образцы люминофоров должны быть подвергнуты обработке раствором комплексообразователя с целью удаления избыточных ионов кальция, марганца и сурьмы. При разработке технологии изготовления ламп повышенной мощности найдена зависимость стабильности светового потока от толщины и плотности люминофорного слоя [158].

Применение в лампах повышенной мощности увеличенной удельной нагрузки люминофора (до7 мг/см2) по сравнению с рекомендуемой нагрузкой для стандартных люминесцентных ламп (до 3,5 мг/см2) позволяет существенно повысить стабильность светового потока в процессе их горения. Установленная зависимость спада светового потока от толщины слоя люминофора может быть объяснена предполагаемым уменьшением энергии и числа ионов ртути, непосредственно рекомбинирующих на поверхности слоя или внутри него.

4. Охрана труда


Охрана труда - система сохранения жизни и здоровья работников в процессе трудовой деятельности, включающая в себя правовые, социально-экономические, организационно-технические, санитарно-гигиенические, лечебно-профилактические, реабилитационные и иные мероприятия.

Условия труда - совокупность факторов производственной среды и трудового процесса, оказывающих влияние на работоспособность и здоровье работника.

Профессиональным заболеванием (профзаболеванием) называется заболевание, которое развивается в результате воздействия на работающего специфических для данной работы вредных производственных факторов.

Частным случаем профессионального заболевания является профессиональное отравление. Профзаболевание обычно возникает в результате более или менее длительного периода работы в неблагоприятных условиях, поэтому в отличие от травмы точно установить момент возникновения заболевания нельзя.

Основные понятия.

Совокупность действий работников с применением средств труда, необходимых для превращения ресурсов в готовую продукцию, включающих в себя производство и переработку различных видов сырья, строительство, оказание различных видов услуг называется производственной деятельностью.

Условия труда, при которых воздействие на работающих вредных и (или) опасных производственных факторов исключено либо уровни их воздействия не превышают установленных нормативов, называют безопасными

Рабочее место - место, где работник должен находиться или куда ему необходимо прибыть в связи с его работой и которое прямо или косвенно находится под контролем работодателя

Средства индивидуальной и коллективной защиты работников - технические средства, используемые для предотвращения или уменьшения воздействия на работников вредных и (или) опасных производственных факторов, а также для защиты от загрязнения.

Сертификат соответствия работ по охране труда (сертификат безопасности) - документ, удостоверяющий соответствие проводимых в организации работ по охране труда установленным государственным нормативным требованиям охраны труда.

Вредный производственный фактор - производственный фактор, воздействие которого на работника может привести к его заболеванию (ГОСТ 12.0.002-80).

Опасный производственный фактор - производственный фактор, воздействие которого на работника может привести к его травме.

Травма (несчастный случай) на производстве обычно бывает следствием внезапного воздействия на работника какого-либо опасного производственного фактора при выполнении им трудовых обязанностей или заданий руководителя работ.

Производственные травмы и профессиональные заболевания происходят в результате воздействия на человека опасных и вредных производственных факторов, которые ГОСТ 12.0.003-74 («ССБТ. Опасные и вредные производственные факторы. Классификация) подразделяет на физические, химические, биологические и психофизиологические.

К физическим факторам относят электрический ток, движущиеся механизмы, недопустимые уровни шума и вибрации и др.

Химические факторы - это вредные для человека вещества.

Биологические - это бактерии, вирусы, растения или животные.

Психофизиологические факторы - физические и эмоциональные перегрузки, умственное перенапряжение, монотонность труда. 1

Действие всех опасных и вредных производственных факторов рассматривается в рабочей зоне, т. с. в пространстве высотой до двух метров от поверхности, на которой расположено рабочее место.

Зона, в которой могут действовать опасные и вредные факторы, называется опасной. Она может быть постоянной в пространстве или во времени и переменной Производство работ в переменной опасной зоне характерно для электромонтажного и пусконаладочного персонала.

В зависимости от уровня и продолжительности воздействия некоторые вредные производственные факторы могут стать опасными.

Травмы и профзаболевания приносят обществу большой социальный и материальный ущерб.

4.1 Воздействие негативных факторов на человека и способы его воздействия


Человек чувствует себя нормально, если вдыхаемый им воздух чист и не содержит вредных для организма и жизнедеятельности различной пыли, паров и газов. Вредные примеси, содержащиеся в воздухе, могут проникать в организм человека через дыхательные пути, желудочно-кишечный тракт, кожные покровы. При создании новых и перевооружении существующих предприятий предусматривают мероприятия, обеспечивающие условия для нормальной работы, при которых воздух очищается от вредных примесей. Но существуют еще технологические процессы, сопровождающиеся выделением вредных веществ или выполняемые в условиях повышенной запыленности и загрязнения воздуха (землеприготовительные цехи, угле размольные участки, литейные и кузнечные цехи др.). Одним из самых распространенных вредных веществ является пыль. Пыль - это мелкие частицы твердого вещества, способные находиться в воздухе во взвешенном состоянии Пыль образуется при строительных работах (разборке старых конструкций, дроблении камня и других сырьевых компонентов, транспортировке сыпучих грузов и т. п.), обработке твердых металлов, перегрузке угля и др.

По воздействию на организм человека различают пыли ядовитые (токсичные) и неядовитые (нетоксичные). Ядовитые пыли растворяются в биологической среде организма и вызывают отравления. Например, свинцовая пыль, образующаяся при изготовлении и ремонте свинцовой оболочки кабелей, аккумуляторов, попадая в организм вместе с вдыхаемым воздухом, вызывает изменения в нервной системе, крови, дыхательных путях. Неядовитые пыли оказывают вредное действие на дыхательные пути, являясь причиной заболевания их верхних отделов и легких, действуют на кожу, глаза и уши. Попадая на слизистую оболочку носа, трахеи, бронхов, пыль вызывает разнообразные реакции в зависимости от ее происхождения. Развиваются острые и хронические риниты (насморки). Задерживаясь в дыхательных путях, пыль вызывает катары бронхов, бронхиальную астму.

Вредность воздействия зависит от количества вдыхаемой пыли, размеров и формы пылинок, и их химического состава. Мелкие пылинки размером 0,1...0,2 мкм называются дымом. В легких он не задерживается и выдыхается обратно. Частицы размером 10 мкм и более задерживаются в носоглотке. Наиболее опасны частицы размером 0,2-7 мкм, которые не задерживаются в верхних дыхательных путях, а проникают в легкие и вызывают профессиональные заболевания - пневмокониозы (силикоз и др.). Силикоз возникает от действия пыли, содержащей двуокись кремния. Пневмокониозы ведут к ограничению дыхательной поверхности легких и изменениям во всем организме человека.

Некоторые производственные процессы сопровождаются выделением вредных веществ, попадающих в воздух рабочей зоны в газо- и пылеобразном состоянии. Например, при монтаже и ремонте аккумуляторных установок выделяются пары кислот или щелочей, при изготовлении электродвигателей и проведении лакокрасочных и пропиточных работ - пары растворителей, при сварке и пайке - пары металлов и др. Поступление вредных веществ через органы дыхания - самый распространенный и опасный путь: всасывание ядовитых веществ происходит интенсивно, они попадают в большой круг кровообращения, минуя печень. Поступление ядовитых веществ через желудочно-кишечный тракт несколько менее опасно, потому что большая часть их, всосавшаяся через стенки кишечника, попадает в печень, где задерживается и обезвреживается. Проникающие через неповрежденную кожу ядовитые вещества также весьма опасны, так как попадают в этом случае прямо в большой круг кровообращения и вызывают отравление организма человека.

Тяжесть отравления зависит от концентрации веществ, времени действия, температуры окружающей среды (при высокой температуре воздуха ядовитые пары проникают в организм быстрее). Яды оказывают токсичное действие на организм в целом, но некоторые ядовитые вещества действуют преимущественно на отдельные органы и системы (например, метиловый спирт поражает зрительный нерв; бензол - кроветворные органы и т. д.).

4.2 Обеспечение оптимальных параметров микроклимата на рабочих местах производственных помещений


Вредные вещества - вещества, для которых органами санэпиднадзора установлена предельно допустимая концентрация (ПДК).

Список «Предельно допустимые концентрации вредных веществ в воздухе рабочей зоны» разработан в рамках секции «Промышленная токсикология» проблемной комиссии «Научные основы гигиены труда и профпаталогии».

ПДК - это Государственный гигиенический норматив для использования при проектировании производственных зданий, технологических процессов, оборудования, вентиляции, для контроля качества производственной среды и профилактики неблагоприятного воздействия на здоровье работающих.

ПДК - концентрации, которые при ежедневной (кроме выходных дней) работе в течение 8 ч или при другой продолжительности, но не более 41 ч в неделю, в течение всего рабочего стажа не могут вызывать заболеваний или отклонений в состоянии здоровья, обнаруживаемых современными методами исследований в процессе работы или в отдаленные сроки жизни настоящего и последующих поколений. ПДК для большинства веществ являются максимально разовыми, т. е. содержание вещества в зоне дыхания работающих усреднено периодом кратковременного отбора проб воздуха: 15 мин для токсических веществ и 30 мин для веществ преимущественно фиброгенного действия. Для высоко кумулятивных веществ наряду с максимально разовой установлена среднесменная ПДК, средняя концентрация, полученная при непрерывном или прерывистом отборе проб воздуха при суммарном времени не менее 75% продолжительности рабочей смены или концентрация средневзвешенная во времени длительности всей смены в зоне дыхания работающих на местах постоянного или временного их пребывания.

Под воздействием применяемого оборудования и технологических процессов в рабочей зоне создается определенная внешняя среда. Ее характеризуют микроклимат, содержание вредных веществ, уровень шума, вибраций, излучений, освещенность рабочего места.

Содержание вредных веществ в воздухе рабочей зоны не должно превышать установленных ПДК. В соответствии с СН 245-71 и ГОСТ 12.1.007-76 ЕТ все вредные вещества по степени воздействия на организм человека подразделяют на четыре класса опасности:

Первый класс - чрезвычайно опасные с ПДК < 0,1 мг/м3 (свинец, ртуть -0,001 мг/м3);

Второй класс - высоко опасные с ПДК = 0,1... 1 мг/м3 (хлор - 0.1 мг/м3; серная кислота - 1 мг/м3);

Третий класс - умеренно опасные с ПДК = 1,1... 10 мг/м3 (спирт метиловый 5 мг/м3; дихлорэтан - 10 мг/м);

Четвертый класс - малоопасные с ІІДК> 10 мг/м3 (например, аммиак - 20 мг/м3; ацетон - 200 мг/м3; бензин, керосин - 300 мг/м3; спирт этиловый - 1000 мг/м3).

По характеру воздействия на организм человека вредные вещества можно разделить на группы: раздражающие (хлор, аммиак, хлористый водород и др.); удушающие (оксид углерода, сероводород и др.); наркотические (азот под давлением, ацетилен, ацетон, четыреххлористый углерод и др.); соматические, вызывающие нарушения деятельности организма (свинец бензол, метиловый спирт, мышьяк).

Согласно требованиям санитарных норм и Системы стандартов безопасности труда, на предприятиях должен осуществляться контроль содержания вредных веществ в воздухе рабочей зоны Там, где применяются высоко опасные вредные вещества первого класса - контроль непрерывный, с помощью автоматических самопишущих приборов, выдающих сигнал при превышении ПДК. Там, где применяют вредные вещества второго, третьего и четвертого классов, должен осуществляться периодический контроль путем отбора и анализа проб воздуха. Отбор производят в зоне дыхания в радиусе до 0,5 м от лица работающего; берется не менее пяти проб в течение смены.

К вредным веществам однонаправленного действия относят вредные вещества, близкие по химическому строению и характеру биологического воздействия на организм человека.

Примерами сочетаний веществ однонаправленного действия являются:

a.   Фтористый водород и соли фтористоводородной кислоты;

b.      Сернистый и серный ангидрид;.    Формальдегид и соляная кислота;.         Различные хлорированные углеводороды (предельные и непредельные); j.        Различные бромированные углеводороды (предельные и непредельные);.          Различные спирты;.         Различные кислоты;.   Различные щелочи;.    Различные ароматические углеводороды (толуол и ксилол, бензол и толуол);.         Различные аминосоединения;.         Различные нитросоединения;.       амино- и нитросоединения;. Тиофос и карбофос:.         Сероводород и сероуглерод;.       Оксид углерода и аминосоединения;.     Оксид углерода и нитросоединения;.       Бромистый метил и сероуглерод.

При одновременном содержании в воздухе рабочей зоны нескольких вредных веществ однонаправленного действия сумма отношений фактических концентраций каждого из них () в воздухе к их ПДК не должно превышать единицы:

                                                            (4.1)

В списке ПДК используют следующие обозначения:

n - пары и/или газы;

a - аэрозоль;+a - смесь паров и аэрозоля;

+ - требуется специальная защита кожи и глаз;

О- вещества с остронаправленным механизмом действия, требующие автоматического контроля за их содержанием в воздухе;

А - вещества, способные вызывать аллергические заболевания в производственных условиях,

К - канцерогены;

Ф - аэрозоли преимущественно фиброгенного действия.

При одновременном выделении в воздух рабочей зоны помещений нескольких вредных веществ, не обладающих однонаправленным характером действия, количество воздуха при расчете обще обменной вентиляции следует принимать по тому вредному веществу, для которого требуется подача наибольшего объема чистого воздуха.

В нашей стране ПДК устанавливают санитарные органы Минздрава. Периодически, в соответствии с уровнем развития медицинских знаний ПДК пересматривают, как правило, в сторону ужесточения. Так, например, до 1968 г. действовали нормы, предусматривающие ПДК бензола 20 мг/м3. Клинико-гигиенические исследования выявили случаи неблагоприятного воздействия таких его концентраций на организм человека. Это послужило основанием к снижению ПДК бензола до 5 мг/м3. В общем, можно сказать, что все предельно допустимые концентрации стремятся к некоторым пределам, называемым обычно предельно допустимыми экологическими концентрациями (ПДЭК). Имеются в виду концентрации вредных веществ, не оказывающие вредного влияния (ближайшего или отдаленного) на экологические системы, т. е. на совокупность живых организмов, среду обитания и их взаимосвязь.

В настоящее время ПДК установлены для воздуха рабочей зоны более чем для 850 веществ. В табл. 1.1 приведены ПДК некоторых вредных веществ в воздухе рабочей зоны и атмосферного воздуха населенных мест.

Таблица 4. ПДК некоторых вредных веществ в воздухе производственных помещений и атмосферном воздухе населенных мест

Загрязняющее вещество

Предельно допустимые концентрации, мг/м3


Рабочей зоны

Максимальная разовая

Средняя суточная

Азота диоксид

5,0

0,085

0,085

Аммиак

20

0,20

0,20

Ацетон

200

0,35

0,35

Сероводород

10

0,008

0,008

Фенол

5

0,01

0,01

Формальдегид

0,5

0,035

0,012

Хлор

1,0

1,10

0,03

Бензол

5,0

1.50

0,80

Дихлорэтан

10

3,0

1,0

Серы диоксид

10

0,5

0,05

Метанол

5,0

1,0

0,5

Фтористые соединения (в пересчете на фтор,)

0,5

0,02

0,05

Пыль нетоксичная (известняк)

6

0,5

0,05

Этанол

1000

5

5


Другой важнейшей величиной, характеризующей уровень загрязнения атмосферного воздуха, является предельно допустимый выброс ПДВ. В отличие от ПДК, ПДВ является научно-техническим нормативом. Его измеряют во времени и устанавливают для каждого источника организованного выброса при условии, что выброс вредных веществ от данного источника и от совокупности источников района (с учетом перспективы развития промышленных предприятий и рассеивания вредных веществ в атмосфере) не создает приземной концентрации, превышающей ПДК для атмосферного воздуха. Предельно допустимые концентрации выбросов можно получать за счет разбавления отходящих газов - увеличения мощности вентиляционных систем или строительства более высоких труб.

На предприятиях, где применяют вредные вещества, разрабатывают и внедряют мероприятия по улучшению санитарно-технического состояния. Предусматривается применение новых прогрессивных технологий, исключающих контакт человека с вредными веществами.

В производственных помещениях микроклимат характеризуется температурой, влажностью, скоростью движения воздуха и давлением. Для того чтобы физиологические процессы в организме человека протекали нормально, окружающая атмосфера должна воспринимать тепло, вырабатываемое организмом. Соотношение между вырабатываемым человеком теплом и охлаждающей способностью среды, обеспечивающей сохранение нормального функционального и теплового состояния организма без напряжения терморегуляции и создающей предпосылки для нормальной работоспособности, характеризует комфортные метеорологические условия.

Основными путями отвода тепла из организма являются: конвекция воздуха у поверхности тела, теплопроводность через одежду, излучение и массообмен в виде испарения влаги, выделяемой потовыми железами и при дыхании. Регулирование тепловыделения для поддержания постоянной температуры (терморегуляция) в организме человека осуществляется биохимически, изменением интенсивности кровообращения и потовыделением. При перегревании организма человека кровеносные сосуды кожи расширяются и к ней притекает большое количество крови, что увеличивает отдачу тепла наружу. При переохлаждении происходит сужение кровеносных сосудов, уменьшение притока крови к коже и сокращение теплоотдачи. При потовыделении поверхность кожи теряет тепло вследствие испарения, интенсивность которого зависит от скорости движения воздуха.

При нарушении терморегуляции и теплового равновесия в организме может произойти накопление тепла, т. е. перегрев, или чрезмерный отвод тепла, т. е. переохлаждение организма. Все это снижает работоспособность человека, может явиться причиной несчастных случаев и заболеваний (тепловой удар, обморожение и др.). Оптимальные нормы температуры, относительной влажности и скорость движения воздуха в рабочей зоне производственных помещений устанавливаются в соответствии с ГОСТ 12.1.005-76 ССБТ «Воздух рабочей зоны. Общие санитарно-гигиенические требования» (табл. 1.2).

Этим же стандартом установлены допустимые нормы температуры, относительной влажности и скорости воздуха в рабочей зоне для помещений с избытком явного тепла в теплый и холодный периоды года.

По количеству выделяющихся избытков явного тепла различают помещения с незначительными избытками (до 23, 26 Вт/м3/ч и менее) и со значительными. Различают теплый период года со среднесуточной температурой наружного воздуха + 10 °С и выше, холодный и переходные периоды - ниже +10 °С.

По тяжести выполняемые работы разделены на следующие:

Категория 1 (легкая физическая) - работы, производимые сидя, стоя или связанные с ходьбой, но не требующие систематического физического напряжения или поднятия и переноски тяжестей при энергозатратах организма до 140 Вт.

Категория II        а (физическая средней тяжести) - работы, связанные с постоянной ходьбой, выполняемые стоя или сидя, но не Требующие перемещения тяжестей, с энергозатратами организма от 140 до 175 Вт.

Категория IIб - работы, связанные с ходьбой и переноской небольших (до 10 кг) тяжестей, с энергозатратами организма от 175 до 290 Вт.

Категория III (тяжелая физическая) - работы, связанные с систематическим физическим напряжением, с постоянной переноской значительных (свыше 10 кг) тяжестей, с энергозатратами организма более 290 Вт.

Измерение температуры воздуха осуществляют с помощью обычных ртутных и спиртовых термометров, максимальных и минимальных термометров, а также термографов с непрерывной регистрацией температуры воздуха в течение определенного отрезка времени.

Влажность воздуха измеряется в абсолютных или относительных (%) единицах. Количество водяных паров для полного насыщения воздуха зависит от его температуры. Чем выше температура воздуха, тем больше требуется водяных паров для полного его насыщения. При достижении влажности (максимальной) водяные пары переходят в капельно-жидкое состояние в виде росы.

Относительная влажность - отношение абсолютной влажности к максимальной, выраженное в процентах.

Относительная влажность воздуха определяется психрометрами. Наиболее широкое распространение получили психрометры Августа и Ассмана.

По психрометрической таблице по показаниям термометров определяют относительную влажность воздуха. Для непрерывного определения относительной влажности используются гигрографы, в которых под действием влаги происходит сокращение или удлинение волоса. Запись влажности производится на специальную ленту. Первоначальная установка пера и определение масштаба ленты определяется при помощи психрометра Ассмана

Барометрическое давление определяют при помощи барометра-анероида. При измерении давления необходимо учесть поправки шкалы, температуры и инерционную поправку, которые указываются в паспорте барометра.

Рациональное производственное освещение имеет большое значение для создания благоприятных условий труда на предприятиях. Неудовлетворительное освещение затрудняет работу, снижает производительность труда, приводит к заболеваниям органов зрения и несчастным случаям. Световое излучение оказывает воздействие на органы зрения и весь организм, изменяя частоту пульса, нарушая процессы обмена и нервно-психическое состояние. Хорошие световые условия оказывают благоприятное психофизическое воздействие на работоспособность и активность человека, на качество работы.

Производственное освещение характеризуется количественными и качественными показателями. К количественным показателям относятся: световой поток, сила света, яркость, освещенность, коэффициент отражения, к качественным показателям - спектр света, глубина и характер теней, светимость, направленность света, угол его падения, постоянство во времени, показатель дискомфорта.

Производственные помещения освещают как естественным, так и искусственным светом. Различают естественное освещение боковое (через окна с одной или двух сторон), верхнее (через световые фонари и застекленную крышу), комбинированное. Естественное освещение должно предусматриваться, как правило, в помещении с постоянным пребыванием людей.

Естественная освещенность изменяется в широких пределах в зависимости от географической широты, времени года и суток, и состояния атмосферы. Для зданий в 3-м поясе по световому климату независимо от их ориентации коэффициенты светового климата в солнечности климата принимаются равными 1.

Для коридоров, проходов, лестниц условный КЕО при боковом освещении для поверхности пола или ступенек принимается равным 0,1.

Различают следующие системы искусственного освещение в зависимости от расположения светильников:

a)   общее равномерное или локализованное;

b)      местное на отдельных рабочих местах;) комбинированное с использованием местных и общих светильников

Применение только местного освещения в производственных помещениях запрещено. Комбинированное освещение рекомендуется для помещений, где выполняется работа разрядов 1-4.   і

Наименьшая освещенность рабочих поверхностей в производственных помещениях при расстоянии от объектов различения до глаз работающих - не более 0,5 м определяется по СНиП 23-05-95 (табл. 1.7). .

Контраст объекта различения с фоном считается:

-  большим при относительной разности яркостей более 0,5; -Ф- средним при относительной разности яркостей от 0,2 до 0,5;

-       малым при относительной разности яркостей менее 0,2.

Разряды зрительной работы при искусственном освещении обозначаются римскими цифрами так же, как пои естественном освещении. Подразряды определяются с учетом характеристики фона и контраста объекта различения с фоном.

Расширяется применение газоразрядных люминесцентных ламп, имеющих большие преимущества перед лампами накаливания, для которых установлена более высокая нормированная освещенность. Общее локализованное освещение устраивается в производственных помещениях, а общее равномерное освещение - в непроизводственных. Система комбинированного освещения наиболее экономична. Нормы освещенности при комбинированном освещении выше, чем при общем. При комбинированном освещении общее освещение должно создавать 10% всей нормы освещенности.

Правильная организация освещения предусматривает не только соблюдение норм освещенности, регламентирующих минимальную освещенность для каждого вида работ, но и выполнение гигиенических требований к качеству освещения таких, как равномерность освещения рабочих поверхностей, недопустимость излишней яркости, блеска, слепящего действия, разных теней и контрастов.

Основными требованиями к устройству электрического освещения являются:

-    создание требуемой и равномерной освещенности в соответствии с нормами применительно к роду и точности выполняемой работы;

-       применение осветительной арматуры, соответствующей назначению, условиям окружающей среды и обеспечивающей защиту от слепящего действия источников света;

-       выполнение электрической части осветительных установок и электросетей для их питания, исключающих возможность травматизма.

Типы светильников должны соответствовать условиям окружающей среды. Для электроосвещения мест производства наружных работ следует применять лампы накаливания, газоразрядные, а также ксеноновые, а работ, производимых внутри зданий, светильники с лампами накаливания.

Питание светильников общего освещения производится источниками напряжением не выше 220 В. В помещениях без повышенной опасности указанное напряжен не допускается для всех стационарных светильников независимо от высоты их установки.

Высота установки светильников над полом в помещениях с повышенной опасностью и особо опасных должна быть не менее 2,5 м; для установки на меньшей высоте применяются светильники, конструкция которых исключает доступ к лампе без специальных приспособлений, или светильники на напряжение не выше 12 В.

Приборы общего освещения вне помещений, если их устанавливают на высоте менее 3 м, а в помещениях с повышенной опасностью на высоте менее 2,5 м ограждают от случайного прикосновения к ним или применяют напряжение до 42 В.

Разрешается применять ручные переносные электросветильники только заводского изготовления, так как их конструкция исключает возможность прикосновения к токоведущим частям. Лампа должна быть защищена сеткой, а в особо опасных, пыльных и других помещениях дополнительно стеклянными колпаками. Питание светильников с лампами на напряжение до 42 В производится только от понизительных трансформаторов. Применять автотрансформаторы, дроссельные катушки и реостаты для понижения напряжения запрещается.

Гигиена труда требует в первую очередь максимального использования естественного освещения, так как дневной свет лучше воспринимается органами зрения.

Использование в промышленности систем, связанных с генерированием, передачей и потреблением энергии электромагнитных колебаний, сопровождается возникновением в окружающей среде электромагнитных полей. При превышении допустимых уровней воздействия электромагнитного поля на человека может возникнуть профессиональное заболевание.

Персонал, обслуживающий электроэнергетические установки промышленной частоты (в том числе 5С Гц), подвергается воздействию электромагнитных полей.

Степень воздействия электромагнитных излучений на организм человека зависит от диапазона частот, интенсивности воздействия соответствующего фактора, продолжительности облучения, характера излучения (непрерывное или модулированное), режима облучения, размеров облучаемой поверхности тела и индивидуальных особенностей организма.

При систематическом воздействии электромагнитных излучений, превышающих допустимые значения, происходят функциональные нарушения нервной, эндокринной и сердечно-сосудистой систем человека, а также некоторые изменения состава крови, особенно выраженные при высокой напряженности электрического поля.

При превышении допустимой напряженности и плотности потока энергии электромагнитного поля необходимо применять основные средства и способы защиты:

-  экранирование рабочего места;

-       удаление рабочего места от источника электромагнитного поля;

-       рациональное размещение в рабочем помещении оборудования, излучающего электромагнитную энергию;

-       установление рациональных режимов работы оборудования и обслуживающего персонала;

-       применение предупреждающей сигнализации (световой, звуковой);

-       применение средств индивидуальной защиты.

Эффективным и часто применяемым методом защиты от низкочастотных и радиоизлучений является экранирование. Для экранов используют главным образом материалы с большой электрической проводимостью (медь, латунь, алюминий и его сплавы, сталь). Экраны должны быть заземлены.

В качестве средств индивидуальной защиты применяется спецодежда, изготовленная из металлизированной ткани в виде комбинезонов, халатов.        ,

Используя спецодежду из металлизированной ткани необходимо особо строго соблюдать требования электробезопасности.

После обучения экзаменационная комиссия проводит проверку теоретических знаний и практических навыков. Результат проверки знаний оформляют протоколом и фиксируют в личной карточке прохождения обучения, если она применяется.

Рабочему, успешно прошедшему проверку знаний, выдают удостоверение на право самостоятельной работы.

Рабочие, связанные с выполнением работ или обслуживанием объектов (установок, оборудования) повышенной опасности, также объектов, подконтрольных органам государственного надзора, должны проходить периодическую проверку знаний по безопасности труда в сроки, установленные соответствующими правилами.

Перечень профессий, работа по которым требует прохождения проверки знаний, и состав экзаменационной комиссии утверждает руководитель (главный инженер) предприятия, учебного заведения по согласованию с профсоюзным комитетом.

Члены комиссии по проверке знаний и присвоению групп по электробезопасности определяются пофамильно. Численность комиссии рекомендуется устанавливать не менее пяти человек. Из состава комиссии назначается председатель и заместитель (заместители).

Председателем комиссии, как правило, назначается ответственный за электрохозяйство. При этом председатель комиссии должен иметь группу V по электробезопасности при наличии в электрохозяйстве электроустановок напряжением выше 1 кВ и не ниже IV при наличии электроустановок напряжением до I кВ.

Все члены комиссии должны иметь группу по электробезопасности. Список членов комиссия ежегодно уточняется и утверждается руководителем предприятия. Проверку знаний комиссия может производить в составе не менее трех человек, в том числе обязательно председатель (заместитель).

В случае использования компьютерной техники при проверке знаний и получения проверяемым неудовлетворительной оценки в протоколе автоэкзаменатора, комиссия задает дополнительные вопросы. Если проверяемый дал неправильные ответы на большинство вопросов хотя бы одного из членов комиссии, общая оценка выставляется «неудовлетворительно».

Допускаются два варианта проверки знаний у ответственных за электрохозяйство, его заместителя и работника по ОТ, контролирующего электроустановки:

-       в комиссии предприятия с участием государственного инспектора по энергонадзору;

-       в комиссии органов Госэнергонадзора. Решение о порядке проверки принимают руководители органов Госэнергонадзора.

Удостоверение о проверке знаний для ответственного за электрохозяйство подписывает руководитель (владелец) предприятия, организации, учреждения.

В комиссиях органов Госэнергонадзора может пройти проверку знаний любой другой работник электротехнического (электротехнологического) персонала, при этом:

-       в комиссии местного органа Госэнергонадзора - предприятий, организаций, учреждений, расположенных на территории, подконтрольной ему;

-       в комиссии регионального управления Госэнергонадзора - предприятий, организаций, учреждений, расположенных на территории, подконтрольной данному управлению, в комиссии департамента Госэнергонадзора и энергосбережения Минпромэнерго - любых предприятий, организаций, учреждений. Присвоение группы I по электробезопасности проводится методом инструктажа на рабочем месте, который; как правило, должен завершаться проверкой знаний устным опросом, а при необходимости - проверкой приобретенных навыков безопасных способов работы или оказания первой помощи при поражении электрическим током. Решение о необходимости и способе проверки знаний принимает работник, проводящий присвоение группы I. Присвоение группы I проводится ежегодно.

Проверку знаний правил должны проводить квалификационные комиссии:

-  для ответственного за электрохозяйство предприятия, его заместителя и инженера по технике безопасности, контролирующего согласно должностному положению электрохозяйство, - в составе главного инженера или руководителя предприятия (председатель), инспектора предприятия «Энергонадзор» и представителя службы охраны труда (начальника отдела техники безопасности или комитета профсоюза);

-       для начальников и заместителей начальников структурных подразделений электрохозяйства и ответственных за электрохозяйство производственных цехов и подразделений предприятий - в составе ответственного за электрохозяйство предприятия или его заместителя (председатель), инженера по технике безопасности, прошедшего проверку в комиссии согласно п. «а» (представителя отдела техники безопасности), представителя энергослужбы;

-       для остального инженерно-технического персонала - в составе прошедшего проверку в комиссии;

-       имеющего группу по электробезопасности V (или IV для электроустановок напряжением до 1 кВ), - председатель и представителей энергослужбы, отдела техники безопасности или комитета профсоюза;

-       для остального электротехнического персонала может быть создано несколько комиссий, состав которых определяет и утверждает ответственный за электрохозяйство предприятия;

-       электротехнический персонал мелких предприятий, организаций и учреждений, не имеющих персонала для состава комиссий, должен направляться для проверки знаний і» комиссии, созданные при вышестоящих организациях с участием ответственного за электрохозяйство предприятия, на котором работает проверяемый.

Проверка знаний правил каждого работника производится и оформляется индивидуально. Результаты проверки знаний заносятся в журнал установленной формы.

Каждому работнику, успешно прошедшему проверку знаний, выдается удостоверение установленной формы с присвоением группы (II-V) по электробезопасности.

Удостоверение дает право на обслуживание тех или иных электроустановок в качестве административно-технического с правами оперативного, ремонтного или оперативно-ремонтного персонала; в качестве оперативного, ремонтного, оперативно-ремонтного, а также электротехнического персонала с группой по электробезопасности II и выше.

Инженеры по технике безопасности, контролирующие электроустановки, должны проходить проверку знаний в объеме группы IV по электробезопасности в той же комиссии, что ответственный за электрохозяйство. При этом им выдается удостоверение на право инспектирования электроустановок данного предприятия.

ЗАКЛЮЧЕНИЕ


На практике используются несколько способов непосредственного преобразования электрической энергии в световую - инжекционная электролюминесценция и люминесценция, возбуждаемая сильным полем. При инжекционной люминесценции фосфида галлия с красным свечением внешний квантовый выход достигает 12% и соответственно энергетический выход - около 9%, что значительно превышает энергетический выход обычных ламп накаливания (2-3%).

Люминесценция, связанная с ионизацией сильным полем, наиболее эффективна, если изолированные от электродов порошкообразные образцы возбуждаются переменным напряжением (табл.). Внешний энергетический выход в этом случае составляет около 2% (световая отдача - около 10 лм/Вт для зеленого излучения), хотя теоретический выход люминесценции, вызванной ударной ионизацией, может приближаться к 15%.

Таблица 5

Основные параметры электролюминесцентных излучателей

Параметр

Порошковые переменного напряжения (1 кГц)

Излучатели постоянного напряжения

Пленочные излучатели переменного напряжения (1 кГц)

Светоизлучающие диоды

Рабочее напряжение, В

100-200

50-100

150-200

2-4

Яркость. кд/м‘

102

102 - 103

103

104

Быстродействие, с

10-4

10-3

10-3

10-6

Срок службы, ч

104

103

104

105

Световая отдача, лм/Вт: Достигнутое значение

10

1

2

10

Перспективное значение

20

3

5

30


При возбуждении постоянным напряжением люминесценция, сопровождающаяся ионизацией атомов решетки и происходящая в областях сильного поля, имеет гораздо меньший энергетический выход (10-3%) вследствие вывода большей части дырок в неизлучающий материал. Лишь участие процессов непосредственного возбуждения активатора и внутрицентровой люминесценции может повысить этот выход до 0,1% (т. е. 0,6 лм/Вт для оранжевого излучения). Низкий выход пленочных излучателей, работающих на переменном напряжении, связан с большими потерями света при выходе из пленки. У всех излучателей, возбуждаемых сильным полем, по мере роста напряжения и яркости световая отдача проходит через максимум, т. е. условия получения максимальной яркости и световой отдачи различны. Можно сравнить выход электролюминесценции кристаллов с выходом излучения газового разряда, т. е. электролюминесценции, возбуждаемой в атомах газа ударами электронов и ионов, ускоренных полем. Наиболее высоким выходом в видимой области спектра обладают натриевые лампы, у которых в желтое излучение преобразуется 15% поглощенной электрической энергии. Сравнительно высокому выходу излучения газового разряда способствуют лучшие по сравнению с твердым телом условия ускорения электронов электрическим полем (большие длины свободных пробегов электронов). Таким образом, все разновидности люминесценции, связанной г ускорением электронов в вакууме (катодолюминесценция), газе или твердом теле имеют примерно одинаковый предельный энергетический выход 15-20%.

Хотя принципиально внутренний квантовый выход инжекционной электролюминесценции может приближаться к единице, световая отдача большинства промышленных светоизлучающих диодов при комнатной температуре пока не превышает световую отдачу порошковых излучателей, возбуждаемых сильным полем. Сравнительно небольшие эффективность и мощность электролюминесцентных излучателей делают сейчас целесообразным применение их прежде всего в качестве специальных источников света и элементов более сложных приборов, использующих возможности и преимущества твердотельных устройств.

Современные системы управления требуют отображения многих данных одновременно. Вместе с вакуумными и газоразрядными приборами на пультах управления навигационными системами, электростанциями и другими предприятиями применяются твердотельные устройства. Плоские многоцветные экраны большой площади, использующие порошкообразные люминофоры, позволяют наглядно представить графическую и знаковую информацию значительного объема. Такие экраны удобны для наблюдения одновременно несколькими операторами и имеют определенные преимущества по сравнению с другими системами отображения информации.

У экранов, состоящих из многих элементов, которые включаются поочередно на время и весь цикл занимает время t% каждый элемент излучает только t\/t2 долю секунды, поэтому требуются более высокие значения возбуждающего напряжения для того, чтобы средняя яркость элемента была достаточна для наблюдения.

Таблица 6. Параметры индикаторных панелей различного типа

Тип прибора

Размер, см2

Разрешающая способность, лин/см

Контрастность

Яркость, кд/м2

Световая отдача, лм/Вт

Долговечность, тыс. ч

Электролюминесцентный порошковый постоянного тока

14*19

16

20:1

40

0,5-1

3

Порошковый переменного тока

15*15

12

20:1

100

0,5

10

Тонкопленочный переменного тока

9*12

28

20:1

25

1

20

Газоразрядная индикаторная панель переменного тока

21*21

24

30:1

85

0,1-0,3

10

Газоразрядная индикаторная

12*20

13

30:1

7

0,2

10

Панель постоянного тока







Электронно-лучевая трубка (плоская)

15*20

24

30:1

170

0,5

5


Таблица 7. Мировое производство индикаторных панелей|

Тип прибора

Производство приборов по годам, млн. дол.


2003 г.

2007 г.

2012 г.

Жидкокристаллический индикатор

39,8

1282

3060

Электролюминесцентный индикатор

2,5

280

715

Газоразрядная панель переменного тока

11,6

174

530


Успехи в материаловедении и технологии позволили получить тонкие однородные слои сульфида цинка и других веществ. Тонкопленочные структуры показали не только высокие яркость, долговечность, разрешающую способность (до 150 лин./см), но и присутствие эффекта памяти, который сам по себе может иметь практические приложения.

Светоизлучающие диоды по многим параметрам (световая отдача, надежность, срок службы, быстродействие и др.) превосходят миниатюрные лампы накаливания, а по электрическим характеристикам хорошо согласуются с полупроводниковыми схемами. Широкое распространение получают светодиодные индикаторы в микрокалькуляторах, цифровых часах, фотоаппаратах с автоматической установкой экспозиционных данных и в других устройствах. Все это приводит к тому, что доля электролюминесцентных приборов различного типа в общем производстве индикаторов постоянно увеличивается. Эта тенденция сохранится и в дальнейшем.

Усилия разработчиков светоизлучающих диодов направлены сейчас на освоение новых полупроводниковых материалов, не использующихся пока в промышленном производстве. Наибольшие успехи, по-видимому, будут достигнуты на пути получения не объемных монокристаллов, а слоев, синтезированных методами эпитаксии, позволяющей создавать многослойные гетероструктуры с заданными параметрами сверхтонких слоев. Кроме новых многокомпонентных соединений А3В5, надежды возлагаются на широкозонные полупроводники А2В6, а также на карбид кремния и нитрид галлия.

Уверенность в преодолении технологических трудностей поддерживается, с одной стороны, тем, что на этих материалах уже получены лабораторные образцы светоизлучающих диодов с вполне приемлемыми для практики параметрами, а с другой стороны, - необходимостью промышленного освоения сине-голубой и фиолетовой областей спектра.

При одновременном действии на люминофор электрического поля и света наблюдается особый класс явлений, так называемая фотоэлектролюминесценция, которые также могут использоваться на практике.

Сочетание люминофора и фотопроводника делает возможным построение усилителей и преобразователей изображения. Можно, в частности, переносить изображение из одной спектральной области в другую, если, например, люминофор светится в видимой области, а фотопроводник чувствителен к инфракрасным или ультрафиолетовым лучам. Характерным является применение электролюминесценции в оптронах, объединяющих источник и приемник излучения и выполняющих функцию элемента оптической связи.

При использовании электролюминесцентных источников света в устройствах отображения информации возникает ряд специфических вопросов, связанных с управлением этими устройствами и особенностями восприятия информации [4, 6,].

В опытных образцах телевизионных приемников с одноцветным изображением применяют как электролюминесцентные экраны на основе порошкообразных люминофоров типа ZnS: Mn, Си, возбуждаемых однополярным напряжением, так и экраны, выполненные на основе изолированных пленок сульфида цинка, которые возбуждаются знакопеременным напряжением.

Разработка эффективных тонкопленочных излучателей с различными цветами свечения (помимо оранжевого) позволит в дальнейшем осуществить изготовление плоских экранов для цветного телевизионного изображения.

Увеличение стабильности и эффективности электролюминесцентных излучателей приведет к новому расширению их применения в качестве сигнальных излучателей, в устройствах отображения информации и в системах связи.

СПИСОК ИСПОЛЬЗОВАННОЙ ЛИТЕРАТУРЫ


1.      Аблеков В.К., Денисов Ю.Н., Любченко Ф.Н. Справочник по газодинамическим лазерам//М.: Машиностроение, 2002. - 168 с., ил.

2.      Азалиев В.В., Варсанофьева Г.Д., Кроль Ц.Е. Эксплуатация осветительных установок промышленных предприятий Библиотека светотехника Выпуск 9//М.: Энергоатомиздат, 2004. - 162 с.

.        Айзенберг Ю.Б. Световые приборы//М.: Энергия, 2000г. - 464 с.

.        Айзенберг Ю.Б. Справочная книга по светотехнике//Москва - 2006 год. 972 ст. 3-е издание.

.        Айзенберг Ю.Б. Энергосбережение в освещении//М.: Издательство "Знак", 2009. - 264 с.

.        Атабеков В.Б., Живов М.С. Монтаж осветительных электроустановок//М.: Высшая школа, 2004. - 380 с., ил.

.        Бондаренко Л.С., Калабановский И.А. Электрическое освещение//Ульяновск: УлГТУ, 2004. - 37 с.

.        Будак В.П., Макаров Д.Н. Программы расчета и визуализации осветительных установок//Под общей редакцией доктора техн. наук, проф Ю. Б. Айзенберга. - М., 2005 - 302 c.

.        Варфоломеев Л.П. Светотехника. Краткое справочное пособие//Москва 2004 г.- 464 с.

.        Варфоломеев Л.П. Электронные ПРА и системы управления освещением//Под общей редакцией доктора техн. наук, профессора Ю. Б. Айзенберга. - М., 2002.- 162 с.

.        Верещагин И.К. Электролюминесцентные источники света//М.: Энергоатомиздат, 2010. - 168 c.

.        Викторенко А.М. Электрическое освещение//Учебное пособие. - Томск: Над. ТПУ, 2006. - 44с.

.        Вугман С.М., Волков В.И. Галогенные лампы накаливания//Библиотека светотехника. Выпуск 5. М.:, 2000 - 136 с., ил.

.        Газалов В.С. Методические указания к курсовому проекту//Проектирование систем электрификации. Методические указания к курсовому проекту (раздел «Проектирование системы освещения»)/ Сост. В. С. Газалов, Л. П. Щербаева, Э. В. Гладкая. - Зерноград: ФГОУ ВПО АЧГАА, 2008 - 87 с.

.        Гареев В.М., Фомин О.Г., Мемиков П.В. Импульсные зажигающие устройства для газоразрядных ламп высокого давления//Статья. Опубликована в Вестник Новгородского государственного университета, 2001, №19, 6с.

.        Гречкина Т.В. Расчетный практикум для проектирования осветительных установок//Учебное пособие. - Томск: Изд-во ТПУ, 2009. - 153 с.

.        Грибанов А.А. Электрическое освещение//Учебное пособие. - Барнаул: Изд-во АлтГТУ, 2006. - 120 с.

.        Гридин В.Н. и др. Полупроводниковая лампа - источник освещения, альтернативный лампам накаливания и электролюминесцентным лампам//Компьютерная оптика, 2008 г., том 32, №4 - 9 с.

.        Гуторов М.М. Основы светотехники и источники света//Учеб. пособие для вузов. - 2-е изд., доп. и перераб. - М.: Энергоатомиздат, 2003г. - 384 с., ил.

.        Давиденко Ю.Н. Настольная книга домашнего электрика: люминесцентные лампы//СПб.: Наука и техника, 2005. - 224 с.

.        Дворецкий С.И., Печагин Е.А., Зарандия Ж.А. Электрическое освещение и облучение//Тамбовский государственный технический университет (ТГТУ), 2003. - 32 с.

.        Девятых Э.В., Дадонов В.Ф. Люминесцентные лампы. Люминофоры и люминофорные покрытия//Изд-во Мордов. ун-та, 2007. - 344 с.

.        Денисов В.П. Производство электрических источников света//М.: Энергия, 2005 - 488 с.

.        Денисов В.П., Мельников Ю.Ф. Технология и оборудование производства электрических источников света//М.: Энергоиздат, 2003 - 384 с., ил.

.        Долгов В.В., Ованесов Е.Н., Щетникович К.А. Фотометрия в лабораторной практике//М.: Российская медицинская академия последипломного образования, 2004.

.        Ефимкина В.Ф., Софронов Н.Н. Светильники с газоразрядными лампами высокого давления//М.: Энергоатомиздат, 2004г. - 104 с, ил. - (Б-ка светотехника; Выпуск 8)

.        Жилинский Ю.М., Кумин В.Д. Электрическое освещение и облучение//М.: Колос, 2002. - 272 с.

.        Капцов Н.А. и Гоухберг Д.А. Лампы сверхвысокого давления//Статья. Опубликована в УФН, 2001, т. XLIII, в.4, с. 620-662 (43с.)

.        Кладницкий Д.А., Чубатый С.И. Справочник по осветительной аппаратуре//К. : Техника, 2006г. -152 с, ил. - Библиогр.: с. 150.

.        Кнорринг Г.М. Осветительные установки//Л.: Энергоиздат. Ленингр. отд-ние, 2001. - 288 с.

.        Козлов В.Н. Технология производства световых приборов//М.: Энергоатомиздат, 2001 - 272 с., с ил.

.        Козловская В.Б. Электрическое освещение. Справочник//Минск: Техноперспектива, 2008. - 271 с. : ил.

.        Колесник Г.П. Электрическое Освещение//Учеб. пособие. Владим. гос. ун-т; Владимир, 2002. 91с.

Похожие работы на - Исследование влияния частоты переменного электрического поля на яркость люминесценции различных люминофоров

 

Не нашли материал для своей работы?
Поможем написать уникальную работу
Без плагиата!
Без нейросетей!